Высокоэффективная жидкостная хроматография загрязнителей природных и сточных вод
«Высокоэффективная жидкостная хроматография загрязнителей природных и сточных вод»
Содержание
Введение
Глава 1. Основные понятия и классификация методов жидкостной хроматографии
1.1 Аппаратура для жидкостной хроматографии
Глава 2. Сущность ВЭЖХ
2.1 Применение
Глава 3. Примеры использования ВЭЖХ в анализе объектов окружающей среды
Глава 4. Аппаратура для ВЭЖХ
Литература
Приложение
Введение
Хроматографические методы часто оказываются незаменимыми для идентификации и количественного определения органических веществ со сходной структурой. При этом наиболее широко используемыми для рутинных анализов загрязнителей окружающей среды являются газовая и высокоэффективная жидкостная хроматография. Газохроматографический анализ органических загрязнителей в питьевой и сточных водах сначала основывался на использовании насадочных колонок, позднее распространение получили и кварцевые капиллярные колонки. Внутренний диаметр капиллярных колонок составляет обычно 0,20-0,75 мм, длина - 30-105 м. Оптимальные результаты при анализе загрязнителей в воде достигаются чаще всего при использовании капиллярных колонок с различной толщиной пленки из метилфенилсиликонов с содержанием фенильных групп 5 и 50%. Уязвимым местом хроматографических методик с использованием капиллярных колонок часто становится система ввода пробы. Системы ввода пробы можно подразделить на две группы: универсальные и селективные. К универсальным относятся системы ввода с делением и без деления потока, “холодный” ввод в колонку и испарение при программировании температуры. При селективном вводе используют продувку с промежуточным улавливанием в ловушке, парофазный анализ и т.д. При использовании универсальных систем ввода в колонку поступает вся проба полностью, при селективной инжекции вводится только определенная фракция. Результаты, получаемые при селективном вводе, являются существенно более точными, поскольку попавшая в колонку фракция содержит только летучие вещества, и техника при этом может быть полностью автоматизирована.
Газохроматографические детекторы, используемые в мониторинге загрязнителей, часто подразделяют на универсальные, откликающиеся на каждый компонент в подвижной фазе, и селективные, реагирующие на присутствие в подвижной фазе определенной группы веществ со сходными химическими характеристиками. К универсальным относятся пламенно-ионизационный, атомно-эмиссионный, масс-спектрометрический детекторы и инфракрасная спектрометрия. Селективными детекторами, используемыми в анализе воды, являются электронно-захватный (селективен к веществам, содержащим атомы галогенов), термоионный (селективен к азот- и фосфорсодержащим соединениям), фотоионизационный (селективен к ароматическим углеводородам), детектор по электролитической проводимости (селективен к соединениям, содержащим атомы галогенов, серы и азота). Минимально детектируемые количества веществ - от нанограммов до пикограммов в секунду.
Высокоэффективная жидкостная хроматография (ВЭЖХ) является идеальным методом для определения большого числа термически неустойчивых соединений, которые не могут быть проанализированы с помощью газовой хроматографии. Объектами анализа методом жидкостной хроматографии в настоящее время часто становятся современные агрохимикаты, в число которых входят метилкарбонаты и фосфорорганические инсектициды, другие нелетучие вещества. Высокоэффективная жидкостная хроматография получает все большее распространение среди других методов, применяемых в мониторинге окружающей среды, еще и потому, что имеет блестящие перспективы в плане автоматизации пробоподготовки.
ГЛАВА 1. ОСНОВНЫЕ ПОНЯТИЯ И КЛАССИФИКАЦИЯ МЕТОДОВ ЖИДКОСТНОЙ ХРОМАТОГРАФИИ
Жидкостную хроматографию подразделяют на несколько классов в зависимости от типа носителя неподвижной фазы. Простое аппаратурное оформление бумажной и тонкослойной хроматографий обусловили широкое использование этих методов в аналитической практике. Однако, большие возможности колоночной жидкостной хроматографии стимулировали совершенствование оборудования для этого классического метода и привели к быстрому внедрению ВЭЖХ. Пропускание элюента через колонку под высоким давлением позволило резко увеличить скорость анализа и существенно повысить эффективность разделения за счет использования мелкодисперсного сорбента. Метод ВЭЖХ в настоящее время позволяет выделять, количественно и качественно анализировать сложные смеси органических соединений.
По механизму взаимодействия разделяемого вещества (элюата) с неподвижной фазой различают адсорбционную, распределительную, ионообменную, эксклюзионную, ион-парную, лигандообменную и аффинную хроматографии.
Адсорбционная хроматография. Разделение методом адсорбционной хроматографии осуществляется в результате взаимодействия разделяемого вещества с адсорбентом, таким как оксид алюминия или силикагель, имеющими на поверхности активные полярные центры. Растворитель (элюент) - неполярная жидкость. Механизм сорбции состоит в специфическом взаимодействии между полярной поверхностью сорбента и полярными (либо способными поляризоваться) участками молекул анализируемого компонента (рис. 1).

Рис. 1. Адсорбционная жидкостная хроматография.
Распределительная хроматография. При распределительном варианте жидкостной хроматографии разделение смеси веществ осуществляется за счет различия их коэффициентов распределения между двумя несмешивающимися фазами - элюентом (подвижной фазой) и фазой, находящейся на сорбенте (неподвижная фаза).
При нормально-фазовом варианте распределительной жидкостной хроматографии используются неполярный элюент и полярные группы, привитые к поверхности сорбента (чаще всего силикагеля). В качестве модификаторов поверхности силикагеля (привитых фаз) используются замещенные алкилхлорсиланы, содержащие полярные группы, такие как нитрильная, аминогруппа и т. д. (рис. 2). Применение привитых фаз позволяет тонко управлять сорбционными свойствами поверхности неподвижной фазы и добиваться высокой эффективности разделения.

Рис. 2. Распределительная хроматография с привитой фазой (нормально-фазный вариант).
Обращенно-фазовая жидкостная хроматография основана на распределении компонентов смеси между полярным элюентом и неполярными группами (длинными алкильными цепочками), привитыми к поверхности сорбента (рис. 3).

Рис. 3. Распределительная хроматография с привитой фазой (обращенно-фазный вариант).
Менее широко используется вариант жидкостной хроматографии с нанесенными фазами, когда жидкая неподвижная фаза наносится на неподвижный носитель.
Эксклюзивная (гельпроникающая) хроматография представляет собой вариант жидкостной хроматографии, в котором разделение веществ происходит за счет распределения молекул между растворителем, находящимся в порах сорбента и растворителем, протекающим между его частицами.
Аффинная хроматография основана на специфических взаимодействиях разделяемых белков (антител) с привитыми на поверхности сорбента (синтетической смолы) веществами (антигенов), избирательно образующими с белками комплексы (коньюгаты).
Ионообменная, ион-парная, лигандообменная хроматографии применяются в основном в неорганическом анализе.
Основные параметры хроматографического разделения.
Основными параметрами хроматографического разделения являются удерживаемый объем и время удерживания компонента смеси (рис. 4).
Время
удерживания
tR
-
это время, прошедшее от момента ввода
пробы в колонку до выхода максимума
соответствующего пика. Умножив время
удерживания на объемную скорость элюента
F
,
получим
удерживаемый объем VR:
VR
= tR
.
