Моделирование макроэкономических процессов и систем
Оглавление
Введение
Задание 1
Задание 2
Задание 3
Задание 4
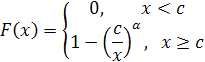
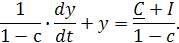
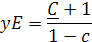
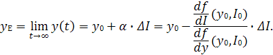
Задание 5. Динамическая экономико-математическая модель Кейнса
Экономика в форме динамической модели Кейнса как инерционное звено
Нелинейная динамическая модель Кейнса
Заключение
Литература
Введение
В настоящее время математическое моделирование все настойчивее вторгается в область социально-экономических наук. И дело здесь совсем не в том, что математизация является идеалом строгости для всякой науки.
Возможность использования математического моделирования связана с существованием устойчивых тенденций, которые характеризуют многие социально-экономические процессы. В наибольшей степени сказанное относится к экономике, где математические методы активно применяются с прошлого века.
Значение моделирования как метода исследований определяется тем, что модель представляет собой концептуальный инструмент, ориентированный на анализ изучаемых процессов и их прогнозирование. Именно поэтому, например, в современных курсах по экономической теории наряду с содержательным анализом широко применяется метод математического моделирования.
Следует, однако, иметь в виду, что возможности метода математического моделирования при анализе конкретных социально-экономических процессов достаточно ограничены.
В данной курсовой работе будут рассмотрены основные математические модели макроэкономических процессов, такие как мультипликативная производственная функция, кривая Лоренца, различные модели банковских операций, модели межотраслевого баланса Леонтьева, динамическая экономико-математическая модель Кейнса.
Задание 1
Национальная экономика страны может быть описана мультипликативной производственной функцией вида:
>
>,
где [P]=у.д.е. – объём ВВП страны, [K]=у.д.е – объём национальных производственных фондов (капитал), [L]=чел. – численность населения страны, занятого в производственной сфере (труд). В развитие национальной экономики инвестируется S у.д.е. Считается, что все средства идут на развитие производства, решить задачу об оптимальном распределении инвестиций по привлечению дополнительных единиц труда и капитала с целью максимального прироста ВВП. Задачу решить методом Лагранжа и графоаналитическим методом, считая, что стоимость одной дополнительной единицы капитала составляет S>1>, единицы труда – S>2>, а связь между ними носит линейный характер и может быть описана уравнением S=S>1>·K+S>2>·L.
Исходные данные:
α>1> = 0.4; α>2> = 0.6; S = 50000; S>1> = 5; S>2> = 15.
Решение:
P = α>0> · K0.4 · L0.6
5 · K + 15 · L = 50000
Наиболее рациональным способом решения такой задачи является способ множителей Лагранжа.
P (K, L, λ):
>>>
>



Т.к. K ≠ 0 и L ≠ 0, следовательно:


Графическая иллюстрация решения задачи:

Если в экономику страны, развитие которой описывается функцией P = α>0> K0.4 ·L0.6 инвестировать S = 50000 у.д.е, то для получения максимального прироста ВВП эти средства нужно распределить так чтобы создать дополнительных L = 2000 рабочих мест и привлечь дополнительно K = 4000 у.д.е. производственных фондов, при условии что известны стоимости единицы труда S>2> = 15 и единицы капитала S>1> = 5.
Задание 2
Распределение доходов населения страны может быть описано функцией распределения доходов:

где C – минимально возможный уровень дохода; F(x) – доля населения страны с уровнем дохода, меньшим, чем Х (распределение Парето).
Учитывая, что средний относительный доход тех, чей уровень дохода меньше Х, может быть задан функцией:

Построить кривую Лоренца в системе координат, показывающей неравномерность в распределении доходов населения страны.
Значениями x принять равными:
а) при с<х≤3с с шагом Δх=0,2С
б) при 3с<х≤6с с шагом Δх=0,5С
Исходные данные:
α = 1.6; c = 3500.
Решение:
3500<x≤10500, шаг Δх = 700
|
F(x) |
L(x) |
x |
|
0,00 |
0,00 |
3500 |
|
0,25 |
0,10 |
4200 |
|
0,42 |
0,18 |
4900 |
|
0,53 |
0,25 |
5600 |
|
0,61 |
0,30 |
6300 |
|
0,67 |
0,34 |
7000 |
|
0,72 |
0,38 |
7700 |
|
0,75 |
0,41 |
8400 |
|
0,78 |
0,44 |
9100 |
|
0,81 |
0,46 |
9800 |
|
0,83 |
0,48 |
10500 |
10500<x≤21000, шаг Δх = 1750
|
F(x) |
L(x) |
x |
|
0,83 |
0,48 |
10500 |
|
0,87 |
0,53 |
12250 |
|
0,89 |
0,56 |
14000 |
|
0,91 |
0,59 |
15750 |
|
0,92 |
0,62 |
17500 |
|
0,93 |
0,64 |
19250 |
|
0,94 |
0,66 |
21000 |
Задание 3
Первоначальный банковский вклад S>0> размещен на n лет под р>1>% годовых с начислением процента m>1> раз в год. Сравнить конечную сумму вклада, если условия договора изменятся на р>2>% и m>2> раз, и рассчитать для обоих вариантов эффективную ставку процента, а также величину дисконта и дисконт-фактора.
Найти величину разового платежа для погашения долгосрочного кредита на сумму S>n>, данного банком под р% на n лет.
Исходные данные:
S>0> = 3500; n = 6; p>1> = 16; m>1> = 3; p>2> = 14; m>2> = 2; p = 25; Sn = 200000.
Решение:
Конечная сумма вклада
>>>
>
Эффективная ставка процента
>010009000003e41900000000a60e00000000a60e000026060f00421d574d4643010000000000010095ea0000000001000000201d000000000000201d0000010000006c0000000000000000000000bd0000002c0000000000000000000000621100001804000020454d4600000100201d00000c00000001000000000000000000000000000000560500000003000040010000b300000000000000000000000000000000e2040038bb0200460000002c00000020000000454d462b014001001c000000100000000210c0db010000007800000078000000460000007405000068050000454d462b224004000c000000000000001e4009000c00000000000000244001000c000000000000003040020010000000040000000000803f214007000c0000000000000008400005c0040000b40400000210c0db01000000000000000000000000000000000000000100000089504e470d0a1a0a0000000d4948445200000098000000240802000000faa86478000000017352474200aece1ce9000000097048597300000ec400000ec401952b0e1b0000043c49444154785eed5b3d72ea3010169cc44c1a8a1c02268d33b4b941683269cdbc33bc09ed9b347083b44c683270088a34197c13bfd5cac2c296e575b0a565866de221c2dadd6fb57f5a065996891b5dbf0686d72f425809f68b01d0e33a15e9fa513e0e167bf3d1177737202fd13460b7991d57b1d87ebc3cbe8877f92896d3817e3cfca497bcbed577c1b5b2a25d2244b263c45223437241ce333ec6ab23b08f8f1e05118c5496a1417b149e2abb0445c163a132786170cc18b9d6fd6234bfdf656f93561ec5c7e2c9db7125e623087e554a7f0ef0e1fd5d2444f9311e47e97a01d1d30b51adb2ef758d1eac6f069ade6f67109d88f222c663feec38c74dbbb5fe3f13d7ea745ead856afb0515e5a44f5460d8fd3b57c7afa46501645015c1e6c90e39888100ccda34452daa8b956dada7e3f51c800c8aa3d2a791b1b8f2cdb08ec3093d836427fdfad88a641632c7c13425f9f30c198bd86f9670eec6f2b14293590225e397a7f4a5558e141e48c4b146712751b07f22db27bd10b2a068bf98028e39a6d5cda2b12cfe192059514870209512317db71376bea476fba3f45be2081d19dc0852d0da1228babb1762fbdd9341d124b42b243c905289750752dadd68ae4f0b4dce7c9514977884d1b116498cb3909547522c37fb56bc74b7b85e21a181348ae8b2b8c0f454c8024d5507bd51a34f3077c623297cf6508bdd9d0a9140eab6bd8e42aaa19f37f27bd39ff162fb819cbc655eda3cb963259e323c9261c8a99021a006bdfadceab7dfff00c4cd4cb72996536b5baa433994168392d40f509bd660e0286953d710c4f8c4b41b6979181f5124e542a84ea438c3fa2c97ff12c3555044af7af33c4662f10474cabb55eca2526ed48e8ad53096ea4b1d392b950359389c198fcc91b6f391f959c598eaaccefc9cce007d651f76af80d4b01565b97679868e8b50ea317cd2b5533226d92e2ab5d32ac644e992d119a0afbcd0eead1be540aa4855241da7136a345ca2e74fa39f7596825f6862619240bae2af612502a961d3c72f5dff454f1baf5e215c9e48c385d5f959a6f97b130b98045e004f5323ea8257fff6ab587e9cc7c374fd823578bc7a2fb220f97e0597bae9899f1ea2dfee59f99e3b09d466c6a337c620cdb62bc45e70d7ce5be430767797e3986dd1978365e049374996184909894d6bccdbe3a6b59dffdfa510b8c6d28d13c7b0cc596f85a447b210ac2ff9aa5298f75d64197d2c1c9e1cabcbef9fc5406725d1dadd460f4f4c2e1428acabb66c976185b22b650d0099f7563a29e6285b96d62824c35e2890d996ca6289a31086d7ecd667d2fd0983090122b38c2704388c7a049c67b58e5dd54e6031c691c7f0954ab8bc3b84f2d895061018b1a560bc1d078b13a9abd31043e6e481ff20b64674f95cc62191dd30064f1df8670e63c6e82703d0cadd25cba9dffb2edac03f5c174c0fab63b775173953262ea41f5e2f2bfd9e4bcac03ffbdf32285c06d2bddee8fa35107af8eafa35c84482ff19f95c1af929db170000000049454e44ae426082000840010824000000180000000210c0db01000000030000000000000000000000000000001b40000040000000340000000100000002000000000000bf000000bf0000184300001042030000000000008000000080feff3d430000008000000080feff33422100000008000000620000000c00000001000000150000000c00000004000000150000000c0000000400000051000000481600000000000000000000bd0000002c0000000000000000000000000000000000000098000000240000005000000098000000e800000060150000000000002000cc00be0000002d00000028000000980000002400000001000800000000000000000000000000000000001c0000000000000000000000ffffff00bfffff000000740048000000ffdf9c00489cdf0074000000dfffbf0000489c00bf740000dfffff0074489c009cdfbf000000480048484800df9c4800dfdf9c009c480000ffffdf000074bf0074bfff00ffffbf00ffbf74009cdfff009c749c0000747400480048000101010101010101010101010101010101010101010101010101010101010101010101010101010101010101010101010101010101010101010101010101010101010101010101010101010101010101010101010101010101010101010101010101010101010101010101010101010101010101010101010101010101010101010101010101010101010101010101010101010101010101010101010101010101010101010101010101010101010101010101010101010101010101010101010101010101010101010101010101010101010101010101010101010101010101010101010101010101010101010101010101010101010101010101010101010101010101010101010101010101010101010101010101010101010101010101010101010101010101010101010101010101010101010101010101010101010101010101010101010101010101010101010101010101010101010101010101010b090a01010101010101010101010101010101010101010101010101010101010101010101180e0a01060017010600040515071601010101010101010101010101010101010101010101010101010101010101010101010101010101010101010101010101010101010101010101010101010101010101010101010101010101010101010101010101010101010101010101010101010102031001010101010101010101010101010101010101010101010101010101010101010101010b090716180e0a010604111913181b05010101010101010101010101010101010101010101010101010101010101010101010101010101010101010101010101010101010101010101010101010101010101010101010101010101010101010101010101010101010101010101010101010b090a01010101010101010101010101010101010101010101010101010101010101010101010101140405020312131500170101011504050101010101010101010101010101010101010101010101010101010101010101010101010101010101010101010101010101010101010101010101010101010101010101010101010101010101010101010101010101010101010101010101010607160101010101010101010101010101010101010101010101010101010101010101010101010115000a0114040502030a01010101141213010101010101010101010101010101010101010101010101010101010101010101010101010101010101010101010101010101010101010101010101010101010101010101010101010101010101010101010101010101010101010101010203100101010101010101010101010101010101010101010101010101010101010101010101010b0c0d0e0f1006000411091213010101180e170101010101010101010101010101010101010101010101010101010101010101010101010101010101010101010101010101010101010101010101010101010101010101010101010101010101010101010101010101010101010101010106071601010101010101010101010101010101010101010101010101010101010101010101010101020304050600070809000a010101010114121301010101010101010101010101010101010101010101010101010101010101010101010101010101010101010101010101140000040501010101010101010101010101010101010101010101010101010101010101010101010101010b090a0101010101010101010101010101010101010101010101010101010101010101010101010101010101010101010101010101010101011504050101010101010101010101010101010101010101010101010101010101010101010101010101010101010101010101010115000017010101010101010101010101010101010101010101010101010101010101010101010101010101180e1701010101010101010101010101010101010101010101010101010101010101010101010101010101010101010101010101010101010102031001010101010101010101010101010101010101010101010101010101010101010101010101010101010101010101010101180e00100101010101010101010101010101010101010101010101010101010101010101010101010101010604050101010101010101010101010101010101010101010101010101010101010101010101010101010101010101010101010101010101010b0912130101010101010101010101010101010101010101010101010101010101010101010101010101010101010101010101010203000a01010101010101011500000004050101010101010101010101010101010101010101010101010b09121301010101010101010101010101010101010101010101010101010101010101010101010101010101010101010101010101010101010101140405010101010101010101010101010101010101010101010101010101010101010101010101010101010101010101010101011400000000000a010101010101010b090405010101010101010101010101010101010101010101010102030a0101010101010b0900000000000004050101010101010101010101061213010101010101010101010101010101010101010101010101010106001701010101010101010101010101010101010101010101010101010101010101010101010101010b09000000000000040501060000170106000405010101010101180e121301010101010101010101010101010101010101010101180e0a01010101010101010114000012130101010101010101010101010106121301010101010101010101010101010101010101010101010101011500100101010101010101010101010101010101010101010101010101010101010101010101010101010101140000121301010115000017010b0900121301010115000000040501010101010101010101010101010101010101010101180e100101010101010101011500001001010101010101010101010101010612130101010101010101010101010101010101010101010101010101180e100101010101010101010101010101010101010101010101010101010101010101010101010101010101150000100101010102030010010115000017010101010101140017010101140000000000000000000012130101010101011500100101010101010101011500001001010101010101010101010101010612130101010101010101010101010101010101010101010101010101180e0a010101010101010101010101010101010101010101010101010101010101010101010101010101010115000010010101010b09000a01010203000a010101060000000716010101010101010101010