Двумерная спектроскопия ЯМР
Реферат
на тему:
Двумерная спектроскопия ЯМР
Донецк 2008
Введение
Развитие двумерной спектроскопии ЯМР открыло новые возможности для развития разнообразных биологических приложений ЯМР. В принципе каждая серия экспериментов, в которых наряду с интервалом времени детектирования t2 варьируется второй параметр, например длительность периода эволюции ti, представляет собой двумерный ЯМР. Примером такого эксперимента является серия одномерных спектров, характеризующих некую химическую реакцию, которые измеряются последовательно через определенный промежуток времени t. Если по одной из осей откладывать значения времени ti, а по другой выписывать спектры, регистрируемые в эти моменты времени, то получим двумерный спектр. Такого рода двумерная спектроскопия известна с момента открытия метода ЯМР.
От 2М-спектроскопии обычно требуется выполнение следующего условия: вторая переменная обязательно должна быть связана со специфическими свойствами исследуемой спиновой системы. В настоящее время развито достаточно большое число методов получения двумерных спектров ЯМР. Эти методы реализованы в виде стандартных процедур – сервисных программ – и получаемые экспериментальные данные могут быть представлены в виде функции двух частотных переменных. Двумерная спектроскопия ЯМР обладает рядом преимуществ по сравнению с одномерными методами: Информация может быть представлена как функция двух переменных. Это позволяет достигнуть достаточно хорошего разрешения в сложных спектрах, например в таких, которые в одномерном случае представляют собой наложение перекрывающихся линий. Двумерные эксперименты позволяют проводить надежное отнесение линий в таких спектрах. Одновременно с этим разделением по двум переменным можно провести выбор соответствующих физических взаимодействий, что обеспечит разделение по двум измерениям. Наконец, в двумерной спектроскопии ЯМР можно достаточно просто наблюдать многоквантовые переходы, которые в первом приближении запрещены правилами отбора по спиновому квантовому числу.
Путем введения других временных переменных можно осуществить переход к n мерным спектрам ЯМР. Следует, однако, отметить, что ограничение проведения эксперимента по времени некоторым значением, обычно реализуемым на практике, не позволяет значительно увеличить число временных переменных, так что реально достижимое число переменных – три.
1. Двумерный ЯМР-эксперимент
В настоящее время в двумерной ЯМР-спектроскопии, как правило, используются методы Фурье-спектроскопии. В этом случае проводится детектирование сигнала SUi, t2) из которого путем Фурье-преобразования вычисляется двумерный спектр S в частотной области. В принципе двумерный ЯМР-спектр можно получить и с использованием альтернативного метода – стохастического метода, однако этот метод находится пока в стадии разработки.
Основной 2М-ЯМР-эксперимент можно схематически представить во временной области, разделив его на следующие 4 фазы: подготовки, эволюции, смешивания и детектирования. На фазе детектирования сигналы, как и в одномерном случае, регистрируются через равные промежутки времени Д t2, затем они подвергаются оцифровке и накапливаются. Фаза подготовки, как правило, состоит из 90°-ного импульса, формирующего поперечную намагниченность. На протяжении фазы эволюции, длительность которой равна t, поперечная компонента намагниченности изменяется. Затем следует период смешивания, который, вообще говоря, в некоторых экспериментах может отсутствовать. Компоненты поперечной намагниченности связаны между собой разнообразными взаимодействиями. На протяжении интервала длительностью ti они подлежат детектированию и преобразованию. Длительность периода ti постоянно возрастает от эксперимента к эксперименту на величину ДЯй, причем длительность интервала tj определяется так же, как и интервала t2, теоремой Найквиста. Спектр, соответствующий каждому значению t, накапливается отдельно. Таким образом, строится двумерная матрица, в которой каждой паре значений соответствует сигнал амплитудой S – Двумерное Фурье-преобразование превращает сигнал во временной области S. Такое Фурье-преобразование можно записать следующим образом:

Выражение представляет собой следующую цепь операций: сначала все сигналы свободной индукции подвергаются Фурье-преобразованию по переменной t2. Возникающая при этом новая матрица данных содержит в строках спектры ЯМР, соответствующие значениям ti. Затем проводится второе Фурье-преобразование по переменной t\, т.е. данные, приведенные в столбцах, рассматриваются как отдельные сигналы свободной индукции, и они, как обычно, подвергаются Фурье-преобразованию.
Фурье-преобразование имеет действительную и мнимую части. Обычно вычисляют только действительную часть или модуль функции S. Интенсивности в двумерных спектрах имеют вид поверхностей, представленных как график функции двух переменных, т.е. напоминают изображение земной поверхности. Графически двумерные спектры представляют двумя способами. Первое представление – двумерная поверхность – дает наглядную картину 2М-спектра. Второе представление выглядит как географическая карта, на которой линии уровня соответствуют сигналам одинаковой интенсивности. Такое представление обычно используется при обработке двумерных спектров для того, чтобы избежать перекрывания слабых сигналов сильными.


