Дибензальацетон
СОДЕРЖАНИЕ
1. Введение 2
1.1. Свойства дибензальацетона 2
1.2. Применение дибензальацетона 2
1.3. Методика синтеза 2
2. Литературный обзор 4
2.1. Способы получения 4
2.2. Химические свойства 7
Список литературы 16
1. Введение
1.1. Свойства дибензальацетона
Дибензальацетон - бесцветное или светло-желтое кристаллическое вещество в виде пластинок; по запаху напоминает кумарин; растворим в спирте, эфире, хлороформе, бензоле. Температура плавления 112°С; молекулярная масса 234.
1.2. Применение дибензальацетона
Применяется в парфюмерии в незначительных количествах, главным образом для духов. Является промежуточным продуктом для получения коричной кислоты. Используется в органическом синтезе. Бензальацетон производился в СССР с 1929 года. Количественное определение бензальацетона ведется по способу Мессенгера, описанному для количественного определения ацетона.
1.3. Методика синтеза
Реактивы и оборудование:
Бензальдегид 7,8 г (7,5 мл)
Ацетон 2,22г (2,8 мл)
Этанол (95%) 60 мл
Гидроксид натрия 7,5 г
Этилацетат 25мл
Стакан (емкость 250мл)
Мешалка
Колба коническая (емкость 50 мл)
Водяная баня
Термометр
В стакан снабженный мешалкой и термометром, наливают охлажденный до комнатной температуры раствор 7,5 г гидроксида натрия в смеси 75 мл воды с 60 мл спирта, помещают в водяную баню. При температуре 20…25°С и при перемешивании прибавляют к раствору половину приготовленной заранее смеси 7,5 мл бензальдегида и 2,8 мл ацетона. Через 2-3 минуты начинается помутнение и образуется хлопьевидный осадок. В ходе процесса нельзя дать разогреваться смеси, так как при температуре выше 30°С идет побочная реакция, снижающая выход дибензальацетона. Через 15 минут приливают оставшуюся смесь бензальдегида и ацетона. Содержимое перемешивают еще 30 минут. Выпавший кашеобразный осадок отсасывают на воронке Бюхнера, промывают на фильтре дистилярованной водой. Сушат между листами фильтрованной бумаги. Выход 7-8 г.
2. Литературный обзор
2.1. Способы получения
Получение альдегидов и кетонов
Поскольку как альдегиды, так и кетоны содержат карбонильную группу, то многие методы их получения сходны. Наряду с этим существует ряд особых способов, пригодных для синтеза только альдегидов или только кетонов [4].
1. Окисление или дегидрирование первичных или вторичных спиртов.
Важное значение имеет метод окисления по Оппенауэру (1937 г). Он представляет собой процесс, обратный реакции восстановления по Мейервейну - Пондорфу - Верлею, и применяется в основном для получения кетонов из вторичных спиртов. Последние вводят в реакцию с ацетоном в присутствии изопропилата или трет-бутилата алюминия.
Вначале образуется алкоголят алюминия вторичного спирта, дающий комплекс с ацетоном. Внутри последнего происходит перенос гидрид-иона от алкоксидного остатка на карбонильную группу.
Первичные спирты окисляются в альдегиды в том случае, если вместо ацетона в качестве акцептора гидрид-иона используют 1,4-бензохинон (п-хинон). В условиях реакции Оппенауэра двойные связи С=С не затрагиваются, что позволяет получать непредельные альдегиды и кетоны.
2. Оксосинтез (гидроформилирование, Ройлен, 1938 г).
При температурах от 30 до 200 °С и давлении 100-400 кгс/см2 (1*1О7 до 4*107 Па) в присутствии дикобальтоктакарбонила олефины присоединяют водород и монооксид углерода с образованием альдегидов. Обычно получается смесь изомеров.
В определенных условиях могут получаться также и кетоны.
3. Восстановление по Розенмунду (1918 г).
