Геоінформаційні системи як системи вивчення, аналізу та оцінки впливу екологічних факторів на навколишнє середовище
Міністерство освіти і науки України
Чернігівський державний педагогічний університет імені Т.Г. Шевченка
Кафедра ботаніки, зоології та охорони природи
КУРСОВА РОБОТА
Геоінформаційні системи як системи вивчення, аналізу та оцінки впливу екологічних факторів на навколишнє середовище
Виконала: студентка 45 групи
Бусел Н.М.
Науковий керівник: к.б.н., доц. кафедри
ботаніки, зоології та охорони природи
Карпенко Ю.О.
Чернігів – 2007
ЗМІСТ
ВСТУП
РОЗДІЛ 1 Поняття про геоінформаційні технології, їх класифікація та місце в сучасній екології
1.1 Поняття про ГІС
1.2 Класифікація ГІС
1.3 Геоінформаційні системи в екології
РОЗДІЛ 2 Концептуальне моделювання геоінформаційних систем в системі моніторингу
2.1 Поняття про концептуальне моделювання
2.2 Парадигми в технології обробки геопросторових даних
2.3 Концептуальна модель узагальненої ГІС
2.4 Концептуальне моделювання геопросторових даних
2.5 Трирівнева архітектура геоінформаційних ситем
РОЗДІЛ 3 Геоінформаційні системи новий крок в дослідженні земельних ресурсів
ВИСНОВКИ
СПИСОК ВИКОРИСТАНИХ ДЖЕРЕЛ
ВСТУП
Розвиток сучасних технологій передбачає комп`ютеризацію практично всіх систем аналізу та спостереження. Новий вік технічного розвитку характеризується появою геоінформаційних ситем (ГІС). Геоінформаційні технології, ГІС-технології — технологічна основа створення географічних інформаційних систем, що дозволяють реалізувати їхні функціональні можливості. Для створення і функціонування ГІС необхідні комп'ютерна техніка, відповідне програмне забезпечення, початкові дані, включаючи атрибутивні, і, звичайно ж, люди, що уміють не тільки користуватися комп'ютером і програмним забезпеченням, а осмислено з їх допомогою оперувати інформацією, зокрема що має і просторову складову.
У сучасних ГІС з'явилася можливість тривимірного представлення території. Тривимірні моделі об'єктів, що упроваджуються в 3-мірний ландшафт, спроектований на основі цифрових картографічних даних і матеріалів дистанційного зондування, дозволяють підвищити якість візуального аналізу території і забезпечують ухвалення зважених рішень з більшою ефективністю. Сучасні геоінформаційні системи і засновані на них технологічні рішення потрібні не тільки крупним регіонам, містам або підприємствам і відомствам з розкиданими на обширній території об'єктами, але і невеликим населеним пунктам, які поки, як правило, слабо залучені в процеси геоінформатізації.
Мета роботи полягає в тому, що проаналізувати місце геоінформаційних систем в системі сучасного екологічного дослідження стану навколишнього природного середовища.
Завдання роботи:
розглянути поняття про геоінформаційні технології, їх класифікація та місце в сучасній екології;
проаналізувати суть концептуального моделювання геоінформаційних систем в системі моніторингу;
охарактеризувати можливості використання геоінформаційних систем в дослідженні земельних ресурсів.
РОЗДІЛ 1 Поняття про геоінформаційні технології, їх класифікацію та місце в сучасній екології
1.1 Поняття про ГІС
Поняття "геоінформатика", "географічна інформаційна система" аналізуються в багатьох публікаціях [1,4,13]. На сторінках наукової періодики та в монографіях продовжується дискусія - чого більше в геоінформатиці: географії, геодезії, математики чи інформатики? Не вступаючи дискусію, зупинимося на визначеннях, які найбільш повно розкривають проблему. Мова йде про нову предметну сферу - геоінформатику, в назві якої визначається як сам гіперскладний об'єкт дослідження у вигляді геосистеми, так і комплексний метод його дослідження на основі комп'ютерних інформаційних технологій.
Предметом геоінформатики, як і географії, є географічна оболонка Землі завтовшки в декілька кілометрів (атмосфера, літосфера, гідросфера, біосфера), а також процеси взаємодії всіх її складових. Враховуючи роль і вплив людини на природу, в геосистему включають також соціосферу і техносферу. До фундаментальних методів і принципів географічного підходу в вивченні геосистеми відносять: територіальність, комплексність, конкретність і глобальність на основі використання загальної для географічної науки картографічної мови [3, 57].
Інформатика вивчає закономірності та методи збору, накопичення, передачі й обробки інформації з використанням електронних обчислювальних машин [5, 8]. Виходячи з цього, можна конкретизувати предмет і задачі геоінформатики, які полягають у дослідженні інформаційних потоків про геосистему, у вивченні закономірностей та методів збору, накопичення, передачі й обробки інформації про об'єкти та явища геосистеми з використанням комп'ютерних технологій. Сутність геоінформаційного методу дослідження полягає в реалізації методів та принципів географічного підходу до вивчення геосистеми на основі інформаційних технологій збору даних, створення комп'ютерних баз знань та баз геопросторових даних, програмних засобів просторового аналізу та моделювання, а такожмови взаємодії в системі "людина - комп'ютер" за електронними картами та комбінованими геозображеннями.
Геоінформатика, яка має корені у двох метанауках (географія та інформатика), також розглядається як метанаука, оскільки вона багатоаспектна за своїм застосуванням в інформаційному моделюванні різних явищ і об'єктів, що характеризуються просторово-часовими властивостями, а також має багато розділів, де вивчаються і розробляються спеціальні методи та системи обробки і використання геопросторових даних [4].
