Действие озона на насыщенные полимеры
Действие озона на насыщенные полимеры
Действие озона на полимеры и связанное с ним изменение свойств полимерных материалов интенсивно изучаются, особенно в последние годы [1–5]. Это обусловлено стремлением изменить свойства традиционных материалов, расширить области применения последних и улучшить эксплуатационные характеристики изделий из полимеров. Кроме того, значительное увеличение концентрации агрессивных примесей в атмосфере и в средах, где работают полимеры, заставляет задумываться над проблемами защиты полимерных материалов от действия этих сред. В частности, оказалось, что ускоренное старение и пробой диэлектриков, используемых в конденсаторах, кабелях и других электрических устройствах, в значительной мере связаны с образованием озона из атмосферного кислорода под действием переменного электрического поля.

Рис. 1 Рис. 2
Рис. 1. Изменение относительной адгезии красителя А к ПЭ-пленке при обработке ее пламенем горелки (1) и барьерным разрядом (2). Цифры на оси ординат соответствуют следующим техническим требованиям: 1 – плохо, 2 – недостаточно, 3 – удовлетворительно, 4 – хорошо, 5 – отлично. В-удельный расход энергии, V – расход пропана
Рис. 2. Зависимости диэлектрической проницаемости е (I) и тангенса диэлектрических потерь tg б (II) от температуры для пленки ПВХ: 1 – контрольный образец, 2 – образец, выдержанный 7 ч в атмосфере озона
Сообщалось, что озон и другие окисляющие компоненты загрязненной атмосферы промышленных центров могут быть инициаторами ускоренного фотохимического разрушения изделий из ударопрочного ПС [6]. Долговечность пластиков, используемых в технике, снижается, а ползучесть увеличивается под действием атмосферного озона [7]. Особенно быстро разрушается поверхность пластиков, что ухудшает внешний вид изделий из полимеров.
Большим недостатком широко распространенных карбоцепных полимеров, таких как ПЭ и ПП, является малое поверхностное натяжение и как результат плохая адгезия к металлам, красителям и другим материалам. Обработка в коронном или барьерном разряде или просто обдувание озоно-воздушной смесью позволяют значительно увеличить адгезию (рис. 1) [13].

Рис. 3. Изменение молекулярной массы ПС во времени в процессе его взаимодействия с озоном (СС1>4>, 20°)
Рис. 4. ИК-спектры ПС до (1) и после обработки озоном в течение 70 мин при [О>3>]=1–10-4 моль/л (2) и 20 мин при [Оз]=1–10-3 моль/л (3)
Обработка в барьерном разряде применяется часто перед нанесением на ПЭ-пленку художественной отделки [14]. Считают, что озон является основным (хотя и не единственным) действующим началом при обработке пленки в разряде [15]. Наряду с увеличением поверхностного натяжения заметно меняется ряд других поверхностных свойств – гидрофильность, число межмолекулярных связей, устойчивость к растрескиванию [16].
На рис. 2 приведены зависимости диэлектрической проницаемости и тангенса диэлектрических потерь от температуры для пленки ПВХ до и после обработки ее озоном, которые обусловлены изменением дипольно-сегментальной подвижности [17].
В некоторых случаях под действием озона могут изменяться и основные механические свойства материала.
Озон используют для отбелки целлюлозы [9], модификации лигнина [18], разрушения водорастворимых полимеров в воде, например полиакриламида [19]. Было показано, что предварительная обработка поверхности самых различных полимеров (капрона, лавсана, крахмала и др.) озоном создает благоприятные условия для последующей прививки виниловых мономеров к поверхности [11].
Реакции макромолекулы с озоном сопровождаются образованием различных функциональных групп – карбонильных, карбоксильных, гидроксильных, перекисных и др., которые затем могут быть использованы для присоединения к макромолекуле спиновых меток, антиоксидантов, бактерицидных агентов [1].
При действии озона на растворы полимеров обычно наблюдается уменьшение ММ (рис. 3) и накопление кислородсодержащих функциональных групп (образование кислот, кетонов, перекисей и др.) [20]. Деструкция протекает легко при умеренных температурах, в том числе и при температуре ниже 0°, и обусловлена высокой реакционной способностью озона. Сопоставление числа прореагировавших молекул озона с числом разрывов цепи показывает, что число разрывов, приходящееся на один акт реакции, в начальные периоды опыта сохраняется постоянным и зависит от строения полимера. В табл. 1 приведены значения констант скорости и числа разрывов цепи на один акт реакции для различных полимеров [20].
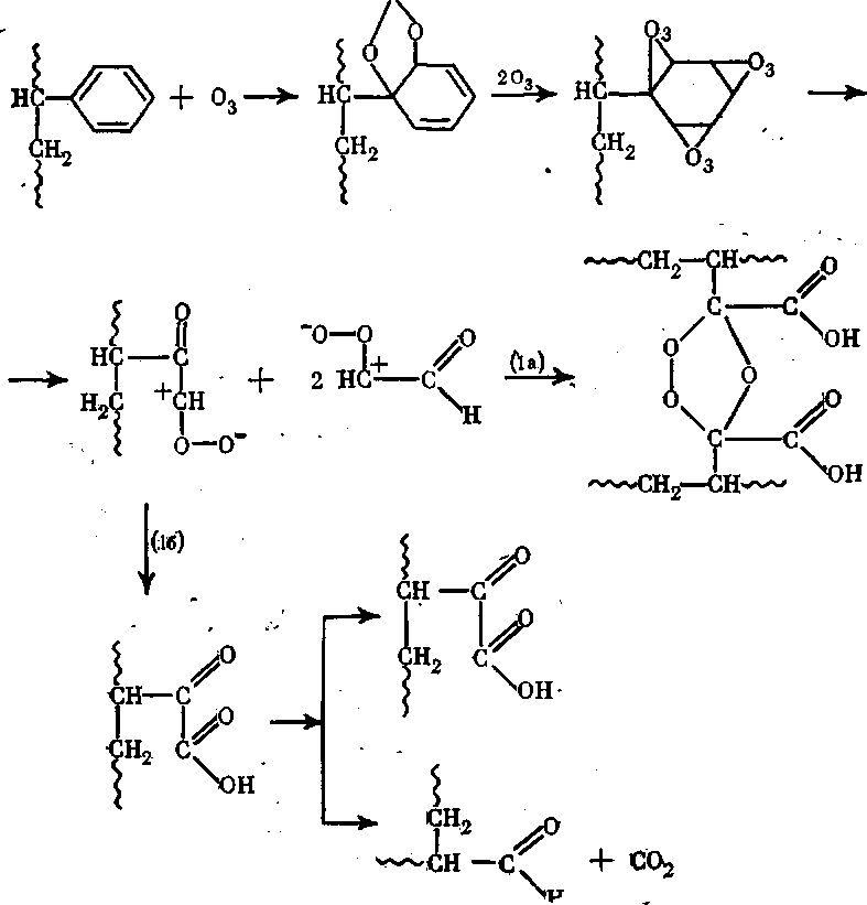
Медленнее всего реагируют с озоном полимеры, содержащие фенильные циклы в основной цепи, в то время как полициклические полимеры (полинафтилены, полиантрацены) или полимеры с гетероатомами (поли карбонаты) вступают в реакцию значительно легче. В ряду полимеров с насыщенной углеводородной цепью скорость реакции возрастает при переходе от ПИБ к поливинилциклогексану (ПВЦ), одновременно наблюдается уменьшение числа разрывов цепи. Самая большая константа скорости у полибутадиена и полиизопрена и у них же наименьшее число разрывов на один акт реакции. Определение констант скорости реакций соединений, приведенных в табл. 1, проводилось в барботажном реакторе, как описано в работах [21, 22]. Механизм реакции озона с макромолекулами полимерного соединения удобно рассмотреть на примере ПС [23–26]. При действии озона на порошок ПС существенно изменяется его внешний вид и свойства. Полимер приобретает желтую окраску, пленки, полученные из него, становятся хрупкими и непрозрачными, ухудшаются диэлектрические свойства. Реакция сопровождается накоплением функциональных групп (карбонильных, перекисных и карбоксильных), характерных для окислительных процессов вообще.


