Движение тел (работа 1)
БИЛЕТ № 3
Движение
материальной точки в поле тяжести земли
описывается уравнениями
.
Нарисовать траекторию движения тела
.
РЕШЕНИЕ:
Выразим время через х
T(x)=x/10
Подставим во второе уравнение:
Y(x)=20-4.9*(x/10)2
X 10 20 30 40 0
Y 1.51 0.4 20
Диск радиуса
вращается относительно
оси, проходящей через
центр масс, с угловой скоростью
.
К ободу диска прикладывают касательную
тормозящую силу
.
Масса диска
.
Через какой промежуток времени диск
остановится?
РЕШЕНИЕ:
Вычислим угловое ускорение В, создаваемое касательной тормозящей силой Fk. Для чего нам необходимо вычислить момент силы Fk:
М=Fk*R
И момент инерции диска:
I=0.5*m*R2
Тогда выведем ускорение (угловое) b:
M=I*b

Выразим время до остановки t2:
W2=b*t2+W0

Определить ускорение тел,
связанных нерастяжимой, невесомой
нитью, перекинутой через невесомый
блок,
,
,
,
внешняя сила
.
(см.рисунок).
РЕШЕНИЕ:
Рассмотрим силы, действующие на каждое тело, беря за положительное направление – направление движения.
На тело 3:
Т2-F>t3 >=m>3>a
T2= m>3>a+ m>3>g= m>3>(a+g)
На тело 2:
F>t>>2 >+T1-T2= m>2>a
m>2>g+T1-T2= m>2>a
T1= m>2>(a-g)+ m>3>(a+g)
На тело 1:
F>t>>1>+F-T1= m>1>a
m>3>a+F-T1= m>1>a
m>1>a+F- m>2>a+ m>2>g- m>3>a- m>3>g= m>1>a
m>1>a+ m>2>a+ m>3>a= m>1>a+F+ m>2>g+ m>3>g