Геоінформаційні системи є практично-цільовим продуктом геоінформатики, організаційно-технологічним середовищем активізації геоінформаційних ресурсів локальних територій, регіонів, країн і світу в цілому. ГІС розглядають як сукупність засобів інформаційних технологій для збору геопросторових даних, створення і використання цифрових моделей геосистеми із застосуванням усього арсеналу методів і засобів комп'ютерної обробки та візуалізації інформації, формалізації та накопичення знань, у тому числі й на основі комунікативної потужності інформаційних мереж.
ГІС надає географам (а точніше - усім геоспеціалістам: геодезистам, геологам, геофізикам, картографам та багатьом іншим) такі засоби обробки просторової інформації, "які вони шукали на упродовж 2000 років. ГІС є одночасно телескопом, мікроскопом, комп'ютером і копіювальною машиною для цілей регіонального аналізу і синтезу"[15]. Але застосування геоінформаційних систем не обмежується суто географічними проблемами, уже сьогодні вони потенційно здатні забезпечити просторово-часовою інформацією усі ланки моделювання та управління в різноманітних сферах професійної діяльності (управління територіями, військова справа, кадастри природних ресурсів і нерухомості, екологія, навігація і транспорт, містобудування тощо). Завдяки ГІС зростає роль географічної інформації як загальнолюдського та соціального предмету споживання.
1.2 Класифікація ГІС
Виходячи з високого ступеня міждисциплінарності ГІС, в основу класифікації можна покласти такі групи ознак (мал. 1):
за призначенням - цільове використання та характер задач, що вирішуються;
за проблемно-тематичною орієнтацією - сфера застосування;
за територіальним охопленням - розмір території, що представлена в базі геопросторових даних;
за переважним способом організації геопросторових даних — формати введення, зберігання, обробки і відображення географічної інформації;за ступенем доступу та використання геопросторових даних - рівень інформаційних мереж, в середовищі яких функціонує система (від глобальних до локальних обчислювальних мереж - ЛОМ).

Мал. 1. Типи ГІС за класифікаційними ознаками.
Ця система ознак утворює п'ятивимірний простір класифікації ГІС, в якому певна геоінформаційна система може бути асоційована з точкою, координати якої відповідають класифікаційним ознакам геоінформаційної системи. Так, кадастрова ГІС може бути дослідною, охоплювати територію певного регіону, базуватися переважно на векторних форматах просторових даних та мати доступ до корпоративної мережі.
1.3 Геоінформаційні системи в екології
Становлення екологічного управління і регулювання екологічних процесів вимагає серйозної технічної підтримки і використання сучасних технологій для вирішення задач різного плану і різного масштабу, пов’язаних з охороною довкілля на рівнях від локального до загальнонаціонального. Важко заперечити той факт, що переважна більшість інформації має географічний аспект і тому її можна просторово аналізувати і наочно представляти у вигляді карт, схем, діаграм, графіків та малюнків. Для ефективного аналізу і візуалізації просторової інформації існують потужні засоби – геграфічні інформаційні системи (ГІС), які не лише дозволяють створювати електронні карти на основі високовмісних баз даних, але з допомогою різнопланового аналізу наявної просторової інформації вирішувати проблеми різної складності в галузях
охорони навколишнього природного середовища
управління використанням природних ресурсів
екологічного менеджменту.
Досвід показує, що використання ГІС технологій від фірми ESRI робить управління в галузі охорони довкілля значно ефективнішим і дозволяє вирішувати завдання швидко, творчо, грамотно, на основі даних, що постійно оновлюються.
Геоінформаційні системи й технології — це сучасні комп'ютерні технології для картографування й аналізу об'єктів природи, а також подій, що відбуваються на планеті, в нашій життєдіяльності; це важливий засіб розуміння стану довкілля й управління ним. У світі ГІС розробляються з початку 70-х років XX ст. і широко використовуються в ландшафтній архітектурі й генеральному плануванні.
Геоінформаційні системи дають змогу швидко й комплексно інтерпретувати накопичену інформацію, маніпулювати нею, оперативно її поновлювати та аналізувати, поєднувати з прийняттям управлінських рішень на різних рівнях: локальному, регіональному, глобальному.
Як образно-знакові геоінформаційні моделі дійсності ГІС основуються на автоматизації інформаційних процесів, базах картографічних і аерокосмічних даних. ГІС дають змогу обробляти значний обсяг фактичних і картографічних даних, аналізувати їх узгоджено з конкретними об'єктами й територіями. Головна цінність такої інформаційної системи з позиції управління полягає в можливості прив'язки всіх даних до об'єкта з координатами х, у, (г), автоматичного збільшення чи зменшення масштабу карт. При геоекологічному менеджменті ГІС істотно полегшують процес прийняття рішень.
В Україні перші спроби створення ГІС здійснено наприкінці 70-х років XX ст. Одна з них — це розробка містобудівної інформаційної системи для Києва, в якій планувалося звести інформацію про природні умови системи місто—передмістя, представити узагальнені дані про об'єкт, скласти мікрокліматичну карту, виконати розрахунки температури, швидкості вітру, поширення зон викидів промислових підприємств на певній площі за різних метеорологічних умов.
Нині в Україні ГІС-технології набули широкого розвитку. Державними установами розроблено векторні тематичні карти масштабу 1 : 200 000 для всієї країни та 1 : 50 000 для окремих територій.
ГІС широко впроваджуються в управління заповідними територіями. Так, у Канаді в штаті Альберта створюється ГІС для заповідників; було визнано, що вона ефективна для менеджменту в 41 сфері, в тому числі для аналізу власності на землю, управління фінансами, екологічної оцінки територій, визначення стабільності екосистем тощо.
В Україні є практика застосування ГІС в управлінні заповідними територіями — Карпатського національного природного парку, заповіднику Розточчя; розроблено менеджмент-план водно-болотних угідь Сиваша.