101010101010101010101011500170101010101010101011500001001010101010101010101010101010612130101010101010101010101010101010101010101010101010101180e0a010101010101010101010101010101010101010101010101010101010101010101010101010101010115000010010101010114000716010b090012130101010101010101010101010101010101010101010101010101010101011500170101010101010101011500001001010101010101010114000000000000000000001213010101010000000000000000000000000101010101180e0a0101010101010101010101010101010101010101140000000000000000000012130101010101010101150000100101010101150000100101140012130101010101010101010101140000000000000000000012130101010101011500100101010101010101011500001001010101010101010101010101010612130101010101010101010101010101010101010101010101010101180e0a01010101010101010101010101010101010101010101010101010101010101010101010101010101011500001001010114101500071a0a0b09000a010101010101010101010101010101010101010101010101010101010101011500100101010101010101011500001001010101010101010101010101010612130101010101010101010101010101010101010101010101010101180e0a010101010101010101010101010101010101010101010101010101010101010101010101010101010115000010010101010600001213150000071601010101010101010101010101010101010101010101010101010101010101180e10010101010101010101150000100101010101010101010101010101061213010101010101010101010114000a010101010101010101010101180e10010101010101010101010101010101010101010101010101010101010101010101010101010101010115000010010101010101010101010101010101010101010101010101010101010101010101010101010101010101010101180e0a01010101010115071615000010010101010101010101010101010106121301010101010101010101010600170101010101010101010101011500100101010101010101010101010101010101010101010101010101010101010101010101010101150716150000100101010101010101010101010101010101010101010101010101010101010101010101010101010101010101010203121301010101010115000000001001010101010101010101010101010612130101010101010101010101180e100101010101010101010101010600170101010101010101010101010101010101010101010101010101010101010101010101010101011500000000100101010101010101010101010101010101010101010101010101010101010101010101010101010101010101010b090716010101010101010b090000100101010101010101010101010101010101010101010101010101010102030000000a010101010101010101140716010101010101010101010101010101010101010101010101010101010101010101010101010101010b0900001001010101010101010101010101010101010101010101010101010101010101010101010101010101010101010101060405010101010101010101150010010101010101010101010101010101010101010101010101010101010b09071615000a010101010101010b09121301010101010101010101010101010101010101010101010101010101010101010101010101010101010115001001010101010101010101010101010101010101010101010101010101010101010101010101010101010101010101180e1701010101010101010101010101010101010101010101010101010101010101010101010101010101010607160114040501010101010102031001010101010101010101010101010101010101010101010101010101010101010101010101010101010101010101010101010101010101010101010101010101010101010101010101010101010101010101010101010101010101010b090a01010101010101010101010101010101010101010101010101010101010101010101010101010101011500100115001701010101010115040501010101010101010101010101010101010101010101010101010101010101010101010101010101010101010101010101010101010101010101010101010101010101010101010101010101010101010101010101010101010101010106071601010101010101010101010101010101010101010101010101010101010101010101010101010b0c0d0e0f1015001701010101010b09121301010101010101010101010101010101010101010101010101010101010101010101010101010101010101010101010101010101010101010101010101010101010101010101010101010101010101010101010101010101010101010102031001010101010101010101010101010101010101010101010101010101010101010101010101010102030405060007160101010101180e170101010101010101010101010101010101010101010101010101010101010101010101010101010101010101010101010101010101010101010101010101010101010101010101010101010101010101010101010101010101010101010101150716010101010101010101010101010101010101010101010101010101010101010101010101010101010101010101010101010101140a0101010101180e0a0106001701060004050101010101010101010101010101010101010101010101010101010101010101010101010101010101010101010101010101010101010101010101010101010101010101010101010101010101010101140a010101010101010101010101010101010101010101010101010101010101010101010101010101010101010101010101010106071601010101010b090716180e0a010604111913010101010101010101010101010101010101010101010101010101010101010101010101010101010101010101010101010101010101010101010101010101010101010101010101010101010101010b090a01010101010101010101010101010101010101010101010101010101010101010101010101010101010101010101010115040501010101010101140405020312131500170101010101010101010101010101010101010101010101010101010101010101010101010101010101010101010101010101010101010101010101010101010101010101010101010101010101010101010101140a01010101010101010101010101010101010101010101010101010101010101010101010101010101010101010101150716010101010101010115000a0114040502030a01010101010101010101010101010101010101010101010101010101010101010101010101010101010101010101010101010101010101010101010101010101010101010101010101010101010101010101010101010101010101010101010101010101010101010101010101010101010101010101010101010101010101010101010101010101010101010b0c0d0e0f10060004110912130101010101010101010101010101010101010101010101010101010101010101010101010101010101010101010101010101010101010101010101010101010101010101010101010101010101010101010101010101010101010101010101010101010101010101010101010101010101010101010101010101010101010101010101010101010101010101020304050600070809000a010101010101010101010101010101010101010101010101010101010101010101010101010101010101010101010101010101010101010101010101010101010101010101010101010101010101010101010101010101010101010101010101010101010101010101010101010101010101010101010101010101010101010101010101010101010101010101010101010101010101010101010101010101010101010101010101010101010101010101010101010101010101014c000000640000000000000000000000bd0000002c0000000000000000000000be0000002d0000002900aa0000000000000000000000803f00000000000000000000803f0000000000000000000000000000000000000000000000000000000000000000220000000c000000ffffffff460000001c00000010000000454d462b024000000c000000000000000e000000140000000000000010000000140000000400000003010800050000000b0200000000050000000c022d00be00030000001e0004000000070104000400000007010400090b0000410b2000cc0024009800000000002d00be000000000028000000980000002400000001000800000000000000000000000000000000001c0000000000000000000000ffffff00bfffff000000740048000000ffdf9c00489cdf0074000000dfffbf0000489c00bf740000dfffff0074489c009cdfbf000000480048484800df9c4800dfdf9c009c480000ffffdf000074bf0074bfff00ffffbf00ffbf74009cdfff009c749c0000747400480048000101010101010101010101010101010101010101010101010101010101010101010101010101010101010101010101010101010101010101010101010101010101010101010101010101010101010101010101010101010101010101010101010101010101010101010101010101010101010101010101010101010101010101010101010101010101010101010101010101010101010101010101010101010101010101010101010101010101010101010101010101010101010101010101010101010101010101010101010101010101010101010101010101010101010101010101010101010101010101010101010101010101010101010101010101010101010101010101010101010101010101010101010101010101010101010101010101010101010101010101010101010101010101010101010101010101010101010101010101010101010101010101010101010101010101010101010101010b090a01010101010101010101010101010101010101010101010101010101010101010101180e0a01060017010600040515071601010101010101010101010101010101010101010101010101010101010101010101010101010101010101010101010101010101010101010101010101010101010101010101010101010101010101010101010101010101010101010101010101010102031001010101010101010101010101010101010101010101010101010101010101010101010b090716180e0a010604111913181b05010101010101010101010101010101010101010101010101010101010101010101010101010101010101010101010101010101010101010101010101010101010101010101010101010101010101010101010101010101010101010101010101010b090a01010101010101010101010101010101010101010101010101010101010101010101010101140405020312131500170101011504050101010101010101010101010101010101010101010101010101010101010101010101010101010101010101010101010101010101010101010101010101010101010101010101010101010101010101010101010101010101010101010101010607160101010101010101010101010101010101010101010101010101010101010101010101010115000a0114040502030a01010101141213010101010101010101010101010101010101010101010101010101010101010101010101010101010101010101010101010101010101010101010101010101010101010101010101010101010101010101010101010101010101010101010203100101010101010101010101010101010101010101010101010101010101010101010101010b0c0d0e0f1006000411091213010101180e170101010101010101010101010101010101010101010101010101010101010101010101010101010101010101010101010101010101010101010101010101010101010101010101010101010101010101010101010101010101010101010106071601010101010101010101010101010101010101010101010101010101010101010101010101020304050600070809000a010101010114121301010101010101010101010101010101010101010101010101010101010101010101010101010101010101010101010101140000040501010101010101010101010101010101010101010101010101010101010101010101010101010b090a0101010101010101010101010101010101010101010101010101010101010101010101010101010101010101010101010101010101011504050101010101010101010101010101010101010101010101010101010101010101010101010101010101010101010101010115000017010101010101010101010101010101010101010101010101010101010101010101010101010101180e1701010101010101010101010101010101010101010101010101010101010101010101010101010101010101010101010101010101010102031001010101010101010101010101010101010101010101010101010101010101010101010101010101010101010101010101180e00100101010101010101010101010101010101010101010101010101010101010101010101010101010604050101010101010101010101010101010101010101010101010101010101010101010101010101010101010101010101010101010101010b0912130101010101010101010101010101010101010101010101010101010101010101010101010101010101010101010101010203000a01010101010101011500000004050101010101010101010101010101010101010101010101010b09121301010101010101010101010101010101010101010101010101010101010101010101010101010101010101010101010101010101010101140405010101010101010101010101010101010101010101010101010101010101010101010101010101010101010101010101011400000000000a010101010101010b090405010101010101010101010101010101010101010101010102030a0101010101010b0900000000000004050101010101010101010101061213010101010101010101010101010101010101010101010101010106001701010101010101010101010101010101010101010101010101010101010101010101010101010b09000000000000040501060000170106000405010101010101180e121301010101010101010101010101010101010101010101180e0a01010101010101010114000012130101010101010101010101010106121301010101010101010101010101010101010101010101010101011500100101010101010101010101010101010101010101010101010101010101010101010101010101010101140000121301010115000017010b0900121301010115000000040501010101010101010101010101010101010101010101180e100101010101010101011500001001010101010101010101010101010612130101010101010101010101010101010101010101010101010101180e100101010101010101010101010101010101010101010101010101010101010101010101010101010101150000100101010102030010010115000017010101010101140017010101140000000000000000000012130101010101011500100101010101010101011500001001010101010101010101010101010612130101010101010101010101010101010101010101010101010101180e0a010101010101010101010101010101010101010101010101010101010101010101010101010101010115000010010101010b09000a01010203000a010101060000000716010101010101010101010101010101010101010101011500170101010101010101011500001001010101010101010101010101010612130101010101010101010101010101010101010101010101010101180e0a010101010101010101010101010101010101010101010101010101010101010101010101010101010115000010010101010114000716010b090012130101010101010101010101010101010101010101010101010101010101011500170101010101010101011500001001010101010101010114000000000000000000001213010101010000000000000000000000000101010101180e0a0101010101010101010101010101010101010101140000000000000000000012130101010101010101150000100101010101150000100101140012130101010101010101010101140000000000000000000012130101010101011500100101010101010101011500001001010101010101010101010101010612130101010101010101010101010101010101010101010101010101180e0a01010101010101010101010101010101010101010101010101010101010101010101010101010101011500001001010114101500071a0a0b09000a010101010101010101010101010101010101010101010101010101010101011500100101010101010101011500001001010101010101010101010101010612130101010101010101010101010101010101010101010101010101180e0a010101010101010101010101010101010101010101010101010101010101010101010101010101010115000010010101010600001213150000071601010101010101010101010101010101010101010101010101010101010101180e10010101010101010101150000100101010101010101010101010101061213010101010101010101010114000a010101010101010101010101180e10010101010101010101010101010101010101010101010101010101010101010101010101010101010115000010010101010101010101010101010101010101010101010101010101010101010101010101010101010101010101180e0a01010101010115071615000010010101010101010101010101010106121301010101010101010101010600170101010101010101010101011500100101010101010101010101010101010101010101010101010101010101010101010101010101150716150000100101010101010101010101010101010101010101010101010101010101010101010101010101010101010101010203121301010101010115000000001001010101010101010101010101010612130101010101010101010101180e100101010101010101010101010600170101010101010101