Анализ эффективности инвестиционного проекта жилищного строительства ООО "Каскад"
Введение
В государстве с командно-административной экономикой категории «инвестиции» не находилось места как в экономической теории, так и в практике. За последние годы это понятие прочно вошло в экономическую литературу в странах Восточной Европы, включая государства СНГ, что объясняется началом рыночного реформирования экономики этих государств. В прошлом большинство авторов трактовало это понятие как совокупность затрат, которые реализуются в форме долгосрочных вложений капитала в отрасли народного хозяйства (производственные фонды), т.е. инвестиции, по сути, отождествлялись с понятием «капитальные вложения».
Зарубежные, а вслед за ними многие отечественные экономисты рассматривают инвестиции как долгосрочные вложения капитала в различные отрасли и сферы экономики, инфраструктуру, социальные программы, охрану среды как внутри страны, так и за рубежом, с целью развития производства, социальной сферы, предпринимательства, получения прибыли.
В связи с относительно недавним формированием понятия инвестиций и инвестиционной политики в их современном понимании, вопросы особенностей их формирования в России являются еще недостаточно разработанными, что обусловливает актуальность темы дипломного исследования.
Целью настоящей дипломной работы является анализ эффективности инвестиционного проекта жилищного строительства ООО «Каскад». Для достижения поставленной цели в работе решены следующие задачи:
показана сущность инвестиций и инвестиционной политики в их современном понимании;
проанализированы особенности правового регулирования инвестиционной деятельности в жилищном строительстве;
рассмотрены методологические аспекты разработки инвестиционной политики предприятия;
охарактеризованы основные современные методики определения эффективности инвестиций;
дана краткая характеристика ООО «Каскад»;
рассмотрены основные источники формирования инвестиций;
дана характеристика привлеченных средств как основного способа финансирования инвестиционного процесса в ООО «Каскад»;
разработан инвестиционный проект, схема финансирования, определена его эффективность.
Дипломная работа написана на 100 листах и состоит из введения, трех глав, разбитых на параграфы, заключения и списка использованной литературы.
Глава 1. Инвестиции и инвестиционная политика
1.1 Сущность инвестиций и инвестиционной политики
Инвестиции – вложения денежных средств в различного рода активы для дальнейшего получения доходов от них. Инвестициями называют покупку предприятиями нового оборудования, физическими лицами – ценных бумаг на фондовой бирже и прямые инвестиции в предприятия на конкретные производственные проекты.
В коммерческой практике принято различать три типа инвестиций с точки зрения объекта, на который они направлены:
Инвестиции в физические (реальные) активы (производственные здания, сооружения, любые виды машин и оборудования со сроком службы более одного года).
Инвестиции в нематериальные активы (ценности, получаемые фирмой в результате приобретения лицензий, разработки торговых знаков, переобучение или повышение квалификации персонала).
Инвестиции в денежные активы, или портфельные инвестиции (права на получение денежных сумм от других физических и юридических лиц в виде депозитов в банке, облигаций, акций или, другими словами, контракты, записанные на бумаге).
Инвестиции могут быть внешними и внутренними. Внутренние инвестиции предприятия – это инвестиции, осуществляемые за счет собственных источников, в частности нераспределенной прибыли. Внешние инвестиции привлекают извне посредством продажи акций и облигаций предприятия, получения банковских ссуд.
По срокам действия инвестиции разделяются на долгосрочные (более 12 месяцев) и краткосрочные (менее 12 месяцев).
Инвесторы на рынке ценных бумаг подразделяются на индивидуальных и институциональных. К индивидуальным инвесторам относятся сотрудники приватизированных предприятий, физические лица, приобретающие акции, облигации, векселя, депозитные и сберегательные сертификаты. Группу институциональных инвесторов составляют предприятия различных форм собственности, коммерческие банки, страховые компании, пенсионные фонды, а также инвестиционные компании и фонды.
Стратегические инвесторы приобретают крупные пакеты ценных бумаг для закрепления права собственности на определенное предприятие, участия в управлении и контроле предприятия-эмитента и др. Доходность фондовых ценностей их интересует в меньшей степени. Портфельные инвесторы заинтересованы в совокупной доходности ценных бумаг. Спекулятивные инвесторы приобретают ценные бумаги только для последующей продажи через определенный промежуток времени. Эти инвесторы стремятся получить максимальную прибыль за короткий промежуток времени.
Теория инвестиций – это часть финансовой теории, посвященная портфельным инвестициям. Изучает механизм принятия решений инвесторами и функционирование финансового рынка.
Существуют два основных теоретико-экономических подхода: нормативный (предписывающий инвестору, что и как делать) и позитивный (описывающий модели ценообразования и динамики рынков). Самыми важными их представителями являются соответственно две работы (получившие каждая Нобелевскую премию по экономике) – подход Гарри Марковица к проблеме оптимального портфеля и модель оценки финансовых активов (Capital Asset Pricing Model, САРМ) Уильяма Шарпа.
В качестве основных понятий теории инвестиций выделяют инвестиционную среду и инвестиционный процесс, которые и определяют выбор инвесторов. Основными компонентами инвестиционной среды являются ценные бумаги, обращающиеся на финансовом рынке, условия их продажи и приобретения; структура финансовых рынков, а также финансовые посредники, функционирующие на этих рынках и связывающие покупателей и продавцов.
Инвестиционный процесс состоит из выбора инвестиционной политики, или стратегии инвестора, анализа рынка ценных бумаг; формирования портфеля ценных бумаг; оценки эффективности портфеля и его пересмотра. Инвестиционная политика подразумевает выбор инвестором цели, объема инвестируемых средств, приблизительной структуры портфеля. Инвестор планирует, какой тип бумаг он будет покупать, на какой срок, на каком рынке. Разные инвесторы ставят перед собой различные цели в зависимости от индивидуальных предпочтений. Коротко этапы инвестиционного процесса заключаются в следующем:
1. Выбор инвестиционной политики (ответ на вопрос «что есть» и «что нужно»).
2. Анализ рынка – фундаментальное и техническое прогнозирование рисков и доходностей на рынке.
3. Формирование портфеля активов – распределение капитала между выбранными активами в определенной пропорции для достижения заданной цели.
4. Реструктурирование портфеля – изменение состава портфеля при изменении целей и внешних условий.
5. Оценка эффективности портфеля – сравнение качества управления портфелем с эталоном.
Инвестиционный портфель – это комбинация различных ценных бумаг, составленная инвестором в соответствии с его предпочтениями относительно риска и доходности.
Законом РСФСР «Об инвестиционной деятельности в РСФСР» инвестиции определяются как денежные средства, целевые банковские вклады, паи, акции и другие ценные бумаги, технологии, машины, оборудование, кредиты, любое другое имущество или имущественные права, интеллектуальные ценности, вклдываемые в объекты предпринимательской и других видов деятельности в целях получения прибыли (дохода) и достижения положительного социального эффекта.
Соответственно под инвестиционной деятельностью понимается вложение инвестиций (инвестирование) и совокупность практических действий по реализации инвестиций. Инвестирование в создание и воспроизводство основных фондов осуществляется в форме капитальных вложений.
Это определение, в основном, соответствует международному подходу к представлениям об инвестиционной деятельности как процессу вложения ресурсов (благ, имущественных и интеллектуальных ценностей) с целью получения прибыли, дохода, дивиденда (социального эффекта) в будущем. Иными словами, инвестор отказывается от удовлетворения насущных потребностей в расчете на ожидаемое удовлетворение их в будущем, но уже в больших размерах. В соответствии с Законом, к имущественным и интеллектуальным ценностям, вкладываемым в предпринимательскую деятельность, относятся:
– денежные средства, целевые банковские вклады, паи, акции и другие ценные бумаги;
– движимое и недвижимое имущество (здания, сооружения, оборудование) и другие материальные ценности;
– имущественные права, вытекающие из авторского права, опыта и других интеллектуальных ценностей;
– совокупность технологических, технических, коммерческих и других знаний, оформленных в виде технической документации, навыков и производственного опыта, необходимых для организации того или иного вида производства, но не запатентованных («ноу-хау»);
– права пользования землей, водой, ресурсами, зданиями, сооружениями, оборудованием, а также иные имущественные права и другие ценности.
Совокупность указанных ценностей, обращающихся на рынке, принято относить к объектам инвестиционной деятельности. Некоторые ученые-экономисты к этой совокупности относят также «финансовые права», которые вытекают из взаимосвязи инвестиций и государственного регулирования условий инвестиционной деятельности, прежде всего, налогово-амортизационной политики. Это имеет место при предоставлении государством налоговых льгот инвестору (снижение ставки налога на прибыль) или установлении льготных норм амортотчислений (ускорение амортизации). Такие налогово-амортизационные преференции дают экономический эффект, исходя из возврата средств в будущем и поэтому государством (муниципальными органами) этот эффект должен оцениваться (дисконтироваться).
На рис. 1.1 приведена схема классификации инвестиций по формам. Фонд накопления как сберегаемая часть национального дохода является основным источником инвестиций. Условно он может быть подразделен на фонд возмещения и фонд обновления. За счет этих фондов осуществляются соответственно валовые и чистые (в их составе) инвестиции.
Валовые инвестиции характеризуют общий объем средств, направляемых в воспроизводство: новое строительство, реконструкцию и расширение, техническое перевооружение, а также поддержание действующих мощностей.
Чистые инвестиции в таком контексте представляют собой вложения средств во вновь создаваемые производственные фонды и обновляемый производственный аппарат. Они меньше валовых на величину средств, направляемых из фонда возмещения в виде амортизационных отчислений на полное восстановление. Средства, инвестируемые из фондов возмещения и обновления, характеризуют в конечном итоге соотношение между простым и расширенным воспроизводством.
В экономической теории принципиальным классифицирующим признаком деления инвестиций по формам считается выделение финансовых и реальных инвестиций. Выделение из общего объема инновационной формы инвестиций и интеллектуальных инвестиций в ряде случаев условно, поскольку интеллектуальные инвестиции в большей части являются инновациями.

Рис. 1.1 – Классификация инвестиций
Финансовые инвестиции – это вложения средств в различные финансовые инструменты: фондовые (инвестиционные) ценные бумаги, специальные (целевые) банковские вклады, депозиты, паи и т.д.
Реальные инвестиции – это вложения в производственные фонды (основные и оборотные). В основном, это вложения в материальные активы – здания, сооружения, оборудование и другие товароматериальные ценности, а также нематериальные активы (патенты, лицензии, «ноу-хау», техническая, научно-практическая, инструктивная, технологическая, проектно-сметная и другая документация).
Инновационная форма инвестиций (вложения в новшества) – это, в основном, вложения в нематериальные активы, обеспечивающие развитие НТП и успешное противодействие конкурентам на товарных рынках.
В промышленно развитых странах с высоким уровнем техники и технологии инновации по своему содержанию и составу приближаются к реальным инвестициям. Однако в отдельные периоды приходится осуществлять инвестиции и в поддержание технически отсталых малопроизводительных отраслей и производств.
Интеллектуальные инвестиции – это вложения в творческий потенциал общества, объекты интеллектуальной собственности, вытекающие из авторского права, изобретательского и патентного права, права на промышленные образцы и полезные модели. В большей части по своему содержанию и направлениям интеллектуальные инвестиции одновременно являются инновациями. Кроме деления инвестиций по направлениям вложения средств (финансовые и реальные) в экономической теории существует множество признаков, по которым они выделяются в зависимости от целей исследования объекта инвестирования.
Исходя из источников финансирования различают: собственные средства инвестора, заемные (государственный кредит, кредиты коммерческих банков и других финансово-кредитных учреждений), привлеченные средства (средства других инвесторов и вкладчиков).
По формам собственности инвестиции делятся:
– государственные – финансируемые из госбюджета, местных бюджетов, госпредприятиями;
– частные – средства населения (индивидуальных инвесторов), коммерческих структур, коллективных предприятий;
– иностранные – заемные и кредитные ресурсы международных инвестиционных институтов, зарубежных корпораций и фирм, совместных предприятий.
В зависимости от сроков освоения инвестиции могут быть долгосрочными, среднесрочными и краткосрочными. Основное правило инвестирования гласит, что инвестиции должны быть долгосрочными (в зарубежной практике – более 1 года). Однако из-за неблагоприятного инвестиционного климата, нестабильности политической обстановки и высоких темпов инфляции инвесторы вынуждены искать объекты среднесрочных или краткосрочных вложений.
Важное значение имеет деление инвестиций на прямые и портфельные, особенно при экспорте капитала и создании транснациональных корпораций. Прямые инвестиции обычно осуществляются в форме кредита без инвестиционных посредников с целью овладения контрольным пакетом акций корпорации. Портфельные инвестиции, как правило, осуществляет пассивный инвестор, приобретая небольшую долю (пай) компании в надежде на получение пусть и небольших, но стабильных доходов. Такой инвестор обычно не стремится к управлению компанией, ее финансовое состояние интересует его только в момент выплаты дивидендов.
К субъектам инвестиционной деятельности Закон относит инвесторов и участников. Ими без всяких ограничений могут быть как граждане и юридические лица Российской Федерации, так и иностранные граждане и юридические лица и сами государства.
Таким образом, инвестор – субъект инвестиционной деятельности, который принимает решение о вложении собственных, заемных и привлеченных имущественных и интеллектуальных ценностей в объекты инвестирования.
Как предусматривает Закон, инвесторы могут выступать в качестве вкладчиков, покупателей, кредиторов, а также выполнять функции любого участника инвестиционной деятельности, т.е. вкладывать капиталы, покупать ценные бумаги, а также выполнять функции товаропроизводителей, проектировщиков, подрядчиков, субподрядчиков, заказчиков и застройщиков. Отнесение к числу инвесторов кредиторов является спорным.
Если инвестор – это лицо, которое вкладывает собственные и заемные средства, то по отношению к кредитору он должник. А кредитор, в свою очередь, как ссудодатель не может быть одновременно инвестором, поскольку предоставляемая им ссуда – это не вкладываемые средства, они подлежат возврату. В отдельных случаях банки и другие финансово-кредитные учреждения могут становиться инвесторами и осуществлять инвестиции, скажем, в составе финансово-промышленных групп, но тогда они не являются кредиторами.
Инвесторам в условиях рынка предоставляются очень широкие полномочия в соответствии с их экономической самостоятельностью. Это определение целей, направлений, видов и объемов инвестиций, определение состава других участников инвестиционной деятельности. Не допускается за рамками Закона вмешательство государственных органов и должностных лиц в реализацию договорных отношений между субъектами инвестиционной деятельности.
Субъекты инвестиционной деятельности реализуют свои экономические интересы, вступая в определенные взаимоотношения на инвестиционных рынках. Эти рынки регулируют процесс обмена инвестициями и инвестиционными объектами (товарами).
Инвестиционная деятельность – это последовательная совокупность действий ее субъектов (инвесторов и участников) по осуществлению инвестиций с целью получения дохода или прибыли. Каждое государство как субъект инвестиционной деятельности определяет правовые, экономические, социальные условия этой деятельности в своем законодательстве. В более узкой трактовке этого понятия употребляют термин «инвестиционный процесс». Это понятие обычно связывается с обоснованием и реализацией реальных инвестиций, т.е. с осуществлением реальных инвестиционных проектов.
1.2 Нормативно-правовое регулирование инвестиционной деятельности в жилищном строительстве
На рынке недвижимости в России обретает крупные масштабы такая форма приобретения недвижимости, как долевое участие в инвестировании строительства. Долевыми инвесторами могут выступать как физические, так и юридические лица. Документом, регулирующим эти правовые отношения, является договор о долевом участии в инвестировании строительства.
К законодательным актам, существенно улучшающим качество правового регулирования в данной сфере, можно отнести Федеральный закон от 30 декабря 2004 г. №215-ФЗ «О жилищных накопительных кооперативах», Градостроительный кодекс РФ, Федеральный закон от 11 ноября 2003 г. №152-ФЗ «Об ипотечных ценных бумагах», Федеральный закон от 30 декабря 2004 г. №214-ФЗ «Об участии в долевом строительстве многоквартирных домов и иных объектов недвижимости и о внесении изменений в некоторые законодательные акты Российской Федерации», Федеральный закон от 29 декабря 2004 г. №196-ФЗ «О внесении изменений в Федеральный закон «О государственной регистрации прав на недвижимое имущество и сделок с ним», Жилищный кодекс РФ.
Предмет регулирования Закона об участии в долевом строительстве – отношения, связанные с привлечением денежных средств граждан и юридических лиц для долевого строительства многоквартирных домов и (или) иных объектов недвижимости на основании договора участия в долевом строительстве (далее – «дольщики») и возникновением у участников долевого строительства права собственности на объекты долевого строительства (п. 1 ст. 1 Закона). В ином порядке денежные средства дольщиков могут привлекаться только в случаях, установленных законодательством РФ о жилищных накопительных кооперативах (п. 2 ст. 1). Это означает, что многим застройщикам при привлечении средств дольщиков придется отказаться от применяемых ими схем привлечения инвестиций: посредством договоров простого товарищества (совместной деятельности), посредством создания коммандитных товариществ (дольщик становился членом товарищества, вносил взнос и при выходе из товарищества получал в собственность квартиру). Закон применяется ко всем строящимся объектам недвижимости, разрешения на строительство которых получены после 31 марта 2005 г. (п. 2 ст. 27), т.е. указанный Закон применяется к отношениям, связанным со строительством объектов, разрешение на строительство которых получено после вступления в силу Закона. Если разрешение на строительство получено ранее, то на данные отношения Закон не распространяется. В Законе определены следующие основные понятия:
1) застройщик – юридическое лицо независимо от его организационно-правовой формы или индивидуальный предприниматель, имеющие в собственности или на праве аренды земельный участок и привлекающие денежные средства участников долевого строительства в соответствии с настоящим Федеральным законом для строительства (создания) на этом земельном участке многоквартирных домов и (или) иных объектов недвижимости на основании полученного разрешения на строительство. К иным объектам недвижимости относятся гаражи, объекты здравоохранения, общественного питания, предпринимательской деятельности, торговли, культуры и пр., за исключением объектов производственного назначения;
2) объект долевого строительства – жилое или нежилое помещение, подлежащее передаче участнику долевого строительства после получения разрешения на ввод в эксплуатацию многоквартирного дома и (или) иного объекта недвижимости и входящее в состав указанного многоквартирного дома и (или) иного объекта недвижимости.
Для привлечения денежных средств участников долевого строительства в целях строительства (создания) многоквартирного дома и (или) иных объектов недвижимости необходимо соблюдение следующих условий:
1) получение разрешения на строительство;
2) официальное опубликование проектной декларации;
3) наличие свидетельства о государственной регистрации права собственности или права аренды застройщика на земельный участок, предоставленный для строительства (создания) многоквартирного дома и (или) иных объектов недвижимости, в состав которых будут входить объекты долевого строительства.
Таким образом, застройщик вправе заключать с дольщиками (соинвесторами) договоры долевого строительства и принимать деньги только после того, как оформит в собственность или аренду земельный участок и получит разрешение на строительство дома (ст. 3 Закона).
