Геометрическая оптика и квантовые свойства света (работа 1)
Реферат
На тему: «Геометрическая оптика и квантовые свойства света.»
Выполнил Шайхутдинов Талгат
Геометрическая оптика
Геометрической оптикой называется раздел оптики, в котором изучаются законы распространения световой энергии в прозрачных средах на основе представления о световом луче.
Световой луч – это не пучок света ,а линия указывающая направление распространения света.
Основные законы:
Закон о прямолинейном распространении света .
Свет в однородной среде распространяется прямолинейно. Прямолинейностью распространения света объясняется образование тени ,то есть место, куда не проникает световая энергия . От источников малых размеров образуется резко очерченная тень ,а больших размеров создают тени и полутени, в зависимости от величины источника и расстояния между телом и источником.
Закон отражения. Угол падения равен углу отражения.
Падающий луч, отраженный луч и перпендикуляр к границе раздела двух сред , восстановленный в точке падения луча , лежат в одной плоскости
α-угол падения β-угол отражения γ-перпендикуляр опущенный в точку падения
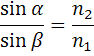
Закон преломления.
На границе раздела двух сред свет меняет направление своего распространения . Часть световой энергии возвращается в первую среду ,то есть происходит отражение света. Если вторая среда прозрачна ,то часть света при определенных условиях может пройти через границу сред также меняя при этом ,как правило , направление распространения . Это явление называется преломлением света.

α-угол падения β- угол преломления.
Падающий луч, отраженный луч и перпендикуляр к границе раздела двух сред , восстановленный в точке падения луча , лежат в одной плоскости . отношение синуса угла падения к синусу угла преломления есть величина постоянная для двух данных сред.


Постоянная n называется относительным показателем преломления или показателем преломления второй среды относительно первой.
Ход лучей в треугольной призме
В оптических приборах часто применяется треугольная призма из стекла или других прозрачных материалов .

Ход лучей в сечении треугольной призмы
Луч, проходящий через треугольную стеклянную призму, всегда стремится к её основанию.
Угол φназывается преломляющим углом призмы .Угол отклонения луча θ зависит от показания преломления n призмы и угла падения α.В оптических приборах часто применяют оптические призмы в виде равнобедренного прямоугольного треугольника . Их применение основано на том что предельный угол полного отражения для стекла равенα>0>=450

Ход лучей в призмах такого вида
Поведение лучей при перехождении из среды одного типа в другую.
При попадании луча из менее плотной среды в более плотную происходит преломление и луч прижимается к перпендикуляру опущенному в точку падения

α – угол падения, β- угол преломления
При попадании луча из более плотной среды в менее плотную происходит преломление и луч прижимается к границе раздела сред.

α-угол преломления , β-уол падения
Линза
Прозрачное тело, ограниченное с двух сторон сферическими поверхностями называется линзой

Рис 1.

Рис2 Рис 3 Рис 4
Обычно линзы делают из стекла. Прямую ОО>1> проходящую через центры сферических поверхностей называют главной оптической осью (рис1) .
Линзы середина которых больше , чем края ,называют собирающими(рис 2)
Линзы изображенные на рисунке 3 называют рассеивающими.
Любую линзу можно представить , как совокупность стеклянных призм (Рис 4).
В воздухе собирающая линза отклоняет лучи к главной оптической оси, а рассеивающая – от главной оптической оси .
Рассмотрим тонкую линзу .то есть линзу у которой её толщина АВ много меньше радиусов R>1 >и R>2> . Все последующие рассуждения относятся к тонкой линзе . Как сферические и плоские зеркала , линзы создают изображения источников света . Это означает ,что свет исходя из какой – либо точки предмета , после преломления в линзе снова собирается в одной точке( изображение),независимо от того, через какую часть линзы прошли лучи. В случае если прошедшие через линзу сходятся ,они образуют действительное изображение . Если прошедшие через линзу лучи расходятся, то пересекаются в одной точке не сами лучи , а их продолжения . изображение тогда является мнимым.
