Діоди

Вступ 2

Розділ 1. Електрофізичні властивості напівпровідників 3

1.1 Власні й домішкові напівпровідники 3

1.2. Енергетичні діаграми напівпровідників 6

1.3 Силові діоди. 11

Розділ 2. Загальні відомості про напівпровідникові розмикачі струму. 13

Розділ 3. Основні типи напівпровідникових розмикачів струму. 18

3.1. Дрейфовий діод з різким відновленням. 18

3.2. SOS-діоди. 25

3.3. Розмикачі струму на основі карбіду кремнію. 30

Розділ 4. Промислові генератори імпульсів на основі ДДРВ й SOS-діодів. 32

Висновок. 35

Список використаної літератури. 41

Вступ

Для проведення досліджень в експериментальній фізиці широко використовують імпульсні джерела живлення для потужніх лазерів, прискорювачів заряджених частинок, рентгенівських апаратів. Але для створення таких імпульсних джерел живлення потрібно мати потужні перемикаючі пристрої, які б перемикали, із достатньо високою швидкістю джерела живлення із режиму накопичення енергії в режими розряду та навпаки. Такі перемикаючі пристрої повинні витримувати напруги порядку 103 - 106 В та струми густиною 102 - 105 А/см2 та мати можливість генерувати імпульси із частотою 104 Гц і вище. Таким параметрам відповідають певні типи напівпровідникових діодів.

У роботі розглянуто напівпровідникові діодні перемикачі струму для потужньої наносекундної імпульсної техніки. Особливу увагу приділено дрейфовим діодам із різким відновленням ДДРВ та SOS – діодам. Перший тип діодів був запропонований і розроблений у Фізико-технічному інституті ім. А. Ф. Іоффе РАН, другий в Інституті електрофізики УрВ РАН. За допомогою ДДРВ вдається перемикати потужність до сотень мегаватів за наносекунду при щільності струму порядку 102 А/см2. SOS – діоди дозволяють перемикати потужності в кілька гігават за такі ж короткі часи при щільності струму більше 103 А/см2. Ще одною позитивною рисою таких напівпровідникових пристроїв є їх великий строк роботи.

Розробка генераторів потужних наносекундних імпульсів та напівпровідникових перемикачів струму сприятиме розвитку робіт з релятивістської надвисокочастотної електроніки, широкополосної радіолокації, систем живлення лазерів, прискорювачів електронів.

Розділ 1. Електрофізичні властивості напівпровідників

Напівпровідниками є речовини, що займають по величині питомої провідності проміжне положення між провідниками й діелектриками [1,2,3]. Ці речовини володіють як властивостями провідника, так і властивостями діелектрика. Разом з тим вони володіють рядом специфічних властивостей, що різко відрізняють їх від провідників і діелектриків, основним з яких є сильна залежність питомої провідності від впливу зовнішніх факторів (температури, світла, електричного поля і т. п.). До напівпровідників відносяться елементи четвертої групи періодичної таблиці Д. І. Менделєєва, а також хімічні сполуки елементів третьої й п'ятої груп типу AIII BV (GaAs, InSb) і другої й шостої груп типу AII B VI (Cd, B, CdFe). Провідне місце серед напівпровідникових матеріалів, які використовуються у напівпровідниковій електроніці, займають кремній, германій й арсенід галію GaAs. Хоча у наш час у наукових установах ведеться пошук нових напівпровідникових матеріалів, розробляються органічні напівпровідники.

1.1 Власні й домішкові напівпровідники

Власними напівпровідниками або напівпровідниками типу i (від англійського intrinsic - власний) називаються чисті напівпровідники, що не містять домішок. Домішковими напівпровідникам називаються напівпровідники, що містять домішки, валентність яких відрізняється від валентності основних атомів. Вони підрозділяються на електронні й діркові. Власні напівпровідники мають кристалічну структуру, що характеризується періодичним розташуванням атомів у вузлах просторової кристалічної решітки. У такій решітці кожен атом взаємно пов'язаний із чотирма сусідніми атомами ковалентними зв'язками (мал. 1.1), у результаті яких відбувається усуспільнення валентних електронів й утворення стійких електронних оболонок, що складаються з восьми електронів. При температурі абсолютного нуля (T=0°K) всі валентні електрони перебувають у ковалентних зв'язках, отже, вільні носії заряду відсутні, і напівпровідник подібний до діелектрика[2,3]. При підвищенні температури або при опроміненні напівпровідника світловою енергією, рентгенівським випромінюванням валентний електрон може вийти з ковалентного зв'язку й стати вільним носієм електричного заряду. При цьому ковалентний зв'язок стає дефектним, у ньому утвориться вільне (вакантне) місце, що може зайняти один з валентних електронів сусіднього зв'язку, у результаті чого вакантне місце переміститься до іншої пари атомів. Переміщення вакантного місця усередині кристалічної решітки можна розглядати як переміщення деякого фіктивного (віртуального) позитивного заряду, величина якого дорівнює заряду електрона. Такий позитивний заряд прийнято називати діркою.

Процес виникнення вільних електронів і дірок, обумовлений розривом ковалентних зв'язків, називається тепловою генерацією носіїв заряду. Його характеризують швидкістю генерації G, що визначає кількість пар носіїв заряду, що виникають в одиницю часу в одиниці об'єму напівпровідника. Швидкість генерації тим більше, чим вище температура й чим менша енергія, яка затрачується на розрив ковалентних зв'язків. Утворені в результаті генерації електрони й дірки, перебуваючи в стані хаотичного теплового руху, через деякий час, середнє значення якого називається часом життя носіїв заряду, зустрічаються один з одним, у результаті чого відбувається відновлення ковалентних зв'язків. Цей процес називається рекомбінацією носіїв заряду й характеризується швидкістю рекомбінації R, що визначає кількість пар носіїв заряду, що зникають в одиницю часу в одиниці об'єму. Добуток швидкості генерації на час життя носіїв заряду визначає їхню концентрацію, тобто кількість електронів і дірок в одиниці об'єму. При незмінній температурі генераційно – рекомбінаційні процеси перебувають у динамічній рівновазі, тобто в одиницю часу народжується й зникає однакова кількість носіїв заряду (R=G). Ця умова називається законом рівноваги мас. Стан напівпровідника, коли R=G, називається рівноважним; у цьому стані у власному напівпровіднику встановлюються рівноважні концентрації електронів і дірок, які позначають n>i>> > >p>i >>. >Оскільки електрони й дірки генеруються парами, то виконується умова: n>i>=p>i>> . >При цьому напівпровідник залишається електрично нейтральним, тому що сумарний негативний заряд електронів компенсується сумарним позитивним зарядом дірок. Ця умова називається законом нейтральності заряду. Для знаходження концентрації носіїв струму запропонована формула:

(1.1)

При кімнатній температурі в кремнії n>i>=p>i>=1,4·1010 см-3, а в германії n>i>=p>i>=2,5·1013 см-3. Різниця в концентраціях пояснюється тим, що для розриву ковалентних зв’язків в кремнію потрібно більше витратити енергії, чим в германію. Із ростом температури, концентрація електронів та дірок зростає по експоненційному закону, що видно із (1.1.)

Електронним напівпровідником або напівпровідником типу n ( від латинського negative - негативний) називається напівпровідник, у кристалічній решітці якого крім основних (чотирьохвалентних) атомів утримуються домішкові п’ятивалентні атоми, які називають донорами. У такій кристалічній решітці чотири валентних електрони домішкового атома зайняті в ковалентних зв'язках, а п'ятий (“зайвий”) електрон не може вступити в нормальний ковалентний зв'язок і легко відокремлюється від домішкового атома, стаючи вільним носієм заряду. При цьому домішковий атом перетворюється в позитивний іон. При кімнатній температурі практично всі домішкові атоми виявляються іонізованими. Поряд з іонізацією домішкових атомів в електронному напівпровіднику відбувається теплова генерація, у результаті якої утворюються вільні електрони й дірки, однак концентрація виникаючих у результаті генерації електронів і дірок значно менша за концентрацію вільних електронів, що утворяться при іонізації домішкових атомів, тому що енергія, необхідна для розриву ковалентних зв'язків, істотно більша енергії, затрачуваної на іонізацію домішкових атомів. Концентрація електронів в електронному напівпровіднику позначається n>n>, а концентрація дірок - p>n>. Електрони в цьому випадку є основними носіями заряду, а дірки - неосновними.