Закон определяет стороны договора: застройщик и участник долевого строительства, которые вступают в обязательственные отношения с момента подписания ими договора в простой письменной форме и регистрации его в регистрационной палате. Предметом договора является совместная деятельность по инвестированию и строительству для долевика части объекта. Долевой инвестор в данном Законе понимается как участник строительства, физическое или юридическое лицо, вкладывающее денежные средства в строительство одной или нескольких квартир; основной инвестор – это организация, с которой застройщик заключил договор генерального подряда на строительство объектов недвижимости. При этом как основной, так и долевой инвесторы финансируют строительство объекта недвижимости, а застройщик ведет строительство и после сдачи объекта в эксплуатацию передает предусмотренный договором объект (часть объекта) долевику по передаточному акту. Данный договор заключается в письменной форме, подлежит государственной регистрации и считается заключенным с момента такой регистрации.
В Законе определяются существенные условия, без которых договор не может считаться заключенным.
Согласно ст. 432 Гражданского кодекса РФ договор считается заключенным, если между сторонами в требуемой форме достигнуто соглашение по всем его существенным условиям: условиям о предмете договора, условиям, которые названы в законе как существенные или необходимые для договоров данного вида. Пункт 4 ст. 4 Закона устанавливает следующие обязательные условия:
1) определение подлежащего передаче конкретного объекта долевого строительства в соответствии с проектной документацией застройщиком после получения им разрешения на ввод в эксплуатацию многоквартирного дома и (или) иного объекта недвижимости;
2) срок передачи застройщиком объекта долевого строительства участнику долевого строительства;
3) цена договора, сроки и порядок ее уплаты;
4) гарантийный срок на объект долевого строительства.
При отсутствии в договоре условий, предусмотренных Законом, такой договор считается незаключенным.
Согласно ст. 165 ГК РФ несоблюдение требования о государственной регистрации сделки влечет ее недействительность. Такая сделка считается ничтожной. Без государственной регистрации прав застройщика на земельный участок государственная регистрация договора участия в долевом строительстве невозможна.
С учетом данного требования в Федеральный закон от 21 июля 1997 г. №122-ФЗ «О государственной регистрации прав на недвижимое имущество и сделок с ним» внесены изменения. Теперь в выписке из Единого государственного реестра прав, содержащей сведения о земельном участке, на котором создается объект недвижимого имущества, в состав которого входят жилые и нежилые помещения, являющиеся предметами договоров участия в долевом строительстве, помимо сведений об ипотеке указываются наличие зарегистрированных договоров участия в долевом строительстве с перечнем объектов долевого строительства, а также фирменные наименования (наименования) юридических лиц – участников долевого строительства, фамилии, имена, отчества физических лиц – участников долевого строительства. Закон о государственной регистрации прав дополнен ст. 25.1 «Государственная регистрация договоров участия в долевом строительстве»", в соответствии с которой государственная регистрация договора участия в долевом строительстве, заключенного застройщиком с первым участником долевого строительства, осуществляется на основании заявления сторон договора (застройщика, участника долевого строительства).
В случае если объект долевого строительства построен (создан) застройщиком с отступлениями от условий договора, приведшими к ухудшению качества такого объекта, или с иными недостатками, которые делают его непригодным для предусмотренного договором использования, участник долевого строительства, если иное не установлено договором, по своему выбору вправе потребовать от застройщика:
безвозмездного устранения недостатков в разумный срок;
соразмерного уменьшения цены договора;
возмещения своих расходов на устранение недостатков.
Риск случайной гибели или случайного повреждения объекта долевого строительства до его передачи участнику долевого строительства несет застройщик.
В Законе дополнительно установлены гарантии для граждан, которые приобретают квартиры для себя лично. К отношениям, вытекающим из договора, заключенного гражданином – участником долевого строительства исключительно для личных, семейных, домашних и иных нужд, не связанных с осуществлением предпринимательской деятельности, применяется законодательство Российской Федерации о защите прав потребителей в части, не урегулированной настоящим Федеральным законом.
Структура взаимоотношений всех участников такого строительства стандартная: инвестор – заказчик – подрядчик; по окончании или на стадии строительства: инвестор – покупатель (соинвестор).
При традиционной схеме инвестиционно-строительного процесса его участниками являются инвестор, заказчик и подрядчик. Между инвестором и заказчиком заключается инвестиционный контракт (договор на выполнение функций заказчика), который устанавливает порядок их взаимоотношений.
В зависимости от конкретных условий осуществления инвестиционной деятельности инвестор может выступать в качестве непосредственно инвестора. Тогда он заключает договор с заказчиком, который обеспечивает процесс строительства.
Инвестор может совмещать функции инвестора и заказчика. При этом заключается договор подряда со строительной организацией.
Инвестор, являющийся строительной организацией, самостоятельно осуществляет строительство.
При этом в любом случае инвестор может привлекать для финансирования строительства других инвесторов (соинвесторов, дольщиков), которые решили вложить собственные средства в строительство, заключая с ними договоры долевого участия (соинвестирования).
Денежные средства, полученные застройщиком согласно заключенным договорам на долевое участие в строительстве конкретного объекта от предприятий-инвесторов (дольщиков) или физических лиц, учитываются у заказчика и расходуются по целевому назначению. Статьей 18 установлено строго целевое использование средств, полученных от дольщиков. Договор направлен прежде всего на привлечение денежных средств в обмен на предоставление строящихся помещений, поэтому на застройщике лежит обязанность в установленный договором срок построить объект недвижимости или организовать его строительство или реконструкцию и передать часть построенного объекта другой стороне (дольщику), которая, в свою очередь, обязана осуществить финансирование строительства.
В процессе строительства и после его завершения участники (инвесторы) строительства могут передавать свои права другим лицам. Таким образом, первоначальный состав инвесторов и их доля в строительстве могут быть изменены путем уступки права инвестирования строительства.
В настоящее время договоры уступки прав, связанных с инвестированием в строительство жилья, получили широкое распространение. До 1 апреля 2005 г. вопросы уступки права требования в объектах строительства регулировались следующим образом. Инвестор согласно ст. 382 ГК РФ и ст. 6 Федерального закона от 25 февраля 1999 г. №39-ФЗ «Об инвестиционной деятельности в Российской Федерации, осуществляемой в форме капитальных вложений» мог переуступить третьему лицу принадлежащее ему право требования по договору долевого участия в строительстве. Переуступка оформлялась путем заключения в простой письменной форме договора об уступке права требования (цессии) или договора соинвестирования между участником долевого строительства и третьим лицом. К последнему переходили все права на тех же условиях и в том же объеме, которые существовали у соинвестора, если иное не было предусмотрено в договоре цессии. В соответствии с п. 4 ст. 454 ГК РФ имущественные права могут быть объектом купли-продажи.
Согласно ст. 382 Кодекса право (требование), принадлежащее кредитору на основании обязательства, может быть передано им другому лицу по сделке (уступка требования) или перейти к другому лицу на основании закона. В соответствии с положениями ст. 388 ГК РФ уступка права требования кредитором другому лицу допускается, если она не противоречит закону, иным правовым актам или договору. На основании ст. 6 Закона об инвестиционной деятельности инвесторы имеют право на передачу по договору и (или) государственному контракту своих прав на осуществление капитальных вложений и на их результаты физическим и юридическим лицам, государственным органам и органам местного самоуправления в соответствии с законодательством Российской Федерации.
В соответствии со ст. 39 НК РФ момент реализации и, следовательно, обязанность соинвестора по уплате налогов наступают сразу после заключения договора уступки. На практике применение такой формы договора невыгодно для сторон, поскольку необходимость уплаты налогов уже в момент заключения договора отвлекает значительные средства из оборота соинвестора. Кроме того, в данной ситуации уступку права инвестирования можно рассматривать как перевод долга, что означает необходимость согласования такого договора с генеральным инвестором (кредитором) в силу требований ст. 391 ГК РФ.
Видимо, с учетом этих проблем в Федеральном законе №214-ФЗ в ст. 11 установлено, что уступка участником долевого строительства прав требований по договору допускается только после уплаты им цены договора или одновременно с переводом долга на нового участника долевого строительства в порядке, установленном ГК РФ. При этом заключение такого договора допускается с момента государственной регистрации договора до момента подписания сторонами передаточного акта или иного документа о передаче объекта долевого строительства.
До недавнего времени нередко возникали ситуации, когда из-за отсутствия обязательного требования закона о регистрации договоров уступки права требования обязательственное право на одну и ту же квартиру в строящемся доме уступалось нескольким лицам. Судебная практика по данному вопросу обобщена в п. 10 информационного письма Президиума ВАС РФ от 25 июля 2000 г. №56, разъясняющем, что если обязательство по передаче квартир по договору на участие в строительстве жилого дома не может быть исполнено, то по требованию истца могут быть взысканы убытки в сумме, необходимой последнему для покупки аналогичных квартир.
Так, товарищество обратилось в арбитражный суд с иском об обязании предприятия передать в натуре две трехкомнатные квартиры, как это предусмотрено договором на участие в строительстве.
При разрешении спора в суде первой инстанции ответчик признал иск, но сослался на невозможность исполнения обязательства, т.к. весь дом заселен.
В связи с этим истец в соответствии со ст. 37 Арбитражного процессуального кодекса РФ и на основании абз. 2 ст. 398 ГК РФ изменил предмет иска и просил взыскать убытки в виде стоимости квартир.
Суд первой инстанции удовлетворил иск, взыскав с ответчика денежную сумму, внесенную истцом в размере сметной стоимости квартир на момент заключения договора.
Обжалуя решение, истец указал на то, что присужденная сумма в связи с инфляцией не позволяет ему приобрести две трехкомнатные квартиры и, следовательно, восстановить свои имущественные права, нарушенные ответчиком вследствие неисполнения им договорного обязательства.
Постановлением апелляционной инстанции решение изменено: в пользу истца взыскана денежная сумма, необходимая для покупки двух трехкомнатных квартир, адекватных по качеству тем, которые подлежали передаче истцу в построенном сторонами доме по ценам, действовавшим в день предъявления иска. При этом арбитражный суд исходил из следующего: поскольку ответчик не выполнил свои обязательства по передаче квартир, истец вправе требовать в соответствии со ст. 15 ГК РФ возмещения убытков. При определении размера убытков следует руководствоваться п. 3 ст. 393 ГК РФ.
В другом деле, рассмотренном в Президиуме Высшего Арбитражного Суда РФ, было разъяснено, что суд не может обязать ответчика приобрести и передать истцу квартиру в счет исполнения обязательства по договору на участие в строительстве жилого дома.
Товарищество с ограниченной ответственностью обратилось в арбитражный суд с иском к акционерному обществу о передаче однокомнатной квартиры в доме, построенном по договору участия в строительстве жилого дома.
Ответчик не отрицал, что истец фактически внес денежные средства, составляющие стоимость двух трехкомнатных и одной однокомнатной квартиры, но однокомнатная квартира не была предоставлена, т.к. все квартиры этого типа заселены на условиях, исключающих признание соответствующих ордеров недействительными.
Суд первой инстанции принял решение об обязании ответчика приобрести и передать истцу равнозначную однокомнатную квартиру, хотя такое требование истцом заявлено не было.
Суд кассационной инстанции отменил решение и передал дело на новое рассмотрение по следующим основаниям.
Стороны заключили договор на участие в строительстве конкретного жилого дома, которым предусмотрено, что по окончании строительства и ввода в эксплуатацию дома жилая площадь распределяется сторонами в соответствии с договором. Фактически ответчик передал истцу только две трехкомнатные квартиры.
Согласно ст. 398 ГК РФ при невозможности передать индивидуально-определенную вещь, являющуюся предметом обязательства, кредитор вправе потребовать возмещения убытков.
Следовательно, истец вправе был потребовать от ответчика возмещения понесенных им убытков, вызванных неисполнением ответчиком договорного обязательства по предоставлению квартиры.
При разрешении спора суд не выяснил волеизъявление истца в части возмещения ему убытков от неисполнения договорного обязательства в денежной сумме.
При новом рассмотрении спора арбитражный суд должен вынести решение только после выяснения этого обстоятельства.
Уступка прав требования на жилое помещение производится по договорам цессии, которые могут заключаться сторонами во время строительства и после окончания строительства, но всегда до момента оформления в собственность построенного жилья. Фактическая передача прав на квартиры может быть осуществлена после окончания строительства (когда объект права индивидуализирован) и до момента, когда организация воспользовалась своим правом и оформила жилье в собственность.
Заключение договора цессии по договору инвестирования в строительство жилья возможно лишь до того момента, пока жилой дом не принят в установленном порядке в эксплуатацию. После этого, независимо от того, передана ли фактически квартира цессионарию или нет, любой договор цессии должен рассматриваться не как сделка по отчуждению субъективного права требования, а как договор, направленный на отчуждение квартиры как объекта недвижимости. Право (требование), являющееся предметом договора цессии, существует лишь до тех пор, пока не существует самого объекта недвижимости. Названное требование обусловлено тем, что цедент проинвестировал строительство соответствующей части жилого дома и в силу этого имеет право требовать, чтобы застройщик обеспечил строительство и ввод в эксплуатацию соответствующего объекта недвижимости. Иными словами, цедент-инвестор с помощью застройщика «строит квартиру для себя». После ввода жилого дома в эксплуатацию обязательство застройщика по созданию объекта считается исполненным, а обязательственное право требования цедента-инвестора трансформируется в вещное право инвестора на соответствующую квартиру, которое подлежит обязательной регистрации в соответствии с п. 2 ст. 4 Федерального закона «О государственной регистрации прав на недвижимое имущество и сделок с ним». При этом вещное право цедента обусловлено не приобретением квартиры по сделке, а фактом создания «для себя новой вещи», право на которую им приобретается в соответствии со ст. 218 ГК РФ как лицом, создавшим эту вещь. В данном случае не имеет существенного значения, передана ли квартира цеденту фактически или нет. Ведь обязанность застройщика определяется уже необходимостью «владеющему несобственнику» устранить препятствия для «невладеющего собственника» по владению, пользованию и распоряжению имуществом.
Закон об участии в долевом строительстве был крайне необходим для придания стабильности отношениям, складывающимся между застройщиками и дольщиками. Он в значительной степени снял вопросы в сфере правового регулирования инвестиционной деятельности в жилищном строительстве.
1.3 Методологические аспекты разработки инвестиционной политики предприятия
В 1997 году Министерством экономики Российской Федерации были разработаны методические рекомендации по формированию инвестиционной политики предприятий (организаций) в соответствии с которыми при разработке инвестиционной политики предприятия целесообразно предусмотреть:
соответствие мероприятий, которые предполагается осуществить в рамках этой политики, законодательным и иным нормативным и правовым актам по вопросам регулирования инвестиционной деятельности в Российской Федерации;
достижение экономического, научно - технического, экологического и социального эффекта рассматриваемых инвестиций;
получение предприятием прибыли на инвестируемый капитал;
эффективное распоряжение средствами на осуществление бесприбыльных инвестиционных проектов;
использование предприятием государственной поддержки в целях повышения эффективности инвестиций;
привлечение субсидий и льготных кредитов международных и иностранных организаций и банков.
Продолжительность периода, на который обосновывается инвестиционная политика предприятия, целесообразно определить равным сроку реализации инвестиционного проекта предприятия.
При определении инвестиционной политики учитываются:
состояние рынка продукции, производимой предприятием, объем ее реализации, качество и цена этой продукции;
финансово - экономическое положение предприятия;
технический уровень производства предприятия, наличие у него незавершенного строительства и неустановленного оборудования;
сочетание собственных и заемных ресурсов предприятия;
возможность получения предприятием оборудования по лизингу;
финансовые условия инвестирования на рынке капиталов;
льготы, получаемые инвестором от государства;
коммерческая и бюджетная эффективность инвестиционных мероприятий, осуществляемых с участием предприятия;
условия страхования и получения гарантий от некоммерческих рисков.
Инвестиционная политика, разработанная работниками предприятия (и/или других специализированных организаций), подлежит рассмотрению руководящими работниками предприятия.
Положения разработанной инвестиционной политики рекомендуется учитывать при принятии решений по разработке технико-экономических обоснований инвестиционных проектов, использованию различных источников финансирования, участию в реализации инвестиционных проектов совместно с другими предприятиями (организациями), организации работ других структурных подразделений предприятия.
Исходным пунктом обоснования инвестиционной политики предприятия служит анализ рынка продукции, либо уже производимой предприятием, либо новой, намечаемой к выпуску (далее именуется - продукция предприятия). Задачей изучения рынка является подтверждение возможности сбыта этой продукции.
При проведении анализа рынка продукции предприятия оцениваются:
географические границы рынка реализации продукции предприятия, в том числе другими предприятиями, а также продукции, аналогичной продукции предприятия (региональный, российский, внешний рынок);
общий объем реализации продукции предприятия, в том числе аналогичной ей, производимой предприятиями - конкурентами, на соответствующем рынке в течение предыдущих трех лет;
динамика потребительского спроса, прогнозируемая на период намеченной инвестиционной политики предприятия;
наличие предприятий - конкурентов на этом рынке;
технический уровень продукции предприятия;
возможности повышения конкурентоспособности продукции предприятия и расширения ее рынка сбыта в рамках конкретных инвестиционных проектов.
В связи с анализом рынка продукции предприятия определяется необходимость рекламы, ее вид, направления и масштаб осуществления.
Анализ рынка и разработка системы реализации продукции предприятия завершается оценкой объема и сроков предстоящих затрат.
Потребность в ресурсах для проведения инвестиционной политики предприятия определяется развитием его производства, необходимым для обеспечения выпуска продукции предприятия в соответствии со складывающейся конъюнктурой рынка.
При обосновании инвестиционной политики предприятия учитывается:
вид, объем и качество продукции, которая должна производиться предприятием в соответствии с принятой им инвестиционной политикой;
состав и последовательность намеченных к реализации инвестиционных проектов;
уровень отраслевой специализации предприятия, преимущества его технологии производства и оборудования, техническую и экономическую безопасность предприятия;
единовременные затраты при реализации инвестиционных проектов, а также капитальные вложения, расходы на строительно - монтажные работы, НИОКР и приобретение нематериальных активов;
текущие эксплуатационные расходы предприятия, операционные затраты предприятия, в том числе на производство продукции предприятия (расходы на приобретение топлива, энергии, сырья и материалов, арендная плата за использование оборудования, в том числе лизинговые платежи, оплата труда и начисления на нее, прочие операционные расходы);
эффективность использования объектов незавершенного строительства и оплаченного неустановленного оборудования, реализацию демонтированного неамортизированного оборудования;
амортизационные отчисления;
постоянные и переменные затраты предприятия, в том числе на производство продукции предприятия;
налоги и другие обязательные платежи, относимые на себестоимость продукции предприятия;
цена продукции предприятия и выручка от реализации продукции.
Потребность предприятия в инвестиционных ресурсах соответствует затратам, предстоящим с начала периода реализации инвестиционной политики. Стоимость объектов незавершенного строительства, оплаченного неустановленного оборудования, другие затраты прошлых лет не включаются в объем инвестиций.