Рис. 5. ЭПР-спектры образцов ПС, обработанных озоном в течение 1 (1) и 6 мин (2) и через 30 мин после прекращения подачи озона (3)
Рис. 6. Характер изменения концентрации R0>2>» при озонировании порошка ПС ([Оз]=1,74–10-4 моль/кг, поверхность образца 6 м2/г)
Анализ ИК-спектров показал, что состав функциональных групп не изменяется при проведении реакции как с твердым ПС, так и с его растворами в СС1>4> [27]. Максимум поглощения при 1740 см-1 обусловлен валентными колебаниями С=0-групп (кетоны), которые входят в состав макромолекулы и не удаляются при переосаждении (рис. 4). Природа этих карбонильных соединений установлена по их способности реагировать с гидроксиламином. Обработка озонированного порошка ПС спиртовым раствором солянокислого гидроксиламина приводит к исчезновению при 1740 см-1 максимума и появлению новой полосы при 1680 см-1 (окси-мы). По измерениям, сделанным в работе [1], альдегиды окисляются в 100 раз легче кетонов или СН>2>-групп, поэтому их присутствие в продуктах реакции маловероятно.
В ходе реакции при больших степенях конверсии становится заметным расходование фенильных циклов (уменьшается интенсивность полосы при – v=1500 см-1) и третичных СН-групп [28]. Судя по сохранению неизменной интенсивности полос поглощения при v=700 и 2930 см-1, соответствующих деформационным и валентным колебаниям СН>2>-групп,
в начальном периоде реакции они не расходуются –.
Значительные изменения в спектре наблюдаются и в области 1000-
1200 см-1. Уменьшение числа разрешенных полос и общее увеличение интенсивности поглощения свидетельствуют о нарушении симметрии молекул озонированного ПС. Это можно объяснить структурированием вследствие сшивания отдельных цепей при озонировании. Наличие сшивания подтверждается также и тем, что после озонирования значительная часть полимера утрачивает способность растворяться и образует гели.
Первичная атака ПС озоном может протекать по трем различным на правлениям.

Реакция (1) приводит к образованию ароматических озонидов, которые составляют основную долю перекисных соединений. По данным ИК-спектроскопии можно оценить их долю, которая составляет 10–15% в расчете на прореагировавший ПС. Промежуточные стадии реакции ответственны за сложные зависимости изменения вязкости растворов во времени при озонировании.

