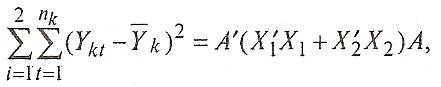
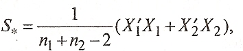
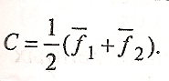
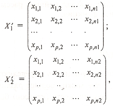
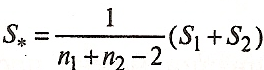
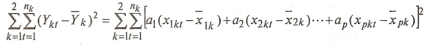
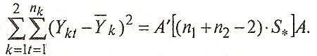
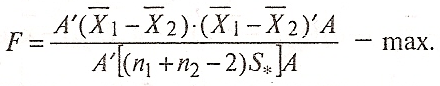
Методы дискриминантного анализа (работа 1)
Содержание
Введение
Дискриминантные функции и их геометрическая интерпретация
Расчет коэффициентов дискриминантной функции
Классификация при наличии двух обучающих выборок
Классификация при наличии k обучающих выборок
Взаимосвязь между дискриминантными переменными и дискриминантными функциями
Заключение
Список использованной литературы
Введение
Дuскрuмuнантный анализ - это раздел математической статистики, содержанием которого является разработка методов решения задач различения (дискриминации) объектов наблюдения по определенным признакам. Например, разбиение совокупности предприятий на несколько однородных групп по значениям каких-либо показателей производственно-хозяйственной деятельности.
Методы дискриминантного анализа находят применение в различных областях: медицине, социологии, психологии, экономике и т.д. При наблюдении больших статистических совокупностей часто появляется необходимость разделить неоднородную совокупность на однородные группы (классы). Такое расчленение в дальнейшем при проведении статистического анализа дает лучшие результаты моделирования зависимостей между отдельными признаками.
Дискриминантный анализ оказывается очень удобным и при обработке результатов тестирования отдельных лиц. Например, при выборе кандидатов на определенную должность можно всех опрашиваемых претендентов разделить на две группы: «подходит» и «не подходит».
Можно привести еще один пример применения дискриминантного анализа в экономике. Для оценки финансового состояния своих клиентов при выдаче им кредита банк классифицирует их на надежных и не надежных по ряду признаков. Таким образом, в тех случаях, когда возникает необходимость отнесения того или иного объекта к одному из реально существующих или выделенных определенным способом классов, можно воспользоваться дискриминантным анализом.
Аппарат дискриминантного анализа разрабатывался многими учеными-специалистами, начиная с конца 50-х годов ХХ в. Дискриминантным анализом, как и другими методами многомерной статистики, занимались П.Ч. Махаланобис, Р. Фишер, Г.Хотеллинг и другие видные ученые.
Все процедуры дискриминантного анализа можно разбить на две группы и рассматривать их как совершенно самостоятельные методы. Первая группа процедур позволяет интерпретировать различия между существующими классами, вторая - проводить классификацию новых объектов в тех случаях, когда неизвестно заранее, к какому из существующих классов они принадлежат.
Пусть
имеется множество единиц наблюдения -
генеральная совокупность. Каждая единица
наблюдения характеризуется несколькими
признаками (переменными) >>>
>
-
значение j-й
переменной
у i-го
объекта
i
=1,…N;
j=1,…p.
Предположим,
что все множество объектов разбито на
несколько подмножеств (два и более). Из
каждого подмножества взята выборка
объемом >
>,
где
k
-
номер подмножества (класса), k
=
1,
...
, q.
Признаки, которые используются для того, чтобы отличать один класс (подмножество) от другого, называются дискриминантными переменными. Каждая из этих переменных должна измеряться либо по интервальной шкале, либо по шкале отношений. Интервальная шкала позволяет количественно описать различия между свойствами объектов. Для задания шкалы устанавливаются произвольная точка отсчета и единица измерения. Примерами таких шкал являются календарное время, шкалы температур и т. п. В качестве оценки положения центра используются средняя величина, мода и медиана.
Шкала отношений - частный случай интервальной шкалы. Она позволяет соотнести количественные характеристики какого-либо свойства у разных объектов, например, стаж работы, заработная плата, величина налога.
Теоретически число дискриминантных переменных не ограничено, но на практике их выбор должен осуществляться на основании логического анализа исходной информации и одного из критериев, о котором речь пойдет немного ниже. Число объектов наблюдения должно превышать число дискриминантных переменных, как минимум, на два, т. е. р < N. Дискриминантные переменные должны быть линейно независимыми. Еще одним предположением при дискриминантном анализе является нормальность закона распределения многомерной величины, т.е. каждая из дискриминантных переменных внутри каждого из рассматриваемых классов должна быть подчинена нормальному закону распределения. В случае, когда реальная картина в выборочных совокупностях отличается от выдвинутых предпосылок, следует решать вопрос о целесообразности использования процедур дискриминантного анализа для классификации новых наблюдений, так как в этом случае затрудняются расчеты каждого критерия классификации.
1. Дискриминантные функции и их геометрическая интерпретация
Перед тем как приступить к рассмотрению алгоритма дискриминантного анализа, обратимся к его геометрической интерпретации. На рис. 1 изображены объекты, принадлежащие двум различным множествам М>1> и М>2>.
Рис.1 Геометрическая интерпретация дискриминантной функции и дискриминантных переменных
Каждый
объект характеризуется в данном случае
двумя переменными >010009000003a804000000002403000000002403000026060f003e06574d46430100000000000100339a00000000010000001c060000000000001c060000010000006c000000000000000000000011000000180000000000000000000000c10100004902000020454d46000001001c0600000c00000001000000000000000000000000000000000500000004000040010000f000000000000000000000000000000000e2040080a90300460000002c00000020000000454d462b014001001c000000100000000210c0db01000000600000006000000046000000e4010000d8010000454d462b224004000c000000000000001e4009000c00000000000000244001000c000000000000003040020010000000040000000000803f214007000c000000000000000840000530010000240100000210c0db01000000000000000000000000000000000000000100000089504e470d0a1a0a0000000d4948445200000012000000190802000000b36be9c3000000017352474200aece1ce9000000097048597300000ec400000ec401952b0e1b000000ad49444154384fed94c10d80200c45c1e9741fdc46f7f0866378c34d2a6d110123c8c118137b31045fffefb7510280a8afa61e41e2c74eb9bd12c9dc4bac6e5cd90f9ffbf9f2abda2dd14a284d0fd10e06c00c2d9e7325824be494be01d97d0c300ba0a99212122176d8cc3b8cb1ac180fe0db79351a89c8c4a4eb16bb77980b936ceeb13adc181b2ea61ba97133afb0f74e7349b1e2f4fc42823dbc93eb32458b56347924491cad1fc82ffcb9363918c980b87a0feb0000000049454e44ae4260820840010824000000180000000210c0db01000000030000000000000000000000000000001b40000040000000340000000100000002000000000000bf000000bf000090410000c84103000000000080b3000080b3ffff8f41000080b3000080b3ffffc7412100000008000000620000000c00000001000000150000000c00000004000000150000000c0000000400000051000000d4020000000000000000000011000000180000000000000000000000000000000000000012000000190000005000000090000000e0000000f4010000000000002000cc00120000001900000028000000120000001900000001000800000000000000000000000000000000001a0000000000000000000000ffffff000074bf009c480000ffffdf0074bfff00bf740000ffbf740048000000ffdf9c009cdfff00bf744800bfffff0000007400dfbf740074489c00ffffbf00dfffff0000489c0000004800740000009cdfbf00489cdf0074007400dfdfdf00df9c480001010101010101010101010101010101010100000101010101010101010101010101010101010000010101010101010101010101010101010101000001010101010101010101011600000000190100000101010101010101010101010102060101010000010101010101010101010101011606010101000001010101010101010101010101160601010100001600070101160014100101010116060101010000010102070c0d060c1710011801160601010100000101110f151307010101011600000601010100000101010a13141001010101010102060101010000010101010203040101010101010101010101000001010111120007010101010101010101010100000101010c0d0e0f100101010101010101010100000102070508090a0b01010101010101010101000001010200030401050006010101010101010100000101010101010101010101010101010101010000010101010101010101010101010101010101000001010101010101010101010101010101010100000101010101010101010101010101010101010000010101010101010101010101010101010101000001010101010101010101010101010101010100000101010101010101010101010101010101010000010101010101010101010101010101010101000001010101010101010101010101010101010100004c0000006400000000000000000000001100000018000000000000000000000012000000190000002900aa0000000000000000000000803f00000000000000000000803f0000000000000000000000000000000000000000000000000000000000000000220000000c000000ffffffff460000001c00000010000000454d462b024000000c000000000000000e000000140000000000000010000000140000000400000003010800050000000b0200000000050000000c0219001200030000001e00040000000701040004000000070104004f010000410b2000cc001900120000000000190012000000000028000000120000001900000001000800000000000000000000000000000000001a0000000000000000000000ffffff000074bf009c480000ffffdf0074bfff00bf740000ffbf740048000000ffdf9c009cdfff00bf744800bfffff0000007400dfbf740074489c00ffffbf00dfffff0000489c0000004800740000009cdfbf00489cdf0074007400dfdfdf00df9c480001010101010101010101010101010101010100000101010101010101010101010101010101010000010101010101010101010101010101010101000001010101010101010101011600000000190100000101010101010101010101010102060101010000010101010101010101010101011606010101000001010101010101010101010101160601010100001600070101160014100101010116060101010000010102070c0d060c1710011801160601010100000101110f151307010101011600000601010100000101010a13141001010101010102060101010000010101010203040101010101010101010101000001010111120007010101010101010101010100000101010c0d0e0f100101010101010101010100000102070508090a0b01010101010101010101000001010200030401050006010101010101010100000101010101010101010101010101010101010000010101010101010101010101010101010101000001010101010101010101010101010101010100000101010101010101010101010101010101010000010101010101010101010101010101010101000001010101010101010101010101010101010100000101010101010101010101010101010101010000010101010101010101010101010101010101000001010101010101010101010101010101010100000c00000040092900aa000000000000001900120000000000040000002701ffff030000000000>>
>
и
>
>.
Если
рассматривать проекции объектов (точек)
на каждую ось, то эти множества
пересекаются, т.е. по каждой переменной
отдельно некоторые объекты обоих
множеств имеют сходные характеристики.
Чтобы наилучшим образом разделить два
рассматриваемых множества, нужно
построить соответствующую линейную
комбинацию переменных >010009000003a804000000002403000000002403000026060f003e06574d46430100000000000100339a00000000010000001c060000000000001c060000010000006c000000000000000000000011000000180000000000000000000000c10100004902000020454d46000001001c0600000c00000001000000000000000000000000000000000500000004000040010000f000000000000000000000000000000000e2040080a90300460000002c00000020000000454d462b014001001c000000100000000210c0db01000000600000006000000046000000e4010000d8010000454d462b224004000c000000000000001e4009000c00000000000000244001000c000000000000003040020010000000040000000000803f214007000c000000000000000840000530010000240100000210c0db01000000000000000000000000000000000000000100000089504e470d0a1a0a0000000d4948445200000012000000190802000000b36be9c3000000017352474200aece1ce9000000097048597300000ec400000ec401952b0e1b000000ad49444154384fed94c10d80200c45c1e9741fdc46f7f0866378c34d2a6d110123c8c118137b31045fffefb7510280a8afa61e41e2c74eb9bd12c9dc4bac6e5cd90f9ffbf9f2abda2dd14a284d0fd10e06c00c2d9e7325824be494be01d97d0c300ba0a99212122176d8cc3b8cb1ac180fe0db79351a89c8c4a4eb16bb77980b936ceeb13adc181b2ea61ba97133afb0f74e7349b1e2f4fc42823dbc93eb32458b56347924491cad1fc82ffcb9363918c980b87a0feb0000000049454e44ae4260820840010824000000180000000210c0db01000000030000000000000000000000000000001b40000040000000340000000100000002000000000000bf000000bf000090410000c84103000000000080b3000080b3ffff8f41000080b3000080b3ffffc7412100000008000000620000000c00000001000000150000000c00000004000000150000000c0000000400000051000000d4020000000000000000000011000000180000000000000000000000000000000000000012000000190000005000000090000000e0000000f4010000000000002000cc00120000001900000028000000120000001900000001000800000000000000000000000000000000001a0000000000000000000000ffffff000074bf009c480000ffffdf0074bfff00bf740000ffbf740048000000ffdf9c009cdfff00bf744800bfffff0000007400dfbf740074489c00ffffbf00dfffff0000489c0000004800740000009cdfbf00489cdf0074007400dfdfdf00df9c480001010101010101010101010101010101010100000101010101010101010101010101010101010000010101010101010101010101010101010101000001010101010101010101011600000000190100000101010101010101010101010102060101010000010101010101010101010101011606010101000001010101010101010101010101160601010100001600070101160014100101010116060101010000010102070c0d060c1710011801160601010100000101110f151307010101011600000601010100000101010a13141001010101010102060101010000010101010203040101010101010101010101000001010111120007010101010101010101010100000101010c0d0e0f100101010101010101010100000102070508090a0b01010101010101010101000001010200030401050006010101010101010100000101010101010101010101010101010101010000010101010101010101010101010101010101000001010101010101010101010101010101010100000101010101010101010101010101010101010000010101010101010101010101010101010101000001010101010101010101010101010101010100000101010101010101010101010101010101010000010101010101010101010101010101010101000001010101010101010101010101010101010100004c0000006400000000000000000000001100000018000000000000000000000012000000190000002900aa0000000000000000000000803f00000000000000000000803f0000000000000000000000000000000000000000000000000000000000000000220000000c000000ffffffff460000001c00000010000000454d462b024000000c000000000000000e000000140000000000000010000000140000000400000003010800050000000b0200000000050000000c0219001200030000001e00040000000701040004000000070104004f010000410b2000cc001900120000000000190012000000000028000000120000001900000001000800000000000000000000000000000000001a0000000000000000000000ffffff000074bf009c480000ffffdf0074bfff00bf740000ffbf740048000000ffdf9c009cdfff00bf744800bfffff0000007400dfbf740074489c00ffffbf00dfffff0000489c0000004800740000009cdfbf00489cdf0074007400dfdfdf00df9c480001010101010101010101010101010101010100000101010101010101010101010101010101010000010101010101010101010101010101010101000001010101010101010101011600000000190100000101010101010101010101010102060101010000010101010101010101010101011606010101000001010101010101010101010101160601010100001600070101160014100101010116060101010000010102070c0d060c1710011801160601010100000101110f151307010101011600000601010100000101010a13141001010101010102060101010000010101010203040101010101010101010101000001010111120007010101010101010101010100000101010c0d0e0f100101010101010101010100000102070508090a0b01010101010101010101000001010200030401050006010101010101010100000101010101010101010101010101010101010000010101010101010101010101010101010101000001010101010101010101010101010101010100000101010101010101010101010101010101010000010101010101010101010101010101010101000001010101010101010101010101010101010100000101010101010101010101010101010101010000010101010101010101010101010101010101000001010101010101010101010101010101010100000c00000040092900aa000000000000001900120000000000040000002701ffff030000000000>
и
>
>.
Для двумерного пространства эта задача
сводится к определению новой системы
координат. Причем новые оси L
и
С должны быть расположены таким образом,
чтобы проекции объектов, принадлежащих
разным множествам на ось L,
были
максимально разделены. Ось С перпендикулярна
оси L
и
разделяет два «облака» точек наилучшим
образом, Т.е. чтобы множества оказались
по разные стороны от этой прямой. При
этом вероятность ошибки классификации
должна быть минимальной. Сформулированные
условия должны быть учтены при определении
коэффициентов >010009000003b804000000003a03000000003a03000026060f006a06574d46430100000000000100381c0000000001000000480600000000000048060000010000006c000000000000000000000011000000180000000000000000000000c10100004902000020454d4600000100480600000c00000001000000000000000000000000000000000500000004000040010000f000000000000000000000000000000000e2040080a90300460000002c00000020000000454d462b014001001c000000100000000210c0db010000006000000060000000460000001c02000010020000454d462b224004000c000000000000001e4009000c00000000000000244001000c000000000000003040020010000000040000000000803f214007000c0000000000000008400005680100005c0100000210c0db01000000000000000000000000000000000000000100000089504e470d0a1a0a0000000d4948445200000012000000190802000000b36be9c3000000017352474200aece1ce9000000097048597300000ec400000ec401952b0e1b000000e349444154384f63fcffff3f03e98089742d201da3da30c26dc082e4c15c4f4628f09cfbe0402963e901dc910a4c2520b0bf04a8c463ce7d30e7fe1c0f241e54050ac5805056b21f2e0332046606365dff4141f260ef9a1d4055d90e30373db87b8581414759014fc2833a09d96cb01b91ecc6621fd0b6073776a0980db15c03c32e6020c1430923de1ecccd4c4135066830388c1d7b108e066a53d000bae9cadd0720c103a5990c21a0f00059868803e7e9f0f0856a4584244800ec237064c038088f81bc0cf33138028803c8da689f26c1210e03c4381092d8e00018c78c43a1e40200dce534fd822d1cd30000000049454e44ae42608200000840010824000000180000000210c0db01000000030000000000000000000000000000001b40000040000000340000000100000002000000000000bf000000bf000090410000c84103000000000080b3000080b3ffff8f41000080b3000080b3ffffc7412100000008000000620000000c00000001000000150000000c00000004000000150000000c0000000400000051000000c8020000000000000000000011000000180000000000000000000000000000000000000012000000190000005000000084000000d4000000f4010000000000002000cc0012000000190000002800000012000000190000000100080000000000000000000000000000000000170000000000000000000000ffffff009cdfff0000004800df9c48000074bf00ffbf740074bfff00dfffff0000489c0048000000ffdf9c00bf7400009c480000ffffdf00489cdf00bfffff000000740074000000ffffbf009c48740000749c00dfdfdf000101010101010101010101010101010101010000010101010101010101010101010101010101000001010101010101010101010101010101010100000101010101010101010101010f000000000400000101010101010101010101010101050c0101000001010101010101010101010101010f0c0101000001010101010101010101010101010f0c0101000001020300121307000006010101010f0c0101000008090d0e1014150d0e05060116010f0c0101000010110c0101020312130101010f00000c0101000010110c0101010f0a0b0101010101050c0101000008090d0e01010203060101010101010101010000010f0a0b010108090c01010101010101010100000102030c010101050d0e0101010101010101000001010700040108090a0b0101010101010101000001010102030000040506010101010101010100000101010101010101010101010101010101010000010101010101010101010101010101010101000001010101010101010101010101010101010100000101010101010101010101010101010101010000010101010101010101010101010101010101000001010101010101010101010101010101010100000101010101010101010101010101010101010000010101010101010101010101010101010101000001010101010101010101010101010101010100004c0000006400000000000000000000001100000018000000000000000000000012000000190000002900aa0000000000000000000000803f00000000000000000000803f0000000000000000000000000000000000000000000000000000000000000000220000000c000000ffffffff460000001c00000010000000454d462b024000000c000000000000000e000000140000000000000010000000140000000400000003010800050000000b0200000000050000000c0219001200030000001e000400000007010400040000000701040049010000410b2000cc00190012000000000019001200000000002800000012000000190000000100080000000000000000000000000000000000170000000000000000000000ffffff009cdfff0000004800df9c48000074bf00ffbf740074bfff00dfffff0000489c0048000000ffdf9c00bf7400009c480000ffffdf00489cdf00bfffff000000740074000000ffffbf009c48740000749c00dfdfdf000101010101010101010101010101010101010000010101010101010101010101010101010101000001010101010101010101010101010101010100000101010101010101010101010f000000000400000101010101010101010101010101050c0101000001010101010101010101010101010f0c0101000001010101010101010101010101010f0c0101000001020300121307000006010101010f0c0101000008090d0e1014150d0e05060116010f0c0101000010110c0101020312130101010f00000c0101000010110c0101010f0a0b0101010101050c0101000008090d0e01010203060101010101010101010000010f0a0b010108090c01010101010101010100000102030c010101050d0e0101010101010101000001010700040108090a0b0101010101010101000001010102030000040506010101010101010100000101010101010101010101010101010101010000010101010101010101010101010101010101000001010101010101010101010101010101010100000101010101010101010101010101010101010000010101010101010101010101010101010101000001010101010101010101010101010101010100000101010101010101010101010101010101010000010101010101010101010101010101010101000001010101010101010101010101010101010100000c00000040092900aa000000000000001900120000000000040000002701ffff030000000000>
и >010009000003c804000000004803000000004803000026060f008606574d46430100000000000100aa8b0000000001000000640600000000000064060000010000006c000000000000000000000012000000180000000000000000000000da0100004902000020454d4600000100640600000c00000001000000000000000000000000000000000500000004000040010000f000000000000000000000000000000000e2040080a90300460000002c00000020000000454d462b014001001c000000100000000210c0db010000006000000060000000460000003402000028020000454d462b224004000c000000000000001e4009000c00000000000000244001000c000000000000003040020010000000040000000000803f214007000c000000000000000840000580010000740100000210c0db01000000000000000000000000000000000000000100000089504e470d0a1a0a0000000d49484452000000130000001908020000005ca982fd000000017352474200aece1ce9000000097048597300000ec400000ec401952b0e1b000000fa49444154384fed933d0e83300c85939e04a90b430fc1087b6fd02ea82b1c02b5472037e85e960a0ec1d005919ba4761243d21f8a5858ea0519fcec97cf842ba5d8a2d82c52a1e8affc856e65425224dc46226493f3bc99740cff10469d41555cf63ae9cbd8c96cc5eb838d95593d7cc43ed4e68b50212179bf5650788ac89cec5ac676db601aaff5e64ed0661d079fa7c24cf9a8bc09c642e84d045e14c4ed6d9f52a447bf130359111a7600e0520869ef4a1082b9b6d36993a76c8f7870242d263aabdbc158d0b53646b6f8429f4e6f8812ef90406000a2b73233a0a3c36dae1279fbb8e729dd6975663acc51d2b9098d5172542f8a35eee7133643b5a6eddeb95e0000000049454e44ae4260820000000840010824000000180000000210c0db01000000030000000000000000000000000000001b40000040000000340000000100000002000000000000bf000000bf000098410000c84103000000000000b3000000b3ffff9741000000b3000000b3ffffc7412100000008000000620000000c00000001000000150000000c00000004000000150000000c0000000400000051000000cc020000000000000000000012000000180000000000000000000000000000000000000013000000190000005000000088000000d8000000f4010000000000002000cc0013000000190000002800000013000000190000000100080000000000000000000000000000000000180000000000000000000000ffffff009cdfff0000004800df9c48000074bf00ffbf740074bfff00dfffff0000489c0048000000ffdf9c00bf7400009c480000ffffdf00489cdf00bfffff000000740074000000ffffbf00480074009c48740000749c00480048000101010101010101010101010101010101010100010101010101010101010101010101010101010001010101010101010101010101010101010101000101010101010101010101101100000000060100010101010101010101010101070c010107060100010101010101010101010101010f0c01010101000101010101010101010101010101070c010101000102030012130700000601010101010f0401010008090d0e1015160d0e05060101010102170b010010110c010102031213010110140b01070a0b010010110c0101010f0a0b010101101100000c01010008090d0e01010203060101010101010101010100010f0a0b010108090c01010101010101010101000102030c010101050d0e0101010101010101010001010700040108090a0b0101010101010101010001010102030000040506010101010101010101000101010101010101010101010101010101010100010101010101010101010101010101010101010001010101010101010101010101010101010101000101010101010101010101010101010101010100010101010101010101010101010101010101010001010101010101010101010101010101010101000101010101010101010101010101010101010100010101010101010101010101010101010101010001010101010101010101010101010101010101004c0000006400000000000000000000001200000018000000000000000000000013000000190000002900aa0000000000000000000000803f00000000000000000000803f0000000000000000000000000000000000000000000000000000000000000000220000000c000000ffffffff460000001c00000010000000454d462b024000000c000000000000000e000000140000000000000010000000140000000400000003010800050000000b0200000000050000000c0219001300030000001e00040000000701040004000000070104004b010000410b2000cc00190013000000000019001300000000002800000013000000190000000100080000000000000000000000000000000000180000000000000000000000ffffff009cdfff0000004800df9c48000074bf00ffbf740074bfff00dfffff0000489c0048000000ffdf9c00bf7400009c480000ffffdf00489cdf00bfffff000000740074000000ffffbf00480074009c48740000749c00480048000101010101010101010101010101010101010100010101010101010101010101010101010101010001010101010101010101010101010101010101000101010101010101010101101100000000060100010101010101010101010101070c010107060100010101010101010101010101010f0c01010101000101010101010101010101010101070c010101000102030012130700000601010101010f0401010008090d0e1015160d0e05060101010102170b010010110c010102031213010110140b01070a0b010010110c0101010f0a0b010101101100000c01010008090d0e01010203060101010101010101010100010f0a0b010108090c01010101010101010101000102030c010101050d0e0101010101010101010001010700040108090a0b0101010101010101010001010102030000040506010101010101010101000101010101010101010101010101010101010100010101010101010101010101010101010101010001010101010101010101010101010101010101000101010101010101010101010101010101010100010101010101010101010101010101010101010001010101010101010101010101010101010101000101010101010101010101010101010101010100010101010101010101010101010101010101010001010101010101010101010101010101010101000c00000040092900aa000000000000001900130000000000040000002701ffff030000000000>
следующей функции:
F(x)
= >
>+>010009000003f206000000006e04000000006e04000026060f00d208574d4643010000000000010001c40000000001000000b008000000000000b0080000010000006c000000000000000000000027000000180000000000000000000000e70300004902000020454d4600000100b00800000c00000001000000000000000000000000000000000500000004000040010000f000000000000000000000000000000000e2040080a90300460000002c00000020000000454d462b014001001c000000100000000210c0db01000000600000006000000046000000780200006c020000454d462b224004000c000000000000001e4009000c00000000000000244001000c000000000000003040020010000000040000000000803f214007000c0000000000000008400005c4010000b80100000210c0db01000000000000000000000000000000000000000100000089504e470d0a1a0a0000000d4948445200000028000000190802000000ccbafb32000000017352474200aece1ce9000000097048597300000ec400000ec401952b0e1b0000014049444154484bed56c10d83300c0c9da4523f7d7410d8271da25247800d3a009f2a8cc1afd9843a4e1c0c8410aaaa3ca83f5524fbce3e5f52b2aeebc41671d882d470fe897fa6fc5fea5d49adab22735154bab966d766ddfc5062028a6d9d3dcfa1c0cb654249c8cccb171e5e65ce4e2e63e10700a4b238080318e63c1ba2276279be3c8d94679952a99668e19da601695adf48b4dff986ac5a387d34801853bfc5cbc48e13c303a2db5a88cbe9484ed2cf472df2b33ff73e41efc42da7abdb5d88ba75feeadde99cd723385f79690252c1da489085e5e36a11612875006124b592795992319d51b96406946f652027e5e30d71169fec9a1098abbd27b0306810a80ad25a99c6aa851ce611903831020a2456521a43482536332d5e91681b238434623eab929f3430414821a69dd3dd584f1c40c8409e757f055fcadedf17c81bef6b77e30e75b4730000000049454e44ae426082000840010824000000180000000210c0db01000000030000000000000000000000000000001b40000040000000340000000100000002000000000000bf000000bf000020420000c84103000000000080b3000080b3ffff1f42000080b3000080b3ffffc7412100000008000000620000000c00000001000000150000000c00000004000000150000000c0000000400000051000000d404000000000000000000002700000018000000000000000000000000000000000000002800000019000000500000009c000000ec000000e8030000000000002000cc00280000001900000028000000280000001900000001000800000000000000000000000000000000001d0000000000000000000000ffffff009cdfff0000004800df9c48000074bf00ffbf74009c480000ffffdf0074bfff00bf740000dfffff0000489c0048000000ffdf9c00bf744800bfffff0000007400dfbf740074489c00ffffbf00489cdf0074000000480074009cdfbf009c48740000749c00480048007400740001010101010101010101010101010101010101010101010101010101010101010101010101010101010101010101010101010101010101010101010101010101010101010101010101010101010101010101010101010101010101010101010101010101010101010101010101010101010101010101010101010101010101010101011011000000000601010101010101010101010101010110110000000006010101010101010101010101090a0101090601010101010101010101010101010101090a0101090601010101010101010101010101150a0101010101010101010101010101010101010101150a0101010101010101010101010101010101090a0101010101010101010101010101010101010101090a0101010203001614090000060101010101150401010101010115000601011500161401010101011504010b0c070810191a0708050601010101021b0e01010101010101050610110a101c1401010101021b0e10110a010102031614010110170e01090d0e010101010101010b1318030601010110170e01090d0e10110a010101150d0e010101101100000a0101010101010101010203161401010101101100000a010b0c070801010203060101010101010101010101010101010101010507080101010101010101010101150d0e01010b0c0a01010101010101010101010101010101010b0c0006010101010101010101010102030a0101010507080101010101010101010101010101010110111213140101010101010101010101090004010b0c0d0e01010101010101010101010101010506090d0e020f01010101010101010101010102030000040506010101010101010101010101010101050007080109000a010101010101010101010101010101010101010101010101010101010101010101010101010101010101010101010101010101010101010101010101010101010101010101010101010101010101010101010101010101010101010101010101010101010101010101010101010101010101010101010101010101010101010101010101010101010101010101010101010101010101010101010101010101010101010101010101010101010101010101010101010101010101010101010101010101010101010101010101010101010101010101010101010101010101010101010101010101010101010101010101010101010101010101010101010101010101010101010101010101010101010101010101010101010101010101010101010101010101010101010101010101010101010101010101010101010101010101010101010101010101010101010101010101010101010101010101010101010101010101010101010101010101014c0000006400000000000000000000002700000018000000000000000000000028000000190000002900aa0000000000000000000000803f00000000000000000000803f0000000000000000000000000000000000000000000000000000000000000000220000000c000000ffffffff460000001c00000010000000454d462b024000000c000000000000000e000000140000000000000010000000140000000400000003010800050000000b0200000000050000000c0219002800030000001e00040000000701040004000000070104004f020000410b2000cc001900280000000000190028000000000028000000280000001900000001000800000000000000000000000000000000001d0000000000000000000000ffffff009cdfff0000004800df9c48000074bf00ffbf74009c480000ffffdf0074bfff00bf740000dfffff0000489c0048000000ffdf9c00bf744800bfffff0000007400dfbf740074489c00ffffbf00489cdf0074000000480074009cdfbf009c48740000749c00480048007400740001010101010101010101010101010101010101010101010101010101010101010101010101010101010101010101010101010101010101010101010101010101010101010101010101010101010101010101010101010101010101010101010101010101010101010101010101010101010101010101010101010101010101010101011011000000000601010101010101010101010101010110110000000006010101010101010101010101090a0101090601010101010101010101010101010101090a0101090601010101010101010101010101150a0101010101010101010101010101010101010101150a0101010101010101010101010101010101090a0101010101010101010101010101010101010101090a0101010203001614090000060101010101150401010101010115000601011500161401010101011504010b0c070810191a0708050601010101021b0e01010101010101050610110a101c1401010101021b0e10110a010102031614010110170e01090d0e010101010101010b1318030601010110170e01090d0e10110a010101150d0e010101101100000a0101010101010101010203161401010101101100000a010b0c070801010203060101010101010101010101010101010101010507080101010101010101010101150d0e01010b0c0a01010101010101010101010101010101010b0c0006010101010101010101010102030a0101010507080101010101010101010101010101010110111213140101010101010101010101090004010b0c0d0e01010101010101010101010101010506090d0e020f01010101010101010101010102030000040506010101010101010101010101010101050007080109000a010101010101010101010101010101010101010101010101010101010101010101010101010101010101010101010101010101010101010101010101010101010101010101010101010101010101010101010101010101010101010101010101010101010101010101010101010101010101010101010101010101010101010101010101010101010101010101010101010101010101010101010101010101010101010101010101010101010101010101010101010101010101010101010101010101010101010101010101010101010101010101010101010101010101010101010101010101010101010101010101010101010101010101010101010101010101010101010101010101010101010101010101010101010101010101010101010101010101010101010101010101010101010101010101010101010101010101010101010101010101010101010101010101010101010101010101010101010101010101010101010101010101010c00000040092900aa000000000000001900280000000000040000002701ffff030000000000>
(1)
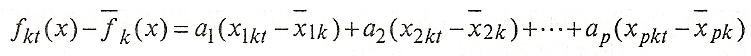
Функция
F(x)
называется канонической
дискриминантной функцией, а
величины >010009000003a804000000002403000000002403000026060f003e06574d46430100000000000100019a00000000010000001c060000000000001c060000010000006c000000000000000000000011000000180000000000000000000000c10100004902000020454d46000001001c0600000c00000001000000000000000000000000000000000500000004000040010000f000000000000000000000000000000000e2040080a90300460000002c00000020000000454d462b014001001c000000100000000210c0db01000000600000006000000046000000e4010000d8010000454d462b224004000c000000000000001e4009000c00000000000000244001000c000000000000003040020010000000040000000000803f214007000c000000000000000840000530010000240100000210c0db01000000000000000000000000000000000000000100000089504e470d0a1a0a0000000d4948445200000012000000190802000000b36be9c3000000017352474200aece1ce9000000097048597300000ec400000ec401952b0e1b000000ad49444154384fed94c10d80200c45c1e9741fdc46f7f0866378c34d2a6d110123c8c118137b31045fffefb7510280a8afa61e41e2c74eb9bd12c9dc4bac6e5cd90f9ffbf9f2abda2dd14a284d0fd10e06c00c2d9e7325824be494be01d97d0c300ba0a99212122176d8cc3b8cb1ac180fe0db79351a89c8c4a4eb16bb77980b936ceeb13adc181b2ea61ba97133afb0f74e7349b1e2f4fc42823dbc93eb32458b56347924491cad1fc82ffcb9363918c980b87a0feb0000000049454e44ae4260820840010824000000180000000210c0db01000000030000000000000000000000000000001b40000040000000340000000100000002000000000000bf000000bf000090410000c84103000000000080b3000080b3ffff8f41000080b3000080b3ffffc7412100000008000000620000000c00000001000000150000000c00000004000000150000000c0000000400000051000000d4020000000000000000000011000000180000000000000000000000000000000000000012000000190000005000000090000000e0000000f4010000000000002000cc00120000001900000028000000120000001900000001000800000000000000000000000000000000001a0000000000000000000000ffffff000074bf009c480000ffffdf0074bfff00bf740000ffbf740048000000ffdf9c009cdfff00bf744800bfffff0000007400dfbf740074489c00ffffbf00dfffff0000489c0000004800740000009cdfbf00489cdf0074007400dfdfdf00df9c480001010101010101010101010101010101010101000101010101010101010101010101010101010100010101010101010101010101010101010101010001010101010101010101011600000000190101000101010101010101010101010102060101010100010101010101010101010101011606010101010001010101010101010101010101160601010101001600070101160014100101010116060101010100010102070c0d060c1710011801160601010101000101110f151307010101011600000601010101000101010a13141001010101010102060101010100010101010203040101010101010101010101010001010111120007010101010101010101010101000101010c0d0e0f100101010101010101010101000102070508090a0b01010101010101010101010001010200030401050006010101010101010101000101010101010101010101010101010101010100010101010101010101010101010101010101010001010101010101010101010101010101010101000101010101010101010101010101010101010100010101010101010101010101010101010101010001010101010101010101010101010101010101000101010101010101010101010101010101010100010101010101010101010101010101010101010001010101010101010101010101010101010101004c0000006400000000000000000000001100000018000000000000000000000012000000190000002900aa0000000000000000000000803f00000000000000000000803f0000000000000000000000000000000000000000000000000000000000000000220000000c000000ffffffff460000001c00000010000000454d462b024000000c000000000000000e000000140000000000000010000000140000000400000003010800050000000b0200000000050000000c0219001200030000001e00040000000701040004000000070104004f010000410b2000cc001900120000000000190012000000000028000000120000001900000001000800000000000000000000000000000000001a0000000000000000000000ffffff000074bf009c480000ffffdf0074bfff00bf740000ffbf740048000000ffdf9c009cdfff00bf744800bfffff0000007400dfbf740074489c00ffffbf00dfffff0000489c0000004800740000009cdfbf00489cdf0074007400dfdfdf00df9c480001010101010101010101010101010101010101000101010101010101010101010101010101010100010101010101010101010101010101010101010001010101010101010101011600000000190101000101010101010101010101010102060101010100010101010101010101010101011606010101010001010101010101010101010101160601010101001600070101160014100101010116060101010100010102070c0d060c1710011801160601010101000101110f151307010101011600000601010101000101010a13141001010101010102060101010100010101010203040101010101010101010101010001010111120007010101010101010101010101000101010c0d0e0f100101010101010101010101000102070508090a0b01010101010101010101010001010200030401050006010101010101010101000101010101010101010101010101010101010100010101010101010101010101010101010101010001010101010101010101010101010101010101000101010101010101010101010101010101010100010101010101010101010101010101010101010001010101010101010101010101010101010101000101010101010101010101010101010101010100010101010101010101010101010101010101010001010101010101010101010101010101010101000c00000040092900aa000000000000001900120000000000040000002701ffff030000000000>
и
>
>
- дискриминантными переменными.
Обозначим
>010009000003720500000000a00300000000a003000026060f003607574d4643010000000000010015490000000001000000140700000000000014070000010000006c0000000000000000000000150000001a0000000000000000000000250200007802000020454d4600000100140700000c00000001000000000000000000000000000000000500000004000040010000f000000000000000000000000000000000e2040080a90300460000002c00000020000000454d462b014001001c000000100000000210c0db010000006000000060000000460000004002000034020000454d462b224004000c000000000000001e4009000c00000000000000244001000c000000000000003040020010000000040000000000803f214007000c00000000000000084000058c010000800100000210c0db01000000000000000000000000000000000000000100000089504e470d0a1a0a0000000d49484452000000160000001b0802000000f748e8b2000000017352474200aece1ce9000000097048597300000ec400000ec401952b0e1b0000010849444154484bed53bb0dc23010b599048986822140694ccf12f4c9161921de8016290d4a86a0a041f126c6e773fc1360875050704de4b3efddbb772f544a49e6c5625e3954ff219c863fa5455f51883d174810cf559fb57265adae2465a73f8435839443c3e09c1bc47b08186537114099db8350c5407c0a03a8f621dc28b933e8771ec46b1270a3558a2863ce42680934ca878398a5e851c6f52014720b39847c091e6d6773eb538154cccccf05723e577164e8dfaa9c2596fe47fa73cdd6cbd0a6e27e259b95492621cc6bc1b973bbb89c5a079b8480f6f58e1e49b1b54cc4ad6587c2329be4227c8c3f822dcc90336e122184064f31321b8f8c4ac1a1f3224bcef72dbe00f1000209cf1d8a1ef7880000000049454e44ae426082000840010824000000180000000210c0db01000000030000000000000000000000000000001b40000040000000340000000100000002000000000000bf000000bf0000b0410000d84103000000000000b3000000b3ffffaf41000000b3000000b3ffffd7412100000008000000620000000c00000001000000150000000c00000004000000150000000c0000000400000051000000700300000000000000000000150000001a00000000000000000000000000000000000000160000001b0000005000000098000000e800000088020000000000002000cc00160000001b00000028000000160000001b00000001000800000000000000000000000000000000001c0000000000000000000000ffffff000074bf009c480000ffffdf0074bfff00bf740000ffbf740048000000ffdf9c009cdfff00bf744800bfffff0000007400dfbf740074489c00ffffbf00dfffff0000489c000000480074000000489cdf00df9c48009cdfbf0074007400740048009c9cdf00480048000101010101010101010101010101010101010101010148ff01010101010101010101010101010101010101010101ffff0101010101010101010101010101010101010101010174ff0101010101010101010101010101111200160101010100ff010101010101010101010101010101010c0d07010101ffff0101010101010101010101010101010101020601010174ff0101010101010101010111120016010101050304010100ff010101010101010101011112071a1001010a1b09010100ff010101010101010101010102160101010111120701019cff0101010101010101010101050601010101010216010100ff15000701011500141001010a19100101010115060101ffff010102070c0d060c1810111208090101010a13141001ffff0101110f17130701010101010101010101010101010100ff0101010a131410010101010115030401010111121601ffff01010101020304010101010101010101010101010101ffff01010111120007010101010101010101010101010101ffff0101010c0d0e0f100101010101010101010101010101ffff0102070508090a0b0101010101010101010101010101ffff01010200030401050006010101010101010101010101ffff01010101010101010101010101010101010101010101ffff01010101010101010101010101010101010101010101ffff01010101010101010101010101010101010101010101ffff01010101010101010101010101010101010101010101ffff01010101010101010101010101010101010101010101ffff01010101010101010101010101010101010101010101ffff0101010101010101010101010101010101010101010100ff01010101010101010101010101010101010101010101ffff4c000000640000000000000000000000150000001a0000000000000000000000160000001b0000002900aa0000000000000000000000803f00000000000000000000803f0000000000000000000000000000000000000000000000000000000000000000220000000c000000ffffffff460000001c00000010000000454d462b024000000c000000000000000e000000140000000000000010000000140000000400000003010800050000000b0200000000050000000c021b001600030000001e00040000000701040004000000070104009d010000410b2000cc001b001600000000001b0016000000000028000000160000001b00000001000800000000000000000000000000000000001c0000000000000000000000ffffff000074bf009c480000ffffdf0074bfff00bf740000ffbf740048000000ffdf9c009cdfff00bf744800bfffff0000007400dfbf740074489c00ffffbf00dfffff0000489c000000480074000000489cdf00df9c48009cdfbf0074007400740048009c9cdf00480048000101010101010101010101010101010101010101010148ff01010101010101010101010101010101010101010101ffff0101010101010101010101010101010101010101010174ff0101010101010101010101010101111200160101010100ff010101010101010101010101010101010c0d07010101ffff0101010101010101010101010101010101020601010174ff0101010101010101010111120016010101050304010100ff010101010101010101011112071a1001010a1b09010100ff010101010101010101010102160101010111120701019cff0101010101010101010101050601010101010216010100ff15000701011500141001010a19100101010115060101ffff010102070c0d060c1810111208090101010a13141001ffff0101110f17130701010101010101010101010101010100ff0101010a131410010101010115030401010111121601ffff01010101020304010101010101010101010101010101ffff01010111120007010101010101010101010101010101ffff0101010c0d0e0f100101010101010101010101010101ffff0102070508090a0b0101010101010101010101010101ffff01010200030401050006010101010101010101010101ffff01010101010101010101010101010101010101010101ffff01010101010101010101010101010101010101010101ffff01010101010101010101010101010101010101010101ffff01010101010101010101010101010101010101010101ffff01010101010101010101010101010101010101010101ffff01010101010101010101010101010101010101010101ffff0101010101010101010101010101010101010101010100ff01010101010101010101010101010101010101010101ffff0c00000040092900aa000000000000001b00160000000000040000002701ffff030000000000>>
>
-
среднее значение j-го
признака
у объектов i-го
множества
(класса). Тогда для множества М>1>
среднее
значение функции >
>(x)
будет равно:
>0100090000036604000000001403000000001403000026060f001e06574d46430100000000000100e6740000000001000000fc05000000000000fc050000010000006c00000000000000000000000e000000190000000000000000000000760100006002000020454d4600000100fc0500000c00000001000000000000000000000000000000000500000004000040010000f000000000000000000000000000000000e2040080a90300460000002c00000020000000454d462b014001001c000000100000000210c0db01000000600000006000000046000000280200001c020000454d462b224004000c000000000000001e4009000c00000000000000244001000c000000000000003040020010000000040000000000803f214007000c000000000000000840000574010000680100000210c0db01000000000000000000000000000000000000000100000089504e470d0a1a0a0000000d494844520000000f0000001a0802000000e7af9135000000017352474200aece1ce9000000097048597300000ec400000ec401952b0e1b000000f149444154384fbd94311282301045134f826363c1219ca181b1f5081e016e616f0337b075c6c6914358d838e426ebb26c241b23a4d1ed8097cdff3f1b3400a8e85a449304626f805b39bd28af3be2f40f9504749ba6d05c456384449f6e2bbddca7373693ae126988d4db22b725b1c11a32e19a83c1d27e863633b985db7bb635382ecdf38ea2b79b898372e9c745e56b2f04b974a4dbf341a98fc8bed0a443b6c6ec75d50a9e4d77758e300f0fd013950cdf2a3128dad1911db1cbb8c6f667dad3912461b3036dae27cc63974d06821cd37d78f330dd1dd21798a5fe6ce56b4577cc9f0acfdffbf39f6f5adc5445fc595e5f0636c718a258840000000049454e44ae4260820840010824000000180000000210c0db01000000030000000000000000000000000000001b40000040000000340000000100000002000000000000bf000000bf000070410000d04103000000000000b3000000b3ffff6f41000000b3000000b3ffffcf412100000008000000620000000c00000001000000150000000c00000004000000150000000c00000004000000510000007002000000000000000000000e00000019000000000000000000000000000000000000000f0000001a0000005000000080000000d0000000a0010000000000002000cc000f0000001a000000280000000f0000001a0000000100080000000000000000000000000000000000160000000000000000000000ffffff00bfffff00000074009c480000ffffdf00489cdf0048000000ffdf9c000074bf0074000000ffffbf007400740074bfff00ffbf7400bf7400009cdfff0000004800dfffff0000489c00df9c4800dfdfdf00010101010101010101010101010101000101010101010101010101010101010001010101010101010101010101010100010101010101010101010101010101000307080101010106000000001401010001060a0b0101010101090f0101010100010203140101010101060f0101010100011213040501010101060f0101010100010106070801010101060f010101010001010d000e01011501060f0101010100010110111401010600000f0101010100010112130405010101090f0101010100010101090a0b010101010101010101000101010d07080101010101010101010001010110110e0101010101010101010001010102030f0101010101010101010001010d0000000007080101010101010001010101090a0b010101010101010100010101010d000e0101010101010101000101010101090a0b020c0b01010101000101010101010600000708010101010001010101010101010101010101010100010101010101010101010101010101000102030000000000000000000405010001010101010101010101010101010100010101010101010101010101010101004c0000006400000000000000000000000e0000001900000000000000000000000f0000001a0000002900aa0000000000000000000000803f00000000000000000000803f0000000000000000000000000000000000000000000000000000000000000000220000000c000000ffffffff460000001c00000010000000454d462b024000000c000000000000000e000000140000000000000010000000140000000400000003010800050000000b0200000000050000000c021a000f00030000001e00040000000701040004000000070104001d010000410b2000cc001a000f00000000001a000f0000000000280000000f0000001a0000000100080000000000000000000000000000000000160000000000000000000000ffffff00bfffff00000074009c480000ffffdf00489cdf0048000000ffdf9c000074bf0074000000ffffbf007400740074bfff00ffbf7400bf7400009cdfff0000004800dfffff0000489c00df9c4800dfdfdf00010101010101010101010101010101000101010101010101010101010101010001010101010101010101010101010100010101010101010101010101010101000307080101010106000000001401010001060a0b0101010101090f0101010100010203140101010101060f0101010100011213040501010101060f0101010100010106070801010101060f010101010001010d000e01011501060f0101010100010110111401010600000f0101010100010112130405010101090f0101010100010101090a0b010101010101010101000101010d07080101010101010101010001010110110e0101010101010101010001010102030f0101010101010101010001010d0000000007080101010101010001010101090a0b010101010101010100010101010d000e0101010101010101000101010101090a0b020c0b01010101000101010101010600000708010101010001010101010101010101010101010100010101010101010101010101010101000102030000000000000000000405010001010101010101010101010101010100010101010101010101010101010101000c00000040092900aa000000000000001a000f0000000000040000002701ffff030000000000>(x) = >010009000003680700000000b40400000000b404000026060f005e09574d46430100000000000100109500000000010000003c090000000000003c090000010000006c00000000000000000000002b0000001800000000000000000000004b0400004902000020454d46000001003c0900000c00000001000000000000000000000000000000000500000004000040010000f000000000000000000000000000000000e2040080a90300460000002c00000020000000454d462b014001001c000000100000000210c0db01000000600000006000000046000000a402000098020000454d462b224004000c000000000000001e4009000c00000000000000244001000c000000000000003040020010000000040000000000803f214007000c0000000000000008400005f0010000e40100000210c0db01000000000000000000000000000000000000000100000089504e470d0a1a0a0000000d494844520000002c000000190802000000c5515b48000000017352474200aece1ce9000000097048597300000ec400000ec401952b0e1b0000016b49444154484bed553b6ec3300ca57b12175932e41029ba387b8fd025bb8d9c2168f62ef10dba16f052d887c8e0a5886ea292fa99b6a254760ba405cc8d849ef444be2725524ab875dcdd9a009d3f93b053983be1f488ee981475fe6b92ce92d9a2a6994c98a2dc242636a5688aa468beef382ea340805eabf31824dfdb08428d383b9e557a3e662c0b4b0641792d2561151471948f0ee80e6578b76ddc7eb43cafa752c07fc35edc76c1911a7127dd39d595498124d4163fe1c00632898344618ab602582d52ab14f1f15641b674b9ad93e62e2a4e94fb0340d51a6df6d51c42f1baf76c8b72fbdc278534956f1ef0a40b81807647dd3cbcf7dd1442f97524912e711ca74f758fa6d8c213899d1ad1b9f4f1d5796640a329eedbddcb3a5dac40b360d60ea1fc7ae70ea72dfb220f8446b76525ad465730e2f4d4394039d1f0bab2685c84b6bb8e8e21f1dfbe72e5a2d11142f5ea31a3b0f3360cf89b72051e42f9f5f92bb7b3fd13c2fc0281e09da9c4c3ec100000000049454e44ae42608200000840010824000000180000000210c0db01000000030000000000000000000000000000001b40000040000000340000000100000002000000000000bf000000bf000030420000c84103000000000000b3000000b3ffff2f42000000b3000000b3ffffc7412100000008000000620000000c00000001000000150000000c00000004000000150000000c00000004000000510000003405000000000000000000002b00000018000000000000000000000000000000000000002c000000190000005000000098000000e80000004c040000000000002000cc002c00000019000000280000002c0000001900000001000800000000000000000000000000000000001c0000000000000000000000ffffff00bfffff0000007400480000009cdfff0000004800df9c48000074bf00ffbf74009c480000ffffdf0074bfff00bf740000dfffff0000489c00ffdf9c00bf744800dfbf740074489c00ffffbf00489cdf00740000009cdfbf009c48740000749c00dfdfdf007400740001010101010101010101010101010101010101010101010101010101010101010101010101010101010101010101010101010101010101010101010101010101010101010101010101010101010101010101010101010101010101010101010101010101010101010101010101010101010101010101010101010101010101010101010101010101010101010101010115000000000701010101010101010101010115000000000701011500000000070101010101010101010101010101080d01010101010101010101010101010101080d010101010101080d01010101010101010101010101010101150d01010101010101010101010101010101150d010101010101150d01010101010101010101010101010101150d01010101010101010101010101010101150d010101010101150d01010105060016140c00000901010101150d01010115000901011500161401010101150d010101010101150d01010e0f0a0b0218190a0b0809011a01150d0101010101080902030d021b14011a01150d010101011a01150d010102030d0101050616140101011500000d01010101010e13170609010101011500000d010101011500000d010102030d0101011504100101010101080d01010101010105061614010101010101080d010101010101080d01010e0f0a0b01010506090101010101010101010101010101080a0b0101010101010101010101010101010101010115041001010e0f0d010101010101010101010101010e0f00090101010101010101010101010101010101010105060d010101080a0b0101010101010101010101010203121314010101010101010101010101010101010101010c0007010e0f04100101010101010101010108090c04100511010101010101010101010101010101010101010105060000070809010101010101010101010108000a0b010c000d0101010101010101010101010101010101010101010101010101010101010101010101010101010101010101010101010101010101010101010101010101010101010101010101010101010101010101010101010101010101010101010101010101010101010101010101010101010101010101010101010102030000000000000000000000000000000000000000000000040101010101010101010101010101010101010101010101010101010101010101010101010101010101010101010101010101010101010101010101010101010101010101010101010101010101010101010101010101010101010101010101010101010101010101010101010101010101010101010101010101010101010101010101010101010101010101010101010101010101010101010101010101010101010101010101010101010101010101010101010101010101010101010101010101010101010101010101010101010101010101010101010101010101010101010101010101010101010101010101010101010101010101010101010101010101010101010101014c0000006400000000000000000000002b0000001800000000000000000000002c000000190000002900aa0000000000000000000000803f00000000000000000000803f0000000000000000000000000000000000000000000000000000000000000000220000000c000000ffffffff460000001c00000010000000454d462b024000000c000000000000000e000000140000000000000010000000140000000400000003010800050000000b0200000000050000000c0219002c00030000001e00040000000701040004000000070104007f020000410b2000cc0019002c000000000019002c0000000000280000002c0000001900000001000800000000000000000000000000000000001c0000000000000000000000ffffff00bfffff0000007400480000009cdfff0000004800df9c48000074bf00ffbf74009c480000ffffdf0074bfff00bf740000dfffff0000489c00ffdf9c00bf744800dfbf740074489c00ffffbf00489cdf00740000009cdfbf009c48740000749c00dfdfdf007400740001010101010101010101010101010101010101010101010101010101010101010101010101010101010101010101010101010101010101010101010101010101010101010101010101010101010101010101010101010101010101010101010101010101010101010101010101010101010101010101010101010101010101010101010101010101010101010101010115000000000701010101010101010101010115000000000701011500000000070101010101010101010101010101080d01010101010101010101010101010101080d010101010101080d01010101010101010101010101010101150d01010101010101010101010101010101150d010101010101150d01010101010101010101010101010101150d01010101010101010101010101010101150d010101010101150d01010105060016140c00000901010101150d01010115000901011500161401010101150d010101010101150d01010e0f0a0b0218190a0b0809011a01150d0101010101080902030d021b14011a01150d010101011a01150d010102030d0101050616140101011500000d01010101010e13170609010101011500000d010101011500000d010102030d0101011504100101010101080d01010101010105061614010101010101080d010101010101080d01010e0f0a0b01010506090101010101010101010101010101080a0b0101010101010101010101010101010101010115041001010e0f0d010101010101010101010101010e0f00090101010101010101010101010101010101010105060d010101080a0b0101010101010101010101010203121314010101010101010101010101010101010101010c0007010e0f04100101010101010101010108090c04100511010101010101010101010101010101010101010105060000070809010101010101010101010108000a0b010c000d0101010101010101010101010101010101010101010101010101010101010101010101010101010101010101010101010101010101010101010101010101010101010101010101010101010101010101010101010101010101010101010101010101010101010101010101010101010101010101010101010102030000000000000000000000000000000000000000000000040101010101010101010101010101010101010101010101010101010101010101010101010101010101010101010101010101010101010101010101010101010101010101010101010101010101010101010101010101010101010101010101010101010101010101010101010101010101010101010101010101010101010101010101010101010101010101010101010101010101010101010101010101010101010101010101010101010101010101010101010101010101010101010101010101010101010101010101010101010101010101010101010101010101010101010101010101010101010101010101010101010101010101010101010101010101010101010101010c00000040092900aa0000000000000019002c0000000000040000002701ffff030000000000>+>010009000003ec07000000000205000000000205000026060f00fa09574d46430100000000000100e9050000000001000000d809000000000000d8090000010000006c00000000000000000000002e000000180000000000000000000000960400004902000020454d4600000100d80900000c00000001000000000000000000000000000000000500000004000040010000f000000000000000000000000000000000e2040080a90300460000002c00000020000000454d462b014001001c000000100000000210c0db01000000600000006000000046000000d4020000c8020000454d462b224004000c000000000000001e4009000c00000000000000244001000c000000000000003040020010000000040000000000803f214007000c000000000000000840000520020000140200000210c0db01000000000000000000000000000000000000000100000089504e470d0a1a0a0000000d494844520000002f0000001908020000002e66e04b000000017352474200aece1ce9000000097048597300000ec400000ec401952b0e1b0000019a49444154484bed563b6ec3300c957b12175932e41006ba38e8da1b74ea6ea367289cbd4b7c83ae41bd14f621327829e29ba824f531ad54a9e466c8606e4ac827f2f1915622a51437637737930926b264e36fc7c2cd05a9c24cfddbdae24ab3902c13ee6592a978a8b789b66d3d74655276710d801034085671ea1c85a24543adcff7273a9ef6393b85c90a008a564ac42118c0c0739c89f176166c31e3c0d01b438b76562ef08d3254185e6c76f195315e89a778836ca82fd74a86f52a3e19092a1efa4688cd2a35921dbe3e1a91afed79142489f4b22a87fa6d2744d36b21b331404dbbb15af723ac2a6664562978c2343818eafe1014c9851078a734a4838af7bab0c04dba86e8e33755d3952fe209c702a931439e55f2f3595145be3eebcafbfeb5cad2d54688dd01d683017878b783ca627f831d67ca526216fdb912a14a2e30ab0c55bdf537644c00f0478fb62d2c4d78a0e99512e8edba79b361b0a12f0a5cd487475965fe46cdf9c7850daa94b3d216f376895a8b93ebce60433ae53e1862b319678ae8e383c4f904d8e545e11758a88ae748343ee607346ab8db526dbcbe0000000049454e44ae4260820000000840010824000000180000000210c0db01000000030000000000000000000000000000001b40000040000000340000000100000002000000000000bf000000bf00003c420000c84103000000000000b3000000b3ffff3b42000000b3000000b3ffffc7412100000008000000620000000c00000001000000150000000c00000004000000150000000c0000000400000051000000a005000000000000000000002e00000018000000000000000000000000000000000000002f0000001900000050000000a0000000f0000000b0040000000000002000cc002f00000019000000280000002f0000001900000001000800000000000000000000000000000000001e0000000000000000000000ffffff00bfffff00000074009cdfff0000004800df9c48000074bf00ffbf74009c480000ffffdf0074bfff00bf740000dfffff0000489c0048000000ffdf9c00bf744800dfbf740074489c00ffffbf00489cdf0074000000480074009cdfbf009c48740000749c004800480074007400dfdfdf0001010101010101010101010101010101010101010101010101010101010101010101010101010101010101010101010101010101010101010101010101010101010101010101010101010101010101010101010101010101010101010101010101010101010101010101010101010101010101010101010101010101010101010101010101010101010101010101010101010101010101010101010203000000000801010101010101010101010101010115000000000601020300000000080d0101010101010101010101010b0c01010b080101010101010101010101010101010101070c010101010b0c01010b080101010101010101010101010101150c0101010101010101010101010101010101010101150c0101010101150c0101010101010101010101010101010101010b0c01010101010101010101010101010101010101150c0101010101010b0c0101140104050016140b00000801010101011506010101010101150008010115001614010101150c01010101010101150601010d0e090a02191a090a070801010101041b1001010101010101070802030c021c141d01150c01010101010101041b100102030c0101040516140101021710010b0f10010101010101010d131805080101011500000c010101021710010b0f100102030c010101150f10010101020300000c010101010101010101040516140101010101070c01010101020300000c01010d0e090a010104050801010101010101010101010101010101010107090a01010101010101010101010101010101010d01150f1001010d0e0c01010101010101010101010101010101010d0e000801010101010101010101010101010101010f0104050c01010107090a010101010101010101010101010101010203121314010101010101010101010101010101010101010b0006010d0e0f10010101010101010101010101010107080b0f1004110101010101010101010101010101010101010101040500000607080101010101010101010101010101010700090a010b000c0101010101010101010101010101010101010101010101010101010101010101010101010101010101010101010101010101010101010101010101010101000101010101010101010101010101010101010101010101010101010101010101010101010101010101010101010101010101010101010101010101010101010101010101010102030000000000000000000000000000000000000000000000010101010101010101010101010101010101010101010101010101010101010101010101010101010101010101010101010101010101010101010101010101010101010101010101010101010101010101010101010101010101010101010101010101010101010101010101010101010101010101010101010101010101010101010101010101010101010101010101010101010101010101010101010101010101010101010101010101010101010101010101010101010101010101010101000101010101010101010101010101010101010101010101010101010101010101010101010101010101010101010101000101010101010101010101010101010101010101010101010101010101010101010101010101010101010101010101004c0000006400000000000000000000002e0000001800000000000000000000002f000000190000002900aa0000000000000000000000803f00000000000000000000803f0000000000000000000000000000000000000000000000000000000000000000220000000c000000ffffffff460000001c00000010000000454d462b024000000c000000000000000e000000140000000000000010000000140000000400000003010800050000000b0200000000050000000c0219002f00030000001e0004000000070104000400000007010400b5020000410b2000cc0019002f000000000019002f0000000000280000002f0000001900000001000800000000000000000000000000000000001e0000000000000000000000ffffff00bfffff00000074009cdfff0000004800df9c48000074bf00ffbf74009c480000ffffdf0074bfff00bf740000dfffff0000489c0048000000ffdf9c00bf744800dfbf740074489c00ffffbf00489cdf0074000000480074009cdfbf009c48740000749c004800480074007400dfdfdf0001010101010101010101010101010101010101010101010101010101010101010101010101010101010101010101010101010101010101010101010101010101010101010101010101010101010101010101010101010101010101010101010101010101010101010101010101010101010101010101010101010101010101010101010101010101010101010101010101010101010101010101010203000000000801010101010101010101010101010115000000000601020300000000080d0101010101010101010101010b0c01010b080101010101010101010101010101010101070c010101010b0c01010b080101010101010101010101010101150c0101010101010101010101010101010101010101150c0101010101150c0101010101010101010101010101010101010b0c01010101010101010101010101010101010101150c0101010101010b0c0101140104050016140b00000801010101011506010101010101150008010115001614010101150c01010101010101150601010d0e090a02191a090a070801010101041b1001010101010101070802030c021c141d01150c01010101010101041b100102030c0101040516140101021710010b0f10010101010101010d131805080101011500000c010101021710010b0f100102030c010101150f10010101020300000c010101010101010101040516140101010101070c01010101020300000c01010d0e090a010104050801010101010101010101010101010101010107090a01010101010101010101010101010101010d01150f1001010d0e0c01010101010101010101010101010101010d0e000801010101010101010101010101010101010f0104050c01010107090a010101010101010101010101010101010203121314010101010101010101010101010101010101010b0006010d0e0f10010101010101010101010101010107080b0f1004110101010101010101010101010101010101010101040500000607080101010101010101010101010101010700090a010b000c0101010101010101010101010101010101010101010101010101010101010101010101010101010101010101010101010101010101010101010101010101000101010101010101010101010101010101010101010101010101010101010101010101010101010101010101010101010101010101010101010101010101010101010101010102030000000000000000000000000000000000000000000000010101010101010101010101010101010101010101010101010101010101010101010101010101010101010101010101010101010101010101010101010101010101010101010101010101010101010101010101010101010101010101010101010101010101010101010101010101010101010101010101010101010101010101010101010101010101010101010101010101010101010101010101010101010101010101010101010101010101010101010101010101010101010101010101000101010101010101010101010101010101010101010101010101010101010101010101010101010101010101010101000101010101010101010101010101010101010101010101010101010101010101010101010101010101010101010101000c00000040092900aa0000000000000019002f0000000000040000002701ffff030000000000>; (2)
Для
множества М>2>
среднее
значение функции >0100090000035c04000000001003000000001003000026060f001606574d4643010000000000010063750000000001000000f405000000000000f4050000010000006c00000000000000000000000f0000001800000000000000000000008f0100004902000020454d4600000100f40500000c00000001000000000000000000000000000000000500000004000040010000f000000000000000000000000000000000e2040080a90300460000002c00000020000000454d462b014001001c000000100000000210c0db010000006000000060000000460000002c02000020020000454d462b224004000c000000000000001e4009000c00000000000000244001000c000000000000003040020010000000040000000000803f214007000c0000000000000008400005780100006c0100000210c0db01000000000000000000000000000000000000000100000089504e470d0a1a0a0000000d4948445200000010000000190802000000b79e39fe000000017352474200aece1ce9000000097048597300000ec400000ec401952b0e1b000000f349444154384fdd543b12823010dd78121c1b0a0e4109e331f408700aed6de006b68e360e1cc2c2c62137593721099b008e54ceb8552679efeddbcf4420222c89d512b0c2fe8420eb5c98c86b195a0e2db5a558ef93865a814d01c9261ad5a89e5c1006a0d0f0b9808578b404adcd22abbae91c3cc317861059d1f2f5a002b6e9e75172c2f306593c6e8b2f3010dacb1126fb3843d0868604340f1b65eb514c2fba2a23bc690d55cf8eeeaca1d692a4029ca1f480d75d5f4c1493100f43080c3984bc9fa13a19727fabf37886bc4d19ed494f50230b66ab34a6b64a11b4beff480aeea229f81be81d0ad4c3c5e204f1079fc01bb59987c95f23bb220000000049454e44ae42608200000840010824000000180000000210c0db01000000030000000000000000000000000000001b40000040000000340000000100000002000000000000bf000000bf000080410000c84103000000000000b3000000b3ffff7f41000000b3000000b3ffffc7412100000008000000620000000c00000001000000150000000c00000004000000150000000c00000004000000510000006402000000000000000000000f000000180000000000000000000000000000000000000010000000190000005000000084000000d400000090010000000000002000cc0010000000190000002800000010000000190000000100080000000000000000000000000000000000170000000000000000000000ffffff00489cdf0048000000ffdf9c000074bf0074000000ffffbf00bfffff007400740074bfff00ffbf740000007400bf7400009cdfff0000004800dfffff0000489c009c480000ffffdf00df9c48004800740048004800010101010101010101010101010101010101010101010101010101010101010101010101010101010101010101010101010101010101010101010101010101010c0304010101080c000000000b010101010206070101010a0d01010a0b01010101080c1401010101020d0101010101010110111213010101010a0d01010101010101020304010101010102140101010101010a000b01010101010e160401010101010e0f1401081504010a030401010101011011121301080c00000d01010101010101050607010101010101010101010101010a0304010101010101010101010101010e0f0b01010101010101010101010101080c0d0101010101010101010101010a0000000003040101010101010101010101050607010101010101010101010101010a000b0101010101010101010101010101050607080907010101010101010101010102000003040101010101010101010101010101010101010101010101010101010101010101010101010101010101010101010101010101010101010101010101010101010101010101014c0000006400000000000000000000000f00000018000000000000000000000010000000190000002900aa0000000000000000000000803f00000000000000000000803f0000000000000000000000000000000000000000000000000000000000000000220000000c000000ffffffff460000001c00000010000000454d462b024000000c000000000000000e000000140000000000000010000000140000000400000003010800050000000b0200000000050000000c0219001000030000001e000400000007010400040000000701040017010000410b2000cc00190010000000000019001000000000002800000010000000190000000100080000000000000000000000000000000000170000000000000000000000ffffff00489cdf0048000000ffdf9c000074bf0074000000ffffbf00bfffff007400740074bfff00ffbf740000007400bf7400009cdfff0000004800dfffff0000489c009c480000ffffdf00df9c48004800740048004800010101010101010101010101010101010101010101010101010101010101010101010101010101010101010101010101010101010101010101010101010101010c0304010101080c000000000b010101010206070101010a0d01010a0b01010101080c1401010101020d0101010101010110111213010101010a0d01010101010101020304010101010102140101010101010a000b01010101010e160401010101010e0f1401081504010a030401010101011011121301080c00000d01010101010101050607010101010101010101010101010a0304010101010101010101010101010e0f0b01010101010101010101010101080c0d0101010101010101010101010a0000000003040101010101010101010101050607010101010101010101010101010a000b0101010101010101010101010101050607080907010101010101010101010102000003040101010101010101010101010101010101010101010101010101010101010101010101010101010101010101010101010101010101010101010101010101010101010101010c00000040092900aa000000000000001900100000000000040000002701ffff030000000000
>
равно:
>0100090000037404000000002003000000002003000026060f003606574d464301000000000001000eec0000000001000000140600000000000014060000010000006c00000000000000000000000f0000001900000000000000000000008f0100006002000020454d4600000100140600000c00000001000000000000000000000000000000000500000004000040010000f000000000000000000000000000000000e2040080a90300460000002c00000020000000454d462b014001001c000000100000000210c0db010000006000000060000000460000003c02000030020000454d462b224004000c000000000000001e4009000c00000000000000244001000c000000000000003040020010000000040000000000803f214007000c0000000000000008400005880100007c0100000210c0db01000000000000000000000000000000000000000100000089504e470d0a1a0a0000000d49484452000000100000001a0802000000310a4b50000000017352474200aece1ce9000000097048597300000ec400000ec401952b0e1b0000010349444154384fc5543b128230104d3c098e8d0587a084f1187a043885f63670035b471b070e6161e3909bc465c967930042e1b85586bcb7fbdeee062ea5644b62b5048c58a88051e7d3d4b46c11c77f2e69c083a832ae22ab842fd42734055f1fe25ab98a3751e04c9bb6ce73848f85e992e9d4345e6a82df55ddc5a010ad80a42f0524312dde4fc0ef92e90152c2ebced26dd81637812534d71363437d1c21a0205b00e6a1a3681c8a6a435ba680570b06eec9d19c11aa2509306004254779dbf766a22d24a2a1089e2083108f0b2bcf8adc7fc53a8e203b2b90168ca5277423f366dbe5181a6247c0fcee25cd5de7f48ee1cbf4b2fb8b45097f79a2b3976fde1fea0322cc9aaeb28902050000000049454e44ae42608200000840010824000000180000000210c0db01000000030000000000000000000000000000001b40000040000000340000000100000002000000000000bf000000bf000080410000d04103000000000000b3000000b3ffff7f41000000b3000000b3ffffcf412100000008000000620000000c00000001000000150000000c00000004000000150000000c00000004000000510000007402000000000000000000000f0000001900000000000000000000000000000000000000100000001a0000005000000084000000d4000000a0010000000000002000cc00100000001a00000028000000100000001a0000000100080000000000000000000000000000000000170000000000000000000000ffffff00bfffff00000074009c480000ffffdf00489cdf0048000000ffdf9c000074bf0074000000ffffbf007400740074bfff00ffbf7400bf7400009cdfff0000004800dfffff0000489c00df9c48004800740048004800010101010101010101010101010101010101010101010101010101010101010101010101010101010101010101010101010101010101010101010101010101010307080101010203000000000e01010101060a0b0101010d0f01010d0e0101010102031401010101060f0101010101010112130405010101010d0f01010101010101060708010101010106140101010101010d000e0101010101101608010101010110111401021508010d070801010101011213040501020300000f01010101010101090a0b010101010101010101010101010d07080101010101010101010101010110110e0101010101010101010101010102030f0101010101010101010101010d0000000007080101010101010101010101090a0b010101010101010101010101010d000e0101010101010101010101010101090a0b020c0b01010101010101010101010600000708010101010101010101010101010101010101010101010101010101010101010101010101010101020300000000000000000004050101010101010101010101010101010101010101010101010101010101010101014c0000006400000000000000000000000f000000190000000000000000000000100000001a0000002900aa0000000000000000000000803f00000000000000000000803f0000000000000000000000000000000000000000000000000000000000000000220000000c000000ffffffff460000001c00000010000000454d462b024000000c000000000000000e000000140000000000000010000000140000000400000003010800050000000b0200000000050000000c021a001000030000001e00040000000701040004000000070104001f010000410b2000cc001a001000000000001a0010000000000028000000100000001a0000000100080000000000000000000000000000000000170000000000000000000000ffffff00bfffff00000074009c480000ffffdf00489cdf0048000000ffdf9c000074bf0074000000ffffbf007400740074bfff00ffbf7400bf7400009cdfff0000004800dfffff0000489c00df9c48004800740048004800010101010101010101010101010101010101010101010101010101010101010101010101010101010101010101010101010101010101010101010101010101010307080101010203000000000e01010101060a0b0101010d0f01010d0e0101010102031401010101060f0101010101010112130405010101010d0f01010101010101060708010101010106140101010101010d000e0101010101101608010101010110111401021508010d070801010101011213040501020300000f01010101010101090a0b010101010101010101010101010d07080101010101010101010101010110110e0101010101010101010101010102030f0101010101010101010101010d0000000007080101010101010101010101090a0b010101010101010101010101010d000e0101010101010101010101010101090a0b020c0b01010101010101010101010600000708010101010101010101010101010101010101010101010101010101010101010101010101010101020300000000000000000004050101010101010101010101010101010101010101010101010101010101010101010c00000040092900aa000000000000001a00100000000000040000002701ffff030000000000>(x) = >010009000003880700000000d00400000000d004000026060f009609574d46430100000000000100cfb10000000001000000740900000000000074090000010000006c00000000000000000000002b0000001800000000000000000000004b0400004902000020454d4600000100740900000c00000001000000000000000000000000000000000500000004000040010000f000000000000000000000000000000000e2040080a90300460000002c00000020000000454d462b014001001c000000100000000210c0db01000000600000006000000046000000d4020000c8020000454d462b224004000c000000000000001e4009000c00000000000000244001000c000000000000003040020010000000040000000000803f214007000c000000000000000840000520020000140200000210c0db01000000000000000000000000000000000000000100000089504e470d0a1a0a0000000d494844520000002c000000190802000000c5515b48000000017352474200aece1ce9000000097048597300000ec400000ec401952b0e1b0000019b49444154484bed953b7284300c864d4e42669b2df61064d2b0933637489aed61f60c0cf469961ba4dd094d060e918226b3be8923c94fc0996092cc36a893b1e4dfd2271c0921d8b5ede6da02f0fc5584eec25a09c3234cc7226bb3bf433a5a475415d30193d7fb48d9bee65d1ee5ddcf15876d681020f74a7f4ea49b5b01412d4e4f17722fa7d4f1be470682b256088ca55088433fd8983dd4893769e7e5c3ed59bb5402bc1bfae2ba0a4654c09d64e5a82a8b0c44508adf68701ab24883003079df30b6dbc49a14fefedab0746b7cbd8ecc7989e3755131d6f48a4d4b9ca2d68baa9b6df2dbe6f5e179280a64d2dcdcc1491e8380fe88d5acce836982538aad041d98a90a3d3f9e6c2022de423b3e3ee91e5d7e608f083b16c24ee9fd8b9999918c2ebfed8f65126f764caa30414929de9e6439e9046bd36c763a0c5bfa8f3c020d6feb2c491acd8282d347277c729193dcb8d96844e7d948c4bc20ea856f6cdc6cfffb94234ce70751265e9acc6280089aa210235e94822e1f0dd620db9caaea7e2b05d306fb928cdffa093d36dbfa94ebde0630118243d8de2f1d66ad2bceac402b0000000049454e44ae42608200000840010824000000180000000210c0db01000000030000000000000000000000000000001b40000040000000340000000100000002000000000000bf000000bf000030420000c84103000000000000b3000000b3ffff2f42000000b3000000b3ffffc7412100000008000000620000000c00000001000000150000000c00000004000000150000000c00000004000000510000003c05000000000000000000002b00000018000000000000000000000000000000000000002c0000001900000050000000a0000000f00000004c040000000000002000cc002c00000019000000280000002c0000001900000001000800000000000000000000000000000000001e0000000000000000000000ffffff00bfffff00000074009cdfff0000004800df9c48000074bf00ffbf74009c480000ffffdf0074bfff00bf740000dfffff0000489c0048000000ffdf9c00bf744800dfbf740074489c00ffffbf00489cdf00740000009cdfbf00480074009c48740000749c00dfdfdf00740074004800480001010101010101010101010101010101010101010101010101010101010101010101010101010101010101010101010101010101010101010101010101010101010101010101010101010101010101010101010101010101010101010101010101010101010101010101010101010101010101010101010101010101010101010101010101010101010101010101010115000000000601010101010101010101010203000000000801011500000000060101010101010101010101010101070c01010101010101010101010101010b0c01010b0801010101070c01010101010101010101010101010101150c010101010101010101010101010101150c01010101010101150c01010101010101010101010101010101150c010101010101010101010101010101010b0c010101010101150c01010104050016140b00000801010101150c010101150008010115001614010101010115060101010101150c01010d0e090a02191a090a0708011b01150c0101010101070802030c021c1401010101041d1001011b01150c010102030c0101040516140101011500000c01010101010d13170508010101021810010b0f1001011500000c010102030c010101150f100101010101070c0101010101010405161401010101020300000c0101010101070c01010d0e090a0101040508010101010101010101010101010107090a01010101010101010101010101010101010101150f1001010d0e0c010101010101010101010101010d0e00080101010101010101010101010101010101010104050c01010107090a0101010101010101010101010203121314010101010101010101010101010101010101010b0006010d0e0f100101010101010101010107080b0f10041101010101010101010101010101010101010101010405000006070801010101010101010101010700090a010b000c0101010101010101010101010101010101010101010101010101010101010101010101010101010101010101010101010101010101010101010101010101010101010101010101010101010101010101010101010101010101010101010101010101010101010101010101010101010101010101010101010102030000000000000000000000000000000000000000000000000101010101010101010101010101010101010101010101010101010101010101010101010101010101010101010101010101010101010101010101010101010101010101010101010101010101010101010101010101010101010101010101010101010101010101010101010101010101010101010101010101010101010101010101010101010101010101010101010101010101010101010101010101010101010101010101010101010101010101010101010101010101010101010101010101010101010101010101010101010101010101010101010101010101010101010101010101010101010101010101010101010101010101010101010101010101010101010101014c0000006400000000000000000000002b0000001800000000000000000000002c000000190000002900aa0000000000000000000000803f00000000000000000000803f0000000000000000000000000000000000000000000000000000000000000000220000000c000000ffffffff460000001c00000010000000454d462b024000000c000000000000000e000000140000000000000010000000140000000400000003010800050000000b0200000000050000000c0219002c00030000001e000400000007010400040000000701040083020000410b2000cc0019002c000000000019002c0000000000280000002c0000001900000001000800000000000000000000000000000000001e0000000000000000000000ffffff00bfffff00000074009cdfff0000004800df9c48000074bf00ffbf74009c480000ffffdf0074bfff00bf740000dfffff0000489c0048000000ffdf9c00bf744800dfbf740074489c00ffffbf00489cdf00740000009cdfbf00480074009c48740000749c00dfdfdf00740074004800480001010101010101010101010101010101010101010101010101010101010101010101010101010101010101010101010101010101010101010101010101010101010101010101010101010101010101010101010101010101010101010101010101010101010101010101010101010101010101010101010101010101010101010101010101010101010101010101010115000000000601010101010101010101010203000000000801011500000000060101010101010101010101010101070c01010101010101010101010101010b0c01010b0801010101070c01010101010101010101010101010101150c010101010101010101010101010101150c01010101010101150c01010101010101010101010101010101150c010101010101010101010101010101010b0c010101010101150c01010104050016140b00000801010101150c010101150008010115001614010101010115060101010101150c01010d0e090a02191a090a0708011b01150c0101010101070802030c021c1401010101041d1001011b01150c010102030c0101040516140101011500000c01010101010d13170508010101021810010b0f1001011500000c010102030c010101150f100101010101070c0101010101010405161401010101020300000c0101010101070c01010d0e090a0101040508010101010101010101010101010107090a01010101010101010101010101010101010101150f1001010d0e0c010101010101010101010101010d0e00080101010101010101010101010101010101010104050c01010107090a0101010101010101010101010203121314010101010101010101010101010101010101010b0006010d0e0f100101010101010101010107080b0f10041101010101010101010101010101010101010101010405000006070801010101010101010101010700090a010b000c0101010101010101010101010101010101010101010101010101010101010101010101010101010101010101010101010101010101010101010101010101010101010101010101010101010101010101010101010101010101010101010101010101010101010101010101010101010101010101010101010102030000000000000000000000000000000000000000000000000101010101010101010101010101010101010101010101010101010101010101010101010101010101010101010101010101010101010101010101010101010101010101010101010101010101010101010101010101010101010101010101010101010101010101010101010101010101010101010101010101010101010101010101010101010101010101010101010101010101010101010101010101010101010101010101010101010101010101010101010101010101010101010101010101010101010101010101010101010101010101010101010101010101010101010101010101010101010101010101010101010101010101010101010101010101010101010101010c00000040092900aa0000000000000019002c0000000000040000002701ffff030000000000>+>010009000003c80700000000e00400000000e004000026060f00b609574d4643010000000000010052de0000000001000000940900000000000094090000010000006c00000000000000000000002f000000180000000000000000000000af0400004902000020454d4600000100940900000c00000001000000000000000000000000000000000500000004000040010000f000000000000000000000000000000000e2040080a90300460000002c00000020000000454d462b014001001c000000100000000210c0db010000006000000060000000460000009402000088020000454d462b224004000c000000000000001e4009000c00000000000000244001000c000000000000003040020010000000040000000000803f214007000c0000000000000008400005e0010000d40100000210c0db01000000000000000000000000000000000000000100000089504e470d0a1a0a0000000d4948445200000030000000190802000000f8c33a2e000000017352474200aece1ce9000000097048597300000ec400000ec401952b0e1b0000015b49444154484bed56c191c3200cc4a9e466ee93470a71fa2145642625d81da4007f32a48cfc422744084484ad19c0770f3fcc0f8d58af562b43e79c535b5a872d91f15c7642a58eec0a95145230657f5e46173f539dd0ed635fd08a99da8ee72eaef3689f97eef2ac161a13e1885f70389c0bfb56946820b4413fbc71fb1e7ab6abb3180068e39cc74118c0f0fbe685a60e04d8f904db8c878cb4594b07ee31e243ea2482abeaa3e278756d450121d4e7bff8b0a6b511a16c30b57d4d4a9d7e7fc8c1f6719f547f4c7be6d7b249ed78bd2935bda2afbf53111d9f2348c150d257e2e0a74c724820010be642eb2042de701141869db5cce87e186850e2e070e9fdc77877b3b6507eaa500040832c1058904d5912866e82a5ade1a0486736a65165c9d922020fb6dc6552c16dce1511f2602d215ff4ca1f41e42c222c837584781146af21262248c11a42f3d7453b21114186dd9f1fa507c4e6ded41ffde3a30ca9ad079a0000000049454e44ae42608200000840010824000000180000000210c0db01000000030000000000000000000000000000001b40000040000000340000000100000002000000000000bf000000bf000040420000c84103000000000000b3000000b3ffff3f42000000b3000000b3ffffc7412100000008000000620000000c00000001000000150000000c00000004000000150000000c00000004000000510000009c05000000000000000000002f00000018000000000000000000000000000000000000003000000019000000500000009c000000ec000000b0040000000000002000cc00300000001900000028000000300000001900000001000800000000000000000000000000000000001d0000000000000000000000ffffff00bfffff00000074009cdfff0000004800df9c48000074bf00ffbf74009c480000ffffdf0074bfff00bf740000dfffff0000489c0048000000ffdf9c00bf744800dfbf740074489c00ffffbf00489cdf0074000000480074009cdfbf009c48740000749c0048004800740074000101010101010101010101010101010101010101010101010101010101010101010101010101010101010101010101010101010101010101010101010101010101010101010101010101010101010101010101010101010101010101010101010101010101010101010101010101010101010101010101010101010101010101010101010101010101010101010101010101010101010101010101020300000000080101010101010101010101010101010203000000000802030000000008010101010101010101010101010b0c01010b08010101010101010101010101010101010b0c01010b08010b0c01010b080101010101010101010101010101150c0101010101010101010101010101010101010101150c0101010101150c0101010101010101010101010101010101010b0c01010101010101010101010101010101010101010b0c01010101010b0c0101010104050016140b00000801010101011506010101010101150008010115001614010101010115060101010101150601010d0e090a02191a090a070801010101041b1001010101010101070802030c021c1401010101041b1001010101041b100102030c0101040516140101021710010b0f10010101010101010d13180508010101021710010b0f10021710010b0f100102030c010101150f10010101020300000c0101010101010101010405161401010101020300000c0101020300000c01010d0e090a010104050801010101010101010101010101010101010107090a01010101010101010101010101010101010101150f1001010d0e0c01010101010101010101010101010101010d0e00080101010101010101010101010101010101010104050c01010107090a010101010101010101010101010101010203121314010101010101010101010101010101010101010b0006010d0e0f10010101010101010101010101010107080b0f1004110101010101010101010101010101010101010101040500000607080101010101010101010101010101010700090a010b000c0101010101010101010101010101010101010101010101010101010101010101010101010101010101010101010101010101010101010101010101010101010101010101010101010101010101010101010101010101010101010101010101010101010101010101010101010101010101010101010101010101010101010101010101010102030000000000000000000000000000000000000000000000000101010101010101010101010101010101010101010101010101010101010101010101010101010101010101010101010101010101010101010101010101010101010101010101010101010101010101010101010101010101010101010101010101010101010101010101010101010101010101010101010101010101010101010101010101010101010101010101010101010101010101010101010101010101010101010101010101010101010101010101010101010101010101010101010101010101010101010101010101010101010101010101010101010101010101010101010101010101010101010101010101010101010101010101010101010101010101010101010101010101010101010101010101010101010101010101014c0000006400000000000000000000002f00000018000000000000000000000030000000190000002900aa0000000000000000000000803f00000000000000000000803f0000000000000000000000000000000000000000000000000000000000000000220000000c000000ffffffff460000001c00000010000000454d462b024000000c000000000000000e000000140000000000000010000000140000000400000003010800050000000b0200000000050000000c0219003000030000001e0004000000070104000400000007010400b3020000410b2000cc001900300000000000190030000000000028000000300000001900000001000800000000000000000000000000000000001d0000000000000000000000ffffff00bfffff00000074009cdfff0000004800df9c48000074bf00ffbf74009c480000ffffdf0074bfff00bf740000dfffff0000489c0048000000ffdf9c00bf744800dfbf740074489c00ffffbf00489cdf0074000000480074009cdfbf009c48740000749c0048004800740074000101010101010101010101010101010101010101010101010101010101010101010101010101010101010101010101010101010101010101010101010101010101010101010101010101010101010101010101010101010101010101010101010101010101010101010101010101010101010101010101010101010101010101010101010101010101010101010101010101010101010101010101020300000000080101010101010101010101010101010203000000000802030000000008010101010101010101010101010b0c01010b08010101010101010101010101010101010b0c01010b08010b0c01010b080101010101010101010101010101150c0101010101010101010101010101010101010101150c0101010101150c0101010101010101010101010101010101010b0c01010101010101010101010101010101010101010b0c01010101010b0c0101010104050016140b00000801010101011506010101010101150008010115001614010101010115060101010101150601010d0e090a02191a090a070801010101041b1001010101010101070802030c021c1401010101041b1001010101041b100102030c0101040516140101021710010b0f10010101010101010d13180508010101021710010b0f10021710010b0f100102030c010101150f10010101020300000c0101010101010101010405161401010101020300000c0101020300000c01010d0e090a010104050801010101010101010101010101010101010107090a01010101010101010101010101010101010101150f1001010d0e0c01010101010101010101010101010101010d0e00080101010101010101010101010101010101010104050c01010107090a010101010101010101010101010101010203121314010101010101010101010101010101010101010b0006010d0e0f10010101010101010101010101010107080b0f1004110101010101010101010101010101010101010101040500000607080101010101010101010101010101010700090a010b000c0101010101010101010101010101010101010101010101010101010101010101010101010101010101010101010101010101010101010101010101010101010101010101010101010101010101010101010101010101010101010101010101010101010101010101010101010101010101010101010101010101010101010101010101010102030000000000000000000000000000000000000000000000000101010101010101010101010101010101010101010101010101010101010101010101010101010101010101010101010101010101010101010101010101010101010101010101010101010101010101010101010101010101010101010101010101010101010101010101010101010101010101010101010101010101010101010101010101010101010101010101010101010101010101010101010101010101010101010101010101010101010101010101010101010101010101010101010101010101010101010101010101010101010101010101010101010101010101010101010101010101010101010101010101010101010101010101010101010101010101010101010101010101010101010101010101010101010101010101010c00000040092900aa000000000000001900300000000000040000002701ffff030000000000>; (3)
Геометрическая интерпретация этих функций - две параллельные прямые, проходящие через центры классов (множеств) (рис.2).