РОЗДІЛ 2 Концептуальне моделювання геоінформаційних систем в системі моніторингу
2.1 Поняття про концептуальне моделювання
Концептуальне моделювання - одна з найважливіших складових сучасної методології розробки інформаційних систем. Концептуальна модель (KM) визначається як "формальне подання проблемної сфери на поняттєвому рівні" [1, 15]. При концептуальному моделюванні ігноруються технологічні деталі реалізації систем з метою дослідження об'єктів проблемної сфери, їх властивостей та взаємодії на більш високому рівні абстрагування (концептів - понять і термінів). Фактично мова йде про формування бази знань певної предметної сфери. Від повноти та якості концептуальної моделі значною мірою залежить увесь життєвий цикл інформаційної системи, включаючи ефективність її супроводження та розвитку на етапі експлуатації. Концептуальна модель містить метазнання, метадані та знання про систему, вона відіграє роль своєрідного містка між майбутніми користувачами і розробниками системи. KM не є самоціллю, вона створюється як основа цілісного та узгодженого проектування усіх інших компонентів системи. З огляду на це, концептуальне моделювання повинно забезпечувати такі основні функції:
підтримувати структури та засоби, котрі дозволяють відображати знання про предметну сферу і систему прозоро та ясно для кращої взаємодії розробників і користувачів системи;
містити такі конструкції, які достатні для найповнішого уявлення особливостей предметної сфери і самої системи;
надавати засоби перетворення KM в реалізаційні моделі (тобто в логічну та фізичну модель даних, у специфікації програмних компонентів, у граматики мов взаємодії тощо).
Предметна сфера ГІС являє собою складну систему (конгломерат) наших уявлень про відповідні категорії об'єктів і явищ реального світу. Вона відображає існуючий рівень наших знань із багатьох галузей науки і техніки: геодезії, географії, картографії, дистанційного зондування землі, фотограмметрії, дискретної математики, обчислювальної геометрії, математичної статистики та інших розділів математики, системного аналізу, теорії баз даних, програмування, комп'ютерної графіки, нових інформаційних технологій, теорії автоматизованих інформаційних систем та багатьох інших.
2.2 Парадигми в технології обробки геопросторових даних
Домінуючу роль картографічного моделювання та картографічної взаємодії в географічному підході важко переоцінити, адже якраз карта традиційно поєднує модельно-пізнавальну і комунікативну функції взаємодії усіх суб'єктів на всіх етапах життєвого циклу інформаційного продукту (замовників, виконавців і споживачів). Упродовж століть просторові дані і знання фіксувалися, накопичувалися та передавалися переважно в картографічній формі. Природно, що основним джерелом просторових даних для ПС до певного часу були картографічні матеріали. В технології збору та обробки просторових даних переважав картографічний підхід (мал. 2, а): на основі зібраних первинних даних спочатку створювалася карта, яка вподальшому сканувалася та векторизувалася з метою формування цифрової картографічної моделі для ГІС. В.А. Кайнц ще в 1987 р. підкреслював: "коли ми намагаємося створити моделі для картографічних об'єктів, то найчастіше поглядаємо на звичайні карти, тобто моделюємо модель реальності, а не саму реальність. У майбутній роботі основна увага має бути спрямована на пошук концепцій та абстракцій фактів реального cвіту”[16].

Мал. 2. Технології збору й обробки геопросторових даних при картографічному (а) та інформаційному (б) підходах.
Розвиток ГІС, GPS, цифрової фотограмметрії та цифрових методів ДЗЗ зумовив становлення наскрізних інформаційних технологій збору та обробки геопросторових даних (мал. 2, б), спричинив трансформацію геоінформаційних методів у самому картографуванні [1, 12]. Первинною продукцією інформаційних технологій є бази геопросторових даних, моделі об'єктів у яких не зазнають картографічних "спотворень", оскільки вони не зазнають ні генералізації, ні змін складу та роздільної здатності в контексті певного масштабу карти. Об'єкти в таких моделях відображаються з точністю й роздільною здатністю геодезичних вимірів та застосовуваних технологій збору первинних даних. Цифрові картографічні моделі, як і моделі інших геозображень, а також самі карти, перетворюються в похідну (від баз геопросторових даних) продукцію.
2.3 Концептуальна модель узагальненої ГІС
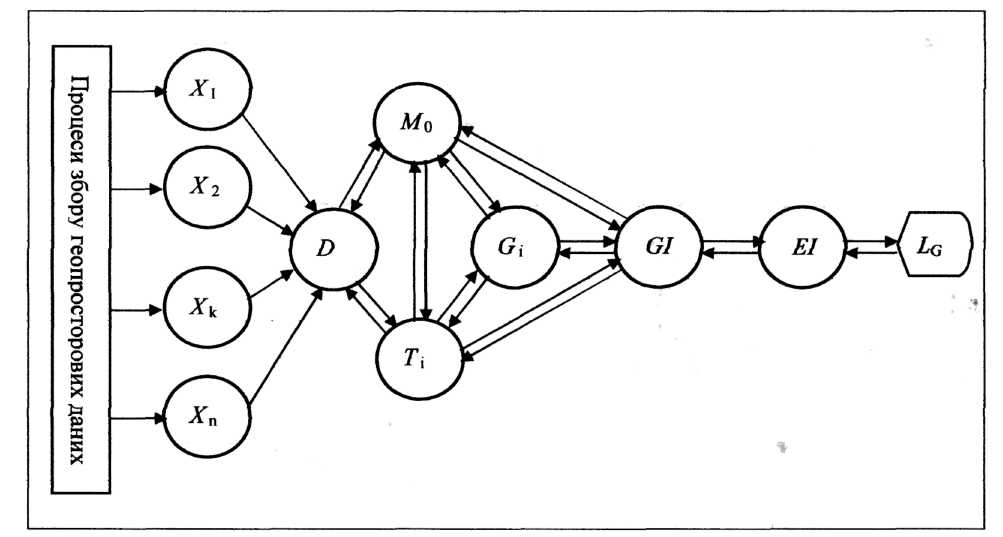
Концептуальна модель узагальненої ГІС як модель обробної системи (мал. 3) відображає процеси перетворення сукупності вхідної множини первинних даних у множину моделей в базі геопросторових даних та у множину комплексних геозображень, які надаються користувачам системи як результат моделювання для аналізу стану геосистеми та прийняття управлінських рішень. Термін "узагальнена ПС використано для підкреслення факту абстрагування від конкретної сфери її застосування.