Получение альдегидов прямым восстановлением карбоновых кислот затруднительно, так как обычно процесс не останавливается на стадии образования альдегида и идет дальше. По Розенмунду альдегиды получают гидрированием ацихлоридов над палладием, нанесенным на сульфат бария. В целом ряде случаев катализатор дезактивируют добавками хинолина с серой или тиомочевиной для предотвращения восстановления двойной связи С=О.
4. Взаимодействие сложных эфиров с реактивом Гриньяра.
Реакция эфиров муравьиной кислоты с алкил - или арилмагнийгалогенидами дает альдегиды.
Следует избегать избытка реактива Гриньяра; в противном случае образуются вторичные спирты. Поэтому на практике раствор магнийор-ганического соединения прибавляют по каплям к эфиру муравьиной кислоты. Для этих же целей можно использовать и ортоэфиры муравьиной кислоты; в таком случае получаются ацетали, которые далее гидролизуются до альдегидов.
Из эфиров других кислот, в частности и ортоэфиров, получаются кетоны, в последнем случае промежуточно образуются кетали.
Синильная кислота или нитрилы при взаимодействии с реактивом Гриньяра также дают альдегиды или соответственно кетоны.
5. Ацилирование по Фриделю - Крафтсу (1877 г)
При взаимодействии аренов с ацилгалогенидами в присутствии кислот Льюиса, таких как хлорид алюминия, получают кетоны.
Ацилирование может быть и внутримолекулярным. В качестве примера приведем синтез инданона-1.
Вместо ацилгалогенидов используются также сами кислоты или их ангидриды. В противоположность алкилированию по Фриделю - Крафтсу, при котором берутся лишь каталитические количества катализатора, при проведении ацилирования по Фриделю - Крафтсу необходимо брать более чем стехиометрические количества катализатора. Это связано с тем, что как ацилирующий агент, так и продукт реакции образуют с катализатором комплекс в соотношении 1: 1.
Ацилирование аренов по Фриделю - Крафтсу относится к SЕ-реакциям. В зависимости от условий реагентом является либо комплекс состава 1: 1, либо ацил-катион.
В аналогичных условиях ацилируются циклоалканы и олефины. В последнем случае наряду с продуктами ацилировакия получаются также продукты присоединения.
Родственными ацилированию по Фриделю - Крафтсу являются следующие реакции, при которых бензоидный атом водорода замещается на альдегидную группу (формилирование).
6. Реакция Гаттермана - Коха (1887 г)
Арены формилируют смесью моноксида углерода и хлористого водорода в присутствии хлорида алюминия и хлорида меди(I). В противоположность существовавшим ранее представлениям этот синтез альдегидов протекает не через промежуточное образование нестабильного при комнатной температуре формилхлорида, а с участием ацилиевого комплекса, образующегося непосредственно из реагентов.
Роль хлорида меди(I) состоит в первоначальном образовании комплекса с моноксидом углерода, что повышает стационарную концентрацию последнего.
Фенолы и их простые эфиры, а также нитробензол и другие соединения с сильными электроноакцепторными заместителями не вступают в эту реакцию.
7. Реакция Гаттермана (1906 г)
По этому способу формилирования арены вводят во взаимодействие с синильной кислотой и хлористым водородом. Катализатором служит хлорид алюминия. В реакцию Гаттермана вступают фенол и его простые эфиры, но не вступают нитробензол и ароматические амины.
Вполне возможно, что в данном случае формилирующим агентом является соединение:

Использования ядовитой синильной кислоты можно избежать, если по Адамсу (1923 г) в реакцию вводить цианид цинка и хлористый водород.
8. Реакция Вильсмейера - Хаака (1927 г)
Реакционноспособные и прежде всего многоядерные арены, а также фенолы и их простые эфиры формилируются с образованием альдегидов под действием N,N-дизамещенных формамидов, например N-метилформанилида или N,N-диметилформамида и оксихлорида фосфора.