Дірковим напівпровідником або напівпровідником типу p ( від латинського positive - позитивний) називається напівпровідник, у кристалічній решітці якого (рис. 1.4) утримуються домішкові тривалентні атоми, які називають акцепторами. У такій кристалічній решітці один з ковалентних зв'язків залишається незаповненим. Вільний зв'язок домішкового атома може заповнити електрон, що покинув один із сусідніх зв'язків. При цьому домішковий атом перетворюється в негативний іон, а на тому місці, звідки пішов електрон, виникає дірка. У дірковому напівпровіднику, також як й в електронному, відбувається теплова генерація носіїв заряду, але їхня концентрація в багато разів менша за концентрацію дірок, що утворюються в результаті іонізації акцепторів. Концентрація дірок у дірковому напівпровіднику позначається p>p>, вони є основними носіями заряду, а концентрація електронів позначається n>p>, вони є неосновними носіями заряду.

1.2. Енергетичні діаграми напівпровідників

Відповідно до постулатів квантової фізики електрони в атомі можуть приймати строго визначені значення енергії або, як говорять, займати певні енергетичні рівні. При цьому, відповідно до принципу Паулі, у тому самому енергетичному стані не можуть перебувати одночасно не більше чим два електрони із протилежними спінами. Тверде тіло, яким є напівпровідниковий кристал, складається з безлічі атомів, які взаємодіють один з одним, завдяки малим міжатомним відстаням. Тому замість сукупності дозволених дискретних енергетичних рівнів, властивих окремому атому, тверде тіло характеризується сукупністю дозволених енергетичних зон, що складаються з великого числа близько розташованих енергетичних рівнів. Дозволені енергетичні зони розділені інтервалами енергій, якими електрони не можуть володіти і які називаються забороненими зонами. При температурі абсолютного нуля електрони заповнюють кілька нижніх енергетичних зон. Верхня із заповнених електронами дозволених зон називається валентною зоною, а наступна за нею незаповнена зона називається зоною провідності. У напівпровідників валентна зона й зона провідності розділені забороненою зоною. При нагріванні речовини електронам надається додаткова енергія й вони переходять із енергетичних рівнів валентної зони на більше високі енергетичні рівні зони провідності. У провідниках для здійснення таких переходів потрібна незначна енергія, тому провідники характеризуються високою концентрацією вільних електронів (порядку 1022 см-3). У напівпровідниках для того, щоб електрони змогли перейти з валентної зони в зону провідності, їм повинна бути надана енергія не менша за ширину забороненої зони. Це і є та енергія , що необхідна для розриву ковалентних зв'язків. Енергетичні діаграми власного електронного й діркового напівпровідників, на яких за допомогою E>C>> >позначена нижня границя зони провідності, а через E>V> – верхня границя валентної зони. Ширина забороненої зони ΔE>з>= E>c>- E>v>. У кремнію вона дорівнює 1,1 еВ, у германію - 0,7 еВ.

З погляду зонної теорії під генерацією вільних носіїв заряду слід розуміти перехід електронів з валентної зони в зону провідності (мал. 1.5,а). У результаті таких переходів у валентній зоні з'являються вільні енергетичні рівні, відсутність електронів на яких слід трактувати як наявність на них фіктивних зарядів - дірок. Перехід електронів із зони провідності у валентну зону слід трактувати як рекомбінацію рухомих носіїв заряду. Чим ширша заборонена зона, тим менше електронів здатно перейти через неї. Цим пояснюється більше висока концентрація електронів і дірок у германію в порівнянні із кремнієм. В електронному напівпровіднику (рис. 1.5,б) за рахунок наявності п’ятивалентних домішок у межах забороненої зони поблизу дна зони провідності з'являються дозволені рівні енергії E>D>. Оскільки один домішковий атом припадає приблизно на 106 атомів основної речовини, то домішкові атоми практично не взаємодіють один з одним. Тому домішкові рівні не утворюють енергетичну зону і їх зображують як один локальний енергетичний рівень Е>D>, на якому перебувають "зайві" електрони домішкових атомів, не зайняті в ковалентні зв’язках. Енергетичний інтервал ΔE>и>= E>c>-E>D> називається енергією іонізації. Величина цієї енергії для різних п’ятивалентних домішок лежить у межах від 0,01 до 0,05 еВ, тому "зайві" електрони легко переходять у зону провідності.

У дірковому напівпровіднику введення тривалентних домішок веде до появи дозволених рівнів Е>A >(pис.1.5, в), які заповнюються електронами, що переходять на нього з валентної зони, у результаті чого утворюються дірки. Перехід електронів з валентної зони в зону провідності вимагає більших витрат енергії, чим перехід на рівні акцепторів, тому концентрація електронів n>p> виявляється менше концентрації n>i>, а концентрацію дыpок p>p> можна вважати приблизно рівною концентрації акцепторів N>A.>

1.2. P-N – перехід як основа напівпровідникових діодів і

транзисторів

В основі більшості напівпровідникових діодів і транзисторів лежить контакт двох напівпровідників з різним типом електропровідності. Такий контакт називають електронно-дірковим переходом або p-n-переходом. Він може бути отриманий, наприклад, шляхом дифузії донорної домішки в напівпровідник p-типу. Структура p-n-переходу зображена на рис. 1.6,а. Включений в електричний ланцюг p-n-перехід має однобічну провідність, тобто його вольтамперна характеристика нелінійна. Будемо вважати, що концентрація легуючої домішки в областях n- і p- типу розподілена рівномірно, причому концентрація донорної домішки N>D> в n-напівпровіднику значно більша, ніж концентрація акцепторної домішки N>A> в p- напівпровіднику (N>D>>>N>A>). Назвемо n-область із більшою концентрацією домішки емітером, а p-область із меншою концентрацією домішки базою. Це допущення дозволяє вважати, що повний струм через p-n-перехід визначається переважно електронною складовою. Діркова складова струму через p-n-перехід мала й нею можна знехтувати. Можна вважати, що зовнішні контакти до структури ( вони по своїй природі повинні мати двосторонню провідність із дуже малим опором ) вилучені від контакту на відстань, що значно перевищує дифузійну довжину електронів L>n> у базі й дірок L>p> в емітері. Коефіцієнт дифузії електронів в напівпровіднику можна визначити за допомогою формули:

(1.2)

Коефіцієнт дифузії залежить від зміни температури і дану зміну описує формула:

(1.3)

Тоді дифузійна довжина руху електронів складе:

(1.4)

Це допущення дозволяє вважати, що p-n-перехід локалізований поблизу границі x>0>. Позначимо границі p-n-переходу через x>n> й x>p>. Розподіл концентрації електронів уздовж осі x. Оскільки концентрація електронів в n-напівпровіднику n>n> (основні носії заряду) значно перевищує концентрацію електронів в p-напівпровіднику n>p> (неосновні носії заряду), то в площині контакту виникає дифузія електронів з n-області в p-область. Аналогічні міркування приводять до дифузії дірок з p-області в n-область. У такий спосіб через p-n-перехід протікають дифузійні потоки основних носіїв заряду. Ідучи з напівпровідника n-типу, електрони залишають у приконтактній області n-напівпровідника нескомпенсований позитивний нерухомий заряд іонів донорів Q>D>+. Аналогічно в приконтактной області p-напівпровідника з'являється рівний по величині нескомпенсований негативний нерухомий заряд іонів акцепторів Q>A>-. У такий спосіб в області контакту з'являється електричне поле локалізоване поблизу границі x>0>. Будемо характеризувати його контактною різницею потенціалів φ>K0>. Утворене поле перешкоджає руху основних носіїв через перехід й є причиною появи зустрічного дрейфового руху електронів з p-області в n-область. Таким чином, потоки неосновних носіїв заряду по своїй природі є дрейфовими. При зростанні концентрації легуючих домішок N>D> й N>A> контактна різниця потенціалів зростає , а ширина p-n-переходу зменшується. Необхідно відзначити, що область p-n-переходу збіднена рухомими носіями заряду, тому що будь-який виникший у цій області або потрапивший в неї рухомий заряд виштовхується з області переходу електричним полем. Тому опір p-n-переходу значно вище, ніж опір n- і p- областей. Для основних носіїв заряду це поле створює потенційний бар'єр, а, отже, величина потоку основних носіїв заряду через перехід залежить від величин цього бар'єра. Для неосновних носіїв заряду поле в переході створює потенційну яму, а, отже, потік неосновних носіїв заряду не буде залежати від глибини потенційної ями: всі електрони (неосновні носії), що з'явилися в краю потенційної ями, упадуть у неї. Поле в p-n-переході можна змінити шляхом подачі на структуру зовнішньої напруги. Якщо полярність зовнішньої напруги спрямована проти поля в переході, то гальмуюче для основних носіїв заряду поле в переході ( або потенційний бар'єр), зменшується, і потік основних носіїв заряду через p-n-перехід збільшується й значно перевищує існуючий потік неосновних носіїв. Така напруга на p-n-переході називається прямою. При прямій напрузі прямий струм визначається потоком основних носіїв заряду й при прямому струмі n>n> >> p>p>  , то дірковою складовою прямого струму можна знехтувати. При зворотній напрузі зворотний струм визначається потоком неосновних носіїв заряду; оскільки p>p >>>> >n>n>.