F
;
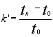
Исправленое время удерживания - время, прошедшее с момента появления максимума пика несорбируемого компонента до пика соответствующего соединения:
tR' = tR - t0;
Приведенный или исправленный объем удерживания - это объем удерживания с поправкой на мертвый объем колонки V0, т. е. на объем удерживания несорбируемого компонента:
VR' = VR - V0;
Характеристикой удерживания является также коэффициент емкости k', определяемый как отношение массы вещества в неподвижной фазе к массе вещества в подвижной фазе: k' = mн / mп;
Величину k' легко определить по хроматограмме:


Важнейшими параметрами хроматографического разделения являются его эффективность и селективность.
Эффективность колонки, измеряемая высотой теоретических тарелок (ВЭТТ) и обратно пропорциональная их числу (N) тем выше, чем уже пик вещества, выходящего при том же времени удерживания. Значение эффективности может быть вычислено по хроматограмме по следующей формуле:
N
= 5.54 .
(tR /
1/2)2,
где tR - время удерживания,
w 1/2 - ширина пика на половине высоты
Зная число теоретических тарелок, приходящееся на колонку, длину колонки L и средний диаметр зерна сорбента dc, легко получить значения высоты, эквивалентной теоретической тарелке (ВЭТТ), и приведенной высоты (ПВЭТТ):
ВЭТТ = L/N ПВЭТТ = ВЭТТ/d>c>
Эти характеристики позволяют сравнивать эффективности колонок различных типов, оценивать качество сорбента и качество заполнения колонок.
Селективность
разделения
двух веществ
определяется
по уравнению:
,
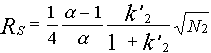
При рассмотрении разделения смеси двух компонентов важным параметром служит также степень разделения RS:
;
Пики считаются разрешенными, если величина RS больше или равна 1.5.
Основные хроматографические параметры связывает следующее уравнение для разрешения:
;
Факторами, определяющими селективность разделения, являются:
1) химическая природа сорбента;
2) состав растворителя и его модификаторов;
3) химическая структура и свойства компонентов разделяемой смеси;
4) температура колонки
1.1 Аппаратура для жидкостной хроматографии
В современной жидкостной хроматографии используют приборы различной степени сложности - от наиболее простых систем, до хроматографов высокого класса, снабженных различными дополнительными устройствами.
На рис. 4. представлена блок-схема жидкостного хроматографа, содержащая минимально необходимый набор составных частей, в том или ином виде, присутствующих в любой хроматографической системе.

Рис. 4. Блок-схема жидкостного хроматографа.
Насос (2) предназначен для создания постоянного потока растворителя. Его конструкция определяется, прежде всего, рабочим давлением в системе. Для работы в диапазоне 10-500 МПа используются насосы плунжерного (шприцевого), либо пистонного типов. Недостатком первых является необходимость периодических остановок для заполнения элюентом, а вторых - большая сложность конструкции и, как следствие, высокая цена. Для простых систем с невысокими рабочими давлениями 1-5 МПа с успехом применяют недорогие перистальтические насосы, но так как при этом трудно добиться постоянства давления и скорости потока, их использование ограничено препаративными задачами.
Инжектор (3) обеспечивает ввод пробы смеси разделяемых компонентов в колонку с достаточно высокой воспроизводимостью. Простые системы ввода пробы - "stop-flow" требуют остановки насоса и, поэтому, менее удобны, чем петлевые дозаторы, разработанные фирмой Reodyne.
Колонки (4) для ВЭЖХ представляют собой толстостенные трубки из нержавеющей стали, способные выдержать высокое давление. Большую роль играет плотность и равномерность набивки колонки сорбентом. Для жидкостной хроматографии низкого давления с успехом используют толстостенные стеклянные колонки. Постоянство температуры обеспечивается термостатом (5).
Детекторы (6) для жидкостной хроматографии имеют проточную кювету, в которой происходит непрерывное измерение какого-либо свойства протекающего элюента. Наиболее популярными типами детекторов общего назначения являются рефрактометры, измеряющие показатель преломления, и спектрофотометрические детекторы, определяющие оптическую плотность растворителя на фиксированной длине волны (как правило, в ультрафиолетовой области). К достоинствам рефрактометров (и недостаткам спектрофотометров) следует отнести низкую чувствительность к типу определяемого соединения, которое может и не содержать хромофорных групп. С другой стороны, применение рефрактометров ограничено изократическими системами (с постоянным составом элюента), так что использование градиента растворителей в этом случае невозможно.
Колонки для ВЭЖХ, которые чаще всего используют в анализах загрязнителей окружающей среды, имеют длину 25 см и внутренний диаметр 4,6 мм, заполняются они сферическими частицами силикагеля размером 5-10 мкм с привитыми октадецильными группами. В последние годы появились колонки с меньшим внутренним диаметром, заполненными частицами меньшего размера. Использование таких колонок приводит к уменьшению расхода растворителей и продолжительности анализа, увеличению чувствительности и эффективности разделения, а также облегчает проблему подключения колонок к спектральным детекторам. Колонки с внутренним диаметром 3,1 мм снабжают предохранительным картриджем (форколонкой) для увеличения срока службы и улучшения воспроизводимости анализов.
В качестве детекторов в современных приборах для ВЭЖХ используются обычно УФ-детектор на диодной матрице, флуоресцентный и электрохимический.
Следует иметь в виду, что в практической работе разделение часто протекает не по одному, а по нескольким механизмам одновременно. Так, эксклюзионное разделение бывает осложнено адсорбционными эффектами, адсорбционное — распределительными, и наоборот. При этом чем больше различие веществ в пробе по степени ионизации, основности или кислотности, по молекулярной массе, поляризуемости и другим параметрам, тем больше вероятность проявления другого механизма разделения для таких веществ.
На практике, наибольшее распространение получила «обращённофазовая» (распределительная) хроматография, в которой неподвижная фаза не полярна, а подвижная полярна (т. е. обратна «прямофазной» хроматографии).
В большинстве лабораторий мира группу из 16 приоритетных ПАУ анализируют методами ВЭЖХ или ХМС.
ГЛАВА 2. СУЩНОСТЬ ВЭЖХ
В высокоэффективной жидкостной хроматографии (ВЭЖХ) характер происходящих процессов в хроматографической колонке, в общем идентичен с процессами в газовой хроматографии. Отличие состоит лишь в применении в качестве неподвижной фазы жидкости. В связи с высокой плотностью жидких подвижных фаз и большим сопротивлением колонок газовая и жидкостная хроматография сильно различаются по аппаратурному оформлению.
В ВЭЖХ в качестве подвижных фаз обычно используют чистые растворители или их смеси.
Для создания потока чистого растворителя (или смесей растворителей), называемого в жидкостной хроматографии элюентом, используются насосы, входящие в гидравлическую систему хроматографа.
Адсорбционная хроматография осуществляется в результате взаимодействия вещества с адсорбентами, такими как силикагель или оксид алюминия, имеющими на поверхности активные центры. Различие в способности к взаимодействию с адсорбционными центрами разных молекул пробы приводит к их разделению на зоны в процессе движения с подвижной фазой по колонке. Достигаемое при этом разделение зон компонентов зависит от взаимодействия, как с растворителем, так и с адсорбентом.
Наибольшее применение в ВЭЖХ находят адсорбенты из силикагеля с разным объемом, поверхностью и диаметром пор. Значительно реже используют оксид алюминия и другие адсорбенты. Основная причина этого:
недостаточная механическая прочность, не позволяющая упаковывать и использовать при повышенных давлениях, характерных для ВЭЖХ;
силикагель по сравнению с оксидом алюминия обладает более широким диапазоном пористости, поверхности и диаметра пор; значительно большая каталитическая активность оксида алюминия приводит к искажению результатов анализа вследствие разложения компонентов пробы либо их необратимой хемосорбции.