Присоединение первой молекулы озона к ароматическому циклу нарушает сопряжение и значительно облегчает присоединение двух следующих молекул. Первичные озониды нестабильны и легко распадаются на фрагменты, которые быстро соединяются вновь, изменив на 180° пространственную ориентацию (реакция (1а)), либо изомеризуются (реакция (16)). На схеме реакция (1а) приведена условно, демонстрируется та ее часть, которая приводит к появлению сшивок.

Проведение опыта непосредственно в резонаторе ЭПР-спектрометра позволило зафиксировать в продуктах реакции свободные радикалы (рис. 5), причем при непрерывной подаче озона наблюдается спектр пероксирадикалов [29], который после прекращения подачи озона трансформируется в симметричный синглет (g=2,0014). Последний весьма устойчив и сохраняется неопределенно долго. Интенсивность этого сигнала составляет 0,3–0,5 от исходного пероксирадикала. Длительная (20 мин) реакция ПС с озоном сопровождается наложением синглета на сигнал перокси-радикала. Интерпретация синглета затрудняется отсутствием близких аналогов, но можно предположить, что это либо ЭПР-спектр ароматической полисопряженной системы типа полифенилацетилена, либо сложный семихиноидный или феноксильный радикалы.
На рис. 6 приведена зависимость изменения концентрации пероксирадикалов от времени [26]. Снижение стационарной концентрации перекисных радикалов при больших временах обработки обусловлено расходованием реакционноспособных третичных СН-групп при обработке порошка озоном.
Увеличение концентрации радикалов в начальном периоде, по-видимому, связано с образованием в системе одного или нескольких промежуточных продуктов, которые реагируют с озоном легче, чем исходный ПС. На рис. 7 представлены результаты исследования зависимостей концентрации озона при выходе из реактора и накопления стабильных конечных продуктов от времени [30]. Видно, что по мере протекания реакции скорость поглощения озона вначале возрастает, а затем уменьшается. Минимум на кривой [Оз]>в> – t отвечает максимуму на кривой [R0>2>] – t (рис. 6). Вос-> ходящая ветвь зависимости [0>3>] >в> – t (рис. 7, а) спрямляется в полулогарифмических координатах (первый порядок расходования третичных С–Н-связей), что тоже соответствует сказанному выше. Природа промежуточного продукта, способного эффективно образовывать радикалы, неясна, поскольку на кривой накопления основных функциональных групп сходных изменений обнаружить не удалось. Расход озона на образование 1 моля функциональных групп составляет 1,4±0,3 моля.
Стационарная концентрация перекисных радикалов является сложной функцией нескольких процессов:


В зависимости от концентрации реагентов, подвижности полимерной матрицы, условий опыта и от природы ближайших соседей механизм превращения перекисных радикалов в продукты реакции может быть различным. При небольших концентрациях озона в растворах преобладают процессы распада макромолекулярных перекисных радикалов, поскольку малая подвижность полимерных цепей препятствует бимолекулярному взаимодействию макрорадикалов. Гибель свободной валентности происходит при встречах вторичных низкомолекулярных радикалов друг с другом и с макромолекулами.
Увеличение концентрации озона сопровождается изменением характера зависимости ММ от времени. При малых концентрациях на ней появляются перегибы (рис. 8, кривая 3), при увеличении концентрации О>3 >ММ может не изменяться во времени (рис. 8, кривая 4) или может увеличиваться (рис. 8, кривая 5). Такая сложная форма зависимости ММ от концентрации О>3> обусловлена протеканием в системе процессов сшивания. Если процессы разрушения макромолекулы обусловлены мономолекулярными реакциями распада радикалов, то сшивание обусловлено бимолекулярными актами взаимодействия промежуточных частиц и, естественно, их доля растет быстрее с увеличением концентрации озона. Независимость ММ от продолжительности озонирования наблюдали еще Грасси и Камерон [24], которые работали в области равновесия процессов распада и сшивания, однако интерпретация этой зависимости была дана неверно. Авторы полагали, что озон присоединился к С=С-связям, удаленным от концов макромолекулы, без изменения ММ. В настоящее время известно, что такой процесс сопровождается значительным уменьшением.
Сшивки, образующиеся в системе, можно разделить на два разных типа. Одни имеют перекисную природу и легко разрушаются под действием тепла [28] или восстановителей [24]. Большая часть таких сшивок, по-видимому, обусловлена образованием полимерных озонидов и в какой-то мере реакциями рекомбинации радикалов

Другие устойчивы к действию тепла и химических агентов. Они образуются главным образом при рекомбинации вторичных радикалов