1.3 Силові діоди.

Діоди, які використовуються в електричних пристроях для перетворення змінного струму в струм однієї полярності називаються випрямними. На вольтамперній характеристиці (ВАХ) Значення прямого й зворотного струмів відрізняються на кілька порядків, а пряме спадання напруги не перевищує одиниць вольтів у порівнянні зі зворотною напругою, що може становити сотні й більше вольтів. Тому діоди мають однобічну провідність, що дозволяє використати їх як випрямні елементи. З малюнка також можна зробити висновок, що з ростом температури зворотний струм зростає. У більшості діодів цей струм при температурі 125ºС може збільшиться на 2-3 порядки в порівнянні зі струмом при 25ºС

Зі збільшенням зворотної напруги зворотний струм також росте, але повільніше, ніж з підвищенням температури. Лише при подачі зворотної напруги, більше нормованої, відбувається різке його збільшення, що може привести до пробою p – n-переходу.

Пряма напруга при малих прямих струмах, коли переважає спад напруги на переході діода, з ростом температури зменшується. При більших струмах, коли переважає спад на базі діода, залежність прямої напруги від температури стає позитивною. Точка, у якій відсутня залежність прямого спаду напруги від температури або ця напруга міняє знак, називається точкою інверсії.

У більшості діодів малої й середньої потужності допустимий прямий струм, як правило, не перевищує точки інверсії, а в силових потужних діодів допустимий струм може бути вище цієї точки.

Розділ 2. Загальні відомості про напівпровідникові

розмикачі струму.

Нано- і субнаносекундні електричні імпульси піковою потужністю від мегават до терават використовуються в цілому ряді областей найсучаснішої техніки, таких як релятивістська надвисокочастотна електроніка, широкополосна радіолокація, дослідження електромагнітної сумісності складних систем, підземна радіолокація, системи живлення лазерів і прискорювачів і т.п. Потужні короткі імпульси використовуються також й у цілому ряді напрямків сучасної експериментальної фізики, наприклад, в області керованого термоядерного синтезу й в інших широкомасштабних фізичних експериментах.

Для генерування потужних наносекундных імпульсів є два підходи, що розрізняються за способом нагромадження енергії – нагромадження в ємнісних накопичувачах (малоіндуктивні конденсатори й формуючі лінії) з наступною передачею енергії в навантаження через замикаючий ключ і нагромадження в магнітному полі індуктивного контуру зі струмом; в останньому випадку для передачі енергії в навантаження необхідно здійснити наносекундне розмикання великого струму. Другий метод представляє дуже великий інтерес для потужної імпульсної техніки, оскільки густина накопиченої енергії в індуктивних накопичувачах на півтора – два порядки більша, ніж у ємнісних, істотно менша вартість накопичувачів й, що теж істотно, імпульсна напруга на навантаженні при обриві струму може бути значно вища, ніж напруга на попередніх рівнях формування імпульсу. Однак швидкий обрив більших струмів, коли потрібно розмикати струми в десятки килоампер при імпульсній напрузі мегавольтного рівня, є значно більше складнішим, чим швидке замикання.

На стадії лабораторних експериментів ця проблема звичайно вирішується за допомогою плазмових розмикачів з нано- і мікросекундним накачуванням, інжекційних тиратронів. Однак для реального застосування, особливо в області промислових технологій, така елементна база не може бути використана - в основному через малий термін служби розмикачів, нестабільності спрацьовування й неможливості їхнього використання в періодично.

Зі звичайних приладів, що випускаються промисловістю, розмикання струму за час порядку 10 нс може бути здійснене в спеціальних типах польових транзисторів. Такий транзистор являє собою, по суті, силову інтегральну схему із сотень тисяч паралельно працюючих мікротранзисторів з розміром 10-15 мкм. Робоча напруга приладу кілька сотень вольт, струм десятки ампер, і для створення імпульсу потужністю, скажемо, 50 МВт розмикач повинен складатися з 104 транзисторів. Через очевидну складність і високу вартість таких систем питання про їхнє створення навіть не обговорювалося.

Найпростішим напівпровідниковим розмикачем струму є звичайний діод. При проходженні через нього струму в провідному напрямку слабколегована п-база заповнюється електронно-дірковою плазмою внаслідок інжекції електронів і дірок через потенційні бар'єри п+п- і р+п-переходів. Потім через діод пропускається імпульс зворотного струму (мінус на р+-контакті), при цьому дірки із плазми витягаються зовнішнім полем через р+-, а електрони - через п+-контакти. Поки концентрація дірок поблизу р+п-переходу перевищує рівноважну, через діод протікає постійний струм, що обмежується опором навантаження - це фаза високої зворотної провідності (ВЗП).

Потім починає формуватися область об'ємного заряду (ООЗ), границя якої зміщується від р+п-перехода в п-базу, напруга на приладі зростає, а струм у ланцюзі зменшується - це фаза відновлення зворотного опору (ВЗО). Проблема, по суті, полягає в тім, як зробити цей процес досить швидким.

Вперше субнаносекундний напівпровідниковий розмикач був створений ще в 50-х роках минулого століття - це був так званий діод з нагромадженням заряду (ДНЗ). Конструктивно цей прилад надзвичайно простий: у пластині кремнію п-типу провідності, завдяки дифузії бору з поверхні, створюється р+п-переход і базова область із різким градієнтом концентрації, тобто із сильним вбудованим електричним полем. При протіканні прямого струму інжектовані цим переходом дірки при малому рівні інжекції гальмуються вбудованим полем поблизу інжектора. Потім через діод пропускається швидко наростаючий імпульс зворотного струму, накопичені дірки майже повністю виводяться на стадії високої зворотної провідності, після чого струм через діод різко, за , обривається, переходячи на підключене паралельно діоду навантаження. ДНЗ, безумовно, гранично простий розмикач із дуже гарною швидкодією, але напруга лавинного пробою такого р+п-переходу з високолегованою базою лежить у межах 10-50 В, а робочий струм становить сотні міліамперів, чого недостатньо для створення генераторів потужних високовольтних імпульсів.

Загалом кажучи, самий звичайний потужний високовольтний напівпровідниковий діод теж є розмикачем струму при перемиканні із прямого на зворотний струм, причому розмикає потужність, що для одиничного приладу може бути дуже великою, порядку мегавата, але у звичайних умовах тривалість процесу розмикання лежить не в нано-, а в мікросекундному діапазоні. Фізика цього процесу в умовах високої густини зворотного струму була детально розглянута в роботах фізиків ще в 1967 р., і хоча нагромадження електронно-діркової плазми в п-базе р+пп+-структури при прямому струмі розраховувалося без врахування всіх нелінійних ефектів, а процес відновлення р+п-переходу при протіканні великого зворотного струму розраховувався з рядом нереальних наближень (сталість у часі зворотного струму, незалежність рухливості носіїв від поля й др.), основні фізичні особливості процесу були визначені дуже чітко[3,4]. Насамперед, було показано, що спад до рівноважного значення концентрації носіїв у блокуючого р+п-переходу й початок формування там області об'ємного заряду не приводить до різкого спаду зворотнього струму, якщо на границі ООЗ є область, заповнена електронно-дірковою плазмою; характер спаду зворотного струму контролюється процесами "розсмоктування" плазми саме в цій області. Розрахункова форма розподілу плазми при високому рівні інжекції в п-базе кремнієвої р+пп+-структури при протіканні прямого струму і потім зворотного струму при співвідношенні показано. Видно, що плазмовий "резервуар" на границі ООЗ (ліва частина структури) існує тривалий час, визначаючи повільний спад зворотного струму й затягуючи процес вимикання. Несиметричність розподілу плазми при протіканні прямого струму й більша швидкість процесу відновлення в лівої границі, в бік якої витягуються зовнішнім полем дірки, пов'язані з тим, що в кремнії рухливість дірок втроє менша рухливості електронів,.