010101010101010101010101010101010101010101010101010101010101011500000000100101010101010101010101010101010101010101010101010101010101010101010101010101010101010101010b090716010101010101010b090000100101010101010101010101010101010101010101010101010101010102030000000a010101010101010101140716010101010101010101010101010101010101010101010101010101010101010101010101010101010b0900001001010101010101010101010101010101010101010101010101010101010101010101010101010101010101010101060405010101010101010101150010010101010101010101010101010101010101010101010101010101010b09071615000a010101010101010b09121301010101010101010101010101010101010101010101010101010101010101010101010101010101010115001001010101010101010101010101010101010101010101010101010101010101010101010101010101010101010101180e1701010101010101010101010101010101010101010101010101010101010101010101010101010101010607160114040501010101010102031001010101010101010101010101010101010101010101010101010101010101010101010101010101010101010101010101010101010101010101010101010101010101010101010101010101010101010101010101010101010101010b090a01010101010101010101010101010101010101010101010101010101010101010101010101010101011500100115001701010101010115040501010101010101010101010101010101010101010101010101010101010101010101010101010101010101010101010101010101010101010101010101010101010101010101010101010101010101010101010101010101010101010106071601010101010101010101010101010101010101010101010101010101010101010101010101010b0c0d0e0f1015001701010101010b09121301010101010101010101010101010101010101010101010101010101010101010101010101010101010101010101010101010101010101010101010101010101010101010101010101010101010101010101010101010101010101010102031001010101010101010101010101010101010101010101010101010101010101010101010101010102030405060007160101010101180e170101010101010101010101010101010101010101010101010101010101010101010101010101010101010101010101010101010101010101010101010101010101010101010101010101010101010101010101010101010101010101010101150716010101010101010101010101010101010101010101010101010101010101010101010101010101010101010101010101010101140a0101010101180e0a0106001701060004050101010101010101010101010101010101010101010101010101010101010101010101010101010101010101010101010101010101010101010101010101010101010101010101010101010101010101140a010101010101010101010101010101010101010101010101010101010101010101010101010101010101010101010101010106071601010101010b090716180e0a010604111913010101010101010101010101010101010101010101010101010101010101010101010101010101010101010101010101010101010101010101010101010101010101010101010101010101010101010b090a01010101010101010101010101010101010101010101010101010101010101010101010101010101010101010101010115040501010101010101140405020312131500170101010101010101010101010101010101010101010101010101010101010101010101010101010101010101010101010101010101010101010101010101010101010101010101010101010101010101010101140a01010101010101010101010101010101010101010101010101010101010101010101010101010101010101010101150716010101010101010115000a0114040502030a01010101010101010101010101010101010101010101010101010101010101010101010101010101010101010101010101010101010101010101010101010101010101010101010101010101010101010101010101010101010101010101010101010101010101010101010101010101010101010101010101010101010101010101010101010101010101010b0c0d0e0f10060004110912130101010101010101010101010101010101010101010101010101010101010101010101010101010101010101010101010101010101010101010101010101010101010101010101010101010101010101010101010101010101010101010101010101010101010101010101010101010101010101010101010101010101010101010101010101010101010101020304050600070809000a010101010101010101010101010101010101010101010101010101010101010101010101010101010101010101010101010101010101010101010101010101010101010101010101010101010101010101010101010101010101010101010101010101010101010101010101010101010101010101010101010101010101010101010101010101010101010101010101010101010101010101010101010101010101010101010101010101010101010101010101010101010101010c00000040092900aa000000000000002d00be0000000000040000002701ffff030000000000>
Дисконт
>>>
>
Дисконт-фактор
>>>
>
а) >>>
>=8917,70
>>>
>
= 0.1687
>>>
>
= 0.1379 %
>>>
>
= 0.8621
б) >010009000003d823000000001610000000001610000026060f002220574d46430100000000000100159b000000000200000000200000d8070000d8270000010000006c0000000000000000000000fe0000002e0000000000000000000000551700004604000020454d4600000100d82700000c00000001000000000000000000000000000000560500000003000040010000b300000000000000000000000000000000e2040038bb0200460000002c00000020000000454d462b014001001c000000100000000210c0db01000000780000007800000046000000280700001c070000454d462b224004000c000000000000001e4009000c00000000000000244001000c000000000000003040020010000000040000000000803f214007000c000000000000000840000574060000680600000210c0db01000000000000000000000000000000000000000100000089504e470d0a1a0a0000000d49484452000000cc000000260802000000079fe341000000017352474200aece1ce9000000097048597300000ec400000ec401952b0e1b000005ef49444154785eed5c3b6ee33c10a6f72432b649e14338d8c68bb47b83b8596c2b236708e2f6471afb06698375b3b00f91224d60ddc43f67a807dfa244529605b24acce17066f8919c07edd9e57221a9250bc4b4c0b798cc13ef6958e0b499556d73b2a95412ca440964d3c0413c2d28709eefcef4c2bb5c8e39d93eef0bed5cc5fee76cf6fe80742f4b9124812cdef24c83f3f2e5f2f731435db2bb9541a762ff7bbd382ae82aa913c8a6018521b428febd91dd6b09388247577931d29e437ef7453f80f6533eec12c8822d0f3824769725d854a119b9887edacc3f9faa334d14003046b66fe415eecaf38eace7921df0124dcdd302e71dbd48f2a327976b0ea7fe1659ed98efa53450cfa61d1ddc8c05629113b9a66253991b1668688421acb119a1819eba5e30dda6306e14caa5d6ee98eb14e571a5619340e68df46b418cadb67a6ea0420d0635a0a09db469e0a753053ee39b613771640aea13c83c4166bd663c791b87f360d0a3ec7c869b4f7bcdd10ff3a3e1028c73ed27c7dfcb892ef6cf5b923f55119717af6e8357772cad40b2ef0b72f82ca4d1595676cb5cd17f9713593551f6e3d7ca9c0beb2661439d40d6d772300ec3aafc61e9c363d0b1a7cd3d3936102bf61b29dd903d3ee5e4f0f64f06ad9794530119cdda0c9f3eb826c6eac3abf8fa20f5b166c7029ebbdb7bc865cdd734e9703f5f7f2823960fe151c6dffb8e3e5e2c4f83e7db38aeda004a961488148f94e7a1baabf65e171d918325b6a33c62796c8d53c6bb648adf6e8e492c490907b55cacc3d1d48e3f2e5b63b158d671118f2d3f1735ab386b170ff529793048f238b3f7ba08590570a6d485538ac16d222d55b3cd1a09384c899b54de0a55af5e78de381e1236434b90a9e8e593234166726722ef320974c0a80d64b23ee216b2f7ba0a2a6d4b6e582d9d99c434892123e12a53103a8dbdfdf8963e59f1792064f19d8b48685dd41883787981ed83b3c7bf9e73a3b3b4faf5a3d6074bbb951b63ef6d978f51802f24d9ac1a4a6d5717955dd98d880ee255423ebe8239ff25c87011b6efa711a95a8bc230b1fbb374174ed93382ddecbdeeb3807f5125123a8d1a3bb1f9b5453fc92b9041e40a81875241efc736d8285aba9dafc9eeacabccbefdaedfd28962b3434668dc5166ef75961ca13ae1a6e6de7a2b5ba730e8110f1ec4613df7011af786b20680f8872b8af125c96c76bfd5aa0698392c9e98ab407d082ab62be34ea662fa0c9f1ce924e4e889f93c19b81225d064b3964bde6a6d60616ffac722aa9dc031e320242d34f6563e63f6f84ae3d1c3fabfe0b77d79e899fd08c18dedb5d8d2b684fc156c74ae29bbc7b07d7b7edc4bea6e83e464ecf205630bc1ac7865d1778feabbda6e73f5a3a67802e41bdffd0257c95565ffaa8d7950f65ef192658c62e6f4a56da9892e956dd9b68fbbf5f75b954ea3d48c3f96afb8462b111ff49d915ba819eebae445106243b37acdb1820384f08877f6edbd027f0601b3ee0143b04ecb765bc4df08c585780bc27ad451135422f2c5279edfad97252141ae4b2a91e4c8838fcd05720ac1e99dba6e1c011e567c050e09aa03c9deebba7ea14330d77987a20b19384bf94229118779d1fc0857e570cfa6ec2295a248d509b9aac4f4282b184aaad9deeb76ddb8a42c6f33198b4bdd522f73b3514945ea0796d50e114a0dd49275a9894e6d2fd4759ad84a6c2f8a54306bf6b456aed8a54b4bf545929f09eaf476769219ffb6478b5c7589075c383cdd2ea7f085e491d822f44176697bea431f7e94711d7c218a2bd40ce51a8c771e8c90423fbd1a81ba98b7e16b72de32b5818cbaf2c705e66d8c5f88f296e156193094298f52afae8ef3af0ae825c5c02fec71329223fa36c5c01bd3c9d71a4c3fce736e7baaa297a9df28ab7ead27d9d5f7e59805604fe247f5aec0e957052c3685644fe0738cb439fe83edc05b9d28c2c60f648a3e815a9ca33981cc7749e3ac8baf5490ebea7e8f47da310964decbc9be48db7d45fd273671909f163bce140962f457161d054864560b445b9f1e76e7cf30fdaf0ae898c6cc022790f55846ed90919c67cd174c3ad41922970c67d460638edf926c13b0404a614c6011c7aec2ff0f1cc1d243b3921a0000000049454e44ae42608200000840010824000000180000000210c0db01000000030000000000000000000000000000001b40000040000000340000000100000002000000000000bf000000bf00004c4300001842030000000000008000000080feff7e430000008000000080feff3b422100000008000000620000000c00000001000000150000000c00000004000000150000000c00000004000000510000004c1f00000000000000000000fe0000002e00000000000000000000000000000000000000cc0000002600000050000000b400000004010000481e0000000000002000cc00ff0000002f00000028000000cc000000260000000100080000000000000000000000000000000000230000000000000000000000ffffff00bfffff0000007400bf74000074bfff0074000000ffffbf0048007400ffdf9c0048000000dfffff0000489c009cdfff0048004800489cdf00df9c48009c9c7400000048009c480000ffffdf000074bf00ffbf740048489c0000484800dfdfdf00dfbf7400740074009c749c00bf74480048484800740048000074740074740000ffbfbf00010101010101010101010101010101010101010101010101010101010101010101010101010101010101010101010101010101010101010101010101010101010101010101010101010101010101010101010101010101010101010101010101010101010101010101010101010101010101010101010101010101010101010101010101010101010101010101010101010101010101010101010101010101010101010101010101010101010101010101010101010101010101010101010101010101010101010101010101010101010101010101010101010101010101010101010101010101010101010101010101010101010101010101010101010101010101010101010101010101010101010101010101010101010101010101010101010101010101010101010101010101010101010101010101010101010101010101010101010101010101010101010101010101010101010101010101010101010101010101010101010101010101010101010101010101010101010101010101010101010101010101010101010101010101010101010101010101010101010101010101010101010101010101010101010101010101010101010101010101010101010101010101010101010101010101010101010101010101010101010101010101010101010101010101010101010101010101010101010101010101010101010101010b0c04010101010101010101010101010101010101010101010101010101010101010101010101010101010101020300000000160101010101010101010101050607010101010101010101010101010101010101010101010101010101010101010101010101010101010101010101010101010101010101010101010101010101010101010101010101010101010101010101010101010101010101010101010101010101010101010101010101010101010101010101010101010101010101010101010101010101010102031001010101010101010101010101010101010101010101010101010101010101010101010101010101010101010504010105160101010101010101010101010d0e090101010101010101010101010101010101010101010101010101010101010101010101010101010101010101010101010101010101010101010101010101010101010101010101010101010101010101010101010101010101010101010101010101010101010101010101010101010101010101010101010101010101010101010101010101010b0c04010101010101010101010101010101010101010101010101010101010101010101010101010101010101010101010f0401010101010101010101010101010101050a0901010101010101010101010101010101010101010101010101010101010101010101010101010101010101010101010101010101010101010101010101010101010101010101010101010101010101010101010101010101010101010101010101010101010101010101010101010101010101010101010101010101010101010101010101010f06070101010101010101010101010101010101010101010101010101010101010101010101010101010101010101010101050401010101010101010101010101010101151314010101010101010101010101010101010101010101010101010101010101010101010101010101010101010101010101010101010101010101010101010101010101010101010101010101010101010101010101010101010101010101010101010101010101010101010101010101010101010101010101010101010101010101010101020310010101010101010101010101010101010101010101010101010101010101010101010101010101010101010101010101010f100101010101010101010101010101010d12160101010101010101010101010101010101010101010101010101010101010101010101010101010101010101010101010101010101010101010101010101010101010101010101010101010101010101010101010101010101010101010101010101010101010101010101010101010101010101010101010101010101010101010101010f0607010101010101010101010101010101010101010101010101010101010101010101010101010101010101010101010101010d0e09010101010101010101010101010101151314010101010101010101010101010101010101010101010101010101010101010101010101010101010101010101010101010101010101010101010101010101010101010101010101010101010101010101010101010101010101010101010101010101010101010101010101010101010101010101010101010101010101010101010b0c040101010101010101010101010101010101010101010101010101010101010101010101010101010101010101010102080901050a09010101010101010101010101010101050a09010101010101010101010101010101010101010101010101010101010101010101010101050000160101010101010101010101010101010101010101010101010101010101010101010101010101010101010101010101010101010101010101010101010101010101010101010101010101010101010101010101010101010101010d1216010101010101010101010101010101010101010101010101010101010101010101010101010101010101010101010102030000040101010101010101010101010101010102031001010101010101010101010101010101010101010101010101010101010101010101010208090b170901010101010101010101010101010101010101010101010101010101010101010101010101010101010101010101010101010101010101010101010101010101010101010101010101010101010101010101010101010101010f0a0901010101010101010101010101010101010101010101010101010101010101010101010101010101010101010101010101010101010101010101010101010101010101010b0c131401010101010101010101010101010101010101010101010101010101010101010101050401010f10010101010101010101010101010101010101010101010101010101010101010101010101010101010101010101010101010101010101010101010101010101010101010101010101010101010101010101010101010101010b0c1314010101010101010101010101010101010101010101010101010101010101010101010101010101010101010101010