Рассеивающая линза
Лучи параллельные главной оптической оси линзы после преломления рассеивающей линзой будут расходящимися, а их продолжения пересекаются в главном фокусе рассеивающей линзы он является мнимым и расположен на расстоянии F от линзы

Второй минимальный главный фокус находится с другой стороны линзы на том же расстоянии если среда по обе стороны линзы одна и та же .
Собирающая линза
Точка в которой собираются после преломления лучи падающие на линзу называется главным фокусом линзы ,а расстояние от фокуса до лизы называется фокусным расстоянием
Фокусов у линзы два
Плоскость перпендикулярная главной к главной оптической оси линзы и проходящая через фокус называется фокальной плоскостью.
Поместив светящуюся тачку в любом месте фокальной плоскости , получим после преломления параллельные лучи.

Построение изображения в линзах
Свойства линзы определяются главным образом , расположением её фокусов . Это означает , что зная расстояние от источника до линзы и фокусное расстояние можно определить расстояние до изображения не рассматривая хода лучей в линзе .
Собирающая
линза
Рассеивающая
линза
При построении изображения светящейся точки ( предмета)из всего потока лучей падающих на линзу , выбирают 2 луча:
Луч идущий через оптический центр , он проходит не преломляясь.
Луч идущий II какой либо оптической оси ,после преломления этот луч пройдет через фокус лежащий на этой оптической оси.
Луч , проходящий через передний фокус линзы , такой луч после преломления пойдет II главной оптической оси.
Луч, проходящий через передний двойной фокус ,после преломления этот луч походит через задний двойной фокус .
Ход этих 4 лучей проследить наиболее просто . Чаще всего при построении используют первые два луча.
Если светящаяся точка лежит на главной оптической оси , то для ее построения необходимо повести побочную оптическую ось.
Примеры:



Квантовые свойства света
Свет можно представить не только с волновой точки зрения ,но и как поток своеобразных частиц – квантов света (фотонов )
Основная характеристика кванта - это энергия . Монохроматический световой поток состоит из фотонов с одинаковой световой энергией
Энергия фотона равна
E=hν=
Где h= 6.62 X 10-34 Дж сек – постоянная Планка, ν-Частота света(Гц), С- скорость света в вакууме м/сек, Х-Длина волны(м)
Фотоэффект
Явление , заключающееся в том, что металлические тела, подвергнутые облучению светом испускают электроны называется фотоэффектом. Фотоэффект – это вырывание электронов с поверхности металла под действием света.
Теория фотоэффекта была создана великим немецким физиком Эйнштейном. В соответствии с этой теорией энергия кванта света hν идёт на совершение работы выхода А, то есть работы, которую нужно совершить для отрыва электрона с поверхности металла, на сообщение электрону кинетической энергии.