Промежуточно образующийся комплекс формамида и оксихлорида фосфора в случае N-метилформанилида может быть выделен в свободном виде.
2.2. Химические свойства
1. Реакции с аминосоединениями.
Соединения структуры Z-NH2 легко присоединяются к альдегидам и кетонам. Однако в большинстве случаев продукты присоединения неустойчивы и легко дегидратируются через промежуточные карбений-иммониевые ионы.
При взаимодействии альдегидов с аммиаком, протекающем через стадию малостабильных альдегидаммиаков, образуются альдимины.
Альдимины обычно тримеризуются в гексагидро-1,3,5-триазины.
Реакция с формальдегидом протекает сложнее. Бензальдегид также реагирует иначе, взаимодействие его с аммиаком приводит к гидробензамиду.
В случае таких кетонов, как ацетон, аммиак вызывает альдольную реакцию. Образующиеся при этом димеры или тримеры далее реагируют с аммиаком с образованием диацетонамина (4-амино-4-метилпентанона-2) или триацетонамина (2,2,6,6-тетраметил-пиперидон-4).
Первичные амины конденсируются с альдегидами в азометины (основания Шиффа).
В большинстве случаев азометины представляют собой кристаллические соединения и используются для выделения, очистки и идентификации альдегидов.
Большее значение для этой цели имеют гидразоны, фенилгидразоны, 4-нитрофенилгидразоны и 2,4-динитрофенилгидразоны, образующиеся при взаимодействии альдегидов и кетонов с гидразином или соответствующим замещенным гидразином. При реакции с гидразином могут получаться также кристаллические азины.
При нагревании с гидроксидом калия в триэтиленгликоле до ~200°С или при действии трет-бутилата калия в диметилсульфоксиде гидразоны теряют азот и образуют углеводороды (реакция Вольфа-Кижнера, 1912 г). Реакция, вероятно, протекает по следующему механизму:

Гидроксиламин, а также семикарбазид конденсируются с альдегидами и кетонами. с образованием соответственно оксимов и семикарбазонов, также используемых для идентификации карбонильных соединений.
Азометины, гидразоны, азины, оксимы и семикарбазоны более или менее легко могут быть гидролизованы обратно до исходных карбонильных соединений. Регенерация кетонов из 2,4-динитрофенилгидразонов легче всего осуществлять нагреванием с гидратом толуол-4-сульфокислоты в хлороформе. Оксимы, кроме того, являются промежуточными продуктами в ряде синтезов. Например, (Z) - альдоксимы дегидратируются до нитрилов. В противоположность этому (E) - диастереомеры вследствие стереоэлектронных эффектов не вступают в реакцию; в условиях дегидратации эти соединения претерпевают перегруппировку Бекмана до N-замещенных формамидов.
В присутствии серной кислоты, хлорида фосфора(V), полифосфорной кислоты или других катализаторов кетоксимы также претерпевают перегруппировку Бекмана (1886 г) с образованием N-замещенных амидов карбоновых кислот. На примере оксимов несимметричных кетонов установлено, что при этом имеет место анти-перегрупаировка: гидро-ксильная группа меняется местами с остатком, находящимся к ней в транс-положении.
При действии на альдегиды и кетоны вторичных аминов первоначально также протекает присоединение. Если в α-положении к карбонильной группе имеется протон, то нестабильное промежуточное соединение стабилизуется, отщепляя воду и образуя енамин.
Енамины являются очень реакционноспособными соединениями и используются во многих синтезах. Если, как в случае бензальдегида, в α-положении к карбонильной группе не имеется атома водорода и, таким образом, отщепление воды невозможно, то промежуточно образующийся карбений-иммониевый ион присоединяет вторую молекулу амина с образованием аминаля.