Рис. 2. Центры разделяемых множеств и константа дискриминации
Дискриминантная функция может быть как линейной, так и нелинейной. Выбор ее вида зависит от геометрического расположения разделяемых классов в пространстве дискриминантных переменных. Для упрощения выкладок в дальнейшем рассматривается линейная дискриминантная функция.
2. Расчет коэффициентов дискриминантной функции
Коэффициенты
дискриминантной функции >
>
определяются таким образом, чтобы >
>(x)
и >0100090000037404000000002003000000002003000026060f003606574d464301000000000001000eec0000000001000000140600000000000014060000010000006c00000000000000000000000f0000001900000000000000000000008f0100006002000020454d4600000100140600000c00000001000000000000000000000000000000000500000004000040010000f000000000000000000000000000000000e2040080a90300460000002c00000020000000454d462b014001001c000000100000000210c0db010000006000000060000000460000003c02000030020000454d462b224004000c000000000000001e4009000c00000000000000244001000c000000000000003040020010000000040000000000803f214007000c0000000000000008400005880100007c0100000210c0db01000000000000000000000000000000000000000100000089504e470d0a1a0a0000000d49484452000000100000001a0802000000310a4b50000000017352474200aece1ce9000000097048597300000ec400000ec401952b0e1b0000010349444154384fc5543b128230104d3c098e8d0587a084f1187a043885f63670035b471b070e6161e3909bc465c967930042e1b85586bcb7fbdeee062ea5644b62b5048c58a88051e7d3d4b46c11c77f2e69c083a832ae22ab842fd42734055f1fe25ab98a3751e04c9bb6ce73848f85e992e9d4345e6a82df55ddc5a010ad80a42f0524312dde4fc0ef92e90152c2ebced26dd81637812534d71363437d1c21a0205b00e6a1a3681c8a6a435ba680570b06eec9d19c11aa2509306004254779dbf766a22d24a2a1089e2083108f0b2bcf8adc7fc53a8e203b2b90168ca5277423f366dbe5181a6247c0fcee25cd5de7f48ee1cbf4b2fb8b45097f79a2b3976fde1fea0322cc9aaeb28902050000000049454e44ae42608200000840010824000000180000000210c0db01000000030000000000000000000000000000001b40000040000000340000000100000002000000000000bf000000bf000080410000d04103000000000000b3000000b3ffff7f41000000b3000000b3ffffcf412100000008000000620000000c00000001000000150000000c00000004000000150000000c00000004000000510000007402000000000000000000000f0000001900000000000000000000000000000000000000100000001a0000005000000084000000d4000000a0010000000000002000cc00100000001a00000028000000100000001a0000000100080000000000000000000000000000000000170000000000000000000000ffffff00bfffff00000074009c480000ffffdf00489cdf0048000000ffdf9c000074bf0074000000ffffbf007400740074bfff00ffbf7400bf7400009cdfff0000004800dfffff0000489c00df9c48004800740048004800010101010101010101010101010101010101010101010101010101010101010101010101010101010101010101010101010101010101010101010101010101010307080101010203000000000e01010101060a0b0101010d0f01010d0e0101010102031401010101060f0101010101010112130405010101010d0f01010101010101060708010101010106140101010101010d000e0101010101101608010101010110111401021508010d070801010101011213040501020300000f01010101010101090a0b010101010101010101010101010d07080101010101010101010101010110110e0101010101010101010101010102030f0101010101010101010101010d0000000007080101010101010101010101090a0b010101010101010101010101010d000e0101010101010101010101010101090a0b020c0b01010101010101010101010600000708010101010101010101010101010101010101010101010101010101010101010101010101010101020300000000000000000004050101010101010101010101010101010101010101010101010101010101010101014c0000006400000000000000000000000f000000190000000000000000000000100000001a0000002900aa0000000000000000000000803f00000000000000000000803f0000000000000000000000000000000000000000000000000000000000000000220000000c000000ffffffff460000001c00000010000000454d462b024000000c000000000000000e000000140000000000000010000000140000000400000003010800050000000b0200000000050000000c021a001000030000001e00040000000701040004000000070104001f010000410b2000cc001a001000000000001a0010000000000028000000100000001a0000000100080000000000000000000000000000000000170000000000000000000000ffffff00bfffff00000074009c480000ffffdf00489cdf0048000000ffdf9c000074bf0074000000ffffbf007400740074bfff00ffbf7400bf7400009cdfff0000004800dfffff0000489c00df9c48004800740048004800010101010101010101010101010101010101010101010101010101010101010101010101010101010101010101010101010101010101010101010101010101010307080101010203000000000e01010101060a0b0101010d0f01010d0e0101010102031401010101060f0101010101010112130405010101010d0f01010101010101060708010101010106140101010101010d000e0101010101101608010101010110111401021508010d070801010101011213040501020300000f01010101010101090a0b010101010101010101010101010d07080101010101010101010101010110110e0101010101010101010101010102030f0101010101010101010101010d0000000007080101010101010101010101090a0b010101010101010101010101010d000e0101010101010101010101010101090a0b020c0b01010101010101010101010600000708010101010101010101010101010101010101010101010101010101010101010101010101010101020300000000000000000004050101010101010101010101010101010101010101010101010101010101010101010c00000040092900aa000000000000001a00100000000000040000002701ffff030000000000
>(x)
как можно больше различались между
собой, т.е. чтобы для двух множеств
(классов) было максимальным выражение
(4)
Тогда можно записать следующее:
(5)
где k- номер группы; p – число переменных, характеризующих каждое наблюдение.
Обозначим дискриминантную функцию >010009000003cc04000000004a03000000004a03000026060f008a06574d46430100000000000100b37a0000000001000000680600000000000068060000010000006c000000000000000000000010000000180000000000000000000000a80100004902000020454d4600000100680600000c00000001000000000000000000000000000000000500000004000040010000f000000000000000000000000000000000e2040080a90300460000002c00000020000000454d462b014001001c000000100000000210c0db010000006000000060000000460000003402000028020000454d462b224004000c000000000000001e4009000c00000000000000244001000c000000000000003040020010000000040000000000803f214007000c000000000000000840000580010000740100000210c0db01000000000000000000000000000000000000000100000089504e470d0a1a0a0000000d4948445200000011000000190802000000585c52c0000000017352474200aece1ce9000000097048597300000ec400000ec401952b0e1b000000fd49444154384fdd54bb0dc230103d33098886224320d124a265044648a680119c0d6891d2a064088a3428dec49ccf1f2ec67c52217115badcbbf7f109a1b58689359b386fc67f885175215c15b54a688fb5759558ecb31693d16d09d9729ef26bbe86c2318092106f0aa643b4c71003ab5c0e2f9938cf77cab46619a8db15cd6cd71f5f9963fa06f25532a8f19a07a63b1f81878ba963255fc83b1d640e30768efe9251781e7539a1b2dd864933fe928f1a3068269a507d63ed5995a2ea9c2d87a1ccc601608bf1a2c8434894fc24cc50cb567c4c96076544664ccb0410df078d7b96689999a596ffd1ca704d4077f614a951e6b63826b653fcd97fc81dd773878e70c173700000000049454e44ae4260820840010824000000180000000210c0db01000000030000000000000000000000000000001b40000040000000340000000100000002000000000000bf000000bf000088410000c84103000000000000b3000000b3ffff8741000000b3000000b3ffffc7412100000008000000620000000c00000001000000150000000c00000004000000150000000c0000000400000051000000d002000000000000000000001000000018000000000000000000000000000000000000001100000019000000500000008c000000dc000000f4010000000000002000cc0011000000190000002800000011000000190000000100080000000000000000000000000000000000190000000000000000000000ffffff00489cdf0048000000ffdf9c000074bf0074000000ffffbf00bfffff007400740074bfff00ffbf740000007400bf7400009cdfff00000048009c480000ffffdf00dfffff0000489c00df9c4800480074009c4848009cbfff007400480001010101010101010101010101010101010101000101010101010101010101010101010101010100010101010101010101010101010101010101010001010101010101010101010101010101010101000c0304010101010e18070105000d01010101010001020607010101080c0b080c0b1704010101010001080c140101010105140a060701010101010100011213101101010102000006070101010101010001010203040101010e1611080c1401010101010001010a000b010101081504080c000b010101010001010e0f1401010112130b010101010101010100010112131011010101051401010101010101010001010105060701010a00101101010101010101000101010a030401010101010101010101010101000101010e0f0b0101010101010101010101010100010101080c0d010101010101010101010101010001010a00000000030401010101010101010101000101010105060701010101010101010101010100010101010a000b010101010101010101010101000101010101050607080907010101010101010100010101010101020000030401010101010101010001010101010101010101010101010101010101000101010101010101010101010101010101010100010101010101010101010101010101010101010001010101010101010101010101010101010101004c0000006400000000000000000000001000000018000000000000000000000011000000190000002900aa0000000000000000000000803f00000000000000000000803f0000000000000000000000000000000000000000000000000000000000000000220000000c000000ffffffff460000001c00000010000000454d462b024000000c000000000000000e000000140000000000000010000000140000000400000003010800050000000b0200000000050000000c0219001100030000001e00040000000701040004000000070104004d010000410b2000cc00190011000000000019001100000000002800000011000000190000000100080000000000000000000000000000000000190000000000000000000000ffffff00489cdf0048000000ffdf9c000074bf0074000000ffffbf00bfffff007400740074bfff00ffbf740000007400bf7400009cdfff00000048009c480000ffffdf00dfffff0000489c00df9c4800480074009c4848009cbfff007400480001010101010101010101010101010101010101000101010101010101010101010101010101010100010101010101010101010101010101010101010001010101010101010101010101010101010101000c0304010101010e18070105000d01010101010001020607010101080c0b080c0b1704010101010001080c140101010105140a060701010101010100011213101101010102000006070101010101010001010203040101010e1611080c1401010101010001010a000b010101081504080c000b010101010001010e0f1401010112130b010101010101010100010112131011010101051401010101010101010001010105060701010a00101101010101010101000101010a030401010101010101010101010101000101010e0f0b0101010101010101010101010100010101080c0d010101010101010101010101010001010a00000000030401010101010101010101000101010105060701010101010101010101010100010101010a000b010101010101010101010101000101010101050607080907010101010101010100010101010101020000030401010101010101010001010101010101010101010101010101010101000101010101010101010101010101010101010100010101010101010101010101010101010101010001010101010101010101010101010101010101000c00000040092900aa000000000000001900110000000000040000002701ffff030000000000>(x) как >0100090000034c05000000009603000000009603000026060f002207574d4643010000000000010071eb0000000001000000000700000000000000070000010000006c0000000000000000000000160000001800000000000000000000003e0200004902000020454d4600000100000700000c00000001000000000000000000000000000000000500000004000040010000f000000000000000000000000000000000e2040080a90300460000002c00000020000000454d462b014001001c000000100000000210c0db010000006000000060000000460000006402000058020000454d462b224004000c000000000000001e4009000c00000000000000244001000c000000000000003040020010000000040000000000803f214007000c0000000000000008400005b0010000a40100000210c0db01000000000000000000000000000000000000000100000089504e470d0a1a0a0000000d494844520000001700000019080200000055422287000000017352474200aece1ce9000000097048597300000ec400000ec401952b0e1b0000012c49444154384fdd94310e82301486c19398b8387808129712566fc10aa79023941bb892b0187a080717436f827dbc02afad54088bb1132df4ef7bdfffd3b0ebba60f3d86d560081bf541179388c5c684cb28c9d351f41e551d764f005e32d4cf4c0b5ac214bf38f3ddd28e5cc3a49be1e207b8d96798807b420331d0c53b3347f49016d40cb80c6c256f4ee4105d9c0def51a2afd064ec679b6aa15bb1644b3d8159393f507309e125730497129bf1a6506c486aa687df4ca8237d622aa42b59398f980d49c0e7ba71479bfd5ec48d6bd511d4bc124a3fffa19a5b1d2de23b26ed4afead673f8627ae5846172da4da776cd75cea1e5bba5e4b386f38d0e405221649733a5e55101de80364ab2a0a884da5df69e8fc8453e8660f63723cd53b604e3148b10086f1ebf747bbf010b5ba38eadab5dc90000000049454e44ae426082000840010824000000180000000210c0db01000000030000000000000000000000000000001b40000040000000340000000100000002000000000000bf000000bf0000b8410000c84103000000000000b3000000b3ffffb741000000b3000000b3ffffc7412100000008000000620000000c00000001000000150000000c00000004000000150000000c000000040000005100000038030000000000000000000016000000180000000000000000000000000000000000000017000000190000005000000090000000e000000058020000000000002000cc00170000001900000028000000170000001900000001000800000000000000000000000000000000001a0000000000000000000000ffffff00bfffff0000007400bf7400009cdfff0000004800ffbf740074bfff009c480000ffffdf000074bf00dfffff0000489c00df9c4800489cdf0074000000ffffbf007400480000749c0048000000ffdf9c00480074009c4848009cbfff009c4874000101010101010101010101010101010101010101010101000101010101010101010101010101010101010101010101000101010101010101010101010101010101010101010101000101010101010101051211010b000401010b001011010100010101010101010102030702030718150c0d0702190a01000101010101010101010b0e0810110101010b0e01010101000101010101010101010f0000101101010108090a0101010001080000000e01010105170a02030e0101051211010101000101080004010101010216150203000702030000000e01000101020304010101010c0d0701010101010c0d0e010101000101010b1011010101010b0e0101010101010f04010101000101010f14150101010800090a01010101010101010101000101010f00040101010101010101010101010101010101000101010b09130e010101010101010101010101010101010001010203040c0d070101010101010101010101010101010001010800070105121101010101010101010101010101010001010f101101010f090a0101010101010101010101010100010c0d090a01010c0d0e0101010101010101010101010100010800090a0101010b0007010101010101010101010101000203000004010105060000070101010101010101010101000101010101010101010101010101010101010101010101000101010101010101010101010101010101010101010101000101010101010101010101010101010101010101010101000101010101010101010101010101010101010101010101000101010101010101010101010101010101010101010101004c0000006400000000000000000000001600000018000000000000000000000017000000190000002900aa0000000000000000000000803f00000000000000000000803f0000000000000000000000000000000000000000000000000000000000000000220000000c000000ffffffff460000001c00000010000000454d462b024000000c000000000000000e000000140000000000000010000000140000000400000003010800050000000b0200000000050000000c0219001700030000001e000400000007010400040000000701040081010000410b2000cc001900170000000000190017000000000028000000170000001900000001000800000000000000000000000000000000001a0000000000000000000000ffffff00bfffff0000007400bf7400009cdfff0000004800ffbf740074bfff009c480000ffffdf000074bf00dfffff0000489c00df9c4800489cdf0074000000ffffbf007400480000749c0048000000ffdf9c00480074009c4848009cbfff009c4874000101010101010101010101010101010101010101010101000101010101010101010101010101010101010101010101000101010101010101010101010101010101010101010101000101010101010101051211010b000401010b001011010100010101010101010102030702030718150c0d0702190a01000101010101010101010b0e0810110101010b0e01010101000101010101010101010f0000101101010108090a0101010001080000000e01010105170a02030e0101051211010101000101080004010101010216150203000702030000000e01000101020304010101010c0d0701010101010c0d0e010101000101010b1011010101010b0e0101010101010f04010101000101010f14150101010800090a01010101010101010101000101010f00040101010101010101010101010101010101000101010b09130e010101010101010101010101010101010001010203040c0d070101010101010101010101010101010001010800070105121101010101010101010101010101010001010f101101010f090a0101010101010101010101010100010c0d090a01010c0d0e0101010101010101010101010100010800090a0101010b0007010101010101010101010101000203000004010105060000070101010101010101010101000101010101010101010101010101010101010101010101000101010101010101010101010101010101010101010101000101010101010101010101010101010101010101010101000101010101010101010101010101010101010101010101000101010101010101010101010101010101010101010101000c00000040092900aa000000000000001900170000000000040000002701ffff030000000000> (k - номер группы, t - номер наблюдения в группе). Внутригрупповая вариация может быть измерена суммой квадратов отклонений:
(6)
По обеим группам это будет выглядеть следующим образом:
(7)
В матричной форме это выражение может быть записано так:
(8)
где А - вектор коэффициентов дискриминантной функции;
>
>
- транспонированная
матрица отклонений наблюдаемых значений
исходных переменных от их средних
величин в первой группе
(9)
>
>
- аналогичная
матрица для второй группы.
Объединенная ковариационная матрица >0100090000035e04000000000e03000000000e03000026060f001206574d4643010000000000010022260000000001000000f005000000000000f0050000010000006c00000000000000000000000f0000001800000000000000000000008f0100004902000020454d4600000100f00500000c00000001000000000000000000000000000000000500000004000040010000f000000000000000000000000000000000e2040080a90300460000002c00000020000000454d462b014001001c000000100000000210c0db010000006000000060000000460000002002000014020000454d462b224004000c000000000000001e4009000c00000000000000244001000c000000000000003040020010000000040000000000803f214007000c00000000000000084000056c010000600100000210c0db01000000000000000000000000000000000000000100000089504e470d0a1a0a0000000d4948445200000010000000190802000000b79e39fe000000017352474200aece1ce9000000097048597300000ec400000ec401952b0e1b000000e649444154384f63fcffff3f0329808914c520b5835dc381524614507a00d387703f80143b5e99731f186a20b0bf8481c14343014b9040e4efcff1002a802b87e828d90fd58d4c31200cc4ae005d0fd4490a1a401b7ab662713386a36026801c0d0428cec2e2a2ff5027c13d4a5013b20658e8003561f52fd854740dd000c3ad03332d29388700030027606200c6186a8c3eb8b103479c814d01870e226cc03188eaa0fb734a906294e9ee15a0821d298ad044a498a2038cdf6e07889310b62358d8c21a590c1a3ff060c39f8180e6766aec073a69bf4627cca7846c008533b21f18874121000030eea587f40c576c0000000049454e44ae4260820000000840010824000000180000000210c0db01000000030000000000000000000000000000001b40000040000000340000000100000002000000000000bf000000bf000080410000c84103000000000000b3000000b3ffff7f41000000b3000000b3ffffc7412100000008000000620000000c00000001000000150000000c00000004000000150000000c00000004000000510000006c02000000000000000000000f00000018000000000000000000000000000000000000001000000019000000500000008c000000dc00000090010000000000002000cc0010000000190000002800000010000000190000000100080000000000000000000000000000000000190000000000000000000000ffffff000074bf00bf740000bfffff00000074009c480000ffffdf00df9c4800489cdf0048000000ffdf9c00ffbf740074000000ffffbf00dfffff0000489c0074bfff009cdfff00df9c7400740074009cdfbf00480074009cbf9c00bf9c7400010101010101010101010101010101010101010101010101010101010101010101010101010101010101010101010101010101010101010101010101010101010101010101010101010101121301010101010101010101010104161718100c01010101010101010101010405000c010110000000000d0e010104141513020c01020a0b010109000c010101121301010111030101010102060701010101010101010101010101090d0e0101010101010101010101010f100d0e01010101010101010101010102000301010101010101010101010405000607010101010101010101010405000801010101010101010101010109000c01010101010101010101010101020d0e01010101010101010101010101090a0b010101020c010101010101010104050607010405080101010101010101010102000000000301010101010101010101010101010101010101010101010101010101010101010101010101010101010101010101010101010101010101010101010101010101010101010101010101010101010101010101010101014c0000006400000000000000000000000f00000018000000000000000000000010000000190000002900aa0000000000000000000000803f00000000000000000000803f0000000000000000000000000000000000000000000000000000000000000000220000000c000000ffffffff460000001c00000010000000454d462b024000000c000000000000000e000000140000000000000010000000140000000400000003010800050000000b0200000000050000000c0219001000030000001e00040000000701040004000000070104001b010000410b2000cc00190010000000000019001000000000002800000010000000190000000100080000000000000000000000000000000000190000000000000000000000ffffff000074bf00bf740000bfffff00000074009c480000ffffdf00df9c4800489cdf0048000000ffdf9c00ffbf740074000000ffffbf00dfffff0000489c0074bfff009cdfff00df9c7400740074009cdfbf00480074009cbf9c00bf9c7400010101010101010101010101010101010101010101010101010101010101010101010101010101010101010101010101010101010101010101010101010101010101010101010101010101121301010101010101010101010104161718100c01010101010101010101010405000c010110000000000d0e010104141513020c01020a0b010109000c010101121301010111030101010102060701010101010101010101010101090d0e0101010101010101010101010f100d0e01010101010101010101010102000301010101010101010101010405000607010101010101010101010405000801010101010101010101010109000c01010101010101010101010101020d0e01010101010101010101010101090a0b010101020c010101010101010104050607010405080101010101010101010102000000000301010101010101010101010101010101010101010101010101010101010101010101010101010101010101010101010101010101010101010101010101010101010101010101010101010101010101010101010101010c00000040092900aa000000000000001900100000000000040000002701ffff030000000000> определяется так:
(10)
Следовательно выражение (8) дает оценку внутригрупповой вариации и его можно записать в виде:
(11)
Межгрупповая вариация может быть измерена как
(12)
При нахождении коэффициентов дискриминантной функции >0100090000037c04000000002003000000002003000026060f003606574d4643010000000000010056730000000001000000140600000000000014060000010000006c00000000000000000000000f0000001a00000000000000000000008f0100007802000020454d4600000100140600000c00000001000000000000000000000000000000000500000004000040010000f000000000000000000000000000000000e2040080a90300460000002c00000020000000454d462b014001001c000000100000000210c0db010000006000000060000000460000002c02000020020000454d462b224004000c000000000000001e4009000c00000000000000244001000c000000000000003040020010000000040000000000803f214007000c0000000000000008400005780100006c0100000210c0db01000000000000000000000000000000000000000100000089504e470d0a1a0a0000000d49484452000000100000001b0802000000fa5698f5000000017352474200aece1ce9000000097048597300000ec400000ec401952b0e1b000000f249444154384fed94310e83300c45939e04a90b430f51a90bec5ca2ea4a6ed123c00dba5662a9c821185810b949b08313928a96b075a81714c5fedf7e06b8d69aed89c39e64ccfd17c410f328a93ae71479ada4e042ae29c0e230da122eb36a3487b1cabc1365d0832d0965ebaeb0dc5687f91a5b52af4703f7b7b3ed400d1d63a763b23a1335e0eb998e3cbfc0031c54df047ab3611ae8231020819634af139c07fe6880332429a474832997e2ca0a9c180d882ce1b690174a4ed820f65dd0d5b660b06e0528382831df03527690230a90da022da6a06fb2e262296f17c8e73dd87ac4c0c152be50a215bebd84fcf7fe4b132b4b6d10968f02240000000049454e44ae4260820000000840010824000000180000000210c0db01000000030000000000000000000000000000001b40000040000000340000000100000002000000000000bf000000bf000080410000d84103000000000080b3000080b3ffff7f41000080b3000080b3ffffd7412100000008000000620000000c00000001000000150000000c00000004000000150000000c00000004000000510000008402000000000000000000000f0000001a00000000000000000000000000000000000000100000001b0000005000000084000000d4000000b0010000000000002000cc00100000001b00000028000000100000001b0000000100080000000000000000000000000000000000170000000000000000000000ffffff009cdfff0000004800df9c48000074bf00ffbf740074bfff00dfffff0000489c0048000000ffdf9c00bf7400009c480000ffffdf00489cdf00bfffff000000740074000000ffffbf009c48740000749c004800480001010101010101010101010101010101010101010101010101010101010101010101010101010101010101010101010101010101010101010809000401010101010101010101010101011011060101010101010101010101010101050c0101010101010101010101010101070d0e0101010101010101010101010102160b010101010101010101010101010809060101010101010101010101010101050401010102030012130700000601010f0c010108090d0e1014150d0e0506020312130110110c0101020312130101010101010110110c0101010f0a0b0101010809040108090d0e010102030601010101010101010f0a0b010108090c010101010101010102030c010101050d0e01010101010101010700040108090a0b0101010101010101010203000004050601010101010101010101010101010101010101010101010101010101010101010101010101010101010101010101010101010101010101010101010101010101010101010101010101010101010101010101010101010101010101010101010101010101010101010101010101010101010101010101010101010101010101010101010101014c0000006400000000000000000000000f0000001a0000000000000000000000100000001b0000002900aa0000000000000000000000803f00000000000000000000803f0000000000000000000000000000000000000000000000000000000000000000220000000c000000ffffffff460000001c00000010000000454d462b024000000c000000000000000e000000140000000000000010000000140000000400000003010800050000000b0200000000050000000c021b001000030000001e000400000007010400040000000701040027010000410b2000cc001b001000000000001b0010000000000028000000100000001b0000000100080000000000000000000000000000000000170000000000000000000000ffffff009cdfff0000004800df9c48000074bf00ffbf740074bfff00dfffff0000489c0048000000ffdf9c00bf7400009c480000ffffdf00489cdf00bfffff000000740074000000ffffbf009c48740000749c004800480001010101010101010101010101010101010101010101010101010101010101010101010101010101010101010101010101010101010101010809000401010101010101010101010101011011060101010101010101010101010101050c0101010101010101010101010101070d0e0101010101010101010101010102160b010101010101010101010101010809060101010101010101010101010101050401010102030012130700000601010f0c010108090d0e1014150d0e0506020312130110110c0101020312130101010101010110110c0101010f0a0b0101010809040108090d0e010102030601010101010101010f0a0b010108090c010101010101010102030c010101050d0e01010101010101010700040108090a0b0101010101010101010203000004050601010101010101010101010101010101010101010101010101010101010101010101010101010101010101010101010101010101010101010101010101010101010101010101010101010101010101010101010101010101010101010101010101010101010101010101010101010101010101010101010101010101010101010101010101010c00000040092900aa000000000000001b00100000000000040000002701ffff030000000000> следует исходить из того, что для рассматриваемых объектов внутригрупповая вариация должна быть минимальной, а межгрупповая вариация - максимальной. В этом случае мы достигнем наилучшего разделения двух групп, т.е. необходимо, чтобы величина F была максимальной:
(13)
В точке, где функция F достигает максимума, частные производные по >0100090000037c04000000002003000000002003000026060f003606574d4643010000000000010056730000000001000000140600000000000014060000010000006c00000000000000000000000f0000001a00000000000000000000008f0100007802000020454d4600000100140600000c00000001000000000000000000000000000000000500000004000040010000f000000000000000000000000000000000e2040080a90300460000002c00000020000000454d462b014001001c000000100000000210c0db010000006000000060000000460000002c02000020020000454d462b224004000c000000000000001e4009000c00000000000000244001000c000000000000003040020010000000040000000000803f214007000c0000000000000008400005780100006c0100000210c0db01000000000000000000000000000000000000000100000089504e470d0a1a0a0000000d49484452000000100000001b0802000000fa5698f5000000017352474200aece1ce9000000097048597300000ec400000ec401952b0e1b000000f249444154384fed94310e83300c45939e04a90b430f51a90bec5ca2ea4a6ed123c00dba5662a9c821185810b949b08313928a96b075a81714c5fedf7e06b8d69aed89c39e64ccfd17c410f328a93ae71479ada4e042ae29c0e230da122eb36a3487b1cabc1365d0832d0965ebaeb0dc5687f91a5b52af4703f7b7b3ed400d1d63a763b23a1335e0eb998e3cbfc0031c54df047ab3611ae8231020819634af139c07fe6880332429a474832997e2ca0a9c180d882ce1b690174a4ed820f65dd0d5b660b06e0528382831df03527690230a90da022da6a06fb2e262296f17c8e73dd87ac4c0c152be50a215bebd84fcf7fe4b132b4b6d10968f02240000000049454e44ae4260820000000840010824000000180000000210c0db01000000030000000000000000000000000000001b40000040000000340000000100000002000000000000bf000000bf000080410000d84103000000000080b3000080b3ffff7f41000080b3000080b3ffffd7412100000008000000620000000c00000001000000150000000c00000004000000150000000c00000004000000510000008402000000000000000000000f0000001a00000000000000000000000000000000000000100000001b0000005000000084000000d4000000b0010000000000002000cc00100000001b00000028000000100000001b0000000100080000000000000000000000000000000000170000000000000000000000ffffff009cdfff0000004800df9c48000074bf00ffbf740074bfff00dfffff0000489c0048000000ffdf9c00bf7400009c480000ffffdf00489cdf00bfffff000000740074000000ffffbf009c48740000749c004800480001010101010101010101010101010101010101010101010101010101010101010101010101010101010101010101010101010101010101010809000401010101010101010101010101011011060101010101010101010101010101050c0101010101010101010101010101070d0e0101010101010101010101010102160b010101010101010101010101010809060101010101010101010101010101050401010102030012130700000601010f0c010108090d0e1014150d0e0506020312130110110c0101020312130101010101010110110c0101010f0a0b0101010809040108090d0e010102030601010101010101010f0a0b010108090c010101010101010102030c010101050d0e01010101010101010700040108090a0b0101010101010101010203000004050601010101010101010101010101010101010101010101010101010101010101010101010101010101010101010101010101010101010101010101010101010101010101010101010101010101010101010101010101010101010101010101010101010101010101010101010101010101010101010101010101010101010101010101010101014c0000006400000000000000000000000f0000001a0000000000000000000000100000001b0000002900aa0000000000000000000000803f00000000000000000000803f0000000000000000000000000000000000000000000000000000000000000000220000000c000000ffffffff460000001c00000010000000454d462b024000000c000000000000000e000000140000000000000010000000140000000400000003010800050000000b0200000000050000000c021b001000030000001e000400000007010400040000000701040027010000410b2000cc001b001000000000001b0010000000000028000000100000001b0000000100080000000000000000000000000000000000170000000000000000000000ffffff009cdfff0000004800df9c48000074bf00ffbf740074bfff00dfffff0000489c0048000000ffdf9c00bf7400009c480000ffffdf00489cdf00bfffff000000740074000000ffffbf009c48740000749c004800480001010101010101010101010101010101010101010101010101010101010101010101010101010101010101010101010101010101010101010809000401010101010101010101010101011011060101010101010101010101010101050c0101010101010101010101010101070d0e0101010101010101010101010102160b010101010101010101010101010809060101010101010101010101010101050401010102030012130700000601010f0c010108090d0e1014150d0e0506020312130110110c0101020312130101010101010110110c0101010f0a0b0101010809040108090d0e010102030601010101010101010f0a0b010108090c010101010101010102030c010101050d0e01010101010101010700040108090a0b0101010101010101010203000004050601010101010101010101010101010101010101010101010101010101010101010101010101010101010101010101010101010101010101010101010101010101010101010101010101010101010101010101010101010101010101010101010101010101010101010101010101010101010101010101010101010101010101010101010101010c00000040092900aa000000000000001b00100000000000040000002701ffff030000000000> будут равны нулю. Если вычислить частные производные
(14)
и приравнять их нулю, то после преобразований получим выражение:
(15)
Из этой формулы и определяется вектор коэффициентов дискриминантной функции (А)
Полученные значения коэффициентов подставляют в формулу (1) и для каждого объекта в обеих группах (множествах) вычисляют дискриминантные функции, затем находят среднее значение для каждой группы. Таким образом, каждое i-е наблюдение, которое первоначально описывалось m переменными, будет как бы перемещено в одномерное пространство, т.е. ему будет соответствовать одно значение дискриминантной функции, следовательно, размерность признакового пространства снижается.
3. Классификация при наличии двух обучающих выборок
Перед
тем как приступить непосредственно к
процедуре классификации, нужно определить
границу, разделяющую в частном случае
две рассматриваемые группы. Такой
величиной может быть значение функции,
равноудаленное от >0100090000039604000000002c03000000002c03000026060f004e06574d46430100000000000100b76c00000000010000002c060000000000002c060000010000006c00000000000000000000000e0000001c000000000000000000000076010000a702000020454d46000001002c0600000c00000001000000000000000000000000000000000500000004000040010000f000000000000000000000000000000000e2040080a90300460000002c00000020000000454d462b014001001c000000100000000210c0db01000000600000006000000046000000280200001c020000454d462b224004000c000000000000001e4009000c00000000000000244001000c000000000000003040020010000000040000000000803f214007000c000000000000000840000574010000680100000210c0db01000000000000000000000000000000000000000100000089504e470d0a1a0a0000000d494844520000000f0000001d0802000000faaaa18d000000017352474200aece1ce9000000097048597300000ec400000ec401952b0e1b000000ef49444154384fcd94311282301045379e248e8d0587708606c6d6237804b885bd0ddcc0d6191b070e6161e3909bc4cd4a201b23868eed485e76feffd920b4d6105dab68d280f3e859ad412c4677c0a5aa73d1575e2b66cca7db52ac8f49836e745340b2913c06b33e14020005b1c18239b0b63475752aabba4077b7f73f1d5a3b2ed5eb81a2f7bb89eb75e9e70db2ad17023f3ad2edf504df91fda049076f8dd98bb2657cefbcab32846d10f445c5c3b74a148a7674a467ec329eb1fd7bdad32165d8ec8756f70be671482703195e9ad1110183b94bd217982573b77c19683efca9f0fc0ddb8b7e97713318f1237a030ab929e170c53a3b0000000049454e44ae42608200000840010824000000180000000210c0db01000000030000000000000000000000000000001b40000040000000340000000100000002000000000000bf000000bf000070410000e84103000000000000b3000000b3ffff6f41000000b3000000b3ffffe7412100000008000000620000000c00000001000000150000000c00000004000000150000000c0000000400000051000000a002000000000000000000000e0000001c000000000000000000000000000000000000000f0000001d0000005000000080000000d0000000d0010000000000002000cc000f0000001d000000280000000f0000001d0000000100080000000000000000000000000000000000160000000000000000000000ffffff00489cdf0048000000ffdf9c000074bf0074000000ffffbf00bfffff007400740074bfff00ffbf740000007400bf7400009cdfff0000004800dfffff0000489c009c480000ffffdf00df9c4800dfdfdf000101010101010101010101010101012b010101010101010101010101010101000101010101010101010101010101010001010101010101010101010101010100010101010101010101010101010101000c0304010101010200000000140101db010206070101010101050d010101010001080c140101010101020d010101010a011011121301010101020d010101011a010102030401010101020d010101014701010a000b01011501020d010101010001010e0f1401010200000d0101010149010110111213010101050d01010101e70101010506070101010101010101018f0101010a03040101010101010101011e0101010e0f0b0101010101010101015a010101080c0d010101010101010101d001010a00000000030401010101010113010101010506070101010101010101dd010101010a000b0101010101010101470101010101050607080907010101014a0101010101010200000304010101014a0101010101010101010101010101016301010101010101010101010101010198010101010101010101010101010101580000000000000000000000000000003601010101010101010101010101010182010101010101010101010101010101db010101010101010101010101010101004c0000006400000000000000000000000e0000001c00000000000000000000000f0000001d0000002900aa0000000000000000000000803f00000000000000000000803f0000000000000000000000000000000000000000000000000000000000000000220000000c000000ffffffff460000001c00000010000000454d462b024000000c000000000000000e000000140000000000000010000000140000000400000003010800050000000b0200000000050000000c021d000f00030000001e000400000007010400040000000701040035010000410b2000cc001d000f00000000001d000f0000000000280000000f0000001d0000000100080000000000000000000000000000000000160000000000000000000000ffffff00489cdf0048000000ffdf9c000074bf0074000000ffffbf00bfffff007400740074bfff00ffbf740000007400bf7400009cdfff0000004800dfffff0000489c009c480000ffffdf00df9c4800dfdfdf000101010101010101010101010101012b010101010101010101010101010101000101010101010101010101010101010001010101010101010101010101010100010101010101010101010101010101000c0304010101010200000000140101db010206070101010101050d010101010001080c140101010101020d010101010a011011121301010101020d010101011a010102030401010101020d010101014701010a000b01011501020d010101010001010e0f1401010200000d0101010149010110111213010101050d01010101e70101010506070101010101010101018f0101010a03040101010101010101011e0101010e0f0b0101010101010101015a010101080c0d010101010101010101d001010a00000000030401010101010113010101010506070101010101010101dd010101010a000b0101010101010101470101010101050607080907010101014a0101010101010200000304010101014a0101010101010101010101010101016301010101010101010101010101010198010101010101010101010101010101580000000000000000000000000000003601010101010101010101010101010182010101010101010101010101010101db010101010101010101010101010101000c00000040092900aa000000000000001d000f0000000000040000002701ffff030000000000>
и >
>
, т.е.
(16)
Величина С называется константой дискриминации.
На рис.1 видно, что объекты, расположенные над прямой f(x)=>010009000003600700000000ac0400000000ac04000026060f004e09574d46430100000000000100080100000000010000002c090000000000002c090000010000006c00000000000000000000002a000000180000000000000000000000320400004902000020454d46000001002c0900000c00000001000000000000000000000000000000000500000004000040010000f000000000000000000000000000000000e2040080a90300460000002c00000020000000454d462b014001001c000000100000000210c0db010000006000000060000000460000009402000088020000454d462b224004000c000000000000001e4009000c00000000000000244001000c000000000000003040020010000000040000000000803f214007000c0000000000000008400005e0010000d40100000210c0db01000000000000000000000000000000000000000100000089504e470d0a1a0a0000000d494844520000002b000000190802000000278d4031000000017352474200aece1ce9000000097048597300000ec400000ec401952b0e1b0000015b49444154484bed56b16dc330107c6512196e5c7888046ee43e23a4712fc1330471efc6dac06d00358134440a3581b909f34f8acc9ba42926086015fa8ec4dff148de51caa49470d77ab8ebeab4f8ac603e83d9073a8693cd82a8b7d950db5a74555675bf7b38104285608dd3e3200bbe896eb525428ad345cd5f4e051b05bac304652b25f1281ae4a071b8c09dd62b3280e5495b9d7711b46ca3ebe337c1e15502ccfeed19dcde415496de0ddf4ea0dd51f0af02d83d44843a59107d03b05ee6c676e2e3dc40b1b263334fc61a35a7a85f0f004d3f98915999c3a36914f5eee55a11804ec913528f1482fb3d9de9e19de5c8873b0af215dedce79752dd553b78263bd311fc047273b4098968e8aa45bf7f7bcc976bd0120c810f0f67c11a4825d37713eded863d9d300d6ebceee6702f8d69998b284821e0f0c9becaa336a3ccfcbd54e44ca51c1aef31f73ae0f9e39542e5c3b3f95f7902ff07df04a453e50906b5cb0000000049454e44ae42608200000840010824000000180000000210c0db01000000030000000000000000000000000000001b40000040000000340000000100000002000000000000bf000000bf00002c420000c84103000000000000b3000000b3ffff2b42000000b3000000b3ffffc7412100000008000000620000000c00000001000000150000000c00000004000000150000000c00000004000000510000003405000000000000000000002a00000018000000000000000000000000000000000000002b000000190000005000000098000000e80000004c040000000000002000cc002b00000019000000280000002b0000001900000001000800000000000000000000000000000000001c0000000000000000000000ffffff009cdfff0000004800df9c48000074bf00ffbf74009c480000ffffdf0074bfff00bf740000dfffff0000489c0048000000ffdf9c00bf744800bfffff0000007400dfbf740074489c00ffffbf00489cdf00740000009cdfbf009c48740000749c00dfdfdf007400740001010101010101010101010101010101010101010101010101010101010101010101010101010101010101fd01010101010101010101010101010101010101010101010101010101010101010101010101010101010101f601010101010101010101010101010101010101010101010101010101010101010101010101010101010101fe01010101010101010101010101010101150000000004010101010101010101010101010101150000000004fe010101010101010101010101010101010101050a01010101010101010101010101010101010101050a0101ff010101010101010101010101010101010101150a01010101010101010101010101010101010101150a0101ff010101010101010101010101010101010101150a01010101010101010101010101010101010101150a0101ff010101010102030016140900000601010101150a01010101010101150006010115001614010101150a0101ff010101010b0c070810181907080506011a01150a010101010101010101050610110a101b141a01150a0101ff0101010110110a0101020316140101011500000a0101010101010101010b131703060101011500000a0101ff0101010110110a010101150d0e0101010101050a01010101010101010101020316140101010101050a0101fd010101010b0c07080101020306010101010101010101010101010101010101050708010101010101010101ff0101010101150d0e01010b0c0a01010101010101010101010101010101010b0c0006010101010101010101fe010101010102030a0101010507080101010101010101010101010101010110111213140101010101010101ff010101010101090004010b0c0d0e01010101010101010101010101010506090d0e020f0101010101010101f80101010101010102030000040506010101010101010101010101010101050007080109000a010101010101ff01010101010101010101010101010101010101010101010101010101010101010101010101010101010101ff01010101010101010101010101010101010101010101010101010101010101010101010101010101010101ff01010101010101010101010101010101010101010101010101010101010101010101010101010101010101ff01010101010101010101010101010101010101010101010101010101010101010101010101010101010101ff01010101010101010101010101010101010101010101010101010101010101010101010101010101010101ff01010101010101010101010101010101010101010101010101010101010101010101010101010101010101ff01010101010101010101010101010101010101010101010101010101010101010101010101010101010101ff01010101010101010101010101010101010101010101010101010101010101010101010101010101010101fd01010101010101010101010101010101010101010101010101010101010101010101010101010101010101ff4c0000006400000000000000000000002a0000001800000000000000000000002b000000190000002900aa0000000000000000000000803f00000000000000000000803f0000000000000000000000000000000000000000000000000000000000000000220000000c000000ffffffff460000001c00000010000000454d462b024000000c000000000000000e000000140000000000000010000000140000000400000003010800050000000b0200000000050000000c0219002b00030000001e00040000000701040004000000070104007f020000410b2000cc0019002b000000000019002b0000000000280000002b0000001900000001000800000000000000000000000000000000001c0000000000000000000000ffffff009cdfff0000004800df9c48000074bf00ffbf74009c480000ffffdf0074bfff00bf740000dfffff0000489c0048000000ffdf9c00bf744800bfffff0000007400dfbf740074489c00ffffbf00489cdf00740000009cdfbf009c48740000749c00dfdfdf007400740001010101010101010101010101010101010101010101010101010101010101010101010101010101010101fd01010101010101010101010101010101010101010101010101010101010101010101010101010101010101f601010101010101010101010101010101010101010101010101010101010101010101010101010101010101fe01010101010101010101010101010101150000000004010101010101010101010101010101150000000004fe010101010101010101010101010101010101050a01010101010101010101010101010101010101050a0101ff010101010101010101010101010101010101150a01010101010101010101010101010101010101150a0101ff010101010101010101010101010101010101150a01010101010101010101010101010101010101150a0101ff010101010102030016140900000601010101150a01010101010101150006010115001614010101150a0101ff010101010b0c070810181907080506011a01150a010101010101010101050610110a101b141a01150a0101ff0101010110110a0101020316140101011500000a0101010101010101010b131703060101011500000a0101ff0101010110110a010101150d0e0101010101050a01010101010101010101020316140101010101050a0101fd010101010b0c07080101020306010101010101010101010101010101010101050708010101010101010101ff0101010101150d0e01010b0c0a01010101010101010101010101010101010b0c0006010101010101010101fe010101010102030a0101010507080101010101010101010101010101010110111213140101010101010101ff010101010101090004010b0c0d0e01010101010101010101010101010506090d0e020f0101010101010101f80101010101010102030000040506010101010101010101010101010101050007080109000a010101010101ff01010101010101010101010101010101010101010101010101010101010101010101010101010101010101ff01010101010101010101010101010101010101010101010101010101010101010101010101010101010101ff01010101010101010101010101010101010101010101010101010101010101010101010101010101010101ff01010101010101010101010101010101010101010101010101010101010101010101010101010101010101ff01010101010101010101010101010101010101010101010101010101010101010101010101010101010101ff01010101010101010101010101010101010101010101010101010101010101010101010101010101010101ff01010101010101010101010101010101010101010101010101010101010101010101010101010101010101ff01010101010101010101010101010101010101010101010101010101010101010101010101010101010101fd01010101010101010101010101010101010101010101010101010101010101010101010101010101010101ff0c00000040092900aa0000000000000019002b0000000000040000002701ffff030000000000>+>010009000003f206000000006e04000000006e04000026060f00d208574d4643010000000000010001c40000000001000000b008000000000000b0080000010000006c000000000000000000000027000000180000000000000000000000e70300004902000020454d4600000100b00800000c00000001000000000000000000000000000000000500000004000040010000f000000000000000000000000000000000e2040080a90300460000002c00000020000000454d462b014001001c000000100000000210c0db01000000600000006000000046000000780200006c020000454d462b224004000c000000000000001e4009000c00000000000000244001000c000000000000003040020010000000040000000000803f214007000c0000000000000008400005c4010000b80100000210c0db01000000000000000000000000000000000000000100000089504e470d0a1a0a0000000d4948445200000028000000190802000000ccbafb32000000017352474200aece1ce9000000097048597300000ec400000ec401952b0e1b0000014049444154484bed56c10d83300c0c9da4523f7d7410d8271da25247800d3a009f2a8cc1afd9843a4e1c0c8410aaaa3ca83f5524fbce3e5f52b2aeebc41671d882d470fe897fa6fc5fea5d49adab22735154bab966d766ddfc5062028a6d9d3dcfa1c0cb654249c8cccb171e5e65ce4e2e63e10700a4b238080318e63c1ba2276279be3c8d94679952a99668e19da601695adf48b4dff986ac5a387d34801853bfc5cbc48e13c303a2db5a88cbe9484ed2cf472df2b33ff73e41efc42da7abdb5d88ba75feeadde99cd723385f79690252c1da489085e5e36a11612875006124b592795992319d51b96406946f652027e5e30d71169fec9a1098abbd27b0306810a80ad25a99c6aa851ce611903831020a2456521a43482536332d5e91681b238434623eab929f3430414821a69dd3dd584f1c40c8409e757f055fcadedf17c81bef6b77e30e75b4730000000049454e44ae426082000840010824000000180000000210c0db01000000030000000000000000000000000000001b40000040000000340000000100000002000000000000bf000000bf000020420000c84103000000000080b3000080b3ffff1f42000080b3000080b3ffffc7412100000008000000620000000c00000001000000150000000c00000004000000150000000c0000000400000051000000d404000000000000000000002700000018000000000000000000000000000000000000002800000019000000500000009c000000ec000000e8030000000000002000cc00280000001900000028000000280000001900000001000800000000000000000000000000000000001d0000000000000000000000ffffff009cdfff0000004800df9c48000074bf00ffbf74009c480000ffffdf0074bfff00bf740000dfffff0000489c0048000000ffdf9c00bf744800bfffff0000007400dfbf740074489c00ffffbf00489cdf0074000000480074009cdfbf009c48740000749c00480048007400740001010101010101010101010101010101010101010101010101010101010101010101010101010101010101010101010101010101010101010101010101010101010101010101010101010101010101010101010101010101010101010101010101010101010101010101010101010101010101010101010101010101010101010101011011000000000601010101010101010101010101010110110000000006010101010101010101010101090a0101090601010101010101010101010101010101090a0101090601010101010101010101010101150a0101010101010101010101010101010101010101150a0101010101010101010101010101010101090a0101010101010101010101010101010101010101090a0101010203001614090000060101010101150401010101010115000601011500161401010101011504010b0c070810191a0708050601010101021b0e01010101010101050610110a101c1401010101021b0e10110a010102031614010110170e01090d0e010101010101010b1318030601010110170e01090d0e10110a010101150d0e010101101100000a0101010101010101010203161401010101101100000a010b0c070801010203060101010101010101010101010101010101010507080101010101010101010101150d0e01010b0c0a01010101010101010101010101010101010b0c0006010101010101010101010102030a0101010507080101010101010101010101010101010110111213140101010101010101010101090004010b0c0d0e01010101010101010101010101010506090d0e020f01010101010101010101010102030000040506010101010101010101010101010101050007080109000a010101010101010101010101010101010101010101010101010101010101010101010101010101010101010101010101010101010101010101010101010101010101010101010101010101010101010101010101010101010101010101010101010101010101010101010101010101010101010101010101010101010101010101010101010101010101010101010101010101010101010101010101010101010101010101010101010101010101010101010101010101010101010101010101010101010101010101010101010101010101010101010101010101010101010101010101010101010101010101010101010101010101010101010101010101010101010101010101010101010101010101010101010101010101010101010101010101010101010101010101010101010101010101010101010101010101010101010101010101010101010101010101010101010101010101010101010101010101010101010101010101010101014c0000006400000000000000000000002700000018000000000000000000000028000000190000002900aa0000000000000000000000803f00000000000000000000803f0000000000000000000000000000000000000000000000000000000000000000220000000c000000ffffffff460000001c00000010000000454d462b024000000c000000000000000e000000140000000000000010000000140000000400000003010800050000000b0200000000050000000c0219002800030000001e00040000000701040004000000070104004f020000410b2000cc001900280000000000190028000000000028000000280000001900000001000800000000000000000000000000000000001d0000000000000000000000ffffff009cdfff0000004800df9c48000074bf00ffbf74009c480000ffffdf0074bfff00bf740000dfffff0000489c0048000000ffdf9c00bf744800bfffff0000007400dfbf740074489c00ffffbf00489cdf0074000000480074009cdfbf009c48740000749c00480048007400740001010101010101010101010101010101010101010101010101010101010101010101010101010101010101010101010101010101010101010101010101010101010101010101010101010101010101010101010101010101010101010101010101010101010101010101010101010101010101010101010101010101010101010101011011000000000601010101010101010101010101010110110000000006010101010101010101010101090a0101090601010101010101010101010101010101090a0101090601010101010101010101010101150a0101010101010101010101010101010101010101150a0101010101010101010101010101010101090a0101010101010101010101010101010101010101090a0101010203001614090000060101010101150401010101010115000601011500161401010101011504010b0c070810191a0708050601010101021b0e01010101010101050610110a101c1401010101021b0e10110a010102031614010110170e01090d0e010101010101010b1318030601010110170e01090d0e10110a010101150d0e010101101100000a0101010101010101010203161401010101101100000a010b0c070801010203060101010101010101010101010101010101010507080101010101010101010101150d0e01010b0c0a01010101010101010101010101010101010b0c0006010101010101010101010102030a0101010507080101010101010101010101010101010110111213140101010101010101010101090004010b0c0d0e01010101010101010101010101010506090d0e020f01010101010101010101010102030000040506010101010101010101010101010101050007080109000a010101010101010101010101010101010101010101010101010101010101010101010101010101010101010101010101010101010101010101010101010101010101010101010101010101010101010101010101010101010101010101010101010101010101010101010101010101010101010101010101010101010101010101010101010101010101010101010101010101010101010101010101010101010101010101010101010101010101010101010101010101010101010101010101010101010101010101010101010101010101010101010101010101010101010101010101010101010101010101010101010101010101010101010101010101010101010101010101010101010101010101010101010101010101010101010101010101010101010101010101010101010101010101010101010101010101010101010101010101010101010101010101010101010101010101010101010101010101010101010101010101010101010c00000040092900aa000000000000001900280000000000040000002701ffff030000000000>+…+ >010009000003dc0700000000f60400000000f604000026060f00e209574d464301000000000001001a0a0000000001000000c009000000000000c0090000010000006c0000000000000000000000290000001a0000000000000000000000190400007802000020454d4600000100c00900000c00000001000000000000000000000000000000000500000004000040010000f000000000000000000000000000000000e2040080a90300460000002c00000020000000454d462b014001001c000000100000000210c0db01000000600000006000000046000000c4020000b8020000454d462b224004000c000000000000001e4009000c00000000000000244001000c000000000000003040020010000000040000000000803f214007000c000000000000000840000510020000040200000210c0db01000000000000000000000000000000000000000100000089504e470d0a1a0a0000000d494844520000002a0000001b080200000085878a04000000017352474200aece1ce9000000097048597300000ec400000ec401952b0e1b0000018b49444154484bed55316ec3300c94fb12075932e411199dbd4fc81274b5913714cd13ec1f642de0a5b01f91c14b10fdc4214549911129a20b032ed0700964917724756492beefc57cf6361f3532bfe867ecffabf97fa3f9b2da26dab6956c8ba468c725062168104c71747e8e026b07adc9c13f2bafea702d33e7a43d223f00903784a3600003cf1113773ac7db82c4c21fef31346f78e4b0704db1a6729b0e23775f72d439d5098601bd0a988add693f83bd87b9975d2dc47a991a9dc99f532db2953d8fd29fac3e8f42d49d565f2cf661edc86abf1ba6138370ee21b83b60378fdfbca901fa7405cd3f5f54be6db117ef285e2cdecc1e4d24ce931eadc030b5c5a23b7c6dd2e55a10bf1dde30c25df956316a08ad7c9a1c74e10a8ab43d7859bab61fb5b7f9f004410d5edc80d28ad3431f07c085e041e0d1bbb1581a73ac9cac0208ac7f3c79391b7dc1fbee44f9b119a147740d2230fa669e5251ba0b82114b2e41044ef3f53a67937937b1ffbd18f43408bfaa5a27124648c063e43b4ee9ce92de948443acff4d7f0310ed830300d41d630000000049454e44ae42608200000840010824000000180000000210c0db01000000030000000000000000000000000000001b40000040000000340000000100000002000000000000bf000000bf000028420000d84103000000000000b3000000b3ffff2742000000b3000000b3ffffd7412100000008000000620000000c00000001000000150000000c00000004000000150000000c0000000400000051000000980500000000000000000000290000001a000000000000000000000000000000000000002a0000001b00000050000000a4000000f4000000a4040000000000002000cc002a0000001b000000280000002a0000001b00000001000800000000000000000000000000000000001f0000000000000000000000ffffff009cdfff0000004800df9c48000074bf00ffbf74009c480000ffffdf0074bfff00bf740000dfffff0000489c0048000000ffdf9c00bf744800bfffff0000007400dfbf740074489c00ffffbf00489cdf00740000009cdfbf009c48740000749c00740074004874bf00dfdf9c004800740074004800010101010101010101010101010101010101010101010101010101010101010101010101010101010101ffff010101010101010101010101010101010101010101010101010101010101010101010101010101010101ffff010101010101010101010101010101010101010101010101010101010101010101010101010101010101ffff010101010101010101010101010101010101010101010101010101010101010101010101010101010101ffff010101010101010101010109000708010101010101010101010101010101010101090007080101010101ffff0101010101010101010101101a1401010101010101010101010101010101010101101a14010101010101007401010101010101010101010b0c00000004010101010101010101010101010101010b0c00000004010101ffff010101010101010101010101150708101104010101010101010101010101010101011507081011040101ffff01010101010101010101010109070801021e1401010101010101010101010101010109070801021e14014800010101010101010101010101101d0e01101106010101010101010101010101010101101d0e0110110601489c01020300161409000006011b1c0c000610110601010101150006010115001614011b1c0c000610110601ffff0b0c0708101819070805060b0c0d0e05001614010101010101050610110a101a140b0c0d0e0500161401ffff10110a010102031614010101010101010101010101010101010b13170306010101010101010101010101ffff10110a010101150d0e010101010101010101010101010101010102031614010101010101010101010101ffff0b0c07080101020306010101010101010101010101010101010101050708010101010101010101010101ffff01150d0e01010b0c0a01010101010101010101010101010101010b0c0006010101010101010101010101ffff0102030a0101010507080101010101010101010101010101010110111213140101010101010101010101ffff0101090004010b0c0d0e01010101010101010101010101010506090d0e020f0101010101010101010101ffff01010102030000040506010101010101010101010101010101050007080109000a0101010101010101010000010101010101010101010101010101010101010101010101010101010101010101010101010101010101bf74010101010101010101010101010101010101010101010101010101010101010101010101010101010101ffff010101010101010101010101010101010101010101010101010101010101010101010101010101010101ffff010101010101010101010101010101010101010101010101010101010101010101010101010101010101ffff010101010101010101010101010101010101010101010101010101010101010101010101010101010101ffff010101010101010101010101010101010101010101010101010101010101010101010101010101010101ffff010101010101010101010101010101010101010101010101010101010101010101010101010101010101ffff010101010101010101010101010101010101010101010101010101010101010101010101010101010101ffff4c000000640000000000000000000000290000001a00000000000000000000002a0000001b0000002900aa0000000000000000000000803f00000000000000000000803f0000000000000000000000000000000000000000000000000000000000000000220000000c000000ffffffff460000001c00000010000000454d462b024000000c000000000000000e000000140000000000000010000000140000000400000003010800050000000b0200000000050000000c021b002a00030000001e0004000000070104000400000007010400b1020000410b2000cc001b002a00000000001b002a0000000000280000002a0000001b00000001000800000000000000000000000000000000001f0000000000000000000000ffffff009cdfff0000004800df9c48000074bf00ffbf74009c480000ffffdf0074bfff00bf740000dfffff0000489c0048000000ffdf9c00bf744800bfffff0000007400dfbf740074489c00ffffbf00489cdf00740000009cdfbf009c48740000749c00740074004874bf00dfdf9c004800740074004800010101010101010101010101010101010101010101010101010101010101010101010101010101010101ffff010101010101010101010101010101010101010101010101010101010101010101010101010101010101ffff010101010101010101010101010101010101010101010101010101010101010101010101010101010101ffff010101010101010101010101010101010101010101010101010101010101010101010101010101010101ffff010101010101010101010109000708010101010101010101010101010101010101090007080101010101ffff0101010101010101010101101a1401010101010101010101010101010101010101101a14010101010101007401010101010101010101010b0c00000004010101010101010101010101010101010b0c00000004010101ffff010101010101010101010101150708101104010101010101010101010101010101011507081011040101ffff01010101010101010101010109070801021e1401010101010101010101010101010109070801021e14014800010101010101010101010101101d0e01101106010101010101010101010101010101101d0e0110110601489c01020300161409000006011b1c0c000610110601010101150006010115001614011b1c0c000610110601ffff0b0c0708101819070805060b0c0d0e05001614010101010101050610110a101a140b0c0d0e0500161401ffff10110a010102031614010101010101010101010101010101010b13170306010101010101010101010101ffff10110a010101150d0e010101010101010101010101010101010102031614010101010101010101010101ffff0b0c07080101020306010101010101010101010101010101010101050708010101010101010101010101ffff01150d0e01010b0c0a01010101010101010101010101010101010b0c0006010101010101010101010101ffff0102030a0101010507080101010101010101010101010101010110111213140101010101010101010101ffff0101090004010b0c0d0e01010101010101010101010101010506090d0e020f0101010101010101010101ffff01010102030000040506010101010101010101010101010101050007080109000a0101010101010101010000010101010101010101010101010101010101010101010101010101010101010101010101010101010101bf74010101010101010101010101010101010101010101010101010101010101010101010101010101010101ffff010101010101010101010101010101010101010101010101010101010101010101010101010101010101ffff010101010101010101010101010101010101010101010101010101010101010101010101010101010101ffff010101010101010101010101010101010101010101010101010101010101010101010101010101010101ffff010101010101010101010101010101010101010101010101010101010101010101010101010101010101ffff010101010101010101010101010101010101010101010101010101010101010101010101010101010101ffff010101010101010101010101010101010101010101010101010101010101010101010101010101010101ffff0c00000040092900aa000000000000001b002a0000000000040000002701ffff030000000000> =C , находятся ближе к центру множества >0100090000036e0500000000b00300000000b003000026060f005607574d464301000000000001003f740000000001000000340700000000000034070000010000006c0000000000000000000000160000001800000000000000000000003e0200004902000020454d4600000100340700000c00000001000000000000000000000000000000000500000004000040010000f000000000000000000000000000000000e2040080a90300460000002c00000020000000454d462b014001001c000000100000000210c0db01000000600000006000000046000000880200007c020000454d462b224004000c000000000000001e4009000c00000000000000244001000c000000000000003040020010000000040000000000803f214007000c0000000000000008400005d4010000c80100000210c0db01000000000000000000000000000000000000000100000089504e470d0a1a0a0000000d494844520000001700000019080200000055422287000000017352474200aece1ce9000000097048597300000ec400000ec401952b0e1b0000015149444154384fdd55b16e8330103dfa25915818f8082216475dfb07e95275351f11256bc462fea07b592af808069628fe13f76c9fb17121ad94a1526eb2efccf3bdf74e26514ac1ddf174378206785c14d9ec128aaa8fb5ea2b2aed1ab9ac237a44d1717b8289ab4fe2ea2ad8623e383457977342f237cae6ed35d769f6526ed60cf528f232b0ec3963d08ebe6d8d01228313409eae8278a7e5d7479ba7459a030c1707d39f11a32e61c056b2759000656ce3837db51d44bd07c4bfc90779924628a151d548c93bcc6ab1a7855dad06e962f960cf1ba2249bc38977c70200f5fa85cfd40b5e4c069b661863ee76bb8fcc8f9bb28c3c8865425ca814ecc2d90a481a46bae999914cbc2317579af963877c8bd607a151b4283e551c95fadc93adf3923954d6c13cbbcfdc7c2f90f7a51f9c742960e49cbee5e3422d42f9d7574a8e81927e76ffcc28146b7a469287fb077c039eaed67658e322f30000000049454e44ae4260820840010824000000180000000210c0db01000000030000000000000000000000000000001b40000040000000340000000100000002000000000000bf000000bf0000b8410000c84103000000000000b3000000b3ffffb741000000b3000000b3ffffc7412100000008000000620000000c00000001000000150000000c00000004000000150000000c0000000400000051000000480300000000000000000000160000001800000000000000000000000000000000000000170000001900000050000000a0000000f000000058020000000000002000cc00170000001900000028000000170000001900000001000800000000000000000000000000000000001e0000000000000000000000ffffff009cdfff0000004800ffbf74000074bf00df9c480074bfff007474000000007400dfffff0000489c007474740048000000ffdf9c00489cdf00bf9c4800bf7400009c48000000749c0074000000ffffbf00ffffdf00bfffff0048007400dfdf9c009c4848004848480074004800dfdfdf00010101010101010101010101010101010101010101010100010101010101010101010101010101010101010101010100010101010101010101010101010101010101010101010100010101010101010101010101010101010f000000000601000101010101010101010101010101010101010511010101000101010101010101010101010101010101010f11010101000101010101010101010101010101010101010f11010101000f00001216010101010f00000004010101010f1101010100010f14150101010101010f00060101011d010f110101010001021c150117090601010203060101010f000011010101000117180e0117091415011709110101010101051101010100010105060102031b11010a0b12160101010101010101010001010f1101070d190b04010f0d0e010101010101010101000101021a160f141507141507000401010101010101010100010117180e0512160105060203060101010101010101010001010a0b04051216011718190b12160101010101010101000101010f100b110101010f12131415010101010101010100010101070809060101010a0b0c0d0e0101010101010101000101010700000601010101020300060101010101010101000101020300000401010101010500000601010101010101000101010101010101010101010101010101010101010101000101010101010101010101010101010101010101010101000101010101010101010101010101010101010101010101000101010101010101010101010101010101010101010101000101010101010101010101010101010101010101010101004c0000006400000000000000000000001600000018000000000000000000000017000000190000002900aa0000000000000000000000803f00000000000000000000803f0000000000000000000000000000000000000000000000000000000000000000220000000c000000ffffffff460000001c00000010000000454d462b024000000c000000000000000e000000140000000000000010000000140000000400000003010800050000000b0200000000050000000c0219001700030000001e000400000007010400040000000701040089010000410b2000cc001900170000000000190017000000000028000000170000001900000001000800000000000000000000000000000000001e0000000000000000000000ffffff009cdfff0000004800ffbf74000074bf00df9c480074bfff007474000000007400dfffff0000489c007474740048000000ffdf9c00489cdf00bf9c4800bf7400009c48000000749c0074000000ffffbf00ffffdf00bfffff0048007400dfdf9c009c4848004848480074004800dfdfdf00010101010101010101010101010101010101010101010100010101010101010101010101010101010101010101010100010101010101010101010101010101010101010101010100010101010101010101010101010101010f000000000601000101010101010101010101010101010101010511010101000101010101010101010101010101010101010f11010101000101010101010101010101010101010101010f11010101000f00001216010101010f00000004010101010f1101010100010f14150101010101010f00060101011d010f110101010001021c150117090601010203060101010f000011010101000117180e0117091415011709110101010101051101010100010105060102031b11010a0b12160101010101010101010001010f1101070d190b04010f0d0e010101010101010101000101021a160f141507141507000401010101010101010100010117180e0512160105060203060101010101010101010001010a0b04051216011718190b12160101010101010101000101010f100b110101010f12131415010101010101010100010101070809060101010a0b0c0d0e0101010101010101000101010700000601010101020300060101010101010101000101020300000401010101010500000601010101010101000101010101010101010101010101010101010101010101000101010101010101010101010101010101010101010101000101010101010101010101010101010101010101010101000101010101010101010101010101010101010101010101000101010101010101010101010101010101010101010101000c00000040092900aa000000000000001900170000000000040000002701ffff030000000000> и, следовательно, могут быть отнесены к первой группе, а объекты, расположенные ниже этой прямой, ближе к центру второго множества, т.е. относятся ко второй группе. Если граница между группами выбрана так, как сказано выше, то суммарная вероятность ошибочной классификации минимальная.