0100090000032a0200000200a20100000000a201000026060f003a03574d4643010000000000010099d10000000001000000180300000000000018030000010000006c000000000000000000000008000000100000000000000000000000a90b00005e07000020454d4600000100180300001200000002000000000000000000000000000000900600001a040000b801000013010000000000000000000000000000c0b6060038320400160000000c000000180000000a00000010000000000000000000000009000000100000007200000048000000250000000c0000000e000080250000000c0000000e000080120000000c00000001000000520000007001000001000000f1ffffff00000000000000000000000090010000000000cc04400022430061006c00690062007200690000000000000000000000000000000000000000000000000000000000000000000000000000000000000000000000000000000000110040ae110010000000a4b1110024af110052516032a4b111009cae1100100000000cb0110088b1110024516032a4b111009cae11002000000049642f319cae1100a4b1110020000000ffffffff0c26e600d0642f31ffffffffffff0180ffff01809fff0180ffffffff00a9000000080000000800000151250001000000000000006000000025000000372e9001cc00020f0502020204030204ef0200a07b20004000000000000000009f00000000000000430061006c00690062007200000000000000000064af1100dee32e31e88d0832c4b21100d0ae11009c38273108000000010000000caf11000caf1100e87825310800000034af11000c26e6006476000800000000250000000c00000001000000250000000c00000001000000250000000c00000001000000180000000c00000000000002540000005400000000000000000000000800000010000000010000001886d1411886d141000000000d000000010000004c00000004000000000000000000000072000000480000005000000020009b280900000046000000280000001c0000004744494302000000ffffffffffffffff7300000049000000000000004600000014000000080000004744494303000000250000000c0000000e000080250000000c0000000e0000800e000000140000000000000010000000140000000400000003010800050000000b0200000000050000000c0248007200040000002e0118001c000000fb021000070000000000bc02000000cc0102022253797374656d0000000000000000000000000000000000000000000000000000040000002d010000040000002d01000004000000020101001c000000fb02f1ff0000000000009001000000cc0440002243616c6962726900000000000000000000000000000000000000000000000000040000002d010100040000002d010100040000002d010100050000000902000000020d000000320a0d00000001000400000000007200480020930900040000002d010000040000002d010000030000000000
Тело массой
соскальзывает без трения с наклонной
плоскости, имеющей высоту
.
Какую скорость будет иметь тело у
подножия наклонной плоскости?
РЕШЕНИЕ:
Так как м>0>=0, то на оси ОХ на тело действует лишь проекция силы F>Т> на ось ОХ.
m>a>=F>T>*sina
a=010009000003021c00000000da0f00000000da0f000026060f00aa1f574d464301000000000001005b260000000001000000881f000000000000881f0000010000006c0000000000000000000000ce0000001b00000000000000000000002c150000dc02000020454d4600000100881f00000c00000001000000000000000000000000000000900600001a040000b801000013010000000000000000000000000000c0b6060038320400460000002c00000020000000454d462b014001001c000000100000000210c0db0100000060000000600000004600000008060000fc050000454d462b224004000c000000000000001e4009000c00000000000000244001000c000000000000003040020010000000040000000000803f214007000c000000000000000840000554050000480500000210c0db01000000000000000000000000000000000000000100000089504e470d0a1a0a0000000d49484452000000cf0000001c080200000049497c89000000017352474200aece1ce9000000097048597300000ec400000ec401952b0e1b000004d049444154785eed5a3b6ee3301095f7240ed2a4f021226c23c3edde206e8cb412f60c41dc06db4837486bc44d201ec2459ac0ba89773efc4996e388b27eb18800b1247238433ecee74993c3e1e08d6d5c815656e05753b3886862b748549f284be6f324ab3eaea7237e98394eab0cbead99b68f8320de93ec3434bfbc30bde47c300b9a8df2d390fe0dbafd30738a7be135b5390a6cfb389410902b496742412e0d2df0015c64839b74c10f79a0ba67414a037a1fc761e88c6325df6cb5d4c4e896d353ab44dada08ef85394dede805e43686b61c74a4a296bb230c85e93e853ff67c1674089ffa3a8de3bd069ce5274980940cb339fb4c2d9fd4d02857e28b7a32fa19639641bd31e702a0684c445368d3610df752696f222adf61446a981848e5c32fef2f7733b0b2c056076ba488916f615e2702053dad889d9fb837e6348696ba821baa12c4661dfcf93d052cdd3f3ce03f6c7073763bf5b224c1920192e6cd027ddb6203b540964489f7f00670f27caa28b8b310545d641fdb7071cf77e18748ace201e4f8bbe00e05925c97a6e567efaf1ee9cd3f3c2140335b4f968e66a001fe3ab893d6f5c91c972568674c5db8968d3f4a7b6c57569ee898c02bf320db51186f52b84b4b044e8fbca27b89a05d94898cec6731d64b2f6c02b5ca3f833034ee4f5928bb756a4e135b7a19991310d30eac7fc42ce0c16e5effecdfd05f03c7f374c73fafaa81ddbe971e9e31d6546c23daaa2d18c26db9e531e04caf0f6bd596abd05be56db08a928c8d9264eec2c5d652633083a7985bcad677a8e93d9d2702d2e2ac7491a1d3a9dd3698006810cf2eefa8017c494f24995f224ad3fcf08cd046077646351f64e9cba5a7525f5bbfdcdcb9f7043c5fbfdab0b43dbb76d5cd814dd67bfaf7c35f7a58d8e41ae36c7a3b63041437314b564bcfd0f3543bc159c31c9ae0014356de3f4862b71f2fd164b320be60bd11f61c88347c4265ff0e9e49f2d466aedcd36d79e8cf2e5e131d9cf3d82694a92fd3d91c4de9986d3cf996051f04540e95bc84c14ae788c4cc51a6cc48e95ec569f2d740f3079ec555e699a77ae68ea3bb5c01c33f53b83af94a8f6bf93054af7b8a3a1718449b98e4ae86a83c9ac67ea4ba72de46fc1136f1b294ccd6d1e9aceecceb1f707709c3d2f6ac9d15cd01fe50ef69963cadcd065b3371283ca4336ff1e8ad4ad3a1fb670a81be8eb29a986439c04a6e15e3987deeec69f01173a40cace806e232a36df799e158a42b292a8be83815b3f3e3c219e861ba3c2c6dcfa2cdc11cde5311ad5ec17d9525e22013360e4182f9d821bf89650820729da123e101e09324be069e88b852c07c9055a012c2df852124882af6c24d08de92b9747ee7d865f818e7362ba0bf800853a74f630c3bcdb890920bf0c865764794bed68105e0e5c8b79df52b43eb009e04ea4045bed6e0622f6f7843ef492fafe828f17b2b80699a099c228257b9f1a34e9fbe27a3b15ea36f6b6c69bb128cde8cd22b6cfd7adfd1b56fe3622b12b2e882ecf3342bddd5f67d356f0ff5c74252b77e15701da34dbc131dbdf6b116076268bbbc41eed924987d4498a5d3d0f56f7b793bafe4ce7cc9d8b97ee71418bafee7ecbbe4f38e7d1b9cadafbe646cfbe8b9cc3774fd5d6c761dd339daf86b5c449dfa6c164d8188badab8dad4eab8a1ebdfea628d3569abcb7de59375eedbae7cfdafcbfc116dd7b5dfdd5afb1f2ee4bb1ca6a3614b0000000049454e44ae426082000840010824000000180000000210c0db01000000030000000000000000000000000000001b40000040000000340000000100000002000000000000bf000000bf00004f430000e04103000000000000b3000000b3ffff4e43000000b3000000b3ffffdf412100000008000000620000000c00000001000000150000000c00000004000000150000000c00000004000000510000001c1800000000000000000000ce0000001b00000000000000000000000000000000000000cf0000001c000000500000000c0100005c010000c0160000000000002000cc00cf0000001c00000028000000cf0000001c0000000100080000000000000000000000000000000000390000000000000000000000ffffff0074bfff00bf740000dfffff0048489c00ffdf9c00df9c4800bfffff0074007400ffffbf0000489c009c480000ffffdf009cdfff009c484800749cdf00000048007474bf0074000000bfffbf0000007400749c9c00489cdf0074bfdf00bf744800bfbfdf009c749c009c9cbf009cdfdf009c487400ffbf74000074bf0074489c00480048004874bf00480074009c9cdf00ffbfbf00dfffdf00bf9c4800ffbf9c00dfffbf004800000048747400489c9c00749cbf00dfdf9c00747474000048480048749c00744800009c747400740048009cdfbf004848740074bfbf0001010101010101010101010101010101010101010101010101010101010101010101010101010101010101010101010101010101010101010101010101010101010101010101010101010101010101010101010101010101010101010101010101010101010101010101010101010101010101010101010101010101010101010101010101010101010101010101010101010101010101010101010101010101010101010101010101010101010101010101010101010101010101010101010101010101010101010101010101010186010101010101010101010101010101010101010101010101010101010101010101010101010101010101010101010101010101010101010101010101010101010101010101010101010101010101010101010101010101010101010101010101010101010101010101010101010101010101010101010101010101010101010101010101010101010101010101010101010101010101010101010101010101010101010101010101010101010101010101010101010101010101010101010101010101010101010101010101010101860101010101010101010101010101010101010101010101010101010101010101010101010101010101010101010101010101010101010101010101010101010101010101010101010101010101010101010101010101010101010101010101010101010101010101010101010101010101010101010101010101010101010101010101010101010101010101010101010101010101010101010101010101010101010101010101010101010101010101010101010101010101010101010101010101010101010101010101010101018601010101010101010101010101010101010101010101010101010101010101010101010101010101010108090a040506011700190d010101010101010101010101010101010101010101010101010101010101010101010101010101010101010101010101010101010108090a040506011700190d0101010101010101010101010101010101010101010101010101010101010101010101010101010101010101010101010101010101010101010101010101010101010101010101010101010101010101010101010101010101018601010101010101010101010101010101010101010101010101010101010101010101010101010101010101201f0117070117071a0d010101010101010101010101010101010101010101010101010101010101010101010101010101010101010101010101010101010101201f0117070117071a0d01010101010101010101010101010101010101010101010101010101010101010101010101010101010101010101010101010101010101010101010101010101010101010101010101010101010101010101010101010101010186010101010101010101010101010101010101010101010101010101010101010101010101010101010101011703010e0f0d0e0f0d010101010101010101010101010101010101010101010101010101010101010101010101010101010101010101010101010101010101011703010e0f0d0e0f0d01010101010101010101010101010101010101010101010101010101010101010101010101010101010101010101010101010101010101010101010101010101010101010101010101010101010101010101010101010101010101860101010101010101010101010101010101010101010101010101010101010101010101010101010101011c1d110708150304210a0101010101010101010101010101010101010101010101010101010101010101010101010101010101010101010101010101010101011c1d110708150304210a01010101010101010101010101010101010101010101010101010101010101010101010101010101010101010101010101010101010101010101010101010101010101010101010101010101010101010101010101010101010101860101010101010101010101010101010101010101010101010101010101010101010101010101010101010e110317000c1800130a0101010101010101010101010101010101010101010101010101010101010101010101010101010101010101010101010101010101010e110317000c1800130a01010101010101010101010101010101010101010101010101010101010101010101010101010101010101010101010101010101010101010101010101010101010101010101010101010101010101010101010101010101010101860101010101010101010101010101010101010101010101010101010101010101010101010101010101010101010101010101010101010101010101010101010101010101010101010101010101010101010101010101010101010101010101010101010101010101010101010101010101010101010101010101010101010101010101010101010101010101010101010101010101010101010101020000002b06010