101010101010101010101010101010101010101010101150a090101010101010101010101010101010101010101010101010c0000000006070101010f10010115100101010101010101010101010101010101010101010101010101010101010101010b0c0000000a090101010102030000000a0901010101010b0c00000607010101010b0c00000607010101010101010101010101010101010203040101010101010b0c0000000000060701010101010101010101010f131401010101010101010101010101010101010101010101010101010101010101010101010101010101010f0016010101010101010101010101010101010101010101010101150a0901010f001601010f2122020316010101010101010101010101010101010101010101010101010101010101010101150a0901010f0016010101150a0901011500160101010b0c0a09010f0a0901010b0c0a09010f0a090101010101010101010101010101010d120401010101010101010105001001010101010101010101010101010f13140101010101010101010101010101010101010101010101010101010101010101010101010101010101050010010101010101010101010101010101010101010101010101050401010101151314010d1f20000401010101010101010101010101010101010101010101010101010101010101010101151001010102031314010115100101010203131401010500100101020304010105001001010203040101010101010101010101010101010d121001010101010101010105001001010101010101010101010101010f131401010101010101010101010101010101010101010101010101010101010101010101010101010101010d12100101010101010101010101010101010101010101010101010101010101010f06070101151001010101010101010101010101150000000000000000000013140101010101010101010101010101010b0c0607010101010101010115060701010f0a09010101150607010f0a09010101150607010101010101010101010101010105001001010101010101010105001001010101010101010101010101010f131401010101010101010101010101010101010101010101010101010101010101010101010101010101010d120401010101010101010101010101010101010101010101010101010101010b0c0607010102030401010101010101010101010101010101010101010101010101010101010101010101010101010101020313140101010101010101150a0901011506070101010f0a09011506070101010f0a09010101010105000401010101010105001601010101010101010105001001010101010101010101010101010f131401010101010101010101010101010101010101010101010101010101010101010101010101010101010d12040101010101010101010101010101010101010101010101010101010101150004010101010b0c0016010101010101010101010101010101010101010101010101010101010101010101010101010b0c001601010101010101010b0c0607010b0c06070101010f00160b0c06070101010f001601010101010f0006070101010101050016010101010101010101050010010101010101010101150000000000000000000013140101010100000000000000000000000000000000000000000000000000000101010101010d120401010101010101010101010101010101010101010101010101010102030013140101010101010101010101010101010101011500000000000000000000131401010101010101010101010b0c00000a09010101010b0c0401010f001001010b0c06070101010f00160b0c06070101010f0016010101010105000401010101010105001001010101010101010105001001010101010101010101010101010f131401010101010101010101010101010101010101010101010101010101010101010101010101010101010d12040101010101010101010101010101010101010101010101010101020300100101010101010101010101010101010101010101010101010101010101010101010101010101010101010101010101150a090101010102031e000000100101010b0c06070101010f00160b0c06070101010f0016010101010101010101010101010105001001010101010101010105001001010101010101010101010101010f131401010101010101010101010101010101010101010101010101010101010101010101010101010101010d120401010101010101010101010101010101010101010101010101010f0016010101010101010101010101010101010101010101010101010101010101010101010101010101010101010101010101010f0a090101010203100101010101010101150607010101150a0901150607010101150a0901010101010101010101010101010d121001010101010101010105001001010101010101010101010101010f131401010101010101010101010101010101010101010101010101010101010101010101010101010101010d12100101010101010101010101010101010101010101010101010101150607010101010101010101010101010101010101010101010101010101010101010101010101010101010101010101010101010d120401010102031001010101010101010f0a0901010b0c0607010f0a0901010b0c060701010101010101010101010101010d120401010101010101010105001001010101010101010101010101010f1314010101010101010101010101010101010101010101010101010101010101010101010101010101010105001001010101010101010101010101010101010101010101010101010f0a0901010115160101010101010101010101010101010101010101010101010101010101010101010101010101010f040101010d120401010102031001010101010101010d1210010102031314010d12100101020313140101010101010101010101010101020313140101010101050a0905001001010101010101010101010101010f131401010101010101010101010101010101010101010101010101010101010101010101010101010101010f0016010101010101010101010101010101010101010101010101010102031314010203100101010101010101010101010101010101010101010101010101010101010101010101010101010f0016010115001001010102031001010101010101010115060701150016010101150607011500160101010101010101010101010101010b0c06070101010101010b0c00001001010101010101010101010101010101010101010101010101010102030000160101050607010f0000000010010101010f00060701010101010115060701010101010101010101010101010101010101010101010101010101150000000004010101010101010101010101010101010101010101010101010101010101010101010101010101010d120000001001010101020300000000000401010101010f0000001601010101010f0000001601010101010101010101010101010101010f0a0901010101010101010203100101010101010101010101010101010101010101010101010101011504010d0e090105060701010115040101010101010b0c160101010101010b0c13140101010101010101010101010101010101010101010101010101010101010101010101010101010101010101010101010101010101010101010101010101010101010101010101010101010101010101010101010101010101010d1d010101010101010101010101010101010101010101010101010101010101010101010101010d121601010101010101010101010101010101010101010101010101010101010101010101010101020316010b0c10010101010101010f040101010f0000000000131401010101020310010101010101010101010101010101010101010101010101010101010101010101010101010101010101010101010101010101010101010101010101010101010101010101010101010101010101010101010101010101010101010101010101010101010101010101010101010101010101010101010101010101010101010101010b0c040101010101010101010101010101010101010101010101010101010101010101010101010102080901011504010101010101010f04010101021b070b0c1a1c1401010101050a0901010101010101010101010101010101010101010101010101010101010101010101010101010101010101010101010101010101010101010101010101010101010101010101010101010101010101010101010101010101010101010101010101010101010101010101010101010101010101010101010101010101010101010101010f060701010101010101010101010101010101010101010101010101010101010101010101010102080901011504010101010101010f040101010105040b0c1601010101010b0c13140101010101010101010101010101010101010101010101010101010101010101010101010101010101010101010101010101010101010101010101010101010101010101010101010101010101010101010101010101010101010101010101010101010101010101010101010101010101010101010101010101010101010101010101020310010101010101010101010101010101010101010101010101010101010101010101010101020316010b0c10010101010119010f0401010101010f1a0c1601010101010d121601010101010101010101010101010204000026060f00fa07574d4643010000000000010000000000000002000000d807000000000000d827000001010101010101010101010101010101010101010101010101010101010101010101010101010101010101010101010101010101010101010101010101010101010101010101010101010101010101010101010101010101010101010101010101010101010101010101010101010101010101010101010506070101010101010101010101010101010101010101010101010101010101010101010101010f04010d0e0901010101010f00000401010101010b1718160101010101150401010101020300000000160101010101010203000013140101010101010101010101010101010101010101010101010101010101010101010101010101010101010101010101010101010101010101010101010101010101010101010101010101010101010101010101010101010101010101010101010101010101010101010101010101010115040101010101010101010101010101010101010101010101010101010101010101010101010b0c000010010101010101010115040101010101010d1216010101010f0607010101010105040101051601010101010b0c10010b0c04010101010101010101010101010101010101010101010101010101010101010101010101010101010101010101010101010101010101010101010101010101010101010101010101010101010101010101010101010101010101010101010101010101010101010101010101010101010b0c040101010101010101010101010101010101010101010101010101010101010101010101010101010101010101010101010101010101010101010101010101050a09010101010101010f04010101010101010102080901010f13140101010101010101010101010101010101010101010101010101010101010101010101010101010101010101010101010101010101010101010101010101010101010101010101010101010101010101010101010101010101010101010101010101010101010101010101010101010101150401010101010101010101010101010101010101010101010101010101010101010101010101010101010101010101010101010101010101010101010105060701010101010101010105040101010b0c04010d1213140b0c040101010101010101010101010101010101010101010101010101010101010101010101010101010101010101010101010101010101010101010101010101010101010101010101010101010101010101010101010101010101010101010101010101010101010101010101010101010101010101010101010101010101010101010101010101010101010101010101010101010101010101010101010101010101010101010101010101010101010101010101010101010101010101010f1001010b0c04010b0c11120013140101010101010101010101010101010101010101010101010101010101010101010101010101010101010101010101010101010101010101010101010101010101010101010101010101010101010101010101010101010101010101010101010101010101010101010101010101010101010101010101010101010101010101010101010101010101010101010101010101010101010101010101010101010101010101010101010101010101010101010101010101010101010101010d0e090101010101010f0401010101010101010101010101010101010101010101010101010101010101010101010101010101010101010101010101010101010101010101010101010101010101010101010101010101010101010101010101010101010101010101010101010101010101010101010101010101010101010101010101010101010101010101010101010101010101010101010101010101010101010101010101010101010101010101010101010101010101010101010101010101010101010102080901050a090101010101010b0c04010101010101010101010101010101010101010101010101010101010101010101010101010101010101010101010101010101010101010101010101010101010101010101010101010101010101010101010101010101010101010101010101010101010101010101010101010101010101010101010101010101010101010101010101010101010101010101010101010101010101010101010101010101010101010101010101010101010101010101010101010101010101010101020300000401010101010101010105000607010101010101010101010101010101010101010101010101010101010101010101010101010101010101010101010101010101010101010101010101010101010101010101010101010101010101010101010101010101010101010101010101010101010101010101010101010101010101010101010101010101010101010101010101010101010101010101010101010101010101010101010101010101010101010101010101010101010101010101010101010101010101010101010101010101010101010101010101010101014c000000640000000000000000000000fe0000002e0000000000000000000000ff0000002f0000002900aa0000000000000000000000803f00000000000000000000803f0000000000000000000000000000000000000000000000000000000000000000220000000c000000ffffffff460000001c00000010000000454d462b024000000c000000000000000e000000140000000000000010000000140000000400000003010800050000000b0200000000050000000c022f00ff00030000001e00040000000701040004000000070104008b0f0000410b2000cc002600cc00000000002f00ff000000000028000000cc000000260000000100080000000000000000000000000000000000230000000000000000000000ffffff00bfffff0000007400bf74000074bfff0074000000ffffbf0048007400ffdf9c0048000000dfffff0000489c009cdfff0048004800489cdf00df9c48009c9c7400000048009c480000ffffdf000074bf00ffbf740048489c0000484800dfdfdf00dfbf7400740074009c749c00bf74480048484800740048000074740074740000ffbfbf00010101010101010101010101010101010101010101010101010101010101010101010101010101010101010101010101010101010101010101010101010101010101010101010101010101010101010101010101010101010101010101010101010101010101010101010101010101010101010101010101010101010101010101010101010101010101010101010101010101010101010101010101010101010101010101010101010101010101010101010101010101010101010101010101010101010101010101010101010101010101010101010101010101010101010101010101010101010101010101010101010101010101010101010101010101010101010101010101010101010101010101010101010101010101010101010101010101010101010101010101010101010101010101010101010101010101010101010101010101010101010101010101010101010101010101010101010101010101010101010101010101010101010101010101010101010101010101010101010101010101010101010101010101010101010101010101010101010101010101010101010101010101010101010101010101010101010101010101010101010101010101010101010101010101010101010101010101010101010101010101010101010101010101010101010101010101010101010101010101010101010101010101010b0c04010101010101010101010101010101010101010101010101010101010101010101010101010101010101020300000000160101010101010101010101050607010101010101010101010101010101010101010101010101010101010101010101010101010101010101010101010101010101010101010101010101010101010101010101010101010101010101010101010101010101010101010101010101010101010101010101010101010101010101010101010101010101010101010101010101010101010102031001010101010101010101010101010101010101010101010101010101010101010101010101010101010101010504010105160101010101010101010101010d0e090101010101010101010101010101010101010101010101010101010101010101010101010101010101010101010101010101010101010101010101010101010101010101010101010101010101010101010101010101010101010101010101010101010101010101010101010101010101010101010101010101010101010101010101010101010b0c04010101010101010101010101010101010101010101010101010101010101010101010101010101010101010101010f0401010101010101010101010101010101050a0901010101010101010101010101010101010101010101010101010101010101010101010101010101010101010101010