Рис. 3. Концептуальна модель ГІС як обробної системи.
Формально така система С визначається як сукупність вхідних, проміжних і вихідних моделей геопросторових даних, процесів їх обробки і перетворення та формальних мов взаємодії процесів між собою і користувачів з системою. її можна записати так:
С = {X, D Mo, T, G, GI, El, F>ij>, L},
де: X - множина вхідних даних одержаних в процесі топографо-геодезичних знімань, GPS вимірювань, ДЗЗ тощо; D - база упорядкованих вхідних даних в уніфікованих форматах; Мо - модель базового набору геопросторових даних; Т - множина тематичних моделей геопросторових даних; G - множина моделей даних за спеціальними просторовими (геометричними) схемами, в тому числі тривимірні (3D) цифрові моделі рельєфу та місцевості; GI - цифрові моделі карт та інших геозображень; ЕІ - цифрові моделі електронних геозображень; F>ij>:Mi→Mj - функції перетворення моделі М>і> в модель Mj, в томучислі: F>xd>:Xi → D - перетворення первинних даних в уніфіковані формати, F>dm>: D → M>о> - створення (оновлення) моделі базового набору геопросторових даних на основі первинних; F>dm>:D → Т>і> - створення тематичних моделей геопросторових даних на основі первинних, а також аналогічні прямі й зворотні перетворення для усіх інших моделей (в напрямку стрілок між моделями на мал. 3); L - множина формальних мов та інтерфейсів взаємодії процесів, у тому числі мова LG для подання електронних геозображень користувачам системи та інтерактивного доступу користувачів до гепросторових даних і програм їх обробки.
З точки зору користувачів можна говорити про комплексне перетворення вхідних даних в електронні геозображення F>d_ei>: D → EI, в якому відбір моделей геопросторових даних та методів їх обробки визначається задачами та запитами користувачів. Але концептуально важливо розрізняти моделі геопросторових даних та моделі цифрових і електронних карт. Це різні сутності і за змістом і за структурою. Картографічне зображення описується в термінах мови умовних картографічних знаків, які означають, наприклад, тип, товщину та колір лінії, розмір та орієнтацію позамасштабного знака або тип і розмір шрифту для зображення написів, тощо.
Перетворення Fm_gi_ei:M>0>→GI→EI, Ft_gi_ei:T→GI→EI, Ft_gi_ei:G→GI→EI відносяться до перетворення з мови геоінформаційних моделей в мову засобів відображення електронних карт та інших геозображень. Моделі даних Мо, Т, G орієнтовані на програми просторового (геоінформаційного) аналізу і моделювання реального світу, а моделі GI, ЕІ описують картографічні зображення, орієнтовані на сприйняття людиною. В існуючій концепції цифрових карт, яка досі переважає в сучасних ГІС, на жаль, еклектично змішано зміст моделі геопросторових даних та моделі електронної карти. Такі цифрові картографічні моделі, з одного боку, не відповідають повною мірою вимогам геоінформаційного моделювання, а з іншого, є надлишковими для електронного відображення.
Для географічної інформації зв'язок "задача - джерело даних - дані - модель даних" є дуже важливим, оскільки деякі задачі можуть вирішуватися з різними обчислювальними витратами на різних моделях даних, а деякі - виключно на певних моделях даних (наприклад, пошук оптимального шляху можливий тільки на мережних моделях, а морфологічний аналіз рельєфу потребує його тривимірної моделі). Як правило, дані одержують у цифровій формі, яка залежить від технології їх збору, а потім перетворюють в інші форми, вибір яких визначається задачами моделювання і способами узагальнення та відображення результатів.
Інтегрування інформації з різних джерел та з різних форм уявлення ґрунтується на використанні єдиної для усіх моделей системи координат та єдиного базового набору геопросторових даних. До складу останнього входять геодезична (математична) основа, об'єкти гідрографії, рослинність, мережа транспортних шляхів, межі адміністративно-територіальних утворень.
Основний зміст зворотних перетворень у напрямку від користувача до моделей геопросторових даних полягає у визначенні набору об'єктів, що потрапляють у сферу інтересу (запит) користувача за просторово визначеною межею території дослідження та (або) за певними значеннями характеристик об'єктів. Підкреслимо, що карти і комплексні геозображення, але вже в електронному (екранному) варіанті, продовжують і в ГІС відігравати важливу роль. Вони залишаються не тільки засобом найбільш адекватного відображення моделі геопросторових даних на екрані дисплею, а й перетворюються в зручний інструмент динамічного доступу і взаємодії користувачів з базою геопросторових даних.
Ключовими словами картографічного моделювання в ПС стають „взаємодія” і "динаміка". Дослідники та й пересічні користувачі бажають, "натиснувши мишкою" на карті, одержати безпосередню та негайну реакцію системи з більш деталізованою інформацією про вибрані об'єкти (земельні ділянки, пам'ятки історії, будівлі, комунікації, шляхи, стан довкілля тощо) або, наприклад, одержати зображення та опис найкоротшого шляху між заданими пунктами, а, можливо, і "проїхати" по ньому з використанням комп'ютерних мультимедійних засобів та анімації. Остання, до речі, надає такі можливості просторово-часового моделювання, яких традиційна картографія ніколи не мала. Геозображення формуються з динамічною зміною масштабу, а їх зміст залежить переважно від повноти бази геопросторових даних, потреб і запитів користувачів, а не від картографічних правил і бачення картографів.