2. Альдольная реакция
Взаимодействие альдегидов или кетонов (карбонильная компонента) самих с собой или с другими альдегидами и кетонами, выступающими в качестве С-Н-кислотной компоненты (метиленовой компоненты) с образованием (β-оксикарбонильных соединений, называют альдольной реакцией. Кислоты и основания катализируют эту реакцию. Например, в присутствии гидроксидов щелочных или щелочноземельных, металлов из ацетальдегида образуется ацетальдоль ("аль" от альдегида и "ол" от спирта) 3-оксибутаналь.
Какая из стадий реакции (первая или вторая) будет определять скорость всего превращения, зависит от кинетической кислотности метиленовой компоненты и от электрофильности карбонильной компоненты. В случае альдолыюй реакции с ацетальдегидом наиболее медленной является первая стадия, в случае ацетона из-за меньшей реакционной способности его карбонильной группы - вторая стадия.
При повышенных температурах часто протекает дегидратация, приводящая к α,β-непредельным соединениям. Так, из ацетальдоля получают кротоновый альдегид.
При кислотном катализе альдольная реакция протекает через енольную форму, причем отщепление воды наблюдается почти всегда.
Примером альдолыюй реакции между различными альдегидами является образование пентаэритрита из ацетальдегида и формальдегида в присутствии гидроксида кальция. При этом в заключение протекает перекрестная реакция Канниццаро между образовавшимся альдегидом и молекулой формальдегида.
Аналогично альдегидам реагируют и кетоны, например:


Как и в случае реакции бензальдегида с ацетоном, кетоны при реакции с альдегидами всегда играют роль метиленовой компоненты. В последнее время предпочитают использовать азометины альдегидов, поскольку для альдегидов, содержащих в α-положении атом водорода, предпочтительной является самоконденсация.
По схеме альдольной реакции протекают реакции и других С-Н-кислотных соединений с карбонильными соединениями. К ним относятся конденсация Кневенагеля, реакция Перкина и синтезы оксиранов (глицидный синтез) по Дарзану
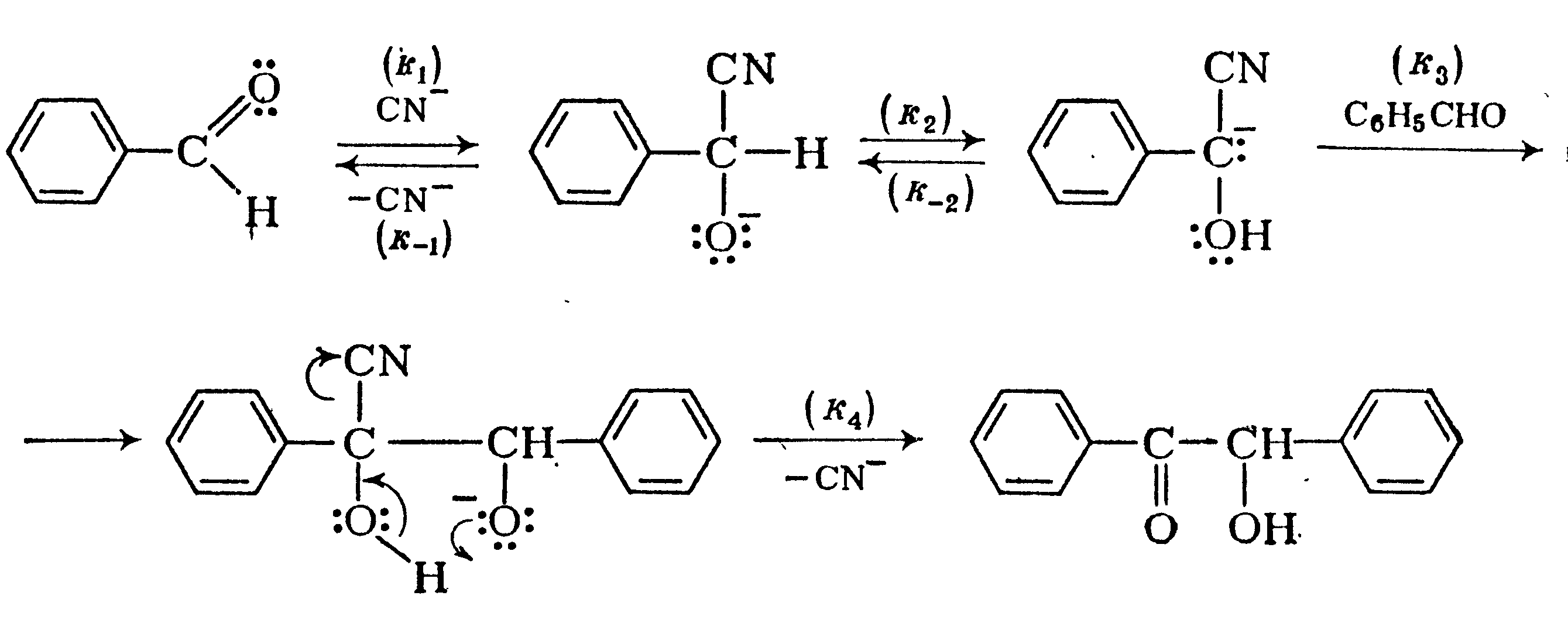
3. Бензоиновая конденсация
При действии водно-спиртовых растворов цианида калия арилальдегиды димеризуются в α-оксикетоны. Из бензальдегида образуется бензоин.
Считается доказанным следующий механизм этой реакции:

Как и в альдольной реакции, карбанион присоединяется к альдегиду.
Алифатические альдегиды дают в этих условиях не ацилоины, а альдоли, образования ацилоинов из этих соединений можно добиться, используя ферменты определенных видов дрожжей.
