Выдвижение гипотез о механизмах реакций
- 1 -
Выдвижение гипотез о механизмах реакций
Выдвижение гипотез о механизмах исследуемых реакций является одним из этапов рациональной стратегии построения кинетических моделей. В случае каталитических реакций можно выделить следующие уровни гипотез:
гипотезы о состоянии катализатора, о природе активных центров;
гипотезы о возможных элементарных стадиях, которые могли бы реализоваться на данном катализаторе с выбранным набором реагентов;
гипотезы об отдельном механизме (схема механизма) образования заданных продуктов с минимальным набором маршрутов;
анализ узлов сопряжения маршрутов образования различных пар продуктов;
гипотеза о максимальном механизме (реакционная сеть, chemical reaction network) с анализом всех узлов сопряжения между интермедиатами.
Гипотезы о состоянии катализатора, о механизмах формирования активных центров из предшественников и о природе активного центра чрезвычайно важны для перехода к гипотезам следующего уровня – к элементарным стадиям (ЭС) и реакционным сетям (РС). Рассмотрим два характерных примера из области металлокомплексного катализа. В реакциях, катализируемых комплексами Pd из предшественников PdX>2> и PR>3> могут сформироваться в зависимости от реагентов и среды комплексы Pd(II) – PdX>2>(PR>3>)>2>, Pd(0) – Pd(PR>3>)n и Pd(I) – Pd>2>X>2>(PR>3>)>2>. Очевидно, что палладий в разных степенях окисления будет способен участвовать в разных по природе стадиях механизма. Например, Pd(II) – окислитель, акцептор пар электронов, мягкая апротонная кислота, а Pd(0) – восстановитель, донор пар электронов, мягкое основание. Так, механизмы одной и той же реакции алкоксикарбонилирования ацетилена с образованием акрилата (А) на этих двух частицах в спиртовых растворах принципиально различны:


В первом случае вначале активируется спирт (S>E>), а затем СО и С>2>Н>2>, во втором – реакция начинается с окислительного присоединения HX, затем в реакцию вступают ацетилен, СО и ROH. Таким образом, выбор возможных стадий и схем механизма прежде всего определяется свойствами металлокомплекса в растворе или свойствами активного центра на поверхности.
Выдвижение гипотез – процедура творческая, основанная на знаниях и интуиции. Вместе с тем, существуют и частично или полностью формализованные методы, которые позволяют получить максимально полные наборы гипотез при заданных ограничениях. Рассмотрим некоторые из них.
Использование условий
ортогональности
.
Условие ортогональности
стехиометрической матрицы механизма
и атомной матрицы
позволяет восстановить матрицу В,
если заданы все участники реакции и
возможные интермедиаты, т.е. найти все
возможные элементарные стадии образования
и превращения заданных интермедиатов
при определенных ограничениях, например,
на молекулярность ЭС. Этот путь, однако,
не очень эффективен, поскольку придумать
интермедиаты процесса не легче, чем
весь механизм, и процедура формального
поиска взаимосвязей между интермедиатами
(ЭС) незначительно облегчает задачу.
Математическая модель структурной химии Дугунджи-Уги.
В рамках этой модели каждая химическая реакция рассматривается как изомеризация ансамблей атомов – ансамбля реагентов в ансамбль продуктов. Например, реакция (1)
(1)
катализируется катализатором М. Тогда исходный ансамбль (ЕМ>исх>) есть {M, HCl, C>2>H>2>}, а конечный ансамбль (ЕМ>кон>) – {M, CH2=CHCl}. Число атомов каждого сорта в процессе изомеризации ансамбля не меняется (N = const). Атомы, входящие в ансамбль А = <M,H,Cl,C,C,H,H>. Отыскание механизма суть отыскание последовательности изомеризации ансамблей.
ЕМ>исх> ЕМ>1> ЕМ>2> ЕМ>кон>
Каждый ансамбль атомов представляется специальной be-матрицой (bond-electron), а переход исходного ансамбля В в конечный ансамбль Е в каждой реакции осуществляется с помощью реакционной R-матрицы
B + R = E (2)
Например, для реакции
(3)
матрицы В, Е и R являются квадратными матрицами, недиагональные элементы которых b>ij> равны числу связей атома i и атома j, а диагональные элементы b>ij> (i = j) равны числу валентных электронов на атоме i в соответствующем соединении. R = E – B.