Перечисленные затраты учитываются при определении стоимости основных фондов, амортизационных отчислений, налога на имущество.
При разработке инвестиционной политики предприятия целесообразно определять общий объем инвестиций предприятия, способы рационального использования накоплений, включая возможные сочетания различных источников финансирования и привлечения заемных средств.
Рекомендуется соблюдать соотношение намечаемого предприятием общего объема инвестиций с объемом активов, не позволяющее утрачивать права собственности на предприятие в случае неудачной реализации инвестиционных проектов.
Инвестиционные проекты в рамках инвестиционной политики предприятия целесообразно согласовывать между собой по объемам выделяемых ресурсов и срокам реализации исходя из критерия достижения максимального общего экономического эффекта, получаемого в ходе осуществления инвестиционной политики.
Собственные средства, направляемые предприятием на финансирование инвестиционной деятельности, могут состоять из:
свободных денежных средств, имеющихся на счету предприятия к началу реализации инвестиционных проектов;
средств, полученных в результате дополнительной эмиссии акций предприятия;
денежных средств от реализации излишнего и выбывающего имущества и неамортизированных основных фондов предприятия при перепрофилировании его производства;
части дохода предприятия в форме чистой прибыли и амортизации, реинвестируемой в процессе осуществления инвестиционных проектов.
Выбор вариантов привлечения коммерческих кредитов и займов как источников финансирования инвестиционной деятельности предприятия (объем привлекаемых средств, процентная ставка по кредитам и займам, начало и конец выплаты процентов и погашения основного долга по ним) ориентируется на получение максимального экономического эффекта от собственных средств предприятия, направляемых на инвестирование.
Эффективность инвестиционной политики предприятия оценивается по показателю срока окупаемости инвестиций, который определяется на основе данных бизнес-плана предприятия и предварительных расчетов по обоснованию инвестиционных проектов в рамках инвестиционной политики предприятия.
В целях уточнения сроков проведения мероприятий в рамках инвестиционной политики предприятия и обеспечения их финансовыми ресурсами составляются бизнес-планы реализации инвестиционных проектов, намеченных к осуществлению предприятием.
Обоснование указанных бизнес-планов рекомендуется выполнять в соответствии с Постановлением Минстроя России от 30 июня 1995 г. №18-64 «О принятии строительных норм и правил (СНиП 11-01-95), которые вводятся в действие с 1 июля 1995 г.». При этом необходимо учитывать, что по технико-экономическим обоснованиям проектов проводится государственная вневедомственная экспертиза согласно Постановлению Правительства Российской Федерации от 27 декабря 2000г. №1008 «О государственной экспертизе градостроительной и проектно-сметной документации и утверждении проектов строительства». После проведения экспертизы эти бизнес - планы утверждаются руководством предприятия для практического применения. При разработке бизнес - планов инвестиционных проектов рекомендуется руководствоваться СНиП 11-01-95 и СП 11-101-95.
Бизнес - план инвестиционного проекта, реализуемого в рамках инвестиционной политики предприятия, включает следующие разделы:
вводная часть;
обзор состояния отрасли (производства), к которой относится предприятие;
производственный план реализации проекта;
план маркетинга и сбыта продукции предприятия;
организационный план реализации проекта;
финансовый план реализации проекта;
оценка экономической эффективности затрат, осуществленных в ходе реализации проекта.
Ключевым разделом бизнес - плана предприятия является его раздел, посвященный финансовому управлению реализацией инвестиционного проекта (финансовый план реализации проекта).
Календарный план денежных потоков поступлений и платежей в ходе этого проекта включает три блока расчетов, относящихся соответственно к производственно - сбытовой, инвестиционной и финансовой деятельности предприятия. Расчеты по каждому блоку завершаются определением сальдо притока и оттока денежных средств предприятия.
Сальдо поступлений и платежей от производственно - сбытовой деятельности представляет собой сумму чистой прибыли и амортизационных отчислений предприятия по годам.
Сальдо инвестиционной деятельности получается вычитанием полного объема инвестиций из инвестируемых собственных средств предприятия (кроме реинвестируемых чистой прибыли и амортизации).
Сальдо финансовой деятельности равно разности между суммой заемных средств, включая продажу выпущенных акций, необходимых для реализации инвестиционного проекта, и суммой средств, необходимых для погашения долга, уплаты процентов и выплаты дивидендов.
Условием успеха инвестиционного проекта служит неотрицательное значение общего сальдо денежного потока, которое определяется суммированием итоговых величин сальдо производственно - сбытовой, инвестиционной и финансовой деятельности предприятия.
Для предприятия, осуществляющего инвестиционную деятельность, экономический эффект реализации инвестиционного проекта характеризуется суммой погодовых величин общего сальдо за расчетный период.
Сопоставимость разновременных платежей и поступлений в период проведения инвестиционной политики достигается посредством расчетного приведения к первому году (дисконтирование). Дисконтирование денежных потоков платежей и поступлений и определение их сальдо в форме чистого дисконтированного дохода необходимо для более точной оценки будущего эффекта реализации инвестиционного проекта.
Альтернативные инвестиционные проекты сравниваются по показателям коммерческой и бюджетной эффективности.
Основными показателями эффективности инвестиционных проектов являются срок окупаемости (коммерческая эффективность) и отношение объема поступлений в бюджет к объему платежей из бюджета (бюджетная эффективность). Для дополнительной оценки эффективности инвестиций могут использоваться (по желанию разработчиков) другие показатели и коэффициенты.
Срок окупаемости собственных средств предприятия, направляемых на финансирование инвестиционного проекта, равен периоду времени от начала финансирования этого проекта до момента, когда объем собственных средств сравняется с накопленной суммой амортизации и остатка прибыли (после уплаты налогов, погашения кредитов, выплат процентов по кредитам, дивидендов).
Срок окупаемости инвестиционного проекта в целом (затраты за счет всех источников финансирования) равен периоду времени от начала его финансирования до момента, когда объем инвестиций сравняется с суммарным объемом амортизации и чистой прибыли.
Целесообразно при разработке инвестиционной политики предприятия оценить возможные риски, связанные с осуществлением инвестиционных проектов.
Влияние коммерческих рисков (различные виды строительных, производственных, маркетинговых, кредитных, валютных рисков) оценивается через вероятное изменение ожидаемой прибыльности инвестиционного проекта и соответствующее уменьшение эффективности инвестиций.
Защита от некоммерческих рисков (стихийные бедствия, гражданские беспорядки, изменения экономической политики государства), не зависящих от инвесторов, может быть осуществлена путем получения государственных гарантий или страхования инвестиций.
Критерием эффективности бесприбыльных инвестиционных проектов является снижение затрат на достижение соответствующего социального, научно-технического или экологического эффекта реализации этих проектов.
При использовании различных источников финансирования инвестиционных проектов, реализуемых в рамках инвестиционной политики предприятия, наряду с общим сокращением сроков их осуществления согласовывается приемлемое для участников распределение платежей на протяжении периода реализации проектов. В случае привлечения кредитных ресурсов обеспечиваются по возможности минимальные процентные платежи и максимальные сроки их погашения.
1.4 Современные методики определения эффективности инвестиций
В последнее время многие управленческие решения, касающиеся принятия каких-либо проектов, в большинстве своем основываются на результатах экономического анализа с использованием показателей оценки эффективности капитальных вложений. Предлагается следующая классификация показателей оценки эффективности инвестирования, которые являются наиболее популярными на практике и используются как российскими предприятиями, так и компаниями в странах с развитой рыночной экономикой (рис. 1.2).

Рис. 1.2 – Классификация показателей оценки инвестиционных проектов
Данная классификация допускает деление показателей эффективности капитальных вложений на три основные группы: неформализованные (качественные), статические (простые) и динамические (основанные на дисконтировании).
К качественным показателям относят критерии «срочности» (отбираются проекты, требующие немедленной реализации; их непринятие может привести к нежелательным финансовым и иным последствиям) и «вынужденности» (данный критерий может использоваться при необходимости осуществления инвестиций, например, в случае вмешательства государства в дела компании).
Использование неформализованных показателей не позволяет количественно оценить инвестиционные предложения, и поэтому вопрос относительно целесообразности осуществления проекта или выбора одного из нескольких приемлемых часто решается аналитиками на уровне интуиции.
К статическим показателям оценки инвестиционных проектов относится расчет простой (бухгалтерской) нормы прибыли и расчет периода окупаемости проекта.
Простая (бухгалтерская) норма прибыли проекта (Accounting Rate of Return, ARR) характеризует годовую рентабельность всего инвестированного капитала, выражается в процентах и рассчитывается по формуле (1.1):
(1.1)
где PRср – среднегодовая прибыль проекта; IC – капиталовложения (инвестиционные затраты); LV – ликвидационная стоимость основных средств.
В некоторых случаях формула расчета бухгалтерской нормы прибыли имеет следующий вид (1.1а):
(1.1а)
Это объясняется тем, что первый вариант расчета критерия бухгалтерской нормы прибыли учитывает постепенное и равномерное списание стоимости оборудования при линейной амортизации, поэтому в течение всего срока жизни проекта «инвестируется» с бухгалтерских позиций, в среднем, примерно половина общей суммы капиталовложений в зависимости от величины ликвидационной стоимости, которая остается «недоинвестированной». Но такая ситуация происходит, как правило, лишь в тех случаях, когда срок службы оборудования совпадает со сроком функционирования проекта и не со всей суммой инвестированного капитала. В основном это касается приобретения основных средств, поэтому часто используется и второй вариант формулы. Основным достоинством критерия бухгалтерская норма прибыли является его простота. В настоящее время этот критерий используется только для быстрой «отбраковки» проектов. К недостаткам бухгалтерской нормы прибыли можно отнести то, что этот критерий не учитывает распределение во времени инвестиционных издержек и доходов, а также сложность выбора «обычного» года, наиболее характерного для проекта.
Период или срок окупаемости капиталовложений (Payback Period, PB) является одним из простейших и наиболее часто используемых критериев оценки экономической эффективности проекта. По определению, период окупаемости – это минимальный интервал времени (от начала осуществления проекта), за пределами которого интегральный эффект от реализации проекта становится положительным и в дальнейшем не становится отрицательным.
Иными словами, это период, начиная с которого первоначальные вложения и другие затраты, связанные с инвестиционным проектом, покрываются суммарными результатами его осуществления. В том случае, если проект предусматривает ежегодное получение финансовых потоков, одинаковых по величине, период окупаемости можно рассчитать по формуле (1.2):
(1.2)
где IC – общая стоимость капиталовложений в проект; CFср – среднегодовой финансовый поток от реализации проекта.
Преимущество периода окупаемости заключается в том, что с его помощью достаточно четко оценивается ликвидность проекта и уровень риска: при прочих равных условиях проект, окупаемый за 3 года, является менее рискованным по сравнению с тем, который имеет срок окупаемости 5 лет. Несмотря на то, что данный критерий является одним из самых распространенных, он обладает тремя главными недостатками:
Период окупаемости не учитывает денежные потоки, и следовательно отдачу от реализации проекта после наступления момента окупаемости капитальных вложений. Очевидно, что для объективной оценки инвестиций недостаточно знать только возможность возврата капитальных вложений. Вкладывая средства в проект, инвестор надеется на получение требуемой нормы прибыли.
Период окупаемости не учитывает динамику изменения величины финансовых потоков для различных периодов в течение срока жизни проекта. Проекты с нарастающими или убывающими потоками денег во времени являются достаточно распространенными. Вложение в производство новой продукции может давать растущие потоки денег в начале жизненного цикла товара. После достижения своего максимума величина потоков может резко падать на поздних стадиях жизни товара. Замена оборудования, наоборот, приводит к непрерывному росту величин потоков, что связано с увеличением эффективности затрат по мере списывания существующего оборудования.
Период окупаемости касается первоначальных инвестиций в проект и не учитывает влияния на эффективность проекта дополнительных (промежуточных) капитальных вложений. Оба из рассмотренных выше показателей имеют ряд общих недостатков, обусловленных игнорированием концепции временной ценности денежных ресурсов.
Для оценки эффективности капитальных вложений с учетом фактора времени на практике используется несколько критериев. К их числу относятся дисконтированный период окупаемости, чистый дисконтированный доход, дисконтированный индекс доходности, внутренняя норма доходности и некоторые другие. Для определения всех перечисленных критериев используются дисконтированные финансовые потоки, поэтому особое внимание при оценке инвестиций следует уделять определению прогнозных значений финансовых поступлений и выплат в течение всего срока жизни инвестиционного проекта. В современных условиях даже такой широко распространенный показатель, как период окупаемости капитальных вложений, рекомендуется определять с использованием дисконтирования.
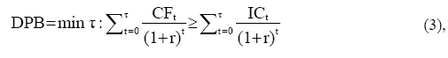
Дисконтированный период окупаемости (Discounted Payback Period, DPB) можно представить как минимальный временной интервал от начала реализации проекта, когда соответствующий интегральный эффект становится положительным и остается таковым до конца анализируемого периода (1.3):
(1.3)
где τ [0, T]; CFt – финансовый поток года t; ICt – капитальные вложения (инвестиционные затраты) в году t; T – период реализации проекта; r – ставка дисконтирования.
Дисконтированный период окупаемости – это период времени, в течение которого первоначальные вложения и другие затраты, связанные с инвестиционным проектом, покрываются суммарными результатами его осуществления, т.е. начиная с момента времени τ=DPB, данный проект уже не нуждается в каком-либо внешнем финансировании. Дисконтированный период окупаемости может служить критерием для принятия инвестиционного решения.
Дисконтированный период окупаемости, как и обычный, является одним из важных параметров оценки инвестиционного проекта. Данный критерий позволяет детально измерить время, требуемое для возмещения инвестиционных затрат. Это можно объяснить следующим образом. При имеющихся значениях финансовых потоков формируется кумулятивный финансовый поток проекта, который после инвестирования средств становится отрицательным. Затем, по мере развития проекта, происходит постепенная трансформация отрицательного кумулятивного финансового потока в положительный. Тот интервал (год, месяц) проекта, в рамках которого кумулятивный финансовый поток превращается в нуль, и служит границей периода окупаемости.
Основным критерием ценности инвестиционного проекта является критерий чистого дисконтированного дохода (Net Present Value, NPV). Чистый дисконтированный доход определяется как сумма финансовых потоков, генерируемых инвестиционным проектом за весь расчетный период [t0, T], приведенная к начальному моменту t0 со ставкой дисконтирования, равной r (1.4):
(1.4)
где CFt – доход, достигнутый за период времени t (чистый финансовый поток года t); ICt – капиталовложения в году t; T – расчетный период оценки; r – ставка дисконтирования.
Одним из главных критериев инвестиционной предпочтительности того или иного проекта является максимизация прибыли. Однако для более эффективного анализа инвестиций также должны учитываться размер капитальных вложений и альтернативное использование средств. Как большинство авторов исследований по данной тематике, так и большинство практиков считают чистый дисконтированный доход наиболее подходящим критерием оценки привлекательности инвестиционного проекта, характеризующим доходный потенциал вложенных средств. Чистый дисконтированный доход показывает соотношение между будущими доходами от инвестиций и вложенными средствами. Данный критерий позволяет аналитику сделать вывод о предпочтительности чистого баланса между «текущими стоимостями» этих составляющих. Критерий NPV показывает, может ли реализация инвестиционного проекта дать возможность получить норму прибыли, применяемую в расчетах.
Можно проследить некоторое сходство между критерием NPV и концепцией окупаемости, в которой также присутствует покрытие инвестированных средств. Несмотря на это, существенное различие между окупаемостью и чистым дисконтированным доходом заключается в том, что критерий NPV в дополнение к возврату на инвестиции обладает внутренним требованием к доходности на вложенный капитал. Лучше всего чистый дисконтированный доход используется в качестве индикатора, показывающего возможность достижения планируемой нормы прибыли в течение периода функционирования инвестиционного проекта. Когда чистый дисконтированный доход положителен, существует потенциал получения дохода выше установленной нормы. И, наоборот, когда чистый дисконтированный доход отрицателен, отсутствуют возможности достижения минимально приемлемой нормы прибыли и возврата капитала. В случае, когда чистый дисконтированный доход равен нулю, реализуется минимальная норма возврата капитала при условии, что оценка величины потоков проектируемого срока жизни проекта представляется достаточно надежной. Неравномерный уровень финансовых потоков может оказать значительное влияние на результаты при неизменном методе расчета. Критерий NPV может без трудностей приспосабливаться к любой комбинации различных финансовых потоков. Значительное влияние на результаты расчета и, следовательно, на его интерпретацию оказывает выбор ставки дисконтирования. Кроме того, необходимо заметить, что чем дальше отнесены во времени (относительно нулевого интервала) планируемые поступления и платежи, тем меньшее влияние они оказывают на величину показателя чистого дисконтированного дохода. Таким образом, критерий NPV имеет явно выраженные преимущества по сравнению со статическими критериями, поскольку он учитывает весь срок жизни проекта и характер распределения во времени финансовых потоков. Несмотря на то, что данный критерий представляется предпочтительным инструментом оценки инвестиционных альтернатив, он не может характеризовать все аспекты экономической эффективности капитальных вложений.
В настоящее время дисконтированный индекс доходности (Discounted Profitability Index, DPI) является одним из часто используемых измерителей относительной ценности инвестиционного проекта. В общем виде дисконтированный индекс доходности представляет собой отношение суммы дисконтированных (к начальному периоду времени t) финансовых потоков проекта к величине капиталовложений. Другими словами, дисконтированный индекс доходности является формальным способом выражения соотношения доходов и затрат инвестиционного проекта (1.5):
(1.5)
где CFt – финансовый поток проекта в году t; ICt – сумма капитальных вложений в проект в году t; IC – сумма капиталовложений в проект за T лет реализации проекта.
Согласно правилу DPI, чтобы принять решение о реализации проекта, минимально приемлемое значение критерия должно быть более 1,1 для устранения влияния возможных погрешностей. Если чистый дисконтированный доход положителен, то дисконтированный индекс доходности больше единицы, что является необходимым условием относительной эффективности инвестиционного проекта. Дисконтированный индекс доходности позволяет аналитику оценить инвестиционные альтернативы различных масштабов путем сопоставления доходности проектов.
Однако данный критерий обладает недостатком, заключающимся в том, что после его расчета нет возможности судить об абсолютном денежном эффекте, вызванном проектом.