Рассмотрим пример использования дискриминантного анализа для проведения многомерной классификации объектов. При этом в качестве обучающих будем использовать сначала две выборки, принадлежащие двум классам, а затем обобщим алгоритм классификации на случай k классов.
Пример 1. Имеются данные по двум группам промышленных предприятий машиностроительного комплекса:
>
>-фондоотдача
основных производственных фондов, руб.;
>010009000003ac04000000002e03000000002e03000026060f005206574d4643010000000000010020d60000000001000000300600000000000030060000010000006c000000000000000000000013000000180000000000000000000000f30100004902000020454d4600000100300600000c00000001000000000000000000000000000000000500000004000040010000f000000000000000000000000000000000e2040080a90300460000002c00000020000000454d462b014001001c000000100000000210c0db0100000060000000600000004600000004020000f8010000454d462b224004000c000000000000001e4009000c00000000000000244001000c000000000000003040020010000000040000000000803f214007000c000000000000000840000550010000440100000210c0db01000000000000000000000000000000000000000100000089504e470d0a1a0a0000000d4948445200000014000000190802000000be759984000000017352474200aece1ce9000000097048597300000ec400000ec401952b0e1b000000cd49444154384fd5945116842008457356d7826c37edc576d2521c04c5873a1ea7bff8a9c02bf0e0e4628cdb53fb3c0513f772f83a5cb1e3621daa273b06ea90da62f7b953783fef9f0e3d5a5eb6ea61bac2fce94347800360c99d8fa777a8627c05c231062fb9d3739e946fb33053c916c81ed6dcb3563566328be0cb89b16c2ab9f4fb67d9a02ef7dd345db4b01129dbaadbd2b9a472b04e90e0663906bb661709e03c9bba11aada606014c3cd69e63c9d10956fa55885533ddde6acc1983378bd64058639d91572effc7b7e016e082c3efc32988e0000000049454e44ae4260820840010824000000180000000210c0db01000000030000000000000000000000000000001b40000040000000340000000100000002000000000000bf000000bf0000a0410000c84103000000000080b3000080b3ffff9f41000080b3000080b3ffffc7412100000008000000620000000c00000001000000150000000c00000004000000150000000c0000000400000051000000c8020000000000000000000013000000180000000000000000000000000000000000000014000000190000005000000084000000d4000000f4010000000000002000cc0014000000190000002800000014000000190000000100080000000000000000000000000000000000170000000000000000000000ffffff0074bfff00ffbf740074000000ffffbf00489cdf00df9c4800dfffff0000489c0048000000ffdf9c009cdfff0000004800bf7400000074bf00bfffff00000074009c480000ffffdf00bfffdf0048004800480074000101010101010101010101010101010101010101010101010101010101010101010101010101010101010101010101010101010101010101010101010101010101010101010101101100000000030101010101010101010101010101020e01010203010101010101010101010101010101060e01010101010101010101010101010101010101020e0101010111000a0b01080900000e010101010106070101010809121301010c0d121301010101010c150b0101011011030101020003010110160b01020a0b010101010c150b010f0405010101101100000e010101010101021214110e010101010101010101010101010101010600000301010101010101010101010101010101010f1213010101010101010101010101010101011011000e01010101010101010101010101010101020a0b0f0e010101010101010101010101010108090e01080907010101010101010101010101010c0d0701010c0d03010101010101010101010101060007010108090a0b01010101010101010101020000000301020000040501010101010101010101010101010101010101010101010101010101010101010101010101010101010101010101010101010101010101010101010101010101010101010101010101010101010101010101010101010101010101010101010101010101010101010101014c0000006400000000000000000000001300000018000000000000000000000014000000190000002900aa0000000000000000000000803f00000000000000000000803f0000000000000000000000000000000000000000000000000000000000000000220000000c000000ffffffff460000001c00000010000000454d462b024000000c000000000000000e000000140000000000000010000000140000000400000003010800050000000b0200000000050000000c0219001400030000001e000400000007010400040000000701040049010000410b2000cc00190014000000000019001400000000002800000014000000190000000100080000000000000000000000000000000000170000000000000000000000ffffff0074bfff00ffbf740074000000ffffbf00489cdf00df9c4800dfffff0000489c0048000000ffdf9c009cdfff0000004800bf7400000074bf00bfffff00000074009c480000ffffdf00bfffdf0048004800480074000101010101010101010101010101010101010101010101010101010101010101010101010101010101010101010101010101010101010101010101010101010101010101010101101100000000030101010101010101010101010101020e01010203010101010101010101010101010101060e01010101010101010101010101010101010101020e0101010111000a0b01080900000e010101010106070101010809121301010c0d121301010101010c150b0101011011030101020003010110160b01020a0b010101010c150b010f0405010101101100000e010101010101021214110e010101010101010101010101010101010600000301010101010101010101010101010101010f1213010101010101010101010101010101011011000e01010101010101010101010101010101020a0b0f0e010101010101010101010101010108090e01080907010101010101010101010101010c0d0701010c0d03010101010101010101010101060007010108090a0b01010101010101010101020000000301020000040501010101010101010101010101010101010101010101010101010101010101010101010101010101010101010101010101010101010101010101010101010101010101010101010101010101010101010101010101010101010101010101010101010101010101010101010c00000040092900aa000000000000001900140000000000040000002701ffff030000000000
>-затраты
на рубль произведенной продукции, коп.;
>010009000003b204000000003203000000003203000026060f005a06574d464301000000000001004e960000000001000000380600000000000038060000010000006c000000000000000000000013000000180000000000000000000000f30100004902000020454d4600000100380600000c00000001000000000000000000000000000000000500000004000040010000f000000000000000000000000000000000e2040080a90300460000002c00000020000000454d462b014001001c000000100000000210c0db0100000060000000600000004600000008020000fc010000454d462b224004000c000000000000001e4009000c00000000000000244001000c000000000000003040020010000000040000000000803f214007000c000000000000000840000554010000480100000210c0db01000000000000000000000000000000000000000100000089504e470d0a1a0a0000000d4948445200000014000000190802000000be759984000000017352474200aece1ce9000000097048597300000ec400000ec401952b0e1b000000d049444154384fd5545116842008d43d5ddda76ed39ea56e5237611105c1b4e7fa173f193a0e30880700376a9f5160c0bd1c7cac9e6d3da80ed9931c95ea60b5a39ddb84dbd376361d7294172e7b089dc1f4bbec3784722870e44ec7c35a4551bf428301f6257287ef3329dd66c1840ad681bc8385fb2955d933ccb1e0ddc43a6c0c99f3fd336c555dcadb242d11d94648ccb6ba251ab1ac1acb11d3c69c8be6a8f49a6da42cbf4bdae48e50319682852ded2b746e2ac40d3004d6af47c87b26093ecef97bd5e6554f2bb5a4f2ef9c9e3feb88f3da3d8f7d2e0000000049454e44ae426082000840010824000000180000000210c0db01000000030000000000000000000000000000001b40000040000000340000000100000002000000000000bf000000bf0000a0410000c84103000000000080b3000080b3ffff9f41000080b3000080b3ffffc7412100000008000000620000000c00000001000000150000000c00000004000000150000000c0000000400000051000000cc020000000000000000000013000000180000000000000000000000000000000000000014000000190000005000000088000000d8000000f4010000000000002000cc0014000000190000002800000014000000190000000100080000000000000000000000000000000000180000000000000000000000ffffff0074bfff00ffbf740074000000ffffbf00489cdf00df9c4800dfffff0000489c0048000000ffdf9c009cdfff0000004800bf7400000074bf00bfffff00000074009c480000ffffdf00bfffdf004800480048489c00480074000101010101010101010101010101010101010101010101010101010101010101010101010101010101010101010101010101010101010101010101010101010101010101010101010600000007010101010101010101010101010110170b010c0d0301010101010101010101010101010101010c0d030101010101010101010101010101010f00000301010111000a0b01080900000e010101010809030101010809121301010c0d121301010101010c150b0101011011030101020003010108160b01020a0b010101010c150b010f04050101010600000007010101010101021214110e010101010101010101010101010101010600000301010101010101010101010101010101010f1213010101010101010101010101010101011011000e01010101010101010101010101010101020a0b0f0e010101010101010101010101010108090e01080907010101010101010101010101010c0d0701010c0d03010101010101010101010101060007010108090a0b01010101010101010101020000000301020000040501010101010101010101010101010101010101010101010101010101010101010101010101010101010101010101010101010101010101010101010101010101010101010101010101010101010101010101010101010101010101010101010101010101010101010101014c0000006400000000000000000000001300000018000000000000000000000014000000190000002900aa0000000000000000000000803f00000000000000000000803f0000000000000000000000000000000000000000000000000000000000000000220000000c000000ffffffff460000001c00000010000000454d462b024000000c000000000000000e000000140000000000000010000000140000000400000003010800050000000b0200000000050000000c0219001400030000001e00040000000701040004000000070104004b010000410b2000cc00190014000000000019001400000000002800000014000000190000000100080000000000000000000000000000000000180000000000000000000000ffffff0074bfff00ffbf740074000000ffffbf00489cdf00df9c4800dfffff0000489c0048000000ffdf9c009cdfff0000004800bf7400000074bf00bfffff00000074009c480000ffffdf00bfffdf004800480048489c00480074000101010101010101010101010101010101010101010101010101010101010101010101010101010101010101010101010101010101010101010101010101010101010101010101010600000007010101010101010101010101010110170b010c0d0301010101010101010101010101010101010c0d030101010101010101010101010101010f00000301010111000a0b01080900000e010101010809030101010809121301010c0d121301010101010c150b0101011011030101020003010108160b01020a0b010101010c150b010f04050101010600000007010101010101021214110e010101010101010101010101010101010600000301010101010101010101010101010101010f1213010101010101010101010101010101011011000e01010101010101010101010101010101020a0b0f0e010101010101010101010101010108090e01080907010101010101010101010101010c0d0701010c0d03010101010101010101010101060007010108090a0b01010101010101010101020000000301020000040501010101010101010101010101010101010101010101010101010101010101010101010101010101010101010101010101010101010101010101010101010101010101010101010101010101010101010101010101010101010101010101010101010101010101010101010c00000040092900aa000000000000001900140000000000040000002701ffff030000000000
>-затраты
на сырье и материалов на один рубль
продукции, коп.
|
Номер |
Х>1> |
Х>2> |
Х>З> |
|
|
предприятия |
||||
|
1 |
0,50 |
94,0 |
8,50 |
|
|
l-я группа |
2 |
0,67 |
75,4 |
8,79 |
|
3 |
0,68 |
85,2 |
9,10 |
|
|
4 |
0,55 |
98,8 |
8,47 |
|
|
5 |
1,52 |
81,5 |
4,95 |
|
|
2-я группа |
6 |
1,20 |
93,8 |
6,95 |
|
7 |
1,46 |
86,5 |
4,70 |
Необходимо провести классификацию четырех новых предприятий, имеющих следующие значения исходных переменных:
l-е
предприятие: >010009000003a804000000002403000000002403000026060f003e06574d46430100000000000100016800000000010000001c060000000000001c060000010000006c000000000000000000000011000000180000000000000000000000c10100004902000020454d46000001001c0600000c00000001000000000000000000000000000000000500000004000040010000f000000000000000000000000000000000e2040080a90300460000002c00000020000000454d462b014001001c000000100000000210c0db01000000600000006000000046000000e4010000d8010000454d462b224004000c000000000000001e4009000c00000000000000244001000c000000000000003040020010000000040000000000803f214007000c000000000000000840000530010000240100000210c0db01000000000000000000000000000000000000000100000089504e470d0a1a0a0000000d4948445200000012000000190802000000b36be9c3000000017352474200aece1ce9000000097048597300000ec400000ec401952b0e1b000000ad49444154384fed94c10d80200c45c1e9741fdc46f7f0866378c34d2a6d110123c8c118137b31045fffefb7510280a8afa61e41e2c74eb9bd12c9dc4bac6e5cd90f9ffbf9f2abda2dd14a284d0fd10e06c00c2d9e7325824be494be01d97d0c300ba0a99212122176d8cc3b8cb1ac180fe0db79351a89c8c4a4eb16bb77980b936ceeb13adc181b2ea61ba97133afb0f74e7349b1e2f4fc42823dbc93eb32458b56347924491cad1fc82ffcb9363918c980b87a0feb0000000049454e44ae4260820840010824000000180000000210c0db01000000030000000000000000000000000000001b40000040000000340000000100000002000000000000bf000000bf000090410000c84103000000000080b3000080b3ffff8f41000080b3000080b3ffffc7412100000008000000620000000c00000001000000150000000c00000004000000150000000c0000000400000051000000d4020000000000000000000011000000180000000000000000000000000000000000000012000000190000005000000090000000e0000000f4010000000000002000cc00120000001900000028000000120000001900000001000800000000000000000000000000000000001a0000000000000000000000ffffff000074bf009c480000ffffdf0074bfff00bf740000ffbf740048000000ffdf9c009cdfff00bf744800bfffff0000007400dfbf740074489c00ffffbf00dfffff0000489c0000004800740000009cdfbf00489cdf0074007400dfdfdf00df9c480001010101010101010101010101010101010101010101010101010101010101010101010101010101010101010101010101010101010101010101010101010101010101010101011600000000190101010101010101010101010101010102060101010101010101010101010101010101011606010101010101010101010101010101010101160601010101011600070101160014100101010116060101010101010102070c0d060c1710011801160601010101010101110f151307010101011600000601010101010101010a13141001010101010102060101010101010101010203040101010101010101010101010101010111120007010101010101010101010101010101010c0d0e0f100101010101010101010101010102070508090a0b01010101010101010101010101010200030401050006010101010101010101010101010101010101010101010101010101010101010101010101010101010101010101010101010101010101010101010101010101010101010101010101010101010101010101010101010101010101010101010101010101010101010101010101010101010101010101010101010101010101010101010101010101010101010101010101010101010101010101010101010101010101010101010101010101010101010101010101010101010101010101014c0000006400000000000000000000001100000018000000000000000000000012000000190000002900aa0000000000000000000000803f00000000000000000000803f0000000000000000000000000000000000000000000000000000000000000000220000000c000000ffffffff460000001c00000010000000454d462b024000000c000000000000000e000000140000000000000010000000140000000400000003010800050000000b0200000000050000000c0219001200030000001e00040000000701040004000000070104004f010000410b2000cc001900120000000000190012000000000028000000120000001900000001000800000000000000000000000000000000001a0000000000000000000000ffffff000074bf009c480000ffffdf0074bfff00bf740000ffbf740048000000ffdf9c009cdfff00bf744800bfffff0000007400dfbf740074489c00ffffbf00dfffff0000489c0000004800740000009cdfbf00489cdf0074007400dfdfdf00df9c480001010101010101010101010101010101010101010101010101010101010101010101010101010101010101010101010101010101010101010101010101010101010101010101011600000000190101010101010101010101010101010102060101010101010101010101010101010101011606010101010101010101010101010101010101160601010101011600070101160014100101010116060101010101010102070c0d060c1710011801160601010101010101110f151307010101011600000601010101010101010a13141001010101010102060101010101010101010203040101010101010101010101010101010111120007010101010101010101010101010101010c0d0e0f100101010101010101010101010102070508090a0b01010101010101010101010101010200030401050006010101010101010101010101010101010101010101010101010101010101010101010101010101010101010101010101010101010101010101010101010101010101010101010101010101010101010101010101010101010101010101010101010101010101010101010101010101010101010101010101010101010101010101010101010101010101010101010101010101010101010101010101010101010101010101010101010101010101010101010101010101010101010101010c00000040092900aa000000000000001900120000000000040000002701ffff030000000000
>=
1,07, >
>=93,5,
>
>=5,30,
2-е
предприятие: >010009000003a804000000002403000000002403000026060f003e06574d46430100000000000100016800000000010000001c060000000000001c060000010000006c000000000000000000000011000000180000000000000000000000c10100004902000020454d46000001001c0600000c00000001000000000000000000000000000000000500000004000040010000f000000000000000000000000000000000e2040080a90300460000002c00000020000000454d462b014001001c000000100000000210c0db01000000600000006000000046000000e4010000d8010000454d462b224004000c000000000000001e4009000c00000000000000244001000c000000000000003040020010000000040000000000803f214007000c000000000000000840000530010000240100000210c0db01000000000000000000000000000000000000000100000089504e470d0a1a0a0000000d4948445200000012000000190802000000b36be9c3000000017352474200aece1ce9000000097048597300000ec400000ec401952b0e1b000000ad49444154384fed94c10d80200c45c1e9741fdc46f7f0866378c34d2a6d110123c8c118137b31045fffefb7510280a8afa61e41e2c74eb9bd12c9dc4bac6e5cd90f9ffbf9f2abda2dd14a284d0fd10e06c00c2d9e7325824be494be01d97d0c300ba0a99212122176d8cc3b8cb1ac180fe0db79351a89c8c4a4eb16bb77980b936ceeb13adc181b2ea61ba97133afb0f74e7349b1e2f4fc42823dbc93eb32458b56347924491cad1fc82ffcb9363918c980b87a0feb0000000049454e44ae4260820840010824000000180000000210c0db01000000030000000000000000000000000000001b40000040000000340000000100000002000000000000bf000000bf000090410000c84103000000000080b3000080b3ffff8f41000080b3000080b3ffffc7412100000008000000620000000c00000001000000150000000c00000004000000150000000c0000000400000051000000d4020000000000000000000011000000180000000000000000000000000000000000000012000000190000005000000090000000e0000000f4010000000000002000cc00120000001900000028000000120000001900000001000800000000000000000000000000000000001a0000000000000000000000ffffff000074bf009c480000ffffdf0074bfff00bf740000ffbf740048000000ffdf9c009cdfff00bf744800bfffff0000007400dfbf740074489c00ffffbf00dfffff0000489c0000004800740000009cdfbf00489cdf0074007400dfdfdf00df9c480001010101010101010101010101010101010101010101010101010101010101010101010101010101010101010101010101010101010101010101010101010101010101010101011600000000190101010101010101010101010101010102060101010101010101010101010101010101011606010101010101010101010101010101010101160601010101011600070101160014100101010116060101010101010102070c0d060c1710011801160601010101010101110f151307010101011600000601010101010101010a13141001010101010102060101010101010101010203040101010101010101010101010101010111120007010101010101010101010101010101010c0d0e0f100101010101010101010101010102070508090a0b01010101010101010101010101010200030401050006010101010101010101010101010101010101010101010101010101010101010101010101010101010101010101010101010101010101010101010101010101010101010101010101010101010101010101010101010101010101010101010101010101010101010101010101010101010101010101010101010101010101010101010101010101010101010101010101010101010101010101010101010101010101010101010101010101010101010101010101010101010101010101014c0000006400000000000000000000001100000018000000000000000000000012000000190000002900aa0000000000000000000000803f00000000000000000000803f0000000000000000000000000000000000000000000000000000000000000000220000000c000000ffffffff460000001c00000010000000454d462b024000000c000000000000000e000000140000000000000010000000140000000400000003010800050000000b0200000000050000000c0219001200030000001e00040000000701040004000000070104004f010000410b2000cc001900120000000000190012000000000028000000120000001900000001000800000000000000000000000000000000001a0000000000000000000000ffffff000074bf009c480000ffffdf0074bfff00bf740000ffbf740048000000ffdf9c009cdfff00bf744800bfffff0000007400dfbf740074489c00ffffbf00dfffff0000489c0000004800740000009cdfbf00489cdf0074007400dfdfdf00df9c480001010101010101010101010101010101010101010101010101010101010101010101010101010101010101010101010101010101010101010101010101010101010101010101011600000000190101010101010101010101010101010102060101010101010101010101010101010101011606010101010101010101010101010101010101160601010101011600070101160014100101010116060101010101010102070c0d060c1710011801160601010101010101110f151307010101011600000601010101010101010a13141001010101010102060101010101010101010203040101010101010101010101010101010111120007010101010101010101010101010101010c0d0e0f100101010101010101010101010102070508090a0b01010101010101010101010101010200030401050006010101010101010101010101010101010101010101010101010101010101010101010101010101010101010101010101010101010101010101010101010101010101010101010101010101010101010101010101010101010101010101010101010101010101010101010101010101010101010101010101010101010101010101010101010101010101010101010101010101010101010101010101010101010101010101010101010101010101010101010101010101010101010101010c00000040092900aa000000000000001900120000000000040000002701ffff030000000000>=
0,99, >
>=84,0,
>
>=4,85,
3-е
предприятие: >010009000003a804000000002403000000002403000026060f003e06574d46430100000000000100016800000000010000001c060000000000001c060000010000006c000000000000000000000011000000180000000000000000000000c10100004902000020454d46000001001c0600000c00000001000000000000000000000000000000000500000004000040010000f000000000000000000000000000000000e2040080a90300460000002c00000020000000454d462b014001001c000000100000000210c0db01000000600000006000000046000000e4010000d8010000454d462b224004000c000000000000001e4009000c00000000000000244001000c000000000000003040020010000000040000000000803f214007000c000000000000000840000530010000240100000210c0db01000000000000000000000000000000000000000100000089504e470d0a1a0a0000000d4948445200000012000000190802000000b36be9c3000000017352474200aece1ce9000000097048597300000ec400000ec401952b0e1b000000ad49444154384fed94c10d80200c45c1e9741fdc46f7f0866378c34d2a6d110123c8c118137b31045fffefb7510280a8afa61e41e2c74eb9bd12c9dc4bac6e5cd90f9ffbf9f2abda2dd14a284d0fd10e06c00c2d9e7325824be494be01d97d0c300ba0a99212122176d8cc3b8cb1ac180fe0db79351a89c8c4a4eb16bb77980b936ceeb13adc181b2ea61ba97133afb0f74e7349b1e2f4fc42823dbc93eb32458b56347924491cad1fc82ffcb9363918c980b87a0feb0000000049454e44ae4260820840010824000000180000000210c0db01000000030000000000000000000000000000001b40000040000000340000000100000002000000000000bf000000bf000090410000c84103000000000080b3000080b3ffff8f41000080b3000080b3ffffc7412100000008000000620000000c00000001000000150000000c00000004000000150000000c0000000400000051000000d4020000000000000000000011000000180000000000000000000000000000000000000012000000190000005000000090000000e0000000f4010000000000002000cc00120000001900000028000000120000001900000001000800000000000000000000000000000000001a0000000000000000000000ffffff000074bf009c480000ffffdf0074bfff00bf740000ffbf740048000000ffdf9c009cdfff00bf744800bfffff0000007400dfbf740074489c00ffffbf00dfffff0000489c0000004800740000009cdfbf00489cdf0074007400dfdfdf00df9c480001010101010101010101010101010101010101010101010101010101010101010101010101010101010101010101010101010101010101010101010101010101010101010101011600000000190101010101010101010101010101010102060101010101010101010101010101010101011606010101010101010101010101010101010101160601010101011600070101160014100101010116060101010101010102070c0d060c1710011801160601010101010101110f151307010101011600000601010101010101010a13141001010101010102060101010101010101010203040101010101010101010101010101010111120007010101010101010101010101010101010c0d0e0f100101010101010101010101010102070508090a0b01010101010101010101010101010200030401050006010101010101010101010101010101010101010101010101010101010101010101010101010101010101010101010101010101010101010101010101010101010101010101010101010101010101010101010101010101010101010101010101010101010101010101010101010101010101010101010101010101010101010101010101010101010101010101010101010101010101010101010101010101010101010101010101010101010101010101010101010101010101010101014c0000006400000000000000000000001100000018000000000000000000000012000000190000002900aa0000000000000000000000803f00000000000000000000803f0000000000000000000000000000000000000000000000000000000000000000220000000c000000ffffffff460000001c00000010000000454d462b024000000c000000000000000e000000140000000000000010000000140000000400000003010800050000000b0200000000050000000c0219001200030000001e00040000000701040004000000070104004f010000410b2000cc001900120000000000190012000000000028000000120000001900000001000800000000000000000000000000000000001a0000000000000000000000ffffff000074bf009c480000ffffdf0074bfff00bf740000ffbf740048000000ffdf9c009cdfff00bf744800bfffff0000007400dfbf740074489c00ffffbf00dfffff0000489c0000004800740000009cdfbf00489cdf0074007400dfdfdf00df9c480001010101010101010101010101010101010101010101010101010101010101010101010101010101010101010101010101010101010101010101010101010101010101010101011600000000190101010101010101010101010101010102060101010101010101010101010101010101011606010101010101010101010101010101010101160601010101011600070101160014100101010116060101010101010102070c0d060c1710011801160601010101010101110f151307010101011600000601010101010101010a13141001010101010102060101010101010101010203040101010101010101010101010101010111120007010101010101010101010101010101010c0d0e0f100101010101010101010101010102070508090a0b01010101010101010101010101010200030401050006010101010101010101010101010101010101010101010101010101010101010101010101010101010101010101010101010101010101010101010101010101010101010101010101010101010101010101010101010101010101010101010101010101010101010101010101010101010101010101010101010101010101010101010101010101010101010101010101010101010101010101010101010101010101010101010101010101010101010101010101010101010101010101010c00000040092900aa000000000000001900120000000000040000002701ffff030000000000>=
0,70, >
>=76,8,
>
>=3,50,
4-е
предприятие: >010009000003a804000000002403000000002403000026060f003e06574d46430100000000000100016800000000010000001c060000000000001c060000010000006c000000000000000000000011000000180000000000000000000000c10100004902000020454d46000001001c0600000c00000001000000000000000000000000000000000500000004000040010000f000000000000000000000000000000000e2040080a90300460000002c00000020000000454d462b014001001c000000100000000210c0db01000000600000006000000046000000e4010000d8010000454d462b224004000c000000000000001e4009000c00000000000000244001000c000000000000003040020010000000040000000000803f214007000c000000000000000840000530010000240100000210c0db01000000000000000000000000000000000000000100000089504e470d0a1a0a0000000d4948445200000012000000190802000000b36be9c3000000017352474200aece1ce9000000097048597300000ec400000ec401952b0e1b000000ad49444154384fed94c10d80200c45c1e9741fdc46f7f0866378c34d2a6d110123c8c118137b31045fffefb7510280a8afa61e41e2c74eb9bd12c9dc4bac6e5cd90f9ffbf9f2abda2dd14a284d0fd10e06c00c2d9e7325824be494be01d97d0c300ba0a99212122176d8cc3b8cb1ac180fe0db79351a89c8c4a4eb16bb77980b936ceeb13adc181b2ea61ba97133afb0f74e7349b1e2f4fc42823dbc93eb32458b56347924491cad1fc82ffcb9363918c980b87a0feb0000000049454e44ae4260820840010824000000180000000210c0db01000000030000000000000000000000000000001b40000040000000340000000100000002000000000000bf000000bf000090410000c84103000000000080b3000080b3ffff8f41000080b3000080b3ffffc7412100000008000000620000000c00000001000000150000000c00000004000000150000000c0000000400000051000000d4020000000000000000000011000000180000000000000000000000000000000000000012000000190000005000000090000000e0000000f4010000000000002000cc00120000001900000028000000120000001900000001000800000000000000000000000000000000001a0000000000000000000000ffffff000074bf009c480000ffffdf0074bfff00bf740000ffbf740048000000ffdf9c009cdfff00bf744800bfffff0000007400dfbf740074489c00ffffbf00dfffff0000489c0000004800740000009cdfbf00489cdf0074007400dfdfdf00df9c480001010101010101010101010101010101010101010101010101010101010101010101010101010101010101010101010101010101010101010101010101010101010101010101011600000000190101010101010101010101010101010102060101010101010101010101010101010101011606010101010101010101010101010101010101160601010101011600070101160014100101010116060101010101010102070c0d060c1710011801160601010101010101110f151307010101011600000601010101010101010a13141001010101010102060101010101010101010203040101010101010101010101010101010111120007010101010101010101010101010101010c0d0e0f100101010101010101010101010102070508090a0b01010101010101010101010101010200030401050006010101010101010101010101010101010101010101010101010101010101010101010101010101010101010101010101010101010101010101010101010101010101010101010101010101010101010101010101010101010101010101010101010101010101010101010101010101010101010101010101010101010101010101010101010101010101010101010101010101010101010101010101010101010101010101010101010101010101010101010101010101010101010101014c0000006400000000000000000000001100000018000000000000000000000012000000190000002900aa0000000000000000000000803f00000000000000000000803f0000000000000000000000000000000000000000000000000000000000000000220000000c000000ffffffff460000001c00000010000000454d462b024000000c000000000000000e000000140000000000000010000000140000000400000003010800050000000b0200000000050000000c0219001200030000001e00040000000701040004000000070104004f010000410b2000cc001900120000000000190012000000000028000000120000001900000001000800000000000000000000000000000000001a0000000000000000000000ffffff000074bf009c480000ffffdf0074bfff00bf740000ffbf740048000000ffdf9c009cdfff00bf744800bfffff0000007400dfbf740074489c00ffffbf00dfffff0000489c0000004800740000009cdfbf00489cdf0074007400dfdfdf00df9c480001010101010101010101010101010101010101010101010101010101010101010101010101010101010101010101010101010101010101010101010101010101010101010101011600000000190101010101010101010101010101010102060101010101010101010101010101010101011606010101010101010101010101010101010101160601010101011600070101160014100101010116060101010101010102070c0d060c1710011801160601010101010101110f151307010101011600000601010101010101010a13141001010101010102060101010101010101010203040101010101010101010101010101010111120007010101010101010101010101010101010c0d0e0f100101010101010101010101010102070508090a0b01010101010101010101010101010200030401050006010101010101010101010101010101010101010101010101010101010101010101010101010101010101010101010101010101010101010101010101010101010101010101010101010101010101010101010101010101010101010101010101010101010101010101010101010101010101010101010101010101010101010101010101010101010101010101010101010101010101010101010101010101010101010101010101010101010101010101010101010101010101010101010c00000040092900aa000000000000001900120000000000040000002701ffff030000000000>=
1,24, >
>=88,0,
>
>=4,95.
Для
удобства
запишем значения исходных переменных
для каждой группы предприятий в виде
матриц >010009000003ae04000000003003000000003003000026060f005606574d46430100000000000100d66e0000000001000000340600000000000034060000010000006c000000000000000000000012000000180000000000000000000000da0100004902000020454d4600000100340600000c00000001000000000000000000000000000000000500000004000040010000f000000000000000000000000000000000e2040080a90300460000002c00000020000000454d462b014001001c000000100000000210c0db0100000060000000600000004600000008020000fc010000454d462b224004000c000000000000001e4009000c00000000000000244001000c000000000000003040020010000000040000000000803f214007000c000000000000000840000554010000480100000210c0db01000000000000000000000000000000000000000100000089504e470d0a1a0a0000000d49484452000000130000001908020000005ca982fd000000017352474200aece1ce9000000097048597300000ec400000ec401952b0e1b000000ce49444154384fd5534b1683200c849ece03e96d3c48777a0c77f42694247c86885559f85eb3d104869909c17aef4d57bcba5004fa4fe43ad914d3cade4b25167447426f25dc3c84b561768785bc957f4c49195a909c8e4bbd1d32400a6bdc4bffc0dfc023d2fb651456fafea0d36a292708c519acf6c92725d6437b79a1522bedbd4689bd0d74c9e31db5d04bf6da30aada266aebe20e9a5de08101a926a0354d8e068bf6811413afa15c7b21509235f2bcfd38c7c0f9c8cbfe6cefeaa15d510bd6092b2fc1d20476c5233e95b22fcd4499a6adcfb4c80000000049454e44ae4260820000000840010824000000180000000210c0db01000000030000000000000000000000000000001b40000040000000340000000100000002000000000000bf000000bf000098410000c84103000000000000b3000000b3ffff9741000000b3000000b3ffffc7412100000008000000620000000c00000001000000150000000c00000004000000150000000c0000000400000051000000c8020000000000000000000012000000180000000000000000000000000000000000000013000000190000005000000084000000d4000000f4010000000000002000cc0013000000190000002800000013000000190000000100080000000000000000000000000000000000170000000000000000000000ffffff0074bfff00ffbf740074000000ffffbf00489cdf00df9c4800dfffff0000489c0048000000ffdf9c009cdfff0000004800bf7400000074bf00bfffff00000074009c480000ffffdf00bfffdf0048004800dfdfdf00010101010101010101010101010101010101010101010101010101010101010101010101010101010101010101010101010101010101010101010101010101010101010101010101060000000007010101010101010101010101010101010f0e010101010101010101010101010101010101060e010101010101010101010101010101010101060e0101010111000a0b01080900000e01010101060e010101010809121301010c0d121301011601060e010101010110110301010200030101010600000e0101010101010c150b010f040501010101010f0e01010101010101021214110e010101010101010101010101010101010600000301010101010101010101010101010101010f1213010101010101010101010101010101011011000e01010101010101010101010101010101020a0b0f0e010101010101010101010101010108090e01080907010101010101010101010101010c0d0701010c0d03010101010101010101010101060007010108090a0b01010101010101010101020000000301020000040501010101010101010101010101010101010101010101010101010101010101010101010101010101010101010101010101010101010101010101010101010101010101010101010101010101010101010101010101010101010101010101010101010101010101010101014c0000006400000000000000000000001200000018000000000000000000000013000000190000002900aa0000000000000000000000803f00000000000000000000803f0000000000000000000000000000000000000000000000000000000000000000220000000c000000ffffffff460000001c00000010000000454d462b024000000c000000000000000e000000140000000000000010000000140000000400000003010800050000000b0200000000050000000c0219001300030000001e000400000007010400040000000701040049010000410b2000cc00190013000000000019001300000000002800000013000000190000000100080000000000000000000000000000000000170000000000000000000000ffffff0074bfff00ffbf740074000000ffffbf00489cdf00df9c4800dfffff0000489c0048000000ffdf9c009cdfff0000004800bf7400000074bf00bfffff00000074009c480000ffffdf00bfffdf0048004800dfdfdf00010101010101010101010101010101010101010101010101010101010101010101010101010101010101010101010101010101010101010101010101010101010101010101010101060000000007010101010101010101010101010101010f0e010101010101010101010101010101010101060e010101010101010101010101010101010101060e0101010111000a0b01080900000e01010101060e010101010809121301010c0d121301011601060e010101010110110301010200030101010600000e0101010101010c150b010f040501010101010f0e01010101010101021214110e010101010101010101010101010101010600000301010101010101010101010101010101010f1213010101010101010101010101010101011011000e01010101010101010101010101010101020a0b0f0e010101010101010101010101010108090e01080907010101010101010101010101010c0d0701010c0d03010101010101010101010101060007010108090a0b01010101010101010101020000000301020000040501010101010101010101010101010101010101010101010101010101010101010101010101010101010101010101010101010101010101010101010101010101010101010101010101010101010101010101010101010101010101010101010101010101010101010101010c00000040092900aa000000000000001900130000000000040000002701ffff030000000000
>
и >010009000003ac04000000002e03000000002e03000026060f005206574d4643010000000000010020d60000000001000000300600000000000030060000010000006c000000000000000000000013000000180000000000000000000000f30100004902000020454d4600000100300600000c00000001000000000000000000000000000000000500000004000040010000f000000000000000000000000000000000e2040080a90300460000002c00000020000000454d462b014001001c000000100000000210c0db0100000060000000600000004600000004020000f8010000454d462b224004000c000000000000001e4009000c00000000000000244001000c000000000000003040020010000000040000000000803f214007000c000000000000000840000550010000440100000210c0db01000000000000000000000000000000000000000100000089504e470d0a1a0a0000000d4948445200000014000000190802000000be759984000000017352474200aece1ce9000000097048597300000ec400000ec401952b0e1b000000cd49444154384fd5945116842008457356d7826c37edc576d2521c04c5873a1ea7bff8a9c02bf0e0e4628cdb53fb3c0513f772f83a5cb1e3621daa273b06ea90da62f7b953783fef9f0e3d5a5eb6ea61bac2fce94347800360c99d8fa777a8627c05c231062fb9d3739e946fb33053c916c81ed6dcb3563566328be0cb89b16c2ab9f4fb67d9a02ef7dd345db4b01129dbaadbd2b9a472b04e90e0663906bb661709e03c9bba11aada606014c3cd69e63c9d10956fa55885533ddde6acc1983378bd64058639d91572effc7b7e016e082c3efc32988e0000000049454e44ae4260820840010824000000180000000210c0db01000000030000000000000000000000000000001b40000040000000340000000100000002000000000000bf000000bf0000a0410000c84103000000000080b3000080b3ffff9f41000080b3000080b3ffffc7412100000008000000620000000c00000001000000150000000c00000004000000150000000c0000000400000051000000c8020000000000000000000013000000180000000000000000000000000000000000000014000000190000005000000084000000d4000000f4010000000000002000cc0014000000190000002800000014000000190000000100080000000000000000000000000000000000170000000000000000000000ffffff0074bfff00ffbf740074000000ffffbf00489cdf00df9c4800dfffff0000489c0048000000ffdf9c009cdfff0000004800bf7400000074bf00bfffff00000074009c480000ffffdf00bfffdf0048004800480074000101010101010101010101010101010101010101010101010101010101010101010101010101010101010101010101010101010101010101010101010101010101010101010101101100000000030101010101010101010101010101020e01010203010101010101010101010101010101060e01010101010101010101010101010101010101020e0101010111000a0b01080900000e010101010106070101010809121301010c0d121301010101010c150b0101011011030101020003010110160b01020a0b010101010c150b010f0405010101101100000e010101010101021214110e010101010101010101010101010101010600000301010101010101010101010101010101010f1213010101010101010101010101010101011011000e01010101010101010101010101010101020a0b0f0e010101010101010101010101010108090e01080907010101010101010101010101010c0d0701010c0d03010101010101010101010101060007010108090a0b01010101010101010101020000000301020000040501010101010101010101010101010101010101010101010101010101010101010101010101010101010101010101010101010101010101010101010101010101010101010101010101010101010101010101010101010101010101010101010101010101010101010101014c0000006400000000000000000000001300000018000000000000000000000014000000190000002900aa0000000000000000000000803f00000000000000000000803f0000000000000000000000000000000000000000000000000000000000000000220000000c000000ffffffff460000001c00000010000000454d462b024000000c000000000000000e000000140000000000000010000000140000000400000003010800050000000b0200000000050000000c0219001400030000001e000400000007010400040000000701040049010000410b2000cc00190014000000000019001400000000002800000014000000190000000100080000000000000000000000000000000000170000000000000000000000ffffff0074bfff00ffbf740074000000ffffbf00489cdf00df9c4800dfffff0000489c0048000000ffdf9c009cdfff0000004800bf7400000074bf00bfffff00000074009c480000ffffdf00bfffdf0048004800480074000101010101010101010101010101010101010101010101010101010101010101010101010101010101010101010101010101010101010101010101010101010101010101010101101100000000030101010101010101010101010101020e01010203010101010101010101010101010101060e01010101010101010101010101010101010101020e0101010111000a0b01080900000e010101010106070101010809121301010c0d121301010101010c150b0101011011030101020003010110160b01020a0b010101010c150b010f0405010101101100000e010101010101021214110e010101010101010101010101010101010600000301010101010101010101010101010101010f1213010101010101010101010101010101011011000e01010101010101010101010101010101020a0b0f0e010101010101010101010101010108090e01080907010101010101010101010101010c0d0701010c0d03010101010101010101010101060007010108090a0b01010101010101010101020000000301020000040501010101010101010101010101010101010101010101010101010101010101010101010101010101010101010101010101010101010101010101010101010101010101010101010101010101010101010101010101010101010101010101010101010101010101010101010c00000040092900aa000000000000001900140000000000040000002701ffff030000000000>:
(17)
Рассчитаем среднее значение каждой переменной в отдельных группах для определения положения центров этих групп:
I гр. >010009000003920500000000aa0300000000aa03000026060f004a07574d464301000000000001005a7e0000000001000000280700000000000028070000010000006c000000000000000000000019000000180000000000000000000000890200004902000020454d4600000100280700000c00000001000000000000000000000000000000000500000004000040010000f000000000000000000000000000000000e2040080a90300460000002c00000020000000454d462b014001001c000000100000000210c0db01000000600000006000000046000000280200001c020000454d462b224004000c000000000000001e4009000c00000000000000244001000c000000000000003040020010000000040000000000803f214007000c000000000000000840000574010000680100000210c0db01000000000000000000000000000000000000000100000089504e470d0a1a0a0000000d494844520000001a000000190802000000a0bca937000000017352474200aece1ce9000000097048597300000ec400000ec401952b0e1b000000f149444154484be554310e83300c34bc2455d73e82aa0ba8cfe8c80aea2360ef02cf40ed169ec1063f0976424914a25650a40ef112e5245fce673b811002f68b703f2a62f28a6e5feb20f0b0b36d1e5024f5a0cc54f7bc5d6d2d7ac733c8b83c20ae7a21fa2aa6fb96002389f832fe0319eeab41874454dc5665c4642e193b9ea8dc345aed984ed0ea3e8a53462cedb4f0b958699964b4b2a657162e38f1a9d8363f74f72292e5960dce074eca7b4c2e0f14a593e7c25c7838d4094e587315055916a5a8af3c6b008031e6f4d28987ecf6c4c7251785ba1ac0bab6fce9fb1cba9753a78d7f5d25ab09720d299cb857ffdd085f2abb683fc658380000000049454e44ae4260820840010824000000180000000210c0db01000000030000000000000000000000000000001b40000040000000340000000100000002000000000000bf000000bf0000d0410000c84103000000000080b3000080b3ffffcf41000080b3000080b3ffffc7412100000008000000620000000c00000001000000150000000c00000004000000150000000c00000004000000510000009c03000000000000000000001900000018000000000000000000000000000000000000001a000000190000005000000090000000e0000000bc020000000000002000cc001a00000019000000280000001a0000001900000001000800000000000000000000000000000000001a0000000000000000000000ffffff000074bf009c480000ffffdf0074bfff00bf740000ffbf740048000000ffdf9c009cdfff00bf744800bfffff0000007400dfbf740074489c00ffffbf00dfffff0000489c0000004800740000009cdfbf00489cdf0074007400dfdfdf00df9c48000101010101010101010101010101010101010101010101010101ffff0101010101010101010101010101010101010101010101010101ffff0101010101010101010101010101010101010101010101010101ffff0101010101010101010101160000000019010116000000001901ffff0101010101010101010101010102060101010101010206010101ffff0101010101010101010101010116060101010101011606010101ffff0101010101010101010101010116060101010101011606010101ffff1600070101160014100101010116060101010101011606010101ffff010102070c0d060c171001180116060101010118011606010101ffff0101110f15130701010101160000060101010116000006010101ffff0101010a131410010101010101020601010101010102060101011a040101010102030401010101010101010101010101010101010101ffff0101011112000701010101010101010101010101010101010101ffff0101010c0d0e0f10010101010101010101010101010101010101ffff0102070508090a0b010101010101010101010101010101010101ffff0101020003040105000601010101010101010101010101010101ffff0101010101010101010101010101010101010101010101010101ffff0101010101010101010101010101010101010101010101010101ffff01010101010101010101010101010101010101010101010101011a040000000000000000000000000000000000000000000000000000ffff0101010101010101010101010101010101010101010101010101ffff0101010101010101010101010101010101010101010101010101ffff0101010101010101010101010101010101010101010101010101ffff0101010101010101010101010101010101010101010101010101ffff0101010101010101010101010101010101010101010101010101ffff4c000000640000000000000000000000190000001800000000000000000000001a000000190000002900aa0000000000000000000000803f00000000000000000000803f0000000000000000000000000000000000000000000000000000000000000000220000000c000000ffffffff460000001c00000010000000454d462b024000000c000000000000000e000000140000000000000010000000140000000400000003010800050000000b0200000000050000000c0219001a00030000001e0004000000070104000400000007010400b3010000410b2000cc0019001a000000000019001a0000000000280000001a0000001900000001000800000000000000000000000000000000001a0000000000000000000000ffffff000074bf009c480000ffffdf0074bfff00bf740000ffbf740048000000ffdf9c009cdfff00bf744800bfffff0000007400dfbf740074489c00ffffbf00dfffff0000489c0000004800740000009cdfbf00489cdf0074007400dfdfdf00df9c48000101010101010101010101010101010101010101010101010101ffff0101010101010101010101010101010101010101010101010101ffff0101010101010101010101010101010101010101010101010101ffff0101010101010101010101160000000019010116000000001901ffff0101010101010101010101010102060101010101010206010101ffff0101010101010101010101010116060101010101011606010101ffff0101010101010101010101010116060101010101011606010101ffff1600070101160014100101010116060101010101011606010101ffff010102070c0d060c171001180116060101010118011606010101ffff0101110f15130701010101160000060101010116000006010101ffff0101010a131410010101010101020601010101010102060101011a040101010102030401010101010101010101010101010101010101ffff0101011112000701010101010101010101010101010101010101ffff0101010c0d0e0f10010101010101010101010101010101010101ffff0102070508090a0b010101010101010101010101010101010101ffff0101020003040105000601010101010101010101010101010101ffff0101010101010101010101010101010101010101010101010101ffff0101010101010101010101010101010101010101010101010101ffff01010101010101010101010101010101010101010101010101011a040000000000000000000000000000000000000000000000000000ffff0101010101010101010101010101010101010101010101010101ffff0101010101010101010101010101010101010101010101010101ffff0101010101010101010101010101010101010101010101010101ffff0101010101010101010101010101010101010101010101010101ffff0101010101010101010101010101010101010101010101010101ffff0c00000040092900aa0000000000000019001a0000000000040000002701ffff030000000000> =0,60, >0100090000039c0500000000b00300000000b003000026060f005607574d4643010000000000010019a70000000001000000340700000000000034070000010000006c000000000000000000000019000000180000000000000000000000890200004902000020454d4600000100340700000c00000001000000000000000000000000000000000500000004000040010000f000000000000000000000000000000000e2040080a90300460000002c00000020000000454d462b014001001c000000100000000210c0db010000006000000060000000460000002c02000020020000454d462b224004000c000000000000001e4009000c00000000000000244001000c000000000000003040020010000000040000000000803f214007000c0000000000000008400005780100006c0100000210c0db01000000000000000000000000000000000000000100000089504e470d0a1a0a0000000d494844520000001a000000190802000000a0bca937000000017352474200aece1ce9000000097048597300000ec400000ec401952b0e1b000000f549444154484be594cb11c2201086c14a74bc5a84c7642cc52b8c45d842528633dea08cdca01364974708e8e421b7704920d96f77ff1fa0c618526f1ceaa180b42b5c5de908dda1b39253186daf9d986ecee56a69ad76821126f0419a4e19a3ba06e65b06498280c7c41f307b5e139c0541735b2b03527ac88ee70bb47bbfae566c0c18abfb591c88e04751b913284262b3281912a721f67ff4c75916dfd1b03287c779733122d85c54028080b6380549602dadce25892b21e7173feca71116dacb714b7757a83ffb3fc32dba3e75dfd2d7cd3ce72d5f8093fc343c3c4bf2ece0e9e13dd95673cd26bb04e30a953dcdc9baabfbee03d70355bcf6e2a1330000000049454e44ae4260820840010824000000180000000210c0db01000000030000000000000000000000000000001b40000040000000340000000100000002000000000000bf000000bf0000d0410000c84103000000000080b3000080b3ffffcf41000080b3000080b3ffffc7412100000008000000620000000c00000001000000150000000c00000004000000150000000c0000000400000051000000a403000000000000000000001900000018000000000000000000000000000000000000001a000000190000005000000098000000e8000000bc020000000000002000cc001a00000019000000280000001a0000001900000001000800000000000000000000000000000000001c0000000000000000000000ffffff000074bf009c480000ffffdf0074bfff00bf740000ffbf740048000000ffdf9c009cdfff00bf744800bfffff0000007400dfbf740074489c00ffffbf00dfffff0000489c0000004800740000009cdfbf0048007400489cdf007400740048004800dfdfdf00df9c48000101010101010101010101010101010101010101010101010101ffff0101010101010101010101010101010101010101010101010101ffff0101010101010101010101010101010101010101010101010101ffff010101010101010101010c0d0000000007010117000000001b01ffff0101010101010101010101050601010507010101010206010101ffff0101010101010101010101011706010101010101011706010101ffff0101010101010101010101010105060101010101011706010101ffff1700070101170014100101010101171b01010101011706010101ffff010102070c0d060c1810010101010a190901011a011706010101ffff0101110f1513070101010c160901050809010117000006010101ffff0101010a131410010101010c0d000006010101010102060101011a040101010102030401010101010101010101010101010101010101ffff0101011112000701010101010101010101010101010101010101ffff0101010c0d0e0f10010101010101010101010101010101010101ffff0102070508090a0b010101010101010101010101010101010101ffff0101020003040105000601010101010101010101010101010101ffff0101010101010101010101010101010101010101010101010101ffff0101010101010101010101010101010101010101010101010101ffff01010101010101010101010101010101010101010101010101011a040000000000000000000000000000000000000000000000000000ffff0101010101010101010101010101010101010101010101010101ffff0101010101010101010101010101010101010101010101010101ffff0101010101010101010101010101010101010101010101010101ffff0101010101010101010101010101010101010101010101010101ffff0101010101010101010101010101010101010101010101010101ffff4c000000640000000000000000000000190000001800000000000000000000001a000000190000002900aa0000000000000000000000803f00000000000000000000803f0000000000000000000000000000000000000000000000000000000000000000220000000c000000ffffffff460000001c00000010000000454d462b024000000c000000000000000e000000140000000000000010000000140000000400000003010800050000000b0200000000050000000c0219001a00030000001e0004000000070104000400000007010400b7010000410b2000cc0019001a000000000019001a0000000000280000001a0000001900000001000800000000000000000000000000000000001c0000000000000000000000ffffff000074bf009c480000ffffdf0074bfff00bf740000ffbf740048000000ffdf9c009cdfff00bf744800bfffff0000007400dfbf740074489c00ffffbf00dfffff0000489c0000004800740000009cdfbf0048007400489cdf007400740048004800dfdfdf00df9c48000101010101010101010101010101010101010101010101010101ffff0101010101010101010101010101010101010101010101010101ffff0101010101010101010101010101010101010101010101010101ffff010101010101010101010c0d0000000007010117000000001b01ffff0101010101010101010101050601010507010101010206010101ffff0101010101010101010101011706010101010101011706010101ffff0101010101010101010101010105060101010101011706010101ffff1700070101170014100101010101171b01010101011706010101ffff010102070c0d060c1810010101010a190901011a011706010101ffff0101110f1513070101010c160901050809010117000006010101ffff0101010a131410010101010c0d000006010101010102060101011a040101010102030401010101010101010101010101010101010101ffff0101011112000701010101010101010101010101010101010101ffff0101010c0d0e0f10010101010101010101010101010101010101ffff0102070508090a0b010101010101010101010101010101010101ffff0101020003040105000601010101010101010101010101010101ffff0101010101010101010101010101010101010101010101010101ffff0101010101010101010101010101010101010101010101010101ffff01010101010101010101010101010101010101010101010101011a040000000000000000000000000000000000000000000000000000ffff0101010101010101010101010101010101010101010101010101ffff0101010101010101010101010101010101010101010101010101ffff0101010101010101010101010101010101010101010101010101ffff0101010101010101010101010101010101010101010101010101ffff0101010101010101010101010101010101010101010101010101ffff0c00000040092900aa0000000000000019001a0000000000040000002701ffff030000000000>=88,4, >0100090000039a0500000000ac0300000000ac03000026060f004e07574d46430100000000000100344f00000000010000002c070000000000002c070000010000006c000000000000000000000019000000180000000000000000000000890200004902000020454d46000001002c0700000c00000001000000000000000000000000000000000500000004000040010000f000000000000000000000000000000000e2040080a90300460000002c00000020000000454d462b014001001c000000100000000210c0db010000006000000060000000460000002002000014020000454d462b224004000c000000000000001e4009000c00000000000000244001000c000000000000003040020010000000040000000000803f214007000c00000000000000084000056c010000600100000210c0db01000000000000000000000000000000000000000100000089504e470d0a1a0a0000000d494844520000001a000000190802000000a0bca937000000017352474200aece1ce9000000097048597300000ec400000ec401952b0e1b000000e949444154484be594bb11c3200c862193e42e6d86703a6796b4788aace0ec910e0f91221dde8420f106fbb01d3ad470e84e1fd22f092aa524f5ec540f05a4a67075a523b4c1ce4e0305bbbf662da6be0fd36e6995769c11c6f120fd28a414630ff723468220e031fe074ced6b80532028ee6866400a97ec7cb942b98f6eb7623ec067b7929c7163044a1b9916c8b95cb1281986c6c52a9785b85e61b47f26c799e662776d9b330d01e0f3130232055f88d38f388f7d33ef471268ea4b715ba60b735e6e7a82dbf47d764fa3d6e756d894224ead9b5bbd85019abfefc85b2c766d5042bf9ba1a6febb1fe568541f43df51140000000049454e44ae4260820840010824000000180000000210c0db01000000030000000000000000000000000000001b40000040000000340000000100000002000000000000bf000000bf0000d0410000c84103000000000080b3000080b3ffffcf41000080b3000080b3ffffc7412100000008000000620000000c00000001000000150000000c00000004000000150000000c0000000400000051000000a803000000000000000000001900000018000000000000000000000000000000000000001a00000019000000500000009c000000ec000000bc020000000000002000cc001a00000019000000280000001a0000001900000001000800000000000000000000000000000000001d0000000000000000000000ffffff000074bf009c480000ffffdf0074bfff00bf740000ffbf740048000000ffdf9c009cdfff00bf744800bfffff0000007400dfbf740074489c00ffffbf00dfffff0000489c000000480074000000489cdf00df9c48009cdfbf0048489c007400740048004800dfdfdf00480074000101010101010101010101010101010101010101010101010101ffff0101010101010101010101010101010101010101010101010101ffff0101010101010101010101010101010101010101010101010101ffff0101010101010101010101150000001601010115000000001601ffff010101010101010101010c1c09010a1307010101010206010101ffff01010101010101010101010101010a1307010101011506010101ffff0101010101010101010101010200000701010101011506010101ffff1500070101150014100101010111120701010101011506010101ffff010102070c0d060c1910010101010a1a0901011b011506010101ffff0101110f17130701010111180901050809010115000006010101ffff0101010a131410010101011500000016010101010102060101011a040101010102030401010101010101010101010101010101010101ffff0101011112000701010101010101010101010101010101010101ffff0101010c0d0e0f10010101010101010101010101010101010101ffff0102070508090a0b010101010101010101010101010101010101ffff0101020003040105000601010101010101010101010101010101ffff0101010101010101010101010101010101010101010101010101ffff0101010101010101010101010101010101010101010101010101ffff01010101010101010101010101010101010101010101010101011a040000000000000000000000000000000000000000000000000000ffff0101010101010101010101010101010101010101010101010101ffff0101010101010101010101010101010101010101010101010101ffff0101010101010101010101010101010101010101010101010101ffff0101010101010101010101010101010101010101010101010101ffff0101010101010101010101010101010101010101010101010101ffff4c000000640000000000000000000000190000001800000000000000000000001a000000190000002900aa0000000000000000000000803f00000000000000000000803f0000000000000000000000000000000000000000000000000000000000000000220000000c000000ffffffff460000001c00000010000000454d462b024000000c000000000000000e000000140000000000000010000000140000000400000003010800050000000b0200000000050000000c0219001a00030000001e0004000000070104000400000007010400b9010000410b2000cc0019001a000000000019001a0000000000280000001a0000001900000001000800000000000000000000000000000000001d0000000000000000000000ffffff000074bf009c480000ffffdf0074bfff00bf740000ffbf740048000000ffdf9c009cdfff00bf744800bfffff0000007400dfbf740074489c00ffffbf00dfffff0000489c000000480074000000489cdf00df9c48009cdfbf0048489c007400740048004800dfdfdf00480074000101010101010101010101010101010101010101010101010101ffff0101010101010101010101010101010101010101010101010101ffff0101010101010101010101010101010101010101010101010101ffff0101010101010101010101150000001601010115000000001601ffff010101010101010101010c1c09010a1307010101010206010101ffff01010101010101010101010101010a1307010101011506010101ffff0101010101010101010101010200000701010101011506010101ffff1500070101150014100101010111120701010101011506010101ffff010102070c0d060c1910010101010a1a0901011b011506010101ffff0101110f17130701010111180901050809010115000006010101ffff0101010a131410010101011500000016010101010102060101011a040101010102030401010101010101010101010101010101010101ffff0101011112000701010101010101010101010101010101010101ffff0101010c0d0e0f10010101010101010101010101010101010101ffff0102070508090a0b010101010101010101010101010101010101ffff0101020003040105000601010101010101010101010101010101ffff0101010101010101010101010101010101010101010101010101ffff0101010101010101010101010101010101010101010101010101ffff01010101010101010101010101010101010101010101010101011a040000000000000000000000000000000000000000000000000000ffff0101010101010101010101010101010101010101010101010101ffff0101010101010101010101010101010101010101010101010101ffff0101010101010101010101010101010101010101010101010101ffff0101010101010101010101010101010101010101010101010101ffff0101010101010101010101010101010101010101010101010101ffff0c00000040092900aa0000000000000019001a0000000000040000002701ffff030000000000>=8,72
II гр. >0100090000039c0500000000b00300000000b003000026060f005607574d4643010000000000010083340000000001000000340700000000000034070000010000006c000000000000000000000019000000180000000000000000000000890200004902000020454d4600000100340700000c00000001000000000000000000000000000000000500000004000040010000f000000000000000000000000000000000e2040080a90300460000002c00000020000000454d462b014001001c000000100000000210c0db010000006000000060000000460000002c02000020020000454d462b224004000c000000000000001e4009000c00000000000000244001000c000000000000003040020010000000040000000000803f214007000c0000000000000008400005780100006c0100000210c0db01000000000000000000000000000000000000000100000089504e470d0a1a0a0000000d494844520000001a000000190802000000a0bca937000000017352474200aece1ce9000000097048597300000ec400000ec401952b0e1b000000f449444154484be5944b1283200c86a12769a7db1ea24b9d1ea55b991ec22be8313ad31d1cc31dde841212049991d6c78e6c14633e923f046e8c61c7d9e93814908ac21d2b1de3057656090e56f7238a896ba1564b6bb5930d6ba47bb0aad3c6e8ae82f516635110f01ab90366e735c2591014b7353320c54376bedea0dce77db562212064974d0e8598cb09dfc8bc6b2ad649e6884914ed92aa6059ae6fd84aff4e386aaef3f83613566b0802e892a8e02334c3cda73f7d2e696806675d3ecf596773076d11e7ebc2e05dd7e7d8d7fcfd306d380affe2c6e1931e1f252ec38b584ad040fe1ca5d059c78bdb196f80621775df7d017c4355bc6156577f0000000049454e44ae426082000840010824000000180000000210c0db01000000030000000000000000000000000000001b40000040000000340000000100000002000000000000bf000000bf0000d0410000c84103000000000080b3000080b3ffffcf41000080b3000080b3ffffc7412100000008000000620000000c00000001000000150000000c00000004000000150000000c0000000400000051000000a403000000000000000000001900000018000000000000000000000000000000000000001a000000190000005000000098000000e8000000bc020000000000002000cc001a00000019000000280000001a0000001900000001000800000000000000000000000000000000001c0000000000000000000000ffffff000074bf009c480000ffffdf0074bfff00bf740000ffbf740048000000ffdf9c009cdfff00bf744800bfffff0000007400dfbf740074489c00ffffbf00dfffff0000489c0000004800740000009cdfbf00489cdf004800740074007400dfdfdf0048004800df9c48000101010101010101010101010101010101010101010101010101ffff0101010101010101010101010101010101010101010101010101ffff0101010101010101010101010101010101010101010101010101ffff010101010101010101010116000000001b010c0d000000000701ffff0101010101010101010101010102060101010105060101050701ffff0101010101010101010101010116060101010101160601010101ffff0101010101010101010101010116060101010101010506010101ffff16000701011600141001010101160601010101010101161b0101ffff010102070c0d060c18100119011606010101010101010a1a0901ffff0101110f15130701010101160000060101010c17090105080901ffff0101010a1314100101010101010206010101010c0d00000601011a040101010102030401010101010101010101010101010101010101ffff0101011112000701010101010101010101010101010101010101ffff0101010c0d0e0f10010101010101010101010101010101010101ffff0102070508090a0b010101010101010101010101010101010101ffff0101020003040105000601010101010101010101010101010101ffff0101010101010101010101010101010101010101010101010101ffff0101010101010101010101010101010101010101010101010101ffff01010101010101010101010101010101010101010101010101011a040000000000000000000000000000000000000000000000000000ffff0101010101010101010101010101010101010101010101010101ffff0101010101010101010101010101010101010101010101010101ffff0101010101010101010101010101010101010101010101010101ffff0101010101010101010101010101010101010101010101010101ffff0101010101010101010101010101010101010101010101010101ffff4c000000640000000000000000000000190000001800000000000000000000001a000000190000002900aa0000000000000000000000803f00000000000000000000803f0000000000000000000000000000000000000000000000000000000000000000220000000c000000ffffffff460000001c00000010000000454d462b024000000c000000000000000e000000140000000000000010000000140000000400000003010800050000000b0200000000050000000c0219001a00030000001e0004000000070104000400000007010400b7010000410b2000cc0019001a000000000019001a0000000000280000001a0000001900000001000800000000000000000000000000000000001c0000000000000000000000ffffff000074bf009c480000ffffdf0074bfff00bf740000ffbf740048000000ffdf9c009cdfff00bf744800bfffff0000007400dfbf740074489c00ffffbf00dfffff0000489c0000004800740000009cdfbf00489cdf004800740074007400dfdfdf0048004800df9c48000101010101010101010101010101010101010101010101010101ffff0101010101010101010101010101010101010101010101010101ffff0101010101010101010101010101010101010101010101010101ffff010101010101010101010116000000001b010c0d000000000701ffff0101010101010101010101010102060101010105060101050701ffff0101010101010101010101010116060101010101160601010101ffff0101010101010101010101010116060101010101010506010101ffff16000701011600141001010101160601010101010101161b0101ffff010102070c0d060c18100119011606010101010101010a1a0901ffff0101110f15130701010101160000060101010c17090105080901ffff0101010a1314100101010101010206010101010c0d00000601011a040101010102030401010101010101010101010101010101010101ffff0101011112000701010101010101010101010101010101010101ffff0101010c0d0e0f10010101010101010101010101010101010101ffff0102070508090a0b010101010101010101010101010101010101ffff0101020003040105000601010101010101010101010101010101ffff0101010101010101010101010101010101010101010101010101ffff0101010101010101010101010101010101010101010101010101ffff01010101010101010101010101010101010101010101010101011a040000000000000000000000000000000000000000000000000000ffff0101010101010101010101010101010101010101010101010101ffff0101010101010101010101010101010101010101010101010101ffff0101010101010101010101010101010101010101010101010101ffff0101010101010101010101010101010101010101010101010101ffff0101010101010101010101010101010101010101010101010101ffff0c00000040092900aa0000000000000019001a0000000000040000002701ffff030000000000>=1,39, >0100090000038c0500000000a20300000000a203000026060f003a07574d46430100000000000100f71a0000000001000000180700000000000018070000010000006c000000000000000000000019000000180000000000000000000000890200004902000020454d4600000100180700000c00000001000000000000000000000000000000000500000004000040010000f000000000000000000000000000000000e2040080a90300460000002c00000020000000454d462b014001001c000000100000000210c0db010000006000000060000000460000001402000008020000454d462b224004000c000000000000001e4009000c00000000000000244001000c000000000000003040020010000000040000000000803f214007000c000000000000000840000560010000540100000210c0db01000000000000000000000000000000000000000100000089504e470d0a1a0a0000000d494844520000001a000000190802000000a0bca937000000017352474200aece1ce9000000097048597300000ec400000ec401952b0e1b000000dd49444154484be5944d1682300c845b4fe27b6e3d844b3c8bdb721b3c4bb909dea476d2bf204101bb6b37d0817c249314ed9c53f5d6a91e0aa4a67075ad53bac1ce8ebdc6ba3f5fc1ccb0efc7ddd67aefac51c6d24575c3e4dc3474d81f598a058167ec1f307f5e19ce8350dcd1cc40e287ec7cb9a2dcc76db76325a064b79a1c4c886b96b9a0e762c93222ce8bf531d49fd0b27c8f8da0475c6c2e45a4362f3cc4c71282b79de92a94984363c5523ffc230986b9ca3aefecd7414bf97fbe34d737e190b2343e4b7d038e7fdf9a8295f49f38360d342c0927eb4dfdefded7ffcfb2c3cf2b200000000049454e44ae4260820840010824000000180000000210c0db01000000030000000000000000000000000000001b40000040000000340000000100000002000000000000bf000000bf0000d0410000c84103000000000080b3000080b3ffffcf41000080b3000080b3ffffc7412100000008000000620000000c00000001000000150000000c00000004000000150000000c0000000400000051000000a003000000000000000000001900000018000000000000000000000000000000000000001a000000190000005000000094000000e4000000bc020000000000002000cc001a00000019000000280000001a0000001900000001000800000000000000000000000000000000001b0000000000000000000000ffffff000074bf009c480000ffffdf0074bfff00bf740000ffbf740048000000ffdf9c009cdfff00bf744800bfffff0000007400dfbf740074489c00ffffbf00dfffff0000489c0000004800740000009cdfbf00480074007400740048004800489cdf00df9c48000101010101010101010101010101010101010101010101010101ffff0101010101010101010101010101010101010101010101010101ffff0101010101010101010101010101010101010101010101010101ffff010101010101010101010c0d0000000007010c0d000000000701ffff0101010101010101010101050601010507010105060101050701ffff0101010101010101010101011906010101010101190601010101ffff0101010101010101010101010105060101010101010506010101ffff1900070101190014100101010101191a010101010101191a0101ffff010102070c0d060c1710010101010a180901010101010a180901ffff0101110f1513070101010c160901050809010c16090105080901ffff0101010a131410010101010c0d0000060101010c0d00000601011a040101010102030401010101010101010101010101010101010101ffff0101011112000701010101010101010101010101010101010101ffff0101010c0d0e0f10010101010101010101010101010101010101ffff0102070508090a0b010101010101010101010101010101010101ffff0101020003040105000601010101010101010101010101010101ffff0101010101010101010101010101010101010101010101010101ffff0101010101010101010101010101010101010101010101010101ffff01010101010101010101010101010101010101010101010101011a040000000000000000000000000000000000000000000000000000ffff0101010101010101010101010101010101010101010101010101ffff0101010101010101010101010101010101010101010101010101ffff0101010101010101010101010101010101010101010101010101ffff0101010101010101010101010101010101010101010101010101ffff0101010101010101010101010101010101010101010101010101ffff4c000000640000000000000000000000190000001800000000000000000000001a000000190000002900aa0000000000000000000000803f00000000000000000000803f0000000000000000000000000000000000000000000000000000000000000000220000000c000000ffffffff460000001c00000010000000454d462b024000000c000000000000000e000000140000000000000010000000140000000400000003010800050000000b0200000000050000000c0219001a00030000001e0004000000070104000400000007010400b5010000410b2000cc0019001a000000000019001a0000000000280000001a0000001900000001000800000000000000000000000000000000001b0000000000000000000000ffffff000074bf009c480000ffffdf0074bfff00bf740000ffbf740048000000ffdf9c009cdfff00bf744800bfffff0000007400dfbf740074489c00ffffbf00dfffff0000489c0000004800740000009cdfbf00480074007400740048004800489cdf00df9c48000101010101010101010101010101010101010101010101010101ffff0101010101010101010101010101010101010101010101010101ffff0101010101010101010101010101010101010101010101010101ffff010101010101010101010c0d0000000007010c0d000000000701ffff0101010101010101010101050601010507010105060101050701ffff0101010101010101010101011906010101010101190601010101ffff0101010101010101010101010105060101010101010506010101ffff1900070101190014100101010101191a010101010101191a0101ffff010102070c0d060c1710010101010a180901010101010a180901ffff0101110f1513070101010c160901050809010c16090105080901ffff0101010a131410010101010c0d0000060101010c0d00000601011a040101010102030401010101010101010101010101010101010101ffff0101011112000701010101010101010101010101010101010101ffff0101010c0d0e0f10010101010101010101010101010101010101ffff0102070508090a0b010101010101010101010101010101010101ffff0101020003040105000601010101010101010101010101010101ffff0101010101010101010101010101010101010101010101010101ffff0101010101010101010101010101010101010101010101010101ffff01010101010101010101010101010101010101010101010101011a040000000000000000000000000000000000000000000000000000ffff0101010101010101010101010101010101010101010101010101ffff0101010101010101010101010101010101010101010101010101ffff0101010101010101010101010101010101010101010101010101ffff0101010101010101010101010101010101010101010101010101ffff0101010101010101010101010101010101010101010101010101ffff0c00000040092900aa0000000000000019001a0000000000040000002701ffff030000000000>=87,3, >0100090000039c0500000000b00300000000b003000026060f005607574d4643010000000000010037310000000001000000340700000000000034070000010000006c000000000000000000000019000000180000000000000000000000890200004902000020454d4600000100340700000c00000001000000000000000000000000000000000500000004000040010000f000000000000000000000000000000000e2040080a90300460000002c00000020000000454d462b014001001c000000100000000210c0db010000006000000060000000460000002c02000020020000454d462b224004000c000000000000001e4009000c00000000000000244001000c000000000000003040020010000000040000000000803f214007000c0000000000000008400005780100006c0100000210c0db01000000000000000000000000000000000000000100000089504e470d0a1a0a0000000d494844520000001a000000190802000000a0bca937000000017352474200aece1ce9000000097048597300000ec400000ec401952b0e1b000000f549444154484be554c10dc3200c844ed2aadf0ed1673a4bbfa00ed1159259608cfed24d28b68118418492f28b3f1146be9cef6ca4734ef48b533f28403a145c5fe9843ca0b3564b88c7f42531e9aced6669bd76460965f0238671766e1e0738ef09c18a004f993fc0fcbe32380f04cded6506487cc9ced71bb4fbbc6f566c2958d8ad900b69ac4069538038216247a959940c4bf3667d2a8224af00d01f2af90017cc4577a3cd8586f0b39c1f11657941bda4d2d85ae907dc545d62fc336757072d8954818b7d51311f94d6dc16ca96849bafb15fb7b47af900597df9bcdc1bc7caeab0902d4a28740c66049b12bc251d0ef5defd00728a9073e144c52d0000000049454e44ae4260820840010824000000180000000210c0db01000000030000000000000000000000000000001b40000040000000340000000100000002000000000000bf000000bf0000d0410000c84103000000000080b3000080b3ffffcf41000080b3000080b3ffffc7412100000008000000620000000c00000001000000150000000c00000004000000150000000c0000000400000051000000a403000000000000000000001900000018000000000000000000000000000000000000001a000000190000005000000098000000e8000000bc020000000000002000cc001a00000019000000280000001a0000001900000001000800000000000000000000000000000000001c0000000000000000000000ffffff000074bf009c480000ffffdf0074bfff00bf740000ffbf740048000000ffdf9c009cdfff00bf744800bfffff0000007400dfbf740074489c00ffffbf00dfffff0000489c000000480074000000489cdf00df9c48009cdfbf0048489c004800740074007400480048000101010101010101010101010101010101010101010101010101ffff0101010101010101010101010101010101010101010101010101ffff0101010101010101010101010101010101010101010101010101ffff0101010101010101010101150000001601010c0d000000000701ffff010101010101010101010c1909010a1307010105060101050701ffff01010101010101010101010101010a1307010101150601010101ffff0101010101010101010101010200000701010101010506010101ffff1500070101150014100101010111120701010101010115160101ffff010102070c0d060c1a10010101010a1b0901010101010a1b0901ffff0101110f17130701010111180901050809010c19090105080901ffff0101010a1314100101010115000000160101010c0d00000601011a040101010102030401010101010101010101010101010101010101ffff0101011112000701010101010101010101010101010101010101ffff0101010c0d0e0f10010101010101010101010101010101010101ffff0102070508090a0b010101010101010101010101010101010101ffff0101020003040105000601010101010101010101010101010101ffff0101010101010101010101010101010101010101010101010101ffff0101010101010101010101010101010101010101010101010101ffff01010101010101010101010101010101010101010101010101011a040000000000000000000000000000000000000000000000000000ffff0101010101010101010101010101010101010101010101010101ffff0101010101010101010101010101010101010101010101010101ffff0101010101010101010101010101010101010101010101010101ffff0101010101010101010101010101010101010101010101010101ffff0101010101010101010101010101010101010101010101010101ffff4c000000640000000000000000000000190000001800000000000000000000001a000000190000002900aa0000000000000000000000803f00000000000000000000803f0000000000000000000000000000000000000000000000000000000000000000220000000c000000ffffffff460000001c00000010000000454d462b024000000c000000000000000e000000140000000000000010000000140000000400000003010800050000000b0200000000050000000c0219001a00030000001e0004000000070104000400000007010400b7010000410b2000cc0019001a000000000019001a0000000000280000001a0000001900000001000800000000000000000000000000000000001c0000000000000000000000ffffff000074bf009c480000ffffdf0074bfff00bf740000ffbf740048000000ffdf9c009cdfff00bf744800bfffff0000007400dfbf740074489c00ffffbf00dfffff0000489c000000480074000000489cdf00df9c48009cdfbf0048489c004800740074007400480048000101010101010101010101010101010101010101010101010101ffff0101010101010101010101010101010101010101010101010101ffff0101010101010101010101010101010101010101010101010101ffff0101010101010101010101150000001601010c0d000000000701ffff010101010101010101010c1909010a1307010105060101050701ffff01010101010101010101010101010a1307010101150601010101ffff0101010101010101010101010200000701010101010506010101ffff1500070101150014100101010111120701010101010115160101ffff010102070c0d060c1a10010101010a1b0901010101010a1b0901ffff0101110f17130701010111180901050809010c19090105080901ffff0101010a1314100101010115000000160101010c0d00000601011a040101010102030401010101010101010101010101010101010101ffff0101011112000701010101010101010101010101010101010101ffff0101010c0d0e0f10010101010101010101010101010101010101ffff0102070508090a0b010101010101010101010101010101010101ffff0101020003040105000601010101010101010101010101010101ffff0101010101010101010101010101010101010101010101010101ffff0101010101010101010101010101010101010101010101010101ffff01010101010101010101010101010101010101010101010101011a040000000000000000000000000000000000000000000000000000ffff0101010101010101010101010101010101010101010101010101ffff0101010101010101010101010101010101010101010101010101ffff0101010101010101010101010101010101010101010101010101ffff0101010101010101010101010101010101010101010101010101ffff0101010101010101010101010101010101010101010101010101ffff0c00000040092900aa0000000000000019001a0000000000040000002701ffff030000000000>=5,53.