В табл. приведены последовательные этапы обработки данных при построении одномерных спектров. Если попытаться перечислить все варианты двумерной ЯМР-спектроскопии, то это была бы весьма сложная задача, поскольку их более сотни. Однако для биологических приложений используются лишь некоторые из них. Чтобы их упорядочить, прежде всего необходимо подчеркнуть различие между гетероядерной и гомоядерной 2М-спектроскопией. В гомоядерной спектроскопии наблюдается взаимодействие ядер одного сорта, например, протонов. В этом случае двумерная импульсная последовательность состоит из импульсов, воздействующих на спиновую систему на близких частотах. В гетероядерных экспериментах наблюдаются взаи-модействия ядер различных типов, например, Си Н, и в импульсной последовательности содержатся импульсы из различных частотных областей.
Обработка данных при проведении двумерных экспериментов
1. Соответствие ССИ различным значениям инкрементов t>1> в матрице.S. Н й строк матрицы содержат отдельные сигналы свободной индукции W>2> значений
в каждой строке), при этом строки упорядочены в соответствии с ростом времени fj.
2. Цифровая фильтрация всех ССИ: умножение всех строк на соответствующую фильтрующую функцию.
3. Фурье-преобразование всех ССИ, подвергнутых фильтрации; строки матрицы содержат только спектры S.
7. Проведение Фурье-преобразования данных в направлении г1 по столбцам.
8. Коррекция фазы в направлении Я1.
9. Представление 2М-спектров S и диполь-дипольным.
2. Обнаружение спин-спинового взаимодействия в гомоядерном случае
Как уже отмечалось, косвенное спин-спиновое взаимодействие, характеризуемое константой взаимодействия J, тесно связано с ковалентной химической структурой. Если химическая структура известна, то можно провести отнесение соответствующих резонансных линий. Если же структура неизвестна, то можно выбрать структуру из нескольких альтернативных. В общем случае следует найти ответ на следующие два вопроса: Какие из ядерных спинов связаны между собой взаимодействием? Насколько велико это взаимодействие? В принципе можно получить ответ на оба эти вопроса для достаточно простых структур даже с использованием одномерных методик, например, с помощью развязки или построения теоретических спектров. В более сложном случае, когда в спектрах содержатся перекрывающиеся линии, эти методы приводят к успеху только при использовании большою числа трудоемких и длительных экспериментов. С помощью двумерных методов эту информацию можно получить из одного эксперимента. Стандартным методом при этом является метод COSY, в котором применяются два 90°-ных импульса, разделенных временем эволюции t1. Полученный спектр симметричен относительно диагонали, на которой расположены так называемые диагональные пики. Эти спектры по содержащейся в них информации соответствуют одномерному спектру. Основная информация содержится в пиках, расположенных вне диагонали - это так называемые кросс-пики. Именно эти пики указывают на то, между какими ядрами существует спин-спиновое взаимодействие, т.е. они позволяют определить те константы спин-спинового взаимодействия, которые превышают ширину линий компонент мультиплетов. Тонкая структура кросс-пиков позволяет получить представление о величине констант спин-спинового взаимодействия.
По спектрам, получаемым по методу COSY, можно достаточно просто установить характер связи. При этом, исходя из какого-либо кросс-пика, находим соответствующий ему кросс-пик по горизонтали и по вертикали. Большинство всех двумерных спектров выглядит так же, как и спектр, полученный по методу COSY. Существует несколько вариантов экспериментов COSY. Основным является эксперимент, позволяющий существенно упростить спектры за счет м-квантовой фильтрации. При этом упрощение спектров может привести к потере информации. Как правило, в основном ограничиваются получением спектров после двух- и трехбайтовой фильтрации, так как с ростом порядка фильтрации неизбежно понижается отношение сигнал/шум. Особую практическую ценность имеет эксперимент, называемый эстафетным COSY экспериментом – эстафетный когерентный перенос). В спектре, полученном с использованием этого метода, наряду с обычными COSY пиками, наблюдаются сигналы, позволяющие судить о наличии в спиновой системе кроме двух слабо взаимодействующих ядерных спинов еще одного спина, с которым они оба взаимодействуют, причем это взаимодействие достаточно велико.