Таким чином, ГІС демократизує картографію і картографічне моделювання, оскільки географічні знання, створені й накопичені в програмах і базах даних, стають потенційно доступними усім зацікавленим користувачам (організаціям, професіоналам і пересічним громадянам). Як свого часу персональні комп'ютери забезпечили доступ до складних програм професіоналам без посередників-програмістів, так і ГІС перетворює в прямих учасників картографічного моделювання мільйони користувачів без посередників-картографів.
2.4 Концептуальне моделювання геопросторових даних
В ГІС ще й сьогодні переважає парадигма винятковості геопросторових даних, наслідком якої є різноманіття підходів та форматів від різних виробників інструментальних ГІС поряд з високим рівнем уніфікації представлення і обробки фактографічних даних в універсальних системахкерування базами даних (СКБД) на рівні стандартної мови SQL та уніфікованих механізмів і засобів доступу до даних. Така ситуація на початкових етапах розвитку ГІС, що випали на 80-ті роки минулого століття, мала об'єктивні причини, оскільки технології фактографічних даних дійсно не могли запропонувати геоінформатиці готових ефективних рішень для обробки просторових даних. Розширення сфер застосування ГІС у 90-х роках та їх практична спроможність перетворитися в засіб інтегрування різноманітних даних про навколишнє середовище стимулювали розвиток в універсальних СКБД засобів для представлення та маніпулювання просторовими і багатовимірними даними [7]. В геоінформаційних системах третього покоління ми спостерігаємо повне інтегрування ГІС з універсальними СКБД, а також їх вихід у глобальний інформаційний простір через Internet.
Така технологічна "зрілість" ПС, з точки зору універсальних методів інформаційних технологій, та ідеї об'єктно-орієнтованого погляду на світ при проектуванні інформаційних систем створюють умови для переходу на вищий теоретичний і практичний рівень в моделюванні і проектуванні геоінформаційних систем. Стосовно концептуального моделювання геопросторових даних це означає перехід від "графічного примітивізму" (з його основними концептами: "шар об'єктів", "лінійний об'єкт", "полігональний об'єкт", "точковий об'єкт або позамасштабний знак" тощо) до об'єктно-орієнтованих моделей реального світу, які ґрунтуються на категорії класів об'єктів, що мають просторові та фактографічні властивості, а також різноманітні просторові, топологічні та семантичні зв'язки і відношення.
"Графічний примітивізм" при моделюванні геопросторових даних успадкований від картографії, коли об'єкти розбиваються на групи за типом просторової локалізації. При цьому, як справедливо зазначено у праці [10], поняття просторової локалізації підмінюється поняттям розмірності, оскільки усі об'єкти розділяються на точкові, лінійні та площинні. Реальні ж об'єкти є фізичними тілами (дискретними об'єктами) або полями, а їх локалізація може бути точковою, лінійною, смуговою, площинною, просторовою, комбінованою і глобальною. Поля мають глобальний тип локалізації, оскільки існують у будь-якій точці земної поверхні або її частини, що моделюється. Дискретні об'єкти можуть мати будь-який тип просторової локалізації, крім глобального, а також мати множинне уявлення (multiple representations) геометричними моделями в базі геопросторових даних. Наприклад, вулиці можуть бути представлені осьовими лініями, двома осьовими у відповідності з напрямками руху, осьовими окремих сегментів або площинними (смуговими) об'єктами окремих ділянок. Разом з тим, осьові сегменти вулиць можуть входити до складу комплексного об'єкта типу вулично-дорожньої мережі або типу "маршрут певного транспортного засобу". Сказане, справедливе для моделювання річок, мережі залізниць тощо.
Таким чином, маємо досить складні відношення як між об'єктами реального світу та їх просторовими моделями, так і між певними елементами графічної моделі й моделями реальних об'єктів на рівні ситуаційного встановлення відношень. Аналогічно поля можуть бути представлені регулярними та нерегулярними сітками, TIN-моделями, ізолініями тощо. Для об'єктів реального світу характерні також відношення агрегування, композиції та асоціації, які практично не реалізуються в ПС з графічним підходом до геоінформаційного моделювання.
Загальні принципи визначення змісту концептуальних схем (КС) та підходи до моделювання проблемних сфер сформульовані в ДСТУ 3329 - 96 (ТОСТ 34.320 - 96) [7], який відповідає міжнародному стандарту ISO/TR 9007:1987 "Concepts and terminology for the conceptual schema and the information base". До основних складових змісту КС належать: описи класів (типів) сутностей проблемної сфери; описи понять, які найменше піддаються змінам; внесення правил або обмежень, які мають широкий вплив на поведінку проблемної сфери.
У стандартах рекомендовані два загальних принципи концептуальних схем: принцип 100 відсотків та принцип концептуалізації. Згідно з "принципом 100 відсотків" усі загальні аспекти проблемної сфери повинні бути описані в КС, причому інформаційна система не може відповідати за недотримання правил і законів, описаних поза концептуальною схемою. Згідно з "принципом концептуалізації" КС повинна містити статичні та динамічні аспекти проблемної сфери лише концептуального рівня, не торкаючись зовнішніх і внутрішніх аспектів подання та організації даних. Основними підходами до моделювання інформаційних систем та баз даних є: об'єктно-орієнтований підхід (ООП), підходи "сутність-атрибут-зв'язок"; підходи на основі бінарних і елементарних n-арних відношень та підходи на основі інтерпретованої логіки предикатів.