Дискриминантная функция f(x) в данном случае имеет вид:
f(х)
=
>
>+>010009000003f206000000006e04000000006e04000026060f00d208574d4643010000000000010001c40000000001000000b008000000000000b0080000010000006c000000000000000000000027000000180000000000000000000000e70300004902000020454d4600000100b00800000c00000001000000000000000000000000000000000500000004000040010000f000000000000000000000000000000000e2040080a90300460000002c00000020000000454d462b014001001c000000100000000210c0db01000000600000006000000046000000780200006c020000454d462b224004000c000000000000001e4009000c00000000000000244001000c000000000000003040020010000000040000000000803f214007000c0000000000000008400005c4010000b80100000210c0db01000000000000000000000000000000000000000100000089504e470d0a1a0a0000000d4948445200000028000000190802000000ccbafb32000000017352474200aece1ce9000000097048597300000ec400000ec401952b0e1b0000014049444154484bed56c10d83300c0c9da4523f7d7410d8271da25247800d3a009f2a8cc1afd9843a4e1c0c8410aaaa3ca83f5524fbce3e5f52b2aeebc41671d882d470fe897fa6fc5fea5d49adab22735154bab966d766ddfc5062028a6d9d3dcfa1c0cb654249c8cccb171e5e65ce4e2e63e10700a4b238080318e63c1ba2276279be3c8d94679952a99668e19da601695adf48b4dff986ac5a387d34801853bfc5cbc48e13c303a2db5a88cbe9484ed2cf472df2b33ff73e41efc42da7abdb5d88ba75feeadde99cd723385f79690252c1da489085e5e36a11612875006124b592795992319d51b96406946f652027e5e30d71169fec9a1098abbd27b0306810a80ad25a99c6aa851ce611903831020a2456521a43482536332d5e91681b238434623eab929f3430414821a69dd3dd584f1c40c8409e757f055fcadedf17c81bef6b77e30e75b4730000000049454e44ae426082000840010824000000180000000210c0db01000000030000000000000000000000000000001b40000040000000340000000100000002000000000000bf000000bf000020420000c84103000000000080b3000080b3ffff1f42000080b3000080b3ffffc7412100000008000000620000000c00000001000000150000000c00000004000000150000000c0000000400000051000000d404000000000000000000002700000018000000000000000000000000000000000000002800000019000000500000009c000000ec000000e8030000000000002000cc00280000001900000028000000280000001900000001000800000000000000000000000000000000001d0000000000000000000000ffffff009cdfff0000004800df9c48000074bf00ffbf74009c480000ffffdf0074bfff00bf740000dfffff0000489c0048000000ffdf9c00bf744800bfffff0000007400dfbf740074489c00ffffbf00489cdf0074000000480074009cdfbf009c48740000749c00480048007400740001010101010101010101010101010101010101010101010101010101010101010101010101010101010101010101010101010101010101010101010101010101010101010101010101010101010101010101010101010101010101010101010101010101010101010101010101010101010101010101010101010101010101010101011011000000000601010101010101010101010101010110110000000006010101010101010101010101090a0101090601010101010101010101010101010101090a0101090601010101010101010101010101150a0101010101010101010101010101010101010101150a0101010101010101010101010101010101090a0101010101010101010101010101010101010101090a0101010203001614090000060101010101150401010101010115000601011500161401010101011504010b0c070810191a0708050601010101021b0e01010101010101050610110a101c1401010101021b0e10110a010102031614010110170e01090d0e010101010101010b1318030601010110170e01090d0e10110a010101150d0e010101101100000a0101010101010101010203161401010101101100000a010b0c070801010203060101010101010101010101010101010101010507080101010101010101010101150d0e01010b0c0a01010101010101010101010101010101010b0c0006010101010101010101010102030a0101010507080101010101010101010101010101010110111213140101010101010101010101090004010b0c0d0e01010101010101010101010101010506090d0e020f01010101010101010101010102030000040506010101010101010101010101010101050007080109000a010101010101010101010101010101010101010101010101010101010101010101010101010101010101010101010101010101010101010101010101010101010101010101010101010101010101010101010101010101010101010101010101010101010101010101010101010101010101010101010101010101010101010101010101010101010101010101010101010101010101010101010101010101010101010101010101010101010101010101010101010101010101010101010101010101010101010101010101010101010101010101010101010101010101010101010101010101010101010101010101010101010101010101010101010101010101010101010101010101010101010101010101010101010101010101010101010101010101010101010101010101010101010101010101010101010101010101010101010101010101010101010101010101010101010101010101010101010101010101010101010101010101014c0000006400000000000000000000002700000018000000000000000000000028000000190000002900aa0000000000000000000000803f00000000000000000000803f0000000000000000000000000000000000000000000000000000000000000000220000000c000000ffffffff460000001c00000010000000454d462b024000000c000000000000000e000000140000000000000010000000140000000400000003010800050000000b0200000000050000000c0219002800030000001e00040000000701040004000000070104004f020000410b2000cc001900280000000000190028000000000028000000280000001900000001000800000000000000000000000000000000001d0000000000000000000000ffffff009cdfff0000004800df9c48000074bf00ffbf74009c480000ffffdf0074bfff00bf740000dfffff0000489c0048000000ffdf9c00bf744800bfffff0000007400dfbf740074489c00ffffbf00489cdf0074000000480074009cdfbf009c48740000749c00480048007400740001010101010101010101010101010101010101010101010101010101010101010101010101010101010101010101010101010101010101010101010101010101010101010101010101010101010101010101010101010101010101010101010101010101010101010101010101010101010101010101010101010101010101010101011011000000000601010101010101010101010101010110110000000006010101010101010101010101090a0101090601010101010101010101010101010101090a0101090601010101010101010101010101150a0101010101010101010101010101010101010101150a0101010101010101010101010101010101090a0101010101010101010101010101010101010101090a0101010203001614090000060101010101150401010101010115000601011500161401010101011504010b0c070810191a0708050601010101021b0e01010101010101050610110a101c1401010101021b0e10110a010102031614010110170e01090d0e010101010101010b1318030601010110170e01090d0e10110a010101150d0e010101101100000a0101010101010101010203161401010101101100000a010b0c070801010203060101010101010101010101010101010101010507080101010101010101010101150d0e01010b0c0a01010101010101010101010101010101010b0c0006010101010101010101010102030a0101010507080101010101010101010101010101010110111213140101010101010101010101090004010b0c0d0e01010101010101010101010101010506090d0e020f01010101010101010101010102030000040506010101010101010101010101010101050007080109000a010101010101010101010101010101010101010101010101010101010101010101010101010101010101010101010101010101010101010101010101010101010101010101010101010101010101010101010101010101010101010101010101010101010101010101010101010101010101010101010101010101010101010101010101010101010101010101010101010101010101010101010101010101010101010101010101010101010101010101010101010101010101010101010101010101010101010101010101010101010101010101010101010101010101010101010101010101010101010101010101010101010101010101010101010101010101010101010101010101010101010101010101010101010101010101010101010101010101010101010101010101010101010101010101010101010101010101010101010101010101010101010101010101010101010101010101010101010101010101010101010101010101010c00000040092900aa000000000000001900280000000000040000002701ffff030000000000>+>010009000003fa06000000007404000000007404000026060f00de08574d46430100000000000100926b0000000001000000bc08000000000000bc080000010000006c0000000000000000000000240000001800000000000000000000009c0300004902000020454d4600000100bc0800000c00000001000000000000000000000000000000000500000004000040010000f000000000000000000000000000000000e2040080a90300460000002c00000020000000454d462b014001001c000000100000000210c0db010000006000000060000000460000008002000074020000454d462b224004000c000000000000001e4009000c00000000000000244001000c000000000000003040020010000000040000000000803f214007000c0000000000000008400005cc010000c00100000210c0db01000000000000000000000000000000000000000100000089504e470d0a1a0a0000000d494844520000002500000019080200000039447082000000017352474200aece1ce9000000097048597300000ec400000ec401952b0e1b0000014749444154484bed55c10d83300c0c9da4523f7d7410d80786a8d41160830ec0a78231f8914da8e3d8490821a4a2e251d51f94e2f339e7c3cda6691207c6e9402e45f5e7fbaee07f3d7f464fd9141945d1c8becaaa3ee96e90a902303a5d9fd7c0b05f54742564e6f58887b1ce9d1365841f802b3b0d473440d5793584adefe4197894cb7da91065b7c506bb93afc37733fcd136177d6849f0aed1003e4cdd49e7281ae783ef5d0ead10b7cb99cd215fcf56e45773860ceb246b8b999764737f08d10e6419536a0924ab182102c2c04f7cfdf060716c089ceb19007a7a76655ed7ec35f29e2b902aea4a4fd6461ab43899753147063afe34f3466068f80ae456d25af8d2044c6381c89710dcc3b603bd621e30958faa048694d02c7f73a044caff112c28b3ac92361c27858029ed9167b18cef96287e09cc20ffa39e7726a7e8b99362063f9aef0d90cab1820366915f0000000049454e44ae42608200000840010824000000180000000210c0db01000000030000000000000000000000000000001b40000040000000340000000100000002000000000000bf000000bf000014420000c84103000000000080b3000080b3ffff1342000080b3000080b3ffffc7412100000008000000620000000c00000001000000150000000c00000004000000150000000c0000000400000051000000d80400000000000000000000240000001800000000000000000000000000000000000000250000001900000050000000a0000000f0000000e8030000000000002000cc00250000001900000028000000250000001900000001000800000000000000000000000000000000001e0000000000000000000000ffffff009cdfff0000004800df9c48000074bf00ffbf74009c480000ffffdf0074bfff00bf740000dfffff0000489c0048000000ffdf9c00bf744800bfffff0000007400dfbf740074489c00ffffbf00489cdf007400000048489c009cdfbf009c48740000749c00480048007400740048007400010101010101010101010101010101010101010101010101010101010101010101010101010101010101010101010101010101010101010101010101010101010101010101010101010101010101010101010101010101010101010101010101010101010101010101010101010101010101010101010101010101010101010101010101150000000401010101010101010101010101011500000004010000060101010101010101010101101d0e01020306010101010101010101010101101d0e0102030601090601010101010101010101010101010102030601010101010101010101010101010101020306010101010101010101010101010101010500000601010101010101010101010101010105000006010a010101020300161409000006010101010b0c06010101150006010115001614010101010b0c06011504010b0c070810191a0708050601010101021b0e01010101050610110a101c1401010101021b0e021b0e10110a01010203161401010b170e01090d0e010101010b131803060101010b170e01090d0e090d0e10110a010101150d0e01010115000000040101010101010203161401010101150000000401000a010b0c070801010203060101010101010101010101010101010507080101010101010101010101010101150d0e01010b0c0a01010101010101010101010101010b0c0006010101010101010101010101010102030a0101010507080101010101010101010101010110111213140101010101010101010101010101090004010b0c0d0e01010101010101010101010506090d0e020f01010101010101010101010101010102030000040506010101010101010101010101050007080109000a010101010101010101010101010101010101010101010101010101010101010101010101010101010101010101010101010101010101010101010101010101010101010101010101010101010101010101010101010101010101010101010101010101010101010101010101010101010101010101010101010101010101010101010101010101010101010101010101010101010101010101010101010101010101010101010101010101010101010101010101010101010101010101010101010101010101010101010101010101010101010101010101010101010101010101010101010101010101010101010101010101010101010101010101010101010101010101010101010101010101010101010101010101010101010101010101010101010101010101010101010101010101010101010101010101010101010101010101010101010101010101010101010101010101010101010101010101010101010101010101010101010101010101014c0000006400000000000000000000002400000018000000000000000000000025000000190000002900aa0000000000000000000000803f00000000000000000000803f0000000000000000000000000000000000000000000000000000000000000000220000000c000000ffffffff460000001c00000010000000454d462b024000000c000000000000000e000000140000000000000010000000140000000400000003010800050000000b0200000000050000000c0219002500030000001e000400000007010400040000000701040051020000410b2000cc001900250000000000190025000000000028000000250000001900000001000800000000000000000000000000000000001e0000000000000000000000ffffff009cdfff0000004800df9c48000074bf00ffbf74009c480000ffffdf0074bfff00bf740000dfffff0000489c0048000000ffdf9c00bf744800bfffff0000007400dfbf740074489c00ffffbf00489cdf007400000048489c009cdfbf009c48740000749c00480048007400740048007400010101010101010101010101010101010101010101010101010101010101010101010101010101010101010101010101010101010101010101010101010101010101010101010101010101010101010101010101010101010101010101010101010101010101010101010101010101010101010101010101010101010101010101010101150000000401010101010101010101010101011500000004010000060101010101010101010101101d0e01020306010101010101010101010101101d0e0102030601090601010101010101010101010101010102030601010101010101010101010101010101020306010101010101010101010101010101010500000601010101010101010101010101010105000006010a010101020300161409000006010101010b0c06010101150006010115001614010101010b0c06011504010b0c070810191a0708050601010101021b0e01010101050610110a101c1401010101021b0e021b0e10110a01010203161401010b170e01090d0e010101010b131803060101010b170e01090d0e090d0e10110a010101150d0e01010115000000040101010101010203161401010101150000000401000a010b0c070801010203060101010101010101010101010101010507080101010101010101010101010101150d0e01010b0c0a01010101010101010101010101010b0c0006010101010101010101010101010102030a0101010507080101010101010101010101010110111213140101010101010101010101010101090004010b0c0d0e01010101010101010101010506090d0e020f01010101010101010101010101010102030000040506010101010101010101010101050007080109000a010101010101010101010101010101010101010101010101010101010101010101010101010101010101010101010101010101010101010101010101010101010101010101010101010101010101010101010101010101010101010101010101010101010101010101010101010101010101010101010101010101010101010101010101010101010101010101010101010101010101010101010101010101010101010101010101010101010101010101010101010101010101010101010101010101010101010101010101010101010101010101010101010101010101010101010101010101010101010101010101010101010101010101010101010101010101010101010101010101010101010101010101010101010101010101010101010101010101010101010101010101010101010101010101010101010101010101010101010101010101010101010101010101010101010101010101010101010101010101010101010101010101010101010c00000040092900aa000000000000001900250000000000040000002701ffff030000000000>
(18)
Коэффициенты
>010009000003b804000000003a03000000003a03000026060f006a06574d4643010000000000010006ea0000000001000000480600000000000048060000010000006c000000000000000000000011000000180000000000000000000000c10100004902000020454d4600000100480600000c00000001000000000000000000000000000000000500000004000040010000f000000000000000000000000000000000e2040080a90300460000002c00000020000000454d462b014001001c000000100000000210c0db010000006000000060000000460000001c02000010020000454d462b224004000c000000000000001e4009000c00000000000000244001000c000000000000003040020010000000040000000000803f214007000c0000000000000008400005680100005c0100000210c0db01000000000000000000000000000000000000000100000089504e470d0a1a0a0000000d4948445200000012000000190802000000b36be9c3000000017352474200aece1ce9000000097048597300000ec400000ec401952b0e1b000000e349444154384f63fcffff3f03e98089742d201da3da30c26dc082e4c15c4f4628f09cfbe0402963e901dc910a4c2520b0bf04a8c463ce7d30e7fe1c0f241e54050ac5805056b21f2e0332046606365dff4141f260ef9a1d4055d90e30373db87b8581414759014fc2833a09d96cb01b91ecc6621fd0b6073776a0980db15c03c32e6020c1430923de1ecccd4c4135066830388c1d7b108e066a53d000bae9cadd0720c103a5990c21a0f00059868803e7e9f0f0856a4584244800ec237064c038088f81bc0cf33138028803c8da689f26c1210e03c4381092d8e00018c78c43a1e40200dce534fd822d1cd30000000049454e44ae42608200000840010824000000180000000210c0db01000000030000000000000000000000000000001b40000040000000340000000100000002000000000000bf000000bf000090410000c84103000000000080b3000080b3ffff8f41000080b3000080b3ffffc7412100000008000000620000000c00000001000000150000000c00000004000000150000000c0000000400000051000000c8020000000000000000000011000000180000000000000000000000000000000000000012000000190000005000000084000000d4000000f4010000000000002000cc0012000000190000002800000012000000190000000100080000000000000000000000000000000000170000000000000000000000ffffff009cdfff0000004800df9c48000074bf00ffbf740074bfff00dfffff0000489c0048000000ffdf9c00bf7400009c480000ffffdf00489cdf00bfffff000000740074000000ffffbf009c48740000749c00dfdfdf000101010101010101010101010101010101010101010101010101010101010101010101010101010101010101010101010101010101010101010101010101010101010101010101010f000000000401010101010101010101010101010101050c0101010101010101010101010101010101010f0c0101010101010101010101010101010101010f0c0101010101020300121307000006010101010f0c0101010108090d0e1014150d0e05060116010f0c0101010110110c0101020312130101010f00000c0101010110110c0101010f0a0b0101010101050c0101010108090d0e01010203060101010101010101010101010f0a0b010108090c01010101010101010101010102030c010101050d0e0101010101010101010101010700040108090a0b0101010101010101010101010102030000040506010101010101010101010101010101010101010101010101010101010101010101010101010101010101010101010101010101010101010101010101010101010101010101010101010101010101010101010101010101010101010101010101010101010101010101010101010101010101010101010101010101010101010101010101010101010101010101010101010101010101010101010101010101010101010101010101010101010101010101010101010101010101010101014c0000006400000000000000000000001100000018000000000000000000000012000000190000002900aa0000000000000000000000803f00000000000000000000803f0000000000000000000000000000000000000000000000000000000000000000220000000c000000ffffffff460000001c00000010000000454d462b024000000c000000000000000e000000140000000000000010000000140000000400000003010800050000000b0200000000050000000c0219001200030000001e000400000007010400040000000701040049010000410b2000cc00190012000000000019001200000000002800000012000000190000000100080000000000000000000000000000000000170000000000000000000000ffffff009cdfff0000004800df9c48000074bf00ffbf740074bfff00dfffff0000489c0048000000ffdf9c00bf7400009c480000ffffdf00489cdf00bfffff000000740074000000ffffbf009c48740000749c00dfdfdf000101010101010101010101010101010101010101010101010101010101010101010101010101010101010101010101010101010101010101010101010101010101010101010101010f000000000401010101010101010101010101010101050c0101010101010101010101010101010101010f0c0101010101010101010101010101010101010f0c0101010101020300121307000006010101010f0c0101010108090d0e1014150d0e05060116010f0c0101010110110c0101020312130101010f00000c0101010110110c0101010f0a0b0101010101050c0101010108090d0e01010203060101010101010101010101010f0a0b010108090c01010101010101010101010102030c010101050d0e0101010101010101010101010700040108090a0b0101010101010101010101010102030000040506010101010101010101010101010101010101010101010101010101010101010101010101010101010101010101010101010101010101010101010101010101010101010101010101010101010101010101010101010101010101010101010101010101010101010101010101010101010101010101010101010101010101010101010101010101010101010101010101010101010101010101010101010101010101010101010101010101010101010101010101010101010101010101010c00000040092900aa000000000000001900120000000000040000002701ffff030000000000>,
>010009000003c804000000004803000000004803000026060f008606574d46430100000000000100aa590000000001000000640600000000000064060000010000006c000000000000000000000012000000180000000000000000000000da0100004902000020454d4600000100640600000c00000001000000000000000000000000000000000500000004000040010000f000000000000000000000000000000000e2040080a90300460000002c00000020000000454d462b014001001c000000100000000210c0db010000006000000060000000460000003402000028020000454d462b224004000c000000000000001e4009000c00000000000000244001000c000000000000003040020010000000040000000000803f214007000c000000000000000840000580010000740100000210c0db01000000000000000000000000000000000000000100000089504e470d0a1a0a0000000d49484452000000130000001908020000005ca982fd000000017352474200aece1ce9000000097048597300000ec400000ec401952b0e1b000000fa49444154384fed933d0e83300c85939e04a90b430fc1087b6fd02ea82b1c02b5472037e85e960a0ec1d005919ba4761243d21f8a5858ea0519fcec97cf842ba5d8a2d82c52a1e8affc856e65425224dc46226493f3bc99740cff10469d41555cf63ae9cbd8c96cc5eb838d95593d7cc43ed4e68b50212179bf5650788ac89cec5ac676db601aaff5e64ed0661d079fa7c24cf9a8bc09c642e84d045e14c4ed6d9f52a447bf130359111a7600e0520869ef4a1082b9b6d36993a76c8f7870242d263aabdbc158d0b53646b6f8429f4e6f8812ef90406000a2b73233a0a3c36dae1279fbb8e729dd6975663acc51d2b9098d5172542f8a35eee7133643b5a6eddeb95e0000000049454e44ae4260820000000840010824000000180000000210c0db01000000030000000000000000000000000000001b40000040000000340000000100000002000000000000bf000000bf000098410000c84103000000000000b3000000b3ffff9741000000b3000000b3ffffc7412100000008000000620000000c00000001000000150000000c00000004000000150000000c0000000400000051000000cc020000000000000000000012000000180000000000000000000000000000000000000013000000190000005000000088000000d8000000f4010000000000002000cc0013000000190000002800000013000000190000000100080000000000000000000000000000000000180000000000000000000000ffffff009cdfff0000004800df9c48000074bf00ffbf740074bfff00dfffff0000489c0048000000ffdf9c00bf7400009c480000ffffdf00489cdf00bfffff000000740074000000ffffbf00480074009c48740000749c00480048000101010101010101010101010101010101010101010101010101010101010101010101010101010101010101010101010101010101010101010101010101010101010101010101101100000000060101010101010101010101010101070c010107060101010101010101010101010101010f0c01010101010101010101010101010101010101070c010101010102030012130700000601010101010f0401010108090d0e1015160d0e05060101010102170b010110110c010102031213010110140b01070a0b010110110c0101010f0a0b010101101100000c01010108090d0e01010203060101010101010101010101010f0a0b010108090c01010101010101010101010102030c010101050d0e0101010101010101010101010700040108090a0b0101010101010101010101010102030000040506010101010101010101010101010101010101010101010101010101010101010101010101010101010101010101010101010101010101010101010101010101010101010101010101010101010101010101010101010101010101010101010101010101010101010101010101010101010101010101010101010101010101010101010101010101010101010101010101010101010101010101010101010101010101010101010101010101010101010101010101010101010101010101014c0000006400000000000000000000001200000018000000000000000000000013000000190000002900aa0000000000000000000000803f00000000000000000000803f0000000000000000000000000000000000000000000000000000000000000000220000000c000000ffffffff460000001c00000010000000454d462b024000000c000000000000000e000000140000000000000010000000140000000400000003010800050000000b0200000000050000000c0219001300030000001e00040000000701040004000000070104004b010000410b2000cc00190013000000000019001300000000002800000013000000190000000100080000000000000000000000000000000000180000000000000000000000ffffff009cdfff0000004800df9c48000074bf00ffbf740074bfff00dfffff0000489c0048000000ffdf9c00bf7400009c480000ffffdf00489cdf00bfffff000000740074000000ffffbf00480074009c48740000749c00480048000101010101010101010101010101010101010101010101010101010101010101010101010101010101010101010101010101010101010101010101010101010101010101010101101100000000060101010101010101010101010101070c010107060101010101010101010101010101010f0c01010101010101010101010101010101010101070c010101010102030012130700000601010101010f0401010108090d0e1015160d0e05060101010102170b010110110c010102031213010110140b01070a0b010110110c0101010f0a0b010101101100000c01010108090d0e01010203060101010101010101010101010f0a0b010108090c01010101010101010101010102030c010101050d0e0101010101010101010101010700040108090a0b0101010101010101010101010102030000040506010101010101010101010101010101010101010101010101010101010101010101010101010101010101010101010101010101010101010101010101010101010101010101010101010101010101010101010101010101010101010101010101010101010101010101010101010101010101010101010101010101010101010101010101010101010101010101010101010101010101010101010101010101010101010101010101010101010101010101010101010101010101010101010c00000040092900aa000000000000001900130000000000040000002701ffff030000000000>
и >
>вычисляются
по формуле:
A=>0100090000031a06000000000004000000000004000026060f00f607574d46430100000000000100f6670000000001000000d407000000000000d4070000010000006c00000000000000000000001c000000180000000000000000000000d40200004902000020454d4600000100d40700000c00000001000000000000000000000000000000000500000004000040010000f000000000000000000000000000000000e2040080a90300460000002c00000020000000454d462b014001001c000000100000000210c0db010000006000000060000000460000007002000064020000454d462b224004000c000000000000001e4009000c00000000000000244001000c000000000000003040020010000000040000000000803f214007000c0000000000000008400005bc010000b00100000210c0db01000000000000000000000000000000000000000100000089504e470d0a1a0a0000000d494844520000001d0000001908020000004260b24e000000017352474200aece1ce9000000097048597300000ec400000ec401952b0e1b0000013949444154484bed554b0e8230146c39498d1b161c42c3a6c6ad37d023c02188ecd9946398b8c343b87063e026f81e2dd082a17c3471e1db10c2eb74deccb4d0b22cc917caf9022642fe3cee2da434bc35d37f806f91ee28a5dbd850d4c0c53df5d2f61fb2c14fc0fc5c70bda7c145cced5de4d08295058470978d7195b1376d0ab748a39870911ceb96cd3e20de5abe75c79023598669e991205364e73c50070d40f1652ea8135f5a3fc70860f4148fabf15e734341a178a3f068d21dc72402d1962be839d83d123a6e9d03a0bd486ac4e9e2d6415c0adc3f6fcc3f18099fec60b5c0c1749a514467471e89813d2bb3da1448730d1572114c0f89f3bc03cef5b452f7c2eae4c1e9386f24937696de5436796c3155e19beae3f03d092c2337031d3237b25d089d016c7c317833f4a5ffffa63a17b6c0ccfbfe021ebdb813875b7b440000000049454e44ae4260820840010824000000180000000210c0db01000000030000000000000000000000000000001b40000040000000340000000100000002000000000000bf000000bf0000e8410000c84103000000000000b3000000b3ffffe741000000b3000000b3ffffc7412100000008000000620000000c00000001000000150000000c00000004000000150000000c00000004000000510000000004000000000000000000001c00000018000000000000000000000000000000000000001d000000190000005000000090000000e000000020030000000000002000cc001d00000019000000280000001d0000001900000001000800000000000000000000000000000000001a0000000000000000000000ffffff000074bf00bf740000489cdf00dfdfdf00bfffff00000074009c480000ffffdf00df9c480048000000ffdf9c00ffbf740074000000ffffbf00dfffff0000489c0074bfff009cdfff00df9c7400740074009cdfbf00480074009cbf9c00bf9c74000101010101010101010101010101010101010101010101010101010101808080010101010101010101010101010101010101010101010101010101010180808001010101010101010101010101010101010101010101010101010101018080800101010101010101010101010101010101010101010101010101010101808080010101010101010101010113140101010101010101010101010101010180808001010101010101010106171819110d0101010101010101010101010101808080010101010101010101010607000d0101010101010101010101010101017f7f7f11000000000e0f010106151614020d01010101010101010101010101017f7f7f020b0c010104000d01010113140101010101010101010101010101010180808012030101010102080901010101010101010101010101010101010101017f7f7f010101010101040e0f0101010101010101010101010101010101010101808080010101010110110e0f01010101010101010101010101010101010101017f7f7f01010101010200030101010101010101010101010101010101010101017f7f7f010101060700080901010101010101010101010101010101010101010180808001010607000a0101010101010101010101010101010104000000000a01808080010104000d0101010101010101010101010101010101010102030101017f7f7f0101020e0f0101010101010101010101010101010101010104030101017f7f7f0101040b0c010101020d0106070000000000000d0101010104030101017f7f7f0101060708090106070a01010101010101010101010101010403010101808080010101010200000000030101010101010101010101010501040301010180808001010101010101010101010101010101010101010101040000030101017f7f7f01010101010101010101010101010101010101010101010102030101017f7f7f010101010101010101010101010101010101010101010101010101010180808001010101010101010101010101010101010101010101010101010101018080800101010101010101010101010101010101010101010101010101010101ffffff4c0000006400000000000000000000001c0000001800000000000000000000001d000000190000002900aa0000000000000000000000803f00000000000000000000803f0000000000000000000000000000000000000000000000000000000000000000220000000c000000ffffffff460000001c00000010000000454d462b024000000c000000000000000e000000140000000000000010000000140000000400000003010800050000000b0200000000050000000c0219001d00030000001e0004000000070104000400000007010400e5010000410b2000cc0019001d000000000019001d0000000000280000001d0000001900000001000800000000000000000000000000000000001a0000000000000000000000ffffff000074bf00bf740000489cdf00dfdfdf00bfffff00000074009c480000ffffdf00df9c480048000000ffdf9c00ffbf740074000000ffffbf00dfffff0000489c0074bfff009cdfff00df9c7400740074009cdfbf00480074009cbf9c00bf9c74000101010101010101010101010101010101010101010101010101010101808080010101010101010101010101010101010101010101010101010101010180808001010101010101010101010101010101010101010101010101010101018080800101010101010101010101010101010101010101010101010101010101808080010101010101010101010113140101010101010101010101010101010180808001010101010101010106171819110d0101010101010101010101010101808080010101010101010101010607000d0101010101010101010101010101017f7f7f11000000000e0f010106151614020d01010101010101010101010101017f7f7f020b0c010104000d01010113140101010101010101010101010101010180808012030101010102080901010101010101010101010101010101010101017f7f7f010101010101040e0f0101010101010101010101010101010101010101808080010101010110110e0f01010101010101010101010101010101010101017f7f7f01010101010200030101010101010101010101010101010101010101017f7f7f010101060700080901010101010101010101010101010101010101010180808001010607000a0101010101010101010101010101010104000000000a01808080010104000d0101010101010101010101010101010101010102030101017f7f7f0101020e0f0101010101010101010101010101010101010104030101017f7f7f0101040b0c010101020d0106070000000000000d0101010104030101017f7f7f0101060708090106070a01010101010101010101010101010403010101808080010101010200000000030101010101010101010101010501040301010180808001010101010101010101010101010101010101010101040000030101017f7f7f01010101010101010101010101010101010101010101010102030101017f7f7f010101010101010101010101010101010101010101010101010101010180808001010101010101010101010101010101010101010101010101010101018080800101010101010101010101010101010101010101010101010101010101ffffff0c00000040092900aa0000000000000019001d0000000000040000002701ffff030000000000
>(>010009000003ea04000000004e03000000004e03000026060f009206574d46430100000000000100785d0000000001000000700600000000000070060000010000006c0000000000000000000000120000001b0000000000000000000000da0100008f02000020454d4600000100700600000c00000001000000000000000000000000000000000500000004000040010000f000000000000000000000000000000000e2040080a90300460000002c00000020000000454d462b014001001c000000100000000210c0db0100000060000000600000004600000008020000fc010000454d462b224004000c000000000000001e4009000c00000000000000244001000c000000000000003040020010000000040000000000803f214007000c000000000000000840000554010000480100000210c0db01000000000000000000000000000000000000000100000089504e470d0a1a0a0000000d49484452000000130000001c08020000000c64134e000000017352474200aece1ce9000000097048597300000ec400000ec401952b0e1b000000d049444154384fd5544b1683200c849ece03e96d3c48777a0c77f42694247c8688d5b2689fd9684286c98480f5de9b2e7b74a108f40f6477b1c6deb243eb64934d2b8b2f9118d02d093ac5dc3c84b5617687819cca3fa6b80c2d4876c7a54e070f90c21a73e91ff81b78447abf8cc24adf0f74ba5af209427606ab75f24e89f5505e5ea8aa95f65ea3c4de06baa4f19b6aa197acb52154b54daaad833b6856811b06a49a80d634391a2cca83524c3c8672ec854095ac91e7edc73906ce9fbc43afed595db42bd58274c2ca4db8d73bf406774a9ca6191627c50000000049454e44ae426082000840010824000000180000000210c0db01000000030000000000000000000000000000001b40000040000000340000000100000002000000000000bf000000bf000098410000e04103000000000000b3000000b3ffff9741000000b3000000b3ffffdf412100000008000000620000000c00000001000000150000000c00000004000000150000000c0000000400000051000000040300000000000000000000120000001b00000000000000000000000000000000000000130000001c0000005000000084000000d400000030020000000000002000cc00130000001c00000028000000130000001c0000000100080000000000000000000000000000000000170000000000000000000000ffffff0074bfff00ffbf740074000000ffffbf00489cdf00df9c4800dfffff0000489c0048000000ffdf9c009cdfff0000004800bf7400000074bf00bfffff00000074009c480000ffffdf00bfffdf0048004800dfdfdf0001010101010101010101010101010101010101fe01010101010101010101010101010101010101fb01010101010101010101010101010101010101ff01010101010101010101010106000000000701f701010101010101010101010101010f0e010101fc0101010101010101010101010101060e010101fe0101010101010101010101010101060e010101ff11000a0b01080900000e01010101060e010101fd0809121301010c0d121301011601060e010101ff0110110301010200030101010600000e010101ff01010c150b010f040501010101010f0e010101ff010101021214110e0101010101010101010101ff01010101060000030101010101010101010101ff01010101010f12130101010101010101010101ff010101011011000e0101010101010101010101ff01010101020a0b0f0e01010101010101010101ff01010108090e01080907010101010101010101ff0101010c0d0701010c0d030101010101010101ff010101060007010108090a0b01010101010101ff01010200000003010200000405010101010101ff01010101010101010101010101010101010101ff01010101010101010101010101010101010101ff01010101010101010101010101010101010101ff00000000000000000000000000000000000000fe01010101010101010101010101010101010101fe01010101010101010101010101010101010101ff01010101010101010101010101010101010101ff01010101010101010101010101010101010101ff4c000000640000000000000000000000120000001b0000000000000000000000130000001c0000002900aa0000000000000000000000803f00000000000000000000803f0000000000000000000000000000000000000000000000000000000000000000220000000c000000ffffffff460000001c00000010000000454d462b024000000c000000000000000e000000140000000000000010000000140000000400000003010800050000000b0200000000050000000c021c001300030000001e000400000007010400040000000701040067010000410b2000cc001c001300000000001c0013000000000028000000130000001c0000000100080000000000000000000000000000000000170000000000000000000000ffffff0074bfff00ffbf740074000000ffffbf00489cdf00df9c4800dfffff0000489c0048000000ffdf9c009cdfff0000004800bf7400000074bf00bfffff00000074009c480000ffffdf00bfffdf0048004800dfdfdf0001010101010101010101010101010101010101fe01010101010101010101010101010101010101fb01010101010101010101010101010101010101ff01010101010101010101010106000000000701f701010101010101010101010101010f0e010101fc0101010101010101010101010101060e010101fe0101010101010101010101010101060e010101ff11000a0b01080900000e01010101060e010101fd0809121301010c0d121301011601060e010101ff0110110301010200030101010600000e010101ff01010c150b010f040501010101010f0e010101ff010101021214110e0101010101010101010101ff01010101060000030101010101010101010101ff01010101010f12130101010101010101010101ff010101011011000e0101010101010101010101ff01010101020a0b0f0e01010101010101010101ff01010108090e01080907010101010101010101ff0101010c0d0701010c0d030101010101010101ff010101060007010108090a0b01010101010101ff01010200000003010200000405010101010101ff01010101010101010101010101010101010101ff01010101010101010101010101010101010101ff01010101010101010101010101010101010101ff00000000000000000000000000000000000000fe01010101010101010101010101010101010101fe01010101010101010101010101010101010101ff01010101010101010101010101010101010101ff01010101010101010101010101010101010101ff0c00000040092900aa000000000000001c00130000000000040000002701ffff030000000000>->010009000003ec04000000005003000000005003000026060f009606574d464301000000000001009d480000000001000000740600000000000074060000010000006c0000000000000000000000130000001b0000000000000000000000f30100008f02000020454d4600000100740600000c00000001000000000000000000000000000000000500000004000040010000f000000000000000000000000000000000e2040080a90300460000002c00000020000000454d462b014001001c000000100000000210c0db010000006000000060000000460000000c02000000020000454d462b224004000c000000000000001e4009000c00000000000000244001000c000000000000003040020010000000040000000000803f214007000c0000000000000008400005580100004c0100000210c0db01000000000000000000000000000000000000000100000089504e470d0a1a0a0000000d49484452000000140000001c0802000000eeb80837000000017352474200aece1ce9000000097048597300000ec400000ec401952b0e1b000000d449444154384fd594dd15c3200885b5d36520b34d76319b64140af803a8f5d8f4a127be24413fb95c38f100e0eeaed75d90b8ffc1bfa876fed9869dbb2f6b3fd90889e4c0c01eac39adebd8707b3bae8f817ab4bc3889302d307f86d8112aa0e0943b1fa777a5627c8586016248b9e9394fcab75998295a0b640fd7dcb352eb9ec99c0c5f4eac65a3e452ef97b295bb5c775374f1c2ee24d9d6dd96ce92ca41e920c2cd700c66cd0e9282736f6422aa6b8386e19e9e9ca6cfd30ea17c6bc52a4c7abac9598375ce18ea252bb0ea931da187fec3de02442f3e0ec6006f0000000049454e44ae426082000840010824000000180000000210c0db01000000030000000000000000000000000000001b40000040000000340000000100000002000000000000bf000000bf0000a0410000e04103000000000000b3000000b3ffff9f41000000b3000000b3ffffdf412100000008000000620000000c00000001000000150000000c00000004000000150000000c0000000400000051000000040300000000000000000000130000001b00000000000000000000000000000000000000140000001c0000005000000084000000d400000030020000000000002000cc00140000001c00000028000000140000001c0000000100080000000000000000000000000000000000170000000000000000000000ffffff0074bfff00ffbf740074000000ffffbf00489cdf00df9c4800dfffff0000489c0048000000ffdf9c009cdfff0000004800bf7400000074bf00bfffff00000074009c480000ffffdf00bfffdf0048004800480074000101010101010101010101010101010101010101010101010101010101010101010101010101010101010101010101010101010101010101010101010101010101010101010101101100000000030101010101010101010101010101020e01010203010101010101010101010101010101060e01010101010101010101010101010101010101020e0101010111000a0b01080900000e010101010106070101010809121301010c0d121301010101010c150b0101011011030101020003010110160b01020a0b010101010c150b010f0405010101101100000e010101010101021214110e010101010101010101010101010101010600000301010101010101010101010101010101010f1213010101010101010101010101010101011011000e01010101010101010101010101010101020a0b0f0e010101010101010101010101010108090e01080907010101010101010101010101010c0d0701010c0d03010101010101010101010101060007010108090a0b01010101010101010101020000000301020000040501010101010101010101010101010101010101010101010101010101010101010101010101010101010101010101010101010101010101010101010101010101010101000000000000000000000000000000000000000001010101010101010101010101010101010101010101010101010101010101010101010101010101010101010101010101010101010101010101010101010101010101010101010101010101010101014c000000640000000000000000000000130000001b0000000000000000000000140000001c0000002900aa0000000000000000000000803f00000000000000000000803f0000000000000000000000000000000000000000000000000000000000000000220000000c000000ffffffff460000001c00000010000000454d462b024000000c000000000000000e000000140000000000000010000000140000000400000003010800050000000b0200000000050000000c021c001400030000001e000400000007010400040000000701040067010000410b2000cc001c001400000000001c0014000000000028000000140000001c0000000100080000000000000000000000000000000000170000000000000000000000ffffff0074bfff00ffbf740074000000ffffbf00489cdf00df9c4800dfffff0000489c0048000000ffdf9c009cdfff0000004800bf7400000074bf00bfffff00000074009c480000ffffdf00bfffdf0048004800480074000101010101010101010101010101010101010101010101010101010101010101010101010101010101010101010101010101010101010101010101010101010101010101010101101100000000030101010101010101010101010101020e01010203010101010101010101010101010101060e01010101010101010101010101010101010101020e0101010111000a0b01080900000e010101010106070101010809121301010c0d121301010101010c150b0101011011030101020003010110160b01020a0b010101010c150b010f0405010101101100000e010101010101021214110e010101010101010101010101010101010600000301010101010101010101010101010101010f1213010101010101010101010101010101011011000e01010101010101010101010101010101020a0b0f0e010101010101010101010101010108090e01080907010101010101010101010101010c0d0701010c0d03010101010101010101010101060007010108090a0b01010101010101010101020000000301020000040501010101010101010101010101010101010101010101010101010101010101010101010101010101010101010101010101010101010101010101010101010101010101000000000000000000000000000000000000000001010101010101010101010101010101010101010101010101010101010101010101010101010101010101010101010101010101010101010101010101010101010101010101010101010101010101010c00000040092900aa000000000000001c00140000000000040000002701ffff030000000000>),
(19)
где
>010009000003ea04000000004e03000000004e03000026060f009206574d4643010000000000010078c50000000001000000700600000000000070060000010000006c0000000000000000000000120000001b0000000000000000000000da0100008f02000020454d4600000100700600000c00000001000000000000000000000000000000000500000004000040010000f000000000000000000000000000000000e2040080a90300460000002c00000020000000454d462b014001001c000000100000000210c0db0100000060000000600000004600000008020000fc010000454d462b224004000c000000000000001e4009000c00000000000000244001000c000000000000003040020010000000040000000000803f214007000c000000000000000840000554010000480100000210c0db01000000000000000000000000000000000000000100000089504e470d0a1a0a0000000d49484452000000130000001c08020000000c64134e000000017352474200aece1ce9000000097048597300000ec400000ec401952b0e1b000000d049444154384fd5544b1683200c849ece03e96d3c48777a0c77f42694247c8688d5b2689fd9684286c98480f5de9b2e7b74a108f40f6477b1c6deb243eb64934d2b8b2f9118d02d093ac5dc3c84b5617687819cca3fa6b80c2d4876c7a54e070f90c21a73e91ff81b78447abf8cc24adf0f74ba5af209427606ab75f24e89f5505e5ea8aa95f65ea3c4de06baa4f19b6aa197acb52154b54daaad833b6856811b06a49a80d634391a2cca83524c3c8672ec854095ac91e7edc73906ce9fbc43afed595db42bd58274c2ca4db8d73bf406774a9ca6191627c50000000049454e44ae426082000840010824000000180000000210c0db01000000030000000000000000000000000000001b40000040000000340000000100000002000000000000bf000000bf000098410000e04103000000000000b3000000b3ffff9741000000b3000000b3ffffdf412100000008000000620000000c00000001000000150000000c00000004000000150000000c0000000400000051000000040300000000000000000000120000001b00000000000000000000000000000000000000130000001c0000005000000084000000d400000030020000000000002000cc00130000001c00000028000000130000001c0000000100080000000000000000000000000000000000170000000000000000000000ffffff0074bfff00ffbf740074000000ffffbf00489cdf00df9c4800dfffff0000489c0048000000ffdf9c009cdfff0000004800bf7400000074bf00bfffff00000074009c480000ffffdf00bfffdf0048004800dfdfdf00010101010101010101010101010101010101010101010101010101010101010101010101010101010101010101010101010101010101010101010101010101010101010101010101060000000007010101010101010101010101010101010f0e010101010101010101010101010101010101060e010101010101010101010101010101010101060e0101010111000a0b01080900000e01010101060e010101010809121301010c0d121301011601060e010101010110110301010200030101010600000e0101010101010c150b010f040501010101010f0e01010101010101021214110e010101010101010101010101010101010600000301010101010101010101010101010101010f1213010101010101010101010101010101011011000e01010101010101010101010101010101020a0b0f0e010101010101010101010101010108090e01080907010101010101010101010101010c0d0701010c0d03010101010101010101010101060007010108090a0b01010101010101010101020000000301020000040501010101010101010101010101010101010101010101010101010101010101010101010101010101010101010101010101010101010101010101010101010101010101000000000000000000000000000000000000000001010101010101010101010101010101010101010101010101010101010101010101010101010101010101010101010101010101010101010101010101010101010101010101010101010101010101014c000000640000000000000000000000120000001b0000000000000000000000130000001c0000002900aa0000000000000000000000803f00000000000000000000803f0000000000000000000000000000000000000000000000000000000000000000220000000c000000ffffffff460000001c00000010000000454d462b024000000c000000000000000e000000140000000000000010000000140000000400000003010800050000000b0200000000050000000c021c001300030000001e000400000007010400040000000701040067010000410b2000cc001c001300000000001c0013000000000028000000130000001c0000000100080000000000000000000000000000000000170000000000000000000000ffffff0074bfff00ffbf740074000000ffffbf00489cdf00df9c4800dfffff0000489c0048000000ffdf9c009cdfff0000004800bf7400000074bf00bfffff00000074009c480000ffffdf00bfffdf0048004800dfdfdf00010101010101010101010101010101010101010101010101010101010101010101010101010101010101010101010101010101010101010101010101010101010101010101010101060000000007010101010101010101010101010101010f0e010101010101010101010101010101010101060e010101010101010101010101010101010101060e0101010111000a0b01080900000e01010101060e010101010809121301010c0d121301011601060e010101010110110301010200030101010600000e0101010101010c150b010f040501010101010f0e01010101010101021214110e010101010101010101010101010101010600000301010101010101010101010101010101010f1213010101010101010101010101010101011011000e01010101010101010101010101010101020a0b0f0e010101010101010101010101010108090e01080907010101010101010101010101010c0d0701010c0d03010101010101010101010101060007010108090a0b01010101010101010101020000000301020000040501010101010101010101010101010101010101010101010101010101010101010101010101010101010101010101010101010101010101010101010101010101010101000000000000000000000000000000000000000001010101010101010101010101010101010101010101010101010101010101010101010101010101010101010101010101010101010101010101010101010101010101010101010101010101010101010c00000040092900aa000000000000001c00130000000000040000002701ffff030000000000>
и >010009000003ec04000000005003000000005003000026060f009606574d464301000000000001009d480000000001000000740600000000000074060000010000006c0000000000000000000000130000001b0000000000000000000000f30100008f02000020454d4600000100740600000c00000001000000000000000000000000000000000500000004000040010000f000000000000000000000000000000000e2040080a90300460000002c00000020000000454d462b014001001c000000100000000210c0db010000006000000060000000460000000c02000000020000454d462b224004000c000000000000001e4009000c00000000000000244001000c000000000000003040020010000000040000000000803f214007000c0000000000000008400005580100004c0100000210c0db01000000000000000000000000000000000000000100000089504e470d0a1a0a0000000d49484452000000140000001c0802000000eeb80837000000017352474200aece1ce9000000097048597300000ec400000ec401952b0e1b000000d449444154384fd594dd15c3200885b5d36520b34d76319b64140af803a8f5d8f4a127be24413fb95c38f100e0eeaed75d90b8ffc1bfa876fed9869dbb2f6b3fd90889e4c0c01eac39adebd8707b3bae8f817ab4bc3889302d307f86d8112aa0e0943b1fa777a5627c8586016248b9e9394fcab75998295a0b640fd7dcb352eb9ec99c0c5f4eac65a3e452ef97b295bb5c775374f1c2ee24d9d6dd96ce92ca41e920c2cd700c66cd0e9282736f6422aa6b8386e19e9e9ca6cfd30ea17c6bc52a4c7abac9598375ce18ea252bb0ea931da187fec3de02442f3e0ec6006f0000000049454e44ae426082000840010824000000180000000210c0db01000000030000000000000000000000000000001b40000040000000340000000100000002000000000000bf000000bf0000a0410000e04103000000000000b3000000b3ffff9f41000000b3000000b3ffffdf412100000008000000620000000c00000001000000150000000c00000004000000150000000c0000000400000051000000040300000000000000000000130000001b00000000000000000000000000000000000000140000001c0000005000000084000000d400000030020000000000002000cc00140000001c00000028000000140000001c0000000100080000000000000000000000000000000000170000000000000000000000ffffff0074bfff00ffbf740074000000ffffbf00489cdf00df9c4800dfffff0000489c0048000000ffdf9c009cdfff0000004800bf7400000074bf00bfffff00000074009c480000ffffdf00bfffdf0048004800480074000101010101010101010101010101010101010101010101010101010101010101010101010101010101010101010101010101010101010101010101010101010101010101010101101100000000030101010101010101010101010101020e01010203010101010101010101010101010101060e01010101010101010101010101010101010101020e0101010111000a0b01080900000e010101010106070101010809121301010c0d121301010101010c150b0101011011030101020003010110160b01020a0b010101010c150b010f0405010101101100000e010101010101021214110e010101010101010101010101010101010600000301010101010101010101010101010101010f1213010101010101010101010101010101011011000e01010101010101010101010101010101020a0b0f0e010101010101010101010101010108090e01080907010101010101010101010101010c0d0701010c0d03010101010101010101010101060007010108090a0b01010101010101010101020000000301020000040501010101010101010101010101010101010101010101010101010101010101010101010101010101010101010101010101010101010101010101010101010101010101000000000000000000000000000000000000000001010101010101010101010101010101010101010101010101010101010101010101010101010101010101010101010101010101010101010101010101010101010101010101010101010101010101014c000000640000000000000000000000130000001b0000000000000000000000140000001c0000002900aa0000000000000000000000803f00000000000000000000803f0000000000000000000000000000000000000000000000000000000000000000220000000c000000ffffffff460000001c00000010000000454d462b024000000c000000000000000e000000140000000000000010000000140000000400000003010800050000000b0200000000050000000c021c001400030000001e000400000007010400040000000701040067010000410b2000cc001c001400000000001c0014000000000028000000140000001c0000000100080000000000000000000000000000000000170000000000000000000000ffffff0074bfff00ffbf740074000000ffffbf00489cdf00df9c4800dfffff0000489c0048000000ffdf9c009cdfff0000004800bf7400000074bf00bfffff00000074009c480000ffffdf00bfffdf0048004800480074000101010101010101010101010101010101010101010101010101010101010101010101010101010101010101010101010101010101010101010101010101010101010101010101101100000000030101010101010101010101010101020e01010203010101010101010101010101010101060e01010101010101010101010101010101010101020e0101010111000a0b01080900000e010101010106070101010809121301010c0d121301010101010c150b0101011011030101020003010110160b01020a0b010101010c150b010f0405010101101100000e010101010101021214110e010101010101010101010101010101010600000301010101010101010101010101010101010f1213010101010101010101010101010101011011000e01010101010101010101010101010101020a0b0f0e010101010101010101010101010108090e01080907010101010101010101010101010c0d0701010c0d03010101010101010101010101060007010108090a0b01010101010101010101020000000301020000040501010101010101010101010101010101010101010101010101010101010101010101010101010101010101010101010101010101010101010101010101010101010101000000000000000000000000000000000000000001010101010101010101010101010101010101010101010101010101010101010101010101010101010101010101010101010101010101010101010101010101010101010101010101010101010101010c00000040092900aa000000000000001c00140000000000040000002701ffff030000000000
>
- векторы средних в первой и второй
группах; А
-
вектор коэффициентов; >0100090000035e04000000000e03000000000e03000026060f001206574d4643010000000000010022260000000001000000f005000000000000f0050000010000006c00000000000000000000000f0000001800000000000000000000008f0100004902000020454d4600000100f00500000c00000001000000000000000000000000000000000500000004000040010000f000000000000000000000000000000000e2040080a90300460000002c00000020000000454d462b014001001c000000100000000210c0db010000006000000060000000460000002002000014020000454d462b224004000c000000000000001e4009000c00000000000000244001000c000000000000003040020010000000040000000000803f214007000c00000000000000084000056c010000600100000210c0db01000000000000000000000000000000000000000100000089504e470d0a1a0a0000000d4948445200000010000000190802000000b79e39fe000000017352474200aece1ce9000000097048597300000ec400000ec401952b0e1b000000e649444154384f63fcffff3f0329808914c520b5835dc381524614507a00d387703f80143b5e99731f186a20b0bf8481c14343014b9040e4efcff1002a802b87e828d90fd58d4c31200cc4ae005d0fd4490a1a401b7ab662713386a36026801c0d0428cec2e2a2ff5027c13d4a5013b20658e8003561f52fd854740dd000c3ad03332d29388700030027606200c6186a8c3eb8b103479c814d01870e226cc03188eaa0fb734a906294e9ee15a0821d298ad044a498a2038cdf6e07889310b62358d8c21a590c1a3ff060c39f8180e6766aec073a69bf4627cca7846c008533b21f18874121000030eea587f40c576c0000000049454e44ae4260820000000840010824000000180000000210c0db01000000030000000000000000000000000000001b40000040000000340000000100000002000000000000bf000000bf000080410000c84103000000000000b3000000b3ffff7f41000000b3000000b3ffffc7412100000008000000620000000c00000001000000150000000c00000004000000150000000c00000004000000510000006c02000000000000000000000f00000018000000000000000000000000000000000000001000000019000000500000008c000000dc00000090010000000000002000cc0010000000190000002800000010000000190000000100080000000000000000000000000000000000190000000000000000000000ffffff000074bf00bf740000bfffff00000074009c480000ffffdf00df9c4800489cdf0048000000ffdf9c00ffbf740074000000ffffbf00dfffff0000489c0074bfff009cdfff00df9c7400740074009cdfbf00480074009cbf9c00bf9c7400010101010101010101010101010101010101010101010101010101010101010101010101010101010101010101010101010101010101010101010101010101010101010101010101010101121301010101010101010101010104161718100c01010101010101010101010405000c010110000000000d0e010104141513020c01020a0b010109000c010101121301010111030101010102060701010101010101010101010101090d0e0101010101010101010101010f100d0e01010101010101010101010102000301010101010101010101010405000607010101010101010101010405000801010101010101010101010109000c01010101010101010101010101020d0e01010101010101010101010101090a0b010101020c010101010101010104050607010405080101010101010101010102000000000301010101010101010101010101010101010101010101010101010101010101010101010101010101010101010101010101010101010101010101010101010101010101010101010101010101010101010101010101014c0000006400000000000000000000000f00000018000000000000000000000010000000190000002900aa0000000000000000000000803f00000000000000000000803f0000000000000000000000000000000000000000000000000000000000000000220000000c000000ffffffff460000001c00000010000000454d462b024000000c000000000000000e000000140000000000000010000000140000000400000003010800050000000b0200000000050000000c0219001000030000001e00040000000701040004000000070104001b010000410b2000cc00190010000000000019001000000000002800000010000000190000000100080000000000000000000000000000000000190000000000000000000000ffffff000074bf00bf740000bfffff00000074009c480000ffffdf00df9c4800489cdf0048000000ffdf9c00ffbf740074000000ffffbf00dfffff0000489c0074bfff009cdfff00df9c7400740074009cdfbf00480074009cbf9c00bf9c7400010101010101010101010101010101010101010101010101010101010101010101010101010101010101010101010101010101010101010101010101010101010101010101010101010101121301010101010101010101010104161718100c01010101010101010101010405000c010110000000000d0e010104141513020c01020a0b010109000c010101121301010111030101010102060701010101010101010101010101090d0e0101010101010101010101010f100d0e01010101010101010101010102000301010101010101010101010405000607010101010101010101010405000801010101010101010101010109000c01010101010101010101010101020d0e01010101010101010101010101090a0b010101020c010101010101010104050607010405080101010101010101010102000000000301010101010101010101010101010101010101010101010101010101010101010101010101010101010101010101010101010101010101010101010101010101010101010101010101010101010101010101010101010c00000040092900aa000000000000001900100000000000040000002701ffff030000000000>
- матрица, обратная совместной
ковариационной матрице.
Для
определения совместной ковариационной
матрицы >010009000003c404000000004203000000004203000026060f007a06574d464301000000000001009ac00000000001000000580600000000000058060000010000006c000000000000000000000013000000180000000000000000000000f30100004902000020454d4600000100580600000c00000001000000000000000000000000000000000500000004000040010000f000000000000000000000000000000000e2040080a90300460000002c00000020000000454d462b014001001c000000100000000210c0db010000006000000060000000460000002402000018020000454d462b224004000c000000000000001e4009000c00000000000000244001000c000000000000003040020010000000040000000000803f214007000c000000000000000840000570010000640100000210c0db01000000000000000000000000000000000000000100000089504e470d0a1a0a0000000d4948445200000014000000190802000000be759984000000017352474200aece1ce9000000097048597300000ec400000ec401952b0e1b000000ec49444154384f63fcffff3f03b980895c8d207dc341f381524614507a007f88c0fd0cd2e87865ce7d60e883c0fe1206060f0d0502c109517b7f8e0750315c2b4477c97ea849b8280684458415a31b0275b68206d0e69ead04fc88e1099869204f02018ad309b8fa3fd4d9f04022c90064cdb050061a4030acc0b6a16b86063c71ba31d3b682730830f088024c0cc0d4819a921edcd84144fa009b0e0e65441883530baaa3efcf29414e3d4851c074f70a50f18e144568a2564cd101a6ab6e0788b311aec2701f589e505c42e31f6bf0e32f0c80f6756aec073a7bbf46275ac810653328ee70f99971041680005178112a6bffd7f60000000049454e44ae426082000840010824000000180000000210c0db01000000030000000000000000000000000000001b40000040000000340000000100000002000000000000bf000000bf0000a0410000c84103000000000080b3000080b3ffff9f41000080b3000080b3ffffc7412100000008000000620000000c00000001000000150000000c00000004000000150000000c0000000400000051000000d002000000000000000000001300000018000000000000000000000000000000000000001400000019000000500000008c000000dc000000f4010000000000002000cc0014000000190000002800000014000000190000000100080000000000000000000000000000000000190000000000000000000000ffffff000074bf00bf740000bfffff00000074009c480000ffffdf00df9c4800489cdf0048000000ffdf9c00ffbf740074000000ffffbf00dfffff0000489c0074bfff009cdfff00df9c7400740074009cdfbf00480074009cbf9c00bf9c74000101010101010101010101010101010101010101010101010101010101010101010101010101010101010101010101010101010101010101010101010101010101010101010101010101010101010101010101010101010101010112130101010101010101010101010101010104161718100c0101010101010101010101010101010405000c01010101010110000000000d0e010104141513020c0101010101020a0b010109000c0101011213010101010101011103010101010206070101010101010101010101010101010101090d0e010101010101010101010101010101010f100d0e0101010101010101010101010101010102000301010101010101010101010101010104050006070101010101010101010101010101040500080101010101010101010101010101010109000c0101010101010101010101010101010101020d0e0101010101010101010101010101010101090a0b010101020c0101010101010101010101010405060701040508010101010101010101010101010102000000000301010101010101010101010101010101010101010101010101010101010101010101010101010101010101010101010101010101010101010101010101010101010101010101010101010101010101010101010101010101010101010101010101010101010101010101010101014c0000006400000000000000000000001300000018000000000000000000000014000000190000002900aa0000000000000000000000803f00000000000000000000803f0000000000000000000000000000000000000000000000000000000000000000220000000c000000ffffffff460000001c00000010000000454d462b024000000c000000000000000e000000140000000000000010000000140000000400000003010800050000000b0200000000050000000c0219001400030000001e00040000000701040004000000070104004d010000410b2000cc00190014000000000019001400000000002800000014000000190000000100080000000000000000000000000000000000190000000000000000000000ffffff000074bf00bf740000bfffff00000074009c480000ffffdf00df9c4800489cdf0048000000ffdf9c00ffbf740074000000ffffbf00dfffff0000489c0074bfff009cdfff00df9c7400740074009cdfbf00480074009cbf9c00bf9c74000101010101010101010101010101010101010101010101010101010101010101010101010101010101010101010101010101010101010101010101010101010101010101010101010101010101010101010101010101010101010112130101010101010101010101010101010104161718100c0101010101010101010101010101010405000c01010101010110000000000d0e010104141513020c0101010101020a0b010109000c0101011213010101010101011103010101010206070101010101010101010101010101010101090d0e010101010101010101010101010101010f100d0e0101010101010101010101010101010102000301010101010101010101010101010104050006070101010101010101010101010101040500080101010101010101010101010101010109000c0101010101010101010101010101010101020d0e0101010101010101010101010101010101090a0b010101020c0101010101010101010101010405060701040508010101010101010101010101010102000000000301010101010101010101010101010101010101010101010101010101010101010101010101010101010101010101010101010101010101010101010101010101010101010101010101010101010101010101010101010101010101010101010101010101010101010101010101010c00000040092900aa000000000000001900140000000000040000002701ffff030000000000>нужно
рассчитать матрицы >
>
и >010009000003aa04000000003003000000003003000026060f005606574d464301000000000001000eb20000000001000000340600000000000034060000010000006c000000000000000000000011000000180000000000000000000000c10100004902000020454d4600000100340600000c00000001000000000000000000000000000000000500000004000040010000f000000000000000000000000000000000e2040080a90300460000002c00000020000000454d462b014001001c000000100000000210c0db010000006000000060000000460000001002000004020000454d462b224004000c000000000000001e4009000c00000000000000244001000c000000000000003040020010000000040000000000803f214007000c00000000000000084000055c010000500100000210c0db01000000000000000000000000000000000000000100000089504e470d0a1a0a0000000d4948445200000012000000190802000000b36be9c3000000017352474200aece1ce9000000097048597300000ec400000ec401952b0e1b000000d749444154384fd594bd1183300c85ed4ce2923572691820a3982d32026ba43643d0338a23f94716c8c6a1444d38a2cf7e7a4f87f6deabebf5b88e20713f6c99f4aea6a53539cd86c8739d377016cb59a5c6c1340d8b5ddb3c421b4191b32e9d217f5439fcaced0826916680db3edfe62c426c3e078781da096d6af44924d9f027cab1ec20a0276e841b8e5832b5c7c99d34af37d843c55680a72f030a49c708e1317bc4dea2c8e060f12fe45e93887f943615da78d5dd008a67232da9852536ad8fa13aa1a087f17b9c25fc1c4b1b47a313a6eff0e5fa012f4c6897080e618e0000000049454e44ae42608200000840010824000000180000000210c0db01000000030000000000000000000000000000001b40000040000000340000000100000002000000000000bf000000bf000090410000c84103000000000080b3000080b3ffff8f41000080b3000080b3ffffc7412100000008000000620000000c00000001000000150000000c00000004000000150000000c0000000400000051000000c002000000000000000000001100000018000000000000000000000000000000000000001200000019000000500000007c000000cc000000f4010000000000002000cc0012000000190000002800000012000000190000000100080000000000000000000000000000000000150000000000000000000000ffffff000074bf00bf740000bfffff00000074009c480000ffffdf00df9c4800489cdf0048000000ffdf9c00ffbf740074000000ffffbf00dfffff0000489c0074bfff00480074009cdfff00480048000101010101010101010101010101010101010101010101010101010101010101010101010101010101010101010101010101010101010101010101010101010101010101010405000000000c010101010101010101010101010111030101110c010101010101010101010101010101090301010101010101010101010101010101010101110301010101010110000000000d0e01010101010109080101010101020a0b010109000c010101010113140b0101010111030101010102060704120b01110a0b01010101010101010101090d0e010405000003010101010101010101010f100d0e0101010101010101010101010101010102000301010101010101010101010101010104050006070101010101010101010101010101040500080101010101010101010101010101010109000c0101010101010101010101010101010101020d0e0101010101010101010101010101010101090a0b010101020c0101010101010101010101010405060701040508010101010101010101010101010102000000000301010101010101010101010101010101010101010101010101010101010101010101010101010101010101010101010101010101010101010101010101010101010101010101010101010101010101010101010101010101010101010101010101010101010101010101010101014c0000006400000000000000000000001100000018000000000000000000000012000000190000002900aa0000000000000000000000803f00000000000000000000803f0000000000000000000000000000000000000000000000000000000000000000220000000c000000ffffffff460000001c00000010000000454d462b024000000c000000000000000e000000140000000000000010000000140000000400000003010800050000000b0200000000050000000c0219001200030000001e000400000007010400040000000701040045010000410b2000cc00190012000000000019001200000000002800000012000000190000000100080000000000000000000000000000000000150000000000000000000000ffffff000074bf00bf740000bfffff00000074009c480000ffffdf00df9c4800489cdf0048000000ffdf9c00ffbf740074000000ffffbf00dfffff0000489c0074bfff00480074009cdfff00480048000101010101010101010101010101010101010101010101010101010101010101010101010101010101010101010101010101010101010101010101010101010101010101010405000000000c010101010101010101010101010111030101110c010101010101010101010101010101090301010101010101010101010101010101010101110301010101010110000000000d0e01010101010109080101010101020a0b010109000c010101010113140b0101010111030101010102060704120b01110a0b01010101010101010101090d0e010405000003010101010101010101010f100d0e0101010101010101010101010101010102000301010101010101010101010101010104050006070101010101010101010101010101040500080101010101010101010101010101010109000c0101010101010101010101010101010101020d0e0101010101010101010101010101010101090a0b010101020c0101010101010101010101010405060701040508010101010101010101010101010102000000000301010101010101010101010101010101010101010101010101010101010101010101010101010101010101010101010101010101010101010101010101010101010101010101010101010101010101010101010101010101010101010101010101010101010101010101010101010c00000040092900aa000000000000001900120000000000040000002701ffff030000000000>.