hν= А -010009000003a40a000000006006000000006006000026060f00b60c574d464301000000000001005f4f0000000001000000940c000000000000940c0000010000006c0000000000000000000000290000002a00000000000000000000004b0400006504000020454d4600000100940c00000c00000001000000000000000000000000000000900600001a040000b801000013010000000000000000000000000000c0b6060038320400460000002c00000020000000454d462b014001001c000000100000000210c0db01000000600000006000000046000000dc020000d0020000454d462b224004000c000000000000001e4009000c00000000000000244001000c000000000000003040020010000000040000000000803f214007000c0000000000000008400005280200001c0200000210c0db01000000000000000000000000000000000000000100000089504e470d0a1a0a0000000d494844520000002a0000002b080200000081fd8da9000000017352474200aece1ce9000000097048597300000ec400000ec401952b0e1b000001a2494441545847ed58b171c3300ca43289736952648b34749f0db2827c5ec69e23e9e42152b8c9599b28004950041d0bf059141be1ce77220de2812740816a866130f5e46919e8feb86da26c8f7d4485e8cbcbe5604ddb391c7ca46720be3c7686d0b515e1131ed0ad45a3cfb01785bfc65e101e76dc1e2e3e0dba363ecae463aa8060e2baac0571abc3fc6895667c8a075d3f205daab75005e2dec33a504553d6c28f6071e04ca05d1f0ae8c00c8d5d80ffd2cdeb408e9e9c278f5d24e92086921735c047966fd4b706de054f1bc706ac8619197c8b6f1e2e0a783d7aa2a9881c7d529cf9fdf9dbbcbd6c7cdaa483fef7c7d8d78d81037d774adf1d30f17cde7f7d863553af15f1d01db32b6797129a6d4cac0cd1302a3458fbf544417e49e756f892ec0ab62b932f643ef46745b9590baf28bdd3c62ba7de0abfeefd630c9c76e30592771e925d555730a574d5fc25adb7685cd1eb89365205d61bc92b672e3cd7fe7dbc2b9abcb02bb2877a8dbcef9657ce47fefdd8d866ca1e2a34f8270bc5025299039ec7ed2f7b4a791c3ebfbdd29d53e5c0da6e480763c1ff673e76eef5f40f9bea96a7dd5dccfe0000000049454e44ae4260820000000840010824000000180000000210c0db01000000030000000000000000000000000000001b40000040000000340000000100000002000000000000bf000000bf0000284200002c4203000000000080b3000080b3ffff2742000080b3000080b3ffff2b422100000008000000620000000c00000001000000150000000c00000004000000150000000c0000000400000051000000540800000000000000000000290000002a000000000000000000000000000000000000002a0000002b00000050000000a0000000f000000064070000000000002000cc002a0000002b000000280000002a0000002b00000001000800000000000000000000000000000000001e0000000000000000000000ffffff00489cdf009c480000ffffdf00dfffff0000489c00ffbf74009cdfff0000004800bfffff0000007400bf74000074bfff00df9c48000074bf0048000000ffdf9c0074000000ffffbf00484800004800480000484800bfffdf009c4874009cdfdf00740048009c4848004874bf00bf744800010101010101010101010101010101010101010101010101010101010101010101010101010101010101ffff010101010101010101010101010101010101010101010101010101010101010101010101010101010101ffff010101010101010101010101010101010101010101010101010101010101010101010101010101010101ffff010101010101010101010101010101010101010101010101010101010101010101010101010101010101ffff0101010101010101010101010101010101010101010a0b00000000101101010101010101010101010101ffff010101010101010101010101010101010101010101010d12130101020701010101010101010101010101ffff010101010101010101010101010101010101010101010102121301010101010101010101010101010101ffff0101010101010101010101010101010101010101010101010d1213010101010101010101010101010101ffff010101010101010101010101010101010101010101010101010d12130101010101010101010101010101ffff010101010101010101010101010101010101010101010101010102030401010101010101010101010101ffff01010101010101010101010101010101010101010101010101010d101101010101010101010101010101ffff01010101010101010101010101010101010101010105060e01010f101101010101010101010101010101ffff01010101010101010101010101010101010101010101010f000000070101010101010101010101010101ffff010101010101010101010101010101010101010101010101010101010101010101010101010101010101ffff010101010101010101010101010101010101010101010101010101010101010101010101010101010101ffff010101010101010101010101010101010101010101010101010101010101010101010101010101010101ffff010101010101010101010101010101010101010101010101010101010101010101010101010101010101ffff010101010101010101010101010101010101010101010101010101010101010101010101010101010101ffff010101010101010101010101010101010101010101010101010101010101010101010101010101010101ffff010101010101010101010101