Для использования критерия NPV необходимо установить соответствующую ставку дисконтирования, что является достаточно сложной задачей, поскольку при этом часто требуется экспертная оценка каждой из ее составляющих. В связи с этим большое распространение получил критерий внутренней нормы доходности (Internal Rate of Return, IRR), в котором субъективный фактор сведен к минимуму. Если изобразить зависимость чистого дисконтированного дохода от ставки дисконтирования, то будет видно, что кривая значений чистого дисконтированного дохода пересекает ось абсцисс в некоторой точке. Таким образом, внутреннюю норму доходности можно определить как уникальное значение ставки дисконтирования для каждой инвестиционной фазы, при которой приведенная стоимость всех финансовых притоков равна приведенной стоимости всех финансовых оттоков. Значение нормы дисконта, при котором чистый дисконтированный доход обращается в нуль, и называется внутренней нормой доходности (1.6):
(1.6)
Проект можно считать эффективным, если внутренняя норма доходности больше «средневзвешенной стоимости капитала», т.е. проценты по источникам финансирования (если они были привлечены) смогут быть покрыты из доходов от реализации проекта за время, равное горизонту расчета. Для простых случаев расчет внутренней нормы доходности производится с использованием таблиц дисконтирования. Когда проект обладает более сложным распределением различных по своей величине денежных потоков, процедура расчета заключается в методе «проб и ошибок». Определяется чистый дисконтированный доход при искомой норме дисконта: если полученное значение чистого дисконтированного дохода положительно, используется более высокая ставка дисконтирования. Если же при более высокой норме дисконта значение чистого дисконтированного дохода отрицательно, значение внутренней нормы доходности должно находиться между этими двумя значениями. Однако если более высокая ставка дисконтирования все еще дает положительное значение чистого дисконтированного дохода, ее следует увеличивать до тех пор, пока значение критерия NPV не станет отрицательным. Если положительные и отрицательные значения чистого дисконтированного дохода близки к нулю, можно получить приемлемую аппроксимацию величины внутренней нормы доходности с помощью линейной интерполяции.
Существуют три основные интерпретации экономического смысла внутренней нормы доходности:
Определение максимальной ставки платы за привлекаемые источники финансирования проекта, при которой последний остается безубыточным. В случае оценки эффективности общих инвестиционных затрат, это может быть максимальная процентная ставка по кредитам, а при оценке эффективности использования собственного капитала – наибольший уровень дивидендных выплат.
Нижний гарантированный уровень прибыльности инвестиционных затрат. Если он, с учетом инвестиционного риска данного проекта, превышает среднюю стоимость капитала в данном секторе инвестиционной активности, то проект может быть рекомендован к осуществлению.
Предельный уровень окупаемости (доходности) инвестиций, что может быть критерием целесообразности дополнительных капиталовложений. Важным преимуществом использования показателя IRR является то, что оценщик проекта, на этапе его реализации проекта, может не прогнозировать уровень ставки дисконтирования с целью обоснования эффективности проекта. То есть оценивание проекта происходит без использования указанной дополнительной информации, которая может оказаться ненадежной. В связи с этим можно говорить о том, что у проектов с большей внутренней нормой доходности выше устойчивость и надежность, а близость внутренней нормы доходности к принятой в расчетах ставке дисконтирования показывает, что при малейшем изменении условий реализации этот проект может превратиться из прибыльного в убыточный. Поэтому при решении задачи выбора оптимального проекта из некоторой совокупности на предприятии устанавливается минимальное значение показателя IRR, служащее ограничением оценки эффективности инвестиций.
Несмотря на достаточную объективность, отсутствие зависимости от абсолютных размеров инвестиций и богатый интерпретационный смысл, критерий внутренней нормы доходности имеет ряд недостатков:
для проектов, не стандартных по структуре денежных потоков и распределению их во времени, может наблюдаться как множественность, так и отсутствие значения показателя IRR;
очень трудно отдать предпочтение какому-либо из альтернативных проектов, различающихся между собой размером капитальных вложений и имеющих внутренние нормы доходности, обратно пропорциональные размеру инвестиций;
на основе IRR невозможно установить срок окупаемости капитальных вложений.
Очевидно, что при оценке инвестиций необходимо использовать IRR, но только в совокупности с другими критериями.
Глава 2. Анализ инвестиционной деятельности ООО «Каскад»
2.1 Краткая характеристика предприятия
ООО «Каскад» основано в июне 1993 года и является инвестиционно-строительной компанией полного цикла – то есть, успешно осуществляет все виды предпроектных, проектных и строительно-монтажных работ, самостоятельно их финансируя. В состав Общества входит также агентство недвижимости. За время своей деятельности Общество построило и ввело в эксплуатацию свыше 200000 кв.м. жилых и нежилых помещений в более чем 30-ти объектах самого различного назначения. В эти данные не входят многочисленные работы меньшего масштаба – например, сложнейшая работа по реконструкции множества зданий. Среди объектов, успешно возведённых «Каскад», есть и физкультурно-оздоровительные комплексы, и административные постройки, и жилые дома повышенной комфортности, и бизнес-центры класса «А». Объекты Общества можно увидеть во всех административных округах Москвы и в самых престижных районах города. Опыт ООО «Каскад» значителен и разнообразен. Все объекты, построенные Обществом, объединяет бережное профессиональное отношение проектировщиков и строителей к архитектурному облику города, качество работ и внимание к требованиям клиентов. В данный момент «Каскад» с успехом ведет строительство зданий класса «А», получив благодаря этому признание общественности и заняв устойчивые позиции в рейтингах ведущих строительных компаний. В ближайших планах Общества – реализация нескольких масштабных проектов по возведению жилых комплексов повышенной комфортности («бизнес-класса»).
В то же время в связи с высокой степенью застроенности центра города, Общество стремится реализовывать строительные проекты за пределами центра, на окраинах, в ближайшем Подмосковье.
Разрабатываемый инвестиционные проект является одним из средств реализации этих планов.
2.2 Источники финансирования инвестиционных проектов
Финансово-кредитные отношения между субъектами инвестиционной деятельности представляют собой важную организационно-правовую форму регулирования инвестиционного процесса. Эти отношения возникают в условиях рынка по поводу мобилизации денежных ресурсов, необходимых для осуществления инвестиционных проектов.
Финансовое обеспечение проектов может осуществляться на безвозвратной или возвратной основе. Финансирование на безвозвратной основе – это предоставление денежных средств (осуществление затрат) различными инвесторами на неопределенное время в надежде на получение от реализации проекта в будущем доходов, которые покроют с прибылью эти расходы.
Финансирование на возвратной основе - это предоставление инвестором денежных средств на определенное время, с обязательством вернуть их к обусловленному сроку с процентами.
При первом методе источниками финансирования являются бюджетные ассигнования, государственные субсидии, средства внебюджетных фондов, собственные средства инвесторов, а также привлеченные ими средства (финансирование за счет выпуска акций).
При втором методе пользуются национальными кредитами, кредитами международных финансово-кредитных институтов, коммерческих банков и других финансово-кредитных учреждений.
Все большее значение как источник финансирования приобретают другие заемные средства: коммерческий кредит, ипотечные ссуды, средства кредитных союзов, средства от выпуска и продажи облигаций, средства от лизинговых и факторинговых операций.
Основными принципами финансово-кредитных отношений между субъектами инвестиционной деятельности являются договорной, прямой, целевой и непрерывный характеры финансирования, принцип взаимного финансового контроля.
Финансирование проектов осуществляется на основании договоров (контрактов) по мере их выполнения. В соответствии с этим принципом оплата работ или услуг производится после их выполнения в целом или по мере выполнения отдельных этапов.
Проектно-изыскательские работы обычно оплачиваются либо за проект в целом, либо за выполненную проектно-сметную документацию, необходимую для первого года строительства. Строительно-монтажные работы могут оплачиваться за объект в целом, за отдельный конструктивный этап, например за нулевой цикл, наземную часть, отделочные работы. Вместе с тем в условиях инфляции чаще всего расчеты производятся помесячно, за фактически выполненный объем строительно-монтажных работ.
Технологическое оборудование может оплачиваться либо после его комплектной поставки, а по прямому договору – после его монтажа и комплексного опробования, либо по мере его поступления на стройку.
Прямой и целевой характеры финансирования обусловливают поступление средств непосредственно заказчику и только на тот объект, для сооружения которого они предусмотрены.
Ритмичность и непрерывность строительного производства требуют непрерывности его финансирования и своевременной оплаты работ. Финансовый контроль за целевым и рациональным использованием выделенных средств осуществляется в зависимости от формы собственности инвестора и используемых источников финансирования проекта, например, при бюджетных ассигнованиях его осуществляют государственные органы финансово-хозяйственного контроля, при долгосрочном кредите – коммерческие банки.
Контроль использования собственных и привлеченных средств инвестора осуществляется либо им самостоятельно, либо на договорной основе инжиниринговой фирмой или коммерческим банком. Финансовое обеспечение инвестиционного процесса - это, по сути, участие финансов в воспроизводстве основного капитала. В экономической теории развитых стран различаются понятия финансирования и инвестирования.
Процесс определения источников и выделения (привлечения займа) денежных средств для инвестиций называется финансированием. Процесс применения денежных средств в качестве долгосрочных вложений означает инвестирование, т.е. финансирование предшествует инвестированию.
После поиска источников финансирования и определения структуры, оформления договоров финансирования (кредитного договора) начинается процесс инвестирования, т.е. превращение денежной формы капитала в производительную. Затем капитал в процессе оборота начинает приносить доход в виде денежных потоков (прибыли и амортизации) и частично высвобождаться (через ликвидность), пополняя тем самым собственные источники финансирования.
Кроме прибыли и амортизации к собственным источникам финансирования принято относить мобилизацию внутренних ресурсов (МВР).
К ним относятся средства от реализации выбывающего оборудования, ненужных материалов, инструмента, инвентаря, ликвидации временных зданий и сооружений, реализации попутно добываемых полезных ископаемых (за вычетом затрат по их реализации).
При хозяйственном способе строительства к МВР относятся плановые накопления и экономия от снижения себестоимости строительно-монтажных работ, амортизация по средствам труда, используемым в строительстве.
Финансирование государственных строек может осуществляться как при подрядном, так и при хозяйственном способе за счет различных источников.
При полном или частичном финансировании за счет бюджетных ассигнований для оформления финансирования необходима разработка следующих документов: плана капитального строительства, плана финансирования, перечня строек и объектов, включенных в государственный заказ (контракт), титульного списка стройки, подрядного контракта на строительство и копии сводного сметного расчета.
Финансирование таких строек осуществляется банком после экспертизы представленных инвестором (заказчиком) указанных документов и утвержденной проектно-сметной документации.
Финансирование за счет бюджетных ассигнований строек, осуществляемых хозспособом, не требует предоставления подрядного контракта, однако банк может потребовать договор с проектной организацией для оплаты выполненных ею работ. После оформления финансирования банк открывает инвестору (заказчику) отдельный счет, с которого производятся оплата выполненных работ, приобретение оборудования и другие расходы согласно сводному сметному расчету.
При финансировании строительства государственных объектов могут использоваться и другие источники: собственные средства предприятий, кредиты банков, займы и пр.
Важным источником финансирования является кредит, предоставляемый инвесторам, независимо от формы собственности, для осуществления реальных инвестиций. Как правило, это долгосрочный (более 1 года) кредит. Такой кредит может предоставляться коммерческими банками на договорных началах, государством (национальный кредит) из средств госбюджета и Национальным банком за счет центральных кредитных ресурсов, коммерческого кредита, ипотечных ссуд, лизинговых операций.
Основой взаимоотношений инвестора и банка (другого кредитодателя) является кредитный договор, где оговаривается размер предоставляемого кредита, его обеспеченность, гарантии возврата, сроки его использования и способы погашения, процентные ставки за пользование, имущественная ответственность сторон.
Заключению кредитного договора предшествует представление заемщиком ряда документов, в которых обосновывается потребность в кредите под инвестиционный проект. Обычно потребность в кредите определяется как разность между общим объемом инвестиций и собственными и привлеченными ресурсами. Но возможно и полное финансовое обеспечение проекта за счет кредита. Предоставлению кредита предшествует оценка банком кредитоспособности заемщика либо самостоятельно, либо, по его поручению, аудиторской фирмой. Госкредит используется инвесторами только для финансирования реконструкции, технического перевооружения и нового строительства производственных объектов под гарантию министерств и ведомств.
Принципиально все источники финансовых ресурсов предприятия можно представить в виде следующей последовательности:
собственные финансовые ресурсы и внутрихозяйственные резервы,
заемные финансовые средства,
привлеченные финансовые средства, получаемые от продажи акций, паевых и иных взносов членов трудовых коллективов, граждан, юридических лиц,
денежные средства, централизуемые объединениями предприятий,
средства внебюджетных фондов,
средства государственного бюджета,
средства иностранных инвесторов.
Все предоставляемые в распоряжение инвестиционного проекта средства обладают стоимостью, т.е. за использование всех финансовых ресурсов надо платить вне зависимости от источника их получения. Плата за использование финансовых ресурсов производится лицу, предоставившему эти средства - инвестору в виде дивидендов для собственника предприятия (акционера), процентных отчислений для кредитора, который предоставил денежные ресурсы на определенное время. В последнем случае предусматривается возврат суммы инвестированных средств.
Отметим здесь две принципиально важные особенности платы за собственные финансовые ресурсы предприятия, накопленные предприятием в процессе своей деятельности, и привлеченные финансовые ресурсы, которые вложены в предприятие в виде финансовых инструментов собственности (акций). На первый взгляд может оказаться, что, если предприятие уже располагает некоторыми финансовыми ресурсами, то никому не надо платить за эти ресурсы. Это неправильная точка зрения. Дело в том, что, имея финансовые ресурсы, предприятие всегда располагает возможностью инвестировать их, например, в какие-либо финансовые инструменты, и тем самым заработать на этом. Поэтому, минимальная стоимость этих ресурсов есть «заработок» предприятия от альтернативного способа вложения имеющихся в его распоряжении финансовых ресурсов. Таким образом, предприятие, решая вложить деньги в свой собственный инвестиционный проект, предполагает стоимость этого капитала как минимум равную стоимости альтернативного вложения денег.
Теперь рассмотрим плату собственникам предприятия. Эта плата не ограничивается дивидендами. Дело в том, что прибыль предприятия, оставшаяся в распоряжении собственников (после уплаты вознаграждения кредитному инвестору) распределяется на две части: первая часть выплачивается в виде дивидендов, а вторая часть реинвестируется в предприятие. И первое, и второе принадлежит, на самом деле, собственникам предприятия. Поэтому при исчислении стоимости собственного капитала необходимо руководствоваться следующими соображениями: вся денежная прибыль предприятия (чистый денежный поток), оставшаяся после уплаты кредитору причитающихся ему сумм, есть плата совокупному собственнику за предоставленные инвестиции, а не ограничиваться только дивидендными выплатами акционерам.
Прокомментируем особенности мобилизации внутренних активов. В процессе капитального строительства у предприятия могут образовываться специфические источники финансирования, мобилизуемые в процессе подготовки проекта (строительства или реконструкции, установки оборудования).
Финансовый механизм мобилизации состоит в том, что часть оборотных активов предприятия изымается из основной деятельности (так как эта деятельность может быть замедлена в виду капитального строительства) и пускается на финансирование капитального строительства.
Долгосрочный банковский кредит, размещение облигаций и ссуды юридических лиц являются традиционными инструментами заемного финансирования.
Сущность лизинга состоит в следующем. Если предприятие не имеет свободных средств на покупку оборудования, оно может обратиться в лизинговую компанию. В соответствии с заключенным договором лизинговая компания полностью оплачивает производителю (или владельцу) оборудования его стоимость и сдает в аренду предприятию-покупателю с правом выкупа (при финансовом лизинге) в конце аренды. Таким образом, предприятие получает долгосрочную ссуду от лизинговой фирмы, которая постепенно погашается в результате отнесения платежей по лизингу на себестоимость продукции. Лизинг позволяет предприятию получить оборудование, начать его эксплуатацию, не отвлекая средства от оборота. В рыночной экономике использование лизинга составляет 25% - 30% от общей суммы заемных средств. Принятие решения в отношении лизинга базируется на соотношении величины лизингового платежа с платой за использование долгосрочного кредита, возможностью получения которого располагает предприятие.
Основное отличие между собственными и заемными финансовыми ресурсами заключается в том, что процентные платежи вычитаются до налогов, т.е. включаются в валовые издержки, в то время как дивиденды выплачиваются из прибыли.
Это обстоятельство служит источником дополнительной выгоды для предприятия. Таким образом, кредитное финансирование более выгодно для предприятия, чем финансирование с помощью собственных финансовых средств. В то же время, кредитное финансирование для предприятия является более рисковым, так как проценты за кредит и основную часть долга ему нужно возвращать в любых условиях, вне зависимости от успеха деятельности предприятия. Ясно, что для инвестора такая форма вложения денег является менее рисковой, поскольку он в соответствии с законодательством в крайнем случае может получить свои деньги через суд. Предприятие, стремясь уменьшить свой риск, выпускает финансовые инструменты собственности (акции). Но как привлечь инвестора вкладывать деньги в эти инструменты, если долговые обязательства для него менее рискованные? Единственный путь – привлекать инвестора, обещая ему, а затем и обеспечивая, более высокую плату за привлечение принадлежащих ему финансовых ресурсов.
Экономическая среда для инвестиционно-строительной деятельности может быть оценена как неконкурентная, нестабильная, криминогенная и рискованная. Законодательная сфера является в высшей степени неустойчивой и неэффективной, позволяющей развиваться теневой экономике, а сами законы характеризуются низкой их стимулирующей ролью в развитии инвестиционно-строительной деятельности. Конкуренция сделала долгосрочные, в том числе иностранные, финансовые ресурсы, направляемые в основной капитал, довольно редким явлением в российской экономике.
Инвестиционно-строительная деятельность реализуется определенной системой производственных, функциональных, организационных и институциональных структур, образующих инвестиционно-сттроительный сектор национальной экономики.
Функционирование инвестиционно-строительного сектора в современных условиях подвержено постоянной опасности срыва. Срыв связей между субъектами инвестиционно-строительной деятельности может осуществляться под воздействием одной или нескольких причин одновременно.
Формализация связей между инвестиционными (финансовыми), инновационными и производственными подсистемами позволила сформулировать условие эффективного функционирования инвестиционно-строительного сектора в рыночной экономике. Это условие учитывает как внутренний (эндогенный) эффект, образуемый в процессе инвестиционно-строительной деятельности, так и внешний (экзогенный) по отношению к инвестиционно-строительной деятельности эффект, возникающий в результате использования в экономике законченной строительной продукции, т.е. основных фондов производственного и непроизводственного назначения, выпускающих товары и производящих услуги.
Рассмотрим схему действия инвестиционных (финансовых), инновационных и производственных подсистем в процессе инвестиционно-строительной деятельности. Для этого вначале проанализируем в общем виде способ действия любой системы.
Исходя из изложенных в научной литературе расчетов, критерий эффективного функционирования системы инвестиционно-строительной деятельности (при определенных ограничивающих условиях), описывается следующим функционалом, выражающим необходимость получения максимума прибыли:
(2.1)
Приведенное выражение характеризует так называемый внутренний (эндогенный) эффект, образуемый в системе инвестиционно-строительной деятельности. Внешний (экзогенный) по отношению к субъектам инвестиционно-строительной деятельности эффект образуется в результате использования в экономике законченной строительной продукции, например, основных фондов производственного и непроизводственного назначения.
На рис. 2.1 представлена обобщенная схема образования внутреннего и внешнего эффектов (экономического, социального, научно-технического и др.) в системе инвестиционно-строительной деятельности.