Как правило, информация, полученная с помощью эксперимента COSY, может быть получена и с помощью метода SECSY, в котором сбор данных задерживается по сравнению с методом COSY на величину ti: в эксперименте используется импульсная последовательность 90° – Ай – 90° – fй – сбор данных. При использовании этой последовательности вид спектра будет несколько иным. Одномерному спектру соответствует спектр, расположенный на средней линии. Кросс-пики располагаются на наклонных прямых, расположенных под углом 135° по отношению к средней линии. Так как при использовании метода SECSY не удается получить спектры с кросс-пиками, фаза которых соответствует фазе поглощения, то спектроскопия SECSY применяется в том случае, когда объем памяти для накопления данных в экспериментах COSY недостаточен. Метод cynep-SECSY является более чувствительным вариантом метода SECSY.
Первым из двумерных экспериментов, нашедших практическое применение, является разрешенная двумерная спектроскопия, в которой используется следующая импульсная последовательность: 90° – ti – 180° -1\ – сбор данных. J разрешенный спектр по информативности соответствует одномерному спектру, в котором мультиплеты повернуты перпендикулярно оси. Как и в одномерном случае, этот эксперимент можно использовать для исследования процессов химического обмена. Соответствующая импульсная последовательность приведена на рис. Внешний вид NOESY спектров совпадает с видом спектров, полученных по методу COSY, с той лишь разницей, что в данном случае кросс-пики не устанавливают соответствия между взаимодействующими спинами, а определяют, какие из спинов участвуют в обмене. Интенсивность этих кросс-пиков зависит от длительности т>т> выбранного периода смешивания. С ростом Т>т> интенсивность кросс-пиков непрерывно возрастает, достигает максимального значения, а затем снова уменьшается до нуля. Зависимость от времени при этом соответствует наблюдаемой в одномерном случае при обнаружении ЯЭО. При малых значениях интервала смешивания Т>т> для интенсивности кросс-пика /дв между линиями, которые соответствуют резонансу спинов А и В, справедлива формула

где I>АВ> обозначает расстояние между ядрами.
На практике используется две модификации спектроскопии NOESY. Эксперимент NOESY с подавлением интенсивности сигналов, расположенных на главной диагонали. Эксперимент ROESY, в котором проводится измерение ЯЭО во вращающейся системе координат. Иногда для этого эксперимента используется сокращение CAMELSPIN. Эксперимент полезен, если необходимо провести качественное отнесение линий в спектре, а эксперимент проводят в том случае, если времена корреляции Тс таковы, что в лабораторной системе координат ЯЭО практически не наблюдается.
2. Корреляция в гетероядерном случае
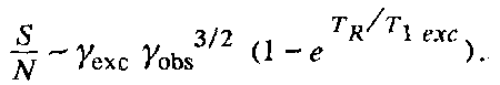
Гетероядерная корреляция, т.е. корреляция между одномерными спектрами ЯМР, полученными для разного сорта ядер, обладает рядом привлекательных свойств. Прежде всего, эти методы, как и большинство методов двумерной спектроскопии, приводят к улучшению разрешения в спектрах, т.е. позволяют провести отнесение линий в сложных перекрывающихся спектрах. Корреляция между двумя различными спектрами ЯМР, например, на ядрах № и 13С облегчает отнесение линий в спектрах, так как в протонных спектрах содержится дополнительная информация о спектрах 13С, и наоборот. Отнесение линий существенно упрощается, если проведено полное отнесение в спектре хотя бы одного из ядер. Двумерные корреляционные спектры могут быть дополнительно использованы также и для того, чтобы повысить чувствительность в спектрах ядер с низким естественным содержанием, т.е. повысить возможности детектирования ядер с низкой чувствительностью. Простейший вариант гетероядерного корреляционного эксперимента совершенно аналогичен эксперименту COSY: используемая в этом методе импульсная последовательность также состоит из двух 90°-ных импульсов, между которыми имеется интервал длительностью ц, причем импульсы подаются на частоте, соответствующей резонансу ядра I, а спад свободной индукции записывается в течение времени Я>2>. Различие состоит в том, что в момент, когда подается второй 90°-ный импульс на частоте резонанса ядра I, подается дополнительный 90°-ный импульс на частоте резонанса ядер 5. Отношение сигнал/шум, достигаемое при использовании различных методов, описывается следующим выражением:

Здесь у>ехс>-гиромагнитное отношение ядерных спинов, которые возбуждаются в первом периоде эксперимента, до проведения наблюдения, a y>obs> – гиромагнитное отношение ядер, наблюдение которых проводится в данный момент. В экспериментах с накоплением данных необходимо учитывать и такие параметры, как время продольной релаксакции Ту>ехс> возбуждаемых спинов и интервал между импульсами T>R>.
Следовательно, наилучшее значение отношения сигнал/шум может быть достигнуто в таком эксперименте, в котором сначала осуществляется перенос поляризации от спинов с большим г к спинам с меньшим у, а затем, на стадии детектирования, осуществляется обратный перенос поляризации. В частности, для системы N-'rl оценка подформуле показывает, что теоретически чувствительность в спектрах N может быть увеличена примерно в 300 раз.