Об'єктно-орієнтований підхід в останні роки набув найбільшого поширення. Він охоплює всі етапи життєвого циклу інформаційних систем від концептуального моделювання до програмування, експлуатації та модернізації. ООП прийнятий за основу також і при розробці серії стандартів ISO 19100 - Географічна інформація/Геоматика [9], в яких для концептуального моделювання широко використовується уніфікована мова моделювання UML (Unified Modeling Language) [11], мова опису інтерфейсів IDL (Interface Description Language) та мова об`єктних обмежень OCL (Object Constraint Language). Принципи застосування сучасних засобів моделювання для концептуальних схем геопросторових даних представлені в проектах відповідних стандартів серії ISO 19100, в тому числі: ISO 19103 - Conceptual schema language (Мови концептуальних схем), ISO 19107
- Spatial schema (Просторова схема), ISO 19108 - Temporal schema (Часова схема), ISO 19109
- Rules for application schema (Правила для прикладної схеми).
Прикладом практичної реалізації сучасних методів концептуального моделювання геопросторових даних з застосуванням нотації UML є нове покоління ГІС-технологій від ESRI Arc GIS 8.2 [4]. Це свідчить про близькість появи на ринку повноцінних ГІС-орієнтованих CASE - засобів, які дозволяють візуально конструювати UML-схеми геопросторових даних, створювати специфікації та документувати артефакти предметної сфери на рівні концептуальних моделей класів об'єктів, відношень між ними, їх властивостей та методів поведінки. За створеними концептуальними моделями автоматично генеруються класифікатори понять, структура бази даних, специфікації програмних компонентів та макети форм діалогового інтерфейсу користувача.
2.5 Трирівнева архітектура геоінформаційних ситем
З розвитком ГІС і накопиченням в них великих об'ємів картографічних та предметних даних виникає необхідність в обміні інформацією між системами, які створювались на різних ГІС-платформах. Традиційні ГІС мали гібридну архітектуру за ознакою уніфікації обробки картографічних і атрибутних даних [1,2,3]. Для картографічних даних використовувались специфічні для кожної платформи моделі та формати, для атрибутних даних - реляційні СУБД загального призначення. Обмін картографічними даними в таких ГІС виконувався за допомогою конвертації уніфікованих (де-факто або де-юре) форматів експорту/імпорту даних і з часом архітектура традиційних ГІС вступила в протиріччя з магістральним шляхом розвитку глобальних інформаційних мереж та технологій клієнт/сервер. Специфічність картографічної компоненти була також основною причиною значної залежності від платформи програмних засобів просторового аналізу і спеціалізованих мов програмування, використовуваних для розвитку систем.
В 1996-1997 роках в арсеналі ГІС-засобів з'явились перші інструментальні рішення для побудови відкритих геоінформаційних систем (OpenGIS), які забезпечують:
• інтеграцію з сучасними об'єктно-орієнтованими візуальними засобами розробки програмного забезпечення та інтерфейсу користувача універсального призначення (Visual Basic, C++, Delphi, PowerBuilder тощо);
• динамічну інтеграцію даних з різних джерел;
• інтеграцію з системами автоматизації офісів;
• підтримку обробки геоданих з використанням технології мережі Internet.
Сьогодні компоненти відкритих ГІС є в арсеналі всіх провідних розробників ГІС-технологій. Вони розраховані на платформу Windows з використанням її основних механізмів інтеграції застосувань: об'єктних моделей (COM, DCOM, CORBA), методів інтеграції (OLE і OLE4D&M) і розробки (QLE Automation), інтерфейсу користувача (Windows), методів доступу до баз даних (ODBC), технології візуалізації (OpenGL, GDI), електронної пошти (МАРІ) та доступ до Internet і Web (Internet Services).
Від корпорації Intergraph до відкритих ГІС відносяться компоненти технології Jupiter [3,4] з її першими представниками GeoMedia та GeoMedia Web Map, від інституту ESRI - MapObjects, Spatial Database Engine (St)t) та Arc View Map Server, від Autpdesk - MapGuide та Autodesk World.
Характерними ознаками продуктів цього класу є:
• підтримка візуалізації не тільки власних графічних форматів, а й форматів конкурентів;
• можливість використання універсальних мов програмування для розробки прикладних програм;
• підтримка роботи з Oracle Spatial Data Option (SDO);
• можливість створення та редагування графічних даних (але знову ж таки в специфічних для кожної фірми форматах).
Поява цих продуктів приводить до перекривання монопольних секторів фірм-виробників ГІС технологій і в значній мірі зменшує ризик інвестицій кінцевих користувачів, але ринок важливих продуктів просторового аналізу залишається залежним від ГІС платформ виробників.
Найбільш перспективними та адекватними концепції відкритих ПС є технології ГІС з застосуванням концепції SDO, яка дозволяє застосувати єдиний підхід до накопичення та обробки як атрибутних, так і графічних даних на основі єдиної реляційної СУБД, аж до застосування розширень SQL для формування просторових запитів. Застосування технології класу SDO дозволить звести до спільного базису найбільш науковомісткі компоненти ПС: просторовий аналіз, аналіз мереж, обмін картографічними даними тощо.
Незважаючи на різноманіття функціональних можливостей та механізмів інтеграції відкритих ГІС, проблема забезпечення незалежності прикладних програм від конкретних ГІС-платформ і форматів геоданих залишається актуальною. Одним із шляхів її подолання є введення в архітектуру застосувань додаткового елементу - уніфікованого ГІС-серверу застосувань (далі ГІС-сервер) як логічного програмного процесу, що слугує посередником між прикладною програмою-клієнтом (1Ш) та інструментальними ГІС конкретних виробників (ІГІС). Мова йде про використання трирівневої архітектури ГІС: застосування, ГІС-сервер застосувань, ІГІС як сервери геоданих (див. рисунок). Для взаємодії між окремими рівнями та елементами такої архітектури можуть бути використані відповідні інтерфейси прикладного програмування (АРІ) та різноманітні механізми інтеграції застосувань. Ключовими питаннями є уніфікація (в ідеалі - стандартизація) функцій ГІС-серверу та потенційна можливість його параметризації з метою спрощення налагодження на характеристики конкретних інструментальних ГІС.