Объединяют всех участников инвестиционно-строительной деятельности процессы создания основных фондов, выступающих в конечном итоге в качестве источника (базы) образования и накопления капитала.
Последовательность взаимодействия участников инвестиционно-строительной деятельности приводит к рассмотрению графической модели кругооборота инвестиций, приведенной на рис. 2.2.

Рис. 2.1 - Схема образования внутреннего (эндогенного) и внешнего (экзогенного) эффектов в системе инвестиционно-строительной деятельности
Модель представляет собой общий (концептуальный) взгляд на кругооборот инвестиций в процессе инвестиционно-строительной деятельности. Важным следствием этой модели, являются следующие два обстоятельства:
1) суммарная величина первичных расходов (затрат) инвесторов при эффективной организации инвестиционно-строительного цикла (на базе эффективного инвестиционного проекта) должна быть меньше суммарной величины доходов (результатов), образующихся у инвесторов в период срока окупаемости капитальных вложений;
2) вторичные и последующие доходы инвесторов, получаемые ими после срока окупаемости капитальных вложений, обеспечивают возможность осуществления вторичных и последующих расходов (затрат) на цели расширенного воспроизводства основных фондов.

Рис. 2.2 - Графическая модель кругооборота инвестиций в основной капитал
Из изложенного следуют два важных вывода.
Во-первых, модель кругооборота инвестиций не может быть строго формальной, должна иметь различные степени укрупнения (агрегирования). При этом укрупнение модели порождает новые ее построения, не содержащиеся в исходной модели, что обусловливается факторами целостности проблемных ситуаций, в частности, необходимостью: а) выделения в общей модели кругооборота инвестиций той ее части, которая имеет отношение к чисто строительным процессам, реализуемым генподрядными и субподрядными (включая монтажные) строительными организациями, и б) той части модели, которая опосредуется чисто инновационными решениями.
Во-вторых, среди всех возможных способов агрегирования используемой информации следует выбрать такой, который вносит в укрупненную общую модель кругооборота инвестиций минимальные искажения и неточности и в наибольшей степени отображает сущностные инвестиционные и инновационные экономические явления.
Разработка модели кругооборота инвестиций требует определения ряда понятий и категорий, в частности, понятий субъекта и объекта инвестиционно-строительной деятельности, категорий спроса и предложения капитала, содержания и состава инвестиционно-строительного рынка.
Субъекты инвестиционно-строительной деятельности – это участники процесса материализации капитальных вложений в основные фонды.
Объекты инвестиционно-строительной деятельности – это материализованные инвестиции в виде основного капитала, в качестве которого выступают реализованные проекты (инвестиционные, инновационные и др.), то есть введенные в действие основные фонды производственного и непроизводственного назначения, включая расширение действующих предприятий, их техническое перевооружение, реконструкцию и модернизацию.
Потребность в объектах инвестиционно-строительной деятельности обеспечивает на рынке спрос на капитал.
Инвестиционные возможности (намерения) субъектов инвестиционно-строительной деятельности формируют предложение капитала.
Субъекты и объекты инвестиционно-строительной деятельности реализуют инвестиционный спрос и предложение, вступая в определенные экономические отношения посредством механизмов инвестиционно-строительного рынка, который включает в свой состав рынок инвестиций (капиталов), рынок инвестиционных ресурсов и рынок инвестиционных товаров – объектов инвестирования (основные фонды, оборотные средства, ценные бумаги и др.).
На инвестиционно-строительном рынке инвесторы выступают в роли покупателей строительной продукции, то есть в роли носителей инвестиционного спроса.
В качестве продавцов выступают производители строительной продукции (строительно-монтажные организации, проектные организации, предприятия промышленности строительных материалов, машиностроительные заводы, изготавливающие технологическое и т.п. оборудование).
Главным фактором, определяющим масштабы инвестиционно-строительной деятельности, является совокупное инвестиционное предложение, которое формирует соответствующий спрос на объекты инвестиционно-строительной деятельности.
Однако равенство спроса на капитал и его предложения достигается только в масштабе инвестиционно-строительного рынка в целом, поскольку в частном (конкретном) случае спрос и предложение могут не совпадать.
Таким образом, инвестиционный спрос и предложение на строительную продукцию уравновешиваются через механизм ценообразования, то есть систему равновесных цен на строительную продукцию и инвестиции в основной капитал (капитальные вложения).
Благодаря системе равновесных цен постоянно воспроизводятся макроэкономические пропорции в экономике, включая такой важный ее элемент как прирост основных фондов производственного и непроизводственного назначения.
Механизм равновесных цен возникает и действует только в условиях свободного конкурентного рынка, предполагающего обмен товарами на основе сбалансирования спроса и предложения. Необходимым условием становления рыночных отношений конкурентного типа является опережающее развитие предложения при относительно стабильном спросе, т.е. возрастающая конкуренция товаропроизводителей (продавцов).
Цена равновесия, которая складывается на свободном конкурентном рынке, служит индикатором стоимости товара, так как фиксирует изменения соотношения спроса и предложения, происходящие на основе колебаний в системе стоимостей. Если на рынке инвестиционных товаров в данный момент представлен их определенный набор (недвижимое имущество, оборудование, ценные бумаги и др.), то в такой ситуации инвестор, вкладывая средства в набор товаров, стремится максимизировать прибыль и минимизировать затраты. Среди различных видов активов предпочтение в первую очередь будет отдано наиболее высокодоходным (с наибольшей нормой прибыли на вложенный капитал) и минимальным рискам утраты таких активов.
Направление большой массы инвестиций на цели авансирования их в высокодоходные активы приведет к структурным сдвигам на рынке инвестиционных товаров. Поэтому инвестиционный спрос на конкретный объект вложения превысит предложение. В условиях конкурентного рынка такая ситуация вызовет увеличение цен данного инвестиционного товара.
Высокая рыночная цена подтверждает привлекательность данного товара для инвесторов с позиций его высокой доходности (эффекта). Однако перелив инвестиций (капитала) в высокодоходные активы приведет в конечном итоге к расширению предложения данного инвестиционного товара и соответствующему уменьшению его цены. В таких условиях инвестиции будут направлены в новые высокодоходные активы.
Началом инвестиционно-строительного цикла является денежная форма стоимости. Сущность первой фазы кругооборота инвестиций заключается в авансировании накопленных денежных средств или выделении инвестиционных кредитов для создания основных фондов. Причем денежная форма выступает исходной базой кругооборота инвестиций не только в процессе их создания, но и в случае приватизации собственности или выкупа имущества трудовым коллективом или частным лицом. В этом случае речь идет о движении ранее авансированных денежных средств.
Завершая рассмотрение общей схемы кругооборота инвестиций в основной капитал, следует отметить, что она в принципе остается одинаковой для конкретного объекта (эффективного инвестиционного проекта), их совокупности, отрасли, национальной экономики в целом, а также таких естественных монополий.
Возмещение основного капитала должно совершаться в условиях постоянного азвития научно-технического прогресса. Поэтому вновь вводимые в эксплуатацию активные основные фонды (машины и оборудование) должны обладать более высокой производительностью, что предполагает снижение капитальных затрат на единицу мощности.
Накопление стоимостного износа на предприятиях происходит систематически (ежемесячно), в то время как основные производственные фонды не требуют возмещения в натуральной форме после каждого цикла воспроизводства. В результате формируются свободные денежные средства (путем включения амортизационных отчислений в издержки производства), которые могут быть направлены для расширения воспроизводства основного капитала. Кроме того, вводятся в эксплуатацию новые объекты, на которые по установленным нормам (в процентах от балансовой стоимости) начисляется амортизация. Однако такие объекты не требуют возмещения до истечения нормативного срока службы. Общий объем амортизационных отчислений в нормально функционирующей экономике обеспечивает инвестору не только простое, но и расширенное воспроизводство основных фондов. Начисленный стоимостной износ служит одним из важнейших источников финансирования инвестиционно-строительной деятельности.
В современных условиях предприятия различных форм собственности (акционерные, частные и государственные) самостоятельно разрабатывают инвестиционно-строительные программы и обеспечивают их реализацию соответствующими финансовыми ресурсами. План финансирования инвестиций является для предприятия документом, определяющим стратегию его финансовых возможностей на предстоящий год.
Система финансового обеспечения инвестиционного процесса складывается из органического единства источников финансирования инвестиционно-строительной деятельности и методов инвестирования. К методам инвестирования относятся: бюджетный, кредитный, самофинансирование и комбинированный (смешанный). Бюджетный метод инвестирования в условиях российской переходной экономики применяется в основном к объектам производственной и непроизводственной сфер национальной экономики, включаемых и утверждаемых ежегодно в составе федеральных инвестиционных программ. Кредитный метод наиболее рационален (при определенных условиях), так как способствует более эффективному использованию инвестиционных средств на основе их возвратности и платности. Метод самофинансирования и кредитный метод пока не получили должного развития из-за низкой рентабельности большинства предприятий и неудовлетворительного состояния экономической и законодательной среды в стране.
Основным источником формирования инвестиционных ресурсов в ООО «Каскад» является использование привлеченных средств. Опишем подробнее данный источник.
2.3 Привлеченные средства как источник финансирования инвестиционных проектов
Происходящие в годы реформ кризисные явления в экономике нашей страны в значительной мере отражаются на инвестиционной деятельности в сфере строительства.
Обновление основных фондов в последние годы практически не проводилось. Это приводит не только к потере конкурентоспособности продукции, но и резко снижает уровень безопасности условий труда, увеличивает возможность аварийных ситуаций вплоть до техногенных катастроф.
В настоящее время не обеспечивается даже простое воспроизводство основных фондов. Растет их износ, который достигает по отдельным отраслям 70-80%. Темпы старения технологического оборудования возросли в 5 раз, и его средний возраст достиг недопустимой величины - 16-18 лет - при установившемся сегодня в мире для различных отраслей промышленности уровне этого показателя 5-8 лет.
Такое положение сложилось вследствие того, что ранее действовавшая система финансирования инвестиций была разрушена в процессе непоследовательно проводимых реформ. В то же время, трудности с привлечением иностранных инвестиций, высокий уровень ставок за банковские кредиты, незаинтересованность банков в предоставлении долгосрочных инвестиционных кредитов, резкое уменьшение бюджетных средств, направляемых на инвестиции, привели к тому, что строительство, реконструкция и техническое перевооружение проводились преимущественно за счет собственных средств предприятий. Их доля в общем объеме капитальных вложений находится в последние годы на уровне 70-90%.
Таким образом, оживление инвестиционной деятельности имеет первостепенное значение не только для обеспечения нормального функционирования предприятий, но и для общего экономического подъема.
Одним из наиболее значимых и реальных источников финансирования инвестиций должны стать средства, привлекаемые в процессе эмиссии и размещения корпоративных ценных бумаг.
Процесс привлечения капитала посредством эмиссии акций и корпоративных облигаций требует значительных усилий, затрат времени и денег. Для активизации процесса формирования рынка корпоративных ценных бумаг в целях привлечения инвестиций в создавшихся условиях целесообразно использовать государственные бюджетоэффективные меры поддержки.
Для привлечения финансовых ресурсов путем эмиссии и размещения ценных бумаг необходимо:
сформировать стратегические подходы к направлениям инвестирования средств в строительство;
выбрать целесообразный вид корпоративных ценных бумаг для их эмиссии и размещения среди частных инвесторов;
разработать бюджетоэффективные меры поддержки процесса эмиссии и размещения корпоративных ценных бумаг.
Из всех видов корпоративных ценных бумаг для предприятий в настоящее время значительными преимуществами обладают облигации, что связано со следующими обстоятельствами:
выпуск облигаций позволяет привлекать в строительство кроме средств кредитных организаций средства широкого круга мелких инвесторов;
у предприятия-эмитента облигаций появляется возможность управления своим долгом, в том числе путем досрочного выкупа облигаций;
наличие эмиссионной истории (истории котировок) создает предприятию-эмитенту положительную репутацию на рынке, что позволяет снизить стоимость последующих заимствований;
облигации превосходят по большинству характеристик (объему привлекаемых средств, срокам, юридической защищенности и т.д.) такие формы привлечения средств, как кредиты и векселя.
При выпуске облигаций для финансирования инвестиций в строительство могут быть использованы средства населения, включая работников и руководителей предприятий, и средства коммерческих банков, а также различных инвестиционных фондов.
Население, по оценке экспертов, располагает значительными финансовыми ресурсами, однако приобретенный в последние годы негативный опыт препятствует вложению этих средств в реализацию различных финансовых проектов.
Коммерческие банки располагают достаточными свободными финансовыми ресурсами для использования в реальном секторе экономики. Однако несмотря на то, что предложение кредитных ресурсов превышает спрос, ставка процента за кредит оказывается неприемлемо высокой для большинства предприятий.
Предоставление государственной бюджетной поддержки для развития инвестиционной деятельности стимулирует привлечение средств внешних инвесторов путем эмиссии корпоративных ценных бумаг. Наиболее целесообразным видом таких бумаг являются облигации с фиксированной купонной ставкой.
При организации эмиссии и размещения корпоративных купонных облигаций бюджетная поддержка может оказываться путем компенсации купонных выплат по облигациям в размере 10-15% их номинальной стоимости в течение первого периода их функционирования. При этом на 1 рубль бюджетных средств обеспечивается привлечение на строительные предприятия от 7 до 10 рублей кредитных ресурсов. По предлагаемой схеме на каждый миллион рублей бюджетных средств в строительство может быть привлечено до десяти миллионов рублей кредитных ресурсов. А предприятия с быстрой оборачиваемостью капитала могут обеспечить за счет этого прирост промышленной продукции за год на 20-60 миллионов рублей. Даже при высоком уровне производительности труда это обеспечит до 50 дополнительных рабочих мест на каждый миллион рублей выделенных из бюджета средств. Городскому бюджету каждое дополнительное рабочее место обойдется не более чем в 15-20 тыс. рублей, и окупятся эти средства достаточно быстро за счет дополнительных налоговых поступлений.
При этом коммерческие банки, население, инвестиционные фонды получают возможность вкладывать финансовые ресурсы в реальный сектор экономики при значительном снижении риска невозврата средств.
Использование представленного механизма антикризисного государственного управления позволит консолидировать усилия предприятий промышленности, коммерческих структур, населения и Правительства Москвы для обеспечения увеличения объемов производства конкурентоспособной импортозамещающей и экспортоориентированной промышленной продукции.
Рассматриваемый механизм поддержки инвестиционной деятельности за счет привлеченных средств дает возможность формировать точки быстрого роста налоговых поступлений в городской и федеральный бюджеты как непосредственно от промышленных предприятий, так и за счет мультипликативного эффекта от сопряженных с ними отраслей и предприятий. В основу организации взаимодействия участников процесса привлечения инвестиционных ресурсов на строительные предприятия с использованием возможностей рынка ценных бумаг может быть положена обобщенная схема реализации инвестиционного процесса (рис. 2.3).
Рассматриваемая схема предполагает осуществление инвестиционного процесса в условиях разработки и реализации инвестиционного проекта, требующего краткосрочных и долгосрочных капиталовложений, объемы которых превышают собственные возможности предприятия. При этом экономический потенциал предприятия позволяет обеспечить привлечение инвестиционных ресурсов с использованием рынка ценных бумаг на основе эмиссии корпоративных облигаций и получения определенной финансовой поддержки из средств городского бюджета.

Рис. 2.3 – Схема финансирования инвестиционного процесса
Глава 3. Эффективность инвестиций
3.1 Краткая характеристика инвестиционного проекта
В целях реализации планов по дальнейшему развитию Общества был разработан инвестиционный проект строительства пригородного коттеджного поселка. В рамках проекта разработан план стандартного коттеджа, при этом желающие имеют право переработать данный план по своему усмотрению, либо представить свой план (для своего коттеджа). Это позволит избежать стандартизированного вида поселка, кроме того, каждый из будущих жителей поселка может иметь именно такой коттедж, который он хочет. В то же время те люди, для которых имеет большое значение стоимость строительства, а небольшие детали плана коттеджа не принципиальны, могут воспользоваться стандартным проектом, не затрачивая дополнительных средств на разработку другого. Стандартный проект представлен в приложении 1.
3.2 Выбор схемы финансирования инвестиционного проекта
Как показывает практика, при наличии благоприятных условий для осуществления инвестиционного кредитования ссудозаемщик может обосновано рассчитывать на получение недостающих ему средств только в том случае, если значительная часть потребности в инвестиционном капитале будет покрываться им самим из собственных источников финансирования. При этом минимально допустимая доля собственного капитала в зависимости от уровня проектного риска и кредитоспособности заемщика будет находится в пределах от 25 до 50 %. В этих условиях по прежнему актуальной остается проблема качественной разработки современных аналитических подходов, связанных с обоснованием оптимальной структуры средств финансирования долгосрочных инвестиций. В рамках этих вопросов существенное место занимает проблема правильного выбора критерия оценки, на основе которого будет сделан рациональный выбор того или иного варианта структуры инвестиционного капитала.
В качестве различных источников средств, направляемых на финансирование долгосрочных инвестиций, в теории и практике финансового анализа традиционно выделяют собственный и заемный капитал (группировка средств осуществляется в зависимости от экономического содержания (природы) различных источников инвестиционного капитала). В частности подразделение на собственный и заемный капитал позволяет финансовым аналитикам объективно оценить среднюю взвешенную цену инвестированного в проект капитала. Однако такая классификация источников средств финансирования долгосрочных инвестиций в определенной мере противоречит классификации данных источников, используемой в отечественной системе бухгалтерского учета и государственного статистического наблюдения, где различные источники финансирования выделяются в две обособленные группы в зависимости от места возникновения средств (генерирование средств осуществляется самим хозяйствующим субъектом или капитал привлекается из вне).
В ходе обоснования оптимальной структуры средств финансирования целесообразно использовать подразделение собственного капитала на внешние (за счет эмиссии акций) и внутренние (за счет амортизации и части прибыли) источники средств, а также выделение кредитов банка, займов прочих организаций, средств, поступающих за счет выпуска корпоративных облигаций, бюджетных ассигнований и пр. в отдельную обособленную группу заемных источников финансирования, что позволит финансовым аналитикам учесть специфические цели, стоящие отдельно перед акционерами (владельцами) компании и ее кредиторами. Кроме того становится возможным детерминация уровня финансового риска, дополнительно возлагаемого на собственников компании, напрямую связанного с постоянными финансовыми издержками по обслуживанию инвестированного капитала и долей заемных средств в общем объеме финансирования долгосрочных инвестиций.
В процессе финансово-инвестиционного анализа необходимо обращать внимание на сложную проблему оценки качественного уровня прибыли, являющейся важнейшим внутренним источником финансирования капиталовложений. Ни для кого не секрет, что наличие прибыли, рассчитанной по российским стандартам бухгалтерского учета, еще не является гарантией фактического наличия у компании реальных денежных средств. Справедлива и обратная ситуация, даже если по данным бухгалтерского учета предприятие не получило прибыль (либо она не столь значительна) у коммерческой организации все же могут иметься достаточные собственные денежные ресурсы для приобретения отдельных объектов основных средств.