101010101010101010101010101010101010101010101010101010101010101010101010101010101010101018601010101010101010101010101010101010101010101010101010101010101010101010101010101010101010101010101010101010101010101010101010101010101010101010101010101010101010101010101010101010101010101010101010101010101010101010101010101010101010101010101010101010101010101010101010101010101010101010101010101010101010101040b070101022b0601010101010101010101010101010101010101010101010101010101010101010101010101010101010101010186010101010101010101010101010101010101010101010101010101010101010101010101010101010101010101010101010101010101010101010101010101010101010101010101010101010101010101010101010101010101010101010101010101010101010101010101010101010101010101010101010101010101010101010101010101010101010101010101010101010101010101010102030101012003010101010101010101010101010101010101010101010101010101010101010101010101010101010101010101860120002b2f0b001f01010101010101010101010101010101010101010101010101010101010101010101010101010101010101010101010101010101010101010101010101010101010101010101010101010101010101010101010101010101010101010101010101010101010101010101010101010101010101010101010101010101010101010101010101010101010101010101010101010101040b0013380c0d010101010101010101010101010101200000000c0d01040b001f0108151f01012000030101040b000007040b860e2206040b2b062306010101010101010101010101010101010101010101010101010101010101010101010101010101010101010101010101010101010101010101010101010101010101010101010101010101010101010101010101010101010101010101010101010101010101010101010101010101010101010101010101010101010101010101010101010101010101010101010101010101022b06083722060101010101010104210a0101010101020701040b070108151f230601200701040b07021f01020c0d01203334860e350a0108151f010101010101040b000000000000002b060101010101010101010101010101010101010101010101010101010101010101010101010101010101010101010101040b000000000000002b0601010101010101010101010101010101010101010101010101010101010101010101010101010101010101010101010101010101010101010101040b000000000000002b06010101010102130a010e111f010101010104050612362206010101010101040b070101201f010101170c0d0117030101011703010101200c860e22060101170301010101010101010101010101010101010101010101010101010101010101010101010101010101010101010101010101010101010101010101010101010101010101010101010101010101010101010101010101010101010101010101010101010101010101010101010101010101010101010101010101010101010101010101010101010101010101010101010101010101010e220601012007010101010101040b33340d01010101010102000301010117030101010e350a01020c0d01010e350a0101040bff040b030101020c0d01010101010101010101010101010101010101010000000000000000000000000000000000000000000000000000000000000000000000000000000101010101010101010101010101010101010100000000000000000000000000000000000000000000000000000000000000000000000000000000000000000000000000000101010101010101010101010101010101010101040b070101020c0d01010101010824312b06010101010102130a010101010e0f0d010108150301082406010101200701010432ff010e111f01022b060101010101040b000000000000002b060101010101010101010101010101010101010101010101010101010101010101010101010101010101010101010101040b000000000000002b0601010101010101010101010101010101010101010101010101010101010101010101010101010101010101010101010101010101010101010101040b000000000000002b0601010101010102001f0102130a0101010104210a122a050601010101170c0d0123060108240604052f0b300308151f01010108151f010e19ff01010e1100132d1f0101010101010101010101010101010101010101010101010101010101010101010101010101010101010101010101010101010101010101010101010101010101010101010101010101010101010101010101010101010101010101010101010101010101010101010101010101010101010101010101010101010101010101010101010101010101010101010101010101010101010e11000c2e0601010101010104210a010101010101040b00000007040b001f01040b2b060200130a01010101012000001fff010101010101010101010101010101010101010101010101010101010101010101010101010101010101010101010101010101010101010101010101010101010101010101010101010101010101010101010101010101010101010101010101010101010117000000070101010101010101010101010101010101010101010101010101010101010101010101010101010101010101010101010101010101010101010101010101010101010101010101010101010101010101010101010101010101010101010101010101010101ff01010101010101010101010101010101010101010101010101010101010101010101010101010101010101010101010101010101010101010101010101010101010101010101010101010101010101010101010101010101010101010101010101010101040b0701082406010101010101010101010101010101010101010101010101010101010101010101010101010101010101010101010101010101010101010101010101010101010101010101010101010101010101010102130a0101010101010101010101010101010101ff010101010101010101010101010101010101010101010101010101012000030101010108150007010101120a012000000c0d0815130a0824060120001f012000132a0b0c0d010101010101010101010101010101010108090a040506011700190d01120a010117002b2c0701010101120a012000000c0d0815130a0824060120001f012000132a0b0c0d010101010101010101010101010101010101010101010101010101010101010101010101010101010101010101010101010101010101010101010101010101010101010101ff010101010101010101010101010101010101010101010101010101010824060101010108090a250a0e191a1807100601201f0809142601201f01201f1c27210a0e22280e29010101010101010101010101010101010101201f0117070117071a1d191a180701201f040b0c0d010e191a1807100601201f0809142601201f01201f1c27210a0e22280e29010101010101010101010101010101010101010101010101010101010101010101010101010101010101010101010101010101010101010101010101010101010101010101ff01010101010101010101010101010101010101010101010101010101012007011c0d0101230601010102000301010e110301012306010117030102030104210a01020301010101010101010101010101010101010101011703010e0f0d0e0f0d01020003010120070108090a010102000301010e110301012306010117030102030104210a0102030101010101010101010101010101010101010101010101010101010101010101010101010101010101010101010101010101010101010101010101010101010101010101010101ff0101010101010101010101010101010101010101010101010101010101020000130a0101170701010e191a1807040506041b0d1707011c1d1103081e0d01171f0101201f0101010101010101010101010101010101011c1d110708150304210a0e191a1807010e2206040506010e191a1807040506041b0d1707011c1d1103081e0d01171f0101201f01010101010101010101010101010101010101010101010101010101010101010101010101010101010101010101010101010101010101010101010101010101010101010101ff01010101010101010101010101010101010101010101010101010101010e0f0d1006010e110000030101120a010102000013141503010e110302000c0d010405060416090a01010101010101010101010101010101010e110317000c1800130a0101120a0101010e11000007010101120a010102000013141503010e110302000c0d010405060416090a010101010101010101010101010101010101010101010101010101010101010101010101010101010101010101010101010101010101010101010101010101010101010101ff01010101010101010101010101010101010101010101010101010101010405060102070108090a010101010101010101010101010101010101010101010101040b0007020c0d0101010101010101010101010101010101010101010101010101010101010101010101010101010101010101010101010101010101010101010101010101040b0007020c0d0101010101010101010101010101010101010101010101010101010101010101010101010101010101010101010101010101010101010101010101010101010101010101ff010101010101010101010101010101010101010101010101010101010102000000000301010101010101010101010101010101040506010101010101010101010101010101010101010101010101010101010101010101010101010101010101010101010101010101010101010101010101010101010101040506010101010101010101010101010101010101010101010101010101010101010101010101010101010101010101010101010101010101010101010101010101010101010101010101010101010101010101010101ff010101010101010101010101010101010101010101010101010101010101010101010101010101010101010101010101010101010101010101010101010101010101010101010101010101010101010101010101010101010101010101010101010101010101010101010101010101010101010101010101010101010101010101010101010101010101010101010101010101010101010101010101010101010101010101010101010101010101010101010101010101010101010101010101010101010101010101010101010101ff4c000000640000000000000000000000ce0000001b0000000000000000000000cf0000001c0000002900aa0000000000000000000000803f00000000000000000000803f0000000000000000000000000000000000000000000000000000000000000000220000000c000000ffffffff460000001c00000010000000454d462b024000000c000000000000000e000000140000000000000010000000140000000400000003010800050000000b0200000000050000000c021c00cf00030000001e0004000000070104000400000007010400f30b0000410b2000cc001c00cf00000000001c00cf000000000028000000cf0000001c0000000100080000000000000000000000000000000000390000000000000000000000ffffff0074bfff00bf740000dfffff0048489c00ffdf9c00df9c4800bfffff0074007400ffffbf0000489c009c480000ffffdf009cdfff009c484800749cdf00000048007474bf0074000000bfffbf0000007400749c9c00489cdf0074bfdf00bf744800bfbfdf009c749c009c9cbf009cdfdf009c487400ffbf74000074bf0074489c00480048004874bf00480074009c9cdf00ffbfbf00dfffdf00bf9c4800ffbf9c00dfffbf004800000048747400489c9c00749cbf00dfdf9c00747474000048480048749c00744800009c747400740048009cdfbf004848740074bfbf0001010101010101010101010101010101010101010101010101010101010101010101010101010101010101010101010101010101010101010101010101010101010101010101010101010101010101010101010101010101010101010101010101010101010101010101010101010101010101010101010101010101010101010101010101010101010101010101010101010101010101010101010101010101010101010101010101010101010101010101010101010101010101010101010101010101010101010101010101010186010101010101010101010101010101010101010101010101010101010101010101010101010101010101010101010101010101010101010101010101010101010101010101010101010101010101010101010101010101010101010101010101010101010101010101010101010101010101010101010101010101010101010101010101010101010101010101010101010101010101010101010101010101010101010101010101010101010101010101010101010101010101010101010101010101010101010101010101010101860101010101010101010101010101010101010101010101010101010101010101010101010101010101010101010101010101010101010101010101010101010101010101010101010101010101010101010101010101010101010101010101010101010101010101010101010101010101010101010101010101010101010101010101010101010101010101010101010101010101010101010101010101010101010101010101010101010101010101010101010101010101010101010101010101010101010101010101010101018601010101010101010101010101010101010101010101010101010101010101010101010101010101010108090a040506011700190d010101010101010101010101010101010101010101010101010101010101010