Показано форму розподілу електронно-діркової плазми в п-базі кремнієвої р+пп+-структури при протіканні постійного прямого струму (t = 0) і потім при протіканні зворотного струму . Товщина п-базы d, дорівнює амбіполярній дифузійній довжині , де D>n>- коефіцієнт амбвполярної дифузії, τ час життя носіїв у п-базі при високому рівні інжекції; п — середня концентрація плазми.

Схематичне зображення розподілу носіїв й утворення плазмових фронтів у п-базі з товщиною W>п> при протіканні великого зворотного струму у р+пп+-структурі наведено нам на рис. 2.2. ООЗ - область об'ємного заряду. Нам показана також спрощена картина руху плазмових фронтів при протіканні зворотного струму після появи ООЗ. Фронти тут вважаються різкими, а концентрація плазми - постійною по координаті. Звичайно середня концентрація п плазми досить велика (1016 -1017 см-3 і час релаксації порушення нейтральності в ній малий (10-12 с), тому процеси виносу дірок вліво й електронів вправо жорстко взаємозалежні. Було показано, що в цих умовах швидкість руху лівої границі описується формулою 2.1:

(2.1).

А лівої формулою 2.2:

(2.2)

і в кремнієвому діоді, де , ліва границя рухається втроє швидше. Якщо щільність зворотного струму , де - концентрація рівноважних електронів у п-базе, а - їхня насичена швидкість, то поле в ООЗ праворуч і ліворуч контролюється зарядом рухомих носіїв, тобто залежить від щільності струму.

В принципі, такий рівень розуміння процесу відновлення потужного діода при великій густині зворотного струму вже в 60-ті роки дозволяв сформулювати основні принципи створення потужного наносекундного діодного розмикача, однак це зроблено не було. Причиною був недостатній рівень розвитку потужної напівпровідникової імпульсної техніки того часу в цілому.

Розділ 3. Основні типи напівпровідникових розмикачів струму.

3.1. Дрейфовий діод з різким відновленням.

На даний час створено декілька основних типів напівпровідникових розмикачів великих струмів. У даній роботі ми розглянемо їх основні види. І почнемо даний розгляд із дрейфових діодів із різким відновленням

Цілеспрямована робота зі створення потужного діодного наносекундного розмикача була розпочата на початку 80-х років минулого століття у Фізико-технічному інституті ім. А.Ф. Іоффе РАН (ФТІ РАН). Поштовхом послужили результати роботи [11], у якій досліджувалася можливість створення високовольтного силового діода із накопиченням заряду і було показано, що тривалість фази ВЗП збільшується, а фази ВЗО зменшується до величини менше 0,1 мкс у міру збільшення глибини залягання дифузійного р+п-переходу.

Залежність t>взо> (1, 2) і t>взп> (3, 4) від глибини залягання рп-перехода х>р>. Параметри діодів: питомий опір бази 50 Ом/см, товщина бази 100 мкм, час життя носіїв т> = 20 мкс. Тут слід зазначити, що діоди в цій роботі були створені за технологією для силового напівпровідникового приладобудування. Основною особливістю технології є те, що глибокі р+п-переходи виготовляються за допомогою спільної дифузії в повітряному середовищі бору й алюмінію з їхніх оксидів. Поверхнева концентрація А1 у цьому процесі має строго визначену величину (5-7)·1016см-3, і тому дифузійний шар складається із двох областей: сильно легованої (~ 1019 см-3) "борної" р+-області глибиною 10-20 мкм і протяжної (80-120 мкм), відносно слабко легованої "алюмінієвої" області із плавно зменшуваним градієнтом концентрації домішки. Шоклі-рідовський час життя неосновних носіїв t>п> у цій області зменшується з ростом концентрації основних носіїв р і описується формулою (3.1):

(3.1)

Значення часу життя рівне порядку десятка мікросекунд. Тому при протіканні прямого струму через такий р+рпп+-діод р-область виявляється "залитою" електронно-дірковою плазмою. При перемиканні відбувається швидке зменшення концентрації плазми в р+р-переході, однак, на відміну від ситуації з різким р+п-переходом, це не приводить до утворення ООЗ, оскільки в проведенні струму беруть участь основні носії р-шару. Плазмовий фронт переміщається по р-шару в бік рп-переходу, і лише при наближенні до нього цього фронту починає формуватися ООЗ і зменшуватися зворотній струм. Таким чином, збільшення глибини р+рп-переходу приводить до збільшення тривалості фази ВЗП і зменшенню тривалості ВЗО, оскільки до моменту утворення ООЗ значна частина заряду виявляється виведеною з діода. Саме така конструкція р+р-переходу надалі використовувалася у всіх потужних наносекундних діодних розмикачах.

Як вже відзначалося вище, присутність електронно-діркової плазми на зростаючій границі ООЗ, гальмує процес розширення, тобто зменшує швидкість наростання напруги на діоді й затягує спад струму. Тому, відповідно до сучасних уявлень, процес відновлення повинен протікати так, щоб рухомий плазмовий фронт в р-области від р+р- до рп-переходу, і фронт, що рухається по п-базе від п+п- до рп-переходу, зустрілися точно в площині рп-переходу. У цьому й тільки в цьому випадку протікання зворотного струму й розширення ООЗ буде відбуватися за рахунок швидкого руху тільки основних носіїв у протилежних напрямках від рп-переходу.

Однак тільки конструктивними засобами це здійснити досить складно. Так, якщо конструювати прилад з робочою напругою, наприклад, 1,7 кВ на основі кремнію п-типа провідності, звичайно використовуваного для потужних приладів, то максимальна ширина ООЗ й, отже, товщина п-бази повинна бути більше 140 мкм, а товщина р-області, виконаної дифузійним методом, не може бути більше, ніж 100-120 мкм. Тоді при більш-менш однорідному розподілі плазми в р- і п-областях приладу зустріч фронтів відбудеться в п-базі (оскільки швидкість руху фронту в р-області втроє більше), і обрив струму буде досить повільним. Наносекундний обрив струму в кремнієвому р+рпп+-діоді можна здійснити, якщо зробити тривалість імпульсу прямого струму досить малою для того, щоб більша частина загальної кількості виведеної плазми була зосереджена в р-області.

Основний експериментальний результат цих робіт наведений .

Через зразок проходив імпульс прямого струму I>F> з амплітудою 3 А і тривалістю від 0,4 до 1,2 мкс, а потім прикладався імпульс зворотної напруги, що наростає до 1,7 кВ за 40 нс (крива 4, I>F> = 0). Добре видно, як у міру зменшення t>F> скорочується час наростання напруги на діоді до ~ 2 нc при t>F> = 400 нc. Процеси, що відбуваються при цьому, схематично показані на рис. 3.3.

Рис. 3.3.

а) будова напівпровідникової структури; штриховою лінією показаний розподіл плазми після протікання короткого імпульсу прямого струму,

б) рух плазмових фронтів при протіканні імпульсу зворотного струму,

в) утворення ООЗ після закриття фронтів.

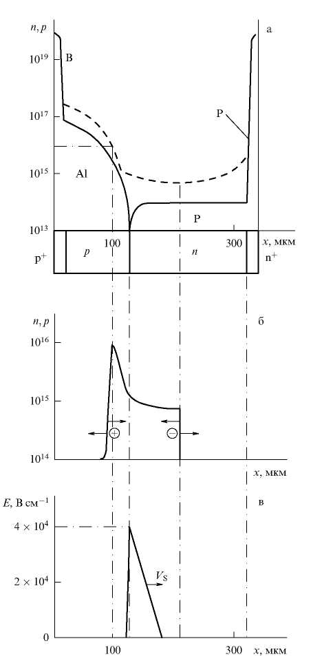
Досліджені р+рпп+-структури (рис.3.3а) виготовлені за допомогою спільної дифузії А1 і В у п- Sі з концентрацією донорів 1014 см-3>,> глибина рп-переходу 120 мкм, товщина р+-шару 50 мкм, товщина п-бази 200 мкм, робоча площа 0,3 см2. п+-область виготовлена за допомогою дифузії фосфору на глибину 50 мкм. Форма розподілу плазми при накачуванні коротким (400 нс) імпульсом струму показана на рис. 3.3а штриховою лінією. Поблизу р+-шару формується тонкий шар електронно-діркової плазми з концентрацією порядку 1017 см-3, товщина якого зростає внаслідок дифузії.