101010101010101010101010101010101010101010101010101010101010101010101010101010101010101010101010101010101010101010101010101010101010101010101010101010101010101010101010101010f06070101010101010101010101010101010101010101010101010101010101010101010101010101010101010101010101050401010101010101010101010101010101151314010101010101010101010101010101010101010101010101010101010101010101010101010101010101010101010101010101010101010101010101010101010101010101010101010101010101010101010101010101010101010101010101010101010101010101010101010101010101010101010101010101010101010101010101020310010101010101010101010101010101010101010101010101010101010101010101010101010101010101010101010101010f100101010101010101010101010101010d12160101010101010101010101010101010101010101010101010101010101010101010101010101010101010101010101010101010101010101010101010101010101010101010101010101010101010101010101010101010101010101010101010101010101010101010101010101010101010101010101010101010101010101010101010f0607010101010101010101010101010101010101010101010101010101010101010101010101010101010101010101010101010d0e09010101010101010101010101010101151314010101010101010101010101010101010101010101010101010101010101010101010101010101010101010101010101010101010101010101010101010101010101010101010101010101010101010101010101010101010101010101010101010101010101010101010101010101010101010101010101010101010101010101010b0c040101010101010101010101010101010101010101010101010101010101010101010101010101010101010101010102080901050a09010101010101010101010101010101050a09010101010101010101010101010101010101010101010101010101010101010101010101050000160101010101010101010101010101010101010101010101010101010101010101010101010101010101010101010101010101010101010101010101010101010101010101010101010101010101010101010101010101010101010d1216010101010101010101010101010101010101010101010101010101010101010101010101010101010101010101010102030000040101010101010101010101010101010102031001010101010101010101010101010101010101010101010101010101010101010101010208090b170901010101010101010101010101010101010101010101010101010101010101010101010101010101010101010101010101010101010101010101010101010101010101010101010101010101010101010101010101010101010f0a0901010101010101010101010101010101010101010101010101010101010101010101010101010101010101010101010101010101010101010101010101010101010101010b0c131401010101010101010101010101010101010101010101010101010101010101010101050401010f10010101010101010101010101010101010101010101010101010101010101010101010101010101010101010101010101010101010101010101010101010101010101010101010101010101010101010101010101010101010b0c1314010101010101010101010101010101010101010101010101010101010101010101010101010101010101010101010101010101010101010101010101010101010101010101150a090101010101010101010101010101010101010101010101010c0000000006070101010f10010115100101010101010101010101010101010101010101010101010101010101010101010b0c0000000a090101010102030000000a0901010101010b0c00000607010101010b0c00000607010101010101010101010101010101010203040101010101010b0c0000000000060701010101010101010101010f131401010101010101010101010101010101010101010101010101010101010101010101010101010101010f0016010101010101010101010101010101010101010101010101150a0901010f001601010f2122020316010101010101010101010101010101010101010101010101010101010101010101150a0901010f0016010101150a0901011500160101010b0c0a09010f0a0901010b0c0a09010f0a090101010101010101010101010101010d120401010101010101010105001001010101010101010101010101010f13140101010101010101010101010101010101010101010101010101010101010101010101010101010101050010010101010101010101010101010101010101010101010101050401010101151314010d1f20000401010101010101010101010101010101010101010101010101010101010101010101151001010102031314010115100101010203131401010500100101020304010105001001010203040101010101010101010101010101010d121001010101010101010105001001010101010101010101010101010f131401010101010101010101010101010101010101010101010101010101010101010101010101010101010d12100101010101010101010101010101010101010101010101010101010101010f06070101151001010101010101010101010101150000000000000000000013140101010101010101010101010101010b0c0607010101010101010115060701010f0a09010101150607010f0a09010101150607010101010101010101010101010105001001010101010101010105001001010101010101010101010101010f131401010101010101010101010101010101010101010101010101010101010101010101010101010101010d120401010101010101010101010101010101010101010101010101010101010b0c0607010102030401010101010101010101010101010101010101010101010101010101010101010101010101010101020313140101010101010101150a0901011506070101010f0a09011506070101010f0a09010101010105000401010101010105001601010101010101010105001001010101010101010101010101010f131401010101010101010101010101010101010101010101010101010101010101010101010101010101010d12040101010101010101010101010101010101010101010101010101010101150004010101010b0c0016010101010101010101010101010101010101010101010101010101010101010101010101010b0c001601010101010101010b0c0607010b0c06070101010f00160b0c06070101010f001601010101010f0006070101010101050016010101010101010101050010010101010101010101150000000000000000000013140101010100000000000000000000000000000000000000000000000000000101010101010d120401010101010101010101010101010101010101010101010101010102030013140101010101010101010101010101010101011500000000000000000000131401010101010101010101010b0c00000a09010101010b0c0401010f001001010b0c06070101010f00160b0c06070101010f0016010101010105000401010101010105001001010101010101010105001001010101010101010101010101010f131401010101010101010101010101010101010101010101010101010101010101010101010101010101010d12040101010101010101010101010101010101010101010101010101020300100101010101010101010101010101010101010101010101010101010101010101010101010101010101010101010101150a090101010102031e000000100101010b0c06070101010f00160b0c06070101010f0016010101010101010101010101010105001001010101010101010105001001010101010101010101010101010f131401010101010101010101010101010101010101010101010101010101010101010101010101010101010d120401010101010101010101010101010101010101010101010101010f0016010101010101010101010101010101010101010101010101010101010101010101010101010101010101010101010101010f0a090101010203100101010101010101150607010101150a0901150607010101150a0901010101010101010101010101010d121001010101010101010105001001010101010101010101010101010f131401010101010101010101010101010101010101010101010101010101010101010101010101010101010d12100101010101010101010101010101010101010101010101010101150607010101010101010101010101010101010101010101010101010101010101010101010101010101010101010101010101010d120401010102031001010101010101010f0a0901010b0c0607010f0a0901010b0c060701010101010101010101010101010d120401010101010101010105001001010101010101010101010101010f1314010101010101010101010101010101010101010101010101010101010101010101010101010101010105001001010101010101010101010101010101010101010101010101010f0a0901010115160101010101010101010101010101010101010101010101010101010101010101010101010101010f040101010d120401010102031001010101010101010d1210010102031314010d12100101020313140101010101010101010101010101020313140101010101050a0905001001010101010101010101010101010f131401010101010101010101010101010101010101010101010101010101010101010101010101010101010f0016010101010101010101010101010101010101010101010101010102031314010203100101010101010101010101010101010101010101010101010101010101010101010101010101010f0016010115001001010102031001010101010101010115060701150016010101150607011500160101010101010101010101010101010b0c06070101010101010b0c00001001010101010101010101010101010101010101010101010101010102030000160101050607010f0000000010010101010f00060701010101010115060701010101010101010101010101010101010101010101010101010101150000000004010101010101010101010101010101010101010101010101010101010101010101010101010101010d120000001001010101020300000000000401010101010f0000001601010101010f0000001601010101010101010101010101010101010f0a0901010101010101010203100101010101010101010101010101010101010101010101010101011504010d0e090105060701010115040101010101010b0c160101010101010b0c13140101010101010101010101010101010101010101010101010101010101010101010101010101010101010101010101010101010101010101010101010101010101010101010101010101010101010101010101010101010101010d1d010101010101010101010101010101010101010101010101010101010101010101010101010d121601010101010101010101010101010101010101010101010101010101010101010101010101020316010b0c10010101010101010f040101010f0000000000131401010101020310010101010101010101010101010101010101010101010101010101010101010101010101010101010101010101010101010101010101010101010101010101010101010101010101010101010101010101010101010101010101010101010101010101010101010101010101010101010101010101010101010101010101010101010b0c040101010101010101010101010101010101010101010101010101010101010101010101010102080901011504010101010101010f04010101021b070b0c1a1c1401010101050a0901010101010101010101010101010101010101010101010101010101010101010101010101010101010101010101010101010101010101010101010101010101010101010101010101010101010101010101010101010101010101010101010101010101010101010101010101010101010101010101010101010101010101010101010f060701010101010101010101010101010101010101010101010101010101010101010101010102080901011504010101010101010f040101010105040b0c1601010101010b0c13140101010101010101010101010101010101010101010101010101010101010101010101010101010101010101010101010101010101010101010101010101010101010101010101010101010101010101010101010101010101010101010101010101010101010101010101010101010101010101010101010101010101010101010101020310010101010101010101010101010101010101010101010101010101010101010101010101020316010b0c10010101010119010f0401010101010f1a0c1601010101010d1216010101010101010101010101010101010101010101010101010101010101010101010101010101010101010101010101010101010101010101010101010101010101010101010101010101010101010101010101010101010101010101010101010101010101010101010101010101010101010101010101010101010101010101010101010506070101010101010101010101010101010101010101010101010101010101010101010101010f04010d0e0901010101010f00000401010101010b1718160101010101150401010101020300000000160101010101010203000013140101010101010101010101010101010101010101010101010101010101010101010101010101010101010101010101010101010101010101010101010101010101010101010101010101010101010101010101010101010101010101010101010101010101010101010101010101010115040101010101010101010101010101010101010101010101010101010101010101010101010b0c000010010101010101010115040101010101010d1216010101010f0607010101010105040101051601010101010b0c10010b0c04010101010101010101010101010101010101010101010101010101010101010101010101010101010101010101010101010101010101010101010101010101010101010101010101010101010101010101010101010101010101010101010101010101010101010101010101010101010b0c040101010101010101010101010101010101010101010101010101010101010101010101010101010101010101010101010101010101010101010101010101050a09010101010101010f04010101010101010102080901010f13140101010101010101010101010101010101010101010101010101010101010101010101010101010101010101010101010101010101010101010101010101010101010101010101010101010101010101010101010101010101010101010101010101010101010101010101010101010101150401010101010101010101010101010101010101010101010101010101010101010101010101010101010101010101010101010101010101010101010105060701010101010101010105040101010b0c04010d1213140b0c040101010101010101010101010101010101010101010101010101010101010101010101010101010101010101010101010101010101010101010101010101010101010101010101010101010101010101010101010101010101010101010101010101010101010101010101010101010101010101010101010101010101010101010101010101010101010101010101010101010101010101010101010101010101010101010101010101010101010101010101010101010101010101010f1001010b0c04010b0c11120013140101010101010101010101010101010101010101010101010101010101010101010101010101010101010101010101010101010101010101010101010101010101010101010101010101010101010101010101010101010101010101010101010101010101010101010101010101010101010101010101010101010101010101010101010101010101010101010101010101010101010101010101010101010101010101010101010101010101010101010101010101010101010101010d0e090101010101010f0401010101010101010101010101010101010101010101010101010101010101010101010101010101010101010101010101010101010101010101010101010101010101010101010101010101010101010101010101010101010101010101010101010101010101010101010101010101010101010101010101010101010101010101010101010101010101010101010101010101010101010101010101010101010101010101010101010101010101010101010101010101010101010102080901050a090101010101010b0c04010101010101010101010101010101010101010101010101010101010101010101010101010101010101010101010101010101010101010101010101010101010101010101010101010101010101010101010101010101010101010101010101010101010101010101010101010101010101010101010101010101010101010101010101010101010101010101010101010101010101010101010101010101010101010101010101010101010101010101010101010101010101010101020300000401010101010101010105000607010101010101010101010101010101010101010101010101010101010101010101010101010101010101010101010101010101010101010101010101010101010101010101010101010101010101010101010101010101010101010101010101010101010101010101010101010101010101010101010101010101010101010101010101010101010101010101010101010101010101010101010101010101010101010101010101010101010101010101010101010101010101010101010101010101010101010101010101010101010c00000040092900aa000000000000002f00ff0000000000040000002701ffff030000000000>= 7882,67
>>>
>
= 0.1449
>>>
>
= 0.1228 %
>>>
>
= 0.8772
Сравнив полученные результаты, видим, что при увеличении учетной ставке процента и количества начислений в год – конечная сумма вклада увеличивается.