Детекторы для ВЭЖХ
Высокоэффективная жидкостная хроматография (ВЭЖХ) используется для детектирования полярных нелетучих веществ, которые по каким-либо причинам не могут быть переведены в форму удобную для газовой хроматографии, даже в виде производных. К таким веществам, в частности, относят сульфоновые кислоты, водорастворимые красители и некоторые пестициды, например производные фенил - мочевины.
Детекторы:
УФ - детектор на диодной матрице. «Матрица» фотодиодов (их более двухсот) постоянно регистрирует сигналы в УФ- и видимой области спектра, обеспечивая таким образом запись УФ-В-спектров в режиме сканирования. Это позволяет непрерывно снимать при высокой чувствительности неискаженные спектры быстро проходящих через специальную ячейку компонентов.
По сравнению с детектированием на одной длине волны, которое не дает информации о «чистоте» пика, возможности сравнения полных спектров диодной матрицы обеспечивают получение результата идентификации с гораздо большей степенью достоверности.
Флуоресцентный детектор. Большая популярность флуоресцентных детекторов объясняется очень высокой селективностью и чувствительностью, и тем фактором, что многие загрязнители окружающей среды флуоресцируют (например, полиароматические углеводороды).
Электрохимический детектор используются для детектирования веществ, которые легко окисляются или восстанавливаются: фенолы, меркаптаны, амины, ароматические нитро- и галогенпроизводные, альдегиды кетоны, бензидины.
Хроматографическое разделение смеси на колонке вследствие медлен-ного продвижения ПФ занимает много времени. Для ускорения процесса хроматографирование проводят под давлением. Этот метод называют вы-сокоэффективной жидкостной хроматографией (ВЖХ)
Модернизация аппаратуры, применяемой в классической жидкостной колоночной хроматографии, сделала ее одним из перспективных и совре-менных методов анализа. Высокоэффективная жидкостная хроматография является удобным способом разделения, препаративного выделения и про-ведения качественного и количественного анализа нелетучих термола-бильных соединений как с малой, так с большой молекулярной массой.
В зависимости от типа применяемого сорбента в данном методе используют 2 варианта хроматографирования: на полярном сорбенте с использованием неполярного элюента (вариант прямой фазы) и на неполярном сорбенте с использованием полярного элюента - так называемая обращенно-фазовая высокоэффективная жидкостная хроматография (ОфВЖХ).
При переходе элюента к элюенту равновесие в условиях ОфВЖХ устанавливается во много раз быстрее, чем в условиях полярных сорбентов и неводных ПФ. Вследствие этого, а также удобства работы с водными и водно-спиртовыми элюентами, ОфВЖХ получила в настоящее время большую популярность. Большинство анализов при помощи ВЖХ проводят именно этим методом.
Детекторы. Регистрация выхода из колонки отдельного компонента производится с помощью детектора. Для регистрации можно использовать изменение любого аналитического сигнала, идущего от подвижной фазы и связанного с природой и количеством компонента смеси. В жидкостной хроматографии используют такие аналитические сигналы, как светопоглощение или светоиспускание выходящего раствора (фотометрические и флуориметрические детекторы), показатель преломления (рефрактометрические детекторы), потенциал и электрическая проводимость (электрохимические детекторы) и др.
Непрерывно детектируемый сигнал регистрируется самописцем. Хроматограмма представляет собой зафиксированную на ленте самописца по-следовательность сигналов детектора, вырабатываемых при выходе из ко-лонки отдельных компонентов смеси. В случае разделения смеси на внеш-ней хроматограмме видны отдельные пики. Положение пика на хроматограмме используют для целей идентификации вещества, высоту или площадь пика - для целей количественного определения.
2.1 Применение
Наиболее широкое применение ВЭЖХ находит в следующих областях химического анализа (выделены объекты анализа, где ВЭЖХ практически не имеет конкуренции):
Контроль качества продуктов питания — тонизирующие и вкусовые добавки, альдегиды, кетоны, витамины, сахара, красители, консерванты, гормональные препараты, антибиотики, триазиновые, карбаматные и др. пестициды, микотоксины, нитрозоамины, полициклические ароматические углеводороды и т.п.
Охрана окружающей среды — фенолы, органические нитросоединения, моно— и полициклические ароматические углеводороды, ряд пестицидов, главные анионы и катионы.
Криминалистика — наркотики, органические взрывчатые вещества и красители, сильнодействующие фармацевтические препараты.
Фармацевтическая промышленность — стероидные гормоны, практически все продукты органического синтеза, антибиотики, полимерные препараты, витамины, белковые препараты.
Медицина — перечисленные биохимические и лекарственные вещества и их метаболиты в биологических жидкостях (аминокислоты, пурины и пиримидины, стероидные гормоны, липиды) при диагностике заболеваний, определении скорости выведения лекарственных препаратов из организма с целью их индивидуальной дозировки.
Сельское хозяйство — определение нитрата и фосфата в почвах для определения необходимого количества вносимых удобрений, определение питательной ценности кормов (аминокислоты и витамины), анализ пестицидов в почве, воде и сельхозпродукции.
Биохимия, биоорганическая химия, генная инженерия, биотехнология — сахара, липиды, стероиды, белки, аминокислоты, нуклеозиды и их производные, витамины, пептиды, олигонуклеотиды, порфирины и др.
Органическая химия — все устойчивые продукты органического синтеза, красители, термолабильные соединения, нелетучие соединения; неорганическая химия (практически все растворимые соединения в виде ионов и комплексных соединений).
контроль качества и безопасности продуктов питания, алкогольных и безалкогольных напитков, питьевой воды, средств бытовой химии, парфюмерии на всех стадиях их производства;
определение характера загрязнений на месте техногенной катастрофы или чрезвычайного происшествия;
обнаружение и анализ наркотических, сильнодействующих, ядовитых и взрывчатых веществ;
определение наличия вредных веществ (полициклические и другие ароматические углеводороды, фенолы, пестициды, органические красители, ионы тяжелых, щелочных и щелочно-земельных металлов) в жидких стоках, воздушных выбросах и твердых отходах предприятий и в живых организмах;
мониторинг процессов органического синтеза, нефте- и углепереработки, биохимических и микробиологических производств;
анализ качества почв для внесения удобрений, наличия пестицидов и гербицидов в почве, воде и в продукции, а также питательной ценности кормов; сложные исследовательские аналитические задачи; получение микроколичества сверхчистого вещества.