4. Реакция Канниццаро (1853 г)
Альдегиды, не содержащие в α-положении к карбонильной группе атома водорода, т.е. преимущественно ароматические альдегиды, в присутствии гидроксидов щелочных или щелочноземельных металлов диспропорционируют до спирта и кислоты.
В случае альдегидов, имеющих α-атом водорода, гораздо быстрее протекает альдольная реакция. Формально атом водорода одной молекулы альдегида в виде гидрид-иона переносится к связи С=О другой молекулы. Начинается этот процесс с присоединения гидроксил-иона. Затем с участием атома металла образуется комплекс, внутри которого и происходит гидридный перенос.
Если в реакции принимают участие два различных альдегида, то говорят о перекрестной реакции Канниццаро. В таком случае формальдегид всегда играет роль донора гидрид-иона.
Реакции конденсации.
Реакция конденсации - реакция образования больших Молекул из молекул с меньшей молекулярной массой, протекающая с отщеплением (или перемещением) атомов или атомных групп
Конденсации реакции, исторически закрепившееся в органической химии название большой группы реакций образования сложных соединений из двух или нескольких более простых. Конденсации реакции, различающиеся как по природе реагентов, так и по существу химических превращений, включают многие внутримолекулярные и межмолекулярные процессы образования новых углерод-углеродных (С - С) связей. Большинство таких реакций сопровождается выделением какой-либо простой неорганической или органической молекулы Х - Y (например, воды, водорода спирта, галогеноводорода, галогена):
К этому типу Конденсации реакции относятся, например, кротоновая конденсация, Вюрца реакция, Клайзена конденсация, Кнёвенагеля реакция, Перкина реакция, Фриделя-Крафтса реакция и многие др. В отличие от указанных выше, такие Конденсации реакции, как бензоиновая конденсация, альдольная конденсация, диеновый синтез и др., происходят без выделения простой молекулы. Кроме того, Конденсации реакции в органической химии называют все реакции образования гетероциклических соединений; в этих процессах могут возникать новые связи: углерод - углерод, углерод - гетероатом, гетероатом - гетероатом. Обычно к Конденсации реакции не относят этерификацию, переэтерификацию, алкилирование и ацилирование по кислороду или по азоту и др. Однако реакции образования полимеров по этим схемам называют поликонденсацией.