Перед цим шаром утвориться концентраційна хвиля, фронт якої в умовах біполярного дрейфу (при концентрації ~ 1015 см-3) швидко переміщується до п+-шару.

У результаті формується різко неоднорідний розподіл - більша частина (~ 75 %) плазми зосереджена в р-шарі. Коли через прилад проходить швидко наростаючий імпульс зворотного струму, фронт концентраційної хвилі швидко рухається у зворотну сторону від п+-шару до рп-переходу (рис. 3.3б). Одночасно поблизу р+р-переходу концентрація плазми зменшується через винос дірок вліво, і концентраційний фронт, що утворився, рухається вправо до рп-переходу. Співвідношення між параметрами імпульсів прямого і зворотнього струмів для конкретної конструкції р+рпп+-структури вибирається так, щоб фронти зустрілися поблизу рп-переходу. Починаючи із цього моменту в діоді вже немає плазми, а протікання зворотного струму здійснюється за рахунок переміщення основних носіїв у протилежних напрямках від рп-перехода (рис. 3.3в). При цьому поблизу рп-переходу утвориться ООЗ, напруга на діоді різко зростає, а струм через нього обривається. Швидкість цього процесу визначається в основному швидкістю переміщення границі ООЗ у п-базі. Процес нагромадження плазми при протіканні струму через діод вивчений досить докладно. Фундаментальним процесом, що обмежує гранично можливу концентрацію плазми в кремнії, є рекомбинація, через яку τ>пр > різко знижується з ростом концентрації від ~7·10-5 при п<< 1017 см-3 до 10-9 із при п <<1019 см-3. Ще більш істотним обмеженням є те, що кремнієві р+р- і п+п-гомопереходи є далеко не ідеальними інжекторами дірок й електронів. З ростом густини струму коефіцієнт інжекції знижується через відхід нерівноважних носіїв через потенційні бар'єри у високолеговані р+- і п+-шари з дуже високою швидкістю рекомбінації. Потік через бар'єр приблизно пропорційний квадрату концентрації плазми, що обмежує можливість збільшення кількості накопиченої плазми в діоді шляхом збільшення густини прямого струму. Звичайно ця густина становить 30 - 50 А/см2 , а накопичений заряд у плазмі при тривалості імпульсу, наприклад, 400 нс дорівнює (10 - 15)х10-6 Кл/см2. Тоді при лінійному наростанні імпульсу зворотного струму необхідна робоча густина його (~ 200 А/ см2) буде досягнута за 100-150 нс, після чого струм обірветься, тому що плазма буде повністю виведена з діода. На практиці через різні втрати заряду цей час повинен бути істотно меншим. Описаний вище прилад був названий дрейфовим діодом з різким відновленням (ДДРВ).

Діапазон робочих напруг ДДРВ звичайно лежить у межах від 500 до 1700 В, що відповідає рівню легування вихідного кремнію від 1015 см-3 до 1014 см-3 і граничній швидкодії від ~ 0,6 до ~ 2 нс; при більшому рівні легування утруднюється процес одержання глибоких дифузійних рп-переходів з малою поверхневою концентрацією домішки, а при п>0><<1014 см-3 спадання напруги на п-базі після проходження заднього фронту концентраційної хвилі стає занадто великим. Виявилося, що, незважаючи на порівняно малу робочу напругу одиничних приладів, створення на їхній основі високовольтних – на сотні кіловольтів – збірок не є серйозною проблемою. Оскільки висока напруга прикладається до приладу тільки в процесі обриву струму, тобто на кілька наносекунд, протягом яких поверхневий пробій не встигає розвитися, то немає необхідності ні в дільниках напруги, ні в спеціальній конструкції крайового контуру приладу, що значно спрощує конструкцію збірок.

Принципово важливе значення для генерації високовольтних наносекундних імпульсів має синхронність процесу відновлення великої кількості діодів, з'єднаних послідовно. Зрозуміло, амплітуда й тривалість імпульсу прямого струму, а також швидкість наростання імпульсу зворотного струму є строго однаковими для всіх діодів збірки, однак загальна кількість плазми, введеної в р- і п-області імпульсом прямого струму, і форма її розподілу, у принципі, можуть відрізнятися від діода до діода через розброс часу життя носіїв у р- і п-шарах. Це може привести до неузгодженості відновлення діодів у часі, і сумарний процес обриву струму сповільниться. Виявилося, однак, що розроблені технологічні процеси забезпечують достатню відтворюваність цих параметрів для одержання наносекундного обриву струму в збірці, оскільки тривалість імпульсу прямого струму (сотні наносекунд) багато менше середнього часу життя τ>> нерівноважних носіїв у р- і п-шарах, а коефіцієнт інжекції р+р-переходу практично однаковий у всіх приладів.

Амплітуда імпульсу зворотного струму одиничного елемента ДДРВ може бути дуже великою, оскільки простота технології дозволяє виготовляти прилади на кремнієвих пластинах будь-яких діаметрів, використовуваних у промисловості (до 125 мм). Однак експерименти показують, що на пластинах діаметром більше 25 мм тривалість процесу обриву струму зростає зі збільшенням діаметра. Передбачається, що це зв'язано зі скін-ефектом, але цілеспрямованих досліджень цієї проблеми проведено не було. Робоча площа приладу на пластині діаметром 25 мм дорівнює ~ 4 см2, тобто при J>R> = 200 А/см2 амплітуда імпульсу становить 800 А, а імпульсна потужність дорівнює 1,2 МВт при робочій напрузі 1,5 кВ. З таких приладів, оскільки їх легко з'єднувати послідовно й паралельно, можна створювати генератори наносекундних імпульсів великої потужності. Поява ДДРВ в 1983-1985 р. привела до радикальних змін у потужній напівпровідниковій імпульсній техніці - генератори наносекундних імпульсів потужністю в десятки мегаватів, що працюють на частотах у сотні герц, стали цілком звичайними. Робоча частота ДДРВ-збірок, у принципі, може бути дуже високою, оскільки після проходження імпульсів прямого й зворотного струмів (тобто через ~ 500 нс після початку циклу) наступний цикл може починатися практично відразу. У дійсності ж частотні можливості визначаються тепловими обмеженнями у формувачах імпульсів прямого і зворотнього струмів, де як ключі звичайно використовуються транзистори (польові або біполярно-польові).

У деяких областях застосування, зокрема, у лазерній техніці, затримка між керуючим сигналом і потужним наносекундним імпульсом повинна бути мінімально можливою. У пристроях на основі ДДРВ ця затримка визначається сумарною тривалістю імпульсів прямого і зворотнього струмів й не може бути менше 200-300 нс, причому основна її частина - це тривалість імпульсу прямого струму. Якщо створити напівпровідникову структуру, у якій необхідна для різкого обриву зворотного струму неоднорідність розподілу плазми забезпечується при постійному прямому струмі, то затримка буде дорівнювати тривалості імпульсу зворотного струму й може бути зменшена до 15-20 нс. Такі структури були створені шляхом зниження коефіцієнта інжекції п+п-перехода в р+рпп+-структурі за допомогою строго контрольованого зниження рівня легування п+-шару в тій його області, з якої відбувається інжекція електронів. У цій структурі концентрація плазми в п+п-переході при протіканні прямого струму набагато менше, ніж у р+р-переході, і при протіканні імпульсу зворотного струму першим утвориться плазмовий фронт не в р+р-, а в п+п-переході. Як показали експерименти, у такому діоді з інверсним порядком відновлення, робоча густина прямого струму істотно нижче, ніж у ДДРВ, і трохи менша накопичена кількість плазми. Однак оптимальна густина зворотного струму повинна мати таку ж величину, як й у ДДРВ, тому час наростання зворотного струму повинне бути не більше 15-20 нс, що й визначає час затримки імпульсу.

3.2. SOS-діоди.

Як було показано в попередньому розділі, робоча густина струму в дрейфових діодах з різким відновленням принципово не може перевищувати 200-300 А/см2, а скін-ефект обмежує можливість збільшення робочої площі діода вище ~ 4 см2. Тому для створення на основі ДДРВ розмикачів гігаватного діапазону потужностей, який би розмикав струми у десятки кілоампер із робочою напругою в сотні кіловольтів необхідно з'єднувати паралельно й послідовно дуже велику кількість діодів. Оцінки показують, що вартість і складність таких систем стає нереально високою.