010101010101010101010101010101010101010101010101010101010101ffff010101010101010101010101010101010101010101010101010101010101010101010101010101010101ffff010101010101010101010000000000000000000000000000000000000000000000000000000000000000ffff010101010101010101010101010101010101010101010101010101010101010101010101010101010101ffff010101010101010101010101010101010101010101010101010101010101010101010101010101010101ffff010101010101010101010101010101010101010101010101010101010101010101010101010101010101ffff010101010101010101010101010101010101010101010101010101010101010101010101010101010101ffff010101010101010101010101010101010101010101010101010101010101010101010101010101010101ffff010101010101010101010101010101010101010101010101010101010101010101010101010101010101ffff01010101010101010101010f0304010d101101010f000304010809000e01010101010101010101010101ffff01010101010101010101010d1213010a0b070105060e081d01081511020c010101010101010101010101ffff01010101010101010101010815110105060e01010f0c01010108151101020e0101010101010101010101ffff010101010101010101010105060e0101020304010d121301010a0b0e01011c1101010101010101010101ffff0101010101010101010101010f1213010d0007010a0b07010105060c0101081b04010101010101010101ffff010101010101010101010f07021415110d1016070a0b0e0102070f031718191a13010101010101010101ffff01010101010101010101010f000c05060003040f00101101010f000c01080912130a0b00000000070101ffff010101010101010101010101010101010101010101010101010101010101010101010d0304010d0e0101ffff0101010101010101010101010101010101010101010101010101010101010101010101020c0101010101ffff010101010101010101010101010101010101010101010101010101010101010101010101020c01010101ffff01010101010101010101010101010101010101010101010101010101010101010101010101020c010101ffff010101010101010101010101010101010101010101010101010101010101010101010101010a0b070101ffff010101010101010101010101010101010101010101010101010101010101010101050607010809070101ffff010101010101010101010101010101010101010101010101010101010101010101010200000003040101ffff010101010101010101010101010101010101010101010101010101010101010101010101010101010101ffff4c000000640000000000000000000000290000002a00000000000000000000002a0000002b0000002900aa0000000000000000000000803f00000000000000000000803f0000000000000000000000000000000000000000000000000000000000000000220000000c000000ffffffff460000001c00000010000000454d462b024000000c000000000000000e000000140000000000000010000000140000000400000003010800050000000b0200000000050000000c022b002a00030000001e00040000000701040004000000070104000f040000410b2000cc002b002a00000000002b002a0000000000280000002a0000002b00000001000800000000000000000000000000000000001e0000000000000000000000ffffff00489cdf009c480000ffffdf00dfffff0000489c00ffbf74009cdfff0000004800bfffff0000007400bf74000074bfff00df9c48000074bf0048000000ffdf9c0074000000ffffbf00484800004800480000484800bfffdf009c4874009cdfdf00740048009c4848004874bf00bf744800010101010101010101010101010101010101010101010101010101010101010101010101010101010101ffff010101010101010101010101010101010101010101010101010101010101010101010101010101010101ffff010101010101010101010101010101010101010101010101010101010101010101010101010101010101ffff010101010101010101010101010101010101010101010101010101010101010101010101010101010101ffff0101010101010101010101010101010101010101010a0b00000000101101010101010101010101010101ffff010101010101010101010101010101010101010101010d12130101020701010101010101010101010101ffff010101010101010101010101010101010101010101010102121301010101010101010101010101010101ffff0101010101010101010101010101010101010101010101010d1213010101010101010101010101010101ffff010101010101010101010101010101010101010101010101010d12130101010101010101010101010101ffff010101010101010101010101010101010101010101010101010102030401010101010101010101010101ffff01010101010101010101010101010101010101010101010101010d101101010101010101010101010101ffff01010101010101010101010101010101010101010105060e01010f101101010101010101010101010101ffff01010101010101010101010101010101010101010101010f000000070101010101010101010101010101ffff010101010101010101010101010101010101010101010101010101010101010101010101010101010101ffff010101010101010101010101010101010101010101010101010