в) >0100090000034423000000001610000000001610000026060f002220574d464301000000000001002b220000000002000000002000008007000080270000010000006c00000000000000000000001c010000280000000000000000000000131a0000bb03000020454d4600000100802700000c00000001000000000000000000000000000000560500000003000040010000b300000000000000000000000000000000e2040038bb0200460000002c00000020000000454d462b014001001c000000100000000210c0db01000000780000007800000046000000a007000094070000454d462b224004000c000000000000001e4009000c00000000000000244001000c000000000000003040020010000000040000000000803f214007000c0000000000000008400005ec060000e00600000210c0db01000000000000000000000000000000000000000100000089504e470d0a1a0a0000000d49484452000000e4000000210802000000461090dd000000017352474200aece1ce9000000097048597300000ec400000ec401952b0e1b0000066749444154785eed5c3192e23a1015ff24509b4cc021a036618a941b0c093529d49c8182746a12b801e9d4924cc1210848b6e026fedd2d596a59969159b38b063932b6d46ab59e5a4fdd32ad2ccb44ba920562b0c07f31289974bc1b0b9cd7cfade7f5b9497df6b3566bb60f9198c01a62a554062d80409d888fecd74bbb4983f4165936fcb4a7000218118c4dca3bbc12589bb47b04b20806f955c7479ed793cde854002a4aab23c467a0dee234da4c94c706847e3ead0662397f7e171fbba91087dfd29703674dd7a35800075e0c5627ecef6935507741bd778ac30309bd3a522a9a4279d35d5e00351d4c77a78c6ea4c659f2ac1178c3a6543cff3e1851ed975f35d6f3f3d766dbfda1977f707e4008345e4b15c4253c8c8b52f5f6cfd120f7a062ffb91483d16baf8d2a0f463fcf339494c0da14122290837810623bee300c495a804bb9e2874100ab87f4dc3417dbda1ee5724fb34acf0d50f873b8e825b04600b10655048c111358f625d344763844ffb8dd4cb4ab5c7e821323c8e0eea6866fac56b4d8162df0ba2dbb2ee89965084f4177ea3e79d606a1108528d87bd3eabd1dbfef110a8bdef9b8859fdd372005743b1d224aaebef40eae33dee2ac90d76c6fda12a30f0f01193cb5abda4d34e0ea5189b6a264037a6d067a085b985740283245610063fc5b815156f61c235174593b26729372799fbe51e8abd09828b0e2b23600ac395761210d16db8a6048ece5aad9c52b82ee07aa081e4f05991016da81ca4d17f143ba85dd8c58cfdcb03f205ca03376af9c685ed643364cd77ed68789a1704b38feda089a3155979e0450d50a1c40a586821241a1913f29443c4c694f6b5c2c8aff49a76bd6b577ee7aa8e563f593ece8b71e77954e20c0802757cc8e45e153255fc191d7088ba3c938aba5323d9172a319746ebb6894ae09b7bb28cec39e7515f2f89170913eceda7e62b4e6b283ffd725d4a691cc57237af8afd58eaf7d64a4571a58920016ac55bd0f17e9032bed0bb9648bd9e6f10c97ee16231d5676cf09efd934d9e4ed58ad8240f346962efe761f304058ca586d97365d9a942cb38387f573e6cf9acedb52b5d44f5f479a4866dec79c9090f204abc254ace0acf97a6abbef42cacea1ba6615b6c98524168ca870a6a978075bc1edb76cc571284bb164256b2d142e2b6bb85665616607268555d1b72e2fa47ec263b4c66e9af79aaf87f2651895abbb1c475b9e7b561d146bf59768c0dcddd31aab7d7f6f08a8533b401edc0024dadc61ff0e81b6e94e062d84e82d280a3cf79c2fe3622ba759fb4797c757645916a0635bceb0e95a52aa3cdee7b703ce4219906157ef5566cf6d3bd0d3ede6eb2c839c609761d7dd65439d2e843bcb1345fe05e29a032a571be9ef57e460e5dbb30a5ee2a5b30413087dc8412bc6d170580ccc8b3d3dafe7900dbe18bbb8642018c7ceb12b37b5d75eb05cb9c4aa4498b103a2389f93aca07c5cb4034d361eee01f81eec290cc6385498424732bd2eb26cf40a91c9e87e826183930286976166825de6059e75bcccbef5610592917bf3ceb8bb73eb1a5f1f72120d90da17bb6c31bc16a6540fa28d558914af1d2a1b85f4b646070618f5a137ac05f0a5f7f8826ec0c241d3a5563fa35dfc95e28160a5f121243282ab0d6536e21f62620eca7a0d690f8309f83dcd5d40f270200c63c566e3f8fedc9a3f9dca1c5cad21ad4aa454dba1b219270aa97d1faee9fd039d81339cf5b43aa8ec7d99d44403fcb6a6d59de71a685757b62ebebcb1b30972d14772965f3243e249ff520ed02ace5b50e785d4a11cb7ededf2e01c0cae0752ade471eb498e07dbc16e98d8826f0f4cecc7e5bb6db42465efcbaeeb68c075e6b8ab5aa134c09c34a43c995ac6ec83e2d2f21a8d12addae270d21c375cce3e4499c3178593afe55b124d9077527c7c32f1539bc1c686aed06714f365e5418e723b54b542c003ba636270e6a323da7b953275da877977a3c1bdfa6605f3f495ec5679f687e78760413359393b7f5652dfcaca71e14e4dabb2ffad7923a5157fbb0f18576362715d66ca0d56ab62aad1916c5bcab283cb8f0a86b43a243941deba2ae9ed889bc78c9d7d5ead7f0b6a7eb3e997baf35d2d104a03be6bff53bf22b240026b4483f5e8aa26b03e3a0222ea7f026b4483756faa5efc00b0618513581b36e8c388abfed8f026664860bd89591f40e82d3e36bc60b604d607c0d5cdba280fe9947d6c78932613586f62d6c7101afab16153d648606dca928f27877f252b0f3e8e3b13f1daec7f0c72b3fe0fae395339103242750000000049454e44ae42608200000840010824000000180000000210c0db01000000030000000000000000000000000000001b40000040000000340000000100000002000000000000bf000000bf0000644300000442030000000000008000000080ff7f8e430000008000000080ffff23422100000008000000620000000c00000001000000150000000c00000004000000150000000c00000004000000510000007c1e000000000000000000001c0100002800000000000000000000000000000000000000e40000002100000050000000c800000018010000641d0000000000002000cc001d0100002900000028000000e4000000210000000100080000000000000000000000000000000000280000000000000000000000ffffff009cdfff0048004800ffdf9c000074bf00bf740000489cdf009c480000ffffdf0074bfff00bfffff00000074000000480074000000ffffbf00480000009c484800df9c4800dfffff0074489c00489c9c009c74480074bfdf0000489c007400480074480000ffdfbf00ffbf740048489c00dfdf9c007474bf009cdfbf0048484800749cdf00dfffbf0074007400747474007474480000749c0001010101010101010101010101010101010101010101010101010101010101010101010101010101010101010101010101010101010101010101010101010101010101010101010101010101010101010101010101010101010101010101010101010101010101010101010101010101010101010101010101010101010101010101010101010101010101010101010101010101010101010101010101010101010101010101010101010101010101010101010101010101010101010101020d06010b0c00120101010101010101010101010101010101010101010101010101010101010101010101010101010101010101010101010101010101010101010101010101010101010101010101010101010101010101010101010101010101010101010101010101010101010101010101010101010101010101010101010101010101010101010101010101010101010101010101010101010101010101010101010101010101010101010101010101010101010101010101010101010101010101010101010101010101010101010101010101010101010101010101010101010113180e0f020d122204010101010101010101010101010101010101010101010101010101010101010101010101010101010101010101010101010101010101010101010101010101010101010101010101010101010101010101010101010101010101010101010101010101010101010101010101010101010101010101010101010101010101010101010101010101010101010101010101010101010101010101010101010101010101010101010101010101010101010101010101010101010101010101010101010101010101010101010101010101010101010101010101010101010510040b0c080901010101010101010101010101010101010101010101010101010101010101010101010101010101010101010101010101010101010101010101010101010101010101010101010101010101010101010101010101010101010101010101010101010101010101010101010101010101010101010101010101010101010101010101010101010101010101010101010101010101010101010101010101010101010101010101010101010101010101010101010101010101010101010101010101010101010101010101010101010101010101010101010101010101010a000601050e0f0101010101010101010101010101010101010101010101010101010101010101010101010101010101010101010101010101010101010101010101010101010101010101010101010101010101010101010101010101010101010101010101010101010101010101010101010101010101010101010101010101010101010101010101010101010101010101010101010101010101010101010101010101010101010101010101010101010101010101010101010101010101010101010101010101010101010101010101010101010101010101010101010101011314200d211207001c010101010101010101010101010101010101010101010101010101010101010101010101010101010101010101010101010101010101010101010101010101010101010101010101010101010101010101010101010101010101010101010101010101010101010101010101010101010101010101010101010101010101010101010101010101010101010101010101010101010101010101010101010101010101010101010101010101010101010101010101010101010101010101010101010101010101010101010101010101010101010101010101010101010b0c100407000e0f010101010101010101010101010101010101010101010101010101010101010101010101010101010101010101010101010101010101010101010101010101010101010101010101010101010101010101010101010101010101010101010101010101010101010101010101010101010101010101010101010101010101010101010101010101010101010101010101010101010101010101010101010101010101010101010101010101010101010101010101010101010101010101010101010101010101010101010101010101010101010101010101010101010101010101010101010101010101010101010101010101010101010101010101010101010101010101010101010101010101010101010101010101010101010101010101010101010101010101010101010101010101010101010101010101010101010101010101010101010101010101010101010101010101010101010101010101010101010101010101010101010101010101010101010101010101010101010101010101010101010101010101010101010101010101010101010101010101010101010101010101010101010101010101010101010101010101010101010101010101010101010101010101010101010101010101010101010101010101010101010101010101010101010101010101010101010101010101010101010101010101010101010101010101010101010101010101010101010101010101010101010101010101010101010101010101010101010101010101010101010101010101010101010101010101010101010101010101010101010101010101010101010101010101010101010101010101010101010101010101010101010101010101010101010101010101010101010101010101010101010101010101010101010101010101010101010101010101010101010101010101010101010101010101010101010101010101010101010101010101010101010101010101010101010101010101010101010101010101010101010101010101010101010101010101010101010101010101010101010101010101010101010101010101010101010101010101010101010101010101010101010101010101010101010101010101010101010101010101010101010101010101010101010101010101010101010101010101010101010101010101010101010101010101010101010101010101010101010101010101010101010101010101010101010101010101010101010101010101010101010101010101010101010101131800001004010101010101070000001c0500081700000000001201010101020d0000100401010b0c00000000000809010b0c000000000008090a000010040b0c000012010a00001004010101010b0c000006131800000827000809010b0c0000120101070000001c0500080901020d000008090101010a0000000e0f13180008090b0c000012010a00001c010101010101010101010101010101010101010101010101010101010101010101010101010101010101010101010101010101010101010101010101010101010101010101010101010101010101010101010101010101010113180e0f010101010101020d120101050008090a1004010107001201010a0006010107001c01010b0c060101020d0601010b0c060101020d080907001c01010b0c060101010710040101010101010b0c06010113180809051c070601010b0c060101020d120101050008090101010b0c06010101010a000601010b0c1c01051004010b0c12010107100401010101010101010101010101010101010101010101010101010101010101010101010101010101010101010101010101010101010101010101010101010101010101010101010101010101010101010101010101010101010113180e0f010101010101020d1c01010b0c060101010101010b0c060101051004010113180809010b0c06010113180809010b0c06010113180e0f0a100401010b0c100401010a10040101010101010b0c0601011318080901010b240f010b0c060101020d1c01010b0c06010101010b0c0601010113180e0f010101010101020d06010b0c12010b0c060101010101010101010101010101010101010101010101010101010101010101010101010101010101010101010101010101010101010101010101010101010101010101010101010101010101010101010101010101010101010113180e0f010101010101131808090113180601010101010107001c010b0c0809010101050e0f010b0c060101020d1201010b0c060101020d08090a100401010b0c260304010a10040101010101010b0c06010113180809010113181c010b0c0601011318080901131806010101010b0c060101010b0c0601010101010101010510040b0c12010710040101010101010105000000000000000000000809010101010101010101010101010101010101010101010101010101010101010101010101010101010101010101010101010101010101010101010101010101010101010101010113180e0f0101010101010101020d00000006010113180000120101010b0c0809010101051004010b0c0000000e0f0101010b0c000000000809010a100401010b0c120b0c1c0a10040101010101010b0c060101131808090101010712010b0c0601010101020d00000006010101010b0c060101010b0c000000000000120101010a00000000000e0f010101010101010101010101010101010101010101010101010101010101010101010101010101010101010101010101010101010101010101010101010101010101010101010101010101010101010101010101010101010101010113180e0f0101010101010101010101131806010101010101071004010b0c0809010101050e0f010b0c06010107100401010b0c060101010101010a100401010b0c12010b0c2510040101010101010b0c060101131808090101010a06010b0c0601010101010101131806010101010b0c060101010b0c080901010a001c01010107120b0c12131d0401010101010101010101010101010101010101010101010101010000000000000000000000000000000000000000000000000000000000000000000000000000000000000000000000000000000000000000000000000000000001011318000000001004010101010101010b0c06010101010101020d120101050e0f01010b0c0809010b0c0601010b0c0601010b0c060101010101010a100401010b0c120101131810040101010101010b0c060101131808090101010211090b0c06010101010101010b0c06010706010b0c060113181c050e0f010107100401010b240f0b0c12010a06010101010101010105000000000000000000000809010101010101010101010101010101010101010101010101010101010101010101010101010101010101010101010101010101010101010101010101010101010101010101010113180e0f01010500120113180809010a001201020d1c01010a00120101020d06010105001c01010b0c0601010a001201010b0c0601010101010107001c01010b0c060101010710040101010101010b0c0601011318080901010102190f0b0c06010113180809010a0012010710040b0c06010a001c020d06010b0c0809071c0a12010b0c12011314231d04010101010101010101010101010101010101010101010101010101010101010101010101010101010101010101010101010101010101010101010101010101010101010101010101010101010101010101010101010101010113180e0f01010b0c0e0f0101020d00000e0f01020d0000000006010101010b0c0000001c01010b0c00000000000809010b0c000006010101010a000010040b0c000012010a00001004010101010b0c000000