Кротоновая конденсация.
Кротоновая конденсация, взаимодействие между двумя молекулами альдегида или кетона с отщеплением воды. Например, Кротоновая конденсация ацетальдегида приводит к кретоновому альдегиду (II):
CH3CHO+CH3CHO ® CH3CH(OH)
CHO
® CH3-CH=CH-
На первой стадии Кротоновая конденсация
происходит так называемая альдольная
конденсация, приводящая (в случае
альдегида) к альдолю (I); на второй -
дегидратация продукта альдольной
конденсации. Кротоновая конденсация
происходит под действием сильных кислот
(например, концентрированной серной
кислоты) или оснований (KOH, NaOH, KCN или
др.), чаще при нагревании. Альдегиды и
кетоны реагируют только по a-метиленовой
группе и могут вступать в Кротоновая
конденсация с др. соединениями, содержащими
активную СН2-группу, например с
нитросоединениями:
CH3CHO+CH3CH2NO2 ® CH3CH=C (CH3) NO2 + H2O.
Кротоновая конденсация находит применение в органическом синтезе
Вюрца реакция
Вюрца реакция, метод синтеза насыщенных углеводородов действием металлического натрия на алкилгалогениды (обычно бромиды или иодиды):
2RBr + 2Na ® R - R + 2NaBr.
B. p. открыта Ш.А. Вюрцем. (1855). P. Фиттиг распространил Вюрца реакция на область жирно-ароматических углеводородов (реакция Вюрца - Фиттига):
C6H5Br + 2Na + ВrC4H9 ® С6Н5 - С4Н9+ 2NaВr.
Клайзена конденсация
Клайзена конденсация, сложно эфирная конденсация, способ получения b-кето (или b-альдегидо) эфиров взаимодействием одинаковых или разных сложных эфиров в присутствии щелочных агентов. Типичный пример Клайзена конденсация - получение ацетоуксусного эфира из этилацетата в присутствии алкоголятов натрия, металлического натрия, гидрида или амида натрия CH3COOC2H5 + HCH3COOC2H5 ® CH3COCH3COOC2H5 + C2H5OH.
При использовании эфиров муравьиной кислоты образуются производные альдегидокислот:
HCOOC2H5 + C6H5CH3COOC2H5 ® C6H5CH (COOC2H5) CHO + C2H5OH.
Клайзена конденсация применяется также для получения др. b-карбонильных соединений.
Так, реакция сложных эфиров с нитрилами приводит к b-кетонитрилам, например:
CH3COOC2H5 + C6H5CH3CN ® CH3COCH (C6H5) CN+C2H5OH.
С кетонами образуются b-дикетоны (например, ацетилацетон):
CH3COOC2H5 + СН3СОСНз ® CH3COCH2COCH3 + C2H5OH.
Клайзена конденсация широко применяют в промышленности для получения разнообразных органических соединений, например ацетоуксусного эфира, ацетилацетона и их гомологов. Реакцию подробно исследовал (1887) немецкий химик Л. Клайзен.
Кневенагеля реакция
Кневенагеля реакция, конденсация альдегидов или кетонов с соединениями, содержащими активную метиленовую группу, в присутствии оснований с образованием производных этилена. Например, при конденсации бензойного альдегида (1) с диэтиловым эфиром малоновой кислоты (II) в присутствии пиперидина получается производное коричной кислоты (III).
Кневенагеля реакция широко применяется в лабораторном органическом синтезе, а также в химико-фармацевтической и парфюмерной промышленности. Реакция открыта немецким химиком Э. Кневенагелем (Е. Knoevenagel) в 1896.