101010101010101010101010101010101ffff010101010101010101010101010101010101010101010101010101010101010101010101010101010101ffff010101010101010101010101010101010101010101010101010101010101010101010101010101010101ffff010101010101010101010101010101010101010101010101010101010101010101010101010101010101ffff010101010101010101010101010101010101010101010101010101010101010101010101010101010101ffff010101010101010101010101010101010101010101010101010101010101010101010101010101010101ffff010101010101010101010101010101010101010101010101010101010101010101010101010101010101ffff010101010101010101010000000000000000000000000000000000000000000000000000000000000000ffff010101010101010101010101010101010101010101010101010101010101010101010101010101010101ffff010101010101010101010101010101010101010101010101010101010101010101010101010101010101ffff010101010101010101010101010101010101010101010101010101010101010101010101010101010101ffff010101010101010101010101010101010101010101010101010101010101010101010101010101010101ffff010101010101010101010101010101010101010101010101010101010101010101010101010101010101ffff010101010101010101010101010101010101010101010101010101010101010101010101010101010101ffff01010101010101010101010f0304010d101101010f000304010809000e01010101010101010101010101ffff01010101010101010101010d1213010a0b070105060e081d01081511020c010101010101010101010101ffff01010101010101010101010815110105060e01010f0c01010108151101020e0101010101010101010101ffff010101010101010101010105060e0101020304010d121301010a0b0e01011c1101010101010101010101ffff0101010101010101010101010f1213010d0007010a0b07010105060c0101081b04010101010101010101ffff010101010101010101010f07021415110d1016070a0b0e0102070f031718191a13010101010101010101ffff01010101010101010101010f000c05060003040f00101101010f000c01080912130a0b00000000070101ffff010101010101010101010101010101010101010101010101010101010101010101010d0304010d0e0101ffff0101010101010101010101010101010101010101010101010101010101010101010101020c0101010101ffff010101010101010101010101010101010101010101010101010101010101010101010101020c01010101ffff01010101010101010101010101010101010101010101010101010101010101010101010101020c010101ffff010101010101010101010101010101010101010101010101010101010101010101010101010a0b070101ffff010101010101010101010101010101010101010101010101010101010101010101050607010809070101ffff010101010101010101010101010101010101010101010101010101010101010101010200000003040101ffff010101010101010101010101010101010101010101010101010101010101010101010101010101010101ffff0c00000040092900aa000000000000002b002a0000000000040000002701ffff030000000000
Для каждого тела фотоэффект наблюдается лишь в то случае, если частота света больше минимального значения ν>м.> Это минимальное значение называют красной границей фотоэффекта.
ν>м>> >>=>0100090000037e0900000000c80500000000c805000026060f00860b574d4643010000000000010045910000000001000000640b000000000000640b0000010000006c00000000000000000000001d000000320000000000000000000000110300003705000020454d4600000100640b00000c00000001000000000000000000000000000000900600001a040000b801000013010000000000000000000000000000c0b6060038320400460000002c00000020000000454d462b014001001c000000100000000210c0db01000000600000006000000046000000c8020000bc020000454d462b224004000c000000000000001e4009000c00000000000000244001000c000000000000003040020010000000040000000000803f214007000c000000000000000840000514020000080200000210c0db01000000000000000000000000000000000000000100000089504e470d0a1a0a0000000d494844520000001e0000003308020000000f602f1d000000017352474200aece1ce9000000097048597300000ec400000ec401952b0e1b00000190494441545847ed973d6ec3300c85a59ec440960e3944812e0eb2f606cd119c4314c8dacdbe41d7a25e8af8101db214d14d54fdb58e64297a74a0a9e66af913f5488a149752b232765706aba973d0c39e73bee944ce2b2508d18e8d61d6edf9fa8f8cc89552919bb6adf36c325a938ff20cb089688d5464e37bce6f1afa8fecd866979491d01764804d417be43c9b8036a19b585a131cad03e773ec5e49368c9e92652605c14217ddcb81d5f75544917ef73ac44b1ea84657d9e6fff1f89ef43155f8bfb9547397a9fb0e8611a479cb1674a01a947caa15226207795c506bc86bc4e5e99a825e2fe840ee4590f9829801551b30a49a5d8006362ec9f4709f450ba338f56ad28b76df1bab517c7f29f2d363acb1df8ad64eaf571513ddc6e9be4f0c0a44addde