Рис. 4. Трирівнева архітектура ГІС
В більшості інструментальних ГІС проект (карта) є сукупністю тематично-орієнтованих шарів геоданих одного чи кількох споріднених форматів з атрибутами їх візуалізації і операційними характеристиками кожного. ГІС-проект трирівневого застосування може базуватися на значно більш широкому наборі форматів геоданих. Підтримка кожного з форматів забезпечується відповідною інструментальною ГІС, клієнтом якої є ГІС-сервер, а не безпосередньо прикладна програма.
Можна виділити два основні підходи до уніфікації функцій ГІС-серверу: еволюційна глобальна уніфікація широкого набору функцій як передумова стандартизації функціонального інтерфейсу переважної більшості ГІС-застосувань та локальна уніфікація в межах конкретної сфери використання ГІС-технологій чи навіть окремих прикладних програм. В рамках першого підходу доцільна параметризація ГІС-серверу для спрощення налагодження на конкретні платформи та введення спеціальної функції ESCAPE для підтримки механізму "стандартного використання нестандартних можливостей" ГІС. Метадані в базі даних характеристик та функцій ІПС призначені для реєстрації функцій конкретних інструментальних ГІС (включаючи нестандартні) на рівні синтаксису виклику функцій та опису їх параметрів.
Для більшості ГІС-застосувань достатнім буде такий мінімальний набір функцій ГІС-серверу:
1) Функції роботи з проектами та візуалізації шарів, в тому числі:
• створити новий чи відкрити існуючий проект, зберегти проект;
• візуалізувати при заданих властивостях шар карти в вікні проекту. Параметри: система світових координат, світові координати, вікно в світових координатах, дескриптор вікна Windows (hWnd), область виводу в екранних координатах, умови генералізації та графічні атрибути зображення;
2) Функції ідентифікації та виділення об'єктів:
• графічна селекція об'єктів за координатами точки або області (радіальної, прямокутної чи довільної полігональної);
• графічне виділення об'єктів за заданим списком їх ключових ідентифікаторів;
3) Функції вводу та редагування геоданих:
• одержати координати об'єкту;
• змінити координати існуючого об'єкту;
• додати новий об'єкт з його координатами;
• видалити графічний об'єкт;
4) Функції геометричного аналізу:
• визначення відстаней, довжин ламаних ліній, центроїдів полігонів;
• розрахунок периметрів та площ;
• пошук перетинів ліній;
5) Оверлейні функції:
• побудова буферних зон навколо об'єктів;
• об'єднання та перетин полігональних об'єктів;6) Функція отримання експрес-інформації про атрибути об'єкту безпосередньо від інструментальних ГІС.
База атрибутних даних застосування може бути локальною, клієнт-серверною (в тому числі побудованою за трирівневою архітектурою) або інтегрованою (на основі використання реляційних моделей геоданих по технологіях SDO чи SDE).
РОЗДІЛ 3 Геоінформаційні системи новий крок в дослідженні земельних ресурсів
Суцільне агрохімічне обстеження земель розв’язує низку важливих проблем, пов’язаних з грунтово-агрохімічним моніторингом, відновленням родючості ґрунтів, високоефективним застосуванням агрохімікатів, підвищенням продуктивності землеробства та збереженням довкілля. На сучасному етапі агрохімічний моніторинг Херсонської області проводить державний проектно-технологічний центр охорони родючості ґрунтів і якості продукції.
Одним із основних завдань, що ставиться проектно-технологічною службою, є практичне використання геоінформаційних технологій при організації та веденні еколого-агрохімічного моніторингу земель сільськогосподарського використання, а також їх безпосереднє застосування при розробці еколого - агрохімічних паспортів земельних ділянок для господарств Херсонської області.
Еколого-агрохімічна паспортизація земель проводиться за Керівним нормативним документом «Еколого-агрохімічна паспортизація полів та земельних ділянок» (1996). Методика не обмежується складанням агрохімічних паспортів оцінки родючості земель, а й висвітлює комплекс інших питань, пов’язаних з деградаційними процесами ґрунтового покриву України, моніторингом та практичними рекомендаціями високоефективного використання земельних ресурсів.
Для визначення еколого-агрохімічного стану поля, господарства, адміністративного району та області необхідно створення агрохімічних інформаційних баз даних з використанням уніфікованої технології ведення та обробки інформації. Для комплексного аналізу інформації та підготовки управлінських рішень відібрані дані агрохімічних досліджень території полів або земельних ділянок повинні бути представлені у цифровій формі і мати просторову прив’язку до:
структури землекористування господарства;
структури адміністративно – територіального поділу (коди районів, міста, населеного пункту);
структури мереж спостережень (номер ділянки агрохімічного обстеження);
ґрунтового виділу на карті (агровиробнича група, назва ґрунту, гранулометричний склад).
В центрі провідними спеціалістами сектору науково технічної інформації та комп’ютерного забезпечення впроваджується і використовується комплекс геоінформаційних систем, що складається з РС Arclnfo, Maplnfo I Surfer. Кожна з систем має певне призначення в ланцюгу обчислень і аналітики даних і безпосередньо пов’язана з особливостями тієї чи іншої системи ГІС.
Так, наприклад, за допомогою програми Maplnfo ведеться побудова тематичних карт, підготовка вихідних карт з можливістю виведення на екран та до друку. Мова програми MapBasic допомагає передавати картографічні дані в блок моделей і відображати на карті результати моделювання з максимальною точністю. Надалі з допомогою цієї програми передбачається створення системи введення просторово прив’язаної семантичної та виведення комплексної тематичної інформації. Maplnfo забезпечує створення цифрового картографічного матеріалу у растровому та векторному форматі.