Прорив в область гігаватних потужностей відбувся в 1992-1993 р., коли в Інституті електрофізики (ІЕФ) УрВ РАН було експериментально встановлено, що при дуже великих густинах струмів прямий і зворотний струми (на один-два порядки більші, ніж оптимальні для ДДРВ-режиму) у певному діапазоні густин струмів і тривалостей імпульсів також спостерігається різкий обрив струму, причому механізм його явно відрізняється від ДДРВ. Наступні експерименти й розрахунки дозволили створити фізичну картину цього явища, яке автори назвали SOS-ефект (SOS - Semiconductor Opening Switch).

Фізико-математичне моделювання SOS-процесу полягало в спільному чисельному розв’язку рівняння Кірхгофа для електричної схеми з SOS-діодом, рівнянь неперервності потоку для електронів і дірок у діодній структурі й рівняння Пуассона. Як приклад на рис. 3.4 наведені розрахункові параметри SOS-процесу при накачці й відновленні зборки, що складає з 160 диодных р+рпп+-структур із площею 0,36 см2, глибиною залягання рп-перехода 165 мкм, товщиною п-базы ~ 65 мкм і концентрацією донорів у ній 1014 см-3.

а)Розподіл концентрації електронів п (суцільна лінія) і дірок р (штрихова) наприкінці імпульсу прямого струму при І> = 0,8 кА·см-2 і тривалості 360 нс.

б, в) Розподіл надлишкової концентрації дірок р і напруженості поля при обриві імпульсу зворотного струму J>Rm>>ах >= 4,2 кА·см-2 у момент максимальної напруги на структурі.

Технологія виготовлення дифузійних шарів аналогічна описаній в попередньому розділі. Опір навантаження становив 200 Ом. Розрахунковий розподіл плазми в приладі в кінці накачування коротким (~ 360 нс) імпульсом прямого струму J>R> = 0,8 кА·см-2 показано на рис. 3.4а; на рис. 3.4б показано положення плазмових фронтів, а на рис. 3.4в розподіл поля при обриві струму із щільністю 4,2 кА·см-2 і часом наростання 35 нс.

Добре видно, що через велику густину прямого струму концентрація плазми, внесеної біполярним дрейфом у центральну частину діода, вище, ніж у ДДРВ-процесі. Швидко наростаючий імпульс зворотного струму формує круті плазмові фронти в р- і п-шарах, що рухаються назустріч один одному, причому фронт у р-області рухається з істотно більшою швидкістю. Густина потоку дірок, що виносяться полем із плазми через ліву границю: безупинно росте з ростом струму, а плазмовий фронт, переміщаючись вправо по дифузному р-шару, проходить області з неперервно зменшуваною концентрацією легуючої акцепторної домішки. При р > N> об'ємний заряд нескомпенсованих вільних дірок створює електричне поле, обумовлене різницею концентрацій дірок, що рухаються з насиченою швидкістю, і концентрацією нерухомих акцепторів. Напруженість поля різко наростає, а ширина області об'ємного заряду збільшується в міру переміщення границі плазми.

На цьому етапі напруга на діоді швидко збільшується, а струм переходить у навантаження, включене паралельно діоду. Зменшення струму через діод, природно, зменшує густину потоку дірок в ООЗ (за час порядку часу прольоту ~ 0,2 нс), але одночасно зменшується й концентрація акцепторів, оскільки границя зміщається до рп-переходу; це затримує спад напруженості поля в ООЗ. Розрахунок показує, що при спаді струму на 30-40 % поле в ООЗ досягає порогу ударної іонізації в кремнію (>2·105 В·см-1), що приводить до появи електронного компоненту струму в ООЗ, що зменшує швидкість руху фронту:

(3.2)

Принципово важливою особливістю SOS-процесу є те, що всі описані явища відбуваються в досить сильно легованій р-області; на відміну від ДДРВ-процесу, рп-перехід і слабко легована п-база залишаються "залитими" елктронно-дірковою плазмою високої густини й майже ніякої участі в обриві струму не приймають. Другою важливою особливістю SOS -ефекту є те, що через ударну іонізацію в ООЗ виведений з діода заряд може бути істотно більший від "накачаного" імпульсом прямого струму.

Моделювання показало, що основний вплив на динаміку обриву струму робить форма початкового розподілу плазми в діоді й форма розподілу легуючої домішки в р-шарі. Експериментально було підтверджено, що чим коротший імпульс прямого струму (тобто чим більша кількість плазми втримується у вузькій області р+р-переходу) і чим менший градієнт концентрації домішок у р-шарі (тобто чим глибше розташований рп-переход), тим швидше протікає процес обриву струму. Так, при надглибокому рп-переході (180 – 200 мкм) і короткому (десятки наносекунд) імпульсі зворотного струму обрив струму протікає за час, менше наносекунди.

Розрахунок й експерименти показали, що максимальна напруга на р+рпп+-структурі в процесі обриву струму звичайно становить 750-850 В і для генерації високовольтних імпульсів необхідно з'єднувати послідовно велику кількість діодів. Спеціально проведені дослідження дозволили встановити, що можливий технологічний розброс у ширині р-області не приводить до істотної різниці в напругах на діодах, оскільки, хоча в структурах з більшою глибиною рп-перехода процес формування ООЗ починається пізніше, розширення цієї області відбувається швидше, ніж при меншій глибині переходу, і на завершальній стадії процесу різниця в напругах невелика (~ 4 %). Тому SOS-діоди можуть з'єднуватися послідовно без яких-небудь зовнішніх дільників напруги. Типова конструкція зборки SOS-діодів показана на рис. 3.5, а в таблиці наведені основні характеристики зборок, які випускаються на даний час промисловістю. Переривач являє собою послідовну збірку елементарних діодів, стягнутих між собою діелектричними стяжками між двома вихідними пластинами – електродами. Кожен елементарний діод складається з охолоджувача, на який напаяно кілька послідовних напівпровідникових структур.

Типова осцилограма зворотного струму через SOS-діод із площею структури 1 см2. Величина розривного струму складає 5,5 кА, час обриву струму за рівнем 0,1 – 0,9 від амплітуди – 4,5 нс. Швидкість комутації - 1200 кА/мкс, що приблизно на 3 порядки перевищує швидкість наростання струму у звичайних швидкодіючих тиристорах.

Самий потужний прилад при площі структури 4 см2 має робочу напругу 200 кВ й обриває струм величиною 32 кА, що відповідає розривній потужності 6 ГВт. Показаний прилад, розроблений для високої частоти проходження імпульсів у постійному режимі. Прилад має більш розвинену систему охолоджувачів, він створений для розриву струмів величиною 1-2 кА при напрузі 100-120 кВ із частотою проходження імпульсів 2 кГц. Прилад на поз. 5 розроблений для формування імпульсів тривалістю декілька наносекунд. При короткому часі накачування він обриває струм величиною 1 кА за 500 пс.

Таблиця 3.1. Параметри SOS-діодів

Параметр

Значення

Робоча напруга

60 - 250 кВ

Кількість послідовних структур

80 - 320

Площа структури

0,25 - 4 см2

Густина прямого струму

0,4 - 2 кА/ см2

Густина розривного струму

2 - 10 кА/ см2

Час прямої накачки

300 - 600 нс

Час зворотної накачки

40 - 150 нс

Час обриву струму

1 - 10 нс

Розсіювана потужність

50 - 500 Вт

Довжина

80 - 220 мм

Маса

0,1 - 0,6 кг

Дослідження й експлуатація розроблених SOS-діодів у складі різних імпульсних генераторів показали їх надзвичайно високу надійність і здатність витримувати багаторазові перевантаження по струму й напрузі; при цьому частота проходження імпульсів може бути доведена до 104 Гц. Були проведені спеціальні стендові випробування з метою навмисного виводу приладів з ладу. Виявилося, що збільшення густини струму й швидкості його введення на порядок (з 5 до 50 кА/см2) приводить лише до збільшення втрат енергії на стадії накачування й зниження ефективності роботи переривача струму, не виводячи їх з ладу. При цьому структури працюють як активний опір, що обмежує струм накачки, оскільки при таких густинах струму процес модуляції бази супроводжується виникненням більших прямих напруг. Спроби вивести SOS-діод з ладу за допомогою високої робочої напруги (прилад з робочою напругою 120 кВ встановлювався в генератор з вихідною напругою 450 кВ) показали, що при обриві струму SOS-діод працює як обмежувач напруги (амплітуда імпульсу не перевищувала 150 кВ), споживаючи при цьому енергію з конденсатора накачування. Модельні розрахунки для такого режиму роботи встановили різке збільшення інтенсивності процесів лавинного розмноження носіїв в області з електричним полем і відповідне зниження опору структури на стадії обриву струму.