Оценивая накопленный опыт в решении такого рода вопросов и, безусловно, используя результаты собственных исследований, мы пришли к выводу, что для обоснования структуры капитала можно использовать следующие критерии оценки: скорость возврата инвестированного капитала; показатель рентабельности собственного капитала; показатель «прибыль на акцию»; средняя взвешенная цена капитала. Рассмотрим методику использования каждого критерия оценки.
Важную роль в процессе обоснования оптимальной структуры средств финансирования играют показатели финансового рычага (Fl), рентабельности собственного капитала (ROE), рентабельности инвестированного (постоянного) капитала (ROI). Данный набор показателей используется для оценки воздействия структуры капитала на уровень эффективности конкретного варианта капиталовложений. Вышеперечисленные показатели исчисляются по следующим формулам:

где
ЗК – величина заемного капитала, тыс. руб.;
СК – величина средств из внешних (за счет эмиссии акций) и внутренних (амортизация и прибыль) источников собственного капитала компании, тыс. руб.;
Р – величина проектной прибыли до налогообложения и выплаты процентов, тыс. руб.;
I – объем финансирования долгосрочных инвестиций (постоянный капитал: СК + ЗК), тыс. руб.
Показатель ROE, исчисленный с использованием чистой прибыли и после уплаты процентных платежей можно представить в следующем виде:
,
где tax - ставка налога и прочих отчислений с прибыли предприятия, коэффициент; r - средняя взвешенная ставка процента по заемным средствам финансирования, коэффициент
Для того чтобы определить степень воздействия структуры капитала на уровень эффективности долгосрочного инвестирования, в качестве критерия оптимизации можно использовать рентабельность собственного капитала (целевого показателя, учитывающего интересы владельцев компании). В этом случае можно составить детерминированную модель зависимости показателя ROE от влияния на его уровень рентабельности инвестированного капитала (эффективности капиталовложений по всем источникам финансирования) и финансового рычага (показателя структуры инвестированного капитала). Данная модель зависимости может быть выведена следующим образом:

Вышеприведенная модель зависимости наглядно иллюстрирует так называемый эффект финансового рычага. Если общий уровень эффективности капиталовложений перед выплатой процентных и дивидендных платежей (ROI) превышает процентную ставку по заемным средствам финансирования, то финансовый рычаг будет увеличивать рентабельность собственного капитала. И наоборот, если рентабельность инвестированного капитала будет ниже, чем норма процента по заемным средствам финансирования, Fl будет снижать уровень эффективности вложения капитала собственников (акционеров) компании – реципиента. Отсюда можно сделать вывод: финансовые аналитики, учитывая в первую очередь интересы владельцев компании, имеют реальную возможность оптимизировать структуру капитала инвестиционного проекта за счет выбора такого ее варианта, при котором достигается максимальный уровень эффективности использования собственного капитала. Однако при этом не стоит забывать, что с увеличением в структуре капитала доли заемных источников вместе с показателем ROE возрастает степень финансового риска, связанного с повышением вероятности невыплаты по своим долговым обязательствам перед кредиторами (заимодавцами). Этот риск дополнительно возлагается на собственников компании. Принимая эти моменты во внимание, более рациональным, на наш взгляд, было бы использование в качестве критерия оптимизации такого обобщающего показателя, который, с одной стороны, учитывал интересы собственников компании, с другой стороны, соединял в себе частные показателя рентабельности и финансового риска. В качестве такого критерия мы предлагаем использовать соотношение «рентабельность – финансовый риск». Однако здесь возникает одна важная проблема: каким частным показателем мы будем определять уровень финансового риска?
Для того чтобы детерминировать данный показатель мы сделали следующее допущение: в связи с тем, что цена заемного капитала уже включает компенсацию за риск инвестирования средств в конкретный вариант капиталовложений, надбавку в уровне рентабельности, связанную с финансовым риском (FR), можно найти как разницу между фактической величиной средней взвешенной цены инвестированного капитала (WACC) и этим же самым показателем, рассчитанным с использованием безрисковой ставки рентабельности (WACC rf). Вышеизложенное допущение можно представить математически следующем выражением:

где
kе - цена собственного капитала, коэффициент;
r - средняя взвешенная ставка процента (фактическая или планируемая) по заемным средствам финансирования, коэффициент;
(r - rf) - надбавка в уровне рентабельности (премия) за финансовый риск, при условии 100% кредитования конкретного варианта капиталовложений (за счет банковских кредитов, выпуска корпоративных облигаций, займов сторонних организаций и пр.), коэффициент;
ЗК / (СК + ЗК) – доля заемных средств финансирования в общей величине инвестированного в проект капитала, коэффициент.
Полученное выражение FR позволяет сделать вывод о наличии прямой зависимости между уровнем финансового риска и долей заемных средств финансирования в общей величине инвестированного в проект капитала. Такого рода заключение полностью соответствует общепринятому пониманию экономической природы финансового риска, который по отношению к собственникам компании имеет переменный характер (для собственников компании FR это дополнительный риск, возникающий только при условии привлечения заемных источников финансирования).
Таким образом, соотношение «рентабельность – финансовый риск» (l), используемое нами в качестве критерия оптимизации структуры капитала, может быть представлено следующей формулой:

при этом предлагается считать оптимальным тот вариант структуры капитала, в котором показатель l будет иметь наибольшее значение (l → max).
Необходимо упомянуть еще об одном критерии оценки, который также может быть использован для оптимизации структуры капитала. Таким показателем является срок окупаемости (РВ), характеризующий скорость возврата инвестированного капитала. В данном конкретном случае РВ рекомендуется рассчитывать с использованием показателя чистой прибыли, оставшейся после выплаты процентов, по следующей формуле:
,
где
I - потребность в капитале из всех источников финансирования, тыс. руб.
В качестве обязательного элемента любой методики экономического анализа выступают этапы проведения исследования того или иного процесса (явления). В ходе анализа и оценки оптимальной структуры капитала инвестиционного проекта мы рекомендуем придерживаться следующих этапов.
Оценивается общая потребность в капитале вне зависимости от возможных источников финансирования (8750 млн. руб.).
Определяется максимально возможная доля собственного капитала в общей величине средств, направленных на финансирование долгосрочных инвестиций (50 %).
Рассчитывается показатель «рентабельность – финансовый риск» для всех вариантов структуры инвестированного капитала (в табл. 3.1 стр. 10).
Рассчитывается скорость возврата инвестированного капитала (в табл. 3.1 стр. 11).
В пределах между наибольшей долей собственного капитала и его нулевым уровнем в общем объеме средств финансирования с использованием критериев максимума показателя l и минимума РВ определяется оптимальная комбинация средств, поступающих на финансирование долгосрочных инвестиций из различных источников.
Последовательность расчета обобщающих показателей рентабельности, риска, срока окупаемости и структуры капитала описана в специальной аналитической табл. 3.1.
С использованием данных, полученных в табл. 3.1, можно увидеть, что в указанных пределах (доля собственных средств распределяется от 0 до 50 %) показатель «рентабельность – риск» имеет максимальное значение при удельном весе заемного капитала, равном 60 % (l = 6,54). Однако, в случае доведения доли заемного капитала до 80% значение этого обобщающего показателя не столь существенно измениться в худшую сторону по сравнению с предыдущим и составит 6,48. Какой же вариант структуры инвестированного капитала предпочесть? По нашему мнению, оптимальным будет являться вариант с 60 процентным финансированием за счет заемных источников, так как в этом случае срок окупаемости инвестиционных мероприятий будет на 2,186 года меньше, чем при альтернативном варианте структуры капитала (6,434 года – 4,248 года).
Таблица 3.1 - Оценка оптимальной структуры капитала инвестиционного проекта
|
Показатели |
Структура капитала, % (ЗК СК) |
||||||
|
|
0\ 100 |
20\ 80 |
40\ 60 |
50\ 50 |
60\ 40 |
80\ 20 |
100\ 0 |
|
А |
1 |
2 |
3 |
4 |
5 |
6 |
7 |
|
Исходные данные для анализа структуры инвестиционного капитала |
|||||||
|
1. Потребность в капитале из всех источников финансирования, млн. руб. |
8 750 |
8 750 |
8 750 |
8 750 |
8 750 |
8 750 |
8 750 |
|
2. Величина собственного капитала, направленного на финансирование инвестиций, млн. руб. |
8 750 |
7 000 |
5 250 |
4 375 |
3 500 |
1 750 |
0 |
|
3. Величина заемного капитала, направленного на финансирование инвестиций, млн. руб. |
0 |
1 750 |
3 500 |
4 375 |
5 250 |
7 000 |
8 750 |
|
4. Безрисковая ставка рентабельности на финансовом рынке, коэффициент |
0,25 |
0,25 |
0,25 |
0,25 |
0,25 |
0,25 |
0,25 |
|
5. Средняя ставка процента по заемным средствам финансирования, коэффициент |
0,45 |
0,45 |
0,45 |
0,45 |
0,4 |
0,4 |
0,4 |
|
6. Годовая величина проектной прибыли до налогообложения и выплаты процентов, млн. руб. |
6 400 |
6 400 |
6 400 |
6 400 |
6 400 |
6 400 |
6 400 |
|
7. Ставка налога и прочих отчислений с прибыли предприятия, коэффициент |
0,35 |
0,35 |
0,35 |
0,35 |
0,35 |
0,35 |
0,35 |
|
Аналитические показатели |
|||||||
|
8. Рентабельность
собственного капитала ((стр.6 |
0,475 |
0,482 |
0,492 |
0,501 |
0,589 |
0,777 |
- |
|
9. Уровень
финансового риска ((стр.5 - стр.4)
|
0 |
0,04 |
0,08 |
0,1 |
0,09 |
0,12 |
0,15 |
|
10. Показатель “рентабельность - риск” (стр.8 / стр.9), коэффициент |
- |
12,05 |
6,15 |
5,01 |
6,54 |
6,48 |
- |
|
11. Скорость
возврата инвестированного капитала
(срок окупаемости) (стр.1 / [стр.6 |
2,103 |
2,595 |
3,385 |
3,993 |
4,248 |
6,434 |
13,26 |
Таблица 3.2 - Анализ текущей и будущей структуры капитала, с учетом альтернативных вариантов финансирования инвестиционных проектов
|
Источники средств финансирования основной (производственной), финансовой и инвестиционной- деятельности коммерческой организации |
Текущее состояние по данным бухгалтерской отчетности на 1.01. 2006 г |
Объем и структура капитала с учетом дополнительно привлеченных средств на финансирование капиталовложений (по состоянию на 1.01. 2007 г.) |
||||
|
Сумма |
Удельный |
Вариант А |
Вариант В |
|||
|
|
средств, млн. руб. |
вес, % |
Сумма средств, млн. руб. |
Удельный вес, % |
Сумма средств, млн. руб. |
Удельный вес, % |
|
А |
1 |
2 |
3 |
4 |
5 |
6 |
|
1. Собственные средства финансирования |
120 000 |
63,0 |
120 000 |
32,0 |
300 000 |
80,0 |
|
В том числе: Внутренние источники |
28 000 |
14,7 |
28 000 |
7,5 |
38 000 |
10,1 |
|
из них: 1.1.1. Амортизация основных фондов и нематериальных активов |
8 000 |
4,2 |
8 000 |
2,1 |
8 000 |
2,1 |
|
1.1.2. Прибыль, направляемая на финансирование капвложений (в т.ч. фонд накопления) |
20 000 |
10,5 |
20 000 |
5,4 |
30 000 |
8,0 |
|
1.2. Внешние источники |
92 000 |
48,3 |
92 000 |
24,5 |
262 000 |
69,9 |
|
из них: 1.2.1. Средства, полученные за счет эмиссии обыкновенных акций |
78 200 |
41,1 |
78 200 |
20,9 |
209 600 |
55,9 |
|
1.2.2. Средства, полученные за счет эмиссии привилегированных акций 1.2.3. Прочие средства |
13 800- |
7,2- |
13 800- |
3,6- |
52 400- |
14,0- |
|
2. Заемные средства финансирования |
70 500 |
37,0 |
255 000 |
68,0 |
75 000 |
20,0 |
|
В том числе: 2.1. Банковские кредиты |
30 800 |
16,2 |
111 300 |
29,7 |
35 300 |
9,4 |
|
2.2. Займы прочих организаций |
39 700 |
20,8 |
39 700 |
10,6 |
39 700 |
10,6 |
|
2.3. Средства, полученные за счет эмиссии корпоративных облигаций |
---- |
---- |
80 000 |
21,3 |
---- |
---- |
|
2.4. Бюджетные ассигнования |
---- |
---- |
--- |
---- |
---- |
---- |
|
2.5. Средства внебюджетных фондов |
---- |
---- |
24 000 |
6,4 |
---- |
---- |
|
2.6. Прочие средства |
---- |
---- |
--- |
---- |
---- |
---- |
|
3. Итого средств финансирования |
190 500 |
100 |
375 000 |
100 |
375 000 |
100 |
Анализ изменений, происходящих в величинах показателей l и РВ, в зависимости от значения финансового рычага позволил нам сделать еще один весьма интересный вывод. Собственники компании, стремящиеся максимизировать рентабельность своих вложений за счет дополнительного привлечения заемных средств, должны быть готовы к существенному снижению скорости возврата инвестированного в проект капитала. В этом случае наглядно проявляется противоречие между желанием максимизировать свой личный доход и необходимостью неуклонного повышения (по крайней мере удержания на прежнем уровне) эффективности производственно-финансовой деятельности компании. В этой ситуации интересы собственников (акционеров) компании вступают в противоречие с экономическими интересами самой компании.
Другим обобщающим критерием, который, с одной стороны, учитывает интересы акционеров компании, а с другой стороны, влияет на изменение общей рыночной оценки предприятия - эмитента является показатель “доход на акцию” (ЕРS). Условия применения и порядок расчета этого аналитического показателя регламентируются Международными стандартами финансовой отчетности (стандарт № 33). Сфера применения EPS в целях оптимизации структуры капитала ограничивается только лишь реципиентами, акции которых имеют официально признанные котировки. Представим на конкретном примере методику оценки оптимальной структуры капитала, направленного на финансирование инвестиционного проекта, с использованием показателя EPS. На первом этапе анализа рекомендуется в специальной табл. 3.2 по данным бухгалтерской отчетности определить текущую структуру и объем всех средств финансирования основной, финансовой и инвестиционной деятельности хозяйствующего субъекта; отдельно выявить средства, которые могут быть направлены на финансирование капиталовложений; провести взаимоувязку между потребностью в средствах финансирования долгосрочных инвестиций, имеющимися на эти цели финансовыми ресурсами и дополнительно привлекаемыми средствами из различных источников; отразить предполагаемые изменения в общей структуре капитала компании с учетом нескольких альтернативных вариантов финансирования долгосрочных инвестиций.
На основании данных табл. 3.2 можно определить потребность организации в дополнительных средствах финансирования (D К). Для варианта А показатель D К определяется по стр. 3 как разница между гр. 3 и гр. 1 (375 000 млн. руб. - 190 500 млн. руб. ), что составит 184 500 млн. руб. Аналогично рассчитывается потребность в дополнительных средствах финансирования и по варианту В (стр.3: гр.5 - гр. 1). Величину показателя D К по варианту А можно разложить на следующие ее составляющие: инвестиционный кредит - 80 500 млн. руб. (по стр.2.1.: гр.3 - гр.1); размещение корпоративных облигаций - 80 000 млн. руб. (по стр.2.3.: гр.3 - гр. 1); средства внебюджетных фондов - 24 000 млн. руб. (по стр.2.5.: гр.3 - гр.1). Величину показателя D К по варианту В можно также разложить на отдельные компоненты: часть прибыли, дополнительно направленная на финансирование капвложений - 10 000 млн. руб. (по стр.1.1.: гр.5 - гр.1); средства, полученные за счет дополнительной эмиссии обыкновенных акций - 131 400 тыс. руб. (по стр.1.2.1.: гр.5 - гр.1); средства, полученные за счет дополнительной эмиссии привилегированных акций - 38 600 млн. руб. (по стр.1.2.2.: гр.5 - гр.1); инвестиционный кредит - 4 500 (по стр.2.1.: гр.5 - гр.1).
Таким образом, на основании информации бухгалтерской службы было определено, что организация в текущий момент времени располагает средствами, предназначенными на финансирование капиталовложений, в размере 28 000 млн. руб. (по гр.1: стр.1.1.1. [амортизация ОФ и НА] + стр.1.1.2. [часть прибыли и средства фонда накопления]). Таким образом, с учетом наличия в текущий момент времени средств из внутренних источников общая потребность в финансировании инвестиционного проекта составляет 212 500 тыс. руб. (184 500 тыс. руб. + 28 000 тыс. руб.).
В ходе анализа структуры капитала данные табл. 3.2 необходимо дополнять информацией об объемах дополнительно привлеченных ресурсов и уровне постоянных финансовых издержек, связанных с обслуживанием средств коммерческой организации, поступивших из внешних источников финансирования. Для этих целей лучше всего заполнить специальную аналитическую табл. 3.3. В процессе заполнения этой таблицы требуется рассмотреть методику расчета отдельных аналитических показателей. Последовательность оценки средней взвешенной ставки дивиденда по привилегированным акциям (вариант В) включает в себя следующие расчетные операции:
Þ средняя взвешенная величина годового дивидендного фонда по ПА равна:
Þ показатель “дивиденд на ПА”:
16410 млн. руб. / 3953 шт. = 4,15 млн. руб.;
Þ средняя годовая ставка дивиденда по
ПА: 4,15 млн. руб. / 10 млн. руб.
100%
= 41,5%.
Методика расчета средней взвешенной годовой процентной ставки по банковскому кредиту включает в себя последовательность следующих расчетных операций:
для варианта А:
Þ средняя годовая процентная ставка по банковскому кредиту составляет:
24943 млн. руб. / 84467 млн. руб.
100%
= 29,53%;
аналогично рассчитывается средняя процентная ставка по варианту В, которая равна 21,33 %.
Наибольший интерес в табл. 3.3 вызывает показатель уровня постоянных финансовых издержек, связанных с обслуживанием привлеченных средств (rп). Этот аналитический показатель сам по себе несет важнейшую информацию, необходимую для оценки безубыточного уровня деятельности компании с учетом обязательных годовых отчислений ее собственникам и кредиторам.