Карта чітко відображає контури масиву, на ній наглядно видно площу та номер поля, вказується номер паспорту та відповідно показано вміст поживних речовин, в даному випадку – рухомого фосфору. Згідно заданих параметрів програма виведення інформації на екран відображає коливання вмісту елементу, що визначається, не тільки цифровими показниками, а й відповідним забарвленням. Це допомагає значно реальніше усвідомлювати характеристику об’єкту і вже при візуальному аналізі реально оцінювати ситуаційну задачу.
З допомогою таких карт, які мають надточну достовірність складаються еколого-агрохімічні паспорти полів або земельних ділянок для кожного господарства. Це в свою чергу зумовлює можливість не тільки визначати кількісний та якісний склад ґрунтів, а також надає можливість здійснювати агроекологічний контроль за станом земельного фонду, що використовується як в сільському господарстві, так і в інших народногосподарчих галузях.
Поєднання інформації за допомогою ГІС дає унікальну можливість для їх застосування в широкому спектрі, а саме:
за результатами агрохімічного обстеження ґрунтів розробити і впровадити технології високоефективного застосування мінеральних добрив, оптимізації доз, строків і способів їхнього внесення;
на основі даних обстежень запропонувати хімічні меліорації на вапнування кислих і гіпсування солонцевих ґрунтів;
визначити територію для вирощування екологічно чистої продукції тощо.
Використання ГІС при еколого-агрохімічному моніторингу та складанні паспортів земельних ділянок для проектно-технологічної служби забезпечить оперативність, ефективність та багатофункціональність, дасть змогу використовувати систему в широкому спектрі задач.
ВИСНОВКИ
Геоінформаці́йна система — сучасна комп'ютерна технологія, що дозволяє поєднати модельне зображення території (електронне відображення карт, схем, космо-, аерозображень земної поверхні) з інформацією табличного типу (різноманітні статистичні дані, списки, економічні показники тощо). Також, під геоінформаційною системою розуміють систему управління просторовими даними та асоційованими з ними атрибутами. Конкретніше, це комп'ютерна система, що забезпечує можливість використання, збереження, редагування, аналізу та відображення географічних даних.
Інформаційно-обчислювальна система, призначена для фіксації, збереження, модифікації, керування, аналізу і відображення усіх форм географічної інформації. ГІС використовується багатьма дослідниками в галузі вивчення проблем навколишнього середовища, для визначення різних показників на географічній сітці.
Трирівнева архітектура геоінформаційних систем, використання якої забезпечує незалежність застосувань від конкретних ГІС-платформ та форматів геоданих. Розглянуті елементи такої архітектури (застосування-клієнт, уніфікований ГІС-сервер застосувань, сервери інструментальних ГІС), функції ГІС-серверу та способи його налагодження на особливості інструментальних ПС.
Концептуальне моделювання переростає в технологію концептуального проектування інформаційних і програмних систем на основі формування поняттєвої моделі об'єктів та явищ реального світу, її відображення на множину концептів та об'єктів інших світів (програмних компонент, баз даних, мов взаємодії (інтерфейсів) "користувачі-система" та "система-система", вихідних документів тощо).
СПИСОК ВИКОРИСТАНИХ ДЖЕРЕЛ
Берлянт A.M. Геоинформационное картографирование. - М.: Астрея, 1997. - 64 с.
Берлянт A.M. Геоника. - М.: Астрея, 1996. - 208 с.
Географический знциклопедический словарь. Понятия и термины / Гл. ред. А.Ф. Трешников; Ред. кол.: З.Б. Алаев, П.М. Алампиев, А.Г. Воронцов и др. - М.: Сов. Знциклопедия, 1988. — 432 с.
Геоинформатика І А.Д. Иванников, В.П. Кулагин, А.Н. Тихонов, В.Я. Цветков. - М.: МАКС Пресе, 2001. - 349 с.
Гриценко В.И., Паньшин Б.Н. Информационная технология: вопросы развити и применения. - К.: Наук, думка. - 1988. - 272 с.
ДСТУ 3329 - 96 (ГОСТ 34.320 - 96). Інформаційні технології. Система стандартів з баз даних. Концепції та термінологія для концептуальної схеми й інформаційної бази. — К.: Держстандарт України. — 1998. - 49 с.
ДСТУ2874 - 94. Системи оброблення інформації. Бази даних. Терміни та визначення. - К.: Держстандарт України. - 1995. – 31 с.
Ершов А.П. О предмете информатики // Вест. АН СССР. - 1984. - №2. - с. 112 -113.
Карпінський Ю.О., Лященко А.А., Волчко Є.П. Стандартизація географічної інформації: міжнародний досвід та шляхи розвитку в Україні // Вісник геодезії та картографії. - 2002. -№3.-С.32-38.
Картография. Вып. 4. Геоинформационные системи: Сб. перевод. статей/Сост., ред. и предисл. A.M. Берлянд и В.С.Тикунов. - М.: Карттеоцентр-Геодезиздат, 1994. - 350 с.
Кравченко Ю. А. О типологии обьектов геоинформационного моделирования // Геодезия и картография. - 2002. - № 7. - С. 48 - 55.
Лященко А.А., Карпінський Ю.О. Архітектура та інструментарій відкритих ГІС.// Тези доп. Третьої Всеукраїнської конференції з геоінформаційних технологій "Теорія, технологія, впровадження ГІС" ГІС-ФОРУМ, К.: ГІС-Асоціація України, 1997. - С. 15-17.
Руденко Л.Г. Географічна картографія в Україні та її значення у геоінформаційному просторі // Український географічний журнал. - 2002. - №3. - С. 110 - 113.
Сербенюк С.Н. Картография и Геоинформатика - их взаимодействие / Под ред. В.А. Садовничего. — М.: Изд-во Моск. ун-та, 1990. — 159 с.
Цветков В.Я. Геоинформационные системи и технологии. - М.: Финансы и статистика, 1998. - 288 с.