На основі SOS-діодів розроблено велику кількість потужних генераторів імпульсів для різних областей сучасної техніки. До появи SOS-діодів такий рівень параметрів у напівпровідниковій наносекундній імпульсній техніці уявлявся неможливим. Можливості використання SOS-діодів у генераторах потужних наносекундних імпульсів істотно поліпшуються при використанні магнітних ключів і магнітних компресорів.

3.3. Розмикачі струму на основі карбіду кремнію.

Всі описані вище потужні розмикачі виконані на основі базового матеріалу всієї напівпровідникової електроніки - монокристалічного кремнію. Однак в останні 5-6 років з'явилася реальна можливість створення силової напівпровідникової електроніки й, зокрема, потужної імпульсної техніки на основі монокристалічного карбіду кремнію (SiС).

Ширина забороненої зони, наприклад, у політипу 4Н-SiС дорівнює 3,24 еВ, тобто значно більше, ніж в Si (1,12 еВ), і тому гранична робоча температура, що обмежується швидкістю теплової генерації носіїв, у SiС-приладів приблизно втроє вища, ніж у кремнієвих (~ 600 °С замість 200°С). Критичне поле лавинного пробою в SiС на порядок перевищує значення для Si; швидкість насичення електронів приблизно вдвічі, а теплопровідність приблизно втроє вище, ніж у кремнія. Такий комплекс переваг дозволяє, у принципі, різко підняти швидкодію, потужність і надійність всіх приладів силової електроніки. Роботи в цьому напрямку ведуться у багатьох лабораторія світу і до теперішнього часу експериментально доведена можливість створення SiС-аналогів усіх без винятку кремнієвих приладів силової електроніки.

Можливість створення SiС-аналога кремнієвого ДДРВ була вперше продемонстрована в [4,11]. р+піп+- і р+р>о>п+-структури 4Н- SiС були вирощені осадженням з газової фази на п+-підкладках при температурі 1500° С. Базова область п-типа товщиною 40 мкм мала концентрацію легуючої домішки (азоту) п>0>= (3-5)·1014 см-3, а 12-мікронна область р-типу мала концентрацію алюмінію 8·1014 см-3, діаметр діодів був рівним 0,6 мм. Осцилограми процесу відновлення при постійному прямому струмі 0,4 А .

У р+р>о>п+-структурі спостерігається різкий субнаносекундний обрив зворотного струму, що наростає за 10 нс до амплітуди 0,8 А, а в п+пор+-структурі процес обриву триває ~ 12 нс. Ці результати були, загалом кажучи, передбачувані, оскільки в епіиаксіальних структурах з різкими блокуючими р+по- і р+по-переходами й дуже великою різницею в рухливостях електронів і дірок ( в 4Н-SiС) швидкий обрив зворотного струму можливий тільки в тому випадку, коли через блокуючий перехід протікає електроний струм. Чисельний розрахунок процесу відновлення показав, що в р+п>0>п+-структурі з різкими переходами задній плазмовий фронт утвориться (як й у кремнієвих ДДРВ) поблизу р+р>о>-переходу й приходить до блокуючого п+р>о>-переходу раніше, ніж там спадає до нуля концентрація плазми. Після приходу фронту в приладі більше не залишається плазми, і зворотний струм протікає тільки за рахунок відходу основних носіїв від п+р>о>-перехода, що приводить до швидкого утворення ООЗ й обриву струму.

Прості оцінки показують, що характеристики розриваючого ключа на основі SiС можуть бути дуже високими. Наприклад, одиночний р+р>о>п+-діод з напругою пробою 10 кВ (товщина бази W>р0> << 100 мкм, концентрація донорів N>d> = 7· 1014 см-3) буде мати граничний час обриву струму близько 1 нс й густину зворотного струму А/см2.

SOS-розмикачі, у принципі, теж можуть бути виконані на основі SiС. Для цього необхідно при вирощуванні р+рп>о>п+- або п+пр>о>р+-структур забезпечити необхідний градієнт концентрації легуючої домішки в р- або п-шарі шляхом програмної зміни вмісту легуючої домішки в газовому потоці при вирощуванні цих шарів. Такий процес досить складний, і робіт зі створення SiС -аналогов кремнієвого SOS-діода поки ще не проводилося.

Розділ 4. Промислові генератори імпульсів на основі ДДРВ й SOS-діодів.

Для проведення досліджень сучасна експериментальна фізика потребує потужних джерел живлення лазерів та прискорювачів заряджених частинок, рентгенівських апаратів та генераторів надвисокочастотних імпульсів. Стандартним способом формування таких імпульсів є попереднє, порівняно повільне, нагромадження енергії в спеціальному пристрої, а потім швидка його комутація на навантаження. Найчастіше в таких завданнях використаються ємнісні накопичувачі. Однак можуть застосовуватися й інші типи накопичувачів, зокрема, індуктивні накопичувачі, які мають незаперечні переваги перед ємнісними накопичувачами.

Істотним стримуючим фактором на шляху використання індуктивних накопичувачів, до останнього часу, була відсутність ключів, які могли б розривати великі струми і відразу після цього витримувати без пробою високі зворотні напруги. У пристроях, що формують імпульси з енергією до одиниць мегаджоулів і більше, як переривачі і дотепер ще використаються провідники, які у певний момент часу згоряють. Однак такі комутатори мають досить обмежену область застосування й практично не використовуються широко.

В останнє десятиліття все більше поширення одержують пристрої формування потужних високовольтних імпульсів з індуктивними накопичувачами, у яких на основі твердотільних ключів-розмикачів використовують SOS – діоди. Для того щоб SOS – діод здійснив переривання струму в колі, забезпечується режим накачування: спочатку через нього пропускають імпульсний струм у прямому напрямку, а потім удвічі більший струм – у зворотному напрямку. Створюються умови, при яких діод якийсь час залишається провідним у зворотному напрямку, а потім обриває струм поблизу максимуму.

В Уральськом відділенні Інституту електрофізики РАН (Єкатеринбург) розроблена серія багаторазових мобільних SOS-генераторів електромагнітного випромінювання, інтенсивність та проникна здатність випромінювання, яких набагато вище, ніж у високовольтних магнітних генераторів.

Відсутність в SOS-генераторах газорозрядних комутаторів знімає принципові обмеження на частоту повторення імпульсів. У тривалому режимі роботи ця частота обмежена тепловими навантаженнями на елементи генератора, у першу чергу на сердечники магнітних ключів, а при короткочасному включенні генератора в режимі пакета імпульсів – частотними можливостями, тобто часом відновлення тиристорів і часом заряду первинного накопичувача. Режим пакету імпульсів, коли генератор працює від десятків секунд до декількох хвилин із частотою й вихідною потужністю у кілька разів перевищуючими номінальні, важливий саме для перспектив застосування в експериментальній фізиці, військовій сфері.

Одним із перших був створений генератор SM-2NS, який дозволяє отримувати вихідну напругу від 150 до 250 кВ, тривалість імпульсів складає від 3 до 4 нс, потужність імпульсу близько 100 MВт, частота слідування імпульсів – 3 кГц.

Найбільш потужний серед генераторів наносекундного класу - S-5N система охолодження елементів якого проточною водою споживає до 15 л/хв.

Він дозволяє отримувати вихідну напругу 400 – 1000 кВ, струм на навантаженні 1-3 кА, тривалість імпульсу 30 - 50 наносекунд. Часто­та слідування імпульсів: постійно – 300Гц, пачка (30 с) - 900 Гц. Цей генератор використовувся в експериментах по запалюванню коронних розрядів великого об'єму, які можуть знайти застосування в нових технологіях очищення повітря від шкідливих і токсичних домішок. Серед субнаносекундних генераторів найкращі показники досягнуті в моделі SM-3NS, у якій застосований новий тип SOS-діодів - субнаносекундні.

Із його допомогою можна отримувати імпульси вихідної напруги величиною до 400 кВ та тривалістю до 5 наносекунд. На рис. 4.3 наведена осцилограма такого генератора імпульсів.

