Изучение условий образования ароматических полиимидов и сополибензоксазолимидов на основе 3,3'-диокси-4,4-диаминодифенилметана
ИЗУЧЕНИЕ УСЛОВИЙ ОБРАЗОВАНИЯ АРОМАТИЧЕСКИХ ПОЛИИМИДОВ И СОПОЛИБЕНЗОКСАЗОЛИМИДОВ НА ОСНОВЕ 3,3'-ДИОКСИ-4,4-ДИАМИНОДИФЕНИЛМЕТАНА
Известно сравнительно небольшое число исследований, посвященных гидроксилсодержащим ароматическим полиимидам [1] и сополибензоксазолимидам [2—4]. Поэтому интересно изучить взаимодействие 3,3'-диокси-4,4'-диаминодифенилметана с пиромеллитовым диангидридом и диангидридом 3,3'-4,4'-тетракарбоксидифенилоксида, получить сополибензоксазолимид на основе полиоксиамида (ПОА) и полиамндокислоты (ПАК ПМ), а также изучить их некоторые свойства.
Взаимодействие 3,3'-диокси-4,4'-диаминодифенилметана (ДОДА) с с ангидридами пиромеллитовой кислоты (ПМДА) и 3,3'-4,4'-тетра-карбоксидифенилоксида (ДФО) исследовали с целью изучения влияния способа получения ароматических полиимидов на их свойства. Прежде всего исследовали обычный двухстадийный способ. При этом было показано, что в случае взаимодействия ДОДА с ПМДА из разбавленных растворов полиамидокислоты ПАК ПМ(ОН) в амидных растворителях (5—6 мол.%) удается получить прочные эластичные пленки, в то время как из более концентрированных растворов ПАК ПМ(ОН) наблюдалось образование геля. При взаимодействии ДОДА с ДФО из образовавшейся ПАК (ПАК — ДФО(ОН)) получались прочные эластичные пленки с температурой размягчения 320°, нерастворимые в амидных растворителях.
При одностадийной высокотемпературной поликонденсации ДОДА и ДФО в растворе в и-крезоле получен растворимый полиимид ДФО (ОН) с характеристической вязкостью 1,15 дл/г (метилпирролидон, 20°), который имел температуру размягчения 310° и давал прочные эластичные пленки, по термостойкости сравнимые с известными полиимидами. При химической имидизации в растворе в метилпирролидоне в присутствии уксусного ангидрида и пиридина получали полиимид, растворимый в амидных растворителях. Характеристическая вязкость этого полиимида ДФО (ОН) в V-метилпирролидоне составляла 0,85 дл/г (20°). Температура размягчения 260°; пленки термостойки, прочны и эластичны.
Таким образом, в полиимиде ДФО (ОН), полученном на основе ДОДА и ДФО тремя различными методами, наблюдались различия в растворимости. В случае двустадийного способа синтеза он нерастворим в амидных растворителях. В остальных двух случаях полиимид был растворим, но более высокомолекулярным является образец, полученный одностадийной высокотемпературной поликонденсацией в растворе. Также наблюдались различия в температурах размягчения полиимида, синтезированного разными способами. Наиболее низкую температуру размягчения имел полиимид, образованный методом химической имидизации. Некоторые различия наблюдались в деформационно-прочностных свойствах: более высокую прочность имел полиимид, полученный двухстадийным методом, а наиболее высокими значениями разрывного удлинения обладал полиимид, синтезированный высокотемпературной поликонденсацией в растворе. Термостабильность полиимидов, полученных различными способами, была близкой, но она была несколько ниже у полиимида, синтезированного химической имидизацией.
Приведенные результаты показывают, что в зависимости от способа синтеза ароматические полиимиды заданного строения могут иметь различные свойства.