Их образование характерно, в частности, при взаимодействии озона с твердым ПС. Последовательность реакций, протекающих при действии озона на ПС, несколько отличается от последовательности реакций, протекающих при термоокислительной деструкции ПС [32, 33], в первую очередь тем, что низкие температуры и большие скорости образования радикалов создают условия, в которых доля цепных процессов составляет 15–20% в балансе радикальных реакций, а главная часть продуктов образуется при распаде пероксирадикалов. Кислоты составляют небольшую часть продуктов реакции и могут образовываться как в результате окисления феноксирадикалов или продуктов их превращения, так и в результате разрушения ароматических озонидов. В обоих случаях в продуктах реакции должны присутствовать одинаковые соединения – муравьиная и глиоксалевая кислоты. При окислении твердого ПС содержание кислот, слишком мало и их не удается обнаружить, но при действии озона на ПС в растворе СС1>4> хроматографически идентифицируются обе указанные кислоты.
По изменению ЭПР-спектра в процессе реакции можно сделать вывод о том, что гибель свободной валентности у соединений, дающих ЭПР-спектр в виде синглета (полисопряженные системы), происходит при реакции с озоном или с продуктами распада пероксирадикалов, поскольку в отсутствие озона эти радикалы вполне устойчивы. Предположена же о реакции с R0>2>* противоречит как зависимости [R0>2>°] – t, так и наблюдаемому переходу сигнала R0>2>* в синглет при прекращении подачи озона.
Свойства изделий из модифицированных полимеров во многом зависят от распределения функциональных групп по объему. В большинстве случаев желательно, чтобы модификации подвергались только приповерхностные слои полимера.
Экспериментальное исследование распределения функциональных групп по объему образца представляет довольно сложную задачу. В прошлом для этих целей применяли технику среза тонких слоев полимера микротомом с последующим исследованием слоев [34]. С развитием метода нарушенного полного внутреннего отражения стало возможным изучение связи между расстоянием от поверхности образца и концентрацией функциональных групп [35, 36]. На рис. 9 приведены такие зависимости для различных времен обработки поверхности озоном. Видно, что содержание карбонильных групп убывает с удалением от поверхности. Такой вид зависимости легко объяснить, рассматривая скорость реакции как функцию двух процессов – диффузии озона в глубь полимера и его расходование в реакции

где I – расстояние от поверхности, D – коэффициент диффузии. Поскольку интегральное содержание карбонильных групп пропорционально концентрации озона и времени реакции t

зависимость [С=0]>г>–t повторяет вид функции [0>3>] i–I. Наибольший интерес вызывает вид зависимости [С=0] г– I на расстояниях меньших 1 мкм, о которой метод нарушенного полного внутреннего отражения в его современном оформлении, к сожалению, информации не дает.
Суждение о функции распределения можно сделать по особенностям кинетики реакции озона с полимерными пленками разной толщины [37]. Было показано, что реакция озона с поверхностью полимера протекает на несколько порядков быстрее, чем реакция в объеме, и соответственно скорость накопления функциональных групп в реакции с поверхностью больше. На рис. 10 представлены зависимости эффективной скорости поглощения озона от толщины образца. Отрезки, отсекаемые на оси ординат, позволяют найти скорость реакции на поверхности, а угловые коэффициенты – скорость реакции в объеме. Детальный анализ этого явления показал, что в условиях опыта константа скорости реакции адсорбированного озона с ПС при 18° й>ад(>.=0,05 л/моль-с, в то время как в объеме &об=0,22 л/моль • с [38]. Разница в скоростях обусловлена относительно большей концентрацией озона на поверхности за счет физической адсорбции. Было показано, что адсорбция озона на ПС приближается к идеальной и хорошо описывается известными закономерностями, в частности при температурах, близких к комнатной, адсорбция подчиняется закону Генри [39]

Средняя теплота адсорбции составляет 13,4±0,8 кДж/моль. В то же время растворимость озона в приповерхностных участках полимера близка или несколько меньше растворимости в соответствующих жидкостях [37]


Рис. 13 Рис. 14
Рис. 11. Плотность кристаллов ПЭ р как функция привеса от кристаллов в атмо сфере озона (1) и зависимость привеса от времени обработки (2)
Рис. 12. Гель-хроматограмма раствора, полученного после обработки кристаллов Ш озоном в течение 121 ч (т – относительное время удерживания (число пульсацш насоса), п – показатель преломления)
Рис. 13. Изменение содержания геля (Г) во времени при действии озона на пленю из атактического ПП при 1 (1), 19 (2), 39 (3) и 56° (4)
Рис. 14. ИК-спектры озонированных кристаллов ПЭ до (– ?) и после обработки водным раствором NaOH (2)
Таким образом, при действии озона на полимеры реакция в начальном периоде протекает главным образом на их поверхности.
Этот вывод хорошо согласуется с наблюдаемыми зависимостями скорости реакции и концентрации свободных радикалов от величины поверхности и с отсутствием связи с массой образцов [37]. В стандартных опытах газовый поток, содержащий озон, проходил через цилиндрически слой порошка полимера, например ПС, высотой h со скоростью v (л/с) Постоянство скорости потока газа достигалось подбором реактора небольшого сечения (0,6–1,2 см). Диффузия озона поверхности полимера при этом не лимитировала скорость реакции. Объем газовой фазы при прохождении слоя h оставался постоянным, поскольку концентрации 0>3> были малы. В этой серии опытов скорость подач газовой смеси и количество полимера подбирались так, чтобы концентрация озона на выходе из реактора была заметно меньше, чем на входе.
После прохождения слоя h концентрация озона в газе уменьшается и
составляет