0db36f64560854f3f0e085a1b3958bf3b6de5c7b3d2a45aadaf5f89788684d37a6e7ac7bd1ede0f5e0ced21b4f20983d121497cbea99836db87a428385a67c705299fe228daca3116cb78089d88f1d2c7c218a9f0dff935997d4bdb9d7f5f53a7113443a85cb5be20fa0771a9f4c2634e8a010000000049454e44ae426082000840010824000000180000000210c0db01000000030000000000000000000000000000001b40000040000000340000000100000002000000000000bf000000bf0000f04100004c4203000000000000b3000000b3ffffef41000000b3000000b3ffff4b422100000008000000620000000c00000001000000150000000c00000004000000150000000c00000004000000510000003807000000000000000000001d00000032000000000000000000000000000000000000001e000000330000005000000088000000d800000060060000000000002000cc001e00000033000000280000001e000000330000000100080000000000000000000000000000000000180000000000000000000000ffffff000074bf0048000000ffdf9c00bfffff0000007400df9c480074bfff009c74000000489c009c480000ffffdf00ffbf7400489cdf009cdfff0074004800ffffbf00bf740000dfffff00740000009c9c4800480074000000480001010101010101010101010101010101010101010101010101010101010101010101010101010101010101010101010101010101010101010101010101010101010101010101010101010101010101010101010101010101010101010101ffff01010101010101010101010101010101010101010101010101010101010101010101010101010101010101010101010101010101010101010101010101010a0b010101010101010101010101010101010101010101010101010101010101ffff010101010101010101010101130a14110101010200030401010101010101010f0101010101010101010101010102030401010f1712130a0701010101010101010101010101010101010101010108000d010105060b0c0101010101010101ffff010101010101010101010101010f17120101130a1411010101010101010101010101010101010101010101010105060b0c01010e000d01010101010101010101010101010101010101010101010102030401010800070101010101010101ffff01010101010101010101010101010e0014110105060b0c010101010101010101010101010101010101010101010108001516040f170b0c0101010101010101010101010101010101010101010101050612130a00000d0101010101010101ffff0101010101010101010101010101130a0b0c010101010101010101010101010101010101010101010101010101010102030401010101010101010101010101010101010101010101010101010101010e000d010101010101010101010101ffff01010101010101010101010101010200000701010101010101010101010101010101010101010101010101010101010101010101010101010101010101010101010101010101010101010101010101010101010101010101010101010101ffff01010101010101010101010101010101010101010101010101010101010101010101010101010101010101010101010101010101010101010101010101010101010101010101010101010101010101010101010101010101010101010101ffff01010101010101010101010101010101010101010101010101010101010101010101010101010101010101010101010101010101010101010101010101010101010101010101010101010101010101010101010101010101010101010101ffff01010101010101010101010100000000000000000000000000010101010112130101010101010101010101010000000000000000000000000001010101011415010101010101010101010101010101010101010101010101010101010101ffff010101010101010101010101010101010101010101010101010101010101010f0101010101010101010101010101010101010101010101010101010101010906010101010101010101010101010101010101010101010101010101010101ffff01010101010101010101010101010101010101010101010101010101010101010101010101010101010101010101010101010101010101010101010101010101010101010101010101010101010101010101010101010101010101010101ffff010101010101010101010105060000141101010e000000120101010101010101010101010101010101010101130a0b0c010101010e001201010101010101010101010101010101010101010101081411010101010e030401010101010101ffff0101010101010101010101010105060d010101130a141101010101010101ffff01010101010101010101010101010e000000000000120101010101010101ffff01010101010101010101010101010f1011010108000d0101010101010101ffff0101010101010101010101010101130a0d01010214110101010101010101ffff0101010101010101010101010101010e1201050612010101010101010101ffff0101010101010101010101010101010f1011080007010101010101010101ffff01010101010101010101010101010101020d0e030401010101010101010111040101010101010101010101010101010108090a0b0c010101010101010101110401010101010101010101010101010101050600070101010101010101010100000101010101010101010101010101010101020304010101010101010101010000010101010101010101010101010101010101010101010101010