Перкина реакция
Перкина реакция, метод синтеза b-арилакриловых кислот (коричной кислоты, её производных и аналогов) взаимодействием ароматических альдегидов с ангидридами карбоновых кислот в присутствии катализаторов основного характера (щелочных солей карбоновых кислот, карбонатов щелочных аминов).
Реакция открыта У. Перкином (старшим) в 1868; широко применяется в органической химии. Промышленное значение имеет синтез кумарина из салицилового альдегида и уксусного ангидрида.
Фриделя - Крафтса реакция
Фриделя - Крафтса реакция, способ алкилирования и ацилирования ароматических соединений в присутствии катализаторов кислотного характера, например AlCl3, BF3, ZnCl2, FeCI3, минеральных кислот, окислов, катионообменных смол. Алкилирующими агентами служат алкилгалогениды, олефины, спирты, сложные эфиры; ацилирующими - карбоновые кислоты, их галогенангидриды и ангидриды.
Ф. - К. р. - типичное электрофильное замещение в ароматическом ядре; роль катализатора сводится к генерации атакующей частицы - алкил - или ацилкатиона. Ниже рассмотрены примеры взаимодействия бензола с этилхлоридом и хлорангидридом уксусной кислоты:
C2H5CI + AlCl3 ® C2H5+ + [AICl4] -, C2H5 - + C6H6 ® C6H5C2H5 + H+;
CH3COCl + AlCl3 ® CH3CO+ + [AlCl4] -, CH3CO+ + C6H6 ® CH3COC6H6 + Н+;
[AlCl4] - + Н+ ® HCl + AlCl3.
Алкилированием по Ф. - К. р. в промышленности получают высокооктановые топлива, антиокислители, поверхностно-активные и душистые вещества, этилбензол (исходное вещество в производстве стирола) и др. важные продукты (см., например, Кумол, Тимол). Ацилирование по Ф. - К. р. - основной метод синтеза ароматических и жирно-ароматических кетонов, многие из которых являются промежуточными продуктами в производстве фармацевтических препаратов, разнообразных красителей (например, Михлера кетон).Ф. - К. р. открыта Ш. Фриделем и Дж. Крафтсом (1877-78).
Список литературы
Нейланд О.Я. Органическая химия, М.: Высшая школа, 1990, 751с.
Голодников Г.В. Практические работы по органическому синтезу. Л., Изд-во ЛГУ, 1966, 697с.
Физер Л., Физер М. Реагенты для органического синтеза. Том 2.М., Мир, 1970, 390.
Гауптман, Ю. Грефе, Х. Ремане Органическая химия, Москва, "Химия", 1979, 832
Кнунянц И.Л. Большая Российская энциклопедия, М.: 2003, 972с.
Юрьев Ю.К. Практические работы по органической химии. Выпуск 1 и 2. Изд.3-е.М., Изд-во МГУ, 1964.
Юрьев Ю.К., Левина Р.Я., Шабаров Ю.С., Практические работы по органической химии. Выпуск 4.М. Из-во МГУ, 1969.
Шабаров Ю.С. Органическая химия: В 2-х кн. - М.: Химия, 1994. - 848 с.
Петров А.А., Бальян Х.В., Трощенко А.Т. Органическая химия. – М.: Высш. шк., 1973. - 623 с.
Моррисон Р., Бойд. Органическая химия. - М.: Мир, 1974. - 1132 с.
Терней А. Современная органическая химия: В 2 т. - М.: Мир, 1981. - Т.1 - 670 с; Т.2 - 615 с.
Робертс Дж., Кассерио М. Основы органической химии: В 2 т. - 2-е изд. - М.: Мир, 1978. - Т.1 - 842 с; Т.2 - 888 с.
В.Ф. Травень. Органическая химия. Том 1. – М.: Академкнига, 2004, - 708 с.
Птицина О.А., Куплетская Н.В., Тимофеева В.К. и др. Лабораторные работы по органическому синтезу. М.: Просвещение, 1979, 256с