где s – удельная поверхность', м2/г, р – навеска ПС, г, р» – коэффициент пересчета от объемной концентрации [0>3>]>г> (моль/л) к поверхности.
В соответствии с моделью скорость накопления функциональных групп должна быть различной по высоте реактора, что и наблюдается на опыте. В табл. 2 приведены данные по концентрации функциональных групп в верхнем и нижнем слоях ПС.
В соответствии со сказанным логарифм отношения lg[0>3>] >г>/[О>3>]>0 >должен быть линейной функцией от s, что также выполняется [27]. Эффективная энергия активации составляет 17,2 кДж/моль. С учетом теплоты адсорбции (~12,6 кДж/моль) для энергии активации химической реакции получается величина ~28 кДж/моль [27].
При действии озона на ПЭ в нем, так же как и в ПС, накапливаются кетоны, кислоты, перекиси и другие кислородсодержащие функциональные группы [27]. Одновременно наблюдается значительное увеличение адгезии ПЭ к металлу, красителям [40, 41], возрастает прочность клеевых и сварных швов [42].
Реакция озона с поликристаллическими образцами ПЭ сопровождается заметным возрастанием удельного веса (рис. 11), который хорошо коррелирует с увеличением содержания карбонильных и карбоксильных групп [43]. При длительной обработке микрокристаллов ПЭ озоном происходит замедление скорости образования С=0-групп и увеличения массы образца, а на конечных стадиях обработки (~100 ч и более) интенсивность полосы при 1710–1740 см-1 и масса не изменяются, несмотря на продолжающееся поглощение озона.
Исследование ММ показало, что при достаточно глубоких степенях превращения на хроматограмме (рис. 12) присутствуют два основных пика, соответствующих ординарному и удвоенному расстояниям между плоскостями кристалла [44, 45]. Полученные результаты можно объяснить следующим образом: диффузия озона внутрь кристалла затруднена вследствие плотной упаковки его молекул, и реакция идет главным образом с поверхности, которая образована складками макромолекул. В местах складок происходит преимущественный распад цепи, размер же фрагментов задан межплоскостным размером кристаллита.
Следует отметить, что кинетика изменения молекулярной массы ПЭ изучена недостаточно. В частности, наряду с деструкцией следует ожидать сшивания, как это имеет место для ПС. Конкуренцию между сшиванием и распадом макромолекул при изменении условий опыта, связанную с изменением соотношения скоростей рекомбинации и распада промежуточных радикалов, наблюдали при исследовании действия озона на атактический ПП (рис. 13) [46]. Основными продуктами (свыше 80% от общего выхода) являются кетоны и кислоты в соотношении ~3: 1 [47]. Их обычно идентифицируют по поглощению в области 1700–1750 см-1 ИК-спектра. Поглощение карбоксильной группы обычно накладывается в виде длинноволнового плеча на поглощение карбонила (рис. 14). Эти полосы легко разделяются при обработке образцов растворами щелочей. Поглощение образующегося при такой обработке карбоксилат-иона лежит в области ~1580 см-1. На рис. 14 приведены характерные области ИК-спектра для озонированных кристаллов ПЭ до и после обработки щелочью [43].
По сравнению с другими методами обработки поверхности, например плазменным или коронным разрядом, действие озона сопровождается монотонным накоплением карбонильных и карбоксильных групп в образце, в то время как в остальных случаях содержание этих групп быстро запределивается [47]. В меньшей степени протекают и деструктивные процессы. При обработке озоном образец обычно прибавляет в весе, тогда как обработка в коронном разряде сопровождается потерей веса.
Накопление функциональных групп на поверхности образцов сильно изменяет физические свойства поверхности, увеличивается поверхностное натяжение, значительно возрастает адгезия. В литературе дискутируется влияние природы образовавшихся функциональных групп на величину адгезии. В частности, в работе [15] показано, что дополнительная обработка кетогрупп на поверхности ПЭ ацетилхлоридом, уксусной кислотой, бромом и другими реагентами не в силах заметно улучшить адгезию и, как правило, даже ее ухудшает. Авторы приходят к заключению, что большой вклад в адгезию вносят енолы, образующиеся из кетонов, и большинство реагентов, препятствующих енолизации или реагирующих с активным водородом оксигруппы енола, снижают адгезию.
Действие озона на ПЭ и другие полимеры сопровождается образованием перекисных радикалов [7, 20, 48]. При исследовании [29] процессов образования радикалов в реакции с озоном 0,15–0,3 г порошка полимера вносили в ампулу (d~6 мм), помещенную в резонатор ЭПР-спектрометра. и через капилляр подавали озоно-кислородную смесь, содержащую 2,2-•10–3 моль/л 0>3>. Через 2–3 мин после начала подачи озона возникали парамагнитные частицы, концентрация которых в дальнейшем либо оставалась постоянной, либо изменялась. Результаты этого исследования приведены ниже.