Таблица 3.3 - Оценка движения средств, поступивших на финансирование долгосрочных инвестиций из внешних источников
|
Показатели, характеризующие поступление средств из внешних источников финансирования |
Текущее состояние на 1.01.2006 |
Дополнительно привлекаемые средства на 1.05.2006 |
Итого средств по состоянию на 1.01.2007 |
Средняя взвешенная годовая величина показателя |
|||
|
|
|
Вар. А |
Вар. В |
Вар. А |
Вар. В |
Вар. А |
Вар. В |
|
1. Средства, поступающие за счет эмиссии акций (стр.1.1. + стр.1.2.), млн. руб. |
92 000 |
- |
170 000 |
92 000 |
262 000 |
92 000 |
205 333 |
|
1.1. Обыкновенных акций (ОА), млн. руб. |
78 200 |
- |
131 400 |
78 200 |
209 600 |
78 200 |
165 800 |
|
1.1.1. Количество ОА, шт. |
7 820 |
- |
13 140 |
7 820 |
20 960 |
7820 |
16 580 |
|
1.2. Привилегированных акций (ПА), млн. руб. |
13 800 |
- |
38 600 |
13 800 |
52 400 |
13 800 |
39 533 |
|
1.2.1. Количество ПА, шт. |
1 380 |
- |
3 860 |
1 380 |
5 240 |
1 380 |
3 953 |
|
1.2.2. Величина дивиденда по ПА, % |
35,0 |
- |
45,0 |
Х |
Х |
35,0 |
41,5 |
|
2. Заемные средства финансирования (стр.2.2. + стр.2.3. + стр.2.4. + стр. 2.5.), млн. руб. |
70 500 |
184 500 |
4 500 |
255 000 |
75 000 |
193 500 |
73 500 |
|
2.1. Средняя взвешенная годовая ставка процента по всем средствам из заемных источников финансирования, % |
27,94 |
23,31 |
|||||
|
2.2. Банковский кредит, млн. руб. |
30 800 |
80 500 |
4 500 |
111 300 |
35 300 |
84 467 |
33 800 |
|
2.2.1. Проценты по кредиту, % |
20,0 |
35,0 |
35,0 |
Х |
Х |
29,53 |
21,33 |
|
2.3. Выпуск облигаций, млн. руб. |
- |
80 000 |
- |
80 000 |
- |
53 333 |
- |
|
2.3.1. Купонный доход по облигациям, % |
- |
30,0 |
- |
Х |
Х |
30,0 |
- |
|
2.4. Средства внебюджетных фондов, млн. руб. |
- |
24 000 |
- |
24 000 |
- |
16 000 |
- |
|
2.4.1. Процент за пользования средствами, % |
- |
20,0 |
- |
Х |
Х |
20 |
- |
|
2.5. Займы прочих организаций, млн. руб. |
39 700 |
- |
- |
39 700 |
39 700 |
39 700 |
39 700 |
|
2.5.1. Процент по займам, % |
25,0 |
- |
- |
Х |
Х |
25,0 |
25,0 |
|
3. Итого привлеченных средств из внешних источников финансирования (стр.1. + стр.2), млн. руб. |
162 500 |
184 500 |
174 500 |
347 000 |
337 000 |
285 500 |
278 833 |
|
3.1. Средний уровень постоянных финансовых издержек, связанных с обслуживанием привлеченных средств, % |
20,63 |
12,03 |
При этом не принимается в расчет переменный уровень дивидендных платежей по обыкновенным акциям, так как последний зависит от финансового состояния коммерческой организации и решения общего собрания акционеров о величине дивиденда на одну обыкновенную акцию.
Для варианта структуры капитала с преобладающей долей собственных средств показатель rп составит 12,03%.
По результатам анализа видно, что в случае принятия финансового плана с преобладающей долей заемного капитала данная коммерческая организация будет нести нагрузку, связанную с обязательными отчислениями средств своим инвесторам, в 1,72 раза (20,63% / 12,03%) большую, чем по альтернативному варианту финансирования инвестиционного проекта.
Все необходимые расчеты, проводимые в ходе анализа показателя EPS, предлагается осуществлять в специально разработанной для этих целей табл. 3.4. Так как оценку будущих изменений в структуре капитала хозяйствующего субъекта можно с полным основанием отнести к прогнозному финансовому анализу, то и в табл. 3.4 необходимо использовать ожидаемую величину годовой прибыли, представленную в ее пессимистической, средней и оптимистической оценках.
По результатам анализа, проведенного в табл. 3.4, можно сделать определенные выводы. С увеличением уровня постоянных финансовых издержек (вариант структуры капитала с преобладающей долей заемных средств) в благоприятных для организации условиях величина EPS существенно превысит аналогичный показатель, рассчитанный для альтернативного варианта финансирования инвестиционного проекта (для сравнения показатели EPS соответственно по вариантам А и В составят: 0,5352 млн. руб. и 0,4053 млн. руб.).
Таблица 3.4 - Расчет показателя «доход на акцию» с учетом будущих изменений в структуре капитала коммерческой организации, связанных с различными вариантами финансирования инвестиционного проекта
|
Вероятностные оценки показателя |
||||||
|
Показатели |
Вариант А |
Вариант В |
||||
|
|
Пессим. |
Средние |
Оптим. |
Пессим. |
Средние |
Оптим. |
|
1. Годовая прибыль, млн. руб. |
70 100 |
93 300 |
155 000 |
70 100 |
93 300 |
155 000 |
|
2. Ставка налога на прибыль, коэффициент |
0,35 |
0,35 |
0,35 |
0,35 |
0,35 |
0,35 |
|
3. Чистая
прибыль после налогообложения
(стр.1 |
45 565 |
60 654 |
100 750 |
45 565 |
60 645 |
100 750 |
|
4. Уровень постоянных финансовых издержек, связанных с обслуживанием привлеченного капитала, коэффициент. |
0,2063 |
0,2063 |
0,2063 |
0,1203 |
0,1203 |
0,1203 |
|
5. Величина привлеченного капитала, млн. руб. |
285 500 |
285 500 |
285 000 |
278 833 |
278 833 |
278 833 |
|
6. Среднее годовое число, обращающихся на рынке ЦБ обыкновенных акций, шт. |
78 200 |
78 200 |
78 200 |
165 800 |
165 800 |
165 800 |
|
7. Показатель
“доход на акцию” ([стр.3 - стр.4 |
- 0,1705 |
0,0223 |
0,5352 |
0,0725 |
0,1635 |
0,4053 |
В случае развития событий по пессимистическому сценарию одобрение варианта А будет способствовать повышению вероятности возникновения недостатка собственных финансовых ресурсов, предназначенных для покрытия обязательных платежей по дивидендам держателям привилегированных акций и по процентам различного рода кредиторам (заимодавцам), что в конечном итоге может привести организацию к банкротству. В этой ситуации EPSA будет иметь отрицательное значение (-0,1705 млн. руб.), в то время как показатель EPSB, рассчитанный по худшему сценарию, будет иметь положительное значение в размере 0,0725 млн. руб. Снова перед аналитиками возникает проблема выбора: какой вариант структуры капитала предпочесть? Для ответа на этот вопрос предлагается определять величину прибыли предприятия до налогообложения и уплаты процентов, в которой показатель «доход на акцию» будет иметь одно и тоже значение для двух альтернативных вариантов финансирования инвестиционного проекта. В практике финансового анализа искомую величину годовой прибыли принято называть точкой безразличия.
Существует следующее правило применения в финансовом анализе данного показателя: если прибыль ниже точки безразличия, то финансирование проекта преимущественно за счет собственных средств экономически более целесообразно; если выше этой точки, то замещение собственного капитала средствами, полученными из заемных источников, способствует получению более высокого EPS, следовательно, принимая решение на основе этого критерия оценки, данный вариант структуры капитала будет более предпочтителен.
В результате несложных арифметических вычислений точка безразличия составит 125 500 млн. руб. Таким образом, финансовым аналитикам остается определить наиболее вероятное значение годовой прибыли в промежутке между 70 100 млн. руб. (пессимистический сценарий развития событий) и 155 000 млн. руб. (оптимистическая оценка). От точности оценки будущей прибыли по сути дела и будет зависеть окончательный выбор оптимального варианта структуры средств финансирования долгосрочных инвестиций. Если имеется большая вероятность того, что годовая прибыль превысит 125 500 млн. руб., то администрации и собственникам компании следует одобрить изменения в структуре капитала в пользу увеличения в его составе доли средств из заемных источников финансирования (вариант А).
3.3 Оценка экономической устойчивости строительного предприятия
В условиях конкуренции важнейшей стратегией строительного предприятия является обеспечение его устойчивого развития.
Оценка устойчивости строительных предприятий основывается на сравнении экономических выгод и экономических затрат. Под экономическими выгодами здесь понимается увеличение настоящих и будущих денежных потоков, а под экономическими затратами - уменьшение настоящих и будущих денежных потоков.
Изменение конъюнктуры рынка, конкуренция и другие внутренние и внешние факторы могут привести как к положительному, так и к отрицательному изменению устойчивости предприятия. Поэтому устойчивость следует рассматривать как системное, а не случайное явление.
Теоретически условие устойчивости предприятия можно выразить следующим неравенством:
Д - 3 - (Ф + И) > 0,
где Д - доход от реализации продукции;
3 - затраты на производство продукции;
Ф - фискальные платежи;
И - сумма инвестиций на развитие.
Модель экономической устойчивости строительного предприятия, раскрывающая приведенное неравенство, приведена на рис. 3.1. Модель содержит все денежные потоки, необходимые для производственного бизнеса, и отражает три сферы деятельности, по которым принимаются решения: инвестиционную, производственную и финансовую. Инвестиционную деятельность характеризуют существующая инвестиционная база, новые инвестиции, изъятие вложений, которые более не являются необходимыми; производственную - переменные и постоянные издержки, объем реализации продукции и цена; финансовую - прибыль, собственный капитал, дивиденды, проценты по кредитам, долгосрочная задолженность и потенциал, который создается для инвестирования развития.
В основу модели положено органичное единство всех трех видов деятельности, которое обеспечивает необходимые и достаточные условия экономической устойчивости строительных организаций.
Наиболее важными направлениями повышения устойчивости предприятия являются: формирование достаточной производственной программы, организация снабжения материалами и изделиями, оперативное управление производством, организация реализации продукции, освоение конкурентоспособной продукции, управление проектами реструктуризации производства, управление инвестициями. Перечисленные направления определяют содержание инновационной стратегии внутреннего саморазвития строительного предприятия.

Рис. 3.1 – Деятельность строительного предприятия
Разработка инновационной стратегии должна базироваться на накопленном опыте перестройки производственной системы и системы управления предприятием в условиях рыночной экономики. Этот генерированный в определенную систему знаний и проверенный на практике предприятия опыт развития и представляет, по нашему мнению, своеобразный инновационный потенциал предприятия.
В условиях отказа государства от непосредственного регулирования и управления предприятиями инновационная составляющая деятельности предприятия является практически единственным средством повышения устойчивости его функционирования.
Цель инновационной деятельности предприятия заключается в обеспечении наиболее эффективной реализации его производственно-технологического и организационно-технического потенциалов, что является основой экономической устойчивости.
Инновации связаны с совершенствованием деятельности предприятия в сферах производства продукции, рыночного обращения, финансов и инвестиций, внутрифирменного управления, учета и контроля, которые образуют инновационное поле стратегии устойчивого развития предприятия. Целью инноваций является:
в производственной сфере - минимизация производственных затрат в рамках производственной программы, а также рационализация производственных процессов на основе минимизации страховых запасов и незавершенного производства. Способами достижения этой цели является внедрение соответствующих операционных процессов (Just-in-time и MRP-технологий);
в сфере обращения (непроизводственной сфере) - минимизация внешних транзакционных издержек, связанных, в первую очередь, с организацией снабжения строительными материалами и изделиями и реализацией продукции. Способами достижения этих целей являются создание сети малых предприятий, организующих производство и снабжение материнской фирмы всеми необходимыми материалами, а также организация собственной риэлтерской сети. Как показывает практика, реализация таких мероприятий позволяет существенно сократить издержки рыночного обращения;
в финансово-инвестиционной сфере - эффективное управление такими проектами как реструктуризация предприятия, реинжиниринг бизнес-процессов, обновление программы выпуска продукции;
в сфере управления - сокращение внутрифирменных транзакционных издержек на основе совершенствования организационной структуры предприятия, оптимизации внутрихозяйственных связей, разграничения полномочий и децентрализации системы управления; в системе учета - выделение управленческого учета, который имеет важное значение в рыночной экономике. Необходимыми условиями эффективной системы сегментарного учета и отчетности, а, следовательно, и управленческого контроля, является правильное выделение центров ответственности предприятия и формирование соответствующей им децентрализованной структуры управления.
Таким образом, повышение устойчивости строительных предприятий может быть достигнуто за счёт реализации программ активной адаптации, которые охватывают все необходимые мероприятия, содержат планы финансовой санации, ликвидности убыточных производств, создания гибкой производственной структуры, реорганизации систем снабжения и реализации продукции, эффективного использования кадрового потенциала.
Для определения динамики изменения показателя устойчивости строительного предприятия предлагается следующая методика его оценки.
Исходной предпосылкой к выбору критериев оценки устойчивости строительного предприятия является установление ключевых аспектов его деятельности. Определение видов деятельности в значительной мере зависит от размеров и положения предприятия на рынке. Прежде, чем приступить к установлению ключевых аспектов деятельности, необходимо определить миссию предприятия, т.е. представление предприятия о своем будущем.
Миссия - главная цель предприятия, ради которой оно было учреждено и которой подчинена его деятельность. Иными словами, это - смысл существования предприятия как способ удовлетворения определенной потребности общества, которую предприятие может обеспечить, выбор ниши и сегмента рынка.
Миссия предприятия включает как внутренние, так и внешние ориентиры его деятельности, выражая суть того успеха, которого должна добиться организация. Правильно сформулированная миссия служит основой выбора целей и стратегий.
Цели предприятия определяют результат деятельности и пути его достижения с помощью определенных средств. В отличие от миссии они выражают отдельные конкретные направления деятельности предприятия.
Для достижения намеченных целей разрабатывается стратегия, в которой отражается совокупность действий, позволяющих устоять предприятию в конкурентной борьбе и достичь намеченных целей. Под стратегией понимается обобщенная модель действий, необходимых для достижения поставленных целей путем координации и распределения ресурсов предприятия. По существу стратегия - это выбор правил для принятия решений, которыми организация руководствуется в своей деятельности, обеспечивая общее направление достижения устойчивости.
Рассматривая функционирование предприятия с позиции его устойчивости, можно выделить четыре ключевых аспекта деятельности: финансовая деятельность, отношения с потребителями, организация внутренних бизнес-процессов, рост и развитие. Каждый из этих аспектов является, с одной стороны, сферой влияния самого предприятия, а, с другой - сферой влияния внешней среды. Поэтому необходимо рассматривать взаимодействие и взаимовлияние этих сфер при определении для каждой из них параметров, при которых производственно-финансовая деятельность предприятия будет иметь максимальную устойчивость. По каждому ключевому аспекту деятельности предприятия необходимо определить конкретные стратегические цели и выявить наиболее существенные с точки зрения миссии факторы, способствующие достижению поставленных целей.
Для определения влияния факторов на достижение поставленных целей по каждому фактору разрабатывается система сбалансированных показателей, и определяются их значения, при которых производственно-финансовая деятельность предприятия будет иметь максимальную устойчивость. Для выявления интегрального показателя устойчивости предприятия необходимо проранжировать факторы, установить причинно-следственные связи между факторами и характеризующими их показателями. Установление факторов и характеризующих их показателей является базой для определения показателей устойчивости.
Таким образом, под устойчивостью предприятия следует понимать наличие инновационного потенциала устойчивого развития и его эффективное использование для нейтрализации внешних воздействий и факторов дестабилизации. Такое определение устойчивости предприятия позволяет оценить ее количественно, что, в свою очередь, дает возможность управлять ее уровнем.
Оценку устойчивости, по нашему мнению, следует проводить по группам показателей, относящихся к определенному фактору и характеризующих ключевые аспекты деятельности предприятия. При этом анализируемые показатели должны соответствовать следующим требованиям: экономическая обоснованность и объективность, возможность формализации численного расчета, конкретность и однозначность толкования получаемых результатов, согласованное изменение показателей взаимосвязанных групп во времени. При соблюдении данных требований возможен свод единичных показателей устойчивости предприятия в интегральный, например, по принципу средневзвешенных сумм критериев.
Реализовать указанный принцип предлагается следующим образом.
1. Исходные данные по строительному предприятию представляются в виде набора векторов Аi:
Ai = (ai1.....aiN),
где i - номер группы показателей, относящихся к определенному фактору, влияющему на устойчивость;
Ni - число анализируемых показателей в i - й группе.
2. За нормативное значение показателей Вi, целесообразно принять наилучшее значение для совокупности предприятий отрасли в динамике за определенный промежуток времени (Т лет). Число Т определяется динамичностью макроэкономической среды для предприятий строительной отрасли и может составлять 3-5 лет. Нормативные значения носят, как правило, постоянный характер или изменяются крайне редко.
3. Стандартизация показателей в группах может быть осуществлена по формулам:
ij
= aij / bij, (3.1)
ij
= b ij / aij, i = 1,...., I; j = 1,...., N1 (3.2)
Коэффициент
ij
определяет степень достижения
анализируемым предприятием наилучшего
значения j-го показателя в i-ой группе
для совокупности предприятий строительной
отрасли. Формула (3.1) применяется для
показателей, рост которых сопровождается
улучшением интегрального показателя
устойчивости, а формула (3.2) - в противном
случае.
4. Интегральный показатель устойчивости строительного предприятия определяется по формуле:
(3.3)
где У - устойчивость предприятия;
i
- коэффициент относительной важности
i-ой группы показателей (i = 1,..., I),

i
= 1;
ij - коэффициент относительной важности
j-го показателя в i-ой группе (j = 1,...., N,
где Ni - число показателей в i-ой группе),

ij
= 1;
ij
- коэффициент соотношения значения j-го
показателя i-ой группы предприятия с
аналогичным показателем передовых
предприятий отрасли, определяемый по
формулам (1) или (2).
Значения коэффициентов относительной
важности
i
и
ij
определяются экспертным путем по
усредненным оценкам значений, получаемых
от групп экспертов.
На основании проведенных исследований были выявлены группы показателей, характеризующих финансовую деятельность, отношения с потребителями, организацию бизнес-процессов, рост и развитие предприятия, и показатели, дающие возможность определить состояние строительного предприятия в определенный момент и его изменения. Путем обработки мнений экспертов были получены количественные характеристики коэффициентов относительной важности групп показателей и каждого показателя, входящего в состав группы. С учетом полученных значений коэффициентов формула интегрального показателя устойчивости (3.3) принимает следующий вид:
У = 0,18 (0,61
11
+ 0,39
12)
+ 0,11 (0,73
21
+ 0,27
22)
+ 0,48 (0,58
31
+ 0,42
33)
+ 0,23 (0,72
41
+ 0,28
42),
где 0,18; 0,11; 0,48; 0,23 - коэффициенты относительной важности групп показателей;
0,61; 0,39; 0,73; 0,27; 0,58; 0,42; 0,72; 0,28 - коэффициенты относительной важности показателей;
11 - соотношение издержек производства и объема строительно-монтажных работ;
12 - коэффициент реализации продукции;
21 - доля рынка;
22 - удовлетворенность потребителей;
31 - результативность бизнес-процессов;
32 - эффективность бизнес-процессов;
41 - рентабельность инвестиций в развитие производства;
42
- удовлетворенность персонала.