000000000809010b0c000000000012010101020d00000e0f010700000000000000001c010b0c0000080901070008090b0c000012010a001004010101010101010101010101010101010101010101010101010101010101010101010101010101010101010101010101010101010101010101010101010101010101050006010101010101010101010101010101010101010113180e0f01011318100401010101010101010101010101010101010101010101010101010101010101010101010101010101010101010101010101010101010101010101010101010101010101010101010101010101010101010101010101010101010101010101010101010101010101010101010101010101010101010101010101010101010101010101010101010101010101010101010101010101010101010101010101010101010101010101010101010101010101010101010101010101010101010101010101010107001c010101010101010101010101010101010101010113180e0f01010b0c1004010101010101010101010101010101010101010101010101010101010101010101010101010101010101010101010101010101010101010700000012010101010101010101010101010101010101010101010101010101010101010101010101010101010101010101010101010101010101010101010101010101010101010101010101010101010101010101010101010101010101010101010101010101010101010101010101010101010101010a10040101010101010101010101010101010101020d12010101010105080901010101010101010101010113180e0f0101050008090101010101010101010101010101010101010101010101010101010101010101010101010101010101010101010101010101010101010a001c01020d120101010101010101010101010101010101010101010101010101010101010101010101010101010101010101010101010101010101010101010101010101010101010101010101010101010101010101010101010101010101011318000000060101020d06010b0c0012010101010101010706010107000000000e0f0101010113181c0101010b0c00000006010101021109010101010101010101011318000000000000060101010101010101010101010101010101010101010101010101010101010101010101010101010101010101010101010101010101010101070e0f0113180601010101010101010101010101010101010101010101010101010101010101010101010101010101010101010101010101010101010101010101010101010101010101010101010101010101010101010101010101010101010101051201020d060113180e0f020d122204010101010102190f0101011318001c01010101010113181c01010113180e0f0a00060101010712010101010101010101010101010101010101010101010101010101010101010101010101010101010101010101010101010101010101010101010101010101010101010101010101010101010101010101010101010101010101010101010101010101010101010101010101010101010101010101010101010101010101010101010101010101010101010101010101010101010101010101010101010101010101010101010101010101010101010113180e0f010510040b0c08090101010101010712010101011318100401010101010113181c01010101070e0f01051004010102190f01010101010101010101010101010101010101010101010101010101010101010101010101010101010101010101010101010101010101010101010101010101010101010101010101010101010101010101010101010101010101010101010101010101010101010101010101010101010101010101010101010101010101010101010101010101010101010101010101010101010101010101010101010101010101010101010101010101010101020d0e0f010a000601050e0f011318060113181c01010101131810040101010b0c0000000000001c010a0012010a001c0101131d0401010101010101010101010101010101010101010101010101010101010101010101010101010101010101010101010101010101010101010101010101010101010101010101010101d603000026060f00a207574d464301000000000001000000000000000200000080070000000000008027000001010101010101010101010101010101010101010101010101010101010101010101010101010101010101010101010101010101010101010101010101010101010101010101010101010101010101010101010101010101010101010101010101010101010a0000121314200d211207001c011318060113181c010101011318100401010101010113181c01011314200d21120a001c010113181c0101010101010101010101010101010101010101010101010101010101010101010101010101010101010101010101010101010101010101010101010101010101010101010101010101010101010101010101010101010101010101010101010101010101010101010101010101010101010101010101010101010101010101010101010101010101010101010101010101010101010101010101010101010101010101010101010101010101020d001c01010b0c100407000e0f010101010113181c010101011318100401010101010113181c0101010b0c100407000e0f010113181c01020d1c1318001c0101010101010101010101010101010101010101010101010101010101010101010101010101010101010101010101010101010101010101010101010101010101010101010101010101010101010101010101010101010101010101010101010101010101010101010101010101010101010101010101010101010101010101010101010101010101010101010101010101010101010101010101010101010101010101010700120101010101010101010101010101010113181c0101131d1e18100401010101010113181c01010101010101010101010101131d04010b0c121318121f0f01010101010101010101010101010101010101010101010101010101010101010101010101010101010101010101010101010101010101010101010101010101010101010101010101010101010101010101010101010101010101010101010101010101010101010101010101010101010101010101010101010101010101010101010101010101010101010101010101010101010101010101010101010101010101010a00120102110901010101010101010101010101071201010113180010040101010101010101010101010101010101010101010102190f0101051a1b050809010101010101010101010101010101010101010101010101010101010101010101010101010101010101010101010101010101010101010101010101010101010101010101010101010101010101010101010101010101010101010101010101010101010101010101010101010101010101010101010101010101010101010101010101010101010101010101010101010101010101010101010101010101010101010101010a000000100401010101010101010101010101021109010101010a10040101010101010101010101010101010101010101010107120113141510161710040101010101010101010101010101010101010101010101010101010101010101010101010101010101010101010101010101010101010101010101010101010101010101010101010101010101010101010101010101010101010101010101010101010101010101010101010101010101010101010101010101010101010101010101010101010101010101010101010101010101010101010101010101010101010101010101010101010101010101010101010101010101010708090101010101010101010101010101010101010101010101010101010a080901010b0c06020d0e0f010101010101010101010101010101010101010101010101010101010101010101010101010101010101010101010101010101010101010101010101010101010101010101010101010101010101010101010101010101010101010101010101010101010101010101010101010101010101010101010101010101010101010101010101010101010101010101010101010101010101010101010101010101010101010101010101010101010101010101010101010101010101010203040101010101010101010101010101010101010101010101010105060101010101010101010101010101010101010101010101010101010101010101010101010101010101010101010101010101010101010101010101010101010101010101010101010101010101010101010101010101010101010101010101010101010101010101010101010101010101010101010101010101010101010101010101010101010101010101010101010101010101010101010101010101010101010101010101010101010101010101010101010101010101010101010101010101010101010101010101010101010101010101010101010101010101010101010101010101010101010101010101014c0000006400000000000000000000001c0100002800000000000000000000001d010000290000002900aa0000000000000000000000803f00000000000000000000803f0000000000000000000000000000000000000000000000000000000000000000220000000c000000ffffffff460000001c00000010000000454d462b024000000c000000000000000e000000140000000000000010000000140000000400000003010800050000000b0200000000050000000c0229001d01030000001e0004000000070104000400000007010400230f0000410b2000cc002100e4000000000029001d010000000028000000e4000000210000000100080000000000000000000000000000000000280000000000000000000000ffffff009cdfff0048004800ffdf9c000074bf00bf740000489cdf009c480000ffffdf0074bfff00bfffff00000074000000480074000000ffffbf00480000009c484800df9c4800dfffff0074489c00489c9c009c74480074bfdf0000489c007400480074480000ffdfbf00ffbf740048489c00dfdf9c007474bf009cdfbf0048484800749cdf00dfffbf0074007400747474007474480000749c0001010101010101010101010101010101010101010101010101010101010101010101010101010101010101010101010101010101010101010101010101010101010101010101010101010101010101010101010101010101010101010101010101010101010101010101010101010101010101010101010101010101010101010101010101010101010101010101010101010101010101010101010101010101010101010101010101010101010101010101010101010101010101010101020d06010b0c00120101010101010101010101010101010101010101010101010101010101010101010101010101010101010101010101010101010101010101010101010101010101010101010101010101010101010101010101010101010101010101010101010101010101010101010101010101010101010101010101010101010101010101010101010101010101010101010101010101010101010101010101010101010101010101010101010101010101010101010101010101010101010101010101010101010101010101010101010101010101010101010101010101010113180e0f020d122204010101010101010101010101010101010101010101010101010101010101010101010101010101010101010101010101010101010101010101010101010101010101010101010101010101010101010101010101010101010101010101010101010101010101010101010101010101010101010101010101010101010101010101010101010101010101010101010101010101010101010101010101010101010101010101010101010101010101010101010101010101010101010101010101010101010101010101010101010101010101010101010101010101010510040b0c080901010101010101010101010101010101010101010101010101010101010101010101010101010101010101010101010101010101010101010101010101010101010101010101010101010101010101010101010101010101010101010101010101010101010101010101010101010101010101010101010101010101010101010101010101010101010101010101010101010101010101010101010101010101010101010101010101010101010101010101010101010101010101010101010101010101010101010101010101010101010101010101010101010101010a000601050e0f0101010101010101010101010101010101010101010101010101010101010101010101010101010101010101010101010101010101010101010101010101010101010101010101010101010101010101010101010101010101010101010101010101010101010101010101010101010101010101010101010101010101010101010101010101010101010101010101010101010101010101010101010101010101010101010101010101010101010101010101010101010101010101010101010101010101010101010101010101010101010101010101010101011314200d211207001c010101010101010101010101010101010101010101010101010101010101010101010101010101010101010101010101010101010101010101010101010101010101010101010101010101010101010101010101010101010101010101010101010101010101010101010101010101010101010101010101010101010101010101010101010101010101010101010101010101010101010101010101010101010101010101010101010101010101010101010101010101010101010101010101010101010101010101010101010101010101010101010101010101010b0c100407000e0f010101010101010101010101010101010101010101010101010101010101010101010101010101010101010101010101010101010101010101010101010101010101010101010101010101010101010101010101010101010101010101010101010101010101010101010101010101010101010101010101010101010101010101010101010101010101010101010101010101010101010101010101010101010101010101010101010101010101010101010101010101010101010101010101010101010101010101010101010101010101010101010101010101010101010101010101010101010101010101010101010101010101010101010101010101010101010101010101010101010101010101010101010101010101010101010101010101010101010101010101010101010101010101010101010101010101010101010101010101010101010101010101010101010101010101010101010101010101010101010101010101010101010101010101010101010101010101010101010101010101010101010101010101010101010101010101010101010101010101010101010101010101010101010101010101010101010101010101010101010101010101010101010101010101010101010101010101010101010101010101010101010101010101010101010101010101010101010101010101010101010101010101010101010101010101010101010101010101010101010101010101010101010101010101010101010101010101010101010101010101010101010101010101010101010101010101010101010101010101010101010101010101010101010101010101010101010101010101010101010101010101010101010101010101010101010101010101010101010101010101010101010101010101010101010101010101010101010101010101010101010101010101010101010101010101010101010101010101010101010101010101010101010101010101010101010101010101010101010101010101010101010101010101010101010101010101010101010101010101010101010101010101010101010101010101010101010101010101010101010101010101010101010101010101010101010101010101010101010101010101010101010101010101010101010101010101010101010101010101010101010101010101010101010101010101010101010101010101010101010101010101010101010101010101010101010101010101010101010101010101010101010101010101010101131800001004010101010101070000001c0500081700000000001201010101020d0000100401010b0c00000000000809010b0c000000000008090a000010040b0c000012010a00001004010101010b0c000006131800000827000809010b0c0000120101070000001c0500080901020d000008090101010a0000000e0f13180008090b0c000012010a00001c010101010101010101010101010101010101010101010101010101010101010101010101010101010101010101010101010101010101010101010101010101010101010101010101010101010101010101010101010101010113180e0f010101010101020d120101050008090a1004010107001201010a0006010107001c01010b0c060101020d0601010b0c060101020d080907001c01010b0c060101010710040101010101010b0c06010113180809051c070601010b0c060101020d120101050008090101010b0c06010101010a000601010b0c1c01051004010b0c12010107100401010101010101010101010101010101010101010101010101010101010101010101010101010101010101010101010101010101010101010101010101010101010101010101010101010101010101010101010101010101010113180e0f010101010101020d1c01010b0c060101010101010b0c060101051004010113180809010b0c06010113180809010b0c06010113180e0f0a100401010b0c100401010a10040101010101010b0c0601011318080901010b240f010b0c060101020d1c01010b0c06010101010b0c0601010113180e0f010101010