В ПС, ПВЦ и поликарбонате формы сигнала ЭПР сходны с сигналом перекисного радикала. В ПЭ возникал сигнал более сложной формы, который, возможно, представляет собой наложение сигналов двух различных радикалов. После прекращения подачи озона перекисные радикалы исчезали в течение нескольких минут; в полимерах, содержащих ароматические кольца, вместо них появлялись парамагнитные частицы, дающие узкий синглетный спектр (Д#=8,5 Э). Повторная подача озона в систему приводит к превращению этих частиц в перекисные радикалы. В отсутствие озона концентрация частиц практически не изменяется в течение месяца, а при повышении температуры они постепенно расходуются. Кинетика гибели перекисных радикалов была изучена на примере ПВЦ. Результаты опытов по изучению гибели перекисных радикалов в ПВЦ на воздухе для различных температур приведены на рис. 15. Как следует из рисунка, после прекращения подачи озона концентрация радикалов постепенно уменьшается, при этом изменения формы ЭПР-спектра не происходит. Скорость гибели перекисных радикалов подчиняется закону второго-порядка. Измеряя абсолютные начальные концентрации радикалов, удалось определить значения кинетических параметров реакции, а из температурного хода константы скорости оценить энергию активации гибели радикалов. Зависимость константы скорости от температуры можно описать уравнением

где AZ=F/sZ (V – объем полимера, s – удельная поверхность, I – средняя толщина поверхностного слоя, в котором сосредоточены радикалы).
С одной стороны, образующиеся при озонировании перекисные радикалы жестко связаны с полимерной матрицей и при температурах ниже температуры стеклования их подвижность явно недостаточна для того, чтобы объяснить наблюдаемую на опыте скорость рекомбинации. С другой стороны, при озонировании ПС и ПЭ [27, 49] отношение количества продуктов окисления к количеству поглощенного озона приближается к единице, что позволяет считать вклад эстафетной передачи в транспорт свободной валентности незначительным.
Исследование процессов накопления продуктов озонирования ПС и ПЭ [27, 49] показало, что кинетика образования перекисных соединений хорошо согласуется с предположением о преимущественном распаде первичных перекисных радикалов.

По-видимому, при низких температурах миграция свободной валентности определяется главным образом реакциями, следующими за распадом перекисных радикалов по схеме, включающей ряд элементарных стадий

Промежуточными являются оксирадикалы, перекисные радикалы со свободной валентностью на конце цепи или низкомолекулярные радикалы, которые обладают большей подвижностью и в результате встречи с другими радикалами обусловливают гибель свободной валентности. При стационарных концентрациях R» и г» и при условии малой скорости рекомбинации г» из-за их низкой концентрации можно показать, что перекисные радикалы должны гибнуть по закону второго порядка [27, 49]. Анализ лит. данных [50, 51] показывает, что в полимерах, содержащих аморфные и кристаллические области, рекомбинация перекисных радикалов, равномерно распределенных по объему образца, не соответствует ни первому, ни второму порядку. В этом случае процесс рекомбинации можно представить суперпозицией двух реакций второго порядка с различными константами скорости для аморфной и кристаллической областей. Однако при изучении гибели радикалов, образовавшихся в ПВЦ под действием озона, отклонения от закона второго порядка не наблюдались. Видимо, вследствие высокой лабильности С–Н-связи у третичного углерода в ПВЦ, а также вследствие малого времени экспозиции в озоне перекисные радикалы при озонолизе сосредоточены лишь в поверхностном слое образца. Толщина этого слоя в аморфных областях за счет разницы в коэффициентах диффузии озона значительно больше, чем в кристаллических, и здесь находится подавляющее большинство радикалов. Поэтому кинетические кривые гибели радикалов точно описываются уравнением бимолекулярной реакции, а величина энергии активации совпадает с найденной Лебедевым [50] энергией активации гибели перекисных радикалов в аморфной фазе тефлона.
Исследование кинетики деструкции и механизма протекающих реакций при действии озона на ПЭ показало, что имеется много общего с ПС [49].
Кинетика деструкции ПЭ и других насыщенных полимеров под действием озона без учета сшивания описывается законом второго порядка (первый порядок по полимеру и 0>3>), что хорошо согласуется с уменьшением ММ и кинетикой накопления функциональных групп.
При действии озона на природные полимеры, такие как целлюлоза и ее производные [52–54], крахмал [55] и родственные углеводы [56], атакуются главным образом С–Н-связи, расположенные по соседству с эфирным кислородом. Наблюдается накопление кислородсодержащих функциональных групп (карбонильных, карбоксильных, перекисных), ММ уменьшается, образуются сшивки. При окислении озоном метил-а-Р-глюкозида происходит вовлечение кислорода в окисление [57]. В отсутствие кислорода прирост карбонильных соединений эквивалентен израсходованному озону, в атмосфере же кислорода он увеличивается до восьми групп С=О на 1 молекулу озона. Среди продуктов реакции найдены глюкоза, арабиноза, продукты расщепления циклов, низкомолекулярные кислоты, Н>2>О, СО>2>. В среднем на один акт реакции приходится 0,25 распадов цепи. Кислая среди и кислород ускоряют деструкцию.
Действие озона на суспензию древесины в воде сопровождается обесцвечиванием сопутствующих целлюлозе окрашенных продуктов и уменьшением ММ целлюлозы [58]. Оба процесса наиболее интенсивно протекают в начальный период обработки. Это связано с поверхностным характером действия озона на частицы материала. Разнообразные технологические приемы разрыхления структуры частиц (набухание в растворителях, переменное давление) сокращают время обработки и повышают конечный эффект. Связь между степенью обесцвечивания и уменьшением ММ характеризуется зависимостями, представленными на рис. 16 [58].
Большой интерес представляет опубликованное недавно сообщение о введении антрахинона и соды в пульпу при обработке ее озоном [59]. Авторы наблюдали значительные эффекты отбеливания при небольших изменениях ММ целлюлозы.
Механизм реакции целлюлозы с озоном был исследован на низкомолекулярных моделях [60–62]. Предполагается, что при умеренных температурах преобладает процесс внедрения озона в С–Н-связь с образованием нестойкого гидротриоксида с последующим его распадом по молекулярному пути