101010101010101010101010101010101010101010108090a040506011700190d0101010101010101010101010101010101010101010101010101010101010101010101010101010101010101010101010101010101010101010101010101010101010101010101010101010101010101010101010101010101018601010101010101010101010101010101010101010101010101010101010101010101010101010101010101201f0117070117071a0d010101010101010101010101010101010101010101010101010101010101010101010101010101010101010101010101010101010101201f0117070117071a0d01010101010101010101010101010101010101010101010101010101010101010101010101010101010101010101010101010101010101010101010101010101010101010101010101010101010101010101010101010101010186010101010101010101010101010101010101010101010101010101010101010101010101010101010101011703010e0f0d0e0f0d010101010101010101010101010101010101010101010101010101010101010101010101010101010101010101010101010101010101011703010e0f0d0e0f0d01010101010101010101010101010101010101010101010101010101010101010101010101010101010101010101010101010101010101010101010101010101010101010101010101010101010101010101010101010101010101860101010101010101010101010101010101010101010101010101010101010101010101010101010101011c1d110708150304210a0101010101010101010101010101010101010101010101010101010101010101010101010101010101010101010101010101010101011c1d110708150304210a01010101010101010101010101010101010101010101010101010101010101010101010101010101010101010101010101010101010101010101010101010101010101010101010101010101010101010101010101010101010101860101010101010101010101010101010101010101010101010101010101010101010101010101010101010e110317000c1800130a0101010101010101010101010101010101010101010101010101010101010101010101010101010101010101010101010101010101010e110317000c1800130a01010101010101010101010101010101010101010101010101010101010101010101010101010101010101010101010101010101010101010101010101010101010101010101010101010101010101010101010101010101010101860101010101010101010101010101010101010101010101010101010101010101010101010101010101010101010101010101010101010101010101010101010101010101010101010101010101010101010101010101010101010101010101010101010101010101010101010101010101010101010101010101010101010101010101010101010101010101010101010101010101010101010101020000002b06010101010101010101010101010101010101010101010101010101010101010101010101010101010101010101018601010101010101010101010101010101010101010101010101010101010101010101010101010101010101010101010101010101010101010101010101010101010101010101010101010101010101010101010101010101010101010101010101010101010101010101010101010101010101010101010101010101010101010101010101010101010101010101010101010101010101010101040b070101022b0601010101010101010101010101010101010101010101010101010101010101010101010101010101010101010186010101010101010101010101010101010101010101010101010101010101010101010101010101010101010101010101010101010101010101010101010101010101010101010101010101010101010101010101010101010101010101010101010101010101010101010101010101010101010101010101010101010101010101010101010101010101010101010101010101010101010101010102030101012003010101010101010101010101010101010101010101010101010101010101010101010101010101010101010101860120002b2f0b001f01010101010101010101010101010101010101010101010101010101010101010101010101010101010101010101010101010101010101010101010101010101010101010101010101010101010101010101010101010101010101010101010101010101010101010101010101010101010101010101010101010101010101010101010101010101010101010101010101010101040b0013380c0d010101010101010101010101010101200000000c0d01040b001f0108151f01012000030101040b000007040b860e2206040b2b062306010101010101010101010101010101010101010101010101010101010101010101010101010101010101010101010101010101010101010101010101010101010101010101010101010101010101010101010101010101010101010101010101010101010101010101010101010101010101010101010101010101010101010101010101010101010101010101010101010101022b06083722060101010101010104210a0101010101020701040b070108151f230601200701040b07021f01020c0d01203334860e350a0108151f010101010101040b000000000000002b060101010101010101010101010101010101010101010101010101010101010101010101010101010101010101010101040b000000000000002b0601010101010101010101010101010101010101010101010101010101010101010101010101010101010101010101010101010101010101010101040b000000000000002b06010101010102130a010e111f010101010104050612362206010101010101040b070101201f010101170c0d0117030101011703010101200c860e22060101170301010101010101010101010101010101010101010101010101010101010101010101010101010101010101010101010101010101010101010101010101010101010101010101010101010101010101010101010101010101010101010101010101010101010101010101010101010101010101010101010101010101010101010101010101010101010101010101010101010101010e220601012007010101010101040b33340d01010101010102000301010117030101010e350a01020c0d01010e350a0101040bff040b030101020c0d01010101010101010101010101010101010101010000000000000000000000000000000000000000000000000000000000000000000000000000000101010101010101010101010101010101010100000000000000000000000000000000000000000000000000000000000000000000000000000000000000000000000000000101010101010101010101010101010101010101040b070101020c0d01010101010824312b06010101010102130a010101010e0f0d010108150301082406010101200701010432ff010e111f01022b060101010101040b000000000000002b060101010101010101010101010101010101010101010101010101010101010101010101010101010101010101010101040b000000000000002b0601010101010101010101010101010101010101010101010101010101010101010101010101010101010101010101010101010101010101010101040b000000000000002b0601010101010102001f0102130a0101010104210a122a050601010101170c0d0123060108240604052f0b300308151f01010108151f010e19ff01010e1100132d1f0101010101010101010101010101010101010101010101010101010101010101010101010101010101010101010101010101010101010101010101010101010101010101010101010101010101010101010101010101010101010101010101010101010101010101010101010101010101010101010101010101010101010101010101010101010101010101010101010101010101010e11000c2e0601010101010104210a010101010101040b00000007040b001f01040b2b060200130a01010101012000001fff010101010101010101010101010101010101010101010101010101010101010101010101010101010101010101010101010101010101010101010101010101010101010101010101010101010101010101010101010101010101010101010101010101010117000000070101010101010101010101010101010101010101010101010101010101010101010101010101010101010101010101010101010101010101010101010101010101010101010101010101010101010101010101010101010101010101010101010101010101ff01010101010101010101010101010101010101010101010101010101010101010101010101010101010101010101010101010101010101010101010101010101010101010101010101010101010101010101010101010101010101010101010101010101040b0701082406010101010101010101010101010101010101010101010101010101010101010101010101010101010101010101010101010101010101010101010101010101010101010101010101010101010101010102130a0101010101010101010101010101010101ff010101010101010101010101010101010101010101010101010101012000030101010108150007010101120a012000000c0d0815130a0824060120001f012000132a0b0c0d010101010101010101010101010101010108090a040506011700190d01120a010117002b2c0701010101120a012000000c0d0815130a0824060120001f012000132a0b0c0d010101010101010101010101010101010101010101010101010101010101010101010101010101010101010101010101010101010101010101010101010101010101010101ff010101010101010101010101010101010101010101010101010101010824060101010108090a250a0e191a1807100601201f0809142601201f01201f1c27210a0e22280e29010101010101010101010101010101010101201f0117070117071a1d191a180701201f040b0c0d010e191a1807100601201f0809142601201f01201f1c27210a0e22280e29010101010101010101010101010101010101010101010101010101010101010101010101010101010101010101010101010101010101010101010101010101010101010101ff01010101010101010101010101010101010101010101010101010101012007011c0d0101230601010102000301010e110301012306010117030102030104210a01020301010101010101010101010101010101010101011703010e0f0d0e0f0d01020003010120070108090a010102000301010e110301012306010117030102030104210a0102030101010101010101010101010101010101010101010101010101010101010101010101010101010101010101010101010101010101010101010101010101010101010101010101ff0101010101010101010101010101010101010101010101010101010101020000130a0101170701010e191a1807040506041b0d1707011c1d1103081e0d01171f0101201f0101010101010101010101010101010101011c1d110708150304210a0e191a1807010e2206040506010e191a1807040506041b0d1707011c1d1103081e0d01171f0101201f01010101010101010101010101010101010101010101010101010101010101010101010101010101010101010101010101010101010101010101010101010101010101010101ff01010101010101010101010101010101010101010101010101010101010e0f0d1006010e110000030101120a010102000013141503010e110302000c0d010405060416090a01010101010101010101010101010101010e110317000c1800130a0101120a0101010e11000007010101120a010102000013141503010e110302000c0d010405060416090a010101010101010101010101010101010101010101010101010101010101010101010101010101010101010101010101010101010101010101010101010101010101010101ff01010101010101010101010101010101010101010101010101010101010405060102070108090a010101010101010101010101010101010101010101010101040b0007020c0d0101010101010101010101010101010101010101010101010101010101010101010101010101010101010101010101010101010101010101010101010101040b0007020c0d0101010101010101010101010101010101010101010101010101010101010101010101010101010101010101010101010101010101010101010101010101010101010101ff010101010101010101010101010101010101010101010101010101010102000000000301010101010101010101010101010101040506010101010101010101010101010101010101010101010101010101010101010101010101010101010101010101010101010101010101010101010101010101010101040506010101010101010101010101010101010101010101010101010101010101010101010101010101010101010101010101010101010101010101010101010101010101010101010101010101010101010101010101ff010101010101010101010101010101010101010101010101010101010101010101010101010101010101010101010101010101010101010101010101010101010101010101010101010101010101010101010101010101010101010101010101010101010101010101010101010101010101010101010101010101010101010101010101010101010101010101010101010101010101010101010101010101010101010101010101010101010101010101010101010101010101010101010101010101010101010101010101010101ff0c00000040092900aa000000000000001c00cf0000000000040000002701ffff030000000000
Путь S пройденный телом до конца наклонной плоскости:
S=h/sina
Зная выражение пути равноускоренного движения:

Выразим V:
так как V>0>=0
Полная энергия тела возросла
на
.
На сколько при этом изменилась его
масса?
РЕШЕНИЕ:
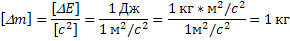
Согласно теории относительности полная энергия тела определяется выражением:
E=m*c2 (1)
Где m – релятивистская масса тела, с – скорость света в вакууме (с=3*108 м/c)
Из выражения (1) получаем:
(2)
При увеличении полной энергии тела на DЕ масса тела, согласно (2), возрастает на величину:

Проверим размерность:

Подставим численные значения и произведем вычисления:

0100090000032a0200000200a20100000000a201000026060f003a03574d4643010000000000010099d10000000001000000180300000000000018030000010000006c000000000000000000000008000000100000000000000000000000a90b00005e07000020454d4600000100180300001200000002000000000000000000000000000000900600001a040000b801000013010000000000000000000000000000c0b6060038320400160000000c000000180000000a00000010000000000000000000000009000000100000007200000048000000250000000c0000000e000080250000000c0000000e000080120000000c00000001000000520000007001000001000000f1ffffff00000000000000000000000090010000000000cc04400022430061006c00690062007200690000000000000000000000000000000000000000000000000000000000000000000000000000000000000000000000000000000000110040ae110010000000a4b1110024af110052516032a4b111009cae1100100000000cb0110088b1110024516032a4b111009cae11002000000049642f319cae1100a4b1110020000000ffffffff0c26e600d0642f31ffffffffffff0180ffff01809fff0180ffffffff00a9000000080000000800000151250001000000000000006000000025000000372e9001cc00020f0502020204030204ef0200a07b20004000000000000000009f00000000000000430061006c00690062007200000000000000000064af1100dee32e31e88d0832c4b21100d0ae11009c38273108000000010000000caf11000caf1100e87825310800000034af11000c26e6006476000800000000250000000c00000001000000250000000c00000001000000250000000c00000001000000180000000c00000000000002540000005400000000000000000000000800000010000000010000001886d1411886d141000000000d000000010000004c00000004000000000000000000000072000000480000005000000020009b280900000046000000280000001c0000004744494302000000ffffffffffffffff7300000049000000000000004600000014000000080000004744494303000000250000000c0000000e000080250000000c0000000e0000800e000000140000000000000010000000140000000400000003010800050000000b0200000000050000000c0248007200040000002e0118001c000000fb021000070000000000bc02000000cc0102022253797374656d0000000000000000000000000000000000000000000000000000040000002d010000040000002d01000004000000020101001c000000fb02f1ff0000000000009001000000cc0440002243616c6962726900000000000000000000000000000000000000000000000000040000002d010100040000002d010100040000002d010100050000000902000000020d000000320a0d00000001000400000000007200480020930900040000002d010000040000002d010000030000000000
Одинаковые по величине заряды q>1>, q>2> и q>3> находятся в трех вершинах квадрата. Как направлена сила, действующая на заряд q>2> со стороны двух других зарядов? Ответ обосновать.
РЕШЕНИЕ:
Из закона Кулона следует, что разноименные заряды притягиваются. Следовательно F>R>>1,2>, действующая со стороны первого заряда на второй заряд, направлена по линии, соединяющей эти два заряда от второго к первому. Аналогично и сила F>R>>2,3> направлена от второго к третьему. Так как заряды q1=q3 и расстояния Sq1q2=Sq2q3,

то по закону Кулона следует, что F>R>>1,2 >по модулю равна F>R>>2,3 >
Используя принцип суперпозиции сил проведем векторное сложение F>R>>1,2> и F>R>>2,3>
F= F>R>>1,2 >+ F>R>>2,3>
Таким образом, сила F будет направлена по диагонали квадрата, как показано на рисунке.

Незаряженное металлическое
тело М, смотри рисунок, внесли в
электрическое поле положительного
заряда
,
а затем разделили на две части
и
.
Каким зарядом обладают части тела
и
после их разделения?