ГЛАВА 3. ПРИМЕРЫ ИСПОЛЬЗОВАНИЯ ВЭЖХ В АНАЛИЗЕ ОБЪЕКТОВ ОКРУЖАЮЩЕЙ СРЕДЫ
ВЭЖХ - метод мониторинга ПАУ в объектах окружающей среды
Для полициклических ароматических углеводородов (ПАУ), экотоксикантов 1-го класса опасности, установлены крайне низкие уровни предельно допустимых концентраций (ПДК) в природных объектах. Определение ПАУ на уровне ПДК и ниже относится к числу очень сложных аналитических задач и для их решения применяются высокотехнологичные методы анализа (ГХ-МС, ГХ, ВЭЖХ). При выборе метода для мониторинга к основным рассматриваемым характеристикам – чувствительность и селективность, добавляются экспрессность и экономичность, т.к. мониторинг предполагает проведение серийного анализа. Вариант ВЭЖХ на коротких колонках малого диаметра в значительной степени отвечает указанным требованиям. С применением данного метода авторами разработаны и аттестованы методики контроля бенз[a]пирена в трех природных средах: аэрозоле, снежном покрове и поверхностных водах. Для методик характерны: простая унифицированная подготовка пробы, включающая экстракцию ПАУ органическими растворителями и концентрирование экстракта, прямое введение сконцентрированного экстракта в хроматографическую колонку, применение многоволнового фотометрического детектирования в УФ области спектра, идентификация пиков ПАУ на хроматограммах с применением двух параметров, время удерживания и спектральное отношение. Суммарная погрешность не превышает 10 % при определении бенз[a]пирена в аэрозоле в диапазоне концентраций от 0.3 до 450 нг/м3, в поверхностных водах в диапазоне концентраций от 10 до 1000 нг/л, в снежном покрове в диапазоне поверхностной плотности от 0.5 до 50 мкг/м2. Для случая одновременного определения приоритетных ПАУ (до 12 соединений) и регистрации негомогенных пиков аналитов предложено повторное разделение экстракта с изменением селективности подвижной фазы, длины волны детектирования и температуры колонки с учетом индивидуальных свойств определяемого ПАУ.
1. Качество окружающего воздуха. Массовая концентрация бенз[a]пирена. Методика выполнения измерений методом ВЭЖХ. Свидетельство об аттестации МВИ № 01-2000.
2. Качество поверхностных и очищенных сточных вод. Массовая концентрация бенз[a]пирена. Методика выполнения измерений методом ВЭЖХ. Свидетельство об аттестации МВИ № 01-2001.
3. Качество снежного покрова. Массовая концентрация бенз[a]пирена. Методика выполнения измерений методом ВЭЖХ. Свидетельство об аттестации МВИ № 02-2001.
Удаление анилина из водных растворов с использованием отходов алюмотермического восстановления прокатной медной окалины
Проблема удаления углеводородов из сточных вод является актуальной задачей. Во многих химических, нефтехимических и других производствах образуются анилин и его производные, которые являются токсичными веществами. Анилин — сильноядовитое вещество, ПДК — 0,1 мг/м3. Анилин и его производные растворимы в воде, поэтому не могут быть удалены гравитационным осаждением.
Одним из лучших методов очистки сточных вод от органических загрязнителей является применение неорганических и органических адсорбентов, способных регенерироваться (алюмосиликаты, модифицированные глины, древесина, волокна и т. д.) и неспособных к регенерации(активированный уголь, макропористые полимерные материалы и т. д.).
Регенерируемые адсорбенты могут удалить из воды органические вещества разной полярности. Поиск эффективных адсорбентов является актуальной задачей.
В настоящем сообщении представлены результаты исследования в области применения прокатной медной окалины Ереванского кабельного завода (ОПМОЕрКЗ) в качестве сорбентов анилина.
Хроматографические исследования проводили на хроматографе ВЭЖХ / высокоэффективная жидкостная хроматография / системы (Waters 486 — detector, Waters 600S — controller, Waters 626 — Pump), на колонке 250 х 4 мм наполненными исследуемыми нами сорбентами, скорость мобильной фазы 1 мл/м / мобильной фазой являются исследуемые нами растворители/, детектор — UV-254. УФ-спектроскопический анализ проведен на спектрофотометре «Specord-50», спектры получены с помощью компьютерной программы ASPECT PLUS.
Точно взвешенные порции сорбентов вносили в определенные объемы анилина в воде, начальные концентрации которых варьировали. Смесь тщательно взбалтывали в течение 6 ч. Далее пробу оставляли для отстоя. Адсорбция завершается практически в течение 48 ч. Количество осажденного анилина определено УФ-спектрофотометрическим, а также рефрактометрическим анализом.
Вначале были исследованы адсорбционные свойства ОПМОЕрКЗ при удалении анилина из раствора в тетрахлорметане. Оказалось, что анилин лучше всего поглощает сорбент 3 (таблица).
Проведены также измерения для водных растворов анилина в концентрациях 0,01— 0,0001 моль/л. В таблице приведены данные по 0,01 М раствору.
Таблица
Поглощение анилина различными сорбентами из 0,01 М водного раствора анилина при 20°С
-
№
Состав сорбента
Максимальная поглощаемость, г/г сорбента
1
Al2O3 - 28,9%; CaS - 57,05%; SiO2 - 6,4%; Na2O - 3,15%; невосстановленные металлы — 4,5%
0,0095
2
Al2O3 - 35,0%; CaS - 49,6%; SiO2 - 7,0%; Na2O - 3,5%; невосстановленные металлы — 4,9%
0,0090
3
Al2O3 - 32,0%; CaS - 52,1%; SiO2 - 7,3%; Na2O - 3,2%; невосстановленные металлы — 5,4%
0,011
Ранее было установлено, что адсорбция в указанных пределах концентраций возрастает и линейно зависит от коэффициента преломления. Количество анилина было определено из графической зависимости «коэффициент преломления — молярная концентрация» и скорректировано данными как жидкостной хроматографии, так и УФ-спектрального анализа.
Наиболее активным для водных растворов является сорбент 3. Количество адсорбированного загрязнителя рассчитывалось как разница между общим количеством загрязнителя, добавленного в начальный раствор, и его остатком в конечном растворе.
Методы определения ПАУ в объектах окружающей среды
Как правило для определения ПАУ используются методы газовой хроматографии (ГХ) и высокоэффективной жидкостной хроматографии (ВЭЖХ). разделение основных 16 ПАУ, достаточное для количественного анализа, достигается применением либо капиллярных колонок в газовой хроматографии, либо высокоэффективных колонок применяемых в ВЭЖХ. Необходимо помнить, что колонка, хорошо разделяющая калибровочные смеси шестнадцати ПАУ не гарантирует, что они также хорошо будут разделяться на фоне сопутствующих органических соединений в исследуемых пробах.
В целях упрощения анализа, а также для достижения высокого качества получаемых результатов, большинство аналитических процедур содержит этап предварительного выделения (сепарации) ПАУ среди иных групп сопутствующих соединений в пробах. Чаще всего в этих целях используются методы жидкостной хроматографии низкого давления в системе жидкость-твердое тело или жидкость-жидкость с использованием механизмов адсорбции, например с использованием силикагеля или окиси алюминия, иногда используются смешанные механизмы, например адсорбции и исключения с применением cефадексов.
Использование предварительной очистки проб позволяет при определении ПАУ избежать влияния:
- полностью неполярных соединений, таких, как алифатические углеводороды;
- умеренно и сильно полярных соединений, например, фталанов, фенолов, многоатомных спиртов, кислот;
- высокомолекулярных соединений таких, как, например, смолы.
В высокоэффективной жидкостной хроматографии (ВЭЖХ) используются главным образом два типа детекторов: флуориметрический детектор или спектрофотометрический детектор с фотодиодной линейкой. Предел обнаружения ПАУ при флуориметрическом детектировании очень низкий, что делает этот метод особенно пригодным для определения следовых количеств полиароматических соединений. Однако классические флуориметрические детекторы практически не дают информации о строении исследуемого соединения. Современные конструкции делают возможным регистрацию спектров флуоресценции, которые характеристичны для индивидуальных соединений, но они пока не получили широкого распространения в практике рутинных измерений. Спектрофотометрический детектор с фотодиодной линейкой (ФДЛ) дает возможность регистрации спектров поглощения в УФ- и видимом спектральном диапазоне, эти спектры могут использоваться для идентификации. Аналогичная информация может быть получена с использованием быстросканирующих детекторов.