Свободные радикалы, которые обусловливают цепное окисление, могут образовываться при распаде гидротриоксида, при реакции озона с промежуточными гидротриоксидами

В связи с неустойчивостью гидротриоксидов при температурах, близких к комнатной, их свойства и сам факт существования являются предметом дискуссии. Пока они охарактеризованы главным образом по спектральным данным [63, 64].
Процессы, связанные с промежуточным образованием радикалов, играют подчиненную роль, – в балансе продуктов реакции они составляют обычно меньше 20% и ответственны за образование кислот и различных продуктов фрагментации [64, 65].
При действии озона в процессе отбеливания древесной пульпы иногда наблюдается увеличение прочности бумаги, приготовленной из этой пульпы. Эффект увеличения прочности отмечен также при действии озона на углеродные волокна и волокна иной природы. На рис. 17 приведены зависимости прочности на разрыв и максимального удлинения от времени обработки озоном [11]. Несмотря на то что эти наблюдения были сделаны относительно давно, природа указанного эффекта, его предельные величины и возможности технического использования до сих пор остались не выясненными.
Таким образом, исследования последних лет значительно расширили арсенал методов направленного воздействия на полимер с помощью озона с целью изменения их свойств. Приведенные в обзоре примеры использования реакций озона с полимерами далеко не исчерпывают всех возможностей, а скорее служат их иллюстрацией и стимулом к более широкому применению.
Литература
Разумовский С.Д., Заиков Г.Е. Озон и его реакции с органическими соединениями. М.: Наука, 1974 32Z с.
Ozone Chemistry and Technology. A Review of the literature/Ed. by Raid В. C. 1961–1974. Philadelphia: Franklin Inst., 1976.
Abdullin M.J., Gataullin R.F., Minsker K.S., Razumovsky S.D., Zaikov G.E. Europ. Polymer J., 1978, v. 14, № 10, p. 811.
Thorsen W.J., Ward W.H., Millard M.M.J. Appl. Polymer Sci., 1978, v. 24, № 2, p. 523.
Yamaoka A., Shigreoka E. Chem. Abstrs, 1979, v. 91, 410766.
Ghaffar A., Scott A., Scott G. Europ. Polymer J., 1977, v. 13, № 1, p. 83.
De Vries K.L., Igarashi M. Chem. Abstrs, 1981, v. 94, 16977.
Емельянова Г.Л., Атякшева Л.Г., Горбачева В.О., Федоркина С.Г., Смишнико-ва Г.П., Кононова Н.Ф. Хим. волокна, 1976, № 3, с. 48.
Fritzvold В. Chem. Abstrs, 1978, v. 89, 106968.
Сирота А.Г. Модификация структуры и свойств полиолефинов. Л.: Химия, 1974.
Коршак В.В., Морозова К.К. Привитые сополимеры. Вестник АН СССР, 1963, № 10, с. 34.
Попов А.А., Заиков Г.Е. Докл. АН СССР, 1979, т. 244, № 5, с. 1178.
Leeds Sh. Tappi, 1961, v. 44, № 2, p. 244.
Такахаси Г. Пленки из полимеров. М.: Химия, 1971, с. 98.
Owens D. К. J. Appl. Polymer Sci., 1975, v. 19, № 1, p. 265.
Ландле Дж., Лебель П. Химия и технол. полимеров, 1960, № 1, с. 100.
Вагиров М.А., Малин В.П., Газарян Ю.Н., Василевский Е.Б. Пласт, массы, 1971, № 12, с. 37.
Alisson R.W. Chem. Abstrs, 1979, v. 90, 206129.
Suzuki J., Izuka Sh., Suzuki Sh. J. AppL Polymer Sci., 1978, v. 22, № 8, p. 2109.
Razumovsky S.D., Kefeli A.A., Zaikov G.E. Europ. Polymer J., 1971, v. 7, № 3, p. 275.
Разумовский С.Д., Раковски С.К., Заиков Г.Е. Изв. АН СССР. Сер. хим., 1975, № 9, с. 1963.
Лисицын Д.М., Позняк Т.И., Разумовский С.Д. Кинетика и катализ, 1976, т. 17, № 4, с. 1049.
Staudinger Н., Frey К., Garbsch P., Wehrli S. Chem. Ber., 1929, В. 62, № 10, S. 2912.
Cameron G.G., Grassie N. Macromolec. Chem., 1962, v. 53, p. 72.
Lebel P.J. Polymer Sci., 1959, v. 34, № 127, p. 697.
Гапонова И.С., Голъдберг В.М., Заиков Г.Е., Кефели А.А., Парийский Г.В., Разумовский С.Д., Топтыгин Д.Я. Высокомолек. соед. А, 1978, т. 20, № 9, с. 2038.