РЕШЕНИЕ:
После внесения незаряженного металлического тела М в электрическое поле положительного заряда q, в зону I согласно закону Кулона начнут притягиваться свободные отрицательно заряженные частицы тела М (электроны), а в зону II – положительно заряженные частицы (условно «дырки»). Таким образом после разделения тела М в его I части скопится отрицательный заряд, равный по модулю положительному заряду, скопившемуся в части II.
Электростатическое поле создается равномерно заряженной бесконечной плоскостью. Покажите, что это поле является однородным.
РЕШЕНИЕ:
Пусть поверхностная плотность заряда равна s. Очевидно что вектор Е может быть только перпендикулярным заряженной плоскости. Кроме того очевидно, что в симметричных относительно этой плоскости точках вектор Е одинаков по модулю и противоположен по направлению. Такая конфигурация поля подсказывает, что в качестве замкнутой поверхности следует выбрать прямой цилиндр, где предполагается что s больше нуля. Поток сквозь боковую поверхность этого цилиндра равен нулю, и поэтому полный поток через всю поверхность цилиндра будет равным 2*Е*DS, где DS – площадь каждого торца. Согласно теореме Гаусса
2*Е*DS=s*DS,
где s*DS – заряд заключенный внутри цилиндра.
Откуда
Е=s/2*Ео.
Точнее это выражение следует записать так:
Еn=s/2*Eo,
где Еn – проекция вектора Е на нормаль n к заряженной плоскости, причем вектор n направлен от этой плоскости.
Тот факт, что Е не зависит от расстояния до плоскости, означает, что соответствующее электрическое поле является однородным.
Из медной проволоки изготовлена четверть окружности радиусом 56 см. По проволоке равномерно распределен заряд с линейной плотностью 0,36 нКл/м. Найдите потенциал в центре окружности.
РЕШЕНИЕ:
Так как заряд линейно распределен по проволоке для нахождения потенциала в центре воспользуемся формулой:

Где s - линейная плотность заряда, dL – элемент проволоки.


В электрическом поле, созданном точечным зарядом Q, по силовой линии из точки расположенной на расстоянии r>1> от заряда Q в точку, расположенную на расстоянии r>2>, перемещается отрицательный заряд -q. Найдите приращение потенциальной энергии заряда -q на этом перемещении.
РЕШЕНИЕ:
По определению потенциал – это величина, численно равная потенциальной энергии единичного положительного заряда в данной точке поля. Следовательно потенциальная энергия заряда q>2>:

Отсюда

Два одинаковых элемента с э.д.с. 1,2 В и внутренним сопротивлением 0,5 Ом соединены параллельно. Полученная батарея замкнута на внешнее сопротивление 3,5 Ом. Найдите силу тока во внешней цепи.
РЕШЕНИЕ:
Согласно закону Ома для всей цепи сила тока во внешней цепи:

Где E` - ЭДС батареи элементов,
r` - внутреннее сопротивление батареи, которое равно:

ЭДС батареи равна сумме ЭДС трех последовательно соединенных элементов:
E`=E+E+E=3E
Следовательно:


12 В электрическую цепь включены последовательно медная и стальная проволоки равной длины и диаметра. Найдите отношение количеств тепла выделяющегося в этих проволоках.
РЕШЕНИЕ:
Рассмотрим проволоку длиной L и диаметром d, изготовленную из материала с удельным сопротивление p. Сопротивление проволоки R можно найти по формуле