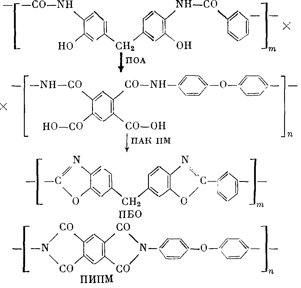
Сополибензоксазолимид (БОИ) получали совместной циклодегидрата-цией

Рис. 1. Изменение оптической плотности полос поглощения при 1780 (1, 2), 1670 (3) II 3400 см-1 (4) в зависимости от температуры обработки пленок ПАК ГШ (1) и ПАК ПМ(ОН) (2-4) Рис. 2. ИК-спектры пленок полимеров, прогретых при 400 (а, в, 36), 250 (16), 300 (26) и 500° (46). а: 1 - ИМ, 2 - ПМ(ОН), 3 - ПВО; б - ПОА; в -БОИ, полученные с использованием 30 (1) а 90% ПОА (2) Рис. 3. Изменение отношения /?i67o/On8o в зависимости от содержания ПОА в смеси с ПАК ПМ при синтезе БОИ
Реакцию проводили добавлением к раствору ПАК ПМ в ДМФА (12,5 мол.%) рассчитанных количеств ПОА (от 10 до 90%). Была изучена как термическая, так и химическая циклизация пленок, полученных на основе ПОА и ПАК ПМ. Пленки БОИ были нерастворимы в органических растворителях. Температура размягчения образующихся БОИ возрастала от 280 до 350° с увеличением содержания доли ПОИ в БОИ от 10 до 60%. По деформационно-прочностным свойствам сополибензоксазолимид уступает чистому полипиромеллитимиду ПМ. Термические свойства БОИ достаточно высокие и приближаются к таковым у ПМ. Найденные закономерности синтеза полиимида на основе ДО ДА и ДФО соблюдаются при синтезе БОИ. Прочность на разрыв у пленок БОИ, полученных при термической имидизации, выше, а разрывное удлинение ниже, чем в случае их получения методом химической имидизации.
Введение стабилизаторов (трифенилфосфат и других) в количестве 10 мол.% повышает как термическую стабильность, так и деформационно-прочностные свойства пленок БОИ, особенно когда доля имидных звеньев в сополибензоксазолимиде составляет 70% и более.
Методом ИК-спектроскопии исследованы процессы, происходящие при термообработке синтезированных полимеров. В результате анализа спектров и литературных данных [5] сделано отнесение полос поглощения к колебаниям соответствующих групп. Для дальнейшего исследования были выбраны полосы, соответствующие колебаниям имидного цикла (1780, 730 см-1), бензоксазольного цикла (1670 см-1), групп ОН в диамин-ном фрагменте (3400 см-1), а также полосы 1020 см-1 (СН в бензольных кольцах в диаминном фрагменте) и 1430 см-1 (СН>2> в диаминном фрагменте), взятые в качестве внутреннего стандарта.
По изменению интенсивностей имидных полос поглощения следили за процессом имидизации в ПАК ПМ и ПАК ПМ(ОН) (рис. 1, кривые 1, 2). В обеих полиамидокислотах имидизация идет в интервле температур 100—250°. При 250° интенсивность имидных полос достигает максимального значения, реакция практически завершается. При дальнейшем повышении температуры интенсивность имидных полос в ПАК ПМ практически не изменяется, а в ПАК ПМ(ОН) уменьшается. Наряду с этим наблюдается появление и рост полосы 1670 см-1, отнесенной нами к валентным колебаниям групп —C=N— в бензоксазольном цикле (рис. 1, кривая 3), а также убыль полосы 3400 см-1 (рис. 1, кривая 4), относящейся к группам ОН в диаминном фрагменте. Таким образом, при прогревании ПАК ПМ(ОН) в области 100—250° происходит замыкание имидных циклов, а затем (при их частичном разрушении) с участием гидроксильных групп в диаминном компоненте [2] появляются бензоксазольные циклы (300—450°). В результате образуется полимер, содержащий в цениимидные и бензоксазольные циклы (рис. 2, а, кривая 2).
Аналогичные изменения наблюдались в спектрах ДФО(ОН). Исходные спектры пленок ДФО(ОН), полученного разными способами (высокотемпературной и низкотемпературной поликонденсацией), отличаются. В результате высокотемпературной поликонденсации образуется полимер, практически полностью имидизованный, в то время как после проведения низкотемпературной поликонденсации в спектре образца еще наблюдаются полосы, относящиеся к незациклизованной ПАК. При прогревании пленок эти полосы исчезают. В спектрах прогретых образцов ДФО(ОН), как и в случае гидроксилсодержащего полимера ПМ(ОН), уменьшается интенсивность полос имидных циклов и появляется поглощение в области колебаний бензоксазольных циклов.