При выборе аналитической техники, предназначенной для разделения, идентификации и количественного анализа упомянутых ПАУ необходимо учитывать следующие условия:
- уровень определяемых содержаний в исследуемых пробах;
- количество сопутствующих субстанций;
- применяемая аналитическая процедура (методика выполнения измерений);
- возможности серийной аппаратуры.
Разработка методики определения щелочноземельных элементов и магния методом ионной высокоэффективной жидкостной хроматографии
Разработка и совершенствование методов, позволяющих решать задачи анализа вод- важная проблема аналитической химии. Развитие высокоэффективной жидкостной хроматографии высокого давления стимулировало развитие нового направления в ионообменной хроматографии- так называемой ионной хроматографии. Синтез сорбентов для ионной хроматографии затруднен, поскольку к ни предъявляется довольно много требований. В связи с отсутствием коммерчески доступных высокоэффективных катионитов, была использована динамически модифицированная обращеная фаза, для чего был синтезирован модификатор: N-гексадецил-N-деканоил-парамино- беноилсульфокислоты этил- диизопропиламмоний (ДГДАСК), где гидрофобный амин, содержащий группу SO>3>-, способный к катионному обмену. После пропускания раствора модификатора поглощение при l = 260 нм достигало 6,4 единиц оптической плотности (° Е) с выходом на плато. Рассчитанная ионообменная емкость составляет 15,65 мкмоль. Так как катионы щелочноземельных элементов и магния не поглощают в УФ- области спектра, использовалась непрямая УФ- детекция с применением синтезированного УФ- поглощающего элюента 1,4- дипиридинийбутана бромида (ДПБ бромид). Так как галоген- ионы разрушают стальные части колонки, то бромид-ион 1,4- дипиридинийбутана заменили на ацетат- ион. При промывании колонки элюентом происходит замена противоиона модификатора- этилдиизопропиламмония на УФ- поглощающий ион 1,4- дипиридинийбутан. Разделение катионов осуществляли при оптимальной длине волны l = 260 нм на шкале 0,4 А в режиме “складывания шкалы”; полярность самописца меняли на обратную. Разделение всех изучаемых катионов достигнуто при ведении комплексообразующей добавки- щавелевой кислоты. Пределы обнаружения Mg2+, Ca2+, Sr2+, Ba2+ составляют 8 мкг/л; 16 мкг/л; 34 мкг/л; 72 мкг/л соответственно. В выбранных условиях проанализированы водопроводная вода, содержание Ca2+ в которой составляет 10,6 +1,9 мг-ион/л, Mg2+-2,5 + мг-ион/л. Ошибка воспроизводимости не превышает для Ca2+ -2,2%, для Mg2+– 1,4%.
Анализ комплексов кадмия в окружающей среде
Для изучения механизмов миграции тяжелых металлов в биосфере необходимы данные о химических формах существования металлов в природе. Сложности при анализе соединений одного из самых токсичных металлов - кадмия - связаны с тем, что он образует непрочные комплексы, и при попытке их выделить искажаются природные равновесия. В данной работе соединения кадмия в почве и растениях исследованы при помощи методики, основанной на хроматографическом разделении экстрактов с последующей идентификацией компонентов методами химического анализа. Такой подход позволил не только идентифицировать химические формы кадмия, но и прослеживать их трансформации в объектах окружающей среды.
С кадмием в объектах биосферы координируются ОН-группы углеводов и полифенолов (включая флавоноиды), С=О, фосфаты, NH>2>, NO>2>, SH-группы. Для целей настоящего исследования был составлен набор модельных лигандов, представляющих эти классы соединений. Взаимодействие модельных лигандов с водорастворимыми солями кадмия было исследовано методами УФ спектроскопии и ВЭЖХ.
Для выделения соединений кадмия использовали экстракцию специально подобранными (не образующими комплексов с Cd) растворителями. Так удается отделить кадмий от всех тяжелых металлов, кроме его близкого химического аналога – цинка. Кадмий- и цинк,содержащие пики на хроматограммах полученных экстрактов, выявляли при помощи связывания металлов в виде их дитизонатов. Для отделения от цинка использовали различие в устойчивости комплексов Cd и Zn при рН 6-8. Выделенные соединения Cd идентифицировали методом ВЭЖХ с изменением рН в процессе элюирования. Был выполнен анализ соединений кадмия с компонентами почв и тканей растений, а также идентифицированы вещества, вырабатываемые растениями в ответ на увеличение поступления кадмия из почвы. Показано, что у злаков защитными агентами являются флавоноиды, в частности трицин, у бобовых – алкоксипроизводные цистеина, у крестоцветных – как полифенолы, так и тиолы.
ГЛАВА 4. АППАРАТУРА ДЛЯ ВЭЖХ
CЕРИЯ ACCELA
Новый сверхвысокоэффективный жидкостный хроматограф ACCELA cпособен работать в широчайшем диапазоне сокростей потоков и давлений, обеспечивая как типичное для ВЭЖХ разделение на обычных колонках, так и сверхбыстрое и эффективное разделение на колонках с размером частиц сорбента менее 2 мкм при сверхвысоких давлениях (более 1000 атм.).
Система включает квотернарный градиентный инетрный насос, способный создавать давление свыше 1000 атм и с объемом задержки всего 65 мкл, обеспечивающий высокоскоростное хроматографическое разделение. Автосамплер ACCELA способен работать в цикле инжекции образца 30 секунд и обеспечивает высочайшую воспроизводимость ввода. Диодно-матричный детектор Accela PDA с минимизированным объемом проточной ячейки (2 мкл) оптимизирован для работы в режиме высокоскоростной хроматографии, использует патентованную технологию LightPipe и обеспечивает сохранение симметричной формы пиков, которую дает использование безупречных хроматографической системы и колонок.
Система идеально соединяется с масс-спектрометрами для создания самых мощных и лучших из доступных в мире систем ВЭЖХ/МС.
Колонки для рабты в режиме сверхвысокоэффективной хроматографии с размером зерна 1.9 мкм доступны от Thermo Electron для любых применений
CЕРИЯ TSP
Модульный принцип построения приборов ВЭЖХ позволяет заказчику гибко комплектовать оборудование для решения любых аналитических задач, а при их изменении оперативно и экономично его модифицировать. Широкий выбор модулей включает насосы - от изократического до четырехкомпонентного градиентного, от микроколоночного до полупрепаративного, все доступные детекторы, системы ввода образца - от ручных инжекторов до автосамплеров с возможностью любых манипуляций с образцами, мощное программное обеспечение для обработки результатов измерений и управления всеми модулями системы. Все модули сертифицированы по CSA, TUF/GS, FCC(EMI), VDE (EMI), ISO-9000, они компактны, обладают современным дизайном, просты в управлении, оснащены встроенным дисплеем и системой самодиагностики, позволяют создавать и сохранять в памяти методы задачи параметров. Они соответствуют критериям "Образцовой Лабораторной Практики" (GLP) и занесены в Реестр Измерительных средств РФ. Протоколы измерений выдаются в соответствии с Фармакопеями Англии, США, Германии и Франции.
Модульные системы TSP отличаются высочайшей надежностью и устойчивостью в эксплуатации.