Где s=010009000003c80700000000f00400000000f004000026060f00d609574d4643010000000000010015d10000000001000000b409000000000000b4090000010000006c0000000000000000000000260000001b0000000000000000000000fc030000dc02000020454d4600000100b40900000c00000001000000000000000000000000000000900600001a040000b801000013010000000000000000000000000000c0b6060038320400460000002c00000020000000454d462b014001001c000000100000000210c0db01000000600000006000000046000000d4020000c8020000454d462b224004000c000000000000001e4009000c00000000000000244001000c000000000000003040020010000000040000000000803f214007000c000000000000000840000520020000140200000210c0db01000000000000000000000000000000000000000100000089504e470d0a1a0a0000000d49484452000000270000001c08020000006d7c310c000000017352474200aece1ce9000000097048597300000ec400000ec401952b0e1b0000019a49444154484bed563b6ec3300ca57b12175932e41029ba24e89a1bb44bd055be85f72ef60db21af5525887c8e0a5906ea252d4d78891816e11a0082743fc3c3efa592618960d0200768d62251b03cc3c33083ea879c09e3926bb7ab32a3999368789aabfcfe265cb0565a2eaaf13acd94cb95cf50887e7524ac964cb9c30f46f8f4507dc1917a86166c30bd2b85c1740f235bc0c94a9e185a0374abfabe9af07ffbfbf1c5915def6ad765f8e6ef7eea89a5eac31d4465a4bb94538bafa325c615f550c780f0ea21fb19631aad9b91f343e00b9c8e23146823f1f44f2a77580168b68d39f3d56c95254230809722c4c9f5b1052e60c2a39a95a28e95b0e6dc48aae3a45116a704cc926ceb1dbc42ad6524ae130302281da32de1ff71c7be60d5d13ae590317639eee57f954dc28d218b22a1836f74a706f2a571ba83b2b23dc107a5c8650024e2af870848fcfd71255448a90d5a586747b3c1ddeb7b23bafa1ad6c9e1e7bc74a564f35ee395a4aa7c5cc2c8738386accf79acd04c3bd0063a2a710385370987a28271a1aeb8c54eef7f0d54fff179cb7b9877f00bdaad075297a99ca0000000049454e44ae4260820000000840010824000000180000000210c0db01000000030000000000000000000000000000001b40000040000000340000000100000002000000000000bf000000bf00001c420000e04103000000000000b3000000b3ffff1b42000000b3000000b3ffffdf412100000008000000620000000c00000001000000150000000c00000004000000150000000c00000004000000510000007c0500000000000000000000260000001b00000000000000000000000000000000000000270000001c00000050000000cc0000001c01000060040000000000002000cc00270000001c00000028000000270000001c0000000100080000000000000000000000000000000000290000000000000000000000ffffff000074bf0048000000ffdf9c00bfffff009c487400ffffdf0074bfff00bf740000489cdf00ffbf7400dfffff0048489c00bfffdf00ffbfbf000000740074000000ffffbf009cdfff00000048009c48000000489c009c4848007474bf00df9c480074489c00df9c740074004800bf744800749cdf00dfdf9c009c749c009cdfdf00dfdfff00bf747400749cbf00dfffbf00dfbfbf00480074009c740000010101010101010101010101010101010101010101010101010101010101010101010101010101ff010101010101010101010101010101010101010101010101010101010101010101010101010101ff010101010101010101010101010101010101010101010101010101010101010101010101010101ff010101010101010101010101010101010101010101010101010101010101010101010101010101ff0108000009010a1913140000000b05100000090105270413141901051000281603040101010101ff05100b0c160b0a19010a1901080b0506070102190113170e062404081507081125260101010101ff131c12010a19010101010a19010101010101021901010a0b18120113170701020b010101010101ff131707010a0901010101010a0b0101020000150701220e23131b010c1619010819011314000019ff131c1201021901010101010c1a1201181201010101131d1e1f2007010c1600001507010815211bff0c0d040c160b010113170705100b01181201010101010800000000190101010c1a120101131b01ff011314000901010101080000150701020000030401010101010101010101010a000b080901020bff010101010101010101010101010101010101010101010101010101010101010101010800000304ff010101010101010101010101010101010101010101010101010101010101010101010101010101ff010101010101010101010101010101010101010101010101010101010101010101010101010101ff010101010101010101010101010101010101010101010101010101010101010101010101010101ff010101010101010101010101010101010101010101010101010101010101010101010101010101ff000000000000000000000000000000000000000000000000000000000000000000000000000000ff010101010101010101010101010101010101010101010101010101010101010101010101010101ff010101010101010101010101010101010101010101010101010101010101010101010101010101ff010101010101010101010101010101010101010101010101010101010101010101010101010101ff010101010101010101010101010101010101010101010101010101010101010101010101010101ff010101010101010101010101010101010105101112010101010101010101010101010101010101ff010101010101010101010101010101010105060e0f010101010101010101010101010101010101ff01010101010101010101010101010101010c0d0401010101010101010101010101010101010101ff0101010101010101010101010101010101010a0b01010101010101010101010101010101010101ff010101010101010101010101010101010101080901010101010101010101010101010101010101ff010101010101010101010101010101010101050607010101010101010101010101010101010101ff010101010101010101010101010101010101020304010101010101010101010101010101010101ff4c000000640000000000000000000000260000001b0000000000000000000000270000001c0000002900aa0000000000000000000000803f00000000000000000000803f0000000000000000000000000000000000000000000000000000000000000000220000000c000000ffffffff460000001c00000010000000454d462b024000000c000000000000000e000000140000000000000010000000140000000400000003010800050000000b0200000000050000000c021c002700030000001e0004000000070104000400000007010400a3020000410b2000cc001c002700000000001c0027000000000028000000270000001c0000000100080000000000000000000000000000000000290000000000000000000000ffffff000074bf0048000000ffdf9c00bfffff009c487400ffffdf0074bfff00bf740000489cdf00ffbf7400dfffff0048489c00bfffdf00ffbfbf000000740074000000ffffbf009cdfff00000048009c48000000489c009c4848007474bf00df9c480074489c00df9c740074004800bf744800749cdf00dfdf9c009c749c009cdfdf00dfdfff00bf747400749cbf00dfffbf00dfbfbf00480074009c740000010101010101010101010101010101010101010101010101010101010101010101010101010101ff010101010101010101010101010101010101010101010101010101010101010101010101010101ff010101010101010101010101010101010101010101010101010101010101010101010101010101ff010101010101010101010101010101010101010101010101010101010101010101010101010101ff0108000009010a1913140000000b05100000090105270413141901051000281603040101010101ff05100b0c160b0a19010a1901080b0506070102190113170e062404081507081125260101010101ff131c12010a19010101010a19010101010101021901010a0b18120113170701020b010101010101ff131707010a0901010101010a0b0101020000150701220e23131b010c1619010819011314000019ff131c1201021901010101010c1a1201181201010101131d1e1f2007010c1600001507010815211bff0c0d040c160b010113170705100b01181201010101010800000000190101010c1a120101131b01ff011314000901010101080000150701020000030401010101010101010101010a000b080901020bff010101010101010101010101010101010101010101010101010101010101010101010800000304ff010101010101010101010101010101010101010101010101010101010101010101010101010101ff010101010101010101010101010101010101010101010101010101010101010101010101010101ff010101010101010101010101010101010101010101010101010101010101010101010101010101ff010101010101010101010101010101010101010101010101010101010101010101010101010101ff000000000000000000000000000000000000000000000000000000000000000000000000000000ff010101010101010101010101010101010101010101010101010101010101010101010101010101ff010101010101010101010101010101010101010101010101010101010101010101010101010101ff010101010101010101010101010101010101010101010101010101010101010101010101010101ff010101010101010101010101010101010101010101010101010101010101010101010101010101ff010101010101010101010101010101010105101112010101010101010101010101010101010101ff010101010101010101010101010101010105060e0f010101010101010101010101010101010101ff01010101010101010101010101010101010c0d0401010101010101010101010101010101010101ff0101010101010101010101010101010101010a0b01010101010101010101010101010101010101ff010101010101010101010101010101010101080901010101010101010101010101010101010101ff010101010101010101010101010101010101050607010101010101010101010101010101010101ff010101010101010101010101010101010101020304010101010101010101010101010101010101ff0c00000040092900aa000000000000001c00270000000000040000002701ffff030000000000 – площадь поперечного сечения проволоки. При силе тока I за время t в проводнике выделяется количество теплоты Q:

При этом, падение напряжения на проволоке равно:

Удельное сопротивление меди:
p1=0.017 мкОм*м=1.7*10-8Ом*м
удельное сопротивление стали:
p2=10-7Ом*м
так как проволоки включены последовательно, то силы тока в них одинаковы и за время t в них выделяются количества теплоты Q1 и Q2:


Отсюда:

В однородном магнитном поле находится круговой виток с током. Плоскость витка перпендикулярна силовым линиям поля. Докажите, что результирующая сил, действующих со стороны магнитного поля на контур, равна нулю.
РЕШЕНИЕ:
Так как круговой виток с током находится в однородном магнитном поле, на него действует сила Ампера. В соответствии с формулой dF=I[dL,B] результирующая амперова сила, действующая на виток с током определяется:

Где интегрирование проводится по данному контуру с током I. Так как магнитное поле однородно, то вектор В можно вынести из-под интеграла и задача сволится к вычислению векторного интеграла 010009000003860500000000c40300000000c403000026060f007e07574d46430100000000000100bb9200000000010000005c070000000000005c070000010000006c00000000000000000000001b000000140000000000000000000000dc0200002502000020454d46000001005c0700000c00000001000000000000000000000000000000900600001a040000b801000013010000000000000000000000000000c0b6060038320400460000002c00000020000000454d462b014001001c000000100000000210c0db01000000600000006000000046000000a80200009c020000454d462b224004000c000000000000001e4009000c00000000000000244001000c000000000000003040020010000000040000000000803f214007000c0000000000000008400005f4010000e80100000210c0db01000000000000000000000000000000000000000100000089504e470d0a1a0a0000000d494844520000001c000000150802000000da60190b000000017352474200aece1ce9000000097048597300000ec400000ec401952b0e1b0000016f49444154384fe5543b8e83400c1d3809511a0a0e9128cd44dbee11d2446907e50cd1a64d0737d876259a151c828226626ec2daf3c33320b168d3ad2bc6f63c3fdb6f60836f7dc1199aa883c09a63ac20ac35f9a6bb0e8345f6626b0e94412d182ffa359ce67329d3e6ebceb26db2404996c7082c6fc6f6f01c45c7525a97a90524ad2d8f33ec082fd3169129d6bea5bd9aa4a8fbf4468bcef096cf96bf1fc68ee0cc3c071b065bd7800275f04ce8bae57121b81f9eac2266615da096a4bc7dba01e95e36a74cabeccaee154fc9e4a7abf025c5bc6cdbb92ccfa74ad41f3beb98342fde5c0c7362966cb3aa435ab2abcc2df8222a90df9f152f2ee61a0e904a4445297105ca7697a2dd8f7a8056f7adc330651c4cf300d294171020c49b5c016949d13714ea1f63daa7b3f0bb16260b5d6ea9f660401118d536af512b620032d54d1e51b76949054650afe6df9e2accd4cc0186132c71cd2fc4cfd56da32d3fcfdff28f7004afb640fcaf81ffe7a03fd02c8c6dbcd7d5b20000000049454e44ae42608200000840010824000000180000000210c0db01000000030000000000000000000000000000001b40000040000000340000000100000002000000000000bf000000bf0000e0410000a84103000000000000b3000000b3ffffdf41000000b3000000b3ffffa7412100000008000000620000000c00000001000000150000000c00000004000000150000000c00000004000000510000005003000000000000000000001b00000014000000000000000000000000000000000000001c0000001500000050000000b4000000040100004c020000000000002000cc001c00000015000000280000001c000000150000000100080000000000000000000000000000000000230000000000000000000000ffffff00489cdf0074000000ffffbf0074bfff00bf740000dfffff0074489c000074bf00df9c4800bfffff0000007400ffbf74009cdfff000000480048000000ffdf9c009c480000ffffdf009cdfdf00dfbf740000489c0048004800480074007400740074480000004874009c48480048489c0074bfdf00dfdf9c00740048004874bf009c48740001010101010101010101010101010101010101010101010101010101010101010101010101010101010101010101010101010101010101010101010101010101010101010101010101010101010101010101010101010101010101010101010101010101010101010101010101010101010101010101010101010101010101010101010101010101010101010b0c00060101010101010101010101010101010101010101010101010b2213090d0101010101010101010101010101010101010101010101010101020601010101010101010101010101010101010101010101010101010503040101010101010900101f16000d0105000000000006010101020000000a010101010e171107161011211101020601010e20040102121e101f160a0101010e2004010b0c0d010101051213010121110b19040510110b190401010e1711010102060101010e1711010101010e1c130e1711071d1101010716060101051213010107160d010101010e1c130e0f0d071d110101010e0f0d010510110101010906010101010b18110e0f0d0b1904010101010e0f001a1b0d010101051213010101010212140f15160a010101010101010101020a0101010e17110101010101050000000d0101010101010101010105121301010b0c0a0101010101010b0c0d010101010101010101010e0f0304010109001011010101010101090a0101010101010101010101010101010101010101010101010101050607080401010101010101010101010101010101010101010101010102000304010101010101010101010101010101010101014c0000006400000000000000000000001b0000001400000000000000000000001c000000150000002900aa0000000000000000000000803f00000000000000000000803f0000000000000000000000000000000000000000000000000000000000000000220000000c000000ffffffff460000001c00000010000000454d462b024000000c000000000000000e000000140000000000000010000000140000000400000003010800050000000b0200000000050000000c0215001c00030000001e00040000000701040004000000070104008d010000410b2000cc0015001c000000000015001c0000000000280000001c000000150000000100080000000000000000000000000000000000230000000000000000000000ffffff00489cdf0074000000ffffbf0074bfff00bf740000dfffff0074489c000074bf00df9c4800bfffff0000007400ffbf74009cdfff000000480048000000ffdf9c009c480000ffffdf009cdfdf00dfbf740000489c0048004800480074007400740074480000004874009c48480048489c0074bfdf00dfdf9c00740048004874bf009c48740001010101010101010101010101010101010101010101010101010101010101010101010101010101010101010101010101010101010101010101010101010101010101010101010101010101010101010101010101010101010101010101010101010101010101010101010101010101010101010101010101010101010101010101010101010101010101010b0c00060101010101010101010101010101010101010101010101010b2213090d0101010101010101010101010101010101010101010101010101020601010101010101010101010101010101010101010101010101010503040101010101010900101f16000d0105000000000006010101020000000a010101010e171107161011211101020601010e20040102121e101f160a0101010e2004010b0c0d010101051213010121110b19040510110b190401010e1711010102060101010e1711010101010e1c130e1711071d1101010716060101051213010107160d010101010e1c130e0f0d071d110101010e0f0d010510110101010906010101010b18110e0f0d0b1904010101010e0f001a1b0d010101051213010101010212140f15160a010101010101010101020a0101010e17110101010101050000000d0101010101010101010105121301010b0c0a0101010101010b0c0d010101010101010101010e0f0304010109001011010101010101090a0101010101010101010101010101010101010101010101010101050607080401010101010101010101010101010101010101010101010102000304010101010101010101010101010101010101010c00000040092900aa0000000000000015001c0000000000040000002701ffff030000000000. Этот интеграл представляет замкнутую цепочку элементарных векторов dL, поэтому он равен нулю. Значит и F=0, то есть результирующая амперова сила равна нулю в однородном магнитном поле.
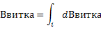
По короткой катушке, содержащей 90 витков диаметром 3 см, идет ток. Напряженность магнитного поля, созданного током на оси катушки на расстоянии 3 см от нее равна 40 А/м. Определите силу тока в катушке.
РЕШЕНИЕ:
Считая, что магнитная индукция в точке А есть суперпозиция магнитных индукций, создаваемых каждым витком катушки в отдельности:

Для нахождения В>витка> воспользуемся законом Био-Савара-Лапласа.

Где, dBвитка – магнитная индукция поля, создаваемая элементом тока IDL в точке, определяемой радиус-вектором r Выделим на конце элемент dL и от него в точку А проведем радиус-вектор r. Вектор dBвитка направим в соответствие с правилом буравчика.
Согласно принципу суперпозиции:

Где интегрирование ведется по всем элементам dLвитка. Разложим dBвитка на две составляющие dBвитка(II) – параллельную плоскости кольца и dBвитка(I) – перпендикулярную плоскости кольца. Тогда

Заметив,
что
из соображений симметрии и что векторы
dBвитка(I)
сонаправленные, заменим векторное
интегрирование скалярным:

Где dBвитка(I) =dBвитка*cosb и

Поскольку dl перпендикулярен r

Сократим на 2p и заменим cosb на R/r1

Выразим отсюда I зная что R=D/2

согласно формуле связывающей магнитную индукцию и напряженность магнитного поля:
В=Мо*Н,
тогда по теореме Пифагора из чертежа:


В однородное магнитное поле в направлении перпендикулярном силовым линиям влетает электрон со скоростью 10۰106 м/с и движется по дуге окружности радиусом 2,1 см. Найдите индукцию магнитного поля.
РЕШЕНИЕ:
На электрон, движущийся в однородном магнитном поле будет действовать сила Лоренца, перпендикулярная скорости электрона и следовательно направленная к центру окружности:

Так как угол между v и И равен 900:

Так как сила Fл направлена к центру окружности, и электрон двигается по окружности под действием этой силы, то

Выразим магнитную индукцию:

15. Квадратная рамка со стороной 12 см, изготовленная из медной проволоки, помещена в магнитное поле, магнитная индукция которого меняется по закону В=В>0>·Sin(ωt), где В>0>=0,01 Тл, ω=2·π/Т и Т=0,02 с. Плоскость рамки перпендикулярна к направлению магнитного поля. Найдите наибольшее значение э.д.с. индукции, возникающей в рамке.
РЕШЕНИЕ:
Площадь квадратной рамки S=a2. Изменение магнитного потока dj, при перпендикулярности плоскости рамки dj=SdB
ЭДС индукции определяется

Е будет максимальна при cos(wt)=1
=0.46
мк В