Термообработка пленки из полиоксиамида до 250° не приводит к изменениям в спектре. Выше этой температуры начинает уменьшаться интенсивность полосы 3400 см-1, появляется и увеличивается полоса поглощения бензоксазольных циклов 1670 см-1 (рис. 2,6). При прогревании до 450° практически все гидроксильные группы расходуются и перестает изменяться интенсивность полосы 1670 см-1. Таким образом, в пленке ПОА образование бензоксазольных циклов происходит в интервале температур 300—450°.
При термообработке пленок, в состав которых входят ПАК ПМ и ПОА в различных соотношениях, в спектрах происходят изменения, аналогичные изменениям в спектрах исходных компонентов: в области 100—250° идет имидизация ПАК, при температурах до 450° замыкаются бензоксазольные циклы ПВО (рис. 2, в). В таблице приведены максимальные относительные интенсивности полос 1780 и 1670 см-1 в ПМ, ПВО и БОИ. Как видно, в сополибензоксазолимидах отношение оптических плотностей полос Dnao/Dmo и DieiJDmo близки к их величинам в ПМ и ПВО. Можно полагать, что завершенность реакции циклообразования в этих полимерах практически одинакова.
На рис. 3 приведено изменение отношений оптических плотностей полос 1670 и 1780 см-1 в зависимости от содержания ПОА в исходной смеси сополибензоксазолимидов. Эту зависимость можно использовать в качестве градуировочного графика для количественного определения содержания бензоксазольных циклов в ПМ(ОН).
Синтез ароматических полиимидов осуществляли обычным двустадийным способом [6]. Получение полиимидов методом одностадийной высокотемпературной поликонденсации в растворе проводили по методике [7], а методом низкотемпературной химической имидизации - как в работе [8].
Получение сополибензоксазолимидов. Из 4,4'-диаминодифенилового эфира и пиромеллитового диангидрида в ДМФА обычным путем готовили 12,5%-ный раствор полиамидокислоты [6].
Из 3,3'-диокси-4,4'-диаминодифеншшетана и изофталилхлорида низкотемпературной поликонденсацией в диметилацетамиде с последующим высаждением в воду получали ПОА [9], который промывали, сушили в вакууме. Характеристическая вязкость равна 0,6 дл/г.
Затем брали навеску приготовленной ПАК и в ней в расчете на исходные количества диамина и диангидрида добавляли рассчитанные количества сухого ПОА (от 10 до 90%). Смесь тщательно перемешивали, оставляли на ночь в холодильнике и на следующий день из полученного раствора отливали пленки.
ИК-спектры регистрировали на спектрофотометре «Perkin — Elmer-580».

ЛИТЕРАТУРА
1.Цейтлин Г.М., Коршак В.В., Суравков О.С, Шерман Ф.К., Климова В.А. Изв.вузов. Химия и хим. технология. 1975, т. 18, № 2, с. 285.
Кардаш И.Е., Праведников А. Н. Высокомолек. соед. Б, 1967, т. 9, № 12, с. 873.
Preston h. Dewinter W., Black W., Hofferbert W.J. Polymer Sci. A-l, 1969, v. 7,
№ 10, p. 3027.
4.Коршак В.В., Виноградов А.В., Алъ-Хайдар 3.Т., Цейтлин Г.М., Родэ В.В. //Высокомолек. соед. А, 1972, т. 14, № 8, с. 592.
Беллами Л. Инфракрасные спектры сложных молекул. М.: 1963.
Адрова И.А.. Когон М.М., Москвина Е.М. Докл. АН СССР, 1965, т. 165, № 5,с. 1069.
7.Коршак В.В., Виноградова С.В., Выгодский Я.С. Павлова С.А., Бойко Л.В. Изв.АН СССР. Сер. хим., 1967, с. 2267.
8.Батаман Дж., Кордон Д.А. Пат. 3856752 (США).-Опубл. в сб. «Термостойкие пластики», 1975, № 43, с. 11.
9.Враз Г.И., Кардаш П.Е., Якубович А.С, Мясникова Г. В., Ардашников А.Я. Олейник А.Ф., Праведников А.II., Якубович А. Я.