Каждый элемент этих матриц представляет
собой разность между соответствующим
значением исходной переменной >010009000003720500000000a00300000000a003000026060f003607574d4643010000000000010015490000000001000000140700000000000014070000010000006c0000000000000000000000150000001a0000000000000000000000250200007802000020454d4600000100140700000c00000001000000000000000000000000000000000500000004000040010000f000000000000000000000000000000000e2040080a90300460000002c00000020000000454d462b014001001c000000100000000210c0db010000006000000060000000460000004002000034020000454d462b224004000c000000000000001e4009000c00000000000000244001000c000000000000003040020010000000040000000000803f214007000c00000000000000084000058c010000800100000210c0db01000000000000000000000000000000000000000100000089504e470d0a1a0a0000000d49484452000000160000001b0802000000f748e8b2000000017352474200aece1ce9000000097048597300000ec400000ec401952b0e1b0000010849444154484bed53bb0dc23010b599048986822140694ccf12f4c9161921de8016290d4a86a0a041f126c6e773fc1360875050704de4b3efddbb772f544a49e6c5625e3954ff219c863fa5455f51883d174810cf559fb57265adae2465a73f8435839443c3e09c1bc47b08186537114099db8350c5407c0a03a8f621dc28b933e8771ec46b1270a3558a2863ce42680934ca878398a5e851c6f52014720b39847c091e6d6773eb538154cccccf05723e577164e8dfaa9c2596fe47fa73cdd6cbd0a6e27e259b95492621cc6bc1b973bbb89c5a079b8480f6f58e1e49b1b54cc4ad6587c2329be4227c8c3f822dcc90336e122184064f31321b8f8c4ac1a1f3224bcef72dbe00f1000209cf1d8a1ef7880000000049454e44ae426082000840010824000000180000000210c0db01000000030000000000000000000000000000001b40000040000000340000000100000002000000000000bf000000bf0000b0410000d84103000000000000b3000000b3ffffaf41000000b3000000b3ffffd7412100000008000000620000000c00000001000000150000000c00000004000000150000000c0000000400000051000000700300000000000000000000150000001a00000000000000000000000000000000000000160000001b0000005000000098000000e800000088020000000000002000cc00160000001b00000028000000160000001b00000001000800000000000000000000000000000000001c0000000000000000000000ffffff000074bf009c480000ffffdf0074bfff00bf740000ffbf740048000000ffdf9c009cdfff00bf744800bfffff0000007400dfbf740074489c00ffffbf00dfffff0000489c000000480074000000489cdf00df9c48009cdfbf0074007400740048009c9cdf00480048000101010101010101010101010101010101010101010148ff01010101010101010101010101010101010101010101ffff0101010101010101010101010101010101010101010174ff0101010101010101010101010101111200160101010100ff010101010101010101010101010101010c0d07010101ffff0101010101010101010101010101010101020601010174ff0101010101010101010111120016010101050304010100ff010101010101010101011112071a1001010a1b09010100ff010101010101010101010102160101010111120701019cff0101010101010101010101050601010101010216010100ff15000701011500141001010a19100101010115060101ffff010102070c0d060c1810111208090101010a13141001ffff0101110f17130701010101010101010101010101010100ff0101010a131410010101010115030401010111121601ffff01010101020304010101010101010101010101010101ffff01010111120007010101010101010101010101010101ffff0101010c0d0e0f100101010101010101010101010101ffff0102070508090a0b0101010101010101010101010101ffff01010200030401050006010101010101010101010101ffff01010101010101010101010101010101010101010101ffff01010101010101010101010101010101010101010101ffff01010101010101010101010101010101010101010101ffff01010101010101010101010101010101010101010101ffff01010101010101010101010101010101010101010101ffff01010101010101010101010101010101010101010101ffff0101010101010101010101010101010101010101010100ff01010101010101010101010101010101010101010101ffff4c000000640000000000000000000000150000001a0000000000000000000000160000001b0000002900aa0000000000000000000000803f00000000000000000000803f0000000000000000000000000000000000000000000000000000000000000000220000000c000000ffffffff460000001c00000010000000454d462b024000000c000000000000000e000000140000000000000010000000140000000400000003010800050000000b0200000000050000000c021b001600030000001e00040000000701040004000000070104009d010000410b2000cc001b001600000000001b0016000000000028000000160000001b00000001000800000000000000000000000000000000001c0000000000000000000000ffffff000074bf009c480000ffffdf0074bfff00bf740000ffbf740048000000ffdf9c009cdfff00bf744800bfffff0000007400dfbf740074489c00ffffbf00dfffff0000489c000000480074000000489cdf00df9c48009cdfbf0074007400740048009c9cdf00480048000101010101010101010101010101010101010101010148ff01010101010101010101010101010101010101010101ffff0101010101010101010101010101010101010101010174ff0101010101010101010101010101111200160101010100ff010101010101010101010101010101010c0d07010101ffff0101010101010101010101010101010101020601010174ff0101010101010101010111120016010101050304010100ff010101010101010101011112071a1001010a1b09010100ff010101010101010101010102160101010111120701019cff0101010101010101010101050601010101010216010100ff15000701011500141001010a19100101010115060101ffff010102070c0d060c1810111208090101010a13141001ffff0101110f17130701010101010101010101010101010100ff0101010a131410010101010115030401010111121601ffff01010101020304010101010101010101010101010101ffff01010111120007010101010101010101010101010101ffff0101010c0d0e0f100101010101010101010101010101ffff0102070508090a0b0101010101010101010101010101ffff01010200030401050006010101010101010101010101ffff01010101010101010101010101010101010101010101ffff01010101010101010101010101010101010101010101ffff01010101010101010101010101010101010101010101ffff01010101010101010101010101010101010101010101ffff01010101010101010101010101010101010101010101ffff01010101010101010101010101010101010101010101ffff0101010101010101010101010101010101010101010100ff01010101010101010101010101010101010101010101ffff0c00000040092900aa000000000000001b00160000000000040000002701ffff030000000000>
и
средним значением этой переменной в
данной группе >0100090000034605000000008803000000008803000026060f000607574d4643010000000000010044f70000000001000000e406000000000000e4060000010000006c000000000000000000000017000000180000000000000000000000570200004902000020454d4600000100e40600000c00000001000000000000000000000000000000000500000004000040010000f000000000000000000000000000000000e2040080a90300460000002c00000020000000454d462b014001001c000000100000000210c0db01000000600000006000000046000000380200002c020000454d462b224004000c000000000000001e4009000c00000000000000244001000c000000000000003040020010000000040000000000803f214007000c000000000000000840000584010000780100000210c0db01000000000000000000000000000000000000000100000089504e470d0a1a0a0000000d4948445200000018000000190802000000a449790a000000017352474200aece1ce9000000097048597300000ec400000ec401952b0e1b000000fe49444154484bdd94410e82301045074f42e2c685877089f13ae5161cc11e83c41d3d840b3786dea4ce74863282da6058d10d9976f2faff6f4b11428035c66e0d0831360c5a2b2228367f6aae2e689cade7d0b8aedd820831a3ce80e9e207aa6b1f427fada85e3640b513c9747f61f09d291022c8ca7235c4d0a0d1dc2f57a45b32d06d0af45d10adc4f478204a55329940319ac8ca59a3a6798f80e4e0a2b9e108b999756a0549109b14287063da41fce92d270ab0146cba2fb3b03f673ca8e5d561a7e9f1e67f6cae6daa4399aeb87fdc4890d81a6f7e16e49f7738ee4b6f6d7c2f88a5124e17034d8b53cecab3ca3d04b122b1a8bcdea20e61c3ffa31712537451e5ef8a8f0000000049454e44ae4260820000000840010824000000180000000210c0db01000000030000000000000000000000000000001b40000040000000340000000100000002000000000000bf000000bf0000c0410000c84103000000000000b3000000b3ffffbf41000000b3000000b3ffffc7412100000008000000620000000c00000001000000150000000c00000004000000150000000c0000000400000051000000480300000000000000000000170000001800000000000000000000000000000000000000180000001900000050000000a0000000f000000058020000000000002000cc00180000001900000028000000180000001900000001000800000000000000000000000000000000001e0000000000000000000000ffffff000074bf009c480000ffffdf0074bfff00bf740000ffbf740048000000ffdf9c009cdfff00bf744800bfffff0000007400dfbf740074489c00ffffbf00dfffff0000489c000000480074000000489cdf00df9c48009cdfbf007400740048007400740048009c4848009c9cdf009cbfff000101010101010101010101010101010101010101010101010101010101010101010101010101010101010101010101010101010101010101010101010101010101010101010101010101010101010101010111120016010a1a10010200060101010101010101010101011112071c100c0d070c0d071d090101010101010101010101010216010101021605141001010101010101010101010101010506010101150000141001010115000701011500141001010a1a1001010a1b040c0d160101010102070c0d060c18101112080901010c19090c0d0007010101110f17130701010101010101010111120701010101010101010a13141001010101011503040101021601010101010101010102030401010101010101010105000304010101010101011112000701010101010101010101010101010101010101010c0d0e0f10010101010101010101010101010101010102070508090a0b010101010101010101010101010101010101020003040105000601010101010101010101010101010101010101010101010101010101010101010101010101010101010101010101010101010101010101010101010101010101010101010101010101010101010101010101010101010000000000000000000000000000000000000000000000000101010101010101010101010101010101010101010101010101010101010101010101010101010101010101010101010101010101010101010101010101010101010101010101010101010101010101010101010101010101010101010101010101010101010101010101010101010101010101010101014c0000006400000000000000000000001700000018000000000000000000000018000000190000002900aa0000000000000000000000803f00000000000000000000803f0000000000000000000000000000000000000000000000000000000000000000220000000c000000ffffffff460000001c00000010000000454d462b024000000c000000000000000e000000140000000000000010000000140000000400000003010800050000000b0200000000050000000c0219001800030000001e000400000007010400040000000701040089010000410b2000cc001900180000000000190018000000000028000000180000001900000001000800000000000000000000000000000000001e0000000000000000000000ffffff000074bf009c480000ffffdf0074bfff00bf740000ffbf740048000000ffdf9c009cdfff00bf744800bfffff0000007400dfbf740074489c00ffffbf00dfffff0000489c000000480074000000489cdf00df9c48009cdfbf007400740048007400740048009c4848009c9cdf009cbfff000101010101010101010101010101010101010101010101010101010101010101010101010101010101010101010101010101010101010101010101010101010101010101010101010101010101010101010111120016010a1a10010200060101010101010101010101011112071c100c0d070c0d071d090101010101010101010101010216010101021605141001010101010101010101010101010506010101150000141001010115000701011500141001010a1a1001010a1b040c0d160101010102070c0d060c18101112080901010c19090c0d0007010101110f17130701010101010101010111120701010101010101010a13141001010101011503040101021601010101010101010102030401010101010101010105000304010101010101011112000701010101010101010101010101010101010101010c0d0e0f10010101010101010101010101010101010102070508090a0b010101010101010101010101010101010101020003040105000601010101010101010101010101010101010101010101010101010101010101010101010101010101010101010101010101010101010101010101010101010101010101010101010101010101010101010101010101010000000000000000000000000000000000000000000000000101010101010101010101010101010101010101010101010101010101010101010101010101010101010101010101010101010101010101010101010101010101010101010101010101010101010101010101010101010101010101010101010101010101010101010101010101010101010101010101010c00000040092900aa000000000000001900180000000000040000002701ffff030000000000>
(k
-
номер группы):

Тогда
совместная ковариационная матрица >0100090000035e04000000000e03000000000e03000026060f001206574d4643010000000000010022260000000001000000f005000000000000f0050000010000006c00000000000000000000000f0000001800000000000000000000008f0100004902000020454d4600000100f00500000c00000001000000000000000000000000000000000500000004000040010000f000000000000000000000000000000000e2040080a90300460000002c00000020000000454d462b014001001c000000100000000210c0db010000006000000060000000460000002002000014020000454d462b224004000c000000000000001e4009000c00000000000000244001000c000000000000003040020010000000040000000000803f214007000c00000000000000084000056c010000600100000210c0db01000000000000000000000000000000000000000100000089504e470d0a1a0a0000000d4948445200000010000000190802000000b79e39fe000000017352474200aece1ce9000000097048597300000ec400000ec401952b0e1b000000e649444154384f63fcffff3f0329808914c520b5835dc381524614507a00d387703f80143b5e99731f186a20b0bf8481c14343014b9040e4efcff1002a802b87e828d90fd58d4c31200cc4ae005d0fd4490a1a401b7ab662713386a36026801c0d0428cec2e2a2ff5027c13d4a5013b20658e8003561f52fd854740dd000c3ad03332d29388700030027606200c6186a8c3eb8b103479c814d01870e226cc03188eaa0fb734a906294e9ee15a0821d298ad044a498a2038cdf6e07889310b62358d8c21a590c1a3ff060c39f8180e6766aec073a69bf4627cca7846c008533b21f18874121000030eea587f40c576c0000000049454e44ae4260820000000840010824000000180000000210c0db01000000030000000000000000000000000000001b40000040000000340000000100000002000000000000bf000000bf000080410000c84103000000000000b3000000b3ffff7f41000000b3000000b3ffffc7412100000008000000620000000c00000001000000150000000c00000004000000150000000c00000004000000510000006c02000000000000000000000f00000018000000000000000000000000000000000000001000000019000000500000008c000000dc00000090010000000000002000cc0010000000190000002800000010000000190000000100080000000000000000000000000000000000190000000000000000000000ffffff000074bf00bf740000bfffff00000074009c480000ffffdf00df9c4800489cdf0048000000ffdf9c00ffbf740074000000ffffbf00dfffff0000489c0074bfff009cdfff00df9c7400740074009cdfbf00480074009cbf9c00bf9c7400010101010101010101010101010101010101010101010101010101010101010101010101010101010101010101010101010101010101010101010101010101010101010101010101010101121301010101010101010101010104161718100c01010101010101010101010405000c010110000000000d0e010104141513020c01020a0b010109000c010101121301010111030101010102060701010101010101010101010101090d0e0101010101010101010101010f100d0e01010101010101010101010102000301010101010101010101010405000607010101010101010101010405000801010101010101010101010109000c01010101010101010101010101020d0e01010101010101010101010101090a0b010101020c010101010101010104050607010405080101010101010101010102000000000301010101010101010101010101010101010101010101010101010101010101010101010101010101010101010101010101010101010101010101010101010101010101010101010101010101010101010101010101014c0000006400000000000000000000000f00000018000000000000000000000010000000190000002900aa0000000000000000000000803f00000000000000000000803f0000000000000000000000000000000000000000000000000000000000000000220000000c000000ffffffff460000001c00000010000000454d462b024000000c000000000000000e000000140000000000000010000000140000000400000003010800050000000b0200000000050000000c0219001000030000001e00040000000701040004000000070104001b010000410b2000cc00190010000000000019001000000000002800000010000000190000000100080000000000000000000000000000000000190000000000000000000000ffffff000074bf00bf740000bfffff00000074009c480000ffffdf00df9c4800489cdf0048000000ffdf9c00ffbf740074000000ffffbf00dfffff0000489c0074bfff009cdfff00df9c7400740074009cdfbf00480074009cbf9c00bf9c7400010101010101010101010101010101010101010101010101010101010101010101010101010101010101010101010101010101010101010101010101010101010101010101010101010101121301010101010101010101010104161718100c01010101010101010101010405000c010110000000000d0e010104141513020c01020a0b010109000c010101121301010111030101010102060701010101010101010101010101090d0e0101010101010101010101010f100d0e01010101010101010101010102000301010101010101010101010405000607010101010101010101010405000801010101010101010101010109000c01010101010101010101010101020d0e01010101010101010101010101090a0b010101020c010101010101010104050607010405080101010101010101010102000000000301010101010101010101010101010101010101010101010101010101010101010101010101010101010101010101010101010101010101010101010101010101010101010101010101010101010101010101010101010c00000040092900aa000000000000001900100000000000040000002701ffff030000000000
>
будет равна:
,
(20)
где >010009000003b004000000003603000000003603000026060f006206574d46430100000000000100d1fa0000000001000000400600000000000040060000010000006c000000000000000000000012000000180000000000000000000000da0100004902000020454d4600000100400600000c00000001000000000000000000000000000000000500000004000040010000f000000000000000000000000000000000e2040080a90300460000002c00000020000000454d462b014001001c000000100000000210c0db010000006000000060000000460000001c02000010020000454d462b224004000c000000000000001e4009000c00000000000000244001000c000000000000003040020010000000040000000000803f214007000c0000000000000008400005680100005c0100000210c0db01000000000000000000000000000000000000000100000089504e470d0a1a0a0000000d49484452000000130000001908020000005ca982fd000000017352474200aece1ce9000000097048597300000ec400000ec401952b0e1b000000e449444154384fed54410e823010dcf212132f1efc84e102f1ea0ff409f00baf860b3c83841b7d04072f047e52bbdb569606d070d0983897669a4e677668104a29588560950a457fe5abeabed5904c05219598d0b1b8e8170307452ccaa3527502d0b4d232a4d5e54637cd42bf3e042a01a2bc1be893d823de621beadb0675d979431644f75b43e640377579c40c7dbae4d9df2b884ea1f3f0a835c5ea4c89044a2bcb2b0fe7511d5e1727c4411f6240a51972379a8aa876312661e6466252dbeba84853344052f311b10cb603d3e34fed7aca8fbc5b6c9ce39db4f4b907984ec44ffdfb1e02702b1f0d0753e80000000049454e44ae426082000840010824000000180000000210c0db01000000030000000000000000000000000000001b40000040000000340000000100000002000000000000bf000000bf000098410000c84103000000000000b3000000b3ffff9741000000b3000000b3ffffc7412100000008000000620000000c00000001000000150000000c00000004000000150000000c0000000400000051000000c002000000000000000000001200000018000000000000000000000000000000000000001300000019000000500000007c000000cc000000f4010000000000002000cc0013000000190000002800000013000000190000000100080000000000000000000000000000000000150000000000000000000000ffffff000074bf0074000000ffffbf00bfffff00000074009c480000ffffdf0000489c00ffbf740074bfff00480000009cbf9c0074004800ffdf9c00489cdf00dfffff00df9c4800bf740000dfdfdf000101010101010101010101010101010101010101010101010101010101010101010101010101010101010101010101010101010101010101010101010101010101010101010101011000000000120101010101010101010101010101010102130101010101010101010101010101010101011013010101010101010101010101010101010101101301010101010207080101050600130101010110130101010101100c0f01010b0c0f0b13011401101301010101010b000a01010b000a0101011000001301010101010506120101050612010101010102130101010101110907080111090708010101010101010101010101100c0f01011003040101010101010101010101010b000708010b0c0f01010101010101010101090a0b0c0d0e040b000a0101010101010101010101020003040506000708010101010101010101010101010101010101010101010101010101010101010101010101010101010101010101010101010101010101010101010101010101010101010101010101010101010101010101010101010101010101010101010101010101010101010101010101010101010101010101010101010101010101010101010101010101010101010101010101010101010101010101010101010101010101010101010101010101010101010101010101010101010101010101014c0000006400000000000000000000001200000018000000000000000000000013000000190000002900aa0000000000000000000000803f00000000000000000000803f0000000000000000000000000000000000000000000000000000000000000000220000000c000000ffffffff460000001c00000010000000454d462b024000000c000000000000000e000000140000000000000010000000140000000400000003010800050000000b0200000000050000000c0219001300030000001e000400000007010400040000000701040045010000410b2000cc00190013000000000019001300000000002800000013000000190000000100080000000000000000000000000000000000150000000000000000000000ffffff000074bf0074000000ffffbf00bfffff00000074009c480000ffffdf0000489c00ffbf740074bfff00480000009cbf9c0074004800ffdf9c00489cdf00dfffff00df9c4800bf740000dfdfdf000101010101010101010101010101010101010101010101010101010101010101010101010101010101010101010101010101010101010101010101010101010101010101010101011000000000120101010101010101010101010101010102130101010101010101010101010101010101011013010101010101010101010101010101010101101301010101010207080101050600130101010110130101010101100c0f01010b0c0f0b13011401101301010101010b000a01010b000a0101011000001301010101010506120101050612010101010102130101010101110907080111090708010101010101010101010101100c0f01011003040101010101010101010101010b000708010b0c0f01010101010101010101090a0b0c0d0e040b000a0101010101010101010101020003040506000708010101010101010101010101010101010101010101010101010101010101010101010101010101010101010101010101010101010101010101010101010101010101010101010101010101010101010101010101010101010101010101010101010101010101010101010101010101010101010101010101010101010101010101010101010101010101010101010101010101010101010101010101010101010101010101010101010101010101010101010101010101010101010101010c00000040092900aa000000000000001900130000000000040000002701ffff030000000000>, >010009000003ba04000000003c03000000003c03000026060f006e06574d464301000000000001002eb900000000010000004c060000000000004c060000010000006c000000000000000000000012000000180000000000000000000000da0100004902000020454d46000001004c0600000c00000001000000000000000000000000000000000500000004000040010000f000000000000000000000000000000000e2040080a90300460000002c00000020000000454d462b014001001c000000100000000210c0db010000006000000060000000460000002002000014020000454d462b224004000c000000000000001e4009000c00000000000000244001000c000000000000003040020010000000040000000000803f214007000c00000000000000084000056c010000600100000210c0db01000000000000000000000000000000000000000100000089504e470d0a1a0a0000000d49484452000000130000001908020000005ca982fd000000017352474200aece1ce9000000097048597300000ec400000ec401952b0e1b000000e849444154384fed5331128230104c78093336143ec212c667e813e015d68e0d3cc3d18e3c8296819fc4dce5021714cda4a1711b6643766fef0ea4d65a4421895281e8affc35baad26a42a89a8142474ac68c6af8193a690f7a3d66d2944d72b62409fe72b3aadc27c7d00500a91d7c34c274257160f9ad0d877a0bb9d522c8174bfb3640de834d4392bb8a49f6b8a292b0b07d1fdacb61944d95a2754e2b93b79a3f0daf9304fe8d33699795d21350b824d1d2efa41034833d316814a7ae15cb63906b56ae6315db47d86c11832af50254cdf8f10a6e4d5dad23a8428d94ad85e24a8a3b0c5fff902905eceedc521a3b70000000049454e44ae426082000840010824000000180000000210c0db01000000030000000000000000000000000000001b40000040000000340000000100000002000000000000bf000000bf000098410000c84103000000000000b3000000b3ffff9741000000b3000000b3ffffc7412100000008000000620000000c00000001000000150000000c00000004000000150000000c0000000400000051000000c8020000000000000000000012000000180000000000000000000000000000000000000013000000190000005000000084000000d4000000f4010000000000002000cc0013000000190000002800000013000000190000000100080000000000000000000000000000000000170000000000000000000000ffffff000074bf0074000000ffffbf00bfffff00000074009c480000ffffdf0000489c00ffbf740074bfff00480000009cbf9c0074004800ffdf9c00489cdf00dfffff00df9c4800bf740000480074009cdfff004800480001010101010101010101010101010101010101010101010101010101010101010101010101010101010101010101010101010101010101010101010101010101010101010101010506000000000a01010101010101010101010101010b1301010b0a0101010101010101010101010101011013010101010101010101010101010101010101010b1301010101010207080101050600130101010101101201010101100c0f01010b0c0f0b130101010115160f0101010b000a01010b000a010105140f010b0c0f0101010506120101050612010101050600001301010101110907080111090708010101010101010101010101100c0f01011003040101010101010101010101010b000708010b0c0f01010101010101010101090a0b0c0d0e040b000a0101010101010101010101020003040506000708010101010101010101010101010101010101010101010101010101010101010101010101010101010101010101010101010101010101010101010101010101010101010101010101010101010101010101010101010101010101010101010101010101010101010101010101010101010101010101010101010101010101010101010101010101010101010101010101010101010101010101010101010101010101010101010101010101010101010101010101010101010101010101014c0000006400000000000000000000001200000018000000000000000000000013000000190000002900aa0000000000000000000000803f00000000000000000000803f0000000000000000000000000000000000000000000000000000000000000000220000000c000000ffffffff460000001c00000010000000454d462b024000000c000000000000000e000000140000000000000010000000140000000400000003010800050000000b0200000000050000000c0219001300030000001e000400000007010400040000000701040049010000410b2000cc00190013000000000019001300000000002800000013000000190000000100080000000000000000000000000000000000170000000000000000000000ffffff000074bf0074000000ffffbf00bfffff00000074009c480000ffffdf0000489c00ffbf740074bfff00480000009cbf9c0074004800ffdf9c00489cdf00dfffff00df9c4800bf740000480074009cdfff004800480001010101010101010101010101010101010101010101010101010101010101010101010101010101010101010101010101010101010101010101010101010101010101010101010506000000000a01010101010101010101010101010b1301010b0a0101010101010101010101010101011013010101010101010101010101010101010101010b1301010101010207080101050600130101010101101201010101100c0f01010b0c0f0b130101010115160f0101010b000a01010b000a010105140f010b0c0f0101010506120101050612010101050600001301010101110907080111090708010101010101010101010101100c0f01011003040101010101010101010101010b000708010b0c0f01010101010101010101090a0b0c0d0e040b000a0101010101010101010101020003040506000708010101010101010101010101010101010101010101010101010101010101010101010101010101010101010101010101010101010101010101010101010101010101010101010101010101010101010101010101010101010101010101010101010101010101010101010101010101010101010101010101010101010101010101010101010101010101010101010101010101010101010101010101010101010101010101010101010101010101010101010101010101010101010101010c00000040092900aa000000000000001900130000000000040000002701ffff030000000000> - число объектов l-й и 2-й группы;
(21)
Обратная матрица >0100090000031a06000000000004000000000004000026060f00f607574d46430100000000000100f6670000000001000000d407000000000000d4070000010000006c00000000000000000000001c000000180000000000000000000000d40200004902000020454d4600000100d40700000c00000001000000000000000000000000000000000500000004000040010000f000000000000000000000000000000000e2040080a90300460000002c00000020000000454d462b014001001c000000100000000210c0db010000006000000060000000460000007002000064020000454d462b224004000c000000000000001e4009000c00000000000000244001000c000000000000003040020010000000040000000000803f214007000c0000000000000008400005bc010000b00100000210c0db01000000000000000000000000000000000000000100000089504e470d0a1a0a0000000d494844520000001d0000001908020000004260b24e000000017352474200aece1ce9000000097048597300000ec400000ec401952b0e1b0000013949444154484bed554b0e8230146c39498d1b161c42c3a6c6ad37d023c02188ecd9946398b8c343b87063e026f81e2dd082a17c3471e1db10c2eb74deccb4d0b22cc917caf9022642fe3cee2da434bc35d37f806f91ee28a5dbd850d4c0c53df5d2f61fb2c14fc0fc5c70bda7c145cced5de4d08295058470978d7195b1376d0ab748a39870911ceb96cd3e20de5abe75c79023598669e991205364e73c50070d40f1652ea8135f5a3fc70860f4148fabf15e734341a178a3f068d21dc72402d1962be839d83d123a6e9d03a0bd486ac4e9e2d6415c0adc3f6fcc3f18099fec60b5c0c1749a514467471e89813d2bb3da1448730d1572114c0f89f3bc03cef5b452f7c2eae4c1e9386f24937696de5436796c3155e19beae3f03d092c2337031d3237b25d089d016c7c317833f4a5ffffa63a17b6c0ccfbfe021ebdb813875b7b440000000049454e44ae4260820840010824000000180000000210c0db01000000030000000000000000000000000000001b40000040000000340000000100000002000000000000bf000000bf0000e8410000c84103000000000000b3000000b3ffffe741000000b3000000b3ffffc7412100000008000000620000000c00000001000000150000000c00000004000000150000000c00000004000000510000000004000000000000000000001c00000018000000000000000000000000000000000000001d000000190000005000000090000000e000000020030000000000002000cc001d00000019000000280000001d0000001900000001000800000000000000000000000000000000001a0000000000000000000000ffffff000074bf00bf740000489cdf00dfdfdf00bfffff00000074009c480000ffffdf00df9c480048000000ffdf9c00ffbf740074000000ffffbf00dfffff0000489c0074bfff009cdfff00df9c7400740074009cdfbf00480074009cbf9c00bf9c74000101010101010101010101010101010101010101010101010101010101808080010101010101010101010101010101010101010101010101010101010180808001010101010101010101010101010101010101010101010101010101018080800101010101010101010101010101010101010101010101010101010101808080010101010101010101010113140101010101010101010101010101010180808001010101010101010106171819110d0101010101010101010101010101808080010101010101010101010607000d0101010101010101010101010101017f7f7f11000000000e0f010106151614020d01010101010101010101010101017f7f7f020b0c010104000d01010113140101010101010101010101010101010180808012030101010102080901010101010101010101010101010101010101017f7f7f010101010101040e0f0101010101010101010101010101010101010101808080010101010110110e0f01010101010101010101010101010101010101017f7f7f01010101010200030101010101010101010101010101010101010101017f7f7f010101060700080901010101010101010101010101010101010101010180808001010607000a0101010101010101010101010101010104000000000a01808080010104000d0101010101010101010101010101010101010102030101017f7f7f0101020e0f0101010101010101010101010101010101010104030101017f7f7f0101040b0c010101020d0106070000000000000d0101010104030101017f7f7f0101060708090106070a01010101010101010101010101010403010101808080010101010200000000030101010101010101010101010501040301010180808001010101010101010101010101010101010101010101040000030101017f7f7f01010101010101010101010101010101010101010101010102030101017f7f7f010101010101010101010101010101010101010101010101010101010180808001010101010101010101010101010101010101010101010101010101018080800101010101010101010101010101010101010101010101010101010101ffffff4c0000006400000000000000000000001c0000001800000000000000000000001d000000190000002900aa0000000000000000000000803f00000000000000000000803f0000000000000000000000000000000000000000000000000000000000000000220000000c000000ffffffff460000001c00000010000000454d462b024000000c000000000000000e000000140000000000000010000000140000000400000003010800050000000b0200000000050000000c0219001d00030000001e0004000000070104000400000007010400e5010000410b2000cc0019001d000000000019001d0000000000280000001d0000001900000001000800000000000000000000000000000000001a0000000000000000000000ffffff000074bf00bf740000489cdf00dfdfdf00bfffff00000074009c480000ffffdf00df9c480048000000ffdf9c00ffbf740074000000ffffbf00dfffff0000489c0074bfff009cdfff00df9c7400740074009cdfbf00480074009cbf9c00bf9c74000101010101010101010101010101010101010101010101010101010101808080010101010101010101010101010101010101010101010101010101010180808001010101010101010101010101010101010101010101010101010101018080800101010101010101010101010101010101010101010101010101010101808080010101010101010101010113140101010101010101010101010101010180808001010101010101010106171819110d0101010101010101010101010101808080010101010101010101010607000d0101010101010101010101010101017f7f7f11000000000e0f010106151614020d01010101010101010101010101017f7f7f020b0c010104000d01010113140101010101010101010101010101010180808012030101010102080901010101010101010101010101010101010101017f7f7f010101010101040e0f0101010101010101010101010101010101010101808080010101010110110e0f01010101010101010101010101010101010101017f7f7f01010101010200030101010101010101010101010101010101010101017f7f7f010101060700080901010101010101010101010101010101010101010180808001010607000a0101010101010101010101010101010104000000000a01808080010104000d0101010101010101010101010101010101010102030101017f7f7f0101020e0f0101010101010101010101010101010101010104030101017f7f7f0101040b0c010101020d0106070000000000000d0101010104030101017f7f7f0101060708090106070a01010101010101010101010101010403010101808080010101010200000000030101010101010101010101010501040301010180808001010101010101010101010101010101010101010101040000030101017f7f7f01010101010101010101010101010101010101010101010102030101017f7f7f010101010101010101010101010101010101010101010101010101010180808001010101010101010101010101010101010101010101010101010101018080800101010101010101010101010101010101010101010101010101010101ffffff0c00000040092900aa0000000000000019001d0000000000040000002701ffff030000000000> будет равна:
.(22)
Отcюда находим вектор коэффициентов дискриминантной функции по формуле:
(23)
т.е.
>0100090000031e05000000006e03000000006e03000026060f00d206574d4643010000000000010009080000000001000000b006000000000000b0060000010000006c0000000000000000000000140000001800000000000000000000000c0200004902000020454d4600000100b00600000c00000001000000000000000000000000000000000500000004000040010000f000000000000000000000000000000000e2040080a90300460000002c00000020000000454d462b014001001c000000100000000210c0db010000006000000060000000460000002002000014020000454d462b224004000c000000000000001e4009000c00000000000000244001000c000000000000003040020010000000040000000000803f214007000c00000000000000084000056c010000600100000210c0db01000000000000000000000000000000000000000100000089504e470d0a1a0a0000000d494844520000001500000019080200000051b7f2ba000000017352474200aece1ce9000000097048597300000ec400000ec401952b0e1b000000e749444154384f63fcffff3f0305808902bd20ada3fa290bc041147e0fe67a324281e7dc07074a194b0f10e13760fa0381fd2540b51e73ee8339f7e77820f1a02ab0530c08f525fbe14a40a6c10cc3abfd3f28fc1eec5db303a83cdb01e6dc0777af3030e8282b10e17ca0fd60d722db061640720d3e1700ed7f7063078a6d10e76860d80e0c51cc20c588ff0773335350cd03da008e19c71e2cfe01ea57d0003af7cadd0720d903a5990c21a0c003598f8842e7e9f05841370311fe2019b0afc17109e3203c0f0a168c5001c71f7100ab7e3aa67f703c610062dc0e49cf70809c56188778f90b00f1eb6ac73c2928940000000049454e44ae42608200000840010824000000180000000210c0db01000000030000000000000000000000000000001b40000040000000340000000100000002000000000000bf000000bf0000a8410000c84103000000000000b3000000b3ffffa741000000b3000000b3ffffc7412100000008000000620000000c00000001000000150000000c00000004000000150000000c00000004000000510000002c030000000000000000000014000000180000000000000000000000000000000000000015000000190000005000000084000000d400000058020000000000002000cc0015000000190000002800000015000000190000000100080000000000000000000000000000000000170000000000000000000000ffffff009cdfff0000004800df9c48000074bf00ffbf740074bfff00dfffff0000489c0048000000ffdf9c00bf7400009c480000ffffdf00489cdf00bfffff000000740074000000ffffbf009c48740000749c00dfdfdf000101010101010101010101010101010101010101010101010101010101010101010101010101010101010101010101010101010101010101010101010101010101010101010101010101010101010101010101010f00000000040101010601010101010101010101010101010101050c01010101011d090101010101010101010101010101010f0c010101010101010101010101010101010101010101010f0c010101010101010101020300121307000006010101010f0c010101010116010108090d0e1014150d0e05060116010f0c010101010100070110110c0101020312130101010f00000c010101010101010110110c0101010f0a0b0101010101050c010101010101010108090d0e0101020306010101010101010101010101010101010f0a0b010108090c0101010101010101010101010101010102030c010101050d0e010101010101010101010101010101010700040108090a0b01010101010101010101010101010101010203000004050601010101010101010101010101010101010101010101010101010101010101010101010101010101010101010101010101010101010101010101010101010101010101010101010101010101010101010101010101010101010101010101010101010101010101010101010000000101010101010101010101010101010101010101010101010101010101010101010101010101010101010101010101010101010101010101010101010101010101010101010101010101010101010101010101010101010101010101010101010101010101010101010101010101010101010101010101014c0000006400000000000000000000001400000018000000000000000000000015000000190000002900aa0000000000000000000000803f00000000000000000000803f0000000000000000000000000000000000000000000000000000000000000000220000000c000000ffffffff460000001c00000010000000454d462b024000000c000000000000000e000000140000000000000010000000140000000400000003010800050000000b0200000000050000000c0219001500030000001e00040000000701040004000000070104007b010000410b2000cc00190015000000000019001500000000002800000015000000190000000100080000000000000000000000000000000000170000000000000000000000ffffff009cdfff0000004800df9c48000074bf00ffbf740074bfff00dfffff0000489c0048000000ffdf9c00bf7400009c480000ffffdf00489cdf00bfffff000000740074000000ffffbf009c48740000749c00dfdfdf000101010101010101010101010101010101010101010101010101010101010101010101010101010101010101010101010101010101010101010101010101010101010101010101010101010101010101010101010f00000000040101010601010101010101010101010101010101050c01010101011d090101010101010101010101010101010f0c010101010101010101010101010101010101010101010f0c010101010101010101020300121307000006010101010f0c010101010116010108090d0e1014150d0e05060116010f0c010101010100070110110c0101020312130101010f00000c010101010101010110110c0101010f0a0b0101010101050c010101010101010108090d0e0101020306010101010101010101010101010101010f0a0b010108090c0101010101010101010101010101010102030c010101050d0e010101010101010101010101010101010700040108090a0b01010101010101010101010101010101010203000004050601010101010101010101010101010101010101010101010101010101010101010101010101010101010101010101010101010101010101010101010101010101010101010101010101010101010101010101010101010101010101010101010101010101010101010101010000000101010101010101010101010101010101010101010101010101010101010101010101010101010101010101010101010101010101010101010101010101010101010101010101010101010101010101010101010101010101010101010101010101010101010101010101010101010101010101010101010c00000040092900aa000000000000001900150000000000040000002701ffff030000000000>=-185,03,
>010009000003c804000000004803000000004803000026060f008606574d46430100000000000100aa590000000001000000640600000000000064060000010000006c000000000000000000000012000000180000000000000000000000da0100004902000020454d4600000100640600000c00000001000000000000000000000000000000000500000004000040010000f000000000000000000000000000000000e2040080a90300460000002c00000020000000454d462b014001001c000000100000000210c0db010000006000000060000000460000003402000028020000454d462b224004000c000000000000001e4009000c00000000000000244001000c000000000000003040020010000000040000000000803f214007000c000000000000000840000580010000740100000210c0db01000000000000000000000000000000000000000100000089504e470d0a1a0a0000000d49484452000000130000001908020000005ca982fd000000017352474200aece1ce9000000097048597300000ec400000ec401952b0e1b000000fa49444154384fed933d0e83300c85939e04a90b430fc1087b6fd02ea82b1c02b5472037e85e960a0ec1d005919ba4761243d21f8a5858ea0519fcec97cf842ba5d8a2d82c52a1e8affc856e65425224dc46226493f3bc99740cff10469d41555cf63ae9cbd8c96cc5eb838d95593d7cc43ed4e68b50212179bf5650788ac89cec5ac676db601aaff5e64ed0661d079fa7c24cf9a8bc09c642e84d045e14c4ed6d9f52a447bf130359111a7600e0520869ef4a1082b9b6d36993a76c8f7870242d263aabdbc158d0b53646b6f8429f4e6f8812ef90406000a2b73233a0a3c36dae1279fbb8e729dd6975663acc51d2b9098d5172542f8a35eee7133643b5a6eddeb95e0000000049454e44ae4260820000000840010824000000180000000210c0db01000000030000000000000000000000000000001b40000040000000340000000100000002000000000000bf000000bf000098410000c84103000000000000b3000000b3ffff9741000000b3000000b3ffffc7412100000008000000620000000c00000001000000150000000c00000004000000150000000c0000000400000051000000cc020000000000000000000012000000180000000000000000000000000000000000000013000000190000005000000088000000d8000000f4010000000000002000cc0013000000190000002800000013000000190000000100080000000000000000000000000000000000180000000000000000000000ffffff009cdfff0000004800df9c48000074bf00ffbf740074bfff00dfffff0000489c0048000000ffdf9c00bf7400009c480000ffffdf00489cdf00bfffff000000740074000000ffffbf00480074009c48740000749c00480048000101010101010101010101010101010101010101010101010101010101010101010101010101010101010101010101010101010101010101010101010101010101010101010101101100000000060101010101010101010101010101070c010107060101010101010101010101010101010f0c01010101010101010101010101010101010101070c010101010102030012130700000601010101010f0401010108090d0e1015160d0e05060101010102170b010110110c010102031213010110140b01070a0b010110110c0101010f0a0b010101101100000c01010108090d0e01010203060101010101010101010101010f0a0b010108090c01010101010101010101010102030c010101050d0e0101010101010101010101010700040108090a0b0101010101010101010101010102030000040506010101010101010101010101010101010101010101010101010101010101010101010101010101010101010101010101010101010101010101010101010101010101010101010101010101010101010101010101010101010101010101010101010101010101010101010101010101010101010101010101010101010101010101010101010101010101010101010101010101010101010101010101010101010101010101010101010101010101010101010101010101010101010101014c0000006400000000000000000000001200000018000000000000000000000013000000190000002900aa0000000000000000000000803f00000000000000000000803f0000000000000000000000000000000000000000000000000000000000000000220000000c000000ffffffff460000001c00000010000000454d462b024000000c000000000000000e000000140000000000000010000000140000000400000003010800050000000b0200000000050000000c0219001300030000001e00040000000701040004000000070104004b010000410b2000cc00190013000000000019001300000000002800000013000000190000000100080000000000000000000000000000000000180000000000000000000000ffffff009cdfff0000004800df9c48000074bf00ffbf740074bfff00dfffff0000489c0048000000ffdf9c00bf7400009c480000ffffdf00489cdf00bfffff000000740074000000ffffbf00480074009c48740000749c00480048000101010101010101010101010101010101010101010101010101010101010101010101010101010101010101010101010101010101010101010101010101010101010101010101101100000000060101010101010101010101010101070c010107060101010101010101010101010101010f0c01010101010101010101010101010101010101070c010101010102030012130700000601010101010f0401010108090d0e1015160d0e05060101010102170b010110110c010102031213010110140b01070a0b010110110c0101010f0a0b010101101100000c01010108090d0e01010203060101010101010101010101010f0a0b010108090c01010101010101010101010102030c010101050d0e0101010101010101010101010700040108090a0b0101010101010101010101010102030000040506010101010101010101010101010101010101010101010101010101010101010101010101010101010101010101010101010101010101010101010101010101010101010101010101010101010101010101010101010101010101010101010101010101010101010101010101010101010101010101010101010101010101010101010101010101010101010101010101010101010101010101010101010101010101010101010101010101010101010101010101010101010101010101010c00000040092900aa000000000000001900130000000000040000002701ffff030000000000>=1,84,
>
>=4,92.
Подставим полученные значения коэффициентов в формулу (18) и рассчитаем значения дискриминантной функции для каждого объекта:
(24)
Тогда константа дискриминации С будет равна:
С
=>
>(94,4238-70,0138)
= 12,205.
После получения константы дискриминации можно проверить правильность распределения объектов в уже существующих двух классах, а также провести классификацию новых объектов.
Рассмотрим, например, объекты с номерами 1, 2, З, 4. Для того чтобы отнести эти объекты к одному из двух множеств, рассчитаем для них значения дискриминантных функций (по трем переменным):
>0100090000035004000000000603000000000603000026060f000206574d46430100000000000100e4120000000001000000e005000000000000e0050000010000006c00000000000000000000000e000000180000000000000000000000760100004902000020454d4600000100e00500000c00000001000000000000000000000000000000000500000004000040010000f000000000000000000000000000000000e2040080a90300460000002c00000020000000454d462b014001001c000000100000000210c0db010000006000000060000000460000001c02000010020000454d462b224004000c000000000000001e4009000c00000000000000244001000c000000000000003040020010000000040000000000803f214007000c0000000000000008400005680100005c0100000210c0db01000000000000000000000000000000000000000100000089504e470d0a1a0a0000000d494844520000000f000000190802000000613be39b000000017352474200aece1ce9000000097048597300000ec400000ec401952b0e1b000000e249444154384f63fcffff3f03d18089689520857456fd60ae27231478ce7d80e25274971c2865544cd1d90ff4fbfffd250c3aca0aa8fe0289c3015001034309582d56c0408ae2ff30d560539180c79cfb584c47369b903bfeff47f2e583bb57808ef676c0135fc8aa6fec60f0d0400b0454ad08d507b6f6306006190ed56077a01a0d0c7bc6d20328eaa13ebf3fc703a8181610601e18a0063ecc250f808e467287f374a029083d30f3a1aad1dca1a080ddb310d50ff6ae0186478833de0081a76f903b8850cc008a4bb0fbb0a42550dca20a3380d3077aaa40f31f5c9a7188e66200f9aa26df2e2ace9f0000000049454e44ae4260820000000840010824000000180000000210c0db01000000030000000000000000000000000000001b40000040000000340000000100000002000000000000bf000000bf000070410000c84103000000000000b3000000b3ffff6f41000000b3000000b3ffffc7412100000008000000620000000c00000001000000150000000c00000004000000150000000c00000004000000510000006002000000000000000000000e00000018000000000000000000000000000000000000000f000000190000005000000080000000d000000090010000000000002000cc000f00000019000000280000000f000000190000000100080000000000000000000000000000000000160000000000000000000000ffffff00489cdf0048000000ffdf9c000074bf0074000000ffffbf00bfffff007400740074bfff00ffbf740000007400bf7400009cdfff0000004800dfffff0000489c009c480000ffffdf00df9c4800dfdfdf00010101010101010101010101010101010101010101010101010101010101010101010101010101010101010101010101010101010101010101010101010101010c030401010101020000000014010101010206070101010101050d010101010101080c140101010101020d0101010101011011121301010101020d0101010101010102030401010101020d010101010101010a000b01011501020d010101010101010e0f1401010200000d0101010101010110111213010101050d0101010101010101050607010101010101010101010101010a0304010101010101010101010101010e0f0b01010101010101010101010101080c0d0101010101010101010101010a0000000003040101010101010101010101050607010101010101010101010101010a000b0101010101010101010101010101050607080907010101010101010101010102000003040101010101010101010101010101010101010101010101010101010101010101010101010101010101010101010101010101010101010101010101010101010101010101014c0000006400000000000000000000000e0000001800000000000000000000000f000000190000002900aa0000000000000000000000803f00000000000000000000803f0000000000000000000000000000000000000000000000000000000000000000220000000c000000ffffffff460000001c00000010000000454d462b024000000c000000000000000e000000140000000000000010000000140000000400000003010800050000000b0200000000050000000c0219000f00030000001e000400000007010400040000000701040015010000410b2000cc0019000f000000000019000f0000000000280000000f000000190000000100080000000000000000000000000000000000160000000000000000000000ffffff00489cdf0048000000ffdf9c000074bf0074000000ffffbf00bfffff007400740074bfff00ffbf740000007400bf7400009cdfff0000004800dfffff0000489c009c480000ffffdf00df9c4800dfdfdf00010101010101010101010101010101010101010101010101010101010101010101010101010101010101010101010101010101010101010101010101010101010c030401010101020000000014010101010206070101010101050d010101010101080c140101010101020d0101010101011011121301010101020d0101010101010102030401010101020d010101010101010a000b01011501020d010101010101010e0f1401010200000d0101010101010110111213010101050d0101010101010101050607010101010101010101010101010a0304010101010101010101010101010e0f0b01010101010101010101010101080c0d0101010101010101010101010a0000000003040101010101010101010101050607010101010101010101010101010a000b0101010101010101010101010101050607080907010101010101010101010102000003040101010101010101010101010101010101010101010101010101010101010101010101010101010101010101010101010101010101010101010101010101010101010101010c00000040092900aa0000000000000019000f0000000000040000002701ffff030000000000>>
>
= -185,03 х 1,07 +
1,84 х 93,5 + 4,92 х 5,30 = 0,1339,
>0100090000035c04000000001003000000001003000026060f001606574d4643010000000000010063750000000001000000f405000000000000f4050000010000006c00000000000000000000000f0000001800000000000000000000008f0100004902000020454d4600000100f40500000c00000001000000000000000000000000000000000500000004000040010000f000000000000000000000000000000000e2040080a90300460000002c00000020000000454d462b014001001c000000100000000210c0db010000006000000060000000460000002c02000020020000454d462b224004000c000000000000001e4009000c00000000000000244001000c000000000000003040020010000000040000000000803f214007000c0000000000000008400005780100006c0100000210c0db01000000000000000000000000000000000000000100000089504e470d0a1a0a0000000d4948445200000010000000190802000000b79e39fe000000017352474200aece1ce9000000097048597300000ec400000ec401952b0e1b000000f349444154384fdd543b12823010dd78121c1b0a0e4109e331f408700aed6de006b68e360e1cc2c2c62137593721099b008e54ceb8552679efeddbcf4420222c89d512b0c2fe8420eb5c98c86b195a0e2db5a558ef93865a814d01c9261ad5a89e5c1006a0d0f0b9808578b404adcd22abbae91c3cc317861059d1f2f5a002b6e9e75172c2f306593c6e8b2f3010dacb1126fb3843d0868604340f1b65eb514c2fba2a23bc690d55cf8eeeaca1d692a4029ca1f480d75d5f4c1493100f43080c3984bc9fa13a19727fabf37886bc4d19ed494f50230b66ab34a6b64a11b4beff480aeea229f81be81d0ad4c3c5e204f1079fc01bb59987c95f23bb220000000049454e44ae42608200000840010824000000180000000210c0db01000000030000000000000000000000000000001b40000040000000340000000100000002000000000000bf000000bf000080410000c84103000000000000b3000000b3ffff7f41000000b3000000b3ffffc7412100000008000000620000000c00000001000000150000000c00000004000000150000000c00000004000000510000006402000000000000000000000f000000180000000000000000000000000000000000000010000000190000005000000084000000d400000090010000000000002000cc0010000000190000002800000010000000190000000100080000000000000000000000000000000000170000000000000000000000ffffff00489cdf0048000000ffdf9c000074bf0074000000ffffbf00bfffff007400740074bfff00ffbf740000007400bf7400009cdfff0000004800dfffff0000489c009c480000ffffdf00df9c48004800740048004800010101010101010101010101010101010101010101010101010101010101010101010101010101010101010101010101010101010101010101010101010101010c0304010101080c000000000b010101010206070101010a0d01010a0b01010101080c1401010101020d0101010101010110111213010101010a0d01010101010101020304010101010102140101010101010a000b01010101010e160401010101010e0f1401081504010a030401010101011011121301080c00000d01010101010101050607010101010101010101010101010a0304010101010101010101010101010e0f0b01010101010101010101010101080c0d0101010101010101010101010a0000000003040101010101010101010101050607010101010101010101010101010a000b0101010101010101010101010101050607080907010101010101010101010102000003040101010101010101010101010101010101010101010101010101010101010101010101010101010101010101010101010101010101010101010101010101010101010101014c0000006400000000000000000000000f00000018000000000000000000000010000000190000002900aa0000000000000000000000803f00000000000000000000803f0000000000000000000000000000000000000000000000000000000000000000220000000c000000ffffffff460000001c00000010000000454d462b024000000c000000000000000e000000140000000000000010000000140000000400000003010800050000000b0200000000050000000c0219001000030000001e000400000007010400040000000701040017010000410b2000cc00190010000000000019001000000000002800000010000000190000000100080000000000000000000000000000000000170000000000000000000000ffffff00489cdf0048000000ffdf9c000074bf0074000000ffffbf00bfffff007400740074bfff00ffbf740000007400bf7400009cdfff0000004800dfffff0000489c009c480000ffffdf00df9c48004800740048004800010101010101010101010101010101010101010101010101010101010101010101010101010101010101010101010101010101010101010101010101010101010c0304010101080c000000000b010101010206070101010a0d01010a0b01010101080c1401010101020d0101010101010110111213010101010a0d01010101010101020304010101010102140101010101010a000b01010101010e160401010101010e0f1401081504010a030401010101011011121301080c00000d01010101010101050607010101010101010101010101010a0304010101010101010101010101010e0f0b01010101010101010101010101080c0d0101010101010101010101010a0000000003040101010101010101010101050607010101010101010101010101010a000b0101010101010101010101010101050607080907010101010101010101010102000003040101010101010101010101010101010101010101010101010101010101010101010101010101010101010101010101010101010101010101010101010101010101010101010c00000040092900aa000000000000001900100000000000040000002701ffff030000000000
>
= -185,03 х 0,99 +
1,84 х 84,0 + 4,92 х 4,85 = -4,7577,
>0100090000035804000000000a03000000000a03000026060f000a06574d4643010000000000010049480000000001000000e805000000000000e8050000010000006c00000000000000000000000f0000001800000000000000000000008f0100004902000020454d4600000100e80500000c00000001000000000000000000000000000000000500000004000040010000f000000000000000000000000000000000e2040080a90300460000002c00000020000000454d462b014001001c000000100000000210c0db010000006000000060000000460000001c02000010020000454d462b224004000c000000000000001e4009000c00000000000000244001000c000000000000003040020010000000040000000000803f214007000c0000000000000008400005680100005c0100000210c0db01000000000000000000000000000000000000000100000089504e470d0a1a0a0000000d4948445200000010000000190802000000b79e39fe000000017352474200aece1ce9000000097048597300000ec400000ec401952b0e1b000000e349444154384f63fcffff3f0329808914c520b503a2e1c15c4f4628f09cfb00ddc9e84e3a50caa898a2b31f1814fff79730e8282b60f81124050740350c0c2560e5b8000389eaffc33480cd46021e73ee63b703d906221cf4ff3f92a71fdcbd02f480b703fea844d670630783870666b0a01a80d070606b0f03d670c4a101ec2098054871c7881e79d0b0b83fc703a81e1a34400e8c090a0894104309562c510632089b06140b10110012463305620316f5f098c4aa01c3a5704bc04621eb0105eb83b99d3d0c25e5c9f0280026592c091b1abce034849e72c0e642019a1ce330280400868aa888cf0c08d00000000049454e44ae42608200000840010824000000180000000210c0db01000000030000000000000000000000000000001b40000040000000340000000100000002000000000000bf000000bf000080410000c84103000000000000b3000000b3ffff7f41000000b3000000b3ffffc7412100000008000000620000000c00000001000000150000000c00000004000000150000000c00000004000000510000006802000000000000000000000f000000180000000000000000000000000000000000000010000000190000005000000088000000d800000090010000000000002000cc0010000000190000002800000010000000190000000100080000000000000000000000000000000000180000000000000000000000ffffff00489cdf0048000000ffdf9c000074bf0074000000ffffbf00bfffff007400740074bfff00ffbf740000007400bf7400009cdfff0000004800dfffff0000489c009c480000ffffdf00df9c480048489c004800480048007400010101010101010101010101010101010101010101010101010101010101010101010101010101010101010101010101010101010101010101010101010101010c030401010101020000001401010101010206070101081704010e0f0b01010101080c140101010101010e0f0b01010101101112130101010500000b0101010101010203040101010110110b0101010101010a000b01010101010e160401010101010e0f1401101504010a030401010101011011121301020000001401010101010101050607010101010101010101010101010a0304010101010101010101010101010e0f0b01010101010101010101010101080c0d0101010101010101010101010a0000000003040101010101010101010101050607010101010101010101010101010a000b0101010101010101010101010101050607080907010101010101010101010102000003040101010101010101010101010101010101010101010101010101010101010101010101010101010101010101010101010101010101010101010101010101010101010101014c0000006400000000000000000000000f00000018000000000000000000000010000000190000002900aa0000000000000000000000803f00000000000000000000803f0000000000000000000000000000000000000000000000000000000000000000220000000c000000ffffffff460000001c00000010000000454d462b024000000c000000000000000e000000140000000000000010000000140000000400000003010800050000000b0200000000050000000c0219001000030000001e000400000007010400040000000701040019010000410b2000cc00190010000000000019001000000000002800000010000000190000000100080000000000000000000000000000000000180000000000000000000000ffffff00489cdf0048000000ffdf9c000074bf0074000000ffffbf00bfffff007400740074bfff00ffbf740000007400bf7400009cdfff0000004800dfffff0000489c009c480000ffffdf00df9c480048489c004800480048007400010101010101010101010101010101010101010101010101010101010101010101010101010101010101010101010101010101010101010101010101010101010c030401010101020000001401010101010206070101081704010e0f0b01010101080c140101010101010e0f0b01010101101112130101010500000b0101010101010203040101010110110b0101010101010a000b01010101010e160401010101010e0f1401101504010a030401010101011011121301020000001401010101010101050607010101010101010101010101010a0304010101010101010101010101010e0f0b01010101010101010101010101080c0d0101010101010101010101010a0000000003040101010101010101010101050607010101010101010101010101010a000b0101010101010101010101010101050607080907010101010101010101010102000003040101010101010101010101010101010101010101010101010101010101010101010101010101010101010101010101010101010101010101010101010101010101010101010c00000040092900aa000000000000001900100000000000040000002701ffff030000000000
>
= -185,03 х 0,70 +
1,84 х 76,8 + 4,92 х 3,50 = 29,0110,
>
>
= -185,03 х 1,24 +
1,84 х 88,0 + 4,92 х 4,95 = -43,1632.
Таким
образом, объекты 1, 2 и 4 относятся ко
второму классу, а объект 3 относится к
первому классу, так как >0100090000035004000000000603000000000603000026060f000206574d46430100000000000100e4120000000001000000e005000000000000e0050000010000006c00000000000000000000000e000000180000000000000000000000760100004902000020454d4600000100e00500000c00000001000000000000000000000000000000000500000004000040010000f000000000000000000000000000000000e2040080a90300460000002c00000020000000454d462b014001001c000000100000000210c0db010000006000000060000000460000001c02000010020000454d462b224004000c000000000000001e4009000c00000000000000244001000c000000000000003040020010000000040000000000803f214007000c0000000000000008400005680100005c0100000210c0db01000000000000000000000000000000000000000100000089504e470d0a1a0a0000000d494844520000000f000000190802000000613be39b000000017352474200aece1ce9000000097048597300000ec400000ec401952b0e1b000000e249444154384f63fcffff3f03d18089689520857456fd60ae27231478ce7d80e25274971c2865544cd1d90ff4fbfffd250c3aca0aa8fe0289c3015001034309582d56c0408ae2ff30d560539180c79cfb584c47369b903bfeff47f2e583bb57808ef676c0135fc8aa6fec60f0d0400b0454ad08d507b6f6306006190ed56077a01a0d0c7bc6d20328eaa13ebf3fc703a8181610601e18a0063ecc250f808e467287f374a029083d30f3a1aad1dca1a080ddb310d50ff6ae0186478833de0081a76f903b8850cc008a4bb0fbb0a42550dca20a3380d3077aaa40f31f5c9a7188e66200f9aa26df2e2ace9f0000000049454e44ae4260820000000840010824000000180000000210c0db01000000030000000000000000000000000000001b40000040000000340000000100000002000000000000bf000000bf000070410000c84103000000000000b3000000b3ffff6f41000000b3000000b3ffffc7412100000008000000620000000c00000001000000150000000c00000004000000150000000c00000004000000510000006002000000000000000000000e00000018000000000000000000000000000000000000000f000000190000005000000080000000d000000090010000000000002000cc000f00000019000000280000000f000000190000000100080000000000000000000000000000000000160000000000000000000000ffffff00489cdf0048000000ffdf9c000074bf0074000000ffffbf00bfffff007400740074bfff00ffbf740000007400bf7400009cdfff0000004800dfffff0000489c009c480000ffffdf00df9c4800dfdfdf00010101010101010101010101010101010101010101010101010101010101010101010101010101010101010101010101010101010101010101010101010101010c030401010101020000000014010101010206070101010101050d010101010101080c140101010101020d0101010101011011121301010101020d0101010101010102030401010101020d010101010101010a000b01011501020d010101010101010e0f1401010200000d0101010101010110111213010101050d0101010101010101050607010101010101010101010101010a0304010101010101010101010101010e0f0b01010101010101010101010101080c0d0101010101010101010101010a0000000003040101010101010101010101050607010101010101010101010101010a000b0101010101010101010101010101050607080907010101010101010101010102000003040101010101010101010101010101010101010101010101010101010101010101010101010101010101010101010101010101010101010101010101010101010101010101014c0000006400000000000000000000000e0000001800000000000000000000000f000000190000002900aa0000000000000000000000803f00000000000000000000803f0000000000000000000000000000000000000000000000000000000000000000220000000c000000ffffffff460000001c00000010000000454d462b024000000c000000000000000e000000140000000000000010000000140000000400000003010800050000000b0200000000050000000c0219000f00030000001e000400000007010400040000000701040015010000410b2000cc0019000f000000000019000f0000000000280000000f000000190000000100080000000000000000000000000000000000160000000000000000000000ffffff00489cdf0048000000ffdf9c000074bf0074000000ffffbf00bfffff007400740074bfff00ffbf740000007400bf7400009cdfff0000004800dfffff0000489c009c480000ffffdf00df9c4800dfdfdf00010101010101010101010101010101010101010101010101010101010101010101010101010101010101010101010101010101010101010101010101010101010c030401010101020000000014010101010206070101010101050d010101010101080c140101010101020d0101010101011011121301010101020d0101010101010102030401010101020d010101010101010a000b01011501020d010101010101010e0f1401010200000d0101010101010110111213010101050d0101010101010101050607010101010101010101010101010a0304010101010101010101010101010e0f0b01010101010101010101010101080c0d0101010101010101010101010a0000000003040101010101010101010101050607010101010101010101010101010a000b0101010101010101010101010101050607080907010101010101010101010102000003040101010101010101010101010101010101010101010101010101010101010101010101010101010101010101010101010101010101010101010101010101010101010101010c00000040092900aa0000000000000019000f0000000000040000002701ffff030000000000>
<
с, >0100090000035c04000000001003000000001003000026060f001606574d4643010000000000010063750000000001000000f405000000000000f4050000010000006c00000000000000000000000f0000001800000000000000000000008f0100004902000020454d4600000100f40500000c00000001000000000000000000000000000000000500000004000040010000f000000000000000000000000000000000e2040080a90300460000002c00000020000000454d462b014001001c000000100000000210c0db010000006000000060000000460000002c02000020020000454d462b224004000c000000000000001e4009000c00000000000000244001000c000000000000003040020010000000040000000000803f214007000c0000000000000008400005780100006c0100000210c0db01000000000000000000000000000000000000000100000089504e470d0a1a0a0000000d4948445200000010000000190802000000b79e39fe000000017352474200aece1ce9000000097048597300000ec400000ec401952b0e1b000000f349444154384fdd543b12823010dd78121c1b0a0e4109e331f408700aed6de006b68e360e1cc2c2c62137593721099b008e54ceb8552679efeddbcf4420222c89d512b0c2fe8420eb5c98c86b195a0e2db5a558ef93865a814d01c9261ad5a89e5c1006a0d0f0b9808578b404adcd22abbae91c3cc317861059d1f2f5a002b6e9e75172c2f306593c6e8b2f3010dacb1126fb3843d0868604340f1b65eb514c2fba2a23bc690d55cf8eeeaca1d692a4029ca1f480d75d5f4c1493100f43080c3984bc9fa13a19727fabf37886bc4d19ed494f50230b66ab34a6b64a11b4beff480aeea229f81be81d0ad4c3c5e204f1079fc01bb59987c95f23bb220000000049454e44ae42608200000840010824000000180000000210c0db01000000030000000000000000000000000000001b40000040000000340000000100000002000000000000bf000000bf000080410000c84103000000000000b3000000b3ffff7f41000000b3000000b3ffffc7412100000008000000620000000c00000001000000150000000c00000004000000150000000c00000004000000510000006402000000000000000000000f000000180000000000000000000000000000000000000010000000190000005000000084000000d400000090010000000000002000cc0010000000190000002800000010000000190000000100080000000000000000000000000000000000170000000000000000000000ffffff00489cdf0048000000ffdf9c000074bf0074000000ffffbf00bfffff007400740074bfff00ffbf740000007400bf7400009cdfff0000004800dfffff0000489c009c480000ffffdf00df9c48004800740048004800010101010101010101010101010101010101010101010101010101010101010101010101010101010101010101010101010101010101010101010101010101010c0304010101080c000000000b010101010206070101010a0d01010a0b01010101080c1401010101020d0101010101010110111213010101010a0d01010101010101020304010101010102140101010101010a000b01010101010e160401010101010e0f1401081504010a030401010101011011121301080c00000d01010101010101050607010101010101010101010101010a0304010101010101010101010101010e0f0b01010101010101010101010101080c0d0101010101010101010101010a0000000003040101010101010101010101050607010101010101010101010101010a000b0101010101010101010101010101050607080907010101010101010101010102000003040101010101010101010101010101010101010101010101010101010101010101010101010101010101010101010101010101010101010101010101010101010101010101014c0000006400000000000000000000000f00000018000000000000000000000010000000190000002900aa0000000000000000000000803f00000000000000000000803f0000000000000000000000000000000000000000000000000000000000000000220000000c000000ffffffff460000001c00000010000000454d462b024000000c000000000000000e000000140000000000000010000000140000000400000003010800050000000b0200000000050000000c0219001000030000001e000400000007010400040000000701040017010000410b2000cc00190010000000000019001000000000002800000010000000190000000100080000000000000000000000000000000000170000000000000000000000ffffff00489cdf0048000000ffdf9c000074bf0074000000ffffbf00bfffff007400740074bfff00ffbf740000007400bf7400009cdfff0000004800dfffff0000489c009c480000ffffdf00df9c48004800740048004800010101010101010101010101010101010101010101010101010101010101010101010101010101010101010101010101010101010101010101010101010101010c0304010101080c000000000b010101010206070101010a0d01010a0b01010101080c1401010101020d0101010101010110111213010101010a0d01010101010101020304010101010102140101010101010a000b01010101010e160401010101010e0f1401081504010a030401010101011011121301080c00000d01010101010101050607010101010101010101010101010a0304010101010101010101010101010e0f0b01010101010101010101010101080c0d0101010101010101010101010a0000000003040101010101010101010101050607010101010101010101010101010a000b0101010101010101010101010101050607080907010101010101010101010102000003040101010101010101010101010101010101010101010101010101010101010101010101010101010101010101010101010101010101010101010101010101010101010101010c00000040092900aa000000000000001900100000000000040000002701ffff030000000000>>
>
<
с, >0100090000035804000000000a03000000000a03000026060f000a06574d4643010000000000010049480000000001000000e805000000000000e8050000010000006c00000000000000000000000f0000001800000000000000000000008f0100004902000020454d4600000100e80500000c00000001000000000000000000000000000000000500000004000040010000f000000000000000000000000000000000e2040080a90300460000002c00000020000000454d462b014001001c000000100000000210c0db010000006000000060000000460000001c02000010020000454d462b224004000c000000000000001e4009000c00000000000000244001000c000000000000003040020010000000040000000000803f214007000c0000000000000008400005680100005c0100000210c0db01000000000000000000000000000000000000000100000089504e470d0a1a0a0000000d4948445200000010000000190802000000b79e39fe000000017352474200aece1ce9000000097048597300000ec400000ec401952b0e1b000000e349444154384f63fcffff3f0329808914c520b503a2e1c15c4f4628f09cfb00ddc9e84e3a50caa898a2b31f1814fff79730e8282b60f81124050740350c0c2560e5b8000389eaffc33480cd46021e73ee63b703d906221cf4ff3f92a71fdcbd02f480b703fea844d670630783870666b0a01a80d070606b0f03d670c4a101ec2098054871c7881e79d0b0b83fc703a81e1a34400e8c090a0894104309562c510632089b06140b10110012463305620316f5f098c4aa01c3a5704bc04621eb0105eb83b99d3d0c25e5c9f0280026592c091b1abce034849e72c0e642019a1ce330280400868aa888cf0c08d00000000049454e44ae42608200000840010824000000180000000210c0db01000000030000000000000000000000000000001b40000040000000340000000100000002000000000000bf000000bf000080410000c84103000000000000b3000000b3ffff7f41000000b3000000b3ffffc7412100000008000000620000000c00000001000000150000000c00000004000000150000000c00000004000000510000006802000000000000000000000f000000180000000000000000000000000000000000000010000000190000005000000088000000d800000090010000000000002000cc0010000000190000002800000010000000190000000100080000000000000000000000000000000000180000000000000000000000ffffff00489cdf0048000000ffdf9c000074bf0074000000ffffbf00bfffff007400740074bfff00ffbf740000007400bf7400009cdfff0000004800dfffff0000489c009c480000ffffdf00df9c480048489c004800480048007400010101010101010101010101010101010101010101010101010101010101010101010101010101010101010101010101010101010101010101010101010101010c030401010101020000001401010101010206070101081704010e0f0b01010101080c140101010101010e0f0b01010101101112130101010500000b0101010101010203040101010110110b0101010101010a000b01010101010e160401010101010e0f1401101504010a030401010101011011121301020000001401010101010101050607010101010101010101010101010a0304010101010101010101010101010e0f0b01010101010101010101010101080c0d0101010101010101010101010a0000000003040101010101010101010101050607010101010101010101010101010a000b0101010101010101010101010101050607080907010101010101010101010102000003040101010101010101010101010101010101010101010101010101010101010101010101010101010101010101010101010101010101010101010101010101010101010101014c0000006400000000000000000000000f00000018000000000000000000000010000000190000002900aa0000000000000000000000803f00000000000000000000803f0000000000000000000000000000000000000000000000000000000000000000220000000c000000ffffffff460000001c00000010000000454d462b024000000c000000000000000e000000140000000000000010000000140000000400000003010800050000000b0200000000050000000c0219001000030000001e000400000007010400040000000701040019010000410b2000cc00190010000000000019001000000000002800000010000000190000000100080000000000000000000000000000000000180000000000000000000000ffffff00489cdf0048000000ffdf9c000074bf0074000000ffffbf00bfffff007400740074bfff00ffbf740000007400bf7400009cdfff0000004800dfffff0000489c009c480000ffffdf00df9c480048489c004800480048007400010101010101010101010101010101010101010101010101010101010101010101010101010101010101010101010101010101010101010101010101010101010c030401010101020000001401010101010206070101081704010e0f0b01010101080c140101010101010e0f0b01010101101112130101010500000b0101010101010203040101010110110b0101010101010a000b01010101010e160401010101010e0f1401101504010a030401010101011011121301020000001401010101010101050607010101010101010101010101010a0304010101010101010101010101010e0f0b01010101010101010101010101080c0d0101010101010101010101010a0000000003040101010101010101010101050607010101010101010101010101010a000b0101010101010101010101010101050607080907010101010101010101010102000003040101010101010101010101010101010101010101010101010101010101010101010101010101010101010101010101010101010101010101010101010101010101010101010c00000040092900aa000000000000001900100000000000040000002701ffff030000000000>
>
с, >
>
< с.
4. Классификация при наличии k обучающих выборок
При необходимости можно проводить разбиение множества объектов на k классов (при k> 2). В этом случае нужно рассчитать k дискриминантных функций, так как классы будут отделяться друг от друга индивидуальными разделяющими поверхностями. На рис. 3 показан случай с тремя множествами и тремя дискриминантными переменными:

Рис.3 Три класса объектов и разделяющие их прямые
>0100090000035004000000000603000000000603000026060f000206574d46430100000000000100e4120000000001000000e005000000000000e0050000010000006c00000000000000000000000e000000180000000000000000000000760100004902000020454d4600000100e00500000c00000001000000000000000000000000000000000500000004000040010000f000000000000000000000000000000000e2040080a90300460000002c00000020000000454d462b014001001c000000100000000210c0db010000006000000060000000460000001c02000010020000454d462b224004000c000000000000001e4009000c00000000000000244001000c000000000000003040020010000000040000000000803f214007000c0000000000000008400005680100005c0100000210c0db01000000000000000000000000000000000000000100000089504e470d0a1a0a0000000d494844520000000f000000190802000000613be39b000000017352474200aece1ce9000000097048597300000ec400000ec401952b0e1b000000e249444154384f63fcffff3f03d18089689520857456fd60ae27231478ce7d80e25274971c2865544cd1d90ff4fbfffd250c3aca0aa8fe0289c3015001034309582d56c0408ae2ff30d560539180c79cfb584c47369b903bfeff47f2e583bb57808ef676c0135fc8aa6fec60f0d0400b0454ad08d507b6f6306006190ed56077a01a0d0c7bc6d20328eaa13ebf3fc703a8181610601e18a0063ecc250f808e467287f374a029083d30f3a1aad1dca1a080ddb310d50ff6ae0186478833de0081a76f903b8850cc008a4bb0fbb0a42550dca20a3380d3077aaa40f31f5c9a7188e66200f9aa26df2e2ace9f0000000049454e44ae4260820000000840010824000000180000000210c0db01000000030000000000000000000000000000001b40000040000000340000000100000002000000000000bf000000bf000070410000c84103000000000000b3000000b3ffff6f41000000b3000000b3ffffc7412100000008000000620000000c00000001000000150000000c00000004000000150000000c00000004000000510000006002000000000000000000000e00000018000000000000000000000000000000000000000f000000190000005000000080000000d000000090010000000000002000cc000f00000019000000280000000f000000190000000100080000000000000000000000000000000000160000000000000000000000ffffff00489cdf0048000000ffdf9c000074bf0074000000ffffbf00bfffff007400740074bfff00ffbf740000007400bf7400009cdfff0000004800dfffff0000489c009c480000ffffdf00df9c4800dfdfdf00010101010101010101010101010101010101010101010101010101010101010101010101010101010101010101010101010101010101010101010101010101010c030401010101020000000014010101010206070101010101050d010101010101080c140101010101020d0101010101011011121301010101020d0101010101010102030401010101020d010101010101010a000b01011501020d010101010101010e0f1401010200000d0101010101010110111213010101050d0101010101010101050607010101010101010101010101010a0304010101010101010101010101010e0f0b01010101010101010101010101080c0d0101010101010101010101010a0000000003040101010101010101010101050607010101010101010101010101010a000b0101010101010101010101010101050607080907010101010101010101010102000003040101010101010101010101010101010101010101010101010101010101010101010101010101010101010101010101010101010101010101010101010101010101010101014c0000006400000000000000000000000e0000001800000000000000000000000f000000190000002900aa0000000000000000000000803f00000000000000000000803f0000000000000000000000000000000000000000000000000000000000000000220000000c000000ffffffff460000001c00000010000000454d462b024000000c000000000000000e000000140000000000000010000000140000000400000003010800050000000b0200000000050000000c0219000f00030000001e000400000007010400040000000701040015010000410b2000cc0019000f000000000019000f0000000000280000000f000000190000000100080000000000000000000000000000000000160000000000000000000000ffffff00489cdf0048000000ffdf9c000074bf0074000000ffffbf00bfffff007400740074bfff00ffbf740000007400bf7400009cdfff0000004800dfffff0000489c009c480000ffffdf00df9c4800dfdfdf00010101010101010101010101010101010101010101010101010101010101010101010101010101010101010101010101010101010101010101010101010101010c030401010101020000000014010101010206070101010101050d010101010101080c140101010101020d0101010101011011121301010101020d0101010101010102030401010101020d010101010101010a000b01011501020d010101010101010e0f1401010200000d0101010101010110111213010101050d0101010101010101050607010101010101010101010101010a0304010101010101010101010101010e0f0b01010101010101010101010101080c0d0101010101010101010101010a0000000003040101010101010101010101050607010101010101010101010101010a000b0101010101010101010101010101050607080907010101010101010101010102000003040101010101010101010101010101010101010101010101010101010101010101010101010101010101010101010101010101010101010101010101010101010101010101010c00000040092900aa0000000000000019000f0000000000040000002701ffff030000000000
>
– первая,
>0100090000035c04000000001003000000001003000026060f001606574d4643010000000000010063750000000001000000f405000000000000f4050000010000006c00000000000000000000000f0000001800000000000000000000008f0100004902000020454d4600000100f40500000c00000001000000000000000000000000000000000500000004000040010000f000000000000000000000000000000000e2040080a90300460000002c00000020000000454d462b014001001c000000100000000210c0db010000006000000060000000460000002c02000020020000454d462b224004000c000000000000001e4009000c00000000000000244001000c000000000000003040020010000000040000000000803f214007000c0000000000000008400005780100006c0100000210c0db01000000000000000000000000000000000000000100000089504e470d0a1a0a0000000d4948445200000010000000190802000000b79e39fe000000017352474200aece1ce9000000097048597300000ec400000ec401952b0e1b000000f349444154384fdd543b12823010dd78121c1b0a0e4109e331f408700aed6de006b68e360e1cc2c2c62137593721099b008e54ceb8552679efeddbcf4420222c89d512b0c2fe8420eb5c98c86b195a0e2db5a558ef93865a814d01c9261ad5a89e5c1006a0d0f0b9808578b404adcd22abbae91c3cc317861059d1f2f5a002b6e9e75172c2f306593c6e8b2f3010dacb1126fb3843d0868604340f1b65eb514c2fba2a23bc690d55cf8eeeaca1d692a4029ca1f480d75d5f4c1493100f43080c3984bc9fa13a19727fabf37886bc4d19ed494f50230b66ab34a6b64a11b4beff480aeea229f81be81d0ad4c3c5e204f1079fc01bb59987c95f23bb220000000049454e44ae42608200000840010824000000180000000210c0db01000000030000000000000000000000000000001b40000040000000340000000100000002000000000000bf000000bf000080410000c84103000000000000b3000000b3ffff7f41000000b3000000b3ffffc7412100000008000000620000000c00000001000000150000000c00000004000000150000000c00000004000000510000006402000000000000000000000f000000180000000000000000000000000000000000000010000000190000005000000084000000d400000090010000000000002000cc0010000000190000002800000010000000190000000100080000000000000000000000000000000000170000000000000000000000ffffff00489cdf0048000000ffdf9c000074bf0074000000ffffbf00bfffff007400740074bfff00ffbf740000007400bf7400009cdfff0000004800dfffff0000489c009c480000ffffdf00df9c48004800740048004800010101010101010101010101010101010101010101010101010101010101010101010101010101010101010101010101010101010101010101010101010101010c0304010101080c000000000b010101010206070101010a0d01010a0b01010101080c1401010101020d0101010101010110111213010101010a0d01010101010101020304010101010102140101010101010a000b01010101010e160401010101010e0f1401081504010a030401010101011011121301080c00000d01010101010101050607010101010101010101010101010a0304010101010101010101010101010e0f0b01010101010101010101010101080c0d0101010101010101010101010a0000000003040101010101010101010101050607010101010101010101010101010a000b0101010101010101010101010101050607080907010101010101010101010102000003040101010101010101010101010101010101010101010101010101010101010101010101010101010101010101010101010101010101010101010101010101010101010101014c0000006400000000000000000000000f00000018000000000000000000000010000000190000002900aa0000000000000000000000803f00000000000000000000803f0000000000000000000000000000000000000000000000000000000000000000220000000c000000ffffffff460000001c00000010000000454d462b024000000c000000000000000e000000140000000000000010000000140000000400000003010800050000000b0200000000050000000c0219001000030000001e000400000007010400040000000701040017010000410b2000cc00190010000000000019001000000000002800000010000000190000000100080000000000000000000000000000000000170000000000000000000000ffffff00489cdf0048000000ffdf9c000074bf0074000000ffffbf00bfffff007400740074bfff00ffbf740000007400bf7400009cdfff0000004800dfffff0000489c009c480000ffffdf00df9c48004800740048004800010101010101010101010101010101010101010101010101010101010101010101010101010101010101010101010101010101010101010101010101010101010c0304010101080c000000000b010101010206070101010a0d01010a0b01010101080c1401010101020d0101010101010110111213010101010a0d01010101010101020304010101010102140101010101010a000b01010101010e160401010101010e0f1401081504010a030401010101011011121301080c00000d01010101010101050607010101010101010101010101010a0304010101010101010101010101010e0f0b01010101010101010101010101080c0d0101010101010101010101010a0000000003040101010101010101010101050607010101010101010101010101010a000b0101010101010101010101010101050607080907010101010101010101010102000003040101010101010101010101010101010101010101010101010101010101010101010101010101010101010101010101010101010101010101010101010101010101010101010c00000040092900aa000000000000001900100000000000040000002701ffff030000000000>
– вторая, >0100090000035804000000000a03000000000a03000026060f000a06574d4643010000000000010049480000000001000000e805000000000000e8050000010000006c00000000000000000000000f0000001800000000000000000000008f0100004902000020454d4600000100e80500000c00000001000000000000000000000000000000000500000004000040010000f000000000000000000000000000000000e2040080a90300460000002c00000020000000454d462b014001001c000000100000000210c0db010000006000000060000000460000001c02000010020000454d462b224004000c000000000000001e4009000c00000000000000244001000c000000000000003040020010000000040000000000803f214007000c0000000000000008400005680100005c0100000210c0db01000000000000000000000000000000000000000100000089504e470d0a1a0a0000000d4948445200000010000000190802000000b79e39fe000000017352474200aece1ce9000000097048597300000ec400000ec401952b0e1b000000e349444154384f63fcffff3f0329808914c520b503a2e1c15c4f4628f09cfb00ddc9e84e3a50caa898a2b31f1814fff79730e8282b60f81124050740350c0c2560e5b8000389eaffc33480cd46021e73ee63b703d906221cf4ff3f92a71fdcbd02f480b703fea844d670630783870666b0a01a80d070606b0f03d670c4a101ec2098054871c7881e79d0b0b83fc703a81e1a34400e8c090a0894104309562c510632089b06140b10110012463305620316f5f098c4aa01c3a5704bc04621eb0105eb83b99d3d0c25e5c9f0280026592c091b1abce034849e72c0e642019a1ce330280400868aa888cf0c08d00000000049454e44ae42608200000840010824000000180000000210c0db01000000030000000000000000000000000000001b40000040000000340000000100000002000000000000bf000000bf000080410000c84103000000000000b3000000b3ffff7f41000000b3000000b3ffffc7412100000008000000620000000c00000001000000150000000c00000004000000150000000c00000004000000510000006802000000000000000000000f000000180000000000000000000000000000000000000010000000190000005000000088000000d800000090010000000000002000cc0010000000190000002800000010000000190000000100080000000000000000000000000000000000180000000000000000000000ffffff00489cdf0048000000ffdf9c000074bf0074000000ffffbf00bfffff007400740074bfff00ffbf740000007400bf7400009cdfff0000004800dfffff0000489c009c480000ffffdf00df9c480048489c004800480048007400010101010101010101010101010101010101010101010101010101010101010101010101010101010101010101010101010101010101010101010101010101010c030401010101020000001401010101010206070101081704010e0f0b01010101080c140101010101010e0f0b01010101101112130101010500000b0101010101010203040101010110110b0101010101010a000b01010101010e160401010101010e0f1401101504010a030401010101011011121301020000001401010101010101050607010101010101010101010101010a0304010101010101010101010101010e0f0b01010101010101010101010101080c0d0101010101010101010101010a0000000003040101010101010101010101050607010101010101010101010101010a000b0101010101010101010101010101050607080907010101010101010101010102000003040101010101010101010101010101010101010101010101010101010101010101010101010101010101010101010101010101010101010101010101010101010101010101014c0000006400000000000000000000000f00000018000000000000000000000010000000190000002900aa0000000000000000000000803f00000000000000000000803f0000000000000000000000000000000000000000000000000000000000000000220000000c000000ffffffff460000001c00000010000000454d462b024000000c000000000000000e000000140000000000000010000000140000000400000003010800050000000b0200000000050000000c0219001000030000001e000400000007010400040000000701040019010000410b2000cc00190010000000000019001000000000002800000010000000190000000100080000000000000000000000000000000000180000000000000000000000ffffff00489cdf0048000000ffdf9c000074bf0074000000ffffbf00bfffff007400740074bfff00ffbf740000007400bf7400009cdfff0000004800dfffff0000489c009c480000ffffdf00df9c480048489c004800480048007400010101010101010101010101010101010101010101010101010101010101010101010101010101010101010101010101010101010101010101010101010101010c030401010101020000001401010101010206070101081704010e0f0b01010101080c140101010101010e0f0b01010101101112130101010500000b0101010101010203040101010110110b0101010101010a000b01010101010e160401010101010e0f1401101504010a030401010101011011121301020000001401010101010101050607010101010101010101010101010a0304010101010101010101010101010e0f0b01010101010101010101010101080c0d0101010101010101010101010a0000000003040101010101010101010101050607010101010101010101010101010a000b0101010101010101010101010101050607080907010101010101010101010102000003040101010101010101010101010101010101010101010101010101010101010101010101010101010101010101010101010101010101010101010101010101010101010101010c00000040092900aa000000000000001900100000000000040000002701ffff030000000000
>
- третья дискриминантные функции.