Інтенсивні дослідження шляхів поліпшення характеристик SOS-генераторів тривають. Зокрема, у російських наукових центрах опрацьовується застосування цих генераторів для живлення широкополосних НВЧ - випромінювачів, а також як засоби накачування потужних газових лазерів. Розроблені в Росії прилади й експериментальні установки широко експлуатуються за кордоном у різних наукових організаціях: у США - у Ліверморській національній лабораторії, Дослідницькій лабораторії ВМС США, Техаському технологічному університеті, Дослідницькій лабораторії Армії; у Німеччині - у Дослідницькому центрі Карлсруе; у Республіці Корея - компанією LG Industrial Systems; в Ізраїлі – ядерним дослідницьким центром SOREQ NRC, фірмою Exion Technologies.

Висновок.

У роботі розглянуто характеристики напівпровідникових наносекундних діодів для розмиканні великих струмів.

У представленій роботі проведено опис роботи напівпровідникових діодних розмикачів струму для потужної наносекундной імпульсної техніки. Особливий інтерес представляють два типи кремнієвих діодних розмикачів: ДДРВ й SOS-діод. За допомогою ДДРВ вдається перемикати потужність до сотень мегаватів за наносекунду при щільності струму порядку 102 А/см2. SOS – діоди дозволяють перемикати потужності в кілька гігават за такі ж короткі часи при щільності струму більше 103 А/см2.

Створення ДДРВ й SOS – діодів привело до створення нових потужних генераторів наносекундних імпульсів, стало можливим розробляти генератори нано- і субнаносекундних імпульсів з напругою 103 - 106В, при частоті проходження імпульсів до 104 Гц і практично необмеженому терміну служби.

Розробка генераторів потужних наносекундних імпульсів з індуктивним нагромадженням енергії й напівпровідникових переривачів струму дала великий стимул для розвитку робіт з релятивістської НВЧ електроніки, широкосмугової радіолокації, систем живлення лазерів, прискорювачів електронів, імпульсних рентгенівських апаратів і т.д.

РЕЦЕНЗІЯ

на дипломну роботу студента __ курсу гр. ____

кафедри побутової електронної апаратури факультету інженерних

технологій ВМУРоЛ "Україна"

Спеціальність:

Тема: НАПІВПРОВІДНИКОВІ НАНОСЕКУНДНІ ДІОДИ ДЛЯ РОЗМИКАННЯ ВЕЛИКИХ СТРУМІВ.

Дипломний проект присвячений вивченню напівпровідникових наносекундних діодів для живлення імпульсної техніки.

В першому розділі на основі літературних даних розглянуто типи напівпровідників та їх основні властивості, проаналізовано властивості потужних силових діодів, їх ВАХ. В результаті аналізу науково-технічної літератури вибрані шляхи рішення задачі і визначені основні труднощі, які необхідно здолати.

В другому розділі проведено розгляд основних властивостей напівпровідникових перемикачів, розглянуто їх основні характеристики та шляхи їх покращення.

Третій розділ присвячено розгляду основних типів напівпровідникових перемикачів високого струму, розглянуто дрейфові діоди із різким відновленням (ДДРВ), SOS-діоди, які виготовлені як із монокристалів кремнію так і із карбіду кремнію. Встановлено параметри роботи перемикачів та їх особливості виготовлення та експлуатації.

Четвертий розділ присвячено розгляду можливих шляхів використання ДДРВ та SOS-діодів в експериментальній фізиці, розглянуто технічні характеристики створених на їх основі імпульсних генераторів великих струмів.

Конструкторська документація і пояснювальна записка виконані відповідно до вимог ЄСКД.

Дипломна робота заслуговує оцінки „__________", а студент __________________ присвоєння кваліфікації „__________________" за фахом „_________________________".

РЕЦЕНЗЕНТ:

ВІДГУК

на дипломну роботу студента __ курсу гр. ____

кафедри побутової електронної апаратури факультету інженерних

технологій ВМУРоЛ "Україна"

Спеціальність:

Тема: НАПІВПРОВІДНИКОВІ НАНОСЕКУНДНІ ДІОДИ ДЛЯ РОЗМИКАННЯ ВЕЛИКИХ СТРУМІВ.

У сучасному арсеналі експериментальної техніки для проведення фізичних експериментів джерела потужних високовольтних імпульсів займають досить об'ємну "екологічну" нішу.Тому тема дипломного проекту є актуальною.

Дипломант виконав аналіз науково-технічної літератури по технічним і конструктивним особливостям напівпровідникових наносекундних перемикачах, їх використанню в експериментальній фізиці.

У процесі виконання проекту дипломантом досліджено напівпровідникові наносекундні діодів різного типу та їх характеристики. Розглянуто технологічні особливості виготовлення функціональних пристроїв на основі напівпровідникових наносекундних діодів.

Результати, отримані в процесі виконання дипломного проекту, можуть бути використані при розробці напівпровідникових наносекундних діодів для розмикання великих струмів. У процесі виконання дипломної роботи __________________ показав вміння самостійно працювати з науково-технічною літературою, проводити теоретичні дослідження та інженерні розрахунки.

Бакалаврська робота заслуговує оцінки «__________», а студент _______________ -присвоєння кваліфікації _________________________ за напрямком «Електронні апарати».

Науковий керівник, доцент кафедри ПЕА, к. т. н.

Анотація.

Розробка напівпровідникових нано- та субнаносекундних перемикачів високого струму є необхідною умовою подальшого розвитку експериментальної фізики, яка потребує перемикачів потужністю 1010 Вт із частотою слідування імпульсів до 104 Гц в дипломній роботі розглянуто два типи кремнієвих діодів: дрейфові діоди із різким відновлення (ДДРВ) та SOS-діоди, які дозволяють одержувати густини струмів порядку 102 A/см2 та потужності 108 Вт і 105 A/см2 та 1010 Вт відповідно.

SOS-діоди стали основою для створення двох типів наносекундних генераторів імпульсів великих струмів. У роботі розглянуто також можливість використання не тільки монокристалічного кремнію для створення ДДРВ та SOS-діодів, але і монокристалічного карбіду кремнію.

Annotation.

The development of semiconductor-based nano- and sub>nanosecond high current breakers is crucial for advancing modern research in experimental physics and radioelectronics, particularly with increasing power (to 1010 W) and repetition rate (to 104 Hz) of impulse devices. Highlighted in this graduation work are two types of silicon diodes: drift step recovery diodes (DSRDs) and SOS diodes with the attainable current densities and switched-off powers being 102 A/cm2 and 108 W in the former case, and 105 A/cm2 and 1010 W in the latter.

The study of the SOS-diodes showed that the current interruption time decreased to 500-600 ps when the reverse pumping time was reduced to 10-15 ns. The stage of sub>nanosecond interruption of current equal to 1 kA. The current cutoff time is 600 ps. The sub>nanosecond SOS diode served as the basis for development of two types short pulse generators. The possibility of utilizing not only monocrystalline silicon (as in DSRDs and SOS diodes) for the base material but also monocrystalline silicon carbide is examined.

Список використаної літератури.

    Викулин И.М., Стафеев В.И. Физика полупроводниковых приборов. - М.: Сов. радио, 1980. - 293 с.

    Крутякова М.Г., Чариков Н.А., Юдин Б.В. Полупроводниковые приборы и основы их проектрования. - М.: Радио и связь, 1983. - 350 с.

    Пасынков В.В., Чиркин Л.К., Шинков А.Д. Полупроводниковые приборы. - М.: Высш. шк., 1973. - 420 с.

    И. В. Грехов, Г. А. Месяц // Успехи физических наук. Т 175, № 7, 2005.

    С. А. Дарзнек, С. Н. Рукин, С. Н. Цыпанов // ЖТФ. Т 70, № 4, 2000.

    А. В. Рожков, В. А. Козлов // Физика и техника полупроводников. Т. 37, вип. 12, 2003.

    А. В. Рожков, В. А. Козлов, А. Ф. Кардо-Сысоев // Физика и техника полупроводников. Т. 37, вип. 12, 2003.

    Тучкевич В. М., Грехов И. В. Новые принципы коммутации больших мощностей полупроводниковыми приборами. – Л.: Наука, 1988. – 117 с.

    Дарзнек С.А., Котов Ю.А., Месяц Г.А., Рукин С.Н. // ДАН. 1994. Т. 334. № 3. С. 304-306.

    Месяц Г А Генерирование мощных наносекундных импульсов. – М.: Сов. радио, 1974., 234 с.

    Месяц Г. А. Импульсная энергетика и электроника. – М.: Наука, 2004. – 148 с.

    Гришанов Б.И. SOS-диоды – новые ключи в мощной импульсной технике // ДАН. 2004. Т. 178. № 2. с. 128-132.

1