Для интерпретации интегрального показателя устойчивости предприятия предлагается следующая градация (см. таблицу 3.5):
Таблица 3.5 - Зоны устойчивости строительного предприятия в зависимости от интегрального показателя устойчивости
|
Значение показателя устойчивости |
Интерпретация показателя устойчивости |
|
0,9 < У < 1 |
Зона высокой устойчивости |
|
0,6 < У < 0,9 |
Зона нормальной устойчивости |
|
0,35 < У < 0,6 |
Зона неустойчивого экономического положения |
|
У < 0,35 |
Зона кризисного экономического положения |
Приведенная градация разработана на основе методики, изложенной в работе Стояновой Е. С. Как показывает практика, предложенные границы зон устойчивости являются достаточно стабильными. В этой связи важное значение имеет постоянный мониторинг интегрального показателя устойчивости, что позволяет сформулировать обоснованные выводы о траектории изменения рыночной позиции предприятия и об ослаблении или, наоборот, росте устойчивости. Блок-схема алгоритма определения интегрального показателя устойчивости приведена на рис. 3.2.

Рис. 3.2 – Определение интегрального показателя устойчивости
Введение интегрального показателя оценки устойчивости строительного предприятия подразумевает анализ всех процессов, влияющих на улучшение показателя устойчивости, а также анализ совокупности всех альтернативных вариантов мероприятий, внедрение которых в производственно-хозяйственные процессы также улучшает этот показатель.
При этом управление интегральным показателем устойчивости должно осуществляться с позиции улучшения одной из важнейших характеристик предприятия - эффективности его деятельности, т.е. соотношения затрат и результатов:
Э = Р - 3 --> max, (3.4)
где Э - эффективность деятельности предприятия;
Р - стоимостная оценка результатов производственно-хозяйственной деятельности за определенный период;
3 - затраты на производственно-хозяйственную деятельность предприятия за тот же период.
Возможность устойчивого развития предприятия определяется тем, в какой мере ему удается соответствовать требования, предъявляемым к финансовой, производственной, природной и социальной средам. Успех функционирования строительного предприятия в финансовой среде определяется его финансовой устойчивостью. Воздействие на предприятие производственной среды проявляется в двух аспектах: создание продукции, пользующейся спросом у потребителей, и создание персоналу условий для производительного и безопасного труда. Так как предприятие функционирует в конкретной среде, оно должно управлять своим воздействием на нее. И, наконец, социальная среда предъявляет к предприятию свои требования с позиций соблюдения трудового законодательства, реализации социальных гарантий, общественной активности и этики ведения бизнеса.
Заключение
Переход России к рыночным отношениям и структурная перестройка экономики привели к коренным изменениям в строительной отрасли, превратив ее в инвестиционно-строительный комплекс. В этих условиях он становится многокритериальной и многопараметрической сложной системой и характеризуется такими свойствами, как неоднородность, неопределенность функционирования под воздействием факторов внешней среды, финансово-экономическая уязвимость, эмерджентность.
При планово-административной и нормативной экономике для анализа производственно-хозяйственной деятельности строительных предприятий (или сравнительного анализа) и оценки эффективности использовались около пятидесяти показателей и удельных коэффициентов, которые можно разделить на дифференцированные, интегральные (обобщающие), сравнительные и относительные.
В настоящее время инвестиционно-строительный комплекс – открытая и неравновесная система. Ее динамические процессы описываются и анализируются во многих случаях методами информационно-статистической теории и синергетической экономики. В силу своей открытости она может обмениваться с внешней средой функционирования энтропией, являющейся мерой степени неопределенности влияния не только экзогенных, но и эндогенных факторов. Если приток отрицательной энтропии, т.е. информации из внешней среды, довольно значителен, то суммарная величина энтропии может понижаться, что ведет к образованию структуры самоорганизующегося поведения. Это отражается в разрабатываемых экономико-математических моделях управления, анализа, прогнозирования и диагностики экономических процессов, а также в формировании критериев и показателей оценки эффективности не только предприятия (подсистемы), но и инвестиционно-строительного комплекса как системы в целом.
На формирование показателей воздействует внешняя среда функционирования инвестиционно-строительного комплекса или строительного предприятия, которая генерирует экзогенные факторы неопределенности. Однозначно рассчитывать степень влияния одного или совокупности экзогенных факторов на показатели довольно сложно в силу многовариантности и основанной на ней неравномерности развития, структурированной усложненности и вероятностного характера эволюции экономической системы.
Стратегия в сфере инвестиций является движущей силой любой бизнес-системы. Управляющие должны обеспечить использование имеющихся инвестиций так же, как и новых инвестиций, таким образом, чтобы обеспечить достижение приемлемой экономической отдачи. Одним из показателей, при помощи которых оценивается эта экономическая отдача, является норма прибыли.
Эта сфера бизнеса охватывает процесс составления смет капиталовложений (capital budgeting), предусматривающий отбор новых альтернативных инвестиционных решений. Принятые инвестиционные решения должны соответствовать не только требованиям обеспечения эффективности хозяйственной деятельности, но и принятой политике предприятия в сфере формирования источников финансирования инвестиционных проектов. В стратегические планы развития предприятия должны включаться не только решения о вложении ресурсов, но и обратные решения, связанные с изъятием средств из оборота (disinvestment). Решение об инвестировании или выводе из обращения ресурсов анализируются на основе подходов, предполагающих расчет чистой текущей стоимости.
Эта сфера бизнеса охватывает процесс составления смет капиталовложений (capital budgeting), предусматривающий отбор новых альтернативных инвестиционных решений. Принятые инвестиционные решения должны соответствовать не только требованиям обеспечения эффективности хозяйственной деятельности, но и принятой политике предприятия в сфере формирования источников финансирования инвестиционных проектов. В стратегические планы развития предприятия должны включаться не только решения о вложении ресурсов, но и обратные решения, связанные с изъятием средств из оборота (disinvestment). Решение об инвестировании или выводе из обращения ресурсов анализируются на основе подходов, предполагающих расчет чистой текущей стоимости.
Одной из важнейших сфер деятельности любого предприятия является инвестиционная, то есть операции, связанные с вложением денежных средств в реализацию проектов, которые будут обеспечивать получение предприятием выгод в течение определенного периода времени.
В коммерческой практике принято различать следующие типы таких инвестиций:
- инвестиции в основные средства;
- инвестиции в нематериальные активы;
- инвестиции в денежные активы.
Под денежными активами понимаются право на получение денежных сумм от других физических и юридических лиц, например депозиты в банке, облигации, акции и т.д.
Инвестиции в основные средства и нематериальные активы принято называть инвестициями в реальные активы. Оба типа инвестиций имеют большое значение для сохранения жизнеспособности предприятия и его развития. При разработке инвестиционного проекта строительства имеются в виду именно инвестиции в реальные активы.
Инвестиции в реальные активы можно представить следующим образом.
Независимые инвестиции, когда инвестиции осуществляются независимо друг от друга, т.е. выбор одного инвестиционного проекта не исключает также выбора какого-либо другого.
Альтернативные инвестиции. Инвестиции связаны таким образом, что выбор одной из них будет исключать другую. Обычно это возникает тогда, когда имеются два альтернативных способа решения одной и той же проблемы. Такие инвестиционные проекты являются взаимоисключаемыми. Это обстоятельство имеет важное значение в условиях ограниченности источников финансирования капиталовложений.
Последовательные инвестиции. Крупные инвестиции в завод или в оборудование обычно порождают последующие капиталовложения в течение нескольких лет, что должно быть учтено при принятии инвестиционного решения.
Осуществление инвестиций порой рассматривается как «произвольная» форма деятельности фирмы в том смысле, что последняя может осуществлять или не осуществлять подобного рода операций. На самом деле такой взгляд на проблему далек от истины, поскольку жизнь любого предприятия - плавание против потока времени и конкуренции. И в этом смысле неосуществление инвестиций приводит к результату, сходному с тем, который обнаруживает пловец, гребущий недостаточно сильно, чтобы хотя бы удержаться на одном месте, - его снесет назад.
Поэтому все возможные инвестиционные стратегии предприятия можно разбить на две группы:
- пассивные инвестиции, т.е. такие, которые обеспечивают в лучшем случае неухудшение показателей прибыльности вложений в операции данного предприятия за счет замены устаревшего оборудования, подготовки нового персонала взамен уволившегося и т.д.;
- активные инвестиции, т.е. такие, которые обеспечивают повышение конкурентоспособности предприятия и его прибыльности по сравнению с ранее достигнутыми уровнями за счет внедрения новой технологии, организации выпуска пользующихся спросом товаров, завоевания новых рынков или поглощения конкурирующих фирм.
В данной дипломной работе рассмотрены особенности инвестирования жилищного строительства, разработан инвестиционный проект загородного коттеджного поселка, выбрана схема финансирования инвестиционного проекта и его эффективность.
Список использованной литературы
Градостроительный кодекс Российской Федерации 29.12.2204 №190-ФЗ (в ред. Федерального закона от 29.12.2006 №258-ФЗ) // Российская газета, №290, 30.12.2004.
Жилищный кодекс Российской Федерации от 29.12.2004 №188-ФЗ (в ред. Федерального закона от 29.12.2006 №250-ФЗ, с изм., внесенными Федеральным законом от 29.12.2006 №258-ФЗ) // Российская газета, №1, 12.01.2005.
Гражданский кодекс Российской Федерации от 30.11.1994 №51-ФЗ (в ред. Федерального закона от 18.12.2006 №232-ФЗ) // Собрание законодательства РФ, 05.12.1994, №32, ст. 3301.
Налоговый кодекс Российской Федерации от 31.07.1998 №146-ФЗ (в ред. Федерального закона от 30.12.2006 №268-ФЗ) // Российская газета, №148 – 149, 06.08.1998.
Федеральный закон Российской Федерации «О жилищных накопительных кооперативах» от 30.12.2004 №215-ФЗ (в ред. Федерального закона от 16.10.2006 №160-ФЗ) // Российская газета, №292, 31.12.2004.
Федеральный закон Российской Федерации «Об ипотечных ценных бумагах» от 11.11.2003 №152-ФЗ (в ред. Федерального закона №141-ФЗ) // Парламентская газета, №215-216, 19.11.2203.
Федеральный закон Российской Федерации «Об участии в долевом строительстве многоквартирных домов и иных объектов недвижимости и о внесении изменений в некоторые законодательные акты Российской Федерации» от 30.12.2004 №214-ФЗ (в ред. Федерального закона от 16.10.2006 №160-ФЗ) // Российская газета, №292, 31.12.2004.
Федеральный закон Российской Федерации от 29.12.2004 №196-ФЗ «О внесении изменений в Федеральный закон «О государственной регистрации прав на недвижимое имущество и сделок с ним» // Российская газета, №290, 30.12.2004.
Федеральный закон Российской Федерации от 21.07.1997 №122-ФЗ «О государственной регистрации прав на недвижимое имущество и сделок с ним» (в ред. Федерального закона от 18.12.2006 №232-ФЗ) // Собрание законодательства РФ, 28.07.1997, №30, ст. 3594.
Федеральный закон Российской Федерации от 25.02.1999 №39-ФЗ «Об инвестиционной деятельности в Российской Федерации, осуществляемой в форме капитальных вложений» (в ред. Федерального закона от 18.12.2006 №232-ФЗ) // Собрание законодательства РФ, 01.03.1999, №9, ст. 1096.
Закон Российской Советской Федеративной Социалистической Республики «Об инвестиционной деятельности в РСФСР» от 26.06.1991 №1488-1 (в ред. Федерального закона от 10.01.2003 №15-ФЗ) // Ведомости СНД и ВС РСФСР, 18.07.1991, №29, ст. 1005.
Постановление Правительства Российской Федерации от 27.12.2000 №1008 «О порядке проведения государственной экспертизы и утверждения градостроительной, предпроектной и проектной документации» // Российская газета, №14, 23.01.2001.
Приказ Министерства экономики Российской Федерации от 01.10.1997 №118 «Об утверждении методических рекомендаций по реформе предприятий (организаций)» // Экономика и жизнь, №49 – 52, 1997, №2, 1998.
Информационное письмо Президиума Высшего Арбитражного Суда Российской Федерации от 25.07.2000 №56 «Обзор практики разрешения арбитражными судами споров, связанных с договорами на участие в строительстве» // Вестник ВАС РФ, №9, 2000.
Андрейчиков А.В., Андрейчикова О.Н. Анализ, синтез, планирование решений в экономике. - М.: Финансы и статистика,2000. - 368 с.
Бочаров В.В. Финансово-кредитные методы регулирования рынка инвестиций.- М.: Финансы и статистика, 1993. – 144 с.
Веремеенко С., Игудин Р. Приоритеты инвестиционного проектирования //Финансист, 2004. - №2. - с.16-19
Виленский П.И., Лившиц В.И., Смоляк С.А. Оценка эффективности инвестиционных проектов: теория и практика. Учебно-практ. пособие. - М.: Дело, 2001. - 832 с.
Волков И.М., Грачева М.В. Александров Д.С. Критерии оценки проектов экономического развития Всемирного банка. М., 2000.
Годин В.В. Управление информационными ресурсами: Учебное пособие для вузов. – М.: ИНФРА-М, 2000.
Донцова Л.В. Экономико-математическое моделирование процессов инвестиционно-строительной деятельности // Менеджмент в России и за рубежом, №1 – 1999
Евсенко О.С. Шпаргалка по инвестициям: учеб. Пособие. – М.: ТК Велби, 2004. – 24 с.
Емельянов Р.В. Современные методы оценки эффективности капитальных вложений // Инвестиции и инновации в России: проблемы в начале XXI века (макроэкономические, социальные, институциональные и методологические). Сборник статей / Под ред. Новицкого Н.А. М.: Институт экономики РАН, 2001. – 302 с.
Жуков Л.М. Финансово-экономический анализ для оценки эффективности инвестиций. // Экономика строительства, 2004,№ 4. - С. 14-32.
Зарембо Ю.Г. Об единой методике оценки эффективности инвестиций. // Экономика строительства, 2004, № 9. - С. 10-20.
Иванов Ю. Слияние, поглощения и разделение компаний. – М., 2001.
Игнатьева А.В., Максимов М.М. Исследование систем управления. – М.: ЮНИТИ, 2000.
Инвестиции в России: сценарное прогнозирование развития инвестиционного процесса. Исследовательская группа ЦИРКОН. //Инвестиции в России. 2005. - №6. – с.23-24
Инвестиционное проектирование: практическое руководство по экономическому обоснованию инвестиционных проектов. Под ред. Шумилина С.И. М: АО Финстатпром. – 2005. -240 с.
Калугин В.А. Многокритериальная оценка инвестиционных проектов // Вестник Оренбургского государственного университета. - 2004. № 4. - С. 61-64.
Калугин В.А. Многокритериальные методы принятия инвестиционных решений. - СПб.: Химиздат, 2004. - 211 с.
Каменецкий М.И. Инвестиционная сфера и строительный комплекс: ситуация, государственное регулирование и рыночное взаимодействие // Проблемы прогнозирования. 1997. – №6. с. 91–100.
Ковалев В.В. Финансовый анализ: методы и процедуры. - М.: Финансы и статистика, 2002. - 560 с.
Ковалев В.В. Финансовый анализ: Управление капиталом. Выбор инвестиций. Анализ отчетности. М.: Финансы и статистика, 2003. - с. 512.
Кондратьев В.В. Реструктуризация управления компанией: Учебное пособие для вузов.– М.: ИНФРА-М, 2000.
Конспект лекций по дисциплине «Инвестирование» (для студентов экономических специальностей всех форм обучения). Сост.: В.М. Гридасов, С.В. Кривченко. – Краматорск: ДГМА, 2003. – 72 с.
Ланге О. Целое и развитие в свете кибернетики. В кн.: «Исследования по общей теории систем». Сб. Переводов. – М.: Прогресс, 1969
Лева О.В., Калугин В.А. Анализ критериев оценки инвестиционных проектов // Изв. вузов. Строительство. 2004. № 3. - С. 44-48.
Лившиц В.Я., Лившиц С.В. Оценка эффективности инвестиционных проектов в условиях стационарной и нестационарной экономики. // Экономика строительства, 2003, № 5.
Матвейчук Веслав. Теоретические и методологические основы оценки и повышения конкурентоспособности строительных предприятий (на материалах строительных предприятий Польши). Автореф. дис. на соискание ученой степени д.э.н. - Минск, 2005.
Методические рекомендации по оценке эффективности инвестиционных проектов и их отбору для финансирования. Издание официальное. – М.: 1994. – 80 с
Михельс В.А Вахович И.В. Интенсивность капитальных инвестиций в предпринимательский проект-критерий их эффективности // Строительное производство, 2001, № 42. - С. 68-72.
Непомнящий Е.Г. Инвестиционное проектирование: Учебное пособие. Таганрог: Изд-во ТРТУ, 2003. 262 с.
Новиков М.В., Бронникова Т.С. Разработка бизнес-плана проекта. Учебное пособие. Издание второе, дополненное. Таганрог: ТРТУ, 2001. 46 с.
Орлова Е.Р. Оценка инвестиций. - М.; МАОК, 2005.
Радыгин А., Энтов Р., Шмелева Н. Проблемы слияния и поглощения в корпоративном секторе. М., 2002.
Рахман И.А. Развитие рынка недвижимости в России: теория, проблемы, практика. - М.: ЗАО «Издательство «Экономика»,2000.
Романова А.И., Ибрагимова А.Р. Конкурентоспособность строительных предприятий: теория и практика анализа. - Казань: КГА-СА, 2002. - 172 с.
Румянцева З.П. Общее управление организацией: принципы и процессы. – М.: ИНФРА-М,2000.
Ступин И. Строительство. // Эксперт. 2005. № 38.
Томпсон А.А., Стрикленд А.Дж. Стратегический менеджмент: Учебник. – М.: ИНФРА-М, 2001.
Торги - почему этот рыночный механизм работает почти вхолостую // Строительная газета. 2005. № 40.
Трапезников В.А. Правовое регулирование инвестиционной деятельности в жилищном строительстве // Право и экономика, 2005, №9.
Управление организацией: Учебник / Под ред. А.Г. Поршнева, З.П. Румянцевой, Н.А. Соломатина.- 2-е изд., перераб. и доп. – М.: ИНФРА-М, 2002.
Управление проектами: справочное пособие / Под ред. И.И. Мазура, В.Д. Шапиро. М.: Высшая школа, 2001. – 875 с.
Управление риском в рыночной экономике/ В.Н. Вяткин, В.В. Гамза – М.: Экономика, 2000.
Ченг Ф.Ли, Джозеф И. Финнерти. Финансы корпораций: теория, методы и практика: Пер. с англ. – М.: ИНФРА-М, 2000.
Чернов В.А. Анализ коммерческого риска. М.: Финансы и статистика, 2003.-128 с.
Шагиахметова Э.И. Методы оценки
конкурентоспособности строительных
предприятий. Автореф. дис. на соискание
ученой степени к.э.н. - М.: 2002.