Пример 2. Рассмотрим случай, когда существует три класса (множества) объектов. Для этого к двум классам из предыдущего примера добавим еще один. В этом случае будем иметь уже три матрицы исходных данных:
(25)
Если в процессе дискриминации используются все четыре переменные (>010009000003ae04000000003003000000003003000026060f005606574d46430100000000000100d66e0000000001000000340600000000000034060000010000006c000000000000000000000012000000180000000000000000000000da0100004902000020454d4600000100340600000c00000001000000000000000000000000000000000500000004000040010000f000000000000000000000000000000000e2040080a90300460000002c00000020000000454d462b014001001c000000100000000210c0db0100000060000000600000004600000008020000fc010000454d462b224004000c000000000000001e4009000c00000000000000244001000c000000000000003040020010000000040000000000803f214007000c000000000000000840000554010000480100000210c0db01000000000000000000000000000000000000000100000089504e470d0a1a0a0000000d49484452000000130000001908020000005ca982fd000000017352474200aece1ce9000000097048597300000ec400000ec401952b0e1b000000ce49444154384fd5534b1683200c849ece03e96d3c48777a0c77f42694247c86885559f85eb3d104869909c17aef4d57bcba5004fa4fe43ad914d3cade4b25167447426f25dc3c84b561768785bc957f4c49195a909c8e4bbd1d32400a6bdc4bffc0dfc023d2fb651456fafea0d36a292708c519acf6c92725d6437b79a1522bedbd4689bd0d74c9e31db5d04bf6da30aada266aebe20e9a5de08101a926a0354d8e068bf6811413afa15c7b21509235f2bcfd38c7c0f9c8cbfe6cefeaa15d510bd6092b2fc1d20476c5233e95b22fcd4499a6adcfb4c80000000049454e44ae4260820000000840010824000000180000000210c0db01000000030000000000000000000000000000001b40000040000000340000000100000002000000000000bf000000bf000098410000c84103000000000000b3000000b3ffff9741000000b3000000b3ffffc7412100000008000000620000000c00000001000000150000000c00000004000000150000000c0000000400000051000000c8020000000000000000000012000000180000000000000000000000000000000000000013000000190000005000000084000000d4000000f4010000000000002000cc0013000000190000002800000013000000190000000100080000000000000000000000000000000000170000000000000000000000ffffff0074bfff00ffbf740074000000ffffbf00489cdf00df9c4800dfffff0000489c0048000000ffdf9c009cdfff0000004800bf7400000074bf00bfffff00000074009c480000ffffdf00bfffdf0048004800dfdfdf00010101010101010101010101010101010101010101010101010101010101010101010101010101010101010101010101010101010101010101010101010101010101010101010101060000000007010101010101010101010101010101010f0e010101010101010101010101010101010101060e010101010101010101010101010101010101060e0101010111000a0b01080900000e01010101060e010101010809121301010c0d121301011601060e010101010110110301010200030101010600000e0101010101010c150b010f040501010101010f0e01010101010101021214110e010101010101010101010101010101010600000301010101010101010101010101010101010f1213010101010101010101010101010101011011000e01010101010101010101010101010101020a0b0f0e010101010101010101010101010108090e01080907010101010101010101010101010c0d0701010c0d03010101010101010101010101060007010108090a0b01010101010101010101020000000301020000040501010101010101010101010101010101010101010101010101010101010101010101010101010101010101010101010101010101010101010101010101010101010101010101010101010101010101010101010101010101010101010101010101010101010101010101014c0000006400000000000000000000001200000018000000000000000000000013000000190000002900aa0000000000000000000000803f00000000000000000000803f0000000000000000000000000000000000000000000000000000000000000000220000000c000000ffffffff460000001c00000010000000454d462b024000000c000000000000000e000000140000000000000010000000140000000400000003010800050000000b0200000000050000000c0219001300030000001e000400000007010400040000000701040049010000410b2000cc00190013000000000019001300000000002800000013000000190000000100080000000000000000000000000000000000170000000000000000000000ffffff0074bfff00ffbf740074000000ffffbf00489cdf00df9c4800dfffff0000489c0048000000ffdf9c009cdfff0000004800bf7400000074bf00bfffff00000074009c480000ffffdf00bfffdf0048004800dfdfdf00010101010101010101010101010101010101010101010101010101010101010101010101010101010101010101010101010101010101010101010101010101010101010101010101060000000007010101010101010101010101010101010f0e010101010101010101010101010101010101060e010101010101010101010101010101010101060e0101010111000a0b01080900000e01010101060e010101010809121301010c0d121301011601060e010101010110110301010200030101010600000e0101010101010c150b010f040501010101010f0e01010101010101021214110e010101010101010101010101010101010600000301010101010101010101010101010101010f1213010101010101010101010101010101011011000e01010101010101010101010101010101020a0b0f0e010101010101010101010101010108090e01080907010101010101010101010101010c0d0701010c0d03010101010101010101010101060007010108090a0b01010101010101010101020000000301020000040501010101010101010101010101010101010101010101010101010101010101010101010101010101010101010101010101010101010101010101010101010101010101010101010101010101010101010101010101010101010101010101010101010101010101010101010c00000040092900aa000000000000001900130000000000040000002701ffff030000000000>, >010009000003ac04000000002e03000000002e03000026060f005206574d4643010000000000010020d60000000001000000300600000000000030060000010000006c000000000000000000000013000000180000000000000000000000f30100004902000020454d4600000100300600000c00000001000000000000000000000000000000000500000004000040010000f000000000000000000000000000000000e2040080a90300460000002c00000020000000454d462b014001001c000000100000000210c0db0100000060000000600000004600000004020000f8010000454d462b224004000c000000000000001e4009000c00000000000000244001000c000000000000003040020010000000040000000000803f214007000c000000000000000840000550010000440100000210c0db01000000000000000000000000000000000000000100000089504e470d0a1a0a0000000d4948445200000014000000190802000000be759984000000017352474200aece1ce9000000097048597300000ec400000ec401952b0e1b000000cd49444154384fd5945116842008457356d7826c37edc576d2521c04c5873a1ea7bff8a9c02bf0e0e4628cdb53fb3c0513f772f83a5cb1e3621daa273b06ea90da62f7b953783fef9f0e3d5a5eb6ea61bac2fce94347800360c99d8fa777a8627c05c231062fb9d3739e946fb33053c916c81ed6dcb3563566328be0cb89b16c2ab9f4fb67d9a02ef7dd345db4b01129dbaadbd2b9a472b04e90e0663906bb661709e03c9bba11aada606014c3cd69e63c9d10956fa55885533ddde6acc1983378bd64058639d91572effc7b7e016e082c3efc32988e0000000049454e44ae4260820840010824000000180000000210c0db01000000030000000000000000000000000000001b40000040000000340000000100000002000000000000bf000000bf0000a0410000c84103000000000080b3000080b3ffff9f41000080b3000080b3ffffc7412100000008000000620000000c00000001000000150000000c00000004000000150000000c0000000400000051000000c8020000000000000000000013000000180000000000000000000000000000000000000014000000190000005000000084000000d4000000f4010000000000002000cc0014000000190000002800000014000000190000000100080000000000000000000000000000000000170000000000000000000000ffffff0074bfff00ffbf740074000000ffffbf00489cdf00df9c4800dfffff0000489c0048000000ffdf9c009cdfff0000004800bf7400000074bf00bfffff00000074009c480000ffffdf00bfffdf0048004800480074000101010101010101010101010101010101010101010101010101010101010101010101010101010101010101010101010101010101010101010101010101010101010101010101101100000000030101010101010101010101010101020e01010203010101010101010101010101010101060e01010101010101010101010101010101010101020e0101010111000a0b01080900000e010101010106070101010809121301010c0d121301010101010c150b0101011011030101020003010110160b01020a0b010101010c150b010f0405010101101100000e010101010101021214110e010101010101010101010101010101010600000301010101010101010101010101010101010f1213010101010101010101010101010101011011000e01010101010101010101010101010101020a0b0f0e010101010101010101010101010108090e01080907010101010101010101010101010c0d0701010c0d03010101010101010101010101060007010108090a0b01010101010101010101020000000301020000040501010101010101010101010101010101010101010101010101010101010101010101010101010101010101010101010101010101010101010101010101010101010101010101010101010101010101010101010101010101010101010101010101010101010101010101014c0000006400000000000000000000001300000018000000000000000000000014000000190000002900aa0000000000000000000000803f00000000000000000000803f0000000000000000000000000000000000000000000000000000000000000000220000000c000000ffffffff460000001c00000010000000454d462b024000000c000000000000000e000000140000000000000010000000140000000400000003010800050000000b0200000000050000000c0219001400030000001e000400000007010400040000000701040049010000410b2000cc00190014000000000019001400000000002800000014000000190000000100080000000000000000000000000000000000170000000000000000000000ffffff0074bfff00ffbf740074000000ffffbf00489cdf00df9c4800dfffff0000489c0048000000ffdf9c009cdfff0000004800bf7400000074bf00bfffff00000074009c480000ffffdf00bfffdf0048004800480074000101010101010101010101010101010101010101010101010101010101010101010101010101010101010101010101010101010101010101010101010101010101010101010101101100000000030101010101010101010101010101020e01010203010101010101010101010101010101060e01010101010101010101010101010101010101020e0101010111000a0b01080900000e010101010106070101010809121301010c0d121301010101010c150b0101011011030101020003010110160b01020a0b010101010c150b010f0405010101101100000e010101010101021214110e010101010101010101010101010101010600000301010101010101010101010101010101010f1213010101010101010101010101010101011011000e01010101010101010101010101010101020a0b0f0e010101010101010101010101010108090e01080907010101010101010101010101010c0d0701010c0d03010101010101010101010101060007010108090a0b01010101010101010101020000000301020000040501010101010101010101010101010101010101010101010101010101010101010101010101010101010101010101010101010101010101010101010101010101010101010101010101010101010101010101010101010101010101010101010101010101010101010101010c00000040092900aa000000000000001900140000000000040000002701ffff030000000000>, >010009000003b204000000003203000000003203000026060f005a06574d464301000000000001004e960000000001000000380600000000000038060000010000006c000000000000000000000013000000180000000000000000000000f30100004902000020454d4600000100380600000c00000001000000000000000000000000000000000500000004000040010000f000000000000000000000000000000000e2040080a90300460000002c00000020000000454d462b014001001c000000100000000210c0db0100000060000000600000004600000008020000fc010000454d462b224004000c000000000000001e4009000c00000000000000244001000c000000000000003040020010000000040000000000803f214007000c000000000000000840000554010000480100000210c0db01000000000000000000000000000000000000000100000089504e470d0a1a0a0000000d4948445200000014000000190802000000be759984000000017352474200aece1ce9000000097048597300000ec400000ec401952b0e1b000000d049444154384fd5545116842008d43d5ddda76ed39ea56e5237611105c1b4e7fa173f193a0e30880700376a9f5160c0bd1c7cac9e6d3da80ed9931c95ea60b5a39ddb84dbd376361d7294172e7b089dc1f4bbec3784722870e44ec7c35a4551bf428301f6257287ef3329dd66c1840ad681bc8385fb2955d933ccb1e0ddc43a6c0c99f3fd336c555dcadb242d11d94648ccb6ba251ab1ac1acb11d3c69c8be6a8f49a6da42cbf4bdae48e50319682852ded2b746e2ac40d3004d6af47c87b26093ecef97bd5e6554f2bb5a4f2ef9c9e3feb88f3da3d8f7d2e0000000049454e44ae426082000840010824000000180000000210c0db01000000030000000000000000000000000000001b40000040000000340000000100000002000000000000bf000000bf0000a0410000c84103000000000080b3000080b3ffff9f41000080b3000080b3ffffc7412100000008000000620000000c00000001000000150000000c00000004000000150000000c0000000400000051000000cc020000000000000000000013000000180000000000000000000000000000000000000014000000190000005000000088000000d8000000f4010000000000002000cc0014000000190000002800000014000000190000000100080000000000000000000000000000000000180000000000000000000000ffffff0074bfff00ffbf740074000000ffffbf00489cdf00df9c4800dfffff0000489c0048000000ffdf9c009cdfff0000004800bf7400000074bf00bfffff00000074009c480000ffffdf00bfffdf004800480048489c00480074000101010101010101010101010101010101010101010101010101010101010101010101010101010101010101010101010101010101010101010101010101010101010101010101010600000007010101010101010101010101010110170b010c0d0301010101010101010101010101010101010c0d030101010101010101010101010101010f00000301010111000a0b01080900000e010101010809030101010809121301010c0d121301010101010c150b0101011011030101020003010108160b01020a0b010101010c150b010f04050101010600000007010101010101021214110e010101010101010101010101010101010600000301010101010101010101010101010101010f1213010101010101010101010101010101011011000e01010101010101010101010101010101020a0b0f0e010101010101010101010101010108090e01080907010101010101010101010101010c0d0701010c0d03010101010101010101010101060007010108090a0b01010101010101010101020000000301020000040501010101010101010101010101010101010101010101010101010101010101010101010101010101010101010101010101010101010101010101010101010101010101010101010101010101010101010101010101010101010101010101010101010101010101010101014c0000006400000000000000000000001300000018000000000000000000000014000000190000002900aa0000000000000000000000803f00000000000000000000803f0000000000000000000000000000000000000000000000000000000000000000220000000c000000ffffffff460000001c00000010000000454d462b024000000c000000000000000e000000140000000000000010000000140000000400000003010800050000000b0200000000050000000c0219001400030000001e00040000000701040004000000070104004b010000410b2000cc00190014000000000019001400000000002800000014000000190000000100080000000000000000000000000000000000180000000000000000000000ffffff0074bfff00ffbf740074000000ffffbf00489cdf00df9c4800dfffff0000489c0048000000ffdf9c009cdfff0000004800bf7400000074bf00bfffff00000074009c480000ffffdf00bfffdf004800480048489c00480074000101010101010101010101010101010101010101010101010101010101010101010101010101010101010101010101010101010101010101010101010101010101010101010101010600000007010101010101010101010101010110170b010c0d0301010101010101010101010101010101010c0d030101010101010101010101010101010f00000301010111000a0b01080900000e010101010809030101010809121301010c0d121301010101010c150b0101011011030101020003010108160b01020a0b010101010c150b010f04050101010600000007010101010101021214110e010101010101010101010101010101010600000301010101010101010101010101010101010f1213010101010101010101010101010101011011000e01010101010101010101010101010101020a0b0f0e010101010101010101010101010108090e01080907010101010101010101010101010c0d0701010c0d03010101010101010101010101060007010108090a0b01010101010101010101020000000301020000040501010101010101010101010101010101010101010101010101010101010101010101010101010101010101010101010101010101010101010101010101010101010101010101010101010101010101010101010101010101010101010101010101010101010101010101010c00000040092900aa000000000000001900140000000000040000002701ffff030000000000>, >010009000003be04000000003803000000003803000026060f006606574d4643010000000000010098d20000000001000000440600000000000044060000010000006c000000000000000000000013000000180000000000000000000000f30100004902000020454d4600000100440600000c00000001000000000000000000000000000000000500000004000040010000f000000000000000000000000000000000e2040080a90300460000002c00000020000000454d462b014001001c000000100000000210c0db0100000060000000600000004600000008020000fc010000454d462b224004000c000000000000001e4009000c00000000000000244001000c000000000000003040020010000000040000000000803f214007000c000000000000000840000554010000480100000210c0db01000000000000000000000000000000000000000100000089504e470d0a1a0a0000000d4948445200000014000000190802000000be759984000000017352474200aece1ce9000000097048597300000ec400000ec401952b0e1b000000d149444154384fd594ed0184200886f5a66b20dba65d6c1347313e4431b9cef35ffca9d0075e10f33967b76a9f5510b997c3e7eec5f693fad03cc5617407bacd968e0d96b7237d75d4adf2e29a87e806d3678803a11c0ae6dc653bbe2b1576080de71c03e7c6e773528ad6c344a14d90235c733f955ad7baccdcf0e9c45a3648967aff94adba4b755b450f87c7b2fbeeda34a0605d54806fc361cc1acf5f88b8534b72e56cda44d4ae29eda005a1019e3893820a9c8e502ec06d488c504a89dc2b99dbdfb08ab722bbbbb3fa14fd3bff9e17c1eb25a57c0771910000000049454e44ae4260820840010824000000180000000210c0db01000000030000000000000000000000000000001b40000040000000340000000100000002000000000000bf000000bf0000a0410000c84103000000000080b3000080b3ffff9f41000080b3000080b3ffffc7412100000008000000620000000c00000001000000150000000c00000004000000150000000c0000000400000051000000d8020000000000000000000013000000180000000000000000000000000000000000000014000000190000005000000094000000e4000000f4010000000000002000cc00140000001900000028000000140000001900000001000800000000000000000000000000000000001b0000000000000000000000ffffff0074bfff00ffbf740074000000ffffbf00489cdf00df9c4800dfffff0000489c0048000000ffdf9c009cdfff0000004800bf7400000074bf00bfffff00000074009c480000ffffdf00bfffdf004800480048489c0000484800dfbf7400740074009c749c0001010101010101010101010101010101010101010101010101010101010101010101010101010101010101010101010101010101010101010101010101010101010101010101010101010600040501010101010101010101010101010101080903010101010101010101010101010106000000000012130101010101010101010101011019050809181a130111000a0b01080900000e0101020e0809030101010809121301010c0d121301010106180903010101011011030101020003010101010816170301010101010c150b010f040501010101010c0d03010101010101021214110e010101010101010101010101010101010600000301010101010101010101010101010101010f1213010101010101010101010101010101011011000e01010101010101010101010101010101020a0b0f0e010101010101010101010101010108090e01080907010101010101010101010101010c0d0701010c0d03010101010101010101010101060007010108090a0b01010101010101010101020000000301020000040501010101010101010101010101010101010101010101010101010101010101010101010101010101010101010101010101010101010101010101010101010101010101010101010101010101010101010101010101010101010101010101010101010101010101010101014c0000006400000000000000000000001300000018000000000000000000000014000000190000002900aa0000000000000000000000803f00000000000000000000803f0000000000000000000000000000000000000000000000000000000000000000220000000c000000ffffffff460000001c00000010000000454d462b024000000c000000000000000e000000140000000000000010000000140000000400000003010800050000000b0200000000050000000c0219001400030000001e000400000007010400040000000701040051010000410b2000cc001900140000000000190014000000000028000000140000001900000001000800000000000000000000000000000000001b0000000000000000000000ffffff0074bfff00ffbf740074000000ffffbf00489cdf00df9c4800dfffff0000489c0048000000ffdf9c009cdfff0000004800bf7400000074bf00bfffff00000074009c480000ffffdf00bfffdf004800480048489c0000484800dfbf7400740074009c749c0001010101010101010101010101010101010101010101010101010101010101010101010101010101010101010101010101010101010101010101010101010101010101010101010101010600040501010101010101010101010101010101080903010101010101010101010101010106000000000012130101010101010101010101011019050809181a130111000a0b01080900000e0101020e0809030101010809121301010c0d121301010106180903010101011011030101020003010101010816170301010101010c150b010f040501010101010c0d03010101010101021214110e010101010101010101010101010101010600000301010101010101010101010101010101010f1213010101010101010101010101010101011011000e01010101010101010101010101010101020a0b0f0e010101010101010101010101010108090e01080907010101010101010101010101010c0d0701010c0d03010101010101010101010101060007010108090a0b01010101010101010101020000000301020000040501010101010101010101010101010101010101010101010101010101010101010101010101010101010101010101010101010101010101010101010101010101010101010101010101010101010101010101010101010101010101010101010101010101010101010101010c00000040092900aa000000000000001900140000000000040000002701ffff030000000000>) то для каждого класса дискриминантные функции имеют вид:
(26)
Определим теперь, к какому классу можно отнести каждое из четырех наблюдений, приведенных в табл.2:
Таблица 2- Исходные данные
-
Номер
наблюдения




1
1,07
93,5
5,30
5385
2
0,99
84,0
4,85
5225
3
0,70
76,8
3,50
5190
4
1,24
88,0
4,95
6280
Подставим соответствующие значения переменных >010009000003ae04000000003003000000003003000026060f005606574d46430100000000000100d66e0000000001000000340600000000000034060000010000006c000000000000000000000012000000180000000000000000000000da0100004902000020454d4600000100340600000c00000001000000000000000000000000000000000500000004000040010000f000000000000000000000000000000000e2040080a90300460000002c00000020000000454d462b014001001c000000100000000210c0db0100000060000000600000004600000008020000fc010000454d462b224004000c000000000000001e4009000c00000000000000244001000c000000000000003040020010000000040000000000803f214007000c000000000000000840000554010000480100000210c0db01000000000000000000000000000000000000000100000089504e470d0a1a0a0000000d49484452000000130000001908020000005ca982fd000000017352474200aece1ce9000000097048597300000ec400000ec401952b0e1b000000ce49444154384fd5534b1683200c849ece03e96d3c48777a0c77f42694247c86885559f85eb3d104869909c17aef4d57bcba5004fa4fe43ad914d3cade4b25167447426f25dc3c84b561768785bc957f4c49195a909c8e4bbd1d32400a6bdc4bffc0dfc023d2fb651456fafea0d36a292708c519acf6c92725d6437b79a1522bedbd4689bd0d74c9e31db5d04bf6da30aada266aebe20e9a5de08101a926a0354d8e068bf6811413afa15c7b21509235f2bcfd38c7c0f9c8cbfe6cefeaa15d510bd6092b2fc1d20476c5233e95b22fcd4499a6adcfb4c80000000049454e44ae4260820000000840010824000000180000000210c0db01000000030000000000000000000000000000001b40000040000000340000000100000002000000000000bf000000bf000098410000c84103000000000000b3000000b3ffff9741000000b3000000b3ffffc7412100000008000000620000000c00000001000000150000000c00000004000000150000000c0000000400000051000000c8020000000000000000000012000000180000000000000000000000000000000000000013000000190000005000000084000000d4000000f4010000000000002000cc0013000000190000002800000013000000190000000100080000000000000000000000000000000000170000000000000000000000ffffff0074bfff00ffbf740074000000ffffbf00489cdf00df9c4800dfffff0000489c0048000000ffdf9c009cdfff0000004800bf7400000074bf00bfffff00000074009c480000ffffdf00bfffdf0048004800dfdfdf00010101010101010101010101010101010101010101010101010101010101010101010101010101010101010101010101010101010101010101010101010101010101010101010101060000000007010101010101010101010101010101010f0e010101010101010101010101010101010101060e010101010101010101010101010101010101060e0101010111000a0b01080900000e01010101060e010101010809121301010c0d121301011601060e010101010110110301010200030101010600000e0101010101010c150b010f040501010101010f0e01010101010101021214110e010101010101010101010101010101010600000301010101010101010101010101010101010f1213010101010101010101010101010101011011000e01010101010101010101010101010101020a0b0f0e010101010101010101010101010108090e01080907010101010101010101010101010c0d0701010c0d03010101010101010101010101060007010108090a0b01010101010101010101020000000301020000040501010101010101010101010101010101010101010101010101010101010101010101010101010101010101010101010101010101010101010101010101010101010101010101010101010101010101010101010101010101010101010101010101010101010101010101014c0000006400000000000000000000001200000018000000000000000000000013000000190000002900aa0000000000000000000000803f00000000000000000000803f0000000000000000000000000000000000000000000000000000000000000000220000000c000000ffffffff460000001c00000010000000454d462b024000000c000000000000000e000000140000000000000010000000140000000400000003010800050000000b0200000000050000000c0219001300030000001e000400000007010400040000000701040049010000410b2000cc00190013000000000019001300000000002800000013000000190000000100080000000000000000000000000000000000170000000000000000000000ffffff0074bfff00ffbf740074000000ffffbf00489cdf00df9c4800dfffff0000489c0048000000ffdf9c009cdfff0000004800bf7400000074bf00bfffff00000074009c480000ffffdf00bfffdf0048004800dfdfdf00010101010101010101010101010101010101010101010101010101010101010101010101010101010101010101010101010101010101010101010101010101010101010101010101060000000007010101010101010101010101010101010f0e010101010101010101010101010101010101060e010101010101010101010101010101010101060e0101010111000a0b01080900000e01010101060e010101010809121301010c0d121301011601060e010101010110110301010200030101010600000e0101010101010c150b010f040501010101010f0e01010101010101021214110e010101010101010101010101010101010600000301010101010101010101010101010101010f1213010101010101010101010101010101011011000e01010101010101010101010101010101020a0b0f0e010101010101010101010101010108090e01080907010101010101010101010101010c0d0701010c0d03010101010101010101010101060007010108090a0b01010101010101010101020000000301020000040501010101010101010101010101010101010101010101010101010101010101010101010101010101010101010101010101010101010101010101010101010101010101010101010101010101010101010101010101010101010101010101010101010101010101010101010c00000040092900aa000000000000001900130000000000040000002701ffff030000000000>, >010009000003ac04000000002e03000000002e03000026060f005206574d4643010000000000010020d60000000001000000300600000000000030060000010000006c000000000000000000000013000000180000000000000000000000f30100004902000020454d4600000100300600000c00000001000000000000000000000000000000000500000004000040010000f000000000000000000000000000000000e2040080a90300460000002c00000020000000454d462b014001001c000000100000000210c0db0100000060000000600000004600000004020000f8010000454d462b224004000c000000000000001e4009000c00000000000000244001000c000000000000003040020010000000040000000000803f214007000c000000000000000840000550010000440100000210c0db01000000000000000000000000000000000000000100000089504e470d0a1a0a0000000d4948445200000014000000190802000000be759984000000017352474200aece1ce9000000097048597300000ec400000ec401952b0e1b000000cd49444154384fd5945116842008457356d7826c37edc576d2521c04c5873a1ea7bff8a9c02bf0e0e4628cdb53fb3c0513f772f83a5cb1e3621daa273b06ea90da62f7b953783fef9f0e3d5a5eb6ea61bac2fce94347800360c99d8fa777a8627c05c231062fb9d3739e946fb33053c916c81ed6dcb3563566328be0cb89b16c2ab9f4fb67d9a02ef7dd345db4b01129dbaadbd2b9a472b04e90e0663906bb661709e03c9bba11aada606014c3cd69e63c9d10956fa55885533ddde6acc1983378bd64058639d91572effc7b7e016e082c3efc32988e0000000049454e44ae4260820840010824000000180000000210c0db01000000030000000000000000000000000000001b40000040000000340000000100000002000000000000bf000000bf0000a0410000c84103000000000080b3000080b3ffff9f41000080b3000080b3ffffc7412100000008000000620000000c00000001000000150000000c00000004000000150000000c0000000400000051000000c8020000000000000000000013000000180000000000000000000000000000000000000014000000190000005000000084000000d4000000f4010000000000002000cc0014000000190000002800000014000000190000000100080000000000000000000000000000000000170000000000000000000000ffffff0074bfff00ffbf740074000000ffffbf00489cdf00df9c4800dfffff0000489c0048000000ffdf9c009cdfff0000004800bf7400000074bf00bfffff00000074009c480000ffffdf00bfffdf0048004800480074000101010101010101010101010101010101010101010101010101010101010101010101010101010101010101010101010101010101010101010101010101010101010101010101101100000000030101010101010101010101010101020e01010203010101010101010101010101010101060e01010101010101010101010101010101010101020e0101010111000a0b01080900000e010101010106070101010809121301010c0d121301010101010c150b0101011011030101020003010110160b01020a0b010101010c150b010f0405010101101100000e010101010101021214110e010101010101010101010101010101010600000301010101010101010101010101010101010f1213010101010101010101010101010101011011000e01010101010101010101010101010101020a0b0f0e010101010101010101010101010108090e01080907010101010101010101010101010c0d0701010c0d03010101010101010101010101060007010108090a0b01010101010101010101020000000301020000040501010101010101010101010101010101010101010101010101010101010101010101010101010101010101010101010101010101010101010101010101010101010101010101010101010101010101010101010101010101010101010101010101010101010101010101014c0000006400000000000000000000001300000018000000000000000000000014000000190000002900aa0000000000000000000000803f00000000000000000000803f0000000000000000000000000000000000000000000000000000000000000000220000000c000000ffffffff460000001c00000010000000454d462b024000000c000000000000000e000000140000000000000010000000140000000400000003010800050000000b0200000000050000000c0219001400030000001e000400000007010400040000000701040049010000410b2000cc00190014000000000019001400000000002800000014000000190000000100080000000000000000000000000000000000170000000000000000000000ffffff0074bfff00ffbf740074000000ffffbf00489cdf00df9c4800dfffff0000489c0048000000ffdf9c009cdfff0000004800bf7400000074bf00bfffff00000074009c480000ffffdf00bfffdf0048004800480074000101010101010101010101010101010101010101010101010101010101010101010101010101010101010101010101010101010101010101010101010101010101010101010101101100000000030101010101010101010101010101020e01010203010101010101010101010101010101060e01010101010101010101010101010101010101020e0101010111000a0b01080900000e010101010106070101010809121301010c0d121301010101010c150b0101011011030101020003010110160b01020a0b010101010c150b010f0405010101101100000e010101010101021214110e010101010101010101010101010101010600000301010101010101010101010101010101010f1213010101010101010101010101010101011011000e01010101010101010101010101010101020a0b0f0e010101010101010101010101010108090e01080907010101010101010101010101010c0d0701010c0d03010101010101010101010101060007010108090a0b01010101010101010101020000000301020000040501010101010101010101010101010101010101010101010101010101010101010101010101010101010101010101010101010101010101010101010101010101010101010101010101010101010101010101010101010101010101010101010101010101010101010101010c00000040092900aa000000000000001900140000000000040000002701ffff030000000000>, >010009000003b204000000003203000000003203000026060f005a06574d464301000000000001004e960000000001000000380600000000000038060000010000006c000000000000000000000013000000180000000000000000000000f30100004902000020454d4600000100380600000c00000001000000000000000000000000000000000500000004000040010000f000000000000000000000000000000000e2040080a90300460000002c00000020000000454d462b014001001c000000100000000210c0db0100000060000000600000004600000008020000fc010000454d462b224004000c000000000000001e4009000c00000000000000244001000c000000000000003040020010000000040000000000803f214007000c000000000000000840000554010000480100000210c0db01000000000000000000000000000000000000000100000089504e470d0a1a0a0000000d4948445200000014000000190802000000be759984000000017352474200aece1ce9000000097048597300000ec400000ec401952b0e1b000000d049444154384fd5545116842008d43d5ddda76ed39ea56e5237611105c1b4e7fa173f193a0e30880700376a9f5160c0bd1c7cac9e6d3da80ed9931c95ea60b5a39ddb84dbd376361d7294172e7b089dc1f4bbec3784722870e44ec7c35a4551bf428301f6257287ef3329dd66c1840ad681bc8385fb2955d933ccb1e0ddc43a6c0c99f3fd336c555dcadb242d11d94648ccb6ba251ab1ac1acb11d3c69c8be6a8f49a6da42cbf4bdae48e50319682852ded2b746e2ac40d3004d6af47c87b26093ecef97bd5e6554f2bb5a4f2ef9c9e3feb88f3da3d8f7d2e0000000049454e44ae426082000840010824000000180000000210c0db01000000030000000000000000000000000000001b40000040000000340000000100000002000000000000bf000000bf0000a0410000c84103000000000080b3000080b3ffff9f41000080b3000080b3ffffc7412100000008000000620000000c00000001000000150000000c00000004000000150000000c0000000400000051000000cc020000000000000000000013000000180000000000000000000000000000000000000014000000190000005000000088000000d8000000f4010000000000002000cc0014000000190000002800000014000000190000000100080000000000000000000000000000000000180000000000000000000000ffffff0074bfff00ffbf740074000000ffffbf00489cdf00df9c4800dfffff0000489c0048000000ffdf9c009cdfff0000004800bf7400000074bf00bfffff00000074009c480000ffffdf00bfffdf004800480048489c00480074000101010101010101010101010101010101010101010101010101010101010101010101010101010101010101010101010101010101010101010101010101010101010101010101010600000007010101010101010101010101010110170b010c0d0301010101010101010101010101010101010c0d030101010101010101010101010101010f00000301010111000a0b01080900000e010101010809030101010809121301010c0d121301010101010c150b0101011011030101020003010108160b01020a0b010101010c150b010f04050101010600000007010101010101021214110e010101010101010101010101010101010600000301010101010101010101010101010101010f1213010101010101010101010101010101011011000e01010101010101010101010101010101020a0b0f0e010101010101010101010101010108090e01080907010101010101010101010101010c0d0701010c0d03010101010101010101010101060007010108090a0b01010101010101010101020000000301020000040501010101010101010101010101010101010101010101010101010101010101010101010101010101010101010101010101010101010101010101010101010101010101010101010101010101010101010101010101010101010101010101010101010101010101010101014c0000006400000000000000000000001300000018000000000000000000000014000000190000002900aa0000000000000000000000803f00000000000000000000803f0000000000000000000000000000000000000000000000000000000000000000220000000c000000ffffffff460000001c00000010000000454d462b024000000c000000000000000e000000140000000000000010000000140000000400000003010800050000000b0200000000050000000c0219001400030000001e00040000000701040004000000070104004b010000410b2000cc00190014000000000019001400000000002800000014000000190000000100080000000000000000000000000000000000180000000000000000000000ffffff0074bfff00ffbf740074000000ffffbf00489cdf00df9c4800dfffff0000489c0048000000ffdf9c009cdfff0000004800bf7400000074bf00bfffff00000074009c480000ffffdf00bfffdf004800480048489c00480074000101010101010101010101010101010101010101010101010101010101010101010101010101010101010101010101010101010101010101010101010101010101010101010101010600000007010101010101010101010101010110170b010c0d0301010101010101010101010101010101010c0d030101010101010101010101010101010f00000301010111000a0b01080900000e010101010809030101010809121301010c0d121301010101010c150b0101011011030101020003010108160b01020a0b010101010c150b010f04050101010600000007010101010101021214110e010101010101010101010101010101010600000301010101010101010101010101010101010f1213010101010101010101010101010101011011000e01010101010101010101010101010101020a0b0f0e010101010101010101010101010108090e01080907010101010101010101010101010c0d0701010c0d03010101010101010101010101060007010108090a0b01010101010101010101020000000301020000040501010101010101010101010101010101010101010101010101010101010101010101010101010101010101010101010101010101010101010101010101010101010101010101010101010101010101010101010101010101010101010101010101010101010101010101010c00000040092900aa000000000000001900140000000000040000002701ffff030000000000>, >010009000003be04000000003803000000003803000026060f006606574d4643010000000000010098d20000000001000000440600000000000044060000010000006c000000000000000000000013000000180000000000000000000000f30100004902000020454d4600000100440600000c00000001000000000000000000000000000000000500000004000040010000f000000000000000000000000000000000e2040080a90300460000002c00000020000000454d462b014001001c000000100000000210c0db0100000060000000600000004600000008020000fc010000454d462b224004000c000000000000001e4009000c00000000000000244001000c000000000000003040020010000000040000000000803f214007000c000000000000000840000554010000480100000210c0db01000000000000000000000000000000000000000100000089504e470d0a1a0a0000000d4948445200000014000000190802000000be759984000000017352474200aece1ce9000000097048597300000ec400000ec401952b0e1b000000d149444154384fd594ed0184200886f5a66b20dba65d6c1347313e4431b9cef35ffca9d0075e10f33967b76a9f5510b997c3e7eec5f693fad03cc5617407bacd968e0d96b7237d75d4adf2e29a87e806d3678803a11c0ae6dc653bbe2b1576080de71c03e7c6e773528ad6c344a14d90235c733f955ad7baccdcf0e9c45a3648967aff94adba4b755b450f87c7b2fbeeda34a0605d54806fc361cc1acf5f88b8534b72e56cda44d4ae29eda005a1019e3893820a9c8e502ec06d488c504a89dc2b99dbdfb08ab722bbbbb3fa14fd3bff9e17c1eb25a57c0771910000000049454e44ae4260820840010824000000180000000210c0db01000000030000000000000000000000000000001b40000040000000340000000100000002000000000000bf000000bf0000a0410000c84103000000000080b3000080b3ffff9f41000080b3000080b3ffffc7412100000008000000620000000c00000001000000150000000c00000004000000150000000c0000000400000051000000d8020000000000000000000013000000180000000000000000000000000000000000000014000000190000005000000094000000e4000000f4010000000000002000cc00140000001900000028000000140000001900000001000800000000000000000000000000000000001b0000000000000000000000ffffff0074bfff00ffbf740074000000ffffbf00489cdf00df9c4800dfffff0000489c0048000000ffdf9c009cdfff0000004800bf7400000074bf00bfffff00000074009c480000ffffdf00bfffdf004800480048489c0000484800dfbf7400740074009c749c0001010101010101010101010101010101010101010101010101010101010101010101010101010101010101010101010101010101010101010101010101010101010101010101010101010600040501010101010101010101010101010101080903010101010101010101010101010106000000000012130101010101010101010101011019050809181a130111000a0b01080900000e0101020e0809030101010809121301010c0d121301010106180903010101011011030101020003010101010816170301010101010c150b010f040501010101010c0d03010101010101021214110e010101010101010101010101010101010600000301010101010101010101010101010101010f1213010101010101010101010101010101011011000e01010101010101010101010101010101020a0b0f0e010101010101010101010101010108090e01080907010101010101010101010101010c0d0701010c0d03010101010101010101010101060007010108090a0b01010101010101010101020000000301020000040501010101010101010101010101010101010101010101010101010101010101010101010101010101010101010101010101010101010101010101010101010101010101010101010101010101010101010101010101010101010101010101010101010101010101010101014c0000006400000000000000000000001300000018000000000000000000000014000000190000002900aa0000000000000000000000803f00000000000000000000803f0000000000000000000000000000000000000000000000000000000000000000220000000c000000ffffffff460000001c00000010000000454d462b024000000c000000000000000e000000140000000000000010000000140000000400000003010800050000000b0200000000050000000c0219001400030000001e000400000007010400040000000701040051010000410b2000cc001900140000000000190014000000000028000000140000001900000001000800000000000000000000000000000000001b0000000000000000000000ffffff0074bfff00ffbf740074000000ffffbf00489cdf00df9c4800dfffff0000489c0048000000ffdf9c009cdfff0000004800bf7400000074bf00bfffff00000074009c480000ffffdf00bfffdf004800480048489c0000484800dfbf7400740074009c749c0001010101010101010101010101010101010101010101010101010101010101010101010101010101010101010101010101010101010101010101010101010101010101010101010101010600040501010101010101010101010101010101080903010101010101010101010101010106000000000012130101010101010101010101011019050809181a130111000a0b01080900000e0101020e0809030101010809121301010c0d121301010106180903010101011011030101020003010101010816170301010101010c150b010f040501010101010c0d03010101010101021214110e010101010101010101010101010101010600000301010101010101010101010101010101010f1213010101010101010101010101010101011011000e01010101010101010101010101010101020a0b0f0e010101010101010101010101010108090e01080907010101010101010101010101010c0d0701010c0d03010101010101010101010101060007010108090a0b01010101010101010101020000000301020000040501010101010101010101010101010101010101010101010101010101010101010101010101010101010101010101010101010101010101010101010101010101010101010101010101010101010101010101010101010101010101010101010101010101010101010101010c00000040092900aa000000000000001900140000000000040000002701ffff030000000000> в выражение (26) и вычислим затем разности:
>0100090000035004000000000603000000000603000026060f000206574d46430100000000000100e4120000000001000000e005000000000000e0050000010000006c00000000000000000000000e000000180000000000000000000000760100004902000020454d4600000100e00500000c00000001000000000000000000000000000000000500000004000040010000f000000000000000000000000000000000e2040080a90300460000002c00000020000000454d462b014001001c000000100000000210c0db010000006000000060000000460000001c02000010020000454d462b224004000c000000000000001e4009000c00000000000000244001000c000000000000003040020010000000040000000000803f214007000c0000000000000008400005680100005c0100000210c0db01000000000000000000000000000000000000000100000089504e470d0a1a0a0000000d494844520000000f000000190802000000613be39b000000017352474200aece1ce9000000097048597300000ec400000ec401952b0e1b000000e249444154384f63fcffff3f03d18089689520857456fd60ae27231478ce7d80e25274971c2865544cd1d90ff4fbfffd250c3aca0aa8fe0289c3015001034309582d56c0408ae2ff30d560539180c79cfb584c47369b903bfeff47f2e583bb57808ef676c0135fc8aa6fec60f0d0400b0454ad08d507b6f6306006190ed56077a01a0d0c7bc6d20328eaa13ebf3fc703a8181610601e18a0063ecc250f808e467287f374a029083d30f3a1aad1dca1a080ddb310d50ff6ae0186478833de0081a76f903b8850cc008a4bb0fbb0a42550dca20a3380d3077aaa40f31f5c9a7188e66200f9aa26df2e2ace9f0000000049454e44ae4260820000000840010824000000180000000210c0db01000000030000000000000000000000000000001b40000040000000340000000100000002000000000000bf000000bf000070410000c84103000000000000b3000000b3ffff6f41000000b3000000b3ffffc7412100000008000000620000000c00000001000000150000000c00000004000000150000000c00000004000000510000006002000000000000000000000e00000018000000000000000000000000000000000000000f000000190000005000000080000000d000000090010000000000002000cc000f00000019000000280000000f000000190000000100080000000000000000000000000000000000160000000000000000000000ffffff00489cdf0048000000ffdf9c000074bf0074000000ffffbf00bfffff007400740074bfff00ffbf740000007400bf7400009cdfff0000004800dfffff0000489c009c480000ffffdf00df9c4800dfdfdf00010101010101010101010101010101010101010101010101010101010101010101010101010101010101010101010101010101010101010101010101010101010c030401010101020000000014010101010206070101010101050d010101010101080c140101010101020d0101010101011011121301010101020d0101010101010102030401010101020d010101010101010a000b01011501020d010101010101010e0f1401010200000d0101010101010110111213010101050d0101010101010101050607010101010101010101010101010a0304010101010101010101010101010e0f0b01010101010101010101010101080c0d0101010101010101010101010a0000000003040101010101010101010101050607010101010101010101010101010a000b0101010101010101010101010101050607080907010101010101010101010102000003040101010101010101010101010101010101010101010101010101010101010101010101010101010101010101010101010101010101010101010101010101010101010101014c0000006400000000000000000000000e0000001800000000000000000000000f000000190000002900aa0000000000000000000000803f00000000000000000000803f0000000000000000000000000000000000000000000000000000000000000000220000000c000000ffffffff460000001c00000010000000454d462b024000000c000000000000000e000000140000000000000010000000140000000400000003010800050000000b0200000000050000000c0219000f00030000001e000400000007010400040000000701040015010000410b2000cc0019000f000000000019000f0000000000280000000f000000190000000100080000000000000000000000000000000000160000000000000000000000ffffff00489cdf0048000000ffdf9c000074bf0074000000ffffbf00bfffff007400740074bfff00ffbf740000007400bf7400009cdfff0000004800dfffff0000489c009c480000ffffdf00df9c4800dfdfdf00010101010101010101010101010101010101010101010101010101010101010101010101010101010101010101010101010101010101010101010101010101010c030401010101020000000014010101010206070101010101050d010101010101080c140101010101020d0101010101011011121301010101020d0101010101010102030401010101020d010101010101010a000b01011501020d010101010101010e0f1401010200000d0101010101010110111213010101050d0101010101010101050607010101010101010101010101010a0304010101010101010101010101010e0f0b01010101010101010101010101080c0d0101010101010101010101010a0000000003040101010101010101010101050607010101010101010101010101010a000b0101010101010101010101010101050607080907010101010101010101010102000003040101010101010101010101010101010101010101010101010101010101010101010101010101010101010101010101010101010101010101010101010101010101010101010c00000040092900aa0000000000000019000f0000000000040000002701ffff030000000000
>->0100090000035c04000000001003000000001003000026060f001606574d4643010000000000010063750000000001000000f405000000000000f4050000010000006c00000000000000000000000f0000001800000000000000000000008f0100004902000020454d4600000100f40500000c00000001000000000000000000000000000000000500000004000040010000f000000000000000000000000000000000e2040080a90300460000002c00000020000000454d462b014001001c000000100000000210c0db010000006000000060000000460000002c02000020020000454d462b224004000c000000000000001e4009000c00000000000000244001000c000000000000003040020010000000040000000000803f214007000c0000000000000008400005780100006c0100000210c0db01000000000000000000000000000000000000000100000089504e470d0a1a0a0000000d4948445200000010000000190802000000b79e39fe000000017352474200aece1ce9000000097048597300000ec400000ec401952b0e1b000000f349444154384fdd543b12823010dd78121c1b0a0e4109e331f408700aed6de006b68e360e1cc2c2c62137593721099b008e54ceb8552679efeddbcf4420222c89d512b0c2fe8420eb5c98c86b195a0e2db5a558ef93865a814d01c9261ad5a89e5c1006a0d0f0b9808578b404adcd22abbae91c3cc317861059d1f2f5a002b6e9e75172c2f306593c6e8b2f3010dacb1126fb3843d0868604340f1b65eb514c2fba2a23bc690d55cf8eeeaca1d692a4029ca1f480d75d5f4c1493100f43080c3984bc9fa13a19727fabf37886bc4d19ed494f50230b66ab34a6b64a11b4beff480aeea229f81be81d0ad4c3c5e204f1079fc01bb59987c95f23bb220000000049454e44ae42608200000840010824000000180000000210c0db01000000030000000000000000000000000000001b40000040000000340000000100000002000000000000bf000000bf000080410000c84103000000000000b3000000b3ffff7f41000000b3000000b3ffffc7412100000008000000620000000c00000001000000150000000c00000004000000150000000c00000004000000510000006402000000000000000000000f000000180000000000000000000000000000000000000010000000190000005000000084000000d400000090010000000000002000cc0010000000190000002800000010000000190000000100080000000000000000000000000000000000170000000000000000000000ffffff00489cdf0048000000ffdf9c000074bf0074000000ffffbf00bfffff007400740074bfff00ffbf740000007400bf7400009cdfff0000004800dfffff0000489c009c480000ffffdf00df9c48004800740048004800010101010101010101010101010101010101010101010101010101010101010101010101010101010101010101010101010101010101010101010101010101010c0304010101080c000000000b010101010206070101010a0d01010a0b01010101080c1401010101020d0101010101010110111213010101010a0d01010101010101020304010101010102140101010101010a000b01010101010e160401010101010e0f1401081504010a030401010101011011121301080c00000d01010101010101050607010101010101010101010101010a0304010101010101010101010101010e0f0b01010101010101010101010101080c0d0101010101010101010101010a0000000003040101010101010101010101050607010101010101010101010101010a000b0101010101010101010101010101050607080907010101010101010101010102000003040101010101010101010101010101010101010101010101010101010101010101010101010101010101010101010101010101010101010101010101010101010101010101014c0000006400000000000000000000000f00000018000000000000000000000010000000190000002900aa0000000000000000000000803f00000000000000000000803f0000000000000000000000000000000000000000000000000000000000000000220000000c000000ffffffff460000001c00000010000000454d462b024000000c000000000000000e000000140000000000000010000000140000000400000003010800050000000b0200000000050000000c0219001000030000001e000400000007010400040000000701040017010000410b2000cc00190010000000000019001000000000002800000010000000190000000100080000000000000000000000000000000000170000000000000000000000ffffff00489cdf0048000000ffdf9c000074bf0074000000ffffbf00bfffff007400740074bfff00ffbf740000007400bf7400009cdfff0000004800dfffff0000489c009c480000ffffdf00df9c48004800740048004800010101010101010101010101010101010101010101010101010101010101010101010101010101010101010101010101010101010101010101010101010101010c0304010101080c000000000b010101010206070101010a0d01010a0b01010101080c1401010101020d0101010101010110111213010101010a0d01010101010101020304010101010102140101010101010a000b01010101010e160401010101010e0f1401081504010a030401010101011011121301080c00000d01010101010101050607010101010101010101010101010a0304010101010101010101010101010e0f0b01010101010101010101010101080c0d0101010101010101010101010a0000000003040101010101010101010101050607010101010101010101010101010a000b0101010101010101010101010101050607080907010101010101010101010102000003040101010101010101010101010101010101010101010101010101010101010101010101010101010101010101010101010101010101010101010101010101010101010101010c00000040092900aa000000000000001900100000000000040000002701ffff030000000000>=-20792,082+31856,41=11064,328>0100090000033803000000005e02000000005e02000026060f00b204574d46430100000000000100f98f0000000001000000900400000000000090040000010000006c00000000000000000000000d0000001800000000000000000000005d0100004902000020454d4600000100900400000c00000001000000000000000000000000000000000500000004000040010000f000000000000000000000000000000000e2040080a90300460000002c00000020000000454d462b014001001c000000100000000210c0db01000000600000006000000046000000ac010000a0010000454d462b224004000c000000000000001e4009000c00000000000000244001000c000000000000003040020010000000040000000000803f214007000c0000000000000008400005f8000000ec0000000210c0db01000000000000000000000000000000000000000100000089504e470d0a1a0a0000000d494844520000000e0000001908020000008ef988a5000000017352474200aece1ce9000000097048597300000ec400000ec401952b0e1b0000007449444154384f63fcffff3f0371808938652055c358e9815246cfb90f080705305c81e0fe1c0fb0d292fd103e36c08022b8bf046236561da84aa1fab0ebc0aa14d551303bf028855a01f286c79cfbc0a482db1b30afe2359518b712130250cbc06ec217ae40b3f0aa81ea651ccd058453344c05002937695973b8b4490000000049454e44ae426082000840010824000000180000000210c0db01000000030000000000000000000000000000001b40000040000000340000000100000002000000000000bf000000bf000060410000c84103000000000000b3000000b3ffff5f41000000b3000000b3ffffc7412100000008000000620000000c00000001000000150000000c00000004000000150000000c00000004000000510000008001000000000000000000000d00000018000000000000000000000000000000000000000e000000190000005000000068000000b8000000c8000000000000002000cc000e00000019000000280000000e000000190000000100040000000000000000000000000000000000100000000000000000000000ffffff000074bf00df9c4800489cdf0074000000ffffbf0074bfff00ffbf7400bfffff0000007400bf740000dfffff0000489c009c480000ffffdf00111111111111110111111111111111011111111111111101111111111111110111111111111111011111111111111101111111111111110112311111111111011140ef111111110111117008111111011111119a0b11110111111111cd056101111111111114ef0111111111cd0561011111119a0b11110111117008111111011140561111111101123111111111110111111111111111081111111111111101111111111111110a11111111111111011111111111111101111111111111110111111111111111014c0000006400000000000000000000000d0000001800000000000000000000000e000000190000002900aa0000000000000000000000803f00000000000000000000803f0000000000000000000000000000000000000000000000000000000000000000220000000c000000ffffffff460000001c00000010000000454d462b024000000c000000000000000e000000140000000000000010000000140000000400000003010800050000000b0200000000050000000c0219000e00030000001e0004000000070104000400000007010400a5000000410b2000cc0019000e000000000019000e0000000000280000000e000000190000000100040000000000000000000000000000000000100000000000000000000000ffffff000074bf00df9c4800489cdf0074000000ffffbf0074bfff00ffbf7400bfffff0000007400bf740000dfffff0000489c009c480000ffffdf00111111111111110111111111111111011111111111111101111111111111110111111111111111011111111111111101111111111111110112311111111111011140ef111111110111117008111111011111119a0b11110111111111cd056101111111111114ef0111111111cd0561011111119a0b11110111117008111111011140561111111101123111111111110111111111111111081111111111111101111111111111110a11111111111111011111111111111101111111111111110111111111111111010c00000040092900aa0000000000000019000e0000000000040000002701ffff030000000000>0,
>0100090000035004000000000603000000000603000026060f000206574d46430100000000000100e4120000000001000000e005000000000000e0050000010000006c00000000000000000000000e000000180000000000000000000000760100004902000020454d4600000100e00500000c00000001000000000000000000000000000000000500000004000040010000f000000000000000000000000000000000e2040080a90300460000002c00000020000000454d462b014001001c000000100000000210c0db010000006000000060000000460000001c02000010020000454d462b224004000c000000000000001e4009000c00000000000000244001000c000000000000003040020010000000040000000000803f214007000c0000000000000008400005680100005c0100000210c0db01000000000000000000000000000000000000000100000089504e470d0a1a0a0000000d494844520000000f000000190802000000613be39b000000017352474200aece1ce9000000097048597300000ec400000ec401952b0e1b000000e249444154384f63fcffff3f03d18089689520857456fd60ae27231478ce7d80e25274971c2865544cd1d90ff4fbfffd250c3aca0aa8fe0289c3015001034309582d56c0408ae2ff30d560539180c79cfb584c47369b903bfeff47f2e583bb57808ef676c0135fc8aa6fec60f0d0400b0454ad08d507b6f6306006190ed56077a01a0d0c7bc6d20328eaa13ebf3fc703a8181610601e18a0063ecc250f808e467287f374a029083d30f3a1aad1dca1a080ddb310d50ff6ae0186478833de0081a76f903b8850cc008a4bb0fbb0a42550dca20a3380d3077aaa40f31f5c9a7188e66200f9aa26df2e2ace9f0000000049454e44ae4260820000000840010824000000180000000210c0db01000000030000000000000000000000000000001b40000040000000340000000100000002000000000000bf000000bf000070410000c84103000000000000b3000000b3ffff6f41000000b3000000b3ffffc7412100000008000000620000000c00000001000000150000000c00000004000000150000000c00000004000000510000006002000000000000000000000e00000018000000000000000000000000000000000000000f000000190000005000000080000000d000000090010000000000002000cc000f00000019000000280000000f000000190000000100080000000000000000000000000000000000160000000000000000000000ffffff00489cdf0048000000ffdf9c000074bf0074000000ffffbf00bfffff007400740074bfff00ffbf740000007400bf7400009cdfff0000004800dfffff0000489c009c480000ffffdf00df9c4800dfdfdf00010101010101010101010101010101010101010101010101010101010101010101010101010101010101010101010101010101010101010101010101010101010c030401010101020000000014010101010206070101010101050d010101010101080c140101010101020d0101010101011011121301010101020d0101010101010102030401010101020d010101010101010a000b01011501020d010101010101010e0f1401010200000d0101010101010110111213010101050d0101010101010101050607010101010101010101010101010a0304010101010101010101010101010e0f0b01010101010101010101010101080c0d0101010101010101010101010a0000000003040101010101010101010101050607010101010101010101010101010a000b0101010101010101010101010101050607080907010101010101010101010102000003040101010101010101010101010101010101010101010101010101010101010101010101010101010101010101010101010101010101010101010101010101010101010101014c0000006400000000000000000000000e0000001800000000000000000000000f000000190000002900aa0000000000000000000000803f00000000000000000000803f0000000000000000000000000000000000000000000000000000000000000000220000000c000000ffffffff460000001c00000010000000454d462b024000000c000000000000000e000000140000000000000010000000140000000400000003010800050000000b0200000000050000000c0219000f00030000001e000400000007010400040000000701040015010000410b2000cc0019000f000000000019000f0000000000280000000f000000190000000100080000000000000000000000000000000000160000000000000000000000ffffff00489cdf0048000000ffdf9c000074bf0074000000ffffbf00bfffff007400740074bfff00ffbf740000007400bf7400009cdfff0000004800dfffff0000489c009c480000ffffdf00df9c4800dfdfdf00010101010101010101010101010101010101010101010101010101010101010101010101010101010101010101010101010101010101010101010101010101010c030401010101020000000014010101010206070101010101050d010101010101080c140101010101020d0101010101011011121301010101020d0101010101010102030401010101020d010101010101010a000b01011501020d010101010101010e0f1401010200000d0101010101010110111213010101050d0101010101010101050607010101010101010101010101010a0304010101010101010101010101010e0f0b01010101010101010101010101080c0d0101010101010101010101010a0000000003040101010101010101010101050607010101010101010101010101010a000b0101010101010101010101010101050607080907010101010101010101010102000003040101010101010101010101010101010101010101010101010101010101010101010101010101010101010101010101010101010101010101010101010101010101010101010c00000040092900aa0000000000000019000f0000000000040000002701ffff030000000000
>->0100090000035804000000000a03000000000a03000026060f000a06574d4643010000000000010049480000000001000000e805000000000000e8050000010000006c00000000000000000000000f0000001800000000000000000000008f0100004902000020454d4600000100e80500000c00000001000000000000000000000000000000000500000004000040010000f000000000000000000000000000000000e2040080a90300460000002c00000020000000454d462b014001001c000000100000000210c0db010000006000000060000000460000001c02000010020000454d462b224004000c000000000000001e4009000c00000000000000244001000c000000000000003040020010000000040000000000803f214007000c0000000000000008400005680100005c0100000210c0db01000000000000000000000000000000000000000100000089504e470d0a1a0a0000000d4948445200000010000000190802000000b79e39fe000000017352474200aece1ce9000000097048597300000ec400000ec401952b0e1b000000e349444154384f63fcffff3f0329808914c520b503a2e1c15c4f4628f09cfb00ddc9e84e3a50caa898a2b31f1814fff79730e8282b60f81124050740350c0c2560e5b8000389eaffc33480cd46021e73ee63b703d906221cf4ff3f92a71fdcbd02f480b703fea844d670630783870666b0a01a80d070606b0f03d670c4a101ec2098054871c7881e79d0b0b83fc703a81e1a34400e8c090a0894104309562c510632089b06140b10110012463305620316f5f098c4aa01c3a5704bc04621eb0105eb83b99d3d0c25e5c9f0280026592c091b1abce034849e72c0e642019a1ce330280400868aa888cf0c08d00000000049454e44ae42608200000840010824000000180000000210c0db01000000030000000000000000000000000000001b40000040000000340000000100000002000000000000bf000000bf000080410000c84103000000000000b3000000b3ffff7f41000000b3000000b3ffffc7412100000008000000620000000c00000001000000150000000c00000004000000150000000c00000004000000510000006802000000000000000000000f000000180000000000000000000000000000000000000010000000190000005000000088000000d800000090010000000000002000cc0010000000190000002800000010000000190000000100080000000000000000000000000000000000180000000000000000000000ffffff00489cdf0048000000ffdf9c000074bf0074000000ffffbf00bfffff007400740074bfff00ffbf740000007400bf7400009cdfff0000004800dfffff0000489c009c480000ffffdf00df9c480048489c004800480048007400010101010101010101010101010101010101010101010101010101010101010101010101010101010101010101010101010101010101010101010101010101010c030401010101020000001401010101010206070101081704010e0f0b01010101080c140101010101010e0f0b01010101101112130101010500000b0101010101010203040101010110110b0101010101010a000b01010101010e160401010101010e0f1401101504010a030401010101011011121301020000001401010101010101050607010101010101010101010101010a0304010101010101010101010101010e0f0b01010101010101010101010101080c0d0101010101010101010101010a0000000003040101010101010101010101050607010101010101010101010101010a000b0101010101010101010101010101050607080907010101010101010101010102000003040101010101010101010101010101010101010101010101010101010101010101010101010101010101010101010101010101010101010101010101010101010101010101014c0000006400000000000000000000000f00000018000000000000000000000010000000190000002900aa0000000000000000000000803f00000000000000000000803f0000000000000000000000000000000000000000000000000000000000000000220000000c000000ffffffff460000001c00000010000000454d462b024000000c000000000000000e000000140000000000000010000000140000000400000003010800050000000b0200000000050000000c0219001000030000001e000400000007010400040000000701040019010000410b2000cc00190010000000000019001000000000002800000010000000190000000100080000000000000000000000000000000000180000000000000000000000ffffff00489cdf0048000000ffdf9c000074bf0074000000ffffbf00bfffff007400740074bfff00ffbf740000007400bf7400009cdfff0000004800dfffff0000489c009c480000ffffdf00df9c480048489c004800480048007400010101010101010101010101010101010101010101010101010101010101010101010101010101010101010101010101010101010101010101010101010101010c030401010101020000001401010101010206070101081704010e0f0b01010101080c140101010101010e0f0b01010101101112130101010500000b0101010101010203040101010110110b0101010101010a000b01010101010e160401010101010e0f1401101504010a030401010101011011121301020000001401010101010101050607010101010101010101010101010a0304010101010101010101010101010e0f0b01010101010101010101010101080c0d0101010101010101010101010a0000000003040101010101010101010101050607010101010101010101010101010a000b0101010101010101010101010101050607080907010101010101010101010102000003040101010101010101010101010101010101010101010101010101010101010101010101010101010101010101010101010101010101010101010101010101010101010101010c00000040092900aa000000000000001900100000000000040000002701ffff030000000000>=-20792,082+40016,428=19224,346>0100090000033803000000005e02000000005e02000026060f00b204574d46430100000000000100f98f0000000001000000900400000000000090040000010000006c00000000000000000000000d0000001800000000000000000000005d0100004902000020454d4600000100900400000c00000001000000000000000000000000000000000500000004000040010000f000000000000000000000000000000000e2040080a90300460000002c00000020000000454d462b014001001c000000100000000210c0db01000000600000006000000046000000ac010000a0010000454d462b224004000c000000000000001e4009000c00000000000000244001000c000000000000003040020010000000040000000000803f214007000c0000000000000008400005f8000000ec0000000210c0db01000000000000000000000000000000000000000100000089504e470d0a1a0a0000000d494844520000000e0000001908020000008ef988a5000000017352474200aece1ce9000000097048597300000ec400000ec401952b0e1b0000007449444154384f63fcffff3f0371808938652055c358e9815246cfb90f080705305c81e0fe1c0fb0d292fd103e36c08022b8bf046236561da84aa1fab0ebc0aa14d551303bf028855a01f286c79cfbc0a482db1b30afe2359518b712130250cbc06ec217ae40b3f0aa81ea651ccd058453344c05002937695973b8b4490000000049454e44ae426082000840010824000000180000000210c0db01000000030000000000000000000000000000001b40000040000000340000000100000002000000000000bf000000bf000060410000c84103000000000000b3000000b3ffff5f41000000b3000000b3ffffc7412100000008000000620000000c00000001000000150000000c00000004000000150000000c00000004000000510000008001000000000000000000000d00000018000000000000000000000000000000000000000e000000190000005000000068000000b8000000c8000000000000002000cc000e00000019000000280000000e000000190000000100040000000000000000000000000000000000100000000000000000000000ffffff000074bf00df9c4800489cdf0074000000ffffbf0074bfff00ffbf7400bfffff0000007400bf740000dfffff0000489c009c480000ffffdf00111111111111110111111111111111011111111111111101111111111111110111111111111111011111111111111101111111111111110112311111111111011140ef111111110111117008111111011111119a0b11110111111111cd056101111111111114ef0111111111cd0561011111119a0b11110111117008111111011140561111111101123111111111110111111111111111081111111111111101111111111111110a11111111111111011111111111111101111111111111110111111111111111014c0000006400000000000000000000000d0000001800000000000000000000000e000000190000002900aa0000000000000000000000803f00000000000000000000803f0000000000000000000000000000000000000000000000000000000000000000220000000c000000ffffffff460000001c00000010000000454d462b024000000c000000000000000e000000140000000000000010000000140000000400000003010800050000000b0200000000050000000c0219000e00030000001e0004000000070104000400000007010400a5000000410b2000cc0019000e000000000019000e0000000000280000000e000000190000000100040000000000000000000000000000000000100000000000000000000000ffffff000074bf00df9c4800489cdf0074000000ffffbf0074bfff00ffbf7400bfffff0000007400bf740000dfffff0000489c009c480000ffffdf00111111111111110111111111111111011111111111111101111111111111110111111111111111011111111111111101111111111111110112311111111111011140ef111111110111117008111111011111119a0b11110111111111cd056101111111111114ef0111111111cd0561011111119a0b11110111117008111111011140561111111101123111111111110111111111111111081111111111111101111111111111110a11111111111111011111111111111101111111111111110111111111111111010c00000040092900aa0000000000000019000e0000000000040000002701ffff030000000000>0.
Следовательно, наблюдение 1 в табл.2 относится к первому классу. Аналогичные расчеты показывают, что и остальные три наблюдения следует отнести тоже к первому классу.