101010101000001010101010101010101010101010101010101010101010101010101010100004c0000006400000000000000000000001d0000003200000000000000000000001e000000330000002900aa0000000000000000000000803f00000000000000000000803f0000000000000000000000000000000000000000000000000000000000000000220000000c000000ffffffff460000001c00000010000000454d462b024000000c000000000000000e000000140000000000000010000000140000000400000003010800050000000b0200000000050000000c0233001e00030000001e000400000007010400040000000701040081030000410b2000cc0033001e000000000033001e0000000000280000001e000000330000000100080000000000000000000000000000000000180000000000000000000000ffffff000074bf0048000000ffdf9c00bfffff0000007400df9c480074bfff009c74000000489c009c480000ffffdf00ffbf7400489cdf009cdfff0074004800ffffbf00bf740000dfffff00740000009c9c4800480074000000480001010101010101010101010101010101010101010101010101010101010101010101010101010101010101010101010101010101010101010101010101010101010101010101010101010101010101010101010101010101010101010101ffff01010101010101010101010101010101010101010101010101010101010101010101010101010101010101010101010101010101010101010101010101010a0b010101010101010101010101010101010101010101010101010101010101ffff010101010101010101010101130a14110101010200030401010101010101010f0101010101010101010101010102030401010f1712130a0701010101010101010101010101010101010101010108000d010105060b0c0101010101010101ffff010101010101010101010101010f17120101130a1411010101010101010101010101010101010101010101010105060b0c01010e000d01010101010101010101010101010101010101010101010102030401010800070101010101010101ffff01010101010101010101010101010e0014110105060b0c010101010101010101010101010101010101010101010108001516040f170b0c0101010101010101010101010101010101010101010101050612130a00000d0101010101010101ffff0101010101010101010101010101130a0b0c010101010101010101010101010101010101010101010101010101010102030401010101010101010101010101010101010101010101010101010101010e000d010101010101010101010101ffff01010101010101010101010101010200000701010101010101010101010101010101010101010101010101010101010101010101010101010101010101010101010101010101010101010101010101010101010101010101010101010101ffff01010101010101010101010101010101010101010101010101010101010101010101010101010101010101010101010101010101010101010101010101010101010101010101010101010101010101010101010101010101010101010101ffff01010101010101010101010101010101010101010101010101010101010101010101010101010101010101010101010101010101010101010101010101010101010101010101010101010101010101010101010101010101010101010101ffff01010101010101010101010100000000000000000000000000010101010112130101010101010101010101010000000000000000000000000001010101011415010101010101010101010101010101010101010101010101010101010101ffff010101010101010101010101010101010101010101010101010101010101010f0101010101010101010101010101010101010101010101010101010101010906010101010101010101010101010101010101010101010101010101010101ffff01010101010101010101010101010101010101010101010101010101010101010101010101010101010101010101010101010101010101010101010101010101010101010101010101010101010101010101010101010101010101010101ffff010101010101010101010105060000141101010e000000120101010101010101010101010101010101010101130a0b0c010101010e001201010101010101010101010101010101010101010101081411010101010e030401010101010101ffff0101010101010101010101010105060d010101130a141101010101010101ffff01010101010101010101010101010e000000000000120101010101010101ffff01010101010101010101010101010f1011010108000d0101010101010101ffff0101010101010101010101010101130a0d01010214110101010101010101ffff0101010101010101010101010101010e1201050612010101010101010101ffff0101010101010101010101010101010f1011080007010101010101010101ffff01010101010101010101010101010101020d0e030401010101010101010111040101010101010101010101010101010108090a0b0c010101010101010101110401010101010101010101010101010101050600070101010101010101010100000101010101010101010101010101010101020304010101010101010101010000010101010101010101010101010101010101010101010101010101010101000001010101010101010101010101010101010101010101010101010101010100000c00000040092900aa0000000000000033001e0000000000040000002701ffff030000000000