Сочетание модулей обеспечивает аналитика всеми преимуществами интегральной системы, с одной стороны, и гибкостью модульной системы с другой. В какой бы области применений ВысокоЭффективной Жидкостной Хроматографии (ВЭЖХ) -фармакология, биотехнология, анализ объектов окружающей среды, клинический анализ, анализ пищевых продуктов и напитков, анализ нефтехимической и химической продукции - не использовался этот прибор, он всегда оптимально конфигурируется для того, чтобы соответcтвовать наивысшим требованиям.
Как исследовательская, так и высокопроизводительная рутинная системы обеспечивают:
• Высокоэффективную дегазацию растворителя
• Возможность работы с малыми и сверхмалыми количествами образца
• Высочайшую чувствительность, как с УФ/ВИД детектором, так и с диодной матрицей (со знаменитой LightPipe технологией с длиной оптического пути 1 или 5 см по выбору)
• Работу с различными колонкам
• Высочайшую точность количественного анализа
• Возможность автоматической работы с разными объемами образца
• Среднеквадратичную ошибку по временам удерживания менее 0.3 %
• Минимальную рабочую площадь, занимаемую системой
• Высочайшую надежность и стабильность параметров.
Surveyor LC Pump - ВЭЖХ насос, обладающий лучшими показателями воспроизводимости времен удерживания среди всех доступных в мире четырехкомпонентных градиентных насосов. Интегрированный четырехканальный вакуумный дегазатор и демпфер пульсаций обеспечивают великолепную стабильность базовой линии для достижения максимальной чувствительности и точности количественного анализа.
Автодозатор обеспечивает высочайшую производительность и гибкость анализа. Широкий выбор поддонов для образцов - от стандартных виал до 96 - и 384-луночных микропластин - покрывает потребности практически всех применений. Новая технология обеспечивает ввод пробы практически без потерь, практически 5 мкл образца вводятся автодозатором из полного объема образца в 5 мкл.
SURVEYOR
УФ/Вид детектор и PDA (Детектор с диодной матрицей)
Surveyor UV/Vis - детектор ультрафиолетового и видимого света с переменной длиной волны является комбинацией экономичности и надежности с высочайшей чувствительностью LightPipe технологии. Широкий выбор проточных кювет делает этот детектор универсальным для всех применений от тех, которые используют капиллярную или микроколоночную хроматографию до полупрепаративных и препаративных.
Surveyor PDA детектор является самым чувствительным среди всех ВЭЖХ детекторов, использующих диодную матрицу. Оптика с двухламповым источником безразрывно покрывает весь диапазон длин волн от 190 до 800 нм. Волоконно-оптический формирователь светового пучка обеспечивает великолепное оптическое разрешение без принесения в жертву чувствительности.
Surveyor RI рефрактометрический детектор с термостатированной кюветой минимального объема с полным электронным контролем с компьютера.
Surveyor FL флуориметрический сканирующий детектор с высочайшей чувствительностью и возможностью детекции при флюоресценции, хемилюминесценции и фосфоресценции.
Широкий выбор автосэмплеров позволяет работать как с обычными виалами, так и 96-позиционными планшетами, широко используемыми в биохимии и клинической практике. Работа с ними облегчается благодаря применению аналогичных планшетов для подготовки проб методом твердофазной экстракции.
• 400 Электрический привод, петля Valco (20 мкл - стандарт) с возможностью частичного заполнения.
Карусель 96 образцов.
Электрический привод, термостат колонки, петля Valco (100 мкл - стандарт) с возможностью частичного заполнения.Режим AutoMix для подготовки проб. Карусель для образцов: 84 х 2 мл (образцы) + Зх 10 мл (реагенты). Встроенный термостат колонки.420
Петлевой автосэмплер для исследовательских работ с возможностью работы в режимах полного, частичного заполнения и ввода микролитровых проб. Широкий выбор каруселей (стандартная — 96 образцов).
Планшетный автосэмплер для работы с 96- и 384-позиционными планшетами. Ввод пробы в петлю под давлением, возможность ввода проб менее 1 мкл. Возможность установки податчика планшетов. ВЭЖХ
Основные производители оборудования для ВЭЖХ
Waters — сверхпроизводительная хроматография, масс-спектрометрия, колонки, твердофазная экстракция;
Varian, Inc. — хроматографы и колонки, аксессуары для твердофазной экстракции;
Agilent Technologies — хроматографы и колонки;
Hypersil — колонки и сорбенты.
Merck KGaA — ТСХ пластины и аксессуары для ТСХ, колонки, сорбенты подвижные фазы для ВЭЖХ, аксессуары для твердофазной экстракции
Dionex — оборудование и колонки для ВЭЖХ, особенно для ионной хроматографии.
Литература
1.Пилипенко А.Т., Пятницкий И.В. Аналитическая химия. В двух книгах: кн..1 – М.: Химия, 1990,-480с.
Пилипенко А.Т., Пятницкий И.В. Аналитическая химия. В двух книгах: кн..2 – М.: Химия, 1990,-480с.
Васильєв В.П. Аналитическая химия. В 2 ч. Ч. 2. Физико – химические методы анализа: Учеб. для Химко – технол. спец. вузов. – М.: Высш. шк., 1989. – 384с.
Гидрохимические материалы. Том 100. Методы и технические средства оперативного мониторинга качества поверхностных вод. Л.: Гидрометео-издат, 1991. – 200с.
Лурье Ю.Ю. Аналитическая химия производственных сточных вод / Ю.Ю. Лурье; М.: ХимияЮ, 1984. - 448с.
Юинг Г. Инструментальные методы химического анализа / Пер. с англ. М.: Мир, 1989. – 348 с.
Горелик Д.О., Конопелько Л.А., Панков Э.Д. Экологический мониторинг. В 2 т. СПб.: Крисмас. 2000. – 260 с.
Айвазов Б.В. Введение в хроматографию. М.: Высш. шк., 1983. – 450 с.
Гольдберг К.А., Вигдергауз М.С. Введение в газовую хроматографию. М.: Химия, 1990. – 329 с.
Столяров Б.В. и др. // Практическая газовая и жидкостная хроматография. СПб.: СПбГУ, 1998. - С. 81.
11. Горшков А.Г., Маринайте И.И. ВЭЖХ - метод мониторинга ПАУ в объектах окружающей среды
12. Торосян Г. О., Мартиросян В. А., Алексанян А. Р., Закарян М. О.. Удаление анилина из водных растворов с использованием отходов алюмотермического восстановления прокатной медной окалины
13. Л.А. Туркина, Г.Н. Королева Разработка методики определения щелочноземельных элементов и магния методом ионной высокоэффективной жидкостной хроматографии
14. Дульцева Г.Г., Дубцова Ю.Ю., Скубневская Г.И. Анализ комплексов кадмия в окружающей среде
Приложение
ОПРЕДЕЛЕНИЕ КЛОМАЗОНА В ВОДЕ ХРОМАТОГРАФИЧЕСКИМИ МЕТОДАМИ
МЕТОДИЧЕСКИЕ УКАЗАНИЯ МУК 4.1.1415-03
1. Подготовлены: Федеральным научным центром гигиены им. Ф.Ф.
Эрисмана; Московской сельскохозяйственной академией им. К.А.
Тимирязева; при участии Департамента Госсанэпиднадзора Минздрава России. Разработчики методики указаны в конце.