Чтобы показать влияние числа дискриминантных переменных на результаты классификации, изменим условие последнего примера. Будем использовать для расчета дискриминантных функций только три переменные: >010009000003ae04000000003003000000003003000026060f005606574d46430100000000000100d66e0000000001000000340600000000000034060000010000006c000000000000000000000012000000180000000000000000000000da0100004902000020454d4600000100340600000c00000001000000000000000000000000000000000500000004000040010000f000000000000000000000000000000000e2040080a90300460000002c00000020000000454d462b014001001c000000100000000210c0db0100000060000000600000004600000008020000fc010000454d462b224004000c000000000000001e4009000c00000000000000244001000c000000000000003040020010000000040000000000803f214007000c000000000000000840000554010000480100000210c0db01000000000000000000000000000000000000000100000089504e470d0a1a0a0000000d49484452000000130000001908020000005ca982fd000000017352474200aece1ce9000000097048597300000ec400000ec401952b0e1b000000ce49444154384fd5534b1683200c849ece03e96d3c48777a0c77f42694247c86885559f85eb3d104869909c17aef4d57bcba5004fa4fe43ad914d3cade4b25167447426f25dc3c84b561768785bc957f4c49195a909c8e4bbd1d32400a6bdc4bffc0dfc023d2fb651456fafea0d36a292708c519acf6c92725d6437b79a1522bedbd4689bd0d74c9e31db5d04bf6da30aada266aebe20e9a5de08101a926a0354d8e068bf6811413afa15c7b21509235f2bcfd38c7c0f9c8cbfe6cefeaa15d510bd6092b2fc1d20476c5233e95b22fcd4499a6adcfb4c80000000049454e44ae4260820000000840010824000000180000000210c0db01000000030000000000000000000000000000001b40000040000000340000000100000002000000000000bf000000bf000098410000c84103000000000000b3000000b3ffff9741000000b3000000b3ffffc7412100000008000000620000000c00000001000000150000000c00000004000000150000000c0000000400000051000000c8020000000000000000000012000000180000000000000000000000000000000000000013000000190000005000000084000000d4000000f4010000000000002000cc0013000000190000002800000013000000190000000100080000000000000000000000000000000000170000000000000000000000ffffff0074bfff00ffbf740074000000ffffbf00489cdf00df9c4800dfffff0000489c0048000000ffdf9c009cdfff0000004800bf7400000074bf00bfffff00000074009c480000ffffdf00bfffdf0048004800dfdfdf00010101010101010101010101010101010101010101010101010101010101010101010101010101010101010101010101010101010101010101010101010101010101010101010101060000000007010101010101010101010101010101010f0e010101010101010101010101010101010101060e010101010101010101010101010101010101060e0101010111000a0b01080900000e01010101060e010101010809121301010c0d121301011601060e010101010110110301010200030101010600000e0101010101010c150b010f040501010101010f0e01010101010101021214110e010101010101010101010101010101010600000301010101010101010101010101010101010f1213010101010101010101010101010101011011000e01010101010101010101010101010101020a0b0f0e010101010101010101010101010108090e01080907010101010101010101010101010c0d0701010c0d03010101010101010101010101060007010108090a0b01010101010101010101020000000301020000040501010101010101010101010101010101010101010101010101010101010101010101010101010101010101010101010101010101010101010101010101010101010101010101010101010101010101010101010101010101010101010101010101010101010101010101014c0000006400000000000000000000001200000018000000000000000000000013000000190000002900aa0000000000000000000000803f00000000000000000000803f0000000000000000000000000000000000000000000000000000000000000000220000000c000000ffffffff460000001c00000010000000454d462b024000000c000000000000000e000000140000000000000010000000140000000400000003010800050000000b0200000000050000000c0219001300030000001e000400000007010400040000000701040049010000410b2000cc00190013000000000019001300000000002800000013000000190000000100080000000000000000000000000000000000170000000000000000000000ffffff0074bfff00ffbf740074000000ffffbf00489cdf00df9c4800dfffff0000489c0048000000ffdf9c009cdfff0000004800bf7400000074bf00bfffff00000074009c480000ffffdf00bfffdf0048004800dfdfdf00010101010101010101010101010101010101010101010101010101010101010101010101010101010101010101010101010101010101010101010101010101010101010101010101060000000007010101010101010101010101010101010f0e010101010101010101010101010101010101060e010101010101010101010101010101010101060e0101010111000a0b01080900000e01010101060e010101010809121301010c0d121301011601060e010101010110110301010200030101010600000e0101010101010c150b010f040501010101010f0e01010101010101021214110e010101010101010101010101010101010600000301010101010101010101010101010101010f1213010101010101010101010101010101011011000e01010101010101010101010101010101020a0b0f0e010101010101010101010101010108090e01080907010101010101010101010101010c0d0701010c0d03010101010101010101010101060007010108090a0b01010101010101010101020000000301020000040501010101010101010101010101010101010101010101010101010101010101010101010101010101010101010101010101010101010101010101010101010101010101010101010101010101010101010101010101010101010101010101010101010101010101010101010c00000040092900aa000000000000001900130000000000040000002701ffff030000000000>, >010009000003ac04000000002e03000000002e03000026060f005206574d4643010000000000010020d60000000001000000300600000000000030060000010000006c000000000000000000000013000000180000000000000000000000f30100004902000020454d4600000100300600000c00000001000000000000000000000000000000000500000004000040010000f000000000000000000000000000000000e2040080a90300460000002c00000020000000454d462b014001001c000000100000000210c0db0100000060000000600000004600000004020000f8010000454d462b224004000c000000000000001e4009000c00000000000000244001000c000000000000003040020010000000040000000000803f214007000c000000000000000840000550010000440100000210c0db01000000000000000000000000000000000000000100000089504e470d0a1a0a0000000d4948445200000014000000190802000000be759984000000017352474200aece1ce9000000097048597300000ec400000ec401952b0e1b000000cd49444154384fd5945116842008457356d7826c37edc576d2521c04c5873a1ea7bff8a9c02bf0e0e4628cdb53fb3c0513f772f83a5cb1e3621daa273b06ea90da62f7b953783fef9f0e3d5a5eb6ea61bac2fce94347800360c99d8fa777a8627c05c231062fb9d3739e946fb33053c916c81ed6dcb3563566328be0cb89b16c2ab9f4fb67d9a02ef7dd345db4b01129dbaadbd2b9a472b04e90e0663906bb661709e03c9bba11aada606014c3cd69e63c9d10956fa55885533ddde6acc1983378bd64058639d91572effc7b7e016e082c3efc32988e0000000049454e44ae4260820840010824000000180000000210c0db01000000030000000000000000000000000000001b40000040000000340000000100000002000000000000bf000000bf0000a0410000c84103000000000080b3000080b3ffff9f41000080b3000080b3ffffc7412100000008000000620000000c00000001000000150000000c00000004000000150000000c0000000400000051000000c8020000000000000000000013000000180000000000000000000000000000000000000014000000190000005000000084000000d4000000f4010000000000002000cc0014000000190000002800000014000000190000000100080000000000000000000000000000000000170000000000000000000000ffffff0074bfff00ffbf740074000000ffffbf00489cdf00df9c4800dfffff0000489c0048000000ffdf9c009cdfff0000004800bf7400000074bf00bfffff00000074009c480000ffffdf00bfffdf0048004800480074000101010101010101010101010101010101010101010101010101010101010101010101010101010101010101010101010101010101010101010101010101010101010101010101101100000000030101010101010101010101010101020e01010203010101010101010101010101010101060e01010101010101010101010101010101010101020e0101010111000a0b01080900000e010101010106070101010809121301010c0d121301010101010c150b0101011011030101020003010110160b01020a0b010101010c150b010f0405010101101100000e010101010101021214110e010101010101010101010101010101010600000301010101010101010101010101010101010f1213010101010101010101010101010101011011000e01010101010101010101010101010101020a0b0f0e010101010101010101010101010108090e01080907010101010101010101010101010c0d0701010c0d03010101010101010101010101060007010108090a0b01010101010101010101020000000301020000040501010101010101010101010101010101010101010101010101010101010101010101010101010101010101010101010101010101010101010101010101010101010101010101010101010101010101010101010101010101010101010101010101010101010101010101014c0000006400000000000000000000001300000018000000000000000000000014000000190000002900aa0000000000000000000000803f00000000000000000000803f0000000000000000000000000000000000000000000000000000000000000000220000000c000000ffffffff460000001c00000010000000454d462b024000000c000000000000000e000000140000000000000010000000140000000400000003010800050000000b0200000000050000000c0219001400030000001e000400000007010400040000000701040049010000410b2000cc00190014000000000019001400000000002800000014000000190000000100080000000000000000000000000000000000170000000000000000000000ffffff0074bfff00ffbf740074000000ffffbf00489cdf00df9c4800dfffff0000489c0048000000ffdf9c009cdfff0000004800bf7400000074bf00bfffff00000074009c480000ffffdf00bfffdf0048004800480074000101010101010101010101010101010101010101010101010101010101010101010101010101010101010101010101010101010101010101010101010101010101010101010101101100000000030101010101010101010101010101020e01010203010101010101010101010101010101060e01010101010101010101010101010101010101020e0101010111000a0b01080900000e010101010106070101010809121301010c0d121301010101010c150b0101011011030101020003010110160b01020a0b010101010c150b010f0405010101101100000e010101010101021214110e010101010101010101010101010101010600000301010101010101010101010101010101010f1213010101010101010101010101010101011011000e01010101010101010101010101010101020a0b0f0e010101010101010101010101010108090e01080907010101010101010101010101010c0d0701010c0d03010101010101010101010101060007010108090a0b01010101010101010101020000000301020000040501010101010101010101010101010101010101010101010101010101010101010101010101010101010101010101010101010101010101010101010101010101010101010101010101010101010101010101010101010101010101010101010101010101010101010101010c00000040092900aa000000000000001900140000000000040000002701ffff030000000000>, >010009000003b204000000003203000000003203000026060f005a06574d464301000000000001004e960000000001000000380600000000000038060000010000006c000000000000000000000013000000180000000000000000000000f30100004902000020454d4600000100380600000c00000001000000000000000000000000000000000500000004000040010000f000000000000000000000000000000000e2040080a90300460000002c00000020000000454d462b014001001c000000100000000210c0db0100000060000000600000004600000008020000fc010000454d462b224004000c000000000000001e4009000c00000000000000244001000c000000000000003040020010000000040000000000803f214007000c000000000000000840000554010000480100000210c0db01000000000000000000000000000000000000000100000089504e470d0a1a0a0000000d4948445200000014000000190802000000be759984000000017352474200aece1ce9000000097048597300000ec400000ec401952b0e1b000000d049444154384fd5545116842008d43d5ddda76ed39ea56e5237611105c1b4e7fa173f193a0e30880700376a9f5160c0bd1c7cac9e6d3da80ed9931c95ea60b5a39ddb84dbd376361d7294172e7b089dc1f4bbec3784722870e44ec7c35a4551bf428301f6257287ef3329dd66c1840ad681bc8385fb2955d933ccb1e0ddc43a6c0c99f3fd336c555dcadb242d11d94648ccb6ba251ab1ac1acb11d3c69c8be6a8f49a6da42cbf4bdae48e50319682852ded2b746e2ac40d3004d6af47c87b26093ecef97bd5e6554f2bb5a4f2ef9c9e3feb88f3da3d8f7d2e0000000049454e44ae426082000840010824000000180000000210c0db01000000030000000000000000000000000000001b40000040000000340000000100000002000000000000bf000000bf0000a0410000c84103000000000080b3000080b3ffff9f41000080b3000080b3ffffc7412100000008000000620000000c00000001000000150000000c00000004000000150000000c0000000400000051000000cc020000000000000000000013000000180000000000000000000000000000000000000014000000190000005000000088000000d8000000f4010000000000002000cc0014000000190000002800000014000000190000000100080000000000000000000000000000000000180000000000000000000000ffffff0074bfff00ffbf740074000000ffffbf00489cdf00df9c4800dfffff0000489c0048000000ffdf9c009cdfff0000004800bf7400000074bf00bfffff00000074009c480000ffffdf00bfffdf004800480048489c00480074000101010101010101010101010101010101010101010101010101010101010101010101010101010101010101010101010101010101010101010101010101010101010101010101010600000007010101010101010101010101010110170b010c0d0301010101010101010101010101010101010c0d030101010101010101010101010101010f00000301010111000a0b01080900000e010101010809030101010809121301010c0d121301010101010c150b0101011011030101020003010108160b01020a0b010101010c150b010f04050101010600000007010101010101021214110e010101010101010101010101010101010600000301010101010101010101010101010101010f1213010101010101010101010101010101011011000e01010101010101010101010101010101020a0b0f0e010101010101010101010101010108090e01080907010101010101010101010101010c0d0701010c0d03010101010101010101010101060007010108090a0b01010101010101010101020000000301020000040501010101010101010101010101010101010101010101010101010101010101010101010101010101010101010101010101010101010101010101010101010101010101010101010101010101010101010101010101010101010101010101010101010101010101010101014c0000006400000000000000000000001300000018000000000000000000000014000000190000002900aa0000000000000000000000803f00000000000000000000803f0000000000000000000000000000000000000000000000000000000000000000220000000c000000ffffffff460000001c00000010000000454d462b024000000c000000000000000e000000140000000000000010000000140000000400000003010800050000000b0200000000050000000c0219001400030000001e00040000000701040004000000070104004b010000410b2000cc00190014000000000019001400000000002800000014000000190000000100080000000000000000000000000000000000180000000000000000000000ffffff0074bfff00ffbf740074000000ffffbf00489cdf00df9c4800dfffff0000489c0048000000ffdf9c009cdfff0000004800bf7400000074bf00bfffff00000074009c480000ffffdf00bfffdf004800480048489c00480074000101010101010101010101010101010101010101010101010101010101010101010101010101010101010101010101010101010101010101010101010101010101010101010101010600000007010101010101010101010101010110170b010c0d0301010101010101010101010101010101010c0d030101010101010101010101010101010f00000301010111000a0b01080900000e010101010809030101010809121301010c0d121301010101010c150b0101011011030101020003010108160b01020a0b010101010c150b010f04050101010600000007010101010101021214110e010101010101010101010101010101010600000301010101010101010101010101010101010f1213010101010101010101010101010101011011000e01010101010101010101010101010101020a0b0f0e010101010101010101010101010108090e01080907010101010101010101010101010c0d0701010c0d03010101010101010101010101060007010108090a0b01010101010101010101020000000301020000040501010101010101010101010101010101010101010101010101010101010101010101010101010101010101010101010101010101010101010101010101010101010101010101010101010101010101010101010101010101010101010101010101010101010101010101010c00000040092900aa000000000000001900140000000000040000002701ffff030000000000>. В этом случае выражения для дискриминантныx функций будут иметь вид:
(27)
Подставив в эти выражения значения исходных переменных для классифицируемых объектов, нетрудно убедиться, что все они попадают в третий класс, так как
>0100090000035004000000000603000000000603000026060f000206574d46430100000000000100e4120000000001000000e005000000000000e0050000010000006c00000000000000000000000e000000180000000000000000000000760100004902000020454d4600000100e00500000c00000001000000000000000000000000000000000500000004000040010000f000000000000000000000000000000000e2040080a90300460000002c00000020000000454d462b014001001c000000100000000210c0db010000006000000060000000460000001c02000010020000454d462b224004000c000000000000001e4009000c00000000000000244001000c000000000000003040020010000000040000000000803f214007000c0000000000000008400005680100005c0100000210c0db01000000000000000000000000000000000000000100000089504e470d0a1a0a0000000d494844520000000f000000190802000000613be39b000000017352474200aece1ce9000000097048597300000ec400000ec401952b0e1b000000e249444154384f63fcffff3f03d18089689520857456fd60ae27231478ce7d80e25274971c2865544cd1d90ff4fbfffd250c3aca0aa8fe0289c3015001034309582d56c0408ae2ff30d560539180c79cfb584c47369b903bfeff47f2e583bb57808ef676c0135fc8aa6fec60f0d0400b0454ad08d507b6f6306006190ed56077a01a0d0c7bc6d20328eaa13ebf3fc703a8181610601e18a0063ecc250f808e467287f374a029083d30f3a1aad1dca1a080ddb310d50ff6ae0186478833de0081a76f903b8850cc008a4bb0fbb0a42550dca20a3380d3077aaa40f31f5c9a7188e66200f9aa26df2e2ace9f0000000049454e44ae4260820000000840010824000000180000000210c0db01000000030000000000000000000000000000001b40000040000000340000000100000002000000000000bf000000bf000070410000c84103000000000000b3000000b3ffff6f41000000b3000000b3ffffc7412100000008000000620000000c00000001000000150000000c00000004000000150000000c00000004000000510000006002000000000000000000000e00000018000000000000000000000000000000000000000f000000190000005000000080000000d000000090010000000000002000cc000f00000019000000280000000f000000190000000100080000000000000000000000000000000000160000000000000000000000ffffff00489cdf0048000000ffdf9c000074bf0074000000ffffbf00bfffff007400740074bfff00ffbf740000007400bf7400009cdfff0000004800dfffff0000489c009c480000ffffdf00df9c4800dfdfdf00010101010101010101010101010101010101010101010101010101010101010101010101010101010101010101010101010101010101010101010101010101010c030401010101020000000014010101010206070101010101050d010101010101080c140101010101020d0101010101011011121301010101020d0101010101010102030401010101020d010101010101010a000b01011501020d010101010101010e0f1401010200000d0101010101010110111213010101050d0101010101010101050607010101010101010101010101010a0304010101010101010101010101010e0f0b01010101010101010101010101080c0d0101010101010101010101010a0000000003040101010101010101010101050607010101010101010101010101010a000b0101010101010101010101010101050607080907010101010101010101010102000003040101010101010101010101010101010101010101010101010101010101010101010101010101010101010101010101010101010101010101010101010101010101010101014c0000006400000000000000000000000e0000001800000000000000000000000f000000190000002900aa0000000000000000000000803f00000000000000000000803f0000000000000000000000000000000000000000000000000000000000000000220000000c000000ffffffff460000001c00000010000000454d462b024000000c000000000000000e000000140000000000000010000000140000000400000003010800050000000b0200000000050000000c0219000f00030000001e000400000007010400040000000701040015010000410b2000cc0019000f000000000019000f0000000000280000000f000000190000000100080000000000000000000000000000000000160000000000000000000000ffffff00489cdf0048000000ffdf9c000074bf0074000000ffffbf00bfffff007400740074bfff00ffbf740000007400bf7400009cdfff0000004800dfffff0000489c009c480000ffffdf00df9c4800dfdfdf00010101010101010101010101010101010101010101010101010101010101010101010101010101010101010101010101010101010101010101010101010101010c030401010101020000000014010101010206070101010101050d010101010101080c140101010101020d0101010101011011121301010101020d0101010101010102030401010101020d010101010101010a000b01011501020d010101010101010e0f1401010200000d0101010101010110111213010101050d0101010101010101050607010101010101010101010101010a0304010101010101010101010101010e0f0b01010101010101010101010101080c0d0101010101010101010101010a0000000003040101010101010101010101050607010101010101010101010101010a000b0101010101010101010101010101050607080907010101010101010101010102000003040101010101010101010101010101010101010101010101010101010101010101010101010101010101010101010101010101010101010101010101010101010101010101010c00000040092900aa0000000000000019000f0000000000040000002701ffff030000000000
>->0100090000035c04000000001003000000001003000026060f001606574d4643010000000000010063750000000001000000f405000000000000f4050000010000006c00000000000000000000000f0000001800000000000000000000008f0100004902000020454d4600000100f40500000c00000001000000000000000000000000000000000500000004000040010000f000000000000000000000000000000000e2040080a90300460000002c00000020000000454d462b014001001c000000100000000210c0db010000006000000060000000460000002c02000020020000454d462b224004000c000000000000001e4009000c00000000000000244001000c000000000000003040020010000000040000000000803f214007000c0000000000000008400005780100006c0100000210c0db01000000000000000000000000000000000000000100000089504e470d0a1a0a0000000d4948445200000010000000190802000000b79e39fe000000017352474200aece1ce9000000097048597300000ec400000ec401952b0e1b000000f349444154384fdd543b12823010dd78121c1b0a0e4109e331f408700aed6de006b68e360e1cc2c2c62137593721099b008e54ceb8552679efeddbcf4420222c89d512b0c2fe8420eb5c98c86b195a0e2db5a558ef93865a814d01c9261ad5a89e5c1006a0d0f0b9808578b404adcd22abbae91c3cc317861059d1f2f5a002b6e9e75172c2f306593c6e8b2f3010dacb1126fb3843d0868604340f1b65eb514c2fba2a23bc690d55cf8eeeaca1d692a4029ca1f480d75d5f4c1493100f43080c3984bc9fa13a19727fabf37886bc4d19ed494f50230b66ab34a6b64a11b4beff480aeea229f81be81d0ad4c3c5e204f1079fc01bb59987c95f23bb220000000049454e44ae42608200000840010824000000180000000210c0db01000000030000000000000000000000000000001b40000040000000340000000100000002000000000000bf000000bf000080410000c84103000000000000b3000000b3ffff7f41000000b3000000b3ffffc7412100000008000000620000000c00000001000000150000000c00000004000000150000000c00000004000000510000006402000000000000000000000f000000180000000000000000000000000000000000000010000000190000005000000084000000d400000090010000000000002000cc0010000000190000002800000010000000190000000100080000000000000000000000000000000000170000000000000000000000ffffff00489cdf0048000000ffdf9c000074bf0074000000ffffbf00bfffff007400740074bfff00ffbf740000007400bf7400009cdfff0000004800dfffff0000489c009c480000ffffdf00df9c48004800740048004800010101010101010101010101010101010101010101010101010101010101010101010101010101010101010101010101010101010101010101010101010101010c0304010101080c000000000b010101010206070101010a0d01010a0b01010101080c1401010101020d0101010101010110111213010101010a0d01010101010101020304010101010102140101010101010a000b01010101010e160401010101010e0f1401081504010a030401010101011011121301080c00000d01010101010101050607010101010101010101010101010a0304010101010101010101010101010e0f0b01010101010101010101010101080c0d0101010101010101010101010a0000000003040101010101010101010101050607010101010101010101010101010a000b0101010101010101010101010101050607080907010101010101010101010102000003040101010101010101010101010101010101010101010101010101010101010101010101010101010101010101010101010101010101010101010101010101010101010101014c0000006400000000000000000000000f00000018000000000000000000000010000000190000002900aa0000000000000000000000803f00000000000000000000803f0000000000000000000000000000000000000000000000000000000000000000220000000c000000ffffffff460000001c00000010000000454d462b024000000c000000000000000e000000140000000000000010000000140000000400000003010800050000000b0200000000050000000c0219001000030000001e000400000007010400040000000701040017010000410b2000cc00190010000000000019001000000000002800000010000000190000000100080000000000000000000000000000000000170000000000000000000000ffffff00489cdf0048000000ffdf9c000074bf0074000000ffffbf00bfffff007400740074bfff00ffbf740000007400bf7400009cdfff0000004800dfffff0000489c009c480000ffffdf00df9c48004800740048004800010101010101010101010101010101010101010101010101010101010101010101010101010101010101010101010101010101010101010101010101010101010c0304010101080c000000000b010101010206070101010a0d01010a0b01010101080c1401010101020d0101010101010110111213010101010a0d01010101010101020304010101010102140101010101010a000b01010101010e160401010101010e0f1401081504010a030401010101011011121301080c00000d01010101010101050607010101010101010101010101010a0304010101010101010101010101010e0f0b01010101010101010101010101080c0d0101010101010101010101010a0000000003040101010101010101010101050607010101010101010101010101010a000b0101010101010101010101010101050607080907010101010101010101010102000003040101010101010101010101010101010101010101010101010101010101010101010101010101010101010101010101010101010101010101010101010101010101010101010c00000040092900aa000000000000001900100000000000040000002701ffff030000000000>=-26,87>0100090000033603000000005c02000000005c02000026060f00ae04574d46430100000000000100c11f00000000010000008c040000000000008c040000010000006c00000000000000000000000d0000001800000000000000000000005d0100004902000020454d46000001008c0400000c00000001000000000000000000000000000000000500000004000040010000f000000000000000000000000000000000e2040080a90300460000002c00000020000000454d462b014001001c000000100000000210c0db01000000600000006000000046000000a80100009c010000454d462b224004000c000000000000001e4009000c00000000000000244001000c000000000000003040020010000000040000000000803f214007000c0000000000000008400005f4000000e80000000210c0db01000000000000000000000000000000000000000100000089504e470d0a1a0a0000000d494844520000000e0000001908020000008ef988a5000000017352474200aece1ce9000000097048597300000ec400000ec401952b0e1b0000007049444154384f63fcffff3f03718089386520552357e9815246cfb90f8041000c575c607f0938244bf6431460550a55e331e73eb229284aefcff180c408cc2014fb204af1ab816a002905d987661936e793682adc0862dc8a661f1121805d07de7045d502b403ec69c6d15c407ce60600ca5c6959b1427f100000000049454e44ae426082000840010824000000180000000210c0db01000000030000000000000000000000000000001b40000040000000340000000100000002000000000000bf000000bf000060410000c84103000000000000b3000000b3ffff5f41000000b3000000b3ffffc7412100000008000000620000000c00000001000000150000000c00000004000000150000000c00000004000000510000008001000000000000000000000d00000018000000000000000000000000000000000000000e000000190000005000000068000000b8000000c8000000000000002000cc000e00000019000000280000000e000000190000000100040000000000000000000000000000000000100000000000000000000000ffffff0074bfff009c480000ffffdf000074bf00bf740000bfffff0000007400df9c4800489cdf00ffbf7400dfffff0000489c0074000000ffffbf0011111111111111011111111111111101111111111111110111111111111111011111111111111101111111111111110111111111111111011111111111123401111111111506110111111178091111011111a00b111111011cd0ef111111110115341111111111011cd0ef11111111011111a00b1111110111111178091111011111111115061101111111111112340111111111111111081111111111111101111111111111110b11111111111111011111111111111101111111111111110111111111111111014c0000006400000000000000000000000d0000001800000000000000000000000e000000190000002900aa0000000000000000000000803f00000000000000000000803f0000000000000000000000000000000000000000000000000000000000000000220000000c000000ffffffff460000001c00000010000000454d462b024000000c000000000000000e000000140000000000000010000000140000000400000003010800050000000b0200000000050000000c0219000e00030000001e0004000000070104000400000007010400a5000000410b2000cc0019000e000000000019000e0000000000280000000e000000190000000100040000000000000000000000000000000000100000000000000000000000ffffff0074bfff009c480000ffffdf000074bf00bf740000bfffff0000007400df9c4800489cdf00ffbf7400dfffff0000489c0074000000ffffbf0011111111111111011111111111111101111111111111110111111111111111011111111111111101111111111111110111111111111111011111111111123401111111111506110111111178091111011111a00b111111011cd0ef111111110115341111111111011cd0ef11111111011111a00b1111110111111178091111011111111115061101111111111112340111111111111111081111111111111101111111111111110b11111111111111011111111111111101111111111111110111111111111111010c00000040092900aa0000000000000019000e0000000000040000002701ffff030000000000>0,
>0100090000035004000000000603000000000603000026060f000206574d46430100000000000100e4120000000001000000e005000000000000e0050000010000006c00000000000000000000000e000000180000000000000000000000760100004902000020454d4600000100e00500000c00000001000000000000000000000000000000000500000004000040010000f000000000000000000000000000000000e2040080a90300460000002c00000020000000454d462b014001001c000000100000000210c0db010000006000000060000000460000001c02000010020000454d462b224004000c000000000000001e4009000c00000000000000244001000c000000000000003040020010000000040000000000803f214007000c0000000000000008400005680100005c0100000210c0db01000000000000000000000000000000000000000100000089504e470d0a1a0a0000000d494844520000000f000000190802000000613be39b000000017352474200aece1ce9000000097048597300000ec400000ec401952b0e1b000000e249444154384f63fcffff3f03d18089689520857456fd60ae27231478ce7d80e25274971c2865544cd1d90ff4fbfffd250c3aca0aa8fe0289c3015001034309582d56c0408ae2ff30d560539180c79cfb584c47369b903bfeff47f2e583bb57808ef676c0135fc8aa6fec60f0d0400b0454ad08d507b6f6306006190ed56077a01a0d0c7bc6d20328eaa13ebf3fc703a8181610601e18a0063ecc250f808e467287f374a029083d30f3a1aad1dca1a080ddb310d50ff6ae0186478833de0081a76f903b8850cc008a4bb0fbb0a42550dca20a3380d3077aaa40f31f5c9a7188e66200f9aa26df2e2ace9f0000000049454e44ae4260820000000840010824000000180000000210c0db01000000030000000000000000000000000000001b40000040000000340000000100000002000000000000bf000000bf000070410000c84103000000000000b3000000b3ffff6f41000000b3000000b3ffffc7412100000008000000620000000c00000001000000150000000c00000004000000150000000c00000004000000510000006002000000000000000000000e00000018000000000000000000000000000000000000000f000000190000005000000080000000d000000090010000000000002000cc000f00000019000000280000000f000000190000000100080000000000000000000000000000000000160000000000000000000000ffffff00489cdf0048000000ffdf9c000074bf0074000000ffffbf00bfffff007400740074bfff00ffbf740000007400bf7400009cdfff0000004800dfffff0000489c009c480000ffffdf00df9c4800dfdfdf00010101010101010101010101010101010101010101010101010101010101010101010101010101010101010101010101010101010101010101010101010101010c030401010101020000000014010101010206070101010101050d010101010101080c140101010101020d0101010101011011121301010101020d0101010101010102030401010101020d010101010101010a000b01011501020d010101010101010e0f1401010200000d0101010101010110111213010101050d0101010101010101050607010101010101010101010101010a0304010101010101010101010101010e0f0b01010101010101010101010101080c0d0101010101010101010101010a0000000003040101010101010101010101050607010101010101010101010101010a000b0101010101010101010101010101050607080907010101010101010101010102000003040101010101010101010101010101010101010101010101010101010101010101010101010101010101010101010101010101010101010101010101010101010101010101014c0000006400000000000000000000000e0000001800000000000000000000000f000000190000002900aa0000000000000000000000803f00000000000000000000803f0000000000000000000000000000000000000000000000000000000000000000220000000c000000ffffffff460000001c00000010000000454d462b024000000c000000000000000e000000140000000000000010000000140000000400000003010800050000000b0200000000050000000c0219000f00030000001e000400000007010400040000000701040015010000410b2000cc0019000f000000000019000f0000000000280000000f000000190000000100080000000000000000000000000000000000160000000000000000000000ffffff00489cdf0048000000ffdf9c000074bf0074000000ffffbf00bfffff007400740074bfff00ffbf740000007400bf7400009cdfff0000004800dfffff0000489c009c480000ffffdf00df9c4800dfdfdf00010101010101010101010101010101010101010101010101010101010101010101010101010101010101010101010101010101010101010101010101010101010c030401010101020000000014010101010206070101010101050d010101010101080c140101010101020d0101010101011011121301010101020d0101010101010102030401010101020d010101010101010a000b01011501020d010101010101010e0f1401010200000d0101010101010110111213010101050d0101010101010101050607010101010101010101010101010a0304010101010101010101010101010e0f0b01010101010101010101010101080c0d0101010101010101010101010a0000000003040101010101010101010101050607010101010101010101010101010a000b0101010101010101010101010101050607080907010101010101010101010102000003040101010101010101010101010101010101010101010101010101010101010101010101010101010101010101010101010101010101010101010101010101010101010101010c00000040092900aa0000000000000019000f0000000000040000002701ffff030000000000
>->0100090000035804000000000a03000000000a03000026060f000a06574d4643010000000000010049480000000001000000e805000000000000e8050000010000006c00000000000000000000000f0000001800000000000000000000008f0100004902000020454d4600000100e80500000c00000001000000000000000000000000000000000500000004000040010000f000000000000000000000000000000000e2040080a90300460000002c00000020000000454d462b014001001c000000100000000210c0db010000006000000060000000460000001c02000010020000454d462b224004000c000000000000001e4009000c00000000000000244001000c000000000000003040020010000000040000000000803f214007000c0000000000000008400005680100005c0100000210c0db01000000000000000000000000000000000000000100000089504e470d0a1a0a0000000d4948445200000010000000190802000000b79e39fe000000017352474200aece1ce9000000097048597300000ec400000ec401952b0e1b000000e349444154384f63fcffff3f0329808914c520b503a2e1c15c4f4628f09cfb00ddc9e84e3a50caa898a2b31f1814fff79730e8282b60f81124050740350c0c2560e5b8000389eaffc33480cd46021e73ee63b703d906221cf4ff3f92a71fdcbd02f480b703fea844d670630783870666b0a01a80d070606b0f03d670c4a101ec2098054871c7881e79d0b0b83fc703a81e1a34400e8c090a0894104309562c510632089b06140b10110012463305620316f5f098c4aa01c3a5704bc04621eb0105eb83b99d3d0c25e5c9f0280026592c091b1abce034849e72c0e642019a1ce330280400868aa888cf0c08d00000000049454e44ae42608200000840010824000000180000000210c0db01000000030000000000000000000000000000001b40000040000000340000000100000002000000000000bf000000bf000080410000c84103000000000000b3000000b3ffff7f41000000b3000000b3ffffc7412100000008000000620000000c00000001000000150000000c00000004000000150000000c00000004000000510000006802000000000000000000000f000000180000000000000000000000000000000000000010000000190000005000000088000000d800000090010000000000002000cc0010000000190000002800000010000000190000000100080000000000000000000000000000000000180000000000000000000000ffffff00489cdf0048000000ffdf9c000074bf0074000000ffffbf00bfffff007400740074bfff00ffbf740000007400bf7400009cdfff0000004800dfffff0000489c009c480000ffffdf00df9c480048489c004800480048007400010101010101010101010101010101010101010101010101010101010101010101010101010101010101010101010101010101010101010101010101010101010c030401010101020000001401010101010206070101081704010e0f0b01010101080c140101010101010e0f0b01010101101112130101010500000b0101010101010203040101010110110b0101010101010a000b01010101010e160401010101010e0f1401101504010a030401010101011011121301020000001401010101010101050607010101010101010101010101010a0304010101010101010101010101010e0f0b01010101010101010101010101080c0d0101010101010101010101010a0000000003040101010101010101010101050607010101010101010101010101010a000b0101010101010101010101010101050607080907010101010101010101010102000003040101010101010101010101010101010101010101010101010101010101010101010101010101010101010101010101010101010101010101010101010101010101010101014c0000006400000000000000000000000f00000018000000000000000000000010000000190000002900aa0000000000000000000000803f00000000000000000000803f0000000000000000000000000000000000000000000000000000000000000000220000000c000000ffffffff460000001c00000010000000454d462b024000000c000000000000000e000000140000000000000010000000140000000400000003010800050000000b0200000000050000000c0219001000030000001e000400000007010400040000000701040019010000410b2000cc00190010000000000019001000000000002800000010000000190000000100080000000000000000000000000000000000180000000000000000000000ffffff00489cdf0048000000ffdf9c000074bf0074000000ffffbf00bfffff007400740074bfff00ffbf740000007400bf7400009cdfff0000004800dfffff0000489c009c480000ffffdf00df9c480048489c004800480048007400010101010101010101010101010101010101010101010101010101010101010101010101010101010101010101010101010101010101010101010101010101010c030401010101020000001401010101010206070101081704010e0f0b01010101080c140101010101010e0f0b01010101101112130101010500000b0101010101010203040101010110110b0101010101010a000b01010101010e160401010101010e0f1401101504010a030401010101011011121301020000001401010101010101050607010101010101010101010101010a0304010101010101010101010101010e0f0b01010101010101010101010101080c0d0101010101010101010101010a0000000003040101010101010101010101050607010101010101010101010101010a000b0101010101010101010101010101050607080907010101010101010101010102000003040101010101010101010101010101010101010101010101010101010101010101010101010101010101010101010101010101010101010101010101010101010101010101010c00000040092900aa000000000000001900100000000000040000002701ffff030000000000>=-37,68>010009000003fa0500000000ec0300000000ec03000026060f00ce07574d4643010000000000010083c70000000001000000ac07000000000000ac070000010000006c00000000000000000000001d000000180000000000000000000000ed0200004902000020454d4600000100ac0700000c00000001000000000000000000000000000000000500000004000040010000f000000000000000000000000000000000e2040080a90300460000002c00000020000000454d462b014001001c000000100000000210c0db010000006000000060000000460000006002000054020000454d462b224004000c000000000000001e4009000c00000000000000244001000c000000000000003040020010000000040000000000803f214007000c0000000000000008400005ac010000a00100000210c0db01000000000000000000000000000000000000000100000089504e470d0a1a0a0000000d494844520000001e000000190802000000a957094d000000017352474200aece1ce9000000097048597300000ec400000ec401952b0e1b0000012749444154484bed944f12433014c6a327616c2c1c829d9e832370888e2be839d871080b1b93dc244d5e9222fea42d169df1663aa322bf7cbef73d16a5149d53b773b09c7aa1356f0f30843cef96aaac19f15942f6549d32565a0302aed51f163c3397ed880abcf81c2e22345e04b87a780b2d540c3266749d4ce186dab0e8759381770f0fb4e6c15af6495721e4bbf67bdd767d76ddf664966bd590108179653c6c5aa293bed56fdb1e935d7523b4643a892f1ab22ef48be1e58634999320d1a84398f2788e0e725ca0c4e1f64e726952289c9d57e48191a28d765c72cdb8684368e0872780b3b269e284496397f22a53b796e661cb24c76a68e4006d8e8c31d7fc3d7990a5062de6fba651b8c8e9a29460782f8bfd4cedfa71fd802fdfdac9175a73e63f0d79013e430d7b22b10e9f0000000049454e44ae42608200000840010824000000180000000210c0db01000000030000000000000000000000000000001b40000040000000340000000100000002000000000000bf000000bf0000f0410000c84103000000000000b3000000b3ffffef41000000b3000000b3ffffc7412100000008000000620000000c00000001000000150000000c00000004000000150000000c0000000400000051000000e803000000000000000000001d00000018000000000000000000000000000000000000001e000000190000005000000078000000c800000020030000000000002000cc001e00000019000000280000001e000000190000000100080000000000000000000000000000000000140000000000000000000000ffffff00489cdf00ffbf74000074bf0074000000ffffbf0074bfff009c480000ffffdf009cdfff0000004800df9c4800bfffff0000007400bf74000048000000ffdf9c00dfffff0000489c000101010101010101010101010101010101010101010101010101010101018080010101010101010101010101010101010101010101010101010101010101808001010101010101010101010101010101010101010101010101010101010180800101010101010101010101010101010101010101010101010101010101018080010101010101010101010101010101010101010101010101010101010101808001010101010101010101010101010101010101010101010101010101010180800101010101010101010101010101010101010101010101010101010101017f7f0101010101010101010101070809010101010101011213000005060101017f7f01010101010101010104000f01010101010101011213101101021011010180800101010101010d0e000c0101010101010101010107000c01010d0e0f01017f7f01010101020000030101010101010101010101010210110101010405060180800112130005060101010101010101010101010101040506010101021011017f7f0104080901010101010101010101010101010112130506010101020003017f7f011213000506010101010101010101010101011213050601010102000301808001010101020000030101010101010101010101121305060101010200030180800101010101010d0e000c01010101010101010101040506010101041011017f7f01010101010101010104000f0101010101010101021011010112130506017f7f01010101010101010101010708090101010101010a0b0c01010d0e0809017f7f010101010101010101010101010101010101010101040506010400030101808001010101010101010101010101010101010101010101020000000301010180800101010101010101010101010101010101010101010101010101010101017f7f0101010101010101010101010101010101010101010101010101010101017f7f01010101010101010101010101010101010101010101010101010101010180800101010101010101010101010101010101010101010101010101010101018080010101010101010101010101010101010101010101010101010101010101ffff4c0000006400000000000000000000001d0000001800000000000000000000001e000000190000002900aa0000000000000000000000803f00000000000000000000803f0000000000000000000000000000000000000000000000000000000000000000220000000c000000ffffffff460000001c00000010000000454d462b024000000c000000000000000e000000140000000000000010000000140000000400000003010800050000000b0200000000050000000c0219001e00030000001e0004000000070104000400000007010400d9010000410b2000cc0019001e000000000019001e0000000000280000001e000000190000000100080000000000000000000000000000000000140000000000000000000000ffffff00489cdf00ffbf74000074bf0074000000ffffbf0074bfff009c480000ffffdf009cdfff0000004800df9c4800bfffff0000007400bf74000048000000ffdf9c00dfffff0000489c000101010101010101010101010101010101010101010101010101010101018080010101010101010101010101010101010101010101010101010101010101808001010101010101010101010101010101010101010101010101010101010180800101010101010101010101010101010101010101010101010101010101018080010101010101010101010101010101010101010101010101010101010101808001010101010101010101010101010101010101010101010101010101010180800101010101010101010101010101010101010101010101010101010101017f7f0101010101010101010101070809010101010101011213000005060101017f7f01010101010101010104000f01010101010101011213101101021011010180800101010101010d0e000c0101010101010101010107000c01010d0e0f01017f7f01010101020000030101010101010101010101010210110101010405060180800112130005060101010101010101010101010101040506010101021011017f7f0104080901010101010101010101010101010112130506010101020003017f7f011213000506010101010101010101010101011213050601010102000301808001010101020000030101010101010101010101121305060101010200030180800101010101010d0e000c01010101010101010101040506010101041011017f7f01010101010101010104000f0101010101010101021011010112130506017f7f01010101010101010101010708090101010101010a0b0c01010d0e0809017f7f010101010101010101010101010101010101010101040506010400030101808001010101010101010101010101010101010101010101020000000301010180800101010101010101010101010101010101010101010101010101010101017f7f0101010101010101010101010101010101010101010101010101010101017f7f01010101010101010101010101010101010101010101010101010101010180800101010101010101010101010101010101010101010101010101010101018080010101010101010101010101010101010101010101010101010101010101ffff0c00000040092900aa0000000000000019001e0000000000040000002701ffff030000000000>,
>0100090000035c04000000001003000000001003000026060f001606574d4643010000000000010063750000000001000000f405000000000000f4050000010000006c00000000000000000000000f0000001800000000000000000000008f0100004902000020454d4600000100f40500000c00000001000000000000000000000000000000000500000004000040010000f000000000000000000000000000000000e2040080a90300460000002c00000020000000454d462b014001001c000000100000000210c0db010000006000000060000000460000002c02000020020000454d462b224004000c000000000000001e4009000c00000000000000244001000c000000000000003040020010000000040000000000803f214007000c0000000000000008400005780100006c0100000210c0db01000000000000000000000000000000000000000100000089504e470d0a1a0a0000000d4948445200000010000000190802000000b79e39fe000000017352474200aece1ce9000000097048597300000ec400000ec401952b0e1b000000f349444154384fdd543b12823010dd78121c1b0a0e4109e331f408700aed6de006b68e360e1cc2c2c62137593721099b008e54ceb8552679efeddbcf4420222c89d512b0c2fe8420eb5c98c86b195a0e2db5a558ef93865a814d01c9261ad5a89e5c1006a0d0f0b9808578b404adcd22abbae91c3cc317861059d1f2f5a002b6e9e75172c2f306593c6e8b2f3010dacb1126fb3843d0868604340f1b65eb514c2fba2a23bc690d55cf8eeeaca1d692a4029ca1f480d75d5f4c1493100f43080c3984bc9fa13a19727fabf37886bc4d19ed494f50230b66ab34a6b64a11b4beff480aeea229f81be81d0ad4c3c5e204f1079fc01bb59987c95f23bb220000000049454e44ae42608200000840010824000000180000000210c0db01000000030000000000000000000000000000001b40000040000000340000000100000002000000000000bf000000bf000080410000c84103000000000000b3000000b3ffff7f41000000b3000000b3ffffc7412100000008000000620000000c00000001000000150000000c00000004000000150000000c00000004000000510000006402000000000000000000000f000000180000000000000000000000000000000000000010000000190000005000000084000000d400000090010000000000002000cc0010000000190000002800000010000000190000000100080000000000000000000000000000000000170000000000000000000000ffffff00489cdf0048000000ffdf9c000074bf0074000000ffffbf00bfffff007400740074bfff00ffbf740000007400bf7400009cdfff0000004800dfffff0000489c009c480000ffffdf00df9c48004800740048004800010101010101010101010101010101010101010101010101010101010101010101010101010101010101010101010101010101010101010101010101010101010c0304010101080c000000000b010101010206070101010a0d01010a0b01010101080c1401010101020d0101010101010110111213010101010a0d01010101010101020304010101010102140101010101010a000b01010101010e160401010101010e0f1401081504010a030401010101011011121301080c00000d01010101010101050607010101010101010101010101010a0304010101010101010101010101010e0f0b01010101010101010101010101080c0d0101010101010101010101010a0000000003040101010101010101010101050607010101010101010101010101010a000b0101010101010101010101010101050607080907010101010101010101010102000003040101010101010101010101010101010101010101010101010101010101010101010101010101010101010101010101010101010101010101010101010101010101010101014c0000006400000000000000000000000f00000018000000000000000000000010000000190000002900aa0000000000000000000000803f00000000000000000000803f0000000000000000000000000000000000000000000000000000000000000000220000000c000000ffffffff460000001c00000010000000454d462b024000000c000000000000000e000000140000000000000010000000140000000400000003010800050000000b0200000000050000000c0219001000030000001e000400000007010400040000000701040017010000410b2000cc00190010000000000019001000000000002800000010000000190000000100080000000000000000000000000000000000170000000000000000000000ffffff00489cdf0048000000ffdf9c000074bf0074000000ffffbf00bfffff007400740074bfff00ffbf740000007400bf7400009cdfff0000004800dfffff0000489c009c480000ffffdf00df9c48004800740048004800010101010101010101010101010101010101010101010101010101010101010101010101010101010101010101010101010101010101010101010101010101010c0304010101080c000000000b010101010206070101010a0d01010a0b01010101080c1401010101020d0101010101010110111213010101010a0d01010101010101020304010101010102140101010101010a000b01010101010e160401010101010e0f1401081504010a030401010101011011121301080c00000d01010101010101050607010101010101010101010101010a0304010101010101010101010101010e0f0b01010101010101010101010101080c0d0101010101010101010101010a0000000003040101010101010101010101050607010101010101010101010101010a000b0101010101010101010101010101050607080907010101010101010101010102000003040101010101010101010101010101010101010101010101010101010101010101010101010101010101010101010101010101010101010101010101010101010101010101010c00000040092900aa000000000000001900100000000000040000002701ffff030000000000
>->0100090000035804000000000a03000000000a03000026060f000a06574d4643010000000000010049480000000001000000e805000000000000e8050000010000006c00000000000000000000000f0000001800000000000000000000008f0100004902000020454d4600000100e80500000c00000001000000000000000000000000000000000500000004000040010000f000000000000000000000000000000000e2040080a90300460000002c00000020000000454d462b014001001c000000100000000210c0db010000006000000060000000460000001c02000010020000454d462b224004000c000000000000001e4009000c00000000000000244001000c000000000000003040020010000000040000000000803f214007000c0000000000000008400005680100005c0100000210c0db01000000000000000000000000000000000000000100000089504e470d0a1a0a0000000d4948445200000010000000190802000000b79e39fe000000017352474200aece1ce9000000097048597300000ec400000ec401952b0e1b000000e349444154384f63fcffff3f0329808914c520b503a2e1c15c4f4628f09cfb00ddc9e84e3a50caa898a2b31f1814fff79730e8282b60f81124050740350c0c2560e5b8000389eaffc33480cd46021e73ee63b703d906221cf4ff3f92a71fdcbd02f480b703fea844d670630783870666b0a01a80d070606b0f03d670c4a101ec2098054871c7881e79d0b0b83fc703a81e1a34400e8c090a0894104309562c510632089b06140b10110012463305620316f5f098c4aa01c3a5704bc04621eb0105eb83b99d3d0c25e5c9f0280026592c091b1abce034849e72c0e642019a1ce330280400868aa888cf0c08d00000000049454e44ae42608200000840010824000000180000000210c0db01000000030000000000000000000000000000001b40000040000000340000000100000002000000000000bf000000bf000080410000c84103000000000000b3000000b3ffff7f41000000b3000000b3ffffc7412100000008000000620000000c00000001000000150000000c00000004000000150000000c00000004000000510000006802000000000000000000000f000000180000000000000000000000000000000000000010000000190000005000000088000000d800000090010000000000002000cc0010000000190000002800000010000000190000000100080000000000000000000000000000000000180000000000000000000000ffffff00489cdf0048000000ffdf9c000074bf0074000000ffffbf00bfffff007400740074bfff00ffbf740000007400bf7400009cdfff0000004800dfffff0000489c009c480000ffffdf00df9c480048489c004800480048007400010101010101010101010101010101010101010101010101010101010101010101010101010101010101010101010101010101010101010101010101010101010c030401010101020000001401010101010206070101081704010e0f0b01010101080c140101010101010e0f0b01010101101112130101010500000b0101010101010203040101010110110b0101010101010a000b01010101010e160401010101010e0f1401101504010a030401010101011011121301020000001401010101010101050607010101010101010101010101010a0304010101010101010101010101010e0f0b01010101010101010101010101080c0d0101010101010101010101010a0000000003040101010101010101010101050607010101010101010101010101010a000b0101010101010101010101010101050607080907010101010101010101010102000003040101010101010101010101010101010101010101010101010101010101010101010101010101010101010101010101010101010101010101010101010101010101010101014c0000006400000000000000000000000f00000018000000000000000000000010000000190000002900aa0000000000000000000000803f00000000000000000000803f0000000000000000000000000000000000000000000000000000000000000000220000000c000000ffffffff460000001c00000010000000454d462b024000000c000000000000000e000000140000000000000010000000140000000400000003010800050000000b0200000000050000000c0219001000030000001e000400000007010400040000000701040019010000410b2000cc00190010000000000019001000000000002800000010000000190000000100080000000000000000000000000000000000180000000000000000000000ffffff00489cdf0048000000ffdf9c000074bf0074000000ffffbf00bfffff007400740074bfff00ffbf740000007400bf7400009cdfff0000004800dfffff0000489c009c480000ffffdf00df9c480048489c004800480048007400010101010101010101010101010101010101010101010101010101010101010101010101010101010101010101010101010101010101010101010101010101010c030401010101020000001401010101010206070101081704010e0f0b01010101080c140101010101010e0f0b01010101101112130101010500000b0101010101010203040101010110110b0101010101010a000b01010101010e160401010101010e0f1401101504010a030401010101011011121301020000001401010101010101050607010101010101010101010101010a0304010101010101010101010101010e0f0b01010101010101010101010101080c0d0101010101010101010101010a0000000003040101010101010101010101050607010101010101010101010101010a000b0101010101010101010101010101050607080907010101010101010101010102000003040101010101010101010101010101010101010101010101010101010101010101010101010101010101010101010101010101010101010101010101010101010101010101010c00000040092900aa000000000000001900100000000000040000002701ffff030000000000>=-10,809>010009000003fa0500000000ec0300000000ec03000026060f00ce07574d4643010000000000010083c70000000001000000ac07000000000000ac070000010000006c00000000000000000000001d000000180000000000000000000000ed0200004902000020454d4600000100ac0700000c00000001000000000000000000000000000000000500000004000040010000f000000000000000000000000000000000e2040080a90300460000002c00000020000000454d462b014001001c000000100000000210c0db010000006000000060000000460000006002000054020000454d462b224004000c000000000000001e4009000c00000000000000244001000c000000000000003040020010000000040000000000803f214007000c0000000000000008400005ac010000a00100000210c0db01000000000000000000000000000000000000000100000089504e470d0a1a0a0000000d494844520000001e000000190802000000a957094d000000017352474200aece1ce9000000097048597300000ec400000ec401952b0e1b0000012749444154484bed944f12433014c6a327616c2c1c829d9e832370888e2be839d871080b1b93dc244d5e9222fea42d169df1663aa322bf7cbef73d16a5149d53b773b09c7aa1356f0f30843cef96aaac19f15942f6549d32565a0302aed51f163c3397ed880abcf81c2e22345e04b87a780b2d540c3266749d4ce186dab0e8759381770f0fb4e6c15af6495721e4bbf67bdd767d76ddf664966bd590108179653c6c5aa293bed56fdb1e935d7523b4643a892f1ab22ef48be1e58634999320d1a84398f2788e0e725ca0c4e1f64e726952289c9d57e48191a28d765c72cdb8684368e0872780b3b269e284496397f22a53b796e661cb24c76a68e4006d8e8c31d7fc3d7990a5062de6fba651b8c8e9a29460782f8bfd4cedfa71fd802fdfdac9175a73e63f0d79013e430d7b22b10e9f0000000049454e44ae42608200000840010824000000180000000210c0db01000000030000000000000000000000000000001b40000040000000340000000100000002000000000000bf000000bf0000f0410000c84103000000000000b3000000b3ffffef41000000b3000000b3ffffc7412100000008000000620000000c00000001000000150000000c00000004000000150000000c0000000400000051000000e803000000000000000000001d00000018000000000000000000000000000000000000001e000000190000005000000078000000c800000020030000000000002000cc001e00000019000000280000001e000000190000000100080000000000000000000000000000000000140000000000000000000000ffffff00489cdf00ffbf74000074bf0074000000ffffbf0074bfff009c480000ffffdf009cdfff0000004800df9c4800bfffff0000007400bf74000048000000ffdf9c00dfffff0000489c000101010101010101010101010101010101010101010101010101010101018080010101010101010101010101010101010101010101010101010101010101808001010101010101010101010101010101010101010101010101010101010180800101010101010101010101010101010101010101010101010101010101018080010101010101010101010101010101010101010101010101010101010101808001010101010101010101010101010101010101010101010101010101010180800101010101010101010101010101010101010101010101010101010101017f7f0101010101010101010101070809010101010101011213000005060101017f7f01010101010101010104000f01010101010101011213101101021011010180800101010101010d0e000c0101010101010101010107000c01010d0e0f01017f7f01010101020000030101010101010101010101010210110101010405060180800112130005060101010101010101010101010101040506010101021011017f7f0104080901010101010101010101010101010112130506010101020003017f7f011213000506010101010101010101010101011213050601010102000301808001010101020000030101010101010101010101121305060101010200030180800101010101010d0e000c01010101010101010101040506010101041011017f7f01010101010101010104000f0101010101010101021011010112130506017f7f01010101010101010101010708090101010101010a0b0c01010d0e0809017f7f010101010101010101010101010101010101010101040506010400030101808001010101010101010101010101010101010101010101020000000301010180800101010101010101010101010101010101010101010101010101010101017f7f0101010101010101010101010101010101010101010101010101010101017f7f01010101010101010101010101010101010101010101010101010101010180800101010101010101010101010101010101010101010101010101010101018080010101010101010101010101010101010101010101010101010101010101ffff4c0000006400000000000000000000001d0000001800000000000000000000001e000000190000002900aa0000000000000000000000803f00000000000000000000803f0000000000000000000000000000000000000000000000000000000000000000220000000c000000ffffffff460000001c00000010000000454d462b024000000c000000000000000e000000140000000000000010000000140000000400000003010800050000000b0200000000050000000c0219001e00030000001e0004000000070104000400000007010400d9010000410b2000cc0019001e000000000019001e0000000000280000001e000000190000000100080000000000000000000000000000000000140000000000000000000000ffffff00489cdf00ffbf74000074bf0074000000ffffbf0074bfff009c480000ffffdf009cdfff0000004800df9c4800bfffff0000007400bf74000048000000ffdf9c00dfffff0000489c000101010101010101010101010101010101010101010101010101010101018080010101010101010101010101010101010101010101010101010101010101808001010101010101010101010101010101010101010101010101010101010180800101010101010101010101010101010101010101010101010101010101018080010101010101010101010101010101010101010101010101010101010101808001010101010101010101010101010101010101010101010101010101010180800101010101010101010101010101010101010101010101010101010101017f7f0101010101010101010101070809010101010101011213000005060101017f7f01010101010101010104000f01010101010101011213101101021011010180800101010101010d0e000c0101010101010101010107000c01010d0e0f01017f7f01010101020000030101010101010101010101010210110101010405060180800112130005060101010101010101010101010101040506010101021011017f7f0104080901010101010101010101010101010112130506010101020003017f7f011213000506010101010101010101010101011213050601010102000301808001010101020000030101010101010101010101121305060101010200030180800101010101010d0e000c01010101010101010101040506010101041011017f7f01010101010101010104000f0101010101010101021011010112130506017f7f01010101010101010101010708090101010101010a0b0c01010d0e0809017f7f010101010101010101010101010101010101010101040506010400030101808001010101010101010101010101010101010101010101020000000301010180800101010101010101010101010101010101010101010101010101010101017f7f0101010101010101010101010101010101010101010101010101010101017f7f01010101010101010101010101010101010101010101010101010101010180800101010101010101010101010101010101010101010101010101010101018080010101010101010101010101010101010101010101010101010101010101ffff0c00000040092900aa0000000000000019001e0000000000040000002701ffff030000000000>.
Таким образом, мы видим, что изменение числа переменныx сильно влияет на результат дискриминантного анализа. Чтобы судить о целесообразности включения (удаления) дискриминантной переменной, обычно используют специальные статистические критерии, позволяющие оценить значимость ухудшения или улучшения разбиения после включения (удаления) каждой из отобранных переменных.
5. Взаимосвязь между дискриминантными переменными и дискриминантными функциями
Для оценки вклада отдельной переменной в значение дискриминантной функции целесообразно пользоваться стандартизованными коэффициентами дискриминантной функции. Стандартизованные коэффициенты можно рассчитать двумя путями:
стандартизовать значения исходных переменных таким образом, чтобы их средние значения были равны нулю, а' дисперсии - единице;
вычислить стандартизованные коэффициенты исходя из значений коэффициентов в нестандартной форме:
(28)
где р - общее число исходных переменных, т - число групп, >0100090000031606000000000804000000000804000026060f000608574d46430100000000000100c5ca0000000001000000e407000000000000e4070000010000006c00000000000000000000001a0000001a0000000000000000000000a20200007802000020454d4600000100e40700000c00000001000000000000000000000000000000000500000004000040010000f000000000000000000000000000000000e2040080a90300460000002c00000020000000454d462b014001001c000000100000000210c0db01000000600000006000000046000000980200008c020000454d462b224004000c000000000000001e4009000c00000000000000244001000c000000000000003040020010000000040000000000803f214007000c0000000000000008400005e4010000d80100000210c0db01000000000000000000000000000000000000000100000089504e470d0a1a0a0000000d494844520000001b0000001b080200000002b66302000000017352474200aece1ce9000000097048597300000ec400000ec401952b0e1b0000016049444154484be555314e033110f4f19248d7a4b84720d138a2e507d044b446bc21e25a44e3fb012dd23528f788143428fe89b1f79cdcae7749ce521a84ab64e29dddf1ce6e2aefbdbae8b9ba285b24fb238cae5b55e9ac3a777c058011303c1d6e615478b4d019efb726fe62b6f0653c23a4ed7e82f656b36b28227d44efa8970b54e0a6157b1652bc5c9fece6c8b85842f6e3195e1f94b55025017bf37c3fa59589c55e0f1f6d08ad4984eb36adb68fa7ebfbc53d2176c742a1eab7b3058a7e0cb14dae2d16384330884aef58374922c4de526dae5b87026708468cb42559ec7cc19c5112c7b1687d3c0a4a5164f2b3d69a383a7adc18435dce1d9d236a04a47110a646b8c722312319b9348764320fb9291839119218cf8b41f3ce3363a4743fbaef9d6a6a3c893952c8e83edf7bbc51429f73a494f1abd77737a4c41c29630c2b24d3cc91a2ce8043f15a86bd9cd9612663721dea2947921baa7ff97ffd03e3433e2f9e5beb3c0000000049454e44ae426082000840010824000000180000000210c0db01000000030000000000000000000000000000001b40000040000000340000000100000002000000000000bf000000bf0000d8410000d84103000000000000b3000000b3ffffd741000000b3000000b3ffffd7412100000008000000620000000c00000001000000150000000c00000004000000150000000c0000000400000051000000e803000000000000000000001a0000001a000000000000000000000000000000000000001b0000001b00000050000000a4000000f4000000f4020000000000002000cc001b0000001b000000280000001b0000001b00000001000800000000000000000000000000000000001f0000000000000000000000ffffff00dfffff0000489c009c480000ffffdf009cdfff0000004800df9c4800bfffff000000740074000000ffffbf000074bf0048004800ffdf9c009c9c4800bf74000074007400bfffbf00489cdf0074004800bfffdf004800740074bfff00489cbf00bf9c4800ffbf7400484800007474740048000000010101010101010101010101010101010101010101010101010101010101010101010101010101010101010101010101010101010101018001010101010101010101010101010101010101010101010101010180010101010101010101010101020300080101020300080101010101800101010101010101010101010101090a1b010101090a1b01010101800101010101010101010101010101010d11010101010d11010101018001010101010101010101010101010118040501010118040501010180010101010101010101010101010101060e0f010101060e0f0101018001010101010101010101010101010102031b01010102031b01010180010101010101010101010101010101010d08010101010d08010101800101141e0f010101090a1101010101011411010101011411010101800101140011010101090a1e0f01010106070b0c010106070b0c01018001010d1c0e0f0101090a1d040501010101010101010101010101018001010d0419110101090a1a031b01010102030801010102030801018001010d0416170f01090a08180405010101010101010101010101018001010d0405141101090a080203080101010101010101010101010181010203040509120c090a080106150c010101010101010101010101810102030405011408090a0801010d08010101010101010101010101800102030405010912130a080101060e0f010101010101010101010180010203040501010d100a080101010d1101010101010101010101018001090a0405010106070008010101060e0f010101010101010101018001090a0b0c0101010d000801010106070b0c0101010101010101018002030000040501010607080101090a000004050101010101010101800101010101010101010101010101010101010101010101010101018001010101010101010101010101010101010101010101010101010180010101010101010101010101010101010101010101010101010101ff010101010101010101010101010101010101010101010101010101ff4c0000006400000000000000000000001a0000001a00000000000000000000001b0000001b0000002900aa0000000000000000000000803f00000000000000000000803f0000000000000000000000000000000000000000000000000000000000000000220000000c000000ffffffff460000001c00000010000000454d462b024000000c000000000000000e000000140000000000000010000000140000000400000003010800050000000b0200000000050000000c021b001b00030000001e0004000000070104000400000007010400d9010000410b2000cc001b001b00000000001b001b0000000000280000001b0000001b00000001000800000000000000000000000000000000001f0000000000000000000000ffffff00dfffff0000489c009c480000ffffdf009cdfff0000004800df9c4800bfffff000000740074000000ffffbf000074bf0048004800ffdf9c009c9c4800bf74000074007400bfffbf00489cdf0074004800bfffdf004800740074bfff00489cbf00bf9c4800ffbf7400484800007474740048000000010101010101010101010101010101010101010101010101010101010101010101010101010101010101010101010101010101010101018001010101010101010101010101010101010101010101010101010180010101010101010101010101020300080101020300080101010101800101010101010101010101010101090a1b010101090a1b01010101800101010101010101010101010101010d11010101010d11010101018001010101010101010101010101010118040501010118040501010180010101010101010101010101010101060e0f010101060e0f0101018001010101010101010101010101010102031b01010102031b01010180010101010101010101010101010101010d08010101010d08010101800101141e0f010101090a1101010101011411010101011411010101800101140011010101090a1e0f01010106070b0c010106070b0c01018001010d1c0e0f0101090a1d040501010101010101010101010101018001010d0419110101090a1a031b01010102030801010102030801018001010d0416170f01090a08180405010101010101010101010101018001010d0405141101090a080203080101010101010101010101010181010203040509120c090a080106150c010101010101010101010101810102030405011408090a0801010d08010101010101010101010101800102030405010912130a080101060e0f010101010101010101010180010203040501010d100a080101010d1101010101010101010101018001090a0405010106070008010101060e0f010101010101010101018001090a0b0c0101010d000801010106070b0c0101010101010101018002030000040501010607080101090a000004050101010101010101800101010101010101010101010101010101010101010101010101018001010101010101010101010101010101010101010101010101010180010101010101010101010101010101010101010101010101010101ff010101010101010101010101010101010101010101010101010101ff0c00000040092900aa000000000000001b001b0000000000040000002701ffff030000000000> - элементы матрицы ковариаций:
(29)
где
i
-
номер наблюдения, j
- номер переменной, k
-
номер класса, >
>-
количество объектов в k-м
классе.
Стандартизованные коэффициенты применяют в тех случаях, когда нужно определить, какая из используемых переменных вносит наибольший вклад в величину дискриминантной функции. В примере с двумя классами, рассмотренном выше, дискриминантная функция имела вид:
f= -185,03Х>1> + 1,84Х>2> + 4,92Х>з> .
Следовательно, наибольший вклад в величину дискриминантной функции вносит переменная X>1>.
Определим значения стандартизованных коэффициентов и запишем новое значение дискриминантной функции:
(30)
где >0100090000035805000000009003000000009003000026060f001607574d4643010000000000010017b40000000001000000f406000000000000f4060000010000006c0000000000000000000000140000001a00000000000000000000000c0200007802000020454d4600000100f40600000c00000001000000000000000000000000000000000500000004000040010000f000000000000000000000000000000000e2040080a90300460000002c00000020000000454d462b014001001c000000100000000210c0db010000006000000060000000460000003402000028020000454d462b224004000c000000000000001e4009000c00000000000000244001000c000000000000003040020010000000040000000000803f214007000c000000000000000840000580010000740100000210c0db01000000000000000000000000000000000000000100000089504e470d0a1a0a0000000d49484452000000150000001b08020000001c7f53b1000000017352474200aece1ce9000000097048597300000ec400000ec401952b0e1b000000fb49444154384fed533b0ec2300c4d3809120b0387007549772ec1ce317a84e606ac485d507b080616d4dc24c469be6e692285112f6d6cbfe717dba1524a52609b022c40fff8b206fea67f82d7145bcd458e34b53f726c1921d71e7e6727e3fcf62110e8af0eada9583b26602eacf1ce145120248723c0c7b7c801c3dbb179507a5137d0e280f74df85877d08ea40a8547ba81cbce428750f5c96753882e8d2c900bd96eb2c180ad2feeff5ceed25d94cf5548ecef706fd87e1bcb13ef2739ec8c731d6f5205e783e3108f5be739d3efa739d10ba98e1effead8b9729a92134209e178c2fdc9e44170bf7f49bc993b5a450a1a0a2cddbf75f252fc07b3cfa51a5b554e440000000049454e44ae42608200000840010824000000180000000210c0db01000000030000000000000000000000000000001b40000040000000340000000100000002000000000000bf000000bf0000a8410000d84103000000000000b3000000b3ffffa741000000b3000000b3ffffd7412100000008000000620000000c00000001000000150000000c00000004000000150000000c00000004000000510000005c0300000000000000000000140000001a00000000000000000000000000000000000000150000001b0000005000000084000000d400000088020000000000002000cc00150000001b00000028000000150000001b0000000100080000000000000000000000000000000000170000000000000000000000ffffff00dfffff0000489c009c480000ffffdf009cdfff0000004800ffbf7400489cdf0074000000ffffbf0074bfff00bf74000048000000ffdf9c00bfffff0000007400df9c48000074bf00740048009c9cdf00480048000101010101010101010101010101010101010101010148ff01010101010101010101010101010101010101010101ffff0101010101010101010101010101010101010101010174ff0101010101010101010101010102030012010101010100ff01010101010101010101010101010110110801010101ffff01010101010101010101010101010101130d0101010174ff010101010101010101020300120101010c040501010100ff010101010101010101020308150b010106160f01010100ff010101010101010101011312010101010203080101019cff010101010101010101010c0d0101010101131201010100ff1300000000000e0f010106140b01010101090d010101ffff02030d01011011080102030e0f01010106070a0b0101ffff0110110d01010c0d010101010101010101010101010100ff01011011120101010101010904050101010203120101ffff01010106070801010101010101010101010101010101ffff010101010c0008010101010101010101010101010101ffff010c0d0101090e0f0101010101010101010101010101ffff010607080101090a0b01010101010101010101010101ffff01020300000000000405010101010101010101010101ffff01010101010101010101010101010101010101010101ffff01010101010101010101010101010101010101010101ffff01010101010101010101010101010101010101010101ffff01010101010101010101010101010101010101010101ffff01010101010101010101010101010101010101010101ffff01010101010101010101010101010101010101010101ffff0101010101010101010101010101010101010101010100ff01010101010101010101010101010101010101010101ffff4c000000640000000000000000000000140000001a0000000000000000000000150000001b0000002900aa0000000000000000000000803f00000000000000000000803f0000000000000000000000000000000000000000000000000000000000000000220000000c000000ffffffff460000001c00000010000000454d462b024000000c000000000000000e000000140000000000000010000000140000000400000003010800050000000b0200000000050000000c021b001500030000001e000400000007010400040000000701040093010000410b2000cc001b001500000000001b0015000000000028000000150000001b0000000100080000000000000000000000000000000000170000000000000000000000ffffff00dfffff0000489c009c480000ffffdf009cdfff0000004800ffbf7400489cdf0074000000ffffbf0074bfff00bf74000048000000ffdf9c00bfffff0000007400df9c48000074bf00740048009c9cdf00480048000101010101010101010101010101010101010101010148ff01010101010101010101010101010101010101010101ffff0101010101010101010101010101010101010101010174ff0101010101010101010101010102030012010101010100ff01010101010101010101010101010110110801010101ffff01010101010101010101010101010101130d0101010174ff010101010101010101020300120101010c040501010100ff010101010101010101020308150b010106160f01010100ff010101010101010101011312010101010203080101019cff010101010101010101010c0d0101010101131201010100ff1300000000000e0f010106140b01010101090d010101ffff02030d01011011080102030e0f01010106070a0b0101ffff0110110d01010c0d010101010101010101010101010100ff01011011120101010101010904050101010203120101ffff01010106070801010101010101010101010101010101ffff010101010c0008010101010101010101010101010101ffff010c0d0101090e0f0101010101010101010101010101ffff010607080101090a0b01010101010101010101010101ffff01020300000000000405010101010101010101010101ffff01010101010101010101010101010101010101010101ffff01010101010101010101010101010101010101010101ffff01010101010101010101010101010101010101010101ffff01010101010101010101010101010101010101010101ffff01010101010101010101010101010101010101010101ffff01010101010101010101010101010101010101010101ffff0101010101010101010101010101010101010101010100ff01010101010101010101010101010101010101010101ffff0c00000040092900aa000000000000001b00150000000000040000002701ffff030000000000>=>010009000003e40a000000009806000000009806000026060f00260d574d46430100000000000100e81a0000000001000000040d000000000000040d0000010000006c0000000000000000000000260000002e0000000000000000000000ce0300004d04000020454d4600000100040d00000c00000001000000000000000000000000000000000500000004000040010000f000000000000000000000000000000000e2040080a90300460000002c00000020000000454d462b014001001c000000100000000210c0db010000006000000060000000460000003c03000030030000454d462b224004000c000000000000001e4009000c00000000000000244001000c000000000000003040020010000000040000000000803f214007000c0000000000000008400005880200007c0200000210c0db01000000000000000000000000000000000000000100000089504e470d0a1a0a0000000d49484452000000270000002f0802000000ef92440f000000017352474200aece1ce9000000097048597300000ec400000ec401952b0e1b00000202494441545847ed573b6ec3300c957a92045d32f41005ba38c8da2364e96edd227b16fb1806bc14d6213a6429ec9bb8d4c784643b326d0b498144436225d2a3f8485a8fbc6d5b76f3f172738bcae02359e571e3ca39a7842cb2558ac9fbc6550a60860ba94eaa9ff779433cf5c832021ae4b014c5a1adb3e454c826dfc37395bebd6e0c1c207827e8cf8746436888c8209bf400b38c2559ddcdd77d4fa061bd369792259f1fd647e4daf2aee64004c6618aff219a8f506759059cb2b4820fe56b9da59dc7fa67c769f060828d109a655421304066165b3f3a2cf78d28daf429347fbd618e1740ebc2a816625c47e2d877b53f9f1ffa0e21f01e96c529d96d9894baa2209fcd7cc5408480d5cd2e298f5b5eb0776da8f9fd6158518b4c3b08549a54c4bcd4a26ec4750e4228ae5e29afb269d30f4f7d9fb7ffa200adde741f5f1f49c13c7d5d9da413004f86ff03c346bae0582520ad3f135787270ea289b9f09de35d6f5657cdbee146360473585dc3e9c15ceafa56c7e1e845fd68143c79502b478aedb144e52abfd9199419e87629bed8b9cae62a9b30618e1a1c0809fddf88bc204482a225ae1c4c057d617e511976432685301d51959697067a821ca34aed0fe6a7a4d3c3e8baf2fd9dee0f549f3edf6a7007f607c1554b180e1508b455586bd7d745b64aec0fe25a25f70731e34aee0f6265535fdd879d79ea61f2e5b170e11f04824d7d1df93b180000000049454e44ae4260820000000840010824000000180000000210c0db01000000030000000000000000000000000000001b40000040000000340000000100000002000000000000bf000000bf00001c4200003c4203000000000080b3000080b3ffff1b42000080b3000080b3ffff3b422100000008000000620000000c00000001000000150000000c00000004000000150000000c0000000400000051000000640800000000000000000000260000002e00000000000000000000000000000000000000270000002f00000050000000bc0000000c01000058070000000000002000cc00270000002f00000028000000270000002f0000000100080000000000000000000000000000000000250000000000000000000000ffffff0074bfff00bf740000df9c4800bfffff00bf7474009cdfff00740048009cdfbf00bf744800ffbf74000074bf009c480000ffffdf00dfffff0000489c000000740074000000ffffbf00489cdf009c9cdf00bfffbf007400740074bfbf00dfffdf009c749c0048489c00ffdf9c00480000000000480048007400bfbfbf004874bf00df9c9c00bfdf9c007474bf0001010101010101010101010101010101010101010101010101010101010101010101010101010100010101010101010101010101010101010101010101010101010101010101010101010101010101000101010101010101010101010101010101010101010101010101010101010101010101010101010001010101010101010101010101010101010101010101010f10000b0101010101010101010101010001010101010101010101010101010101010101010101010101021213010101010101010101010100010101010101010101010101010101010101010101010101010f100b01010101010101010101010001010101010101010101010101010101010101010101010101010c040101010101010101010101000101010101010101010101010101010101010101010101010101020301010101010101010101010001010101010101010101010101010101010101010101010101010708130101010101010101010100010101010101010101010101010101010f100d0e0200040101010f1b1c0101010101010101010100010101010101010101010101010101010124090a0c0b1513010114000b010101010101010101010001010101010101010101010101010101010101021d1c01010101010101010101010101010101010001010101010101010101140000121301010101071e0b0101010101020d0e0101010101010101019d010101010101010101070813010c1d1c010522020321232201010101010101010101010101010100010101010101010101070813010f1004010114000b0f10030101010101010101010101010101010001010101010101010105110b01010c040101010101010101010101010101010101010101010101ff0101010101010101010102000b01211c0101010101010101010101010101010101010101010101ff01010101010101010101010f100000001d1c01010101010101010101010101010101010101010174010101010101010101010101010101010101010101010101010101010101010101010101010101ff010101010101010101010101010101010101010101010101010101010101010101010101010101ff010101010101010101010101010101010101010101010101010101010101010101010101010101ff010101010101010101010101010101010101010101010101010101010101010101010101010101ff01010101010101010101010101010101010101010101010101010101010101010101010101010174010101010101010101010101010101010101010101010101010101010101010101010101010101ff010101010101010101010101010101010101010101010101010101010101010101010101010101ff0101010101010101010101010101010101010101010101010101010101010101010101010101010001010101010101010101010101010101010101010101010101010101010101010101010101010100000000000000000000000000000000000000000000000000000000000000000000000000000000ff0101010101010101010101010101010101010101010101010101010101010101010101010101010001010101010101010101010f10000b0101010101010101010101010101010101010f10000b0101000101010101010101010101010102121301010101010101010101010101010101010101021213010001010101010101010f10000b010f100b010101010101010101010101010101010101010f100b01000101010101010101051f1c2001010c0401010101010101010101010101010101010101010c0401430101010101010101010c0b01010102030101010101010101010101010101010101010101020301ff0c121305111d1c01011404010101070813071e00000000000b010c121305111d1c010101070813ff151617180d191a0e0102030101010f1b1c010101010101010101151617180d191a0e01010f1b1cff010105110401010105111213010114000b0101010101010101010101051104010101010114000bff01010f100d0e010101010101010101010101010101010101010101010f100d0e010101010101010005060708090a020b01010c04010101020d0e010101010101010105060708090a020b010101020d0001020003010200040101010101010101010101010101010101010102000301020004010101010100010101010101010101010101010101010101010101010101010101010101010101010101010101000101010101010101010101010101010101010101010101010101010101010101010101010101010001010101010101010101010101010101010101010101010101010000000000000000000000000000010101010101010101010101010101010101010101010101010101010101010101010101010101000101010101010101010101010101010101010101010101010101010101010101010101010101010001010101010101010101010101010101010101010101010101010101010101010101010101010100010101010101010101010101010101010101010101010101010101010101010101010101010101004c000000640000000000000000000000260000002e0000000000000000000000270000002f0000002900aa0000000000000000000000803f00000000000000000000803f0000000000000000000000000000000000000000000000000000000000000000220000000c000000ffffffff460000001c00000010000000454d462b024000000c000000000000000e000000140000000000000010000000140000000400000003010800050000000b0200000000050000000c022f002700030000001e000400000007010400040000000701040017040000410b2000cc002f002700000000002f0027000000000028000000270000002f0000000100080000000000000000000000000000000000250000000000000000000000ffffff0074bfff00bf740000df9c4800bfffff00bf7474009cdfff00740048009cdfbf00bf744800ffbf74000074bf009c480000ffffdf00dfffff0000489c000000740074000000ffffbf00489cdf009c9cdf00bfffbf007400740074bfbf00dfffdf009c749c0048489c00ffdf9c00480000000000480048007400bfbfbf004874bf00df9c9c00bfdf9c007474bf0001010101010101010101010101010101010101010101010101010101010101010101010101010100010101010101010101010101010101010101010101010101010101010101010101010101010101000101010101010101010101010101010101010101010101010101010101010101010101010101010001010101010101010101010101010101010101010101010f10000b0101010101010101010101010001010101010101010101010101010101010101010101010101021213010101010101010101010100010101010101010101010101010101010101010101010101010f100b01010101010101010101010001010101010101010101010101010101010101010101010101010c040101010101010101010101000101010101010101010101010101010101010101010101010101020301010101010101010101010001010101010101010101010101010101010101010101010101010708130101010101010101010100010101010101010101010101010101010f100d0e0200040101010f1b1c0101010101010101010100010101010101010101010101010101010124090a0c0b1513010114000b010101010101010101010001010101010101010101010101010101010101021d1c01010101010101010101010101010101010001010101010101010101140000121301010101071e0b0101010101020d0e0101010101010101019d010101010101010101070813010c1d1c010522020321232201010101010101010101010101010100010101010101010101070813010f1004010114000b0f10030101010101010101010101010101010001010101010101010105110b01010c040101010101010101010101010101010101010101010101ff0101010101010101010102000b01211c0101010101010101010101010101010101010101010101ff01010101010101010101010f100000001d1c01010101010101010101010101010101010101010174010101010101010101010101010101010101010101010101010101010101010101010101010101ff010101010101010101010101010101010101010101010101010101010101010101010101010101ff010101010101010101010101010101010101010101010101010101010101010101010101010101ff010101010101010101010101010101010101010101010101010101010101010101010101010101ff01010101010101010101010101010101010101010101010101010101010101010101010101010174010101010101010101010101010101010101010101010101010101010101010101010101010101ff010101010101010101010101010101010101010101010101010101010101010101010101010101ff0101010101010101010101010101010101010101010101010101010101010101010101010101010001010101010101010101010101010101010101010101010101010101010101010101010101010100000000000000000000000000000000000000000000000000000000000000000000000000000000ff0101010101010101010101010101010101010101010101010101010101010101010101010101010001010101010101010101010f10000b0101010101010101010101010101010101010f10000b0101000101010101010101010101010102121301010101010101010101010101010101010101021213010001010101010101010f10000b010f100b010101010101010101010101010101010101010f100b01000101010101010101051f1c2001010c0401010101010101010101010101010101010101010c0401430101010101010101010c0b01010102030101010101010101010101010101010101010101020301ff0c121305111d1c01011404010101070813071e00000000000b010c121305111d1c010101070813ff151617180d191a0e0102030101010f1b1c010101010101010101151617180d191a0e01010f1b1cff010105110401010105111213010114000b0101010101010101010101051104010101010114000bff01010f100d0e010101010101010101010101010101010101010101010f100d0e010101010101010005060708090a020b01010c04010101020d0e010101010101010105060708090a020b010101020d0001020003010200040101010101010101010101010101010101010102000301020004010101010100010101010101010101010101010101010101010101010101010101010101010101010101010101000101010101010101010101010101010101010101010101010101010101010101010101010101010001010101010101010101010101010101010101010101010101010000000000000000000000000000010101010101010101010101010101010101010101010101010101010101010101010101010101000101010101010101010101010101010101010101010101010101010101010101010101010101010001010101010101010101010101010101010101010101010101010101010101010101010101010100010101010101010101010101010101010101010101010101010101010101010101010101010101000c00000040092900aa000000000000002f00270000000000040000002701ffff030000000000>
Стандартизованные коэффициенты дискриминантной функции тоже показывают определяющее влияние первой переменной на величину дискриминантной функции.
Помимо определения вклада каждой исходной переменной в дискриминантную функцию, можно проанализировать и степень корреляционной зависимости между ними.
Для оценки тесноты связи между отдельными переменными и дискриминантными функциями служат коэффициенты корреляции, которые называются структурными коэффициентами. По величине структурных коэффициентов судят о связи между переменными и дискриминантными функциями. Структурные коэффициенты позволяют также в случае необходимости присвоить имя каждой функции. Они могут быть рассчитаны в целом по всей совокупности объектов (R) и для каждого класса отдельно (R>0100090000038406000000004204000000004204000026060f007a08574d46430100000000000100a03d0000000001000000580800000000000058080000010000006c00000000000000000000001f0000001a00000000000000000000001f0300007802000020454d4600000100580800000c00000001000000000000000000000000000000000500000004000040010000f000000000000000000000000000000000e2040080a90300460000002c00000020000000454d462b014001001c000000100000000210c0db01000000600000006000000046000000a402000098020000454d462b224004000c000000000000001e4009000c00000000000000244001000c000000000000003040020010000000040000000000803f214007000c0000000000000008400005f0010000e40100000210c0db01000000000000000000000000000000000000000100000089504e470d0a1a0a0000000d49484452000000200000001b080200000092a51acd000000017352474200aece1ce9000000097048597300000ec400000ec401952b0e1b0000016c49444154484bed54bb8dc3300ca56f120769aef01001d2387d46b8116cdc1097119c31025c670f9122cd21de4421255a90f5318518ee8e4d1c5b7c8fef8964a194822de3634b70c2fe274013c6eba9e0385d47dff2b5160d6db1fbaa7a6c15d53750edcbe04ee9d3db8198008d864f05bc0d6e6a96f01513e8a30075f73484e6ff426d9c600db1997ec1448087098a72f4b967572fcb66901c0193025b76d3e7c2531da241b8261c493a2323c7119074c6c2ce2ed99a9473f3be41e6560246872029803e0489faf4fc2d52848a2c81b63ecf56d217c1a7576173f0240fedeef1fd7328f715c0e53600e084b6f833ed01fdecc6f8f8056f70f155fd49938cb9149c638cb1ccec93534ab4b0b80036687695f224c79c4d18c412673e89cb6efcbb873b8c0caacf4777b3914138a5fe8483a420d641b15620605df9f4d07766ed4804be41896e772e8a354c3e0904b6b09cd18b9e5926588f9fb488db55de3592b482ee61cb10db742df9e6042f58cb5dc8075beb670000000049454e44ae426082000840010824000000180000000210c0db01000000030000000000000000000000000000001b40000040000000340000000100000002000000000000bf000000bf000000420000d84103000000000080b3000080b3ffffff41000080b3000080b3ffffd7412100000008000000620000000c00000001000000150000000c00000004000000150000000c00000004000000510000005004000000000000000000001f0000001a00000000000000000000000000000000000000200000001b00000050000000a0000000f000000060030000000000002000cc00200000001b00000028000000200000001b00000001000800000000000000000000000000000000001e0000000000000000000000ffffff00489cdf0048000000ffdf9c000074bf0074000000ffffbf00bfffff007400740074bfff00ffbf74009c480000ffffdf00bf7400009cdfff00bf74480000007400dfbf740074489c0000004800dfffff0000489c00df9c48009cdfbf00480074009c484800480048009cbfff0074004800010101010101010101010101010101010101010101010101010101010101010101010101010101010101010101010101010101010101010101010101010101010101010101010101010101010101010101010101010101010101010101010101010101010101011516001701010101010101010101010101010101010101010101010101010101010108110b010101010101010101010101010101010101010101010101010101010101050e0101010101010101010101010101010101010101010101010101010101010a0c0d010108110304010101010f1d070105000e0101010101010101010101010f1b040101010102060701010108110b08110b1c04010101010101010101010115160b010101010811170101010105170a0607010101010101010101010101010105170101010115160c0d010101020000060701010102000b0101020006070101020e01010101010203040101010f1a0d08111701010101050b08110e0809070f140607010101010a000b0101010819040811000b010101151318140b01010101010101010101010f141701010115160b01010101010101010f140607010101011516170101010115160c0d0101010517010101010101010101050c0d01010101010101010101010105060701010a000c0d010101010101011516000b0101010101010101010101010a030401010101010101010101010101081112130701010101010101010101010f140b0101010101010101010101050b0a03040f10010101010101010101010108110e01010101010101010101010105000c0d010a000e01010101010101010a00000000030401010101010101010101010101010101010101010101010101010105060701010101010101010101010101010101010101010101010101010101010a000b0101010101010101010101010101010101010101010101010101010101010506070809070101010101010101010101010101010101010101010101010101010200000304010101010101010101010101010101010101010101010101010101010101010101010101010101010101010101010101010101010101010101010101010101010101010101010101010101010101010101010101010101010101010101010101010101010101010101010101010101010101010101010101010101010101010101010101014c0000006400000000000000000000001f0000001a0000000000000000000000200000001b0000002900aa0000000000000000000000803f00000000000000000000803f0000000000000000000000000000000000000000000000000000000000000000220000000c000000ffffffff460000001c00000010000000454d462b024000000c000000000000000e000000140000000000000010000000140000000400000003010800050000000b0200000000050000000c021b002000030000001e00040000000701040004000000070104000d020000410b2000cc001b002000000000001b0020000000000028000000200000001b00000001000800000000000000000000000000000000001e0000000000000000000000ffffff00489cdf0048000000ffdf9c000074bf0074000000ffffbf00bfffff007400740074bfff00ffbf74009c480000ffffdf00bf7400009cdfff00bf74480000007400dfbf740074489c0000004800dfffff0000489c00df9c48009cdfbf00480074009c484800480048009cbfff0074004800010101010101010101010101010101010101010101010101010101010101010101010101010101010101010101010101010101010101010101010101010101010101010101010101010101010101010101010101010101010101010101010101010101010101011516001701010101010101010101010101010101010101010101010101010101010108110b010101010101010101010101010101010101010101010101010101010101050e0101010101010101010101010101010101010101010101010101010101010a0c0d010108110304010101010f1d070105000e0101010101010101010101010f1b040101010102060701010108110b08110b1c04010101010101010101010115160b010101010811170101010105170a0607010101010101010101010101010105170101010115160c0d010101020000060701010102000b0101020006070101020e01010101010203040101010f1a0d08111701010101050b08110e0809070f140607010101010a000b0101010819040811000b010101151318140b01010101010101010101010f141701010115160b01010101010101010f140607010101011516170101010115160c0d0101010517010101010101010101050c0d01010101010101010101010105060701010a000c0d010101010101011516000b0101010101010101010101010a030401010101010101010101010101081112130701010101010101010101010f140b0101010101010101010101050b0a03040f10010101010101010101010108110e01010101010101010101010105000c0d010a000e01010101010101010a00000000030401010101010101010101010101010101010101010101010101010105060701010101010101010101010101010101010101010101010101010101010a000b0101010101010101010101010101010101010101010101010101010101010506070809070101010101010101010101010101010101010101010101010101010200000304010101010101010101010101010101010101010101010101010101010101010101010101010101010101010101010101010101010101010101010101010101010101010101010101010101010101010101010101010101010101010101010101010101010101010101010101010101010101010101010101010101010101010101010101010c00000040092900aa000000000000001b00200000000000040000002701ffff030000000000>).