Разумовский С.Д., Карпухин О.Н., Кефели А.А., Похолок Т.В., Заиков Г.Е. Высокомолек. соед., А, 1971, т. 13, № 4, с. 782.
Kefeli A.A., Rakovsky S. К., Shopov D. М., Razumovsky S. В., Zaikov G. Е. J. Polymer. Sci. Polymer. Chem. Ed., 1981, v. 19, № 9, p. 2175.
■29. Похолок Т.В., Вихляев Р.М., Карпухин О.Н., Разумовский С.Д. Высокомолек. соед. Б, 1969, т. 11, № 9, с. 692.
30. Гапонова И. С, Голъдберг В.М., Заиков Г.Е., Кефели А.А., Парийский С.Д.,
Топтыгин Д.Я. Высокомолек. соед. Б, 1978, т. 20, № 9, с. 699.
Аначков М.П. Автореф. дис. на соискание уч. ст. канд. хим. наук. М.: ИХФ АН СССР, 1981. 23 с.
Грасси Н. Химия деструкции полимеров М.: Изд-во иностр. лит., 1959, с. 184.
Голъдберг В.М., Велицкий М.М., Красоткина И.А. Высокомолек. соед. А, 1975, т. 17, № 10, с. 2243.
Giberson R. С. J. Phys. Chem., 1962, v. 66, № 3, p. 463.
Carlsson D.J., Wiles D.M. Macromolecules, 1971, v. 4, № 2, p. 174.
Пентин Ю.А., Тарасевич Ю. H., Элъцефон В.С. Вестник МГУ. Химия, 1973, № 1, с. 13.
Кефели А.А., Разумовский С.Д., Маркин В. С, Заиков Г.Е. Высокомолек. соед. А, 1972, т. 14, № 10, с. 2257.
Кефели А.А., Разумовский С.Д., Заиков Г.Е. Высокомолек. соед. А, 1976, т. 18, № 3, с. 609.
Кефели А.А., Разумовский С.Д., Заиков Г.Е. Коллоидн. ж., 1976, т. 38, № 4, с. 787.
Разумовский С.Д. Заиков Г.Е. Высокомолек. соед. А, 1981, т. 23, № 3, с. 513.
Kim С. G., Evans J., Goring D.A.J.J. Appl. Polymer Sci., 1971, v. 15, № 6, p. 1357.
Мамедов H.M., Мустафаев А.Д., Салимое M. А., Азизов Т.С. Пласт, массы, 1969, № И, с. 71.
Priest D.J. Polymer Sci. A-2, 1971, v. 9, № 10, p. 1777.
Keller A., Martuchelli F., Priest D.J., Udagawa G.J. Polymer Sci. A-2, 1971, v. 9, № 10, p. 1807.
Patel G.N. Keller A.J. Polymer Sci. Polymer Phys. Ed., 1975, v. 13, p. 2259.
Лазар M., Павлинец И., Манасек 3., Мичко М., Верек Д. Высокомолек. соед., 1961, т. 3, № 6, с. 943.
Cooper G. В., Prober М. 1. Polymer Sci., 1960, v. 44, № 144, p. 397.
Кефели А.А., Разумовский С.Д., Заиков Г.Е. Высокомолек. соед. Б, 1972, т. 14, № 10, с. 803.
Кефели А.А., Разумовский С.Д., Заиков Г.Е. Высокомолек. соед. А, 1971, т. 13, № 4, с. 803.
Цветков Ю.Д., Лебедев Я. С, Воеводский В.В. Высокомолек. соед., 1961, т. 3. № 6, с. 882.
Auerbach A.D., Sanders L. Polymer, 1969, v. 10, № 8, p. 579.
Трегубое Б.А., Постникова М.В., Хакимова Ф. X., Балуев В.Н. Химия и технол. бумаги, 1978, № 6, с. 12.
Goring D. А. /., Suranyl С. Pupl. Paper Mag. Can., 1969, v. 70, № 20, p. 1390.
Коршак В.В. Прогресс полимерной химии. М.: Наука, 1965, с. 141.
Каргин В.А., Козлов П.В., Платэ Н.А., Кокорева И.И. Высокомолек. соед., 1959, т. 1, № 1, с. 114.
Gomes М., Ramos R., Perec R. Intern. Society of Schugar Cane Technologists XVII Congress, Manila, Philippines. 1980 (Preprints v. 1–7/II).
Katai A.A., Schuerch K.J. Polymer Sci. A-l, 1966, v. 4, № 10, p. 2683.
Schuerch C.J. Polymer Sci. C, 1963, v. 1, № 2, p. 79.
bibergott N., Van Lierop P. Chem. Abstrs, 1981, v. 94, 49011J.
Брудник Б. M., Спиркин Л.П., Курамшин Э.М., Имшаев У.Б., Злотский С.С. Рахманкулов Д.Л.Ж. орган, химии, 1980, т. 16, № 6, с. 1281.
Deslongchamps P., Atlani P., Frehel D., Malaval А., Moreau С. Canad. J. Chem., 1974, v. 52, № 21, p. 3651.
Bailey P.S., Ledral D.A.J. Amer. Chem. Soc, 1978, v. 100, № 17, p. 5820.
Stary F.E., Emge D.E., Murray R.W.J. Amer. Chem. Soc., 1974, v. 98, № 7, p. 1880.
Kovac F., Plesnicar B.J. Amer. Chem. Soc, 1979, v. 101, № 10, p. 2677.
Брудник Б. M. Автореф. дис. на соискание уч. ст. канд. хим. наук. Уфа: Уфимский нефтяной ин-т, 1979. 25 с.