2. Методические указания рекомендованы к утверждению Комиссией по госсанэпиднормированию при Минздраве России.
3. Утверждены Главным государственным санитарным врачом
Российской Федерации, Первым заместителем Министра здравоохранения Российской Федерации, акад. РАМН Г.Г. Онищенко 24 июня 2003 г.
4. Введены с 30 июня 2003 г.
5. Введены впервые.
1. Вводная часть
Фирма-производитель: ФМС (США).
Торговое название: КОММАНД.
Действующее вещество: кломазон.
2-(2-хлорбензил)-4,4-диметил-3-изоксалидин-3-он(ИЮПАК)
Светло-коричневая вязкая жидкость.
Температура плавления: 25 -С.
Температура кипения: 275 -С.
Давление паров при 25 -С: 19,2 мПа.
Коэффициент распределения н-октанол/вода: K logP = 2,5.
Хорошо растворим в ацетоне, гексане, этаноле, метаноле,
хлороформе, дихлорметане и ацетонитриле; растворимость в воде -
1,10 г/куб. дм. Стабилен при комнатной температуре не менее 2 лет, при 50 -С - не менее 3 месяцев.
Краткая токсикологическая характеристика: Острая пероральная
токсичность (LD) для крыс - 1369 - 2077 мг/кг; острая дермальная
токсичность (LD) для крыс - более 2000 мг/кг; острая
ингаляционная токсичность (LC) для крыс - 4,8 мг/куб. дм (4 ч).
Гигиенические нормативы. ПДК в воде - 0,02 мг/куб. дм.
Область применения препарата. Кломазон - гербицид избирательного действия, применяемый для борьбы со злаковыми и двудольными сорными растениями в посевах сои и риса при довсходовом или предпосевном внесении.
2. Методика определения кломазона в воде
хроматографическими методами
2.1. Основные положения
2.1.1. Принцип методики
Методика основана на извлечении кломазона из анализируемой пробы гексаном, концентрировании экстракта и последующем количественном определении альтернативными методами:
высокоэффективной жидкостной хроматографией (ВЭЖХ) с
ультрафиолетовым детектором, газожидкостной хроматографией (ГЖХ) с детектором постоянной скорости рекомбинации или тонкослойной хроматографией (ТСХ). Количественное определение проводится методом абсолютной калибровки.
2.1.2. Избирательность метода
В предлагаемых условиях метод специфичен в присутствии глобальных загрязнителей окружающей среды: хлорпроизводные циклопарафинов (изомеры ГХЦГ), соединений дифенильного ряда (ДДТ и его производные), их метаболитов - полихлорированных бензолов и фенолов, а также в присутствии трихлорацетата натрия, который может применяться на посевах в качестве гербицида.
2.1.3. Метрологическая характеристика метода (Р = 0,95)
Реактивы, растворы и материалы
Кломазон с содержанием д. в. 99,8%
(ФМС, США)
Азот, оч ГОСТ 9293-79
Аммиак водный, 25%-ный, ч ГОСТ 1277-81
Ацетон, ч ГОСТ 2603-79
н-Гексан, ч ГОСТ 2603-79
Водорода пероксид, 30%-ный водный раствор ГОСТ 10929-77
Изопропиловый спирт, хч ТУ 6-09-402-75
Кислота серная, хч ГОСТ 4203-77
Кислота хлороводородная (соляная), хч ГОСТ 3118-77
Метиловый спирт, хч ГОСТ
Натрия гидроксид, хч, 25%-ный водный раствор ГОСТ 4323-77
Натрия сульфат безводный, хч ГОСТ 1277-81
Серебра нитрат, хч ГОСТ 1277-81
2-Феноксиметанол, ч ТУ 6-09-3688-76
Хроматон N-AW-DMCS (0,16 - 0,20 мм)
с 5% SE-30, Хемапол, Чехия
Хроматон N-AW-DMCS (0,16 - 0,20 мм) с 1,5
ОV-17 + 1,95% QF-1, Хемапол, Чехия
Пластинки для ВЭТСХ (СССР)
Пластинки "Кизельгель 60 F-254" (ФРГ)
Пластинки "Силуфол" Чехия
Бумажные фильтры "белая лента", обеззоленные и предварительно промытые гексаном ТУ 6-09-2678-77
2.3. Приборы, аппаратура, посуда
Жидкостный хроматограф Милихром
с ультрафиолетовым детектором
Хроматографическая колонка стальная,
длиной 64 мм, внутренним диаметром 2 мм,
заполненная Силасорбом 600, зернением 5 мкм
Хроматограф газовый серии "Цвет" или
аналогичный, снабженный детектором постоянной
скорости рекомбинации (ДПР) с пределом
детектирования по линдану 4 x 10 г/куб. см
Хроматографическая колонка стеклянная, длиной
1 или 2 м, внутренним диаметром 2 - 3 мм
Микрошприц типа МШ-10, вместимостью 10 мкл ТУ 5Е2-833-024
Аппарат для встряхивания типа АВУ-6с ТУ 64-1-2851-78
Баня водяная ТУ 64-1-2850-76
Весы аналитические типа ВЛА-200 ГОСТ 34104-80Е
Камера хроматографическая ГОСТ 10565-74
Насос водоструйный ГОСТ 10696-75
Облучатель ртутно-кварцевый типа ОКН-11 ТУ 64-1-1618-77
Пульверизаторы стеклянные ГОСТ 10391-74
Ротационный вакуумный испаритель ИР-1М
или аналогичный ТУ 25-11-917-76
Установка компрессорная ТУ 64-1-2985-78
Шкаф сушильный ТУ 64-1-1411-76Е
Воронки делительные ГОСТ 3613-75
Колбы мерные, вместимостью 100 мл ГОСТ 1770-74
Цилиндры мерные, вместимостью 10, 50 мл ГОСТ 1770-74Е
Колбы грушевидные со шлифом,
вместимостью 100 мл ГОСТ 10394-72
Колбы конические, вместимостью 100 мл ГОСТ 22524-77
Пробирки центрифужные, мерные ГОСТ 25336-82Е
Пипетки, вместимостью 0,1, 1, 2, 5 и 10 мл ГОСТ 20292-74
Воронки химические, конусные, диаметром
34 - 40 мм ГОСТ 25336-82Е
2.4. Отбор проб
Отбор, хранение и подготовка проб проводятся в соответствии с
"Унифицированными правилами отбора проб сельскохозяйственной продукции, пищевых продуктов и объектов окружающей среды для определения микроколичеств пестицидов", утвержденными за N 2051-79 от 21.08.79
Отобранные пробы можно хранить в холодильнике не более 5 дней. Перед анализом воду (при наличии взвеси) фильтруют через неплотный бумажный фильтр.
2.5. Подготовка к определению
2.5.1. Метод ВЭЖХ
2.5.1.1. Подготовка подвижной фазы для ВЭЖХ
В мерную колбу вместимостью 100 мл помещают с помощью пипетки 5 мл изопопанола и 5 мл метанола, доливают до метки гексаном, перемешивают, фильтруют.
2.5.1.2. Кондиционирование колонки
Промыть колонку для ВЭЖХ смесью гексан-метанол-изопропанол (90:5:5, по объему) в течение 30 мин. при скорости подачи растворителя 100 мкл/мин.
2.5.2. Метод ГЖХ. Подготовка и кондиционирование колонки
Готовую насадку (5% SE-30 на Хроматоне N-AW-DMCS) засыпают в стеклянную колонку, уплотняют под вакуумом, колонку устанавливают в термостате хроматографа, не подсоединяя к детектору, и стабилизируют в токе азота при температуре 250 -С в течение 10 -12 ч.