Покажем на примере 1 расчет структурных коэффициентов в целом для трех классов. Исходные данные для расчета коэффициентов представлены в табл. 3. Вычисленные структурные коэффициенты (R>0100090000037804000000001603000000001603000026060f002206574d464301000000000001004c160000000001000000000600000000000000060000010000006c00000000000000000000000f0000001a00000000000000000000008f0100007802000020454d4600000100000600000c00000001000000000000000000000000000000000500000004000040010000f000000000000000000000000000000000e2040080a90300460000002c00000020000000454d462b014001001c000000100000000210c0db010000006000000060000000460000000c02000000020000454d462b224004000c000000000000001e4009000c00000000000000244001000c000000000000003040020010000000040000000000803f214007000c0000000000000008400005580100004c0100000210c0db01000000000000000000000000000000000000000100000089504e470d0a1a0a0000000d49484452000000100000001b0802000000fa5698f5000000017352474200aece1ce9000000097048597300000ec400000ec401952b0e1b000000d549444154384f63fcffff3f0329808914c520b5a31a88093168281d28650401cfb90f209a20fcd203588c0046dcfe128692fd608ac163cefdffffefcff100f1b103062461908e92fd78950393059206a0529013709b0e528bac01e1285cee41d580d3029004d8732836809d0ed6439493a0010576142cc8c01a31ac658088c04d852a40b206248264298aa7b1fa156829dc03400504f3c383bb5718749415e0514e48c383bd6b76786820d413cc710f6eecf00871265ec381ad3d280e02ba0c4fa442d2235ab4e0d2000d5ee4f08118cd38f8ca25006ff0d27404e691410000000049454e44ae4260820840010824000000180000000210c0db01000000030000000000000000000000000000001b40000040000000340000000100000002000000000000bf000000bf000080410000d84103000000000080b3000080b3ffff7f41000080b3000080b3ffffd7412100000008000000620000000c00000001000000150000000c00000004000000150000000c00000004000000510000009002000000000000000000000f0000001a00000000000000000000000000000000000000100000001b0000005000000090000000e0000000b0010000000000002000cc00100000001b00000028000000100000001b00000001000800000000000000000000000000000000001a0000000000000000000000ffffff000074bf009c480000ffffdf0074bfff00bf740000ffbf740048000000ffdf9c009cdfff00bf744800bfffff0000007400dfbf740074489c00ffffbf00dfffff0000489c000000480074000000df9c48009cdfbf0074007400489cdf0048004800010101010101010101010101010101010101010101010101010101010101010101010101010101010101010101010101010101010101011112001501010101010101010101010101010c0d07010101010101010101010101010102060101010101010101010101010101050304010101010101010101010101010a1909010101010101010101010101011112070101010101010101010101010101021501010118000701011800141001011806010101010102070c0d060c17100a13141001010101110f1613070101010101010101010101010a13141001010101111215010101010101020304010101010101010101010101111200070101010101010101010101010c0d0e0f1001010101010101010102070508090a0b01010101010101010101020003040105000601010101010101010101010101010101010101010101010101010101010101010101010101010101010101010101010101010101010101010101010101010101010101010101010101010101010101010101010101010101010101010101010101010101010101010101010101010101010101010101010101010101010101010101010101014c0000006400000000000000000000000f0000001a0000000000000000000000100000001b0000002900aa0000000000000000000000803f00000000000000000000803f0000000000000000000000000000000000000000000000000000000000000000220000000c000000ffffffff460000001c00000010000000454d462b024000000c000000000000000e000000140000000000000010000000140000000400000003010800050000000b0200000000050000000c021b001000030000001e00040000000701040004000000070104002d010000410b2000cc001b001000000000001b0010000000000028000000100000001b00000001000800000000000000000000000000000000001a0000000000000000000000ffffff000074bf009c480000ffffdf0074bfff00bf740000ffbf740048000000ffdf9c009cdfff00bf744800bfffff0000007400dfbf740074489c00ffffbf00dfffff0000489c000000480074000000df9c48009cdfbf0074007400489cdf0048004800010101010101010101010101010101010101010101010101010101010101010101010101010101010101010101010101010101010101011112001501010101010101010101010101010c0d07010101010101010101010101010102060101010101010101010101010101050304010101010101010101010101010a1909010101010101010101010101011112070101010101010101010101010101021501010118000701011800141001011806010101010102070c0d060c17100a13141001010101110f1613070101010101010101010101010a13141001010101111215010101010101020304010101010101010101010101111200070101010101010101010101010c0d0e0f1001010101010101010102070508090a0b01010101010101010101020003040105000601010101010101010101010101010101010101010101010101010101010101010101010101010101010101010101010101010101010101010101010101010101010101010101010101010101010101010101010101010101010101010101010101010101010101010101010101010101010101010101010101010101010101010101010101010c00000040092900aa000000000000001b00100000000000040000002701ffff030000000000>f) имеют следующие значения:
R>x>>1>>f>= 0,650 R>X>>2>>f> = -0,576 R>ХЗ>>f> = -0,506 R>x>>4>>f> = -0,951
R>x>>1>>jl> = -0,036 R>x>>2>>j>>1> = 0,486 R>хЗ>>jl> = -0,211 R>x>>4>>j>>1> = 0,217
R>x>>1>>f>>2> = -0,728 R>x>>2>>f>>2> = 0,878 R>ХЗ>>f>>2> = 0,511 R>x>>4>>f>>2> = -0,998
R>x>>1>>fJ> = -0,713 R>х1>>J>>З> = 0,258 R>хЗ>>fJ> = -0,122 R>x>>4>>fJ> = -0,998.
Таблица 3 – Исходные данные
-
Номер
Х1
Х>2>
Х>З>
Х>4>

наблюдения
1
0,50
94,0
8,50
6707
-31973,089
2
0,67
75,4
8,79
5037
-18122,238
3
0,68
85,2
9,10
3695
-6930,930
4
0,55
98,8
8,47
6815
-32812,109
5
1,52
81,5
4,95
3211
-13434,229
6
1,20
93,8
6,95
2890
-10812,723
7
1,46
86,5
4,70
2935
-11139,514
8
1,70
80,0
4,50
3510
-14272,295
9
1,65
85,0
4,80
2900
-9573,076
10
1,49
78,5
4,10
2850
-9348,104
Если
рассматривать абсолютные значения
структурных коэффициентов, видно,
например, что наибольшая зависимость
функций >0100090000035004000000000603000000000603000026060f000206574d46430100000000000100e4120000000001000000e005000000000000e0050000010000006c00000000000000000000000e000000180000000000000000000000760100004902000020454d4600000100e00500000c00000001000000000000000000000000000000000500000004000040010000f000000000000000000000000000000000e2040080a90300460000002c00000020000000454d462b014001001c000000100000000210c0db010000006000000060000000460000001c02000010020000454d462b224004000c000000000000001e4009000c00000000000000244001000c000000000000003040020010000000040000000000803f214007000c0000000000000008400005680100005c0100000210c0db01000000000000000000000000000000000000000100000089504e470d0a1a0a0000000d494844520000000f000000190802000000613be39b000000017352474200aece1ce9000000097048597300000ec400000ec401952b0e1b000000e249444154384f63fcffff3f03d18089689520857456fd60ae27231478ce7d80e25274971c2865544cd1d90ff4fbfffd250c3aca0aa8fe0289c3015001034309582d56c0408ae2ff30d560539180c79cfb584c47369b903bfeff47f2e583bb57808ef676c0135fc8aa6fec60f0d0400b0454ad08d507b6f6306006190ed56077a01a0d0c7bc6d20328eaa13ebf3fc703a8181610601e18a0063ecc250f808e467287f374a029083d30f3a1aad1dca1a080ddb310d50ff6ae0186478833de0081a76f903b8850cc008a4bb0fbb0a42550dca20a3380d3077aaa40f31f5c9a7188e66200f9aa26df2e2ace9f0000000049454e44ae4260820000000840010824000000180000000210c0db01000000030000000000000000000000000000001b40000040000000340000000100000002000000000000bf000000bf000070410000c84103000000000000b3000000b3ffff6f41000000b3000000b3ffffc7412100000008000000620000000c00000001000000150000000c00000004000000150000000c00000004000000510000006002000000000000000000000e00000018000000000000000000000000000000000000000f000000190000005000000080000000d000000090010000000000002000cc000f00000019000000280000000f000000190000000100080000000000000000000000000000000000160000000000000000000000ffffff00489cdf0048000000ffdf9c000074bf0074000000ffffbf00bfffff007400740074bfff00ffbf740000007400bf7400009cdfff0000004800dfffff0000489c009c480000ffffdf00df9c4800dfdfdf00010101010101010101010101010101010101010101010101010101010101010101010101010101010101010101010101010101010101010101010101010101010c030401010101020000000014010101010206070101010101050d010101010101080c140101010101020d0101010101011011121301010101020d0101010101010102030401010101020d010101010101010a000b01011501020d010101010101010e0f1401010200000d0101010101010110111213010101050d0101010101010101050607010101010101010101010101010a0304010101010101010101010101010e0f0b01010101010101010101010101080c0d0101010101010101010101010a0000000003040101010101010101010101050607010101010101010101010101010a000b0101010101010101010101010101050607080907010101010101010101010102000003040101010101010101010101010101010101010101010101010101010101010101010101010101010101010101010101010101010101010101010101010101010101010101014c0000006400000000000000000000000e0000001800000000000000000000000f000000190000002900aa0000000000000000000000803f00000000000000000000803f0000000000000000000000000000000000000000000000000000000000000000220000000c000000ffffffff460000001c00000010000000454d462b024000000c000000000000000e000000140000000000000010000000140000000400000003010800050000000b0200000000050000000c0219000f00030000001e000400000007010400040000000701040015010000410b2000cc0019000f000000000019000f0000000000280000000f000000190000000100080000000000000000000000000000000000160000000000000000000000ffffff00489cdf0048000000ffdf9c000074bf0074000000ffffbf00bfffff007400740074bfff00ffbf740000007400bf7400009cdfff0000004800dfffff0000489c009c480000ffffdf00df9c4800dfdfdf00010101010101010101010101010101010101010101010101010101010101010101010101010101010101010101010101010101010101010101010101010101010c030401010101020000000014010101010206070101010101050d010101010101080c140101010101020d0101010101011011121301010101020d0101010101010102030401010101020d010101010101010a000b01011501020d010101010101010e0f1401010200000d0101010101010110111213010101050d0101010101010101050607010101010101010101010101010a0304010101010101010101010101010e0f0b01010101010101010101010101080c0d0101010101010101010101010a0000000003040101010101010101010101050607010101010101010101010101010a000b0101010101010101010101010101050607080907010101010101010101010102000003040101010101010101010101010101010101010101010101010101010101010101010101010101010101010101010101010101010101010101010101010101010101010101010c00000040092900aa0000000000000019000f0000000000040000002701ffff030000000000>>
>
наблюдается
от переменной >010009000003ac04000000002e03000000002e03000026060f005206574d4643010000000000010020d60000000001000000300600000000000030060000010000006c000000000000000000000013000000180000000000000000000000f30100004902000020454d4600000100300600000c00000001000000000000000000000000000000000500000004000040010000f000000000000000000000000000000000e2040080a90300460000002c00000020000000454d462b014001001c000000100000000210c0db0100000060000000600000004600000004020000f8010000454d462b224004000c000000000000001e4009000c00000000000000244001000c000000000000003040020010000000040000000000803f214007000c000000000000000840000550010000440100000210c0db01000000000000000000000000000000000000000100000089504e470d0a1a0a0000000d4948445200000014000000190802000000be759984000000017352474200aece1ce9000000097048597300000ec400000ec401952b0e1b000000cd49444154384fd5945116842008457356d7826c37edc576d2521c04c5873a1ea7bff8a9c02bf0e0e4628cdb53fb3c0513f772f83a5cb1e3621daa273b06ea90da62f7b953783fef9f0e3d5a5eb6ea61bac2fce94347800360c99d8fa777a8627c05c231062fb9d3739e946fb33053c916c81ed6dcb3563566328be0cb89b16c2ab9f4fb67d9a02ef7dd345db4b01129dbaadbd2b9a472b04e90e0663906bb661709e03c9bba11aada606014c3cd69e63c9d10956fa55885533ddde6acc1983378bd64058639d91572effc7b7e016e082c3efc32988e0000000049454e44ae4260820840010824000000180000000210c0db01000000030000000000000000000000000000001b40000040000000340000000100000002000000000000bf000000bf0000a0410000c84103000000000080b3000080b3ffff9f41000080b3000080b3ffffc7412100000008000000620000000c00000001000000150000000c00000004000000150000000c0000000400000051000000c8020000000000000000000013000000180000000000000000000000000000000000000014000000190000005000000084000000d4000000f4010000000000002000cc0014000000190000002800000014000000190000000100080000000000000000000000000000000000170000000000000000000000ffffff0074bfff00ffbf740074000000ffffbf00489cdf00df9c4800dfffff0000489c0048000000ffdf9c009cdfff0000004800bf7400000074bf00bfffff00000074009c480000ffffdf00bfffdf0048004800480074000101010101010101010101010101010101010101010101010101010101010101010101010101010101010101010101010101010101010101010101010101010101010101010101101100000000030101010101010101010101010101020e01010203010101010101010101010101010101060e01010101010101010101010101010101010101020e0101010111000a0b01080900000e010101010106070101010809121301010c0d121301010101010c150b0101011011030101020003010110160b01020a0b010101010c150b010f0405010101101100000e010101010101021214110e010101010101010101010101010101010600000301010101010101010101010101010101010f1213010101010101010101010101010101011011000e01010101010101010101010101010101020a0b0f0e010101010101010101010101010108090e01080907010101010101010101010101010c0d0701010c0d03010101010101010101010101060007010108090a0b01010101010101010101020000000301020000040501010101010101010101010101010101010101010101010101010101010101010101010101010101010101010101010101010101010101010101010101010101010101010101010101010101010101010101010101010101010101010101010101010101010101010101014c0000006400000000000000000000001300000018000000000000000000000014000000190000002900aa0000000000000000000000803f00000000000000000000803f0000000000000000000000000000000000000000000000000000000000000000220000000c000000ffffffff460000001c00000010000000454d462b024000000c000000000000000e000000140000000000000010000000140000000400000003010800050000000b0200000000050000000c0219001400030000001e000400000007010400040000000701040049010000410b2000cc00190014000000000019001400000000002800000014000000190000000100080000000000000000000000000000000000170000000000000000000000ffffff0074bfff00ffbf740074000000ffffbf00489cdf00df9c4800dfffff0000489c0048000000ffdf9c009cdfff0000004800bf7400000074bf00bfffff00000074009c480000ffffdf00bfffdf0048004800480074000101010101010101010101010101010101010101010101010101010101010101010101010101010101010101010101010101010101010101010101010101010101010101010101101100000000030101010101010101010101010101020e01010203010101010101010101010101010101060e01010101010101010101010101010101010101020e0101010111000a0b01080900000e010101010106070101010809121301010c0d121301010101010c150b0101011011030101020003010110160b01020a0b010101010c150b010f0405010101101100000e010101010101021214110e010101010101010101010101010101010600000301010101010101010101010101010101010f1213010101010101010101010101010101011011000e01010101010101010101010101010101020a0b0f0e010101010101010101010101010108090e01080907010101010101010101010101010c0d0701010c0d03010101010101010101010101060007010108090a0b01010101010101010101020000000301020000040501010101010101010101010101010101010101010101010101010101010101010101010101010101010101010101010101010101010101010101010101010101010101010101010101010101010101010101010101010101010101010101010101010101010101010101010c00000040092900aa000000000000001900140000000000040000002701ffff030000000000>,
а
функций >0100090000035c04000000001003000000001003000026060f001606574d4643010000000000010063750000000001000000f405000000000000f4050000010000006c00000000000000000000000f0000001800000000000000000000008f0100004902000020454d4600000100f40500000c00000001000000000000000000000000000000000500000004000040010000f000000000000000000000000000000000e2040080a90300460000002c00000020000000454d462b014001001c000000100000000210c0db010000006000000060000000460000002c02000020020000454d462b224004000c000000000000001e4009000c00000000000000244001000c000000000000003040020010000000040000000000803f214007000c0000000000000008400005780100006c0100000210c0db01000000000000000000000000000000000000000100000089504e470d0a1a0a0000000d4948445200000010000000190802000000b79e39fe000000017352474200aece1ce9000000097048597300000ec400000ec401952b0e1b000000f349444154384fdd543b12823010dd78121c1b0a0e4109e331f408700aed6de006b68e360e1cc2c2c62137593721099b008e54ceb8552679efeddbcf4420222c89d512b0c2fe8420eb5c98c86b195a0e2db5a558ef93865a814d01c9261ad5a89e5c1006a0d0f0b9808578b404adcd22abbae91c3cc317861059d1f2f5a002b6e9e75172c2f306593c6e8b2f3010dacb1126fb3843d0868604340f1b65eb514c2fba2a23bc690d55cf8eeeaca1d692a4029ca1f480d75d5f4c1493100f43080c3984bc9fa13a19727fabf37886bc4d19ed494f50230b66ab34a6b64a11b4beff480aeea229f81be81d0ad4c3c5e204f1079fc01bb59987c95f23bb220000000049454e44ae42608200000840010824000000180000000210c0db01000000030000000000000000000000000000001b40000040000000340000000100000002000000000000bf000000bf000080410000c84103000000000000b3000000b3ffff7f41000000b3000000b3ffffc7412100000008000000620000000c00000001000000150000000c00000004000000150000000c00000004000000510000006402000000000000000000000f000000180000000000000000000000000000000000000010000000190000005000000084000000d400000090010000000000002000cc0010000000190000002800000010000000190000000100080000000000000000000000000000000000170000000000000000000000ffffff00489cdf0048000000ffdf9c000074bf0074000000ffffbf00bfffff007400740074bfff00ffbf740000007400bf7400009cdfff0000004800dfffff0000489c009c480000ffffdf00df9c48004800740048004800010101010101010101010101010101010101010101010101010101010101010101010101010101010101010101010101010101010101010101010101010101010c0304010101080c000000000b010101010206070101010a0d01010a0b01010101080c1401010101020d0101010101010110111213010101010a0d01010101010101020304010101010102140101010101010a000b01010101010e160401010101010e0f1401081504010a030401010101011011121301080c00000d01010101010101050607010101010101010101010101010a0304010101010101010101010101010e0f0b01010101010101010101010101080c0d0101010101010101010101010a0000000003040101010101010101010101050607010101010101010101010101010a000b0101010101010101010101010101050607080907010101010101010101010102000003040101010101010101010101010101010101010101010101010101010101010101010101010101010101010101010101010101010101010101010101010101010101010101014c0000006400000000000000000000000f00000018000000000000000000000010000000190000002900aa0000000000000000000000803f00000000000000000000803f0000000000000000000000000000000000000000000000000000000000000000220000000c000000ffffffff460000001c00000010000000454d462b024000000c000000000000000e000000140000000000000010000000140000000400000003010800050000000b0200000000050000000c0219001000030000001e000400000007010400040000000701040017010000410b2000cc00190010000000000019001000000000002800000010000000190000000100080000000000000000000000000000000000170000000000000000000000ffffff00489cdf0048000000ffdf9c000074bf0074000000ffffbf00bfffff007400740074bfff00ffbf740000007400bf7400009cdfff0000004800dfffff0000489c009c480000ffffdf00df9c48004800740048004800010101010101010101010101010101010101010101010101010101010101010101010101010101010101010101010101010101010101010101010101010101010c0304010101080c000000000b010101010206070101010a0d01010a0b01010101080c1401010101020d0101010101010110111213010101010a0d01010101010101020304010101010102140101010101010a000b01010101010e160401010101010e0f1401081504010a030401010101011011121301080c00000d01010101010101050607010101010101010101010101010a0304010101010101010101010101010e0f0b01010101010101010101010101080c0d0101010101010101010101010a0000000003040101010101010101010101050607010101010101010101010101010a000b0101010101010101010101010101050607080907010101010101010101010102000003040101010101010101010101010101010101010101010101010101010101010101010101010101010101010101010101010101010101010101010101010101010101010101010c00000040092900aa000000000000001900100000000000040000002701ffff030000000000>>
>
и
>0100090000035804000000000a03000000000a03000026060f000a06574d4643010000000000010049480000000001000000e805000000000000e8050000010000006c00000000000000000000000f0000001800000000000000000000008f0100004902000020454d4600000100e80500000c00000001000000000000000000000000000000000500000004000040010000f000000000000000000000000000000000e2040080a90300460000002c00000020000000454d462b014001001c000000100000000210c0db010000006000000060000000460000001c02000010020000454d462b224004000c000000000000001e4009000c00000000000000244001000c000000000000003040020010000000040000000000803f214007000c0000000000000008400005680100005c0100000210c0db01000000000000000000000000000000000000000100000089504e470d0a1a0a0000000d4948445200000010000000190802000000b79e39fe000000017352474200aece1ce9000000097048597300000ec400000ec401952b0e1b000000e349444154384f63fcffff3f0329808914c520b503a2e1c15c4f4628f09cfb00ddc9e84e3a50caa898a2b31f1814fff79730e8282b60f81124050740350c0c2560e5b8000389eaffc33480cd46021e73ee63b703d906221cf4ff3f92a71fdcbd02f480b703fea844d670630783870666b0a01a80d070606b0f03d670c4a101ec2098054871c7881e79d0b0b83fc703a81e1a34400e8c090a0894104309562c510632089b06140b10110012463305620316f5f098c4aa01c3a5704bc04621eb0105eb83b99d3d0c25e5c9f0280026592c091b1abce034849e72c0e642019a1ce330280400868aa888cf0c08d00000000049454e44ae42608200000840010824000000180000000210c0db01000000030000000000000000000000000000001b40000040000000340000000100000002000000000000bf000000bf000080410000c84103000000000000b3000000b3ffff7f41000000b3000000b3ffffc7412100000008000000620000000c00000001000000150000000c00000004000000150000000c00000004000000510000006802000000000000000000000f000000180000000000000000000000000000000000000010000000190000005000000088000000d800000090010000000000002000cc0010000000190000002800000010000000190000000100080000000000000000000000000000000000180000000000000000000000ffffff00489cdf0048000000ffdf9c000074bf0074000000ffffbf00bfffff007400740074bfff00ffbf740000007400bf7400009cdfff0000004800dfffff0000489c009c480000ffffdf00df9c480048489c004800480048007400010101010101010101010101010101010101010101010101010101010101010101010101010101010101010101010101010101010101010101010101010101010c030401010101020000001401010101010206070101081704010e0f0b01010101080c140101010101010e0f0b01010101101112130101010500000b0101010101010203040101010110110b0101010101010a000b01010101010e160401010101010e0f1401101504010a030401010101011011121301020000001401010101010101050607010101010101010101010101010a0304010101010101010101010101010e0f0b01010101010101010101010101080c0d0101010101010101010101010a0000000003040101010101010101010101050607010101010101010101010101010a000b0101010101010101010101010101050607080907010101010101010101010102000003040101010101010101010101010101010101010101010101010101010101010101010101010101010101010101010101010101010101010101010101010101010101010101014c0000006400000000000000000000000f00000018000000000000000000000010000000190000002900aa0000000000000000000000803f00000000000000000000803f0000000000000000000000000000000000000000000000000000000000000000220000000c000000ffffffff460000001c00000010000000454d462b024000000c000000000000000e000000140000000000000010000000140000000400000003010800050000000b0200000000050000000c0219001000030000001e000400000007010400040000000701040019010000410b2000cc00190010000000000019001000000000002800000010000000190000000100080000000000000000000000000000000000180000000000000000000000ffffff00489cdf0048000000ffdf9c000074bf0074000000ffffbf00bfffff007400740074bfff00ffbf740000007400bf7400009cdfff0000004800dfffff0000489c009c480000ffffdf00df9c480048489c004800480048007400010101010101010101010101010101010101010101010101010101010101010101010101010101010101010101010101010101010101010101010101010101010c030401010101020000001401010101010206070101081704010e0f0b01010101080c140101010101010e0f0b01010101101112130101010500000b0101010101010203040101010110110b0101010101010a000b01010101010e160401010101010e0f1401101504010a030401010101011011121301020000001401010101010101050607010101010101010101010101010a0304010101010101010101010101010e0f0b01010101010101010101010101080c0d0101010101010101010101010a0000000003040101010101010101010101050607010101010101010101010101010a000b0101010101010101010101010101050607080907010101010101010101010102000003040101010101010101010101010101010101010101010101010101010101010101010101010101010101010101010101010101010101010101010101010101010101010101010c00000040092900aa000000000000001900100000000000040000002701ffff030000000000>
- от
переменной >010009000003be04000000003803000000003803000026060f006606574d4643010000000000010098d20000000001000000440600000000000044060000010000006c000000000000000000000013000000180000000000000000000000f30100004902000020454d4600000100440600000c00000001000000000000000000000000000000000500000004000040010000f000000000000000000000000000000000e2040080a90300460000002c00000020000000454d462b014001001c000000100000000210c0db0100000060000000600000004600000008020000fc010000454d462b224004000c000000000000001e4009000c00000000000000244001000c000000000000003040020010000000040000000000803f214007000c000000000000000840000554010000480100000210c0db01000000000000000000000000000000000000000100000089504e470d0a1a0a0000000d4948445200000014000000190802000000be759984000000017352474200aece1ce9000000097048597300000ec400000ec401952b0e1b000000d149444154384fd594ed0184200886f5a66b20dba65d6c1347313e4431b9cef35ffca9d0075e10f33967b76a9f5510b997c3e7eec5f693fad03cc5617407bacd968e0d96b7237d75d4adf2e29a87e806d3678803a11c0ae6dc653bbe2b1576080de71c03e7c6e773528ad6c344a14d90235c733f955ad7baccdcf0e9c45a3648967aff94adba4b755b450f87c7b2fbeeda34a0605d54806fc361cc1acf5f88b8534b72e56cda44d4ae29eda005a1019e3893820a9c8e502ec06d488c504a89dc2b99dbdfb08ab722bbbbb3fa14fd3bff9e17c1eb25a57c0771910000000049454e44ae4260820840010824000000180000000210c0db01000000030000000000000000000000000000001b40000040000000340000000100000002000000000000bf000000bf0000a0410000c84103000000000080b3000080b3ffff9f41000080b3000080b3ffffc7412100000008000000620000000c00000001000000150000000c00000004000000150000000c0000000400000051000000d8020000000000000000000013000000180000000000000000000000000000000000000014000000190000005000000094000000e4000000f4010000000000002000cc00140000001900000028000000140000001900000001000800000000000000000000000000000000001b0000000000000000000000ffffff0074bfff00ffbf740074000000ffffbf00489cdf00df9c4800dfffff0000489c0048000000ffdf9c009cdfff0000004800bf7400000074bf00bfffff00000074009c480000ffffdf00bfffdf004800480048489c0000484800dfbf7400740074009c749c0001010101010101010101010101010101010101010101010101010101010101010101010101010101010101010101010101010101010101010101010101010101010101010101010101010600040501010101010101010101010101010101080903010101010101010101010101010106000000000012130101010101010101010101011019050809181a130111000a0b01080900000e0101020e0809030101010809121301010c0d121301010106180903010101011011030101020003010101010816170301010101010c150b010f040501010101010c0d03010101010101021214110e010101010101010101010101010101010600000301010101010101010101010101010101010f1213010101010101010101010101010101011011000e01010101010101010101010101010101020a0b0f0e010101010101010101010101010108090e01080907010101010101010101010101010c0d0701010c0d03010101010101010101010101060007010108090a0b01010101010101010101020000000301020000040501010101010101010101010101010101010101010101010101010101010101010101010101010101010101010101010101010101010101010101010101010101010101010101010101010101010101010101010101010101010101010101010101010101010101010101014c0000006400000000000000000000001300000018000000000000000000000014000000190000002900aa0000000000000000000000803f00000000000000000000803f0000000000000000000000000000000000000000000000000000000000000000220000000c000000ffffffff460000001c00000010000000454d462b024000000c000000000000000e000000140000000000000010000000140000000400000003010800050000000b0200000000050000000c0219001400030000001e000400000007010400040000000701040051010000410b2000cc001900140000000000190014000000000028000000140000001900000001000800000000000000000000000000000000001b0000000000000000000000ffffff0074bfff00ffbf740074000000ffffbf00489cdf00df9c4800dfffff0000489c0048000000ffdf9c009cdfff0000004800bf7400000074bf00bfffff00000074009c480000ffffdf00bfffdf004800480048489c0000484800dfbf7400740074009c749c0001010101010101010101010101010101010101010101010101010101010101010101010101010101010101010101010101010101010101010101010101010101010101010101010101010600040501010101010101010101010101010101080903010101010101010101010101010106000000000012130101010101010101010101011019050809181a130111000a0b01080900000e0101020e0809030101010809121301010c0d121301010106180903010101011011030101020003010101010816170301010101010c150b010f040501010101010c0d03010101010101021214110e010101010101010101010101010101010600000301010101010101010101010101010101010f1213010101010101010101010101010101011011000e01010101010101010101010101010101020a0b0f0e010101010101010101010101010108090e01080907010101010101010101010101010c0d0701010c0d03010101010101010101010101060007010108090a0b01010101010101010101020000000301020000040501010101010101010101010101010101010101010101010101010101010101010101010101010101010101010101010101010101010101010101010101010101010101010101010101010101010101010101010101010101010101010101010101010101010101010101010c00000040092900aa000000000000001900140000000000040000002701ffff030000000000>.
Различные
знаки у структурных коэффициентов можно
интерпретировать следующим образом.
Исходные переменные, имеющие различное
направление связи с дискриминантной
функцией, т.е. положительные или
отрицательные структурные коэффициенты,
будут ориентировать объекты в различных
направлениях, удаляя или приближая их
к центрам соответствующих классов. Из
данного примера видно, что переменная
X>1>
и
функция >0100090000035004000000000603000000000603000026060f000206574d46430100000000000100e4120000000001000000e005000000000000e0050000010000006c00000000000000000000000e000000180000000000000000000000760100004902000020454d4600000100e00500000c00000001000000000000000000000000000000000500000004000040010000f000000000000000000000000000000000e2040080a90300460000002c00000020000000454d462b014001001c000000100000000210c0db010000006000000060000000460000001c02000010020000454d462b224004000c000000000000001e4009000c00000000000000244001000c000000000000003040020010000000040000000000803f214007000c0000000000000008400005680100005c0100000210c0db01000000000000000000000000000000000000000100000089504e470d0a1a0a0000000d494844520000000f000000190802000000613be39b000000017352474200aece1ce9000000097048597300000ec400000ec401952b0e1b000000e249444154384f63fcffff3f03d18089689520857456fd60ae27231478ce7d80e25274971c2865544cd1d90ff4fbfffd250c3aca0aa8fe0289c3015001034309582d56c0408ae2ff30d560539180c79cfb584c47369b903bfeff47f2e583bb57808ef676c0135fc8aa6fec60f0d0400b0454ad08d507b6f6306006190ed56077a01a0d0c7bc6d20328eaa13ebf3fc703a8181610601e18a0063ecc250f808e467287f374a029083d30f3a1aad1dca1a080ddb310d50ff6ae0186478833de0081a76f903b8850cc008a4bb0fbb0a42550dca20a3380d3077aaa40f31f5c9a7188e66200f9aa26df2e2ace9f0000000049454e44ae4260820000000840010824000000180000000210c0db01000000030000000000000000000000000000001b40000040000000340000000100000002000000000000bf000000bf000070410000c84103000000000000b3000000b3ffff6f41000000b3000000b3ffffc7412100000008000000620000000c00000001000000150000000c00000004000000150000000c00000004000000510000006002000000000000000000000e00000018000000000000000000000000000000000000000f000000190000005000000080000000d000000090010000000000002000cc000f00000019000000280000000f000000190000000100080000000000000000000000000000000000160000000000000000000000ffffff00489cdf0048000000ffdf9c000074bf0074000000ffffbf00bfffff007400740074bfff00ffbf740000007400bf7400009cdfff0000004800dfffff0000489c009c480000ffffdf00df9c4800dfdfdf00010101010101010101010101010101010101010101010101010101010101010101010101010101010101010101010101010101010101010101010101010101010c030401010101020000000014010101010206070101010101050d010101010101080c140101010101020d0101010101011011121301010101020d0101010101010102030401010101020d010101010101010a000b01011501020d010101010101010e0f1401010200000d0101010101010110111213010101050d0101010101010101050607010101010101010101010101010a0304010101010101010101010101010e0f0b01010101010101010101010101080c0d0101010101010101010101010a0000000003040101010101010101010101050607010101010101010101010101010a000b0101010101010101010101010101050607080907010101010101010101010102000003040101010101010101010101010101010101010101010101010101010101010101010101010101010101010101010101010101010101010101010101010101010101010101014c0000006400000000000000000000000e0000001800000000000000000000000f000000190000002900aa0000000000000000000000803f00000000000000000000803f0000000000000000000000000000000000000000000000000000000000000000220000000c000000ffffffff460000001c00000010000000454d462b024000000c000000000000000e000000140000000000000010000000140000000400000003010800050000000b0200000000050000000c0219000f00030000001e000400000007010400040000000701040015010000410b2000cc0019000f000000000019000f0000000000280000000f000000190000000100080000000000000000000000000000000000160000000000000000000000ffffff00489cdf0048000000ffdf9c000074bf0074000000ffffbf00bfffff007400740074bfff00ffbf740000007400bf7400009cdfff0000004800dfffff0000489c009c480000ffffdf00df9c4800dfdfdf00010101010101010101010101010101010101010101010101010101010101010101010101010101010101010101010101010101010101010101010101010101010c030401010101020000000014010101010206070101010101050d010101010101080c140101010101020d0101010101011011121301010101020d0101010101010102030401010101020d010101010101010a000b01011501020d010101010101010e0f1401010200000d0101010101010110111213010101050d0101010101010101050607010101010101010101010101010a0304010101010101010101010101010e0f0b01010101010101010101010101080c0d0101010101010101010101010a0000000003040101010101010101010101050607010101010101010101010101010a000b0101010101010101010101010101050607080907010101010101010101010102000003040101010101010101010101010101010101010101010101010101010101010101010101010101010101010101010101010101010101010101010101010101010101010101010c00000040092900aa0000000000000019000f0000000000040000002701ffff030000000000>
имеют
коэффициент -0,036. Это значит, что при
увеличении значений >010009000003ae04000000003003000000003003000026060f005606574d46430100000000000100d66e0000000001000000340600000000000034060000010000006c000000000000000000000012000000180000000000000000000000da0100004902000020454d4600000100340600000c00000001000000000000000000000000000000000500000004000040010000f000000000000000000000000000000000e2040080a90300460000002c00000020000000454d462b014001001c000000100000000210c0db0100000060000000600000004600000008020000fc010000454d462b224004000c000000000000001e4009000c00000000000000244001000c000000000000003040020010000000040000000000803f214007000c000000000000000840000554010000480100000210c0db01000000000000000000000000000000000000000100000089504e470d0a1a0a0000000d49484452000000130000001908020000005ca982fd000000017352474200aece1ce9000000097048597300000ec400000ec401952b0e1b000000ce49444154384fd5534b1683200c849ece03e96d3c48777a0c77f42694247c86885559f85eb3d104869909c17aef4d57bcba5004fa4fe43ad914d3cade4b25167447426f25dc3c84b561768785bc957f4c49195a909c8e4bbd1d32400a6bdc4bffc0dfc023d2fb651456fafea0d36a292708c519acf6c92725d6437b79a1522bedbd4689bd0d74c9e31db5d04bf6da30aada266aebe20e9a5de08101a926a0354d8e068bf6811413afa15c7b21509235f2bcfd38c7c0f9c8cbfe6cefeaa15d510bd6092b2fc1d20476c5233e95b22fcd4499a6adcfb4c80000000049454e44ae4260820000000840010824000000180000000210c0db01000000030000000000000000000000000000001b40000040000000340000000100000002000000000000bf000000bf000098410000c84103000000000000b3000000b3ffff9741000000b3000000b3ffffc7412100000008000000620000000c00000001000000150000000c00000004000000150000000c0000000400000051000000c8020000000000000000000012000000180000000000000000000000000000000000000013000000190000005000000084000000d4000000f4010000000000002000cc0013000000190000002800000013000000190000000100080000000000000000000000000000000000170000000000000000000000ffffff0074bfff00ffbf740074000000ffffbf00489cdf00df9c4800dfffff0000489c0048000000ffdf9c009cdfff0000004800bf7400000074bf00bfffff00000074009c480000ffffdf00bfffdf0048004800dfdfdf00010101010101010101010101010101010101010101010101010101010101010101010101010101010101010101010101010101010101010101010101010101010101010101010101060000000007010101010101010101010101010101010f0e010101010101010101010101010101010101060e010101010101010101010101010101010101060e0101010111000a0b01080900000e01010101060e010101010809121301010c0d121301011601060e010101010110110301010200030101010600000e0101010101010c150b010f040501010101010f0e01010101010101021214110e010101010101010101010101010101010600000301010101010101010101010101010101010f1213010101010101010101010101010101011011000e01010101010101010101010101010101020a0b0f0e010101010101010101010101010108090e01080907010101010101010101010101010c0d0701010c0d03010101010101010101010101060007010108090a0b01010101010101010101020000000301020000040501010101010101010101010101010101010101010101010101010101010101010101010101010101010101010101010101010101010101010101010101010101010101010101010101010101010101010101010101010101010101010101010101010101010101010101014c0000006400000000000000000000001200000018000000000000000000000013000000190000002900aa0000000000000000000000803f00000000000000000000803f0000000000000000000000000000000000000000000000000000000000000000220000000c000000ffffffff460000001c00000010000000454d462b024000000c000000000000000e000000140000000000000010000000140000000400000003010800050000000b0200000000050000000c0219001300030000001e000400000007010400040000000701040049010000410b2000cc00190013000000000019001300000000002800000013000000190000000100080000000000000000000000000000000000170000000000000000000000ffffff0074bfff00ffbf740074000000ffffbf00489cdf00df9c4800dfffff0000489c0048000000ffdf9c009cdfff0000004800bf7400000074bf00bfffff00000074009c480000ffffdf00bfffdf0048004800dfdfdf00010101010101010101010101010101010101010101010101010101010101010101010101010101010101010101010101010101010101010101010101010101010101010101010101060000000007010101010101010101010101010101010f0e010101010101010101010101010101010101060e010101010101010101010101010101010101060e0101010111000a0b01080900000e01010101060e010101010809121301010c0d121301011601060e010101010110110301010200030101010600000e0101010101010c150b010f040501010101010f0e01010101010101021214110e010101010101010101010101010101010600000301010101010101010101010101010101010f1213010101010101010101010101010101011011000e01010101010101010101010101010101020a0b0f0e010101010101010101010101010108090e01080907010101010101010101010101010c0d0701010c0d03010101010101010101010101060007010108090a0b01010101010101010101020000000301020000040501010101010101010101010101010101010101010101010101010101010101010101010101010101010101010101010101010101010101010101010101010101010101010101010101010101010101010101010101010101010101010101010101010101010101010101010c00000040092900aa000000000000001900130000000000040000002701ffff030000000000>
функция
>0100090000035004000000000603000000000603000026060f000206574d46430100000000000100e4120000000001000000e005000000000000e0050000010000006c00000000000000000000000e000000180000000000000000000000760100004902000020454d4600000100e00500000c00000001000000000000000000000000000000000500000004000040010000f000000000000000000000000000000000e2040080a90300460000002c00000020000000454d462b014001001c000000100000000210c0db010000006000000060000000460000001c02000010020000454d462b224004000c000000000000001e4009000c00000000000000244001000c000000000000003040020010000000040000000000803f214007000c0000000000000008400005680100005c0100000210c0db01000000000000000000000000000000000000000100000089504e470d0a1a0a0000000d494844520000000f000000190802000000613be39b000000017352474200aece1ce9000000097048597300000ec400000ec401952b0e1b000000e249444154384f63fcffff3f03d18089689520857456fd60ae27231478ce7d80e25274971c2865544cd1d90ff4fbfffd250c3aca0aa8fe0289c3015001034309582d56c0408ae2ff30d560539180c79cfb584c47369b903bfeff47f2e583bb57808ef676c0135fc8aa6fec60f0d0400b0454ad08d507b6f6306006190ed56077a01a0d0c7bc6d20328eaa13ebf3fc703a8181610601e18a0063ecc250f808e467287f374a029083d30f3a1aad1dca1a080ddb310d50ff6ae0186478833de0081a76f903b8850cc008a4bb0fbb0a42550dca20a3380d3077aaa40f31f5c9a7188e66200f9aa26df2e2ace9f0000000049454e44ae4260820000000840010824000000180000000210c0db01000000030000000000000000000000000000001b40000040000000340000000100000002000000000000bf000000bf000070410000c84103000000000000b3000000b3ffff6f41000000b3000000b3ffffc7412100000008000000620000000c00000001000000150000000c00000004000000150000000c00000004000000510000006002000000000000000000000e00000018000000000000000000000000000000000000000f000000190000005000000080000000d000000090010000000000002000cc000f00000019000000280000000f000000190000000100080000000000000000000000000000000000160000000000000000000000ffffff00489cdf0048000000ffdf9c000074bf0074000000ffffbf00bfffff007400740074bfff00ffbf740000007400bf7400009cdfff0000004800dfffff0000489c009c480000ffffdf00df9c4800dfdfdf00010101010101010101010101010101010101010101010101010101010101010101010101010101010101010101010101010101010101010101010101010101010c030401010101020000000014010101010206070101010101050d010101010101080c140101010101020d0101010101011011121301010101020d0101010101010102030401010101020d010101010101010a000b01011501020d010101010101010e0f1401010200000d0101010101010110111213010101050d0101010101010101050607010101010101010101010101010a0304010101010101010101010101010e0f0b01010101010101010101010101080c0d0101010101010101010101010a0000000003040101010101010101010101050607010101010101010101010101010a000b0101010101010101010101010101050607080907010101010101010101010102000003040101010101010101010101010101010101010101010101010101010101010101010101010101010101010101010101010101010101010101010101010101010101010101014c0000006400000000000000000000000e0000001800000000000000000000000f000000190000002900aa0000000000000000000000803f00000000000000000000803f0000000000000000000000000000000000000000000000000000000000000000220000000c000000ffffffff460000001c00000010000000454d462b024000000c000000000000000e000000140000000000000010000000140000000400000003010800050000000b0200000000050000000c0219000f00030000001e000400000007010400040000000701040015010000410b2000cc0019000f000000000019000f0000000000280000000f000000190000000100080000000000000000000000000000000000160000000000000000000000ffffff00489cdf0048000000ffdf9c000074bf0074000000ffffbf00bfffff007400740074bfff00ffbf740000007400bf7400009cdfff0000004800dfffff0000489c009c480000ffffdf00df9c4800dfdfdf00010101010101010101010101010101010101010101010101010101010101010101010101010101010101010101010101010101010101010101010101010101010c030401010101020000000014010101010206070101010101050d010101010101080c140101010101020d0101010101011011121301010101020d0101010101010102030401010101020d010101010101010a000b01011501020d010101010101010e0f1401010200000d0101010101010110111213010101050d0101010101010101050607010101010101010101010101010a0304010101010101010101010101010e0f0b01010101010101010101010101080c0d0101010101010101010101010a0000000003040101010101010101010101050607010101010101010101010101010a000b0101010101010101010101010101050607080907010101010101010101010102000003040101010101010101010101010101010101010101010101010101010101010101010101010101010101010101010101010101010101010101010101010101010101010101010c00000040092900aa0000000000000019000f0000000000040000002701ffff030000000000>>
>
уменьшается.
Допустим, все разности (>0100090000035004000000000603000000000603000026060f000206574d46430100000000000100e4120000000001000000e005000000000000e0050000010000006c00000000000000000000000e000000180000000000000000000000760100004902000020454d4600000100e00500000c00000001000000000000000000000000000000000500000004000040010000f000000000000000000000000000000000e2040080a90300460000002c00000020000000454d462b014001001c000000100000000210c0db010000006000000060000000460000001c02000010020000454d462b224004000c000000000000001e4009000c00000000000000244001000c000000000000003040020010000000040000000000803f214007000c0000000000000008400005680100005c0100000210c0db01000000000000000000000000000000000000000100000089504e470d0a1a0a0000000d494844520000000f000000190802000000613be39b000000017352474200aece1ce9000000097048597300000ec400000ec401952b0e1b000000e249444154384f63fcffff3f03d18089689520857456fd60ae27231478ce7d80e25274971c2865544cd1d90ff4fbfffd250c3aca0aa8fe0289c3015001034309582d56c0408ae2ff30d560539180c79cfb584c47369b903bfeff47f2e583bb57808ef676c0135fc8aa6fec60f0d0400b0454ad08d507b6f6306006190ed56077a01a0d0c7bc6d20328eaa13ebf3fc703a8181610601e18a0063ecc250f808e467287f374a029083d30f3a1aad1dca1a080ddb310d50ff6ae0186478833de0081a76f903b8850cc008a4bb0fbb0a42550dca20a3380d3077aaa40f31f5c9a7188e66200f9aa26df2e2ace9f0000000049454e44ae4260820000000840010824000000180000000210c0db01000000030000000000000000000000000000001b40000040000000340000000100000002000000000000bf000000bf000070410000c84103000000000000b3000000b3ffff6f41000000b3000000b3ffffc7412100000008000000620000000c00000001000000150000000c00000004000000150000000c00000004000000510000006002000000000000000000000e00000018000000000000000000000000000000000000000f000000190000005000000080000000d000000090010000000000002000cc000f00000019000000280000000f000000190000000100080000000000000000000000000000000000160000000000000000000000ffffff00489cdf0048000000ffdf9c000074bf0074000000ffffbf00bfffff007400740074bfff00ffbf740000007400bf7400009cdfff0000004800dfffff0000489c009c480000ffffdf00df9c4800dfdfdf00010101010101010101010101010101010101010101010101010101010101010101010101010101010101010101010101010101010101010101010101010101010c030401010101020000000014010101010206070101010101050d010101010101080c140101010101020d0101010101011011121301010101020d0101010101010102030401010101020d010101010101010a000b01011501020d010101010101010e0f1401010200000d0101010101010110111213010101050d0101010101010101050607010101010101010101010101010a0304010101010101010101010101010e0f0b01010101010101010101010101080c0d0101010101010101010101010a0000000003040101010101010101010101050607010101010101010101010101010a000b0101010101010101010101010101050607080907010101010101010101010102000003040101010101010101010101010101010101010101010101010101010101010101010101010101010101010101010101010101010101010101010101010101010101010101014c0000006400000000000000000000000e0000001800000000000000000000000f000000190000002900aa0000000000000000000000803f00000000000000000000803f0000000000000000000000000000000000000000000000000000000000000000220000000c000000ffffffff460000001c00000010000000454d462b024000000c000000000000000e000000140000000000000010000000140000000400000003010800050000000b0200000000050000000c0219000f00030000001e000400000007010400040000000701040015010000410b2000cc0019000f000000000019000f0000000000280000000f000000190000000100080000000000000000000000000000000000160000000000000000000000ffffff00489cdf0048000000ffdf9c000074bf0074000000ffffbf00bfffff007400740074bfff00ffbf740000007400bf7400009cdfff0000004800dfffff0000489c009c480000ffffdf00df9c4800dfdfdf00010101010101010101010101010101010101010101010101010101010101010101010101010101010101010101010101010101010101010101010101010101010c030401010101020000000014010101010206070101010101050d010101010101080c140101010101020d0101010101011011121301010101020d0101010101010102030401010101020d010101010101010a000b01011501020d010101010101010e0f1401010200000d0101010101010110111213010101050d0101010101010101050607010101010101010101010101010a0304010101010101010101010101010e0f0b01010101010101010101010101080c0d0101010101010101010101010a0000000003040101010101010101010101050607010101010101010101010101010a000b0101010101010101010101010101050607080907010101010101010101010102000003040101010101010101010101010101010101010101010101010101010101010101010101010101010101010101010101010101010101010101010101010101010101010101010c00000040092900aa0000000000000019000f0000000000040000002701ffff030000000000>->0100090000035604000000000a03000000000a03000026060f000a06574d46430100000000000100b7c40000000001000000e805000000000000e8050000010000006c00000000000000000000000c000000180000000000000000000000440100004902000020454d4600000100e80500000c00000001000000000000000000000000000000000500000004000040010000f000000000000000000000000000000000e2040080a90300460000002c00000020000000454d462b014001001c000000100000000210c0db010000006000000060000000460000002002000014020000454d462b224004000c000000000000001e4009000c00000000000000244001000c000000000000003040020010000000040000000000803f214007000c00000000000000084000056c010000600100000210c0db01000000000000000000000000000000000000000100000089504e470d0a1a0a0000000d494844520000000d00000019080200000065ce33a6000000017352474200aece1ce9000000097048597300000ec400000ec401952b0e1b000000e649444154384fcd93b10dc2301045cf4c02a2a1c810916812d13202232453c008ce06b44869503204451a146f72b9731ce76c40a4425c693fdfff773f5188080b6ab58061e4079ca972e52aaf8cf315ebb6a5da9c9286a6c3a68064bb9efcf3892fba02282c15152cc370e26c275199ee838eb2df6755443187793ec8dc217dbb79c97535643b3f6088cf5c7bbb805c046d88aa6c47de735655b64bcfe4d71f4c9cb95f49f5b817b2fcd22fda73644eaa9294e9ea792ac7bda802905f6163e4bea91262b7ce1b0e13e8751604cd1c9fc5e9f3ac145daff5f85580cd354ed3bd1517eacfffa301f69413fbb6f778fd0000000049454e44ae4260820000000840010824000000180000000210c0db01000000030000000000000000000000000000001b40000040000000340000000100000002000000000000bf000000bf000050410000c84103000000000080b3000080b3ffff4f41000080b3000080b3ffffc7412100000008000000620000000c00000001000000150000000c00000004000000150000000c00000004000000510000006402000000000000000000000c00000018000000000000000000000000000000000000000d000000190000005000000084000000d400000090010000000000002000cc000d00000019000000280000000d000000190000000100080000000000000000000000000000000000170000000000000000000000ffffff00489cdf0048000000ffdf9c000074bf0074000000ffffbf00bfffff007400740074bfff00ffbf740000007400bf7400009cdfff0000004800dfffff0000489c009c480000ffffdf00df9c4800480074009c9cdf00010101010101010101010101010101010101010101010101010101010101010101010101010101010101010101010101010101010101010101010101010101010c0304010101011011001401010101010102060701010108150416070101010101080c1401010110110b0101010101010110111213010101020d01010101010101010203040101010a1213010101010101010a000b010101080907010101010101010e0f1401010110110b01010101010101101112130101010514010101010101010105060701010a000d01010101010101010a0304010101010101010101010101010e0f0b01010101010101010101010101080c0d0101010101010101010101010a0000000003040101010101010101010101050607010101010101010101010101010a000b0101010101010101010101010101050607080907010101010101010101010102000003040101010101010101010101010101010101010101010101010101010101010101010101010101010101010101010101010101010101010101010101010101010101010101014c0000006400000000000000000000000c0000001800000000000000000000000d000000190000002900aa0000000000000000000000803f00000000000000000000803f0000000000000000000000000000000000000000000000000000000000000000220000000c000000ffffffff460000001c00000010000000454d462b024000000c000000000000000e000000140000000000000010000000140000000400000003010800050000000b0200000000050000000c0219000d00030000001e000400000007010400040000000701040017010000410b2000cc0019000d000000000019000d0000000000280000000d000000190000000100080000000000000000000000000000000000170000000000000000000000ffffff00489cdf0048000000ffdf9c000074bf0074000000ffffbf00bfffff007400740074bfff00ffbf740000007400bf7400009cdfff0000004800dfffff0000489c009c480000ffffdf00df9c4800480074009c9cdf00010101010101010101010101010101010101010101010101010101010101010101010101010101010101010101010101010101010101010101010101010101010c0304010101011011001401010101010102060701010108150416070101010101080c1401010110110b0101010101010110111213010101020d01010101010101010203040101010a1213010101010101010a000b010101080907010101010101010e0f1401010110110b01010101010101101112130101010514010101010101010105060701010a000d01010101010101010a0304010101010101010101010101010e0f0b01010101010101010101010101080c0d0101010101010101010101010a0000000003040101010101010101010101050607010101010101010101010101010a000b0101010101010101010101010101050607080907010101010101010101010102000003040101010101010101010101010101010101010101010101010101010101010101010101010101010101010101010101010101010101010101010101010101010101010101010c00000040092900aa0000000000000019000d0000000000040000002701ffff030000000000>)
>
о ( l=
2, ... , k)
для
i-го
наблюдения, значит его следует отнести
к первому классу. Если у классифицируемых
объектов значения переменной >010009000003ae04000000003003000000003003000026060f005606574d46430100000000000100d66e0000000001000000340600000000000034060000010000006c000000000000000000000012000000180000000000000000000000da0100004902000020454d4600000100340600000c00000001000000000000000000000000000000000500000004000040010000f000000000000000000000000000000000e2040080a90300460000002c00000020000000454d462b014001001c000000100000000210c0db0100000060000000600000004600000008020000fc010000454d462b224004000c000000000000001e4009000c00000000000000244001000c000000000000003040020010000000040000000000803f214007000c000000000000000840000554010000480100000210c0db01000000000000000000000000000000000000000100000089504e470d0a1a0a0000000d49484452000000130000001908020000005ca982fd000000017352474200aece1ce9000000097048597300000ec400000ec401952b0e1b000000ce49444154384fd5534b1683200c849ece03e96d3c48777a0c77f42694247c86885559f85eb3d104869909c17aef4d57bcba5004fa4fe43ad914d3cade4b25167447426f25dc3c84b561768785bc957f4c49195a909c8e4bbd1d32400a6bdc4bffc0dfc023d2fb651456fafea0d36a292708c519acf6c92725d6437b79a1522bedbd4689bd0d74c9e31db5d04bf6da30aada266aebe20e9a5de08101a926a0354d8e068bf6811413afa15c7b21509235f2bcfd38c7c0f9c8cbfe6cefeaa15d510bd6092b2fc1d20476c5233e95b22fcd4499a6adcfb4c80000000049454e44ae4260820000000840010824000000180000000210c0db01000000030000000000000000000000000000001b40000040000000340000000100000002000000000000bf000000bf000098410000c84103000000000000b3000000b3ffff9741000000b3000000b3ffffc7412100000008000000620000000c00000001000000150000000c00000004000000150000000c0000000400000051000000c8020000000000000000000012000000180000000000000000000000000000000000000013000000190000005000000084000000d4000000f4010000000000002000cc0013000000190000002800000013000000190000000100080000000000000000000000000000000000170000000000000000000000ffffff0074bfff00ffbf740074000000ffffbf00489cdf00df9c4800dfffff0000489c0048000000ffdf9c009cdfff0000004800bf7400000074bf00bfffff00000074009c480000ffffdf00bfffdf0048004800dfdfdf00010101010101010101010101010101010101010101010101010101010101010101010101010101010101010101010101010101010101010101010101010101010101010101010101060000000007010101010101010101010101010101010f0e010101010101010101010101010101010101060e010101010101010101010101010101010101060e0101010111000a0b01080900000e01010101060e010101010809121301010c0d121301011601060e010101010110110301010200030101010600000e0101010101010c150b010f040501010101010f0e01010101010101021214110e010101010101010101010101010101010600000301010101010101010101010101010101010f1213010101010101010101010101010101011011000e01010101010101010101010101010101020a0b0f0e010101010101010101010101010108090e01080907010101010101010101010101010c0d0701010c0d03010101010101010101010101060007010108090a0b01010101010101010101020000000301020000040501010101010101010101010101010101010101010101010101010101010101010101010101010101010101010101010101010101010101010101010101010101010101010101010101010101010101010101010101010101010101010101010101010101010101010101014c0000006400000000000000000000001200000018000000000000000000000013000000190000002900aa0000000000000000000000803f00000000000000000000803f0000000000000000000000000000000000000000000000000000000000000000220000000c000000ffffffff460000001c00000010000000454d462b024000000c000000000000000e000000140000000000000010000000140000000400000003010800050000000b0200000000050000000c0219001300030000001e000400000007010400040000000701040049010000410b2000cc00190013000000000019001300000000002800000013000000190000000100080000000000000000000000000000000000170000000000000000000000ffffff0074bfff00ffbf740074000000ffffbf00489cdf00df9c4800dfffff0000489c0048000000ffdf9c009cdfff0000004800bf7400000074bf00bfffff00000074009c480000ffffdf00bfffdf0048004800dfdfdf00010101010101010101010101010101010101010101010101010101010101010101010101010101010101010101010101010101010101010101010101010101010101010101010101060000000007010101010101010101010101010101010f0e010101010101010101010101010101010101060e010101010101010101010101010101010101060e0101010111000a0b01080900000e01010101060e010101010809121301010c0d121301011601060e010101010110110301010200030101010600000e0101010101010c150b010f040501010101010f0e01010101010101021214110e010101010101010101010101010101010600000301010101010101010101010101010101010f1213010101010101010101010101010101011011000e01010101010101010101010101010101020a0b0f0e010101010101010101010101010108090e01080907010101010101010101010101010c0d0701010c0d03010101010101010101010101060007010108090a0b01010101010101010101020000000301020000040501010101010101010101010101010101010101010101010101010101010101010101010101010101010101010101010101010101010101010101010101010101010101010101010101010101010101010101010101010101010101010101010101010101010101010101010c00000040092900aa000000000000001900130000000000040000002701ffff030000000000>
будут
возрастать, то значения функции >0100090000035004000000000603000000000603000026060f000206574d46430100000000000100e4120000000001000000e005000000000000e0050000010000006c00000000000000000000000e000000180000000000000000000000760100004902000020454d4600000100e00500000c00000001000000000000000000000000000000000500000004000040010000f000000000000000000000000000000000e2040080a90300460000002c00000020000000454d462b014001001c000000100000000210c0db010000006000000060000000460000001c02000010020000454d462b224004000c000000000000001e4009000c00000000000000244001000c000000000000003040020010000000040000000000803f214007000c0000000000000008400005680100005c0100000210c0db01000000000000000000000000000000000000000100000089504e470d0a1a0a0000000d494844520000000f000000190802000000613be39b000000017352474200aece1ce9000000097048597300000ec400000ec401952b0e1b000000e249444154384f63fcffff3f03d18089689520857456fd60ae27231478ce7d80e25274971c2865544cd1d90ff4fbfffd250c3aca0aa8fe0289c3015001034309582d56c0408ae2ff30d560539180c79cfb584c47369b903bfeff47f2e583bb57808ef676c0135fc8aa6fec60f0d0400b0454ad08d507b6f6306006190ed56077a01a0d0c7bc6d20328eaa13ebf3fc703a8181610601e18a0063ecc250f808e467287f374a029083d30f3a1aad1dca1a080ddb310d50ff6ae0186478833de0081a76f903b8850cc008a4bb0fbb0a42550dca20a3380d3077aaa40f31f5c9a7188e66200f9aa26df2e2ace9f0000000049454e44ae4260820000000840010824000000180000000210c0db01000000030000000000000000000000000000001b40000040000000340000000100000002000000000000bf000000bf000070410000c84103000000000000b3000000b3ffff6f41000000b3000000b3ffffc7412100000008000000620000000c00000001000000150000000c00000004000000150000000c00000004000000510000006002000000000000000000000e00000018000000000000000000000000000000000000000f000000190000005000000080000000d000000090010000000000002000cc000f00000019000000280000000f000000190000000100080000000000000000000000000000000000160000000000000000000000ffffff00489cdf0048000000ffdf9c000074bf0074000000ffffbf00bfffff007400740074bfff00ffbf740000007400bf7400009cdfff0000004800dfffff0000489c009c480000ffffdf00df9c4800dfdfdf00010101010101010101010101010101010101010101010101010101010101010101010101010101010101010101010101010101010101010101010101010101010c030401010101020000000014010101010206070101010101050d010101010101080c140101010101020d0101010101011011121301010101020d0101010101010102030401010101020d010101010101010a000b01011501020d010101010101010e0f1401010200000d0101010101010110111213010101050d0101010101010101050607010101010101010101010101010a0304010101010101010101010101010e0f0b01010101010101010101010101080c0d0101010101010101010101010a0000000003040101010101010101010101050607010101010101010101010101010a000b0101010101010101010101010101050607080907010101010101010101010102000003040101010101010101010101010101010101010101010101010101010101010101010101010101010101010101010101010101010101010101010101010101010101010101014c0000006400000000000000000000000e0000001800000000000000000000000f000000190000002900aa0000000000000000000000803f00000000000000000000803f0000000000000000000000000000000000000000000000000000000000000000220000000c000000ffffffff460000001c00000010000000454d462b024000000c000000000000000e000000140000000000000010000000140000000400000003010800050000000b0200000000050000000c0219000f00030000001e000400000007010400040000000701040015010000410b2000cc0019000f000000000019000f0000000000280000000f000000190000000100080000000000000000000000000000000000160000000000000000000000ffffff00489cdf0048000000ffdf9c000074bf0074000000ffffbf00bfffff007400740074bfff00ffbf740000007400bf7400009cdfff0000004800dfffff0000489c009c480000ffffdf00df9c4800dfdfdf00010101010101010101010101010101010101010101010101010101010101010101010101010101010101010101010101010101010101010101010101010101010c030401010101020000000014010101010206070101010101050d010101010101080c140101010101020d0101010101011011121301010101020d0101010101010102030401010101020d010101010101010a000b01011501020d010101010101010e0f1401010200000d0101010101010110111213010101050d0101010101010101050607010101010101010101010101010a0304010101010101010101010101010e0f0b01010101010101010101010101080c0d0101010101010101010101010a0000000003040101010101010101010101050607010101010101010101010101010a000b0101010101010101010101010101050607080907010101010101010101010102000003040101010101010101010101010101010101010101010101010101010101010101010101010101010101010101010101010101010101010101010101010101010101010101010c00000040092900aa0000000000000019000f0000000000040000002701ffff030000000000>
для
этих объектов будут уменьшаться, что
приведет к отдалению их от центра первого
класса. В конце концов >010009000003ae04000000003003000000003003000026060f005606574d46430100000000000100d66e0000000001000000340600000000000034060000010000006c000000000000000000000012000000180000000000000000000000da0100004902000020454d4600000100340600000c00000001000000000000000000000000000000000500000004000040010000f000000000000000000000000000000000e2040080a90300460000002c00000020000000454d462b014001001c000000100000000210c0db0100000060000000600000004600000008020000fc010000454d462b224004000c000000000000001e4009000c00000000000000244001000c000000000000003040020010000000040000000000803f214007000c000000000000000840000554010000480100000210c0db01000000000000000000000000000000000000000100000089504e470d0a1a0a0000000d49484452000000130000001908020000005ca982fd000000017352474200aece1ce9000000097048597300000ec400000ec401952b0e1b000000ce49444154384fd5534b1683200c849ece03e96d3c48777a0c77f42694247c86885559f85eb3d104869909c17aef4d57bcba5004fa4fe43ad914d3cade4b25167447426f25dc3c84b561768785bc957f4c49195a909c8e4bbd1d32400a6bdc4bffc0dfc023d2fb651456fafea0d36a292708c519acf6c92725d6437b79a1522bedbd4689bd0d74c9e31db5d04bf6da30aada266aebe20e9a5de08101a926a0354d8e068bf6811413afa15c7b21509235f2bcfd38c7c0f9c8cbfe6cefeaa15d510bd6092b2fc1d20476c5233e95b22fcd4499a6adcfb4c80000000049454e44ae4260820000000840010824000000180000000210c0db01000000030000000000000000000000000000001b40000040000000340000000100000002000000000000bf000000bf000098410000c84103000000000000b3000000b3ffff9741000000b3000000b3ffffc7412100000008000000620000000c00000001000000150000000c00000004000000150000000c0000000400000051000000c8020000000000000000000012000000180000000000000000000000000000000000000013000000190000005000000084000000d4000000f4010000000000002000cc0013000000190000002800000013000000190000000100080000000000000000000000000000000000170000000000000000000000ffffff0074bfff00ffbf740074000000ffffbf00489cdf00df9c4800dfffff0000489c0048000000ffdf9c009cdfff0000004800bf7400000074bf00bfffff00000074009c480000ffffdf00bfffdf0048004800dfdfdf00010101010101010101010101010101010101010101010101010101010101010101010101010101010101010101010101010101010101010101010101010101010101010101010101060000000007010101010101010101010101010101010f0e010101010101010101010101010101010101060e010101010101010101010101010101010101060e0101010111000a0b01080900000e01010101060e010101010809121301010c0d121301011601060e010101010110110301010200030101010600000e0101010101010c150b010f040501010101010f0e01010101010101021214110e010101010101010101010101010101010600000301010101010101010101010101010101010f1213010101010101010101010101010101011011000e01010101010101010101010101010101020a0b0f0e010101010101010101010101010108090e01080907010101010101010101010101010c0d0701010c0d03010101010101010101010101060007010108090a0b01010101010101010101020000000301020000040501010101010101010101010101010101010101010101010101010101010101010101010101010101010101010101010101010101010101010101010101010101010101010101010101010101010101010101010101010101010101010101010101010101010101010101014c0000006400000000000000000000001200000018000000000000000000000013000000190000002900aa0000000000000000000000803f00000000000000000000803f0000000000000000000000000000000000000000000000000000000000000000220000000c000000ffffffff460000001c00000010000000454d462b024000000c000000000000000e000000140000000000000010000000140000000400000003010800050000000b0200000000050000000c0219001300030000001e000400000007010400040000000701040049010000410b2000cc00190013000000000019001300000000002800000013000000190000000100080000000000000000000000000000000000170000000000000000000000ffffff0074bfff00ffbf740074000000ffffbf00489cdf00df9c4800dfffff0000489c0048000000ffdf9c009cdfff0000004800bf7400000074bf00bfffff00000074009c480000ffffdf00bfffdf0048004800dfdfdf00010101010101010101010101010101010101010101010101010101010101010101010101010101010101010101010101010101010101010101010101010101010101010101010101060000000007010101010101010101010101010101010f0e010101010101010101010101010101010101060e010101010101010101010101010101010101060e0101010111000a0b01080900000e01010101060e010101010809121301010c0d121301011601060e010101010110110301010200030101010600000e0101010101010c150b010f040501010101010f0e01010101010101021214110e010101010101010101010101010101010600000301010101010101010101010101010101010f1213010101010101010101010101010101011011000e01010101010101010101010101010101020a0b0f0e010101010101010101010101010108090e01080907010101010101010101010101010c0d0701010c0d03010101010101010101010101060007010108090a0b01010101010101010101020000000301020000040501010101010101010101010101010101010101010101010101010101010101010101010101010101010101010101010101010101010101010101010101010101010101010101010101010101010101010101010101010101010101010101010101010101010101010101010c00000040092900aa000000000000001900130000000000040000002701ffff030000000000>
достигнет
у p-го
объекта
«критического» значения, которому будет
соответствовать неравенство (>0100090000035004000000000603000000000603000026060f000206574d46430100000000000100e4120000000001000000e005000000000000e0050000010000006c00000000000000000000000e000000180000000000000000000000760100004902000020454d4600000100e00500000c00000001000000000000000000000000000000000500000004000040010000f000000000000000000000000000000000e2040080a90300460000002c00000020000000454d462b014001001c000000100000000210c0db010000006000000060000000460000001c02000010020000454d462b224004000c000000000000001e4009000c00000000000000244001000c000000000000003040020010000000040000000000803f214007000c0000000000000008400005680100005c0100000210c0db01000000000000000000000000000000000000000100000089504e470d0a1a0a0000000d494844520000000f000000190802000000613be39b000000017352474200aece1ce9000000097048597300000ec400000ec401952b0e1b000000e249444154384f63fcffff3f03d18089689520857456fd60ae27231478ce7d80e25274971c2865544cd1d90ff4fbfffd250c3aca0aa8fe0289c3015001034309582d56c0408ae2ff30d560539180c79cfb584c47369b903bfeff47f2e583bb57808ef676c0135fc8aa6fec60f0d0400b0454ad08d507b6f6306006190ed56077a01a0d0c7bc6d20328eaa13ebf3fc703a8181610601e18a0063ecc250f808e467287f374a029083d30f3a1aad1dca1a080ddb310d50ff6ae0186478833de0081a76f903b8850cc008a4bb0fbb0a42550dca20a3380d3077aaa40f31f5c9a7188e66200f9aa26df2e2ace9f0000000049454e44ae4260820000000840010824000000180000000210c0db01000000030000000000000000000000000000001b40000040000000340000000100000002000000000000bf000000bf000070410000c84103000000000000b3000000b3ffff6f41000000b3000000b3ffffc7412100000008000000620000000c00000001000000150000000c00000004000000150000000c00000004000000510000006002000000000000000000000e00000018000000000000000000000000000000000000000f000000190000005000000080000000d000000090010000000000002000cc000f00000019000000280000000f000000190000000100080000000000000000000000000000000000160000000000000000000000ffffff00489cdf0048000000ffdf9c000074bf0074000000ffffbf00bfffff007400740074bfff00ffbf740000007400bf7400009cdfff0000004800dfffff0000489c009c480000ffffdf00df9c4800dfdfdf00010101010101010101010101010101010101010101010101010101010101010101010101010101010101010101010101010101010101010101010101010101010c030401010101020000000014010101010206070101010101050d010101010101080c140101010101020d0101010101011011121301010101020d0101010101010102030401010101020d010101010101010a000b01011501020d010101010101010e0f1401010200000d0101010101010110111213010101050d0101010101010101050607010101010101010101010101010a0304010101010101010101010101010e0f0b01010101010101010101010101080c0d0101010101010101010101010a0000000003040101010101010101010101050607010101010101010101010101010a000b0101010101010101010101010101050607080907010101010101010101010102000003040101010101010101010101010101010101010101010101010101010101010101010101010101010101010101010101010101010101010101010101010101010101010101014c0000006400000000000000000000000e0000001800000000000000000000000f000000190000002900aa0000000000000000000000803f00000000000000000000803f0000000000000000000000000000000000000000000000000000000000000000220000000c000000ffffffff460000001c00000010000000454d462b024000000c000000000000000e000000140000000000000010000000140000000400000003010800050000000b0200000000050000000c0219000f00030000001e000400000007010400040000000701040015010000410b2000cc0019000f000000000019000f0000000000280000000f000000190000000100080000000000000000000000000000000000160000000000000000000000ffffff00489cdf0048000000ffdf9c000074bf0074000000ffffbf00bfffff007400740074bfff00ffbf740000007400bf7400009cdfff0000004800dfffff0000489c009c480000ffffdf00df9c4800dfdfdf00010101010101010101010101010101010101010101010101010101010101010101010101010101010101010101010101010101010101010101010101010101010c030401010101020000000014010101010206070101010101050d010101010101080c140101010101020d0101010101011011121301010101020d0101010101010102030401010101020d010101010101010a000b01011501020d010101010101010e0f1401010200000d0101010101010110111213010101050d0101010101010101050607010101010101010101010101010a0304010101010101010101010101010e0f0b01010101010101010101010101080c0d0101010101010101010101010a0000000003040101010101010101010101050607010101010101010101010101010a000b0101010101010101010101010101050607080907010101010101010101010102000003040101010101010101010101010101010101010101010101010101010101010101010101010101010101010101010101010101010101010101010101010101010101010101010c00000040092900aa0000000000000019000f0000000000040000002701ffff030000000000>->0100090000035604000000000a03000000000a03000026060f000a06574d46430100000000000100b7c40000000001000000e805000000000000e8050000010000006c00000000000000000000000c000000180000000000000000000000440100004902000020454d4600000100e80500000c00000001000000000000000000000000000000000500000004000040010000f000000000000000000000000000000000e2040080a90300460000002c00000020000000454d462b014001001c000000100000000210c0db010000006000000060000000460000002002000014020000454d462b224004000c000000000000001e4009000c00000000000000244001000c000000000000003040020010000000040000000000803f214007000c00000000000000084000056c010000600100000210c0db01000000000000000000000000000000000000000100000089504e470d0a1a0a0000000d494844520000000d00000019080200000065ce33a6000000017352474200aece1ce9000000097048597300000ec400000ec401952b0e1b000000e649444154384fcd93b10dc2301045cf4c02a2a1c810916812d13202232453c008ce06b44869503204451a146f72b9731ce76c40a4425c693fdfff773f5188080b6ab58061e4079ca972e52aaf8cf315ebb6a5da9c9286a6c3a68064bb9efcf3892fba02282c15152cc370e26c275199ee838eb2df6755443187793ec8dc217dbb79c97535643b3f6088cf5c7bbb805c046d88aa6c47de735655b64bcfe4d71f4c9cb95f49f5b817b2fcd22fda73644eaa9294e9ea792ac7bda802905f6163e4bea91262b7ce1b0e13e8751604cd1c9fc5e9f3ac145daff5f85580cd354ed3bd1517eacfffa301f69413fbb6f778fd0000000049454e44ae4260820000000840010824000000180000000210c0db01000000030000000000000000000000000000001b40000040000000340000000100000002000000000000bf000000bf000050410000c84103000000000080b3000080b3ffff4f41000080b3000080b3ffffc7412100000008000000620000000c00000001000000150000000c00000004000000150000000c00000004000000510000006402000000000000000000000c00000018000000000000000000000000000000000000000d000000190000005000000084000000d400000090010000000000002000cc000d00000019000000280000000d000000190000000100080000000000000000000000000000000000170000000000000000000000ffffff00489cdf0048000000ffdf9c000074bf0074000000ffffbf00bfffff007400740074bfff00ffbf740000007400bf7400009cdfff0000004800dfffff0000489c009c480000ffffdf00df9c4800480074009c9cdf00010101010101010101010101010101010101010101010101010101010101010101010101010101010101010101010101010101010101010101010101010101010c0304010101011011001401010101010102060701010108150416070101010101080c1401010110110b0101010101010110111213010101020d01010101010101010203040101010a1213010101010101010a000b010101080907010101010101010e0f1401010110110b01010101010101101112130101010514010101010101010105060701010a000d01010101010101010a0304010101010101010101010101010e0f0b01010101010101010101010101080c0d0101010101010101010101010a0000000003040101010101010101010101050607010101010101010101010101010a000b0101010101010101010101010101050607080907010101010101010101010102000003040101010101010101010101010101010101010101010101010101010101010101010101010101010101010101010101010101010101010101010101010101010101010101014c0000006400000000000000000000000c0000001800000000000000000000000d000000190000002900aa0000000000000000000000803f00000000000000000000803f0000000000000000000000000000000000000000000000000000000000000000220000000c000000ffffffff460000001c00000010000000454d462b024000000c000000000000000e000000140000000000000010000000140000000400000003010800050000000b0200000000050000000c0219000d00030000001e000400000007010400040000000701040017010000410b2000cc0019000d000000000019000d0000000000280000000d000000190000000100080000000000000000000000000000000000170000000000000000000000ffffff00489cdf0048000000ffdf9c000074bf0074000000ffffbf00bfffff007400740074bfff00ffbf740000007400bf7400009cdfff0000004800dfffff0000489c009c480000ffffdf00df9c4800480074009c9cdf00010101010101010101010101010101010101010101010101010101010101010101010101010101010101010101010101010101010101010101010101010101010c0304010101011011001401010101010102060701010108150416070101010101080c1401010110110b0101010101010110111213010101020d01010101010101010203040101010a1213010101010101010a000b010101080907010101010101010e0f1401010110110b01010101010101101112130101010514010101010101010105060701010a000d01010101010101010a0304010101010101010101010101010e0f0b01010101010101010101010101080c0d0101010101010101010101010a0000000003040101010101010101010101050607010101010101010101010101010a000b0101010101010101010101010101050607080907010101010101010101010102000003040101010101010101010101010101010101010101010101010101010101010101010101010101010101010101010101010101010101010101010101010101010101010101010c00000040092900aa0000000000000019000d0000000000040000002701ffff030000000000>)
<
0, т.е. i-й
объект уже не попадет в первый класс.
Аналогичные рассуждения проводятся и
для положительных структурных
коэффициентов.
Заключение
Дискриминантный анализ так же, как и кластерный анализ, относится к методам многомерной классификации, но при этом базируется на иных предпосылках. Основное отличие заключается в том, что в ходе дискриминантного анализа новые кластеры не образуются, а формулируется правило, по которому новые единицы совокупности относятся к одному из уже существующих множеств (классов). Основанием для отнесения каждой единицы совокупности к определенному множеству служит величина дискриминантной функции, рассчитанная по соответствующим значениям дискриминантных переменных.
Основными проблемами дискриминантного анализа являются, во-первых, определение набора дискриминантных переменных, Bo-вторых, выбор вида дискриминантной функции. Существуют различные критерии последовательного отбора переменных, позволяющих получить наилучшее различение множеств. Можно также воспользоваться алгоритмом пошагового дискриминантного анализа, который в литературе подробно описан. После уточнения оптимального набора дискриминантных переменных исследователю предстоит решить вопрос о выборе вида дискриминантной функции, Т.е. выбрать вид разделяющей поверхности. Чаще всего на практике применяют линейный дискриминантный анализ. В этом случае дискриминантная функция представляет собой либо прямую, либо плоскость (гиперплоскость).
Линейная дискриминантная функция не всегда подходит в качестве описания разделяющей поверхности между множествами. Например, в тех случаях, когда различаемые множества не являются выпуклыми, правомерно предположить, что дискриминантная функция, приводящая к наименьшим ошибкам классификации, не может быть линейной.
Если множества, используемые в качестве обучающих выборок, близко расположены друг к другу, то возрастает вероятность ошибочной классификации новых объектов, особенно в тех случаях, когда классифицируемый объект сильно удален от центров обоих множеств. Складывается ситуация, при которой распознавание объекта затруднено. Одним из возможных выходов в таком случае является пересмотр набора дискриминантных переменных.
Дискриминантный анализ можно использовать как метод прогнозирования (предсказания) поведения наблюдаемых единиц статистической совокупности на основе имеющихся стереотипов поведения аналогичных объектов, входящих в состав объективно существующих или сформированных по определенному принципу множеств (обучающих выборок).
Список использованной литературы
Многомерный статистический анализ в экономике. Под редакцией В.Н. Тамашевича. Москва.1999г.
Эконометрика и эконометрическое прогнозирование. Мухамедиев Б.М. Алматы. 2007г.
Многомерные статистические методы. Дубров А.М., Мхитарян В.С., Трошин Л.И. Москва. 2003г.
Эконометрика. Под редакцией Елисеевой И.И. Москва. 2005г.
Эконометрика. Балдин С.В., Быстров О.Ф., Соколов М.М. Москва. 2004г.