Для генерации гипотез этим методом используют набор стандартных R матриц, и каждую матрицу применяют к каждому последующему ансамблю или находят все возможные R-матрицы, удовлетворяющие заданным ограничениям и с ними генерируют все изомерные матрицы.
Компьютерные программы MeChem и ChemNet
Программа MeChem генерирует из исходных веществ интермедиаты при большом объеме заданных ограничений и правил до тех пор, пока не получатся продукты и итоговые уравнения каталитической реакции. Программа генерирует простейшие механизмы реакций. Программа ChemNet использует банк обобщенных трансформаций, т.е. ЭС, записанных в общем виде. В зависимости от поставленной задачи трансформации могут быть записаны с различной степенью обобщения. Например, ЭС (4)
(4)
можно записать в виде трансформации
(5)
и тогда этой трансформации будут подвергаться все интермедиаты со связью M-O. Программа узнает в каждом интермедиате фрагмент, который может участвовать в той или иной трансформации:

Трансформации отбираются исследователем для генерации механизмов (РС) изучаемой реакции. Размерность РС зависит от числа выбранных трансформаций и от степени обобщения, заложенной при выборе трансформации (Приложение к разделу 4).
Программа ChemComb.
Формализованная комбинаторная программа, также основанная на банке трансформаций. Позволяет получить полный набор механизмов, возможных на выбранном множестве трансформаций. Разберем подробнее алгоритм действия этой программы, который может быть реализован без компьютера.
Получим набор простейших механизмов реакции (1), протекающей с участием металлокомплексных катализаторов М. Для осуществления реакции (1) необходимо провести минимальный набор следующих преобразований исходных молекул с участием катализатора:
|
Операция |
Код операции |
|
Разрыв связи H-Cl |
А |
|
Разрыв связи СС до С=С |
Б |
|
Образование связи C-Cl |
В |
|
Образование связи С-Н |
Г |
Набор кодов операций АБВГ представляет собой минимальную формулу превращений, которая и даст минимальный механизм. Для более полного набора механизмов можно еще разорвать связь С-Н в ацетилена и образовать 2 связи С-Н. Тогда и формула превращений будет сложнее и число комбинаторных вариантов больше. Имея формулу превращений, выбираем из библиотеки стадий трансформации, записанные в обобщенной форме (Приложение к разделу 4).
Код А
A>1>
A>2>
A>3>
A>4>Г>1>
В этой трансформации одновременно реализуются две операции – разрыв HCl (A) и образование С-Н (Г)
A>5>
(стадия без участия М)
Код Б
Б>1>В>3>
Б>2>Г>3>
Б>3>Г>5>
Б>4>
При выборе трансформаций важно
проследить, чтобы при образовании
каких-либо веществ (H+,
Cl–,
и др.) были записаны и стадии, в которых
эти вещества являются реагентами.
Код В
В>1>
В>2>
В>4>
Код Г
Г>2>
Г>4>
Из выбранных трансформаций, т.е. из полученных кодов набираем простым комбинаторным путем все возможные комбинации, обеспечивающие выбранную формулу превращений АБВГ.
А>1>В>1>Б>2>Г>3> А>2>В>1>Б>2>Г>3>
А>1>В>1>Б>3>Г>5> А>2>В>1>Б>4>Г>5>
А>1>В>1>Б>4>Г>2> А>2>В>1>Б>4>Г>2>
А>1>В>1>Б>4>Г>4> А>3>В>1>Б>4>Г>4>
А>1>В>2>Б>2>Г>3> А>2>В>2>Б>2>Г>3>
А>1>В>2>Б>3>Г>5> А>2>В>2>Б>4>Г>5>
А>1>В>2>Б>4>Г>2> А>2>В>2>Б>4>Г>2>
А>1>В>2>Б>4>Г>4> А>3>В>2>Б>4>Г>4>
А>1>В>3>Б>1>Г>2> А>2>В>3>Б>1>Г>1>
А>1>В>3>Б>1>Г>4> А>2>В>3>Б>1>Г>4>
А>1>В>4>Б>2>Г>3> А>2>В>4>Б>2>Г>3>
А>1>В>4>Б>3>Г>5> А>2>В>4>Б>4>Г>5>
А>1>В>4>Б>4>Г>2> А>2>В>4>Б>4>Г>2>
А>1>В>4>Б>4>Г>4> А>3>В>4>Б>4>Г>4>
и т. д.
Всего получается 60 наборов. Полученные наборы необходимо проанализировать, чтобы установить, имеют ли полученные комбинации химический смысл – имеется стыковка по интермедиатам, образуются целевые продукты, образуется исходная форма катализатора.
Рассмотрим 2 примера.
А>1>В>1>Б>2>Г>3>
А>1>
Б>2>Г>3>
В>1>
Механизм может быть интерпретирован, имеет химический смысл:



А>3>В>1>Б>2>Г>3>
А>3>
Б>2>Г>3>
В>1>
Механизм не имеет химического смысла, так как нет образования МН, нет расхода Н+, нет стыковки по интермедиатам.
Из 60 комбинаций только 10 механизмов имеют химический смысл, но это полный набор гипотез для выбранного набора трансформаций.
Рассмотрим примеры использования компьютерных программ для выдвижения гипотез о механизмах и их дискриминации в Лаборатории кинетики и катализа кафедры Химии и технологии основного органического синтеза МИТХТ им. М.В.Ломоносова.
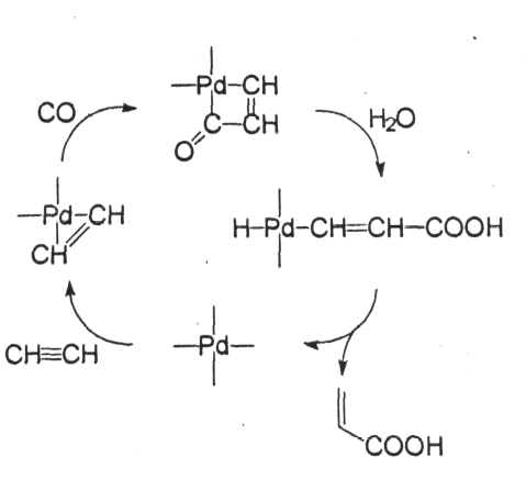
Для выдвижения гипотез о механизмах синтеза акриловой кислоты по реакции
(6)
в растворах комплексов палладия использовали 11 трансформаций:











С помощью программы ChemNet получили реакционную сеть из 160 элементарных стадий, а программа MeChem “вырезала” из сети 35 механизмов синтеза акриловой кислоты (реакция 6), среди которых были все известные механизмы и ряд новых гипотез. Четыре гипотезы из наиболее интересных представлены ниже:


При изучении механизма реакции

использовали программу ChemComb. Было выбрано 20 ЭС из базы данных (библиотеки стадий) и получено 46 механизмов, которые разделились на 4 группы:
6 механизмов с участием промежуточного этилена;
22 механизма с промежуточной акриловой кислотой;
8 механизмов с промежуточным малеиновым ангидридом;
10 механизмов с промежуточными металлоорганическими соединениями.
После дискриминации этих гипотез химическими методами, в результате, измерения кинетических изотопных эффектов и H/D-обменов осталось два механизма, для которых получены кинетические уравнения.
Общий вывод:
выдвижение гипотез любым методом, включая обобщение литературных данных, является необходимым этапом, позволяющим планировать весь комплекс дискриминирующих экспериментов, направленных на выбор адекватной кинетической модели. При получении реакционный сетей можно использовать их для “вырезания” наборов минимальных механизмов.
Приложение
Библиотека стадий
|
1. Образование С–Н
|
2. Разрыв С–Н
|
|
3. Образование С–С
|
4. Разрыв С–С
|
|
5. Образование С–Х (X – Hal)
|
6. Разрыв С–Х (X – Hal)
|
|
7. Образование О–Н
|
8. Разрыв О–Н
|
|
9. Образование H–X
|
10. Разрыв H–X
|
|
11. Образование С–О
|
12. Разрыв С–О
|
|
13. Образование Н–Н
|
14. Разрыв Н–Н
|
|
15. Образование О–О
|
16. Разрыв О–О
|
|
17. Образование С=С
|
18. Разрыв С=С С–С
|
|
19. Образование С=О
|
20. Разрыв С=О С–О
|
|
21. Разрыв СС
|
22. Разрыв СО
|
|
23. Разрыв О=О
|
Вопросы для самоконтроля
Назвать формализованные методы выдвижения гипотез.
Объяснить алгоритм программы ChemComb.
Составьте простейшую формулу превращений для реакций


Пользуясь библиотекой стадий предложите механизмы реакций


Предложите механизм кислотнокатализируемой реакции

Литература для углубленного изучения
Брук Л.Г., Зейгарник А.В., Темкин О.Н., Вальдес-Перес Р.Е., Методы выдвижения гипотез о механизмах сложных реакций, Учебное пособие, М., МИТХТ, 1999 г., 90 с.
Зейгарник А.В., Брук Л.Г., Темкин О.Н., Лихолобов В.А., Майер Л.И., Исследование механизмов реакций с использованием компьютерных программ, Успехи химии, 1996, 65, №2, с. 125 – 139.
Шалгунов С.И., Зейгарник А.В., Брук Л.Г., Темкин О.Н., Компьютерная генерация сетей химических реакций. Использование в исследованиях механизмов металлоорганического катализа, Известия АН, сер. хим., 1999, №10, с. 1891 – 1898.
Темкин О.Н., Зейгарник А.В., Кузьмин А.Е., Брук Л.Г., Сливинский Е.В., Построение реакционных сетей гетерогенных каталитических реакций: синтез Фишера-Тропша и родственные реакции, Известия АН, сер. хим., 2002, №1, с. 1 – 34.
Брук Л.Г., Ошанина И.В., Козлова А.П., Одинцов К.Ю., Темкин О.Н., Механизмы синтеза малеинового и янтарного ангидридов карбонилированием ацетилена в растворах комплексов палладия, Известия АН, сер. хим., 1998, №6, с. 1104 – 1115.
Брук Л.Г., Городский С.Н., Зейгарник А.В., Вальдес-Перес Р.Е., Темкин О.Н., Известия АН, сер. хим., 1999, №5, с. 882 – 889.


























































































