2.5.3. Метод ТСХ
2.5.3.1. Приготовление проявляющих реагентов
2.5.3.1.1. Проявляющий реагент N 1
1 г нитрата серебра растворяют в 1 мл дистиллированной воды, добавляют 10 мл 2-феноксиметанола, 190 мл ацетона, 1 - 2 капли пероксида водорода, раствор перемешивают и переносят в склянку из темного стекла.
2.5.3.2.2. Проявляющий реагент N 2
0,5 г нитрата серебра растворяют в 5 мл дистиллированной воды в мерной колбе на 100 мл, добавляют 10 мл 25%-ного водного аммиака, раствор доводят до 100 мл ацетоном, перемешивают и переносят в склянку из темного стекла.
2.5.3.2. Приготовление подвижной фазы для ТСХ
В мерную колбу вместимостью 100 мл вносят 20 мл ацетона и добавляют до метки гексан, перемешивают. Смесь наливают в хроматографическую камеру слоем не более 6 - 8 мм за 30 мин. До начала хроматографирования.
2.5.4. Приготовление стандартных растворов
Основной стандартный раствор кломазона с содержанием 100 мкг/мл готовят растворением 0,010 г препарата, содержащего 99,8% д. в., в гексане в мерной колбе на 100 мл. Раствор хранится в холодильнике в течение месяца.
Рабочие стандартные растворы с концентрацией 0,4; 1,0; 2,0; 4,0; 10,0; 20 и 40,0 мкг/мл готовят из основного стандартного раствора кломазона соответствующим последовательным разбавлением гексаном.
Рабочие растворы хранят в холодильнике не более месяца.
2.5.5. Построение градуировочного графика
2.5.5.1. Градуировочный график А (измерение по п. 2.7.1, ВЭЖХ)
Для построения градуировочного графика в инжектор хроматографа вводят по 5 мкл рабочего стандартного раствора кломазона с концентрацией 4,0; 10,0; 20,0 и 40 мкг/мл.
2.5.5.2. Градуировочный график В (измерение по п. 2.7.2, ГЖХ)
Для построения градуировочного графика в испаритель хроматографа вводят по 5 мкл рабочего стандартного раствора кломазона с концентрацией 0,4; 1,0; 2,0; 4,0 и 10,0.
Осуществляют не менее 5 параллельных измерений. Находят среднее значение высоты хроматографического пика для каждой концентрации. Строят градуировочный график (А или В) зависимости высоты хроматографического пика в мм от концентрации кломазона в растворе в мкг/мл.
2.6. Описание определения
100 мл анализируемой пробы воды помещают в делительную воронку вместимостью 250 мл, приливают 10 мл 25%-ного водного раствора гидроксида натрия, перемешивают и добавляют 20 мл н-гексана. Воронку встряхивают в течение 3 мин., после разделения фаз гексановый слой сливают в грушевидную колбу вместимостью 100 мл, пропуская его через слой безводного сульфата натрия, помещенного в конической воронке на складчатом бумажном фильтре. Извлечение препарата из водной пробы повторяют еще дважды, используя по 20 мл н-гексана. Объединенный гексановый экстракт упаривают на ротационном вакуумном испарителе при температуре 40 -С почти досуха, остаток отдувают потоком воздуха или азота особой чистоты. Сухой остаток растворяют в 0,1 (ВЭЖХ, ТСХ) или 0,25 мл (ГЖХ) н- гексана и анализируют одним из хроматографических методов.
2.7. Условия хроматографирования
2.7.1. ВЭЖХ
Жидкостный хроматограф с ультрафиолетовым детектором Милихром (Россия).
Колонка стальная длиной 64 мм, внутренним диаметром 2 мм,
заполненная Силасорбом 600, зернением 5 мкм.
Температура колонки: комнатная.
Подвижная фаза: гексан-изопропанол-метанол (90:5:5, по объему).
Скорость потока элюента: 100 мкл/мин.
Рабочая длина волны: 240 нм.
Чувствительность: 0,4 ед. абсорбции на шкалу.
Объем вводимой пробы: 5 мкл.
Время выхода кломазона: около 6 мин.
Линейный диапазон детектирования: 20 - 200 нг.
Образцы, дающие пики большие, чем стандартный раствор с концентрацией 40 мкг/мл, разбавляют подвижной фазой для ВЭЖХ.
2.7.2. ГЖХ
Хроматограф газовый "Цвет-570" с детектором постоянной скорости рекомбинации ионов.
Колонка стеклянная длиной 1 м, внутренним диаметром 3 мм, заполненная Хроматоном N-AW-DMCS с 5% SE-30 (0,16 - 0,20 мм).
Рабочая шкала электрометра 64 x 10 10Ом.
Скорость движения ленты самописца 200 мм/ч.
Температура термостата колонки - 190 -С
детектора - 300 -С
испарителя - 220 -С
Скорость газа-носителя (азота) - 60 мл/мин.
Объем вводимой пробы - 5 мкл.
Время выхода кломазона - 2,5 мин.
Линейный диапазон детектирования: 2 - 50 нг.
Образцы, дающие пики большие, чем стандартный раствор с концентрацией 10 мкг/мл, разбавляют гексаном.
Для повышения точности идентификации кломазона при совместном присутствии в пробе гамма-ГХЦГ, имеющего близкое время удерживания, кломазон удаляется из пробы обработкой концентрированной серной кислотой. Повторный анализ пробы позволяет установить вклад кломазона в первичный хроматографический сигнал.
2.7.3. ТСХ
Гексановый раствор в колбе, полученный по п. 2.6 количественно
(или его аликвотную часть) наносят на хроматографические пластинки "Силуфол", "Кизельгель 60F-254" или "Пластинки для ВЭТСХ". Рядом наносят стандартные растворы в объеме, соответствующем содержанию кломазона 1, 2, 5 и 10 мкг. Пластинку помещают в камеру для хроматографирования, содержащую смесь н-гексан-ацетон (4:1, по объему). После развития хроматограммы пластинку вынимают из камеры, помещают ее под тягу до испарения растворителей, затем обрабатывают одним из проявляющих реагентов и помещают под ультрафиолетовую лампу на 5 мин. Зона локализации препарата на пластинках "Силуфол", "Пластинках для ВЭТСХ" и "Кизельгель 60F- 254" проявляется в виде серо-бурых пятен с величиной Rf 0,35, 0,85 и 0,43, соответственно. Для определения кломазона методом ТСХ можно использовать пластинки "Алюграм" и "Полиграм" (производства ФРГ). Величина Rf кломазона на этих пластинках составляет 0,37 и 0,38, соответственно.
3. Требования техники безопасности
Необходимо соблюдать общепринятые правила безопасности при работе с органическими растворителями, токсичными веществами, электронагревательными приборами.
4. Контроль погрешности измерений
Оперативный контроль погрешности и воспроизводимости измерений осуществляется в соответствии с рекомендациями МИ 2335-95. ГСИ "Внутренний контроль качества результатов количественного химического анализа".
5. Разработчики
Юдина Т.В., Федорова Н.Е. (ФНЦГ им. Ф.Ф. Эрисмана).
Давидюк Е.И. (УкрНИИГИНТОКС, г. Киев); Кисенко М.А., Демченко В.Ф. (Институт медицины труда АН и АМН Украины, г. Киев).
1