101020d06010b0c12010b0c060101010101010101010101010101010101010101010101010101010101010101010101010101010101010101010101010101010101010101010101010101010101010101010101010101010101010101010101010101010101010113180e0f010101010101131808090113180601010101010107001c010b0c0809010101050e0f010b0c060101020d1201010b0c060101020d08090a100401010b0c260304010a10040101010101010b0c06010113180809010113181c010b0c0601011318080901131806010101010b0c060101010b0c0601010101010101010510040b0c12010710040101010101010105000000000000000000000809010101010101010101010101010101010101010101010101010101010101010101010101010101010101010101010101010101010101010101010101010101010101010101010113180e0f0101010101010101020d00000006010113180000120101010b0c0809010101051004010b0c0000000e0f0101010b0c000000000809010a100401010b0c120b0c1c0a10040101010101010b0c060101131808090101010712010b0c0601010101020d00000006010101010b0c060101010b0c000000000000120101010a00000000000e0f010101010101010101010101010101010101010101010101010101010101010101010101010101010101010101010101010101010101010101010101010101010101010101010101010101010101010101010101010101010101010113180e0f0101010101010101010101131806010101010101071004010b0c0809010101050e0f010b0c06010107100401010b0c060101010101010a100401010b0c12010b0c2510040101010101010b0c060101131808090101010a06010b0c0601010101010101131806010101010b0c060101010b0c080901010a001c01010107120b0c12131d0401010101010101010101010101010101010101010101010101010000000000000000000000000000000000000000000000000000000000000000000000000000000000000000000000000000000000000000000000000000000001011318000000001004010101010101010b0c06010101010101020d120101050e0f01010b0c0809010b0c0601010b0c0601010b0c060101010101010a100401010b0c120101131810040101010101010b0c060101131808090101010211090b0c06010101010101010b0c06010706010b0c060113181c050e0f010107100401010b240f0b0c12010a06010101010101010105000000000000000000000809010101010101010101010101010101010101010101010101010101010101010101010101010101010101010101010101010101010101010101010101010101010101010101010113180e0f01010500120113180809010a001201020d1c01010a00120101020d06010105001c01010b0c0601010a001201010b0c0601010101010107001c01010b0c060101010710040101010101010b0c0601011318080901010102190f0b0c06010113180809010a0012010710040b0c06010a001c020d06010b0c0809071c0a12010b0c12011314231d04010101010101010101010101010101010101010101010101010101010101010101010101010101010101010101010101010101010101010101010101010101010101010101010101010101010101010101010101010101010113180e0f01010b0c0e0f0101020d00000e0f01020d0000000006010101010b0c0000001c01010b0c00000000000809010b0c000006010101010a000010040b0c000012010a00001004010101010b0c000000000000000809010b0c000000000012010101020d00000e0f010700000000000000001c010b0c0000080901070008090b0c000012010a001004010101010101010101010101010101010101010101010101010101010101010101010101010101010101010101010101010101010101010101010101010101010101050006010101010101010101010101010101010101010113180e0f01011318100401010101010101010101010101010101010101010101010101010101010101010101010101010101010101010101010101010101010101010101010101010101010101010101010101010101010101010101010101010101010101010101010101010101010101010101010101010101010101010101010101010101010101010101010101010101010101010101010101010101010101010101010101010101010101010101010101010101010101010101010101010101010101010101010101010107001c010101010101010101010101010101010101010113180e0f01010b0c1004010101010101010101010101010101010101010101010101010101010101010101010101010101010101010101010101010101010101010700000012010101010101010101010101010101010101010101010101010101010101010101010101010101010101010101010101010101010101010101010101010101010101010101010101010101010101010101010101010101010101010101010101010101010101010101010101010101010101010a10040101010101010101010101010101010101020d12010101010105080901010101010101010101010113180e0f0101050008090101010101010101010101010101010101010101010101010101010101010101010101010101010101010101010101010101010101010a001c01020d120101010101010101010101010101010101010101010101010101010101010101010101010101010101010101010101010101010101010101010101010101010101010101010101010101010101010101010101010101010101011318000000060101020d06010b0c0012010101010101010706010107000000000e0f0101010113181c0101010b0c00000006010101021109010101010101010101011318000000000000060101010101010101010101010101010101010101010101010101010101010101010101010101010101010101010101010101010101010101070e0f0113180601010101010101010101010101010101010101010101010101010101010101010101010101010101010101010101010101010101010101010101010101010101010101010101010101010101010101010101010101010101010101051201020d060113180e0f020d122204010101010102190f0101011318001c01010101010113181c01010113180e0f0a00060101010712010101010101010101010101010101010101010101010101010101010101010101010101010101010101010101010101010101010101010101010101010101010101010101010101010101010101010101010101010101010101010101010101010101010101010101010101010101010101010101010101010101010101010101010101010101010101010101010101010101010101010101010101010101010101010101010101010101010101010113180e0f010510040b0c08090101010101010712010101011318100401010101010113181c01010101070e0f01051004010102190f01010101010101010101010101010101010101010101010101010101010101010101010101010101010101010101010101010101010101010101010101010101010101010101010101010101010101010101010101010101010101010101010101010101010101010101010101010101010101010101010101010101010101010101010101010101010101010101010101010101010101010101010101010101010101010101010101010101010101020d0e0f010a000601050e0f011318060113181c01010101131810040101010b0c0000000000001c010a0012010a001c0101131d040101010101010101010101010101010101010101010101010101010101010101010101010101010101010101010101010101010101010101010101010101010101010101010101010101010101010101010101010101010101010101010101010101010101010101010101010101010101010101010101010101010101010101010101010101010101010101010101010101010101010101010101010101010101010101010101010101010101010a0000121314200d211207001c011318060113181c010101011318100401010101010113181c01011314200d21120a001c010113181c0101010101010101010101010101010101010101010101010101010101010101010101010101010101010101010101010101010101010101010101010101010101010101010101010101010101010101010101010101010101010101010101010101010101010101010101010101010101010101010101010101010101010101010101010101010101010101010101010101010101010101010101010101010101010101010101010101010101020d001c01010b0c100407000e0f010101010113181c010101011318100401010101010113181c0101010b0c100407000e0f010113181c01020d1c1318001c0101010101010101010101010101010101010101010101010101010101010101010101010101010101010101010101010101010101010101010101010101010101010101010101010101010101010101010101010101010101010101010101010101010101010101010101010101010101010101010101010101010101010101010101010101010101010101010101010101010101010101010101010101010101010101010700120101010101010101010101010101010113181c0101131d1e18100401010101010113181c01010101010101010101010101131d04010b0c121318121f0f01010101010101010101010101010101010101010101010101010101010101010101010101010101010101010101010101010101010101010101010101010101010101010101010101010101010101010101010101010101010101010101010101010101010101010101010101010101010101010101010101010101010101010101010101010101010101010101010101010101010101010101010101010101010101010a00120102110901010101010101010101010101071201010113180010040101010101010101010101010101010101010101010102190f0101051a1b050809010101010101010101010101010101010101010101010101010101010101010101010101010101010101010101010101010101010101010101010101010101010101010101010101010101010101010101010101010101010101010101010101010101010101010101010101010101010101010101010101010101010101010101010101010101010101010101010101010101010101010101010101010101010101010101010a000000100401010101010101010101010101021109010101010a10040101010101010101010101010101010101010101010107120113141510161710040101010101010101010101010101010101010101010101010101010101010101010101010101010101010101010101010101010101010101010101010101010101010101010101010101010101010101010101010101010101010101010101010101010101010101010101010101010101010101010101010101010101010101010101010101010101010101010101010101010101010101010101010101010101010101010101010101010101010101010101010101010101010708090101010101010101010101010101010101010101010101010101010a080901010b0c06020d0e0f010101010101010101010101010101010101010101010101010101010101010101010101010101010101010101010101010101010101010101010101010101010101010101010101010101010101010101010101010101010101010101010101010101010101010101010101010101010101010101010101010101010101010101010101010101010101010101010101010101010101010101010101010101010101010101010101010101010101010101010101010101010101010203040101010101010101010101010101010101010101010101010105060101010101010101010101010101010101010101010101010101010101010101010101010101010101010101010101010101010101010101010101010101010101010101010101010101010101010101010101010101010101010101010101010101010101010101010101010101010101010101010101010101010101010101010101010101010101010101010101010101010101010101010101010101010101010101010101010101010101010101010101010101010101010101010101010101010101010101010101010101010101010101010101010101010101010101010101010101010101010101010101010c00000040092900aa0000000000000029001d0100000000040000002701ffff030000000000>
>>>
>=
127156,58
Задание 4
В таблице приведены данные об исполнении баланса за отчетный период (в у.д.е.).
|
Отрасли |
потребление |
Конечный продукт |
Валовой выпуск |
|||
|
Машиностроение |
Металлургия |
Энергетика |
||||
|
производство |
Машиностроение |
25 |
15 |
10 |
60 |
100 |
|
Металлургия |
10 |
15 |
20 |
120 |
200 |
|
|
Энергетика |
15 |
5 |
10 |
150 |
240 |
Решить задачу межотраслевого баланса, если конечное потребление первой отрасли не изменилось, второй отрасли увеличилось в 1,5 раза, третьей уменьшилось на 25%.
С учетом изменений строим новый вектор конечного потребления:
>
>
Находим матрицу прямых затрат в условиях взаимодействия трех отраслей:
>
>
Т.к.
a>ij>>
>≥ 0, >>>
>
= 0.5 ≤ 1, >010009000003cc08000000008005000000008005000026060f00f60a574d464301000000000001002f3e0000000001000000d40a000000000000d40a0000010000006c0000000000000000000000490000001c0000000000000000000000c5060000a302000020454d4600000100d40a00000c00000001000000000000000000000000000000560500000003000040010000b300000000000000000000000000000000e2040038bb0200460000002c00000020000000454d462b014001001c000000100000000210c0db010000007800000078000000460000000c03000000030000454d462b224004000c000000000000001e4009000c00000000000000244001000c000000000000003040020010000000040000000000803f214007000c0000000000000008400005580200004c0200000210c0db01000000000000000000000000000000000000000100000089504e470d0a1a0a0000000d494844520000003b0000001708020000003a29a0a9000000017352474200aece1ce9000000097048597300000ec400000ec401952b0e1b000001d5494441545847dd563b72c230109539090c2d87209d995c83865e9c82f469e43a5770671f239d7c13472b69f5b32cd9e0b187a84120b4fbf4f6eda7e8fb9ebcd5dabd155a00fbdf1177d5a5c075a9ba6de2d33734e7983642ecb0382b4bc6e5166ee15e9faef441b47781da00b3aed56b2207007e43c48ab128340016410c3fc7deb106cdc0314639867980cd88686bc4099ea3c48d90bf02c9b6ba9d1f92beaf8ff122d0de8ba52b84537d8469e1e0dee60a81c78a0ef9681190cceab540a590eed08eb29db78a3a46e039cccb855d2174b26162c10c11af5669256097d120334cca9bb8eac7c538ce47e675a67380d1036754f52c13010ff18a0540aacf91c4e005035290746712eaaadbb5a6cde39c4c5648eec90543e4fe84e42744ba26e474dc1bdfe0c7ab1bfbe3491dba29179383334bccd182ad2af14ee372dad092319c5304f9e246643c407d68c4a379eacd0f41018acf500a21e7a0be54370fde84c6f081e1d586e9190c102734141ecd1c2866fedd0da277557c31a1daa186eaebc18cbe767308e4d5fdd6f4332df45ccb9a7d2e147d23df32bdda4a0ce54e171bb365952842e7683da50a45d7f31c2bdb25fbf1a677703eec2089fcd200386352abf9057e979ef166239ed4fb756ed8a02dd894fe003a86920dd044454b0000000049454e44ae4260820840010824000000180000000210c0db01000000030000000000000000000000000000001b40000040000000340000000100000002000000000000bf000000bf00006c420000b841030000000000008000000080ffff93420000008000000080fdffe7412100000008000000620000000c00000001000000150000000c00000004000000150000000c0000000400000051000000640600000000000000000000490000001c000000000000000000000000000000000000003b0000001700000050000000b00000000001000064050000000000002000cc004a0000001d000000280000003b000000170000000100080000000000000000000000000000000000220000000000000000000000ffffff00489cdf00df9c480074bfff0074000000ffffbf00dfffff0048489c00ffdf9c00480000000074bf00bf740000bfffff00000074009cdfff0048004800ffbf740000489c007400480000004800480074009c480000ffffdf00749cdf00740074009c48740000749c00df9c7400dfdfdf009c9cbf00df9c9c000074a7009c9cdf00010101010101010101010101010107120003010101010101010101010102000000000301010101010101010101010101010101010101010101010101010101010101010101010101010107121121060101010101010101010101010b0c0101010101010101010101010101010101010101010101010101011200000000000000000000050601010b0301010d0e00000000000011010101020c0101010101010101010101010101010101040016200000000a09010f1400000000000000000005060101040c0101010101010101010101010101020c0101010101010101010101010101010101071211010203010d1f0101020a09010101010101020a0901010f130601010101010101010101010101020c01010101010101010101010101010101010712110101021101010101010b161701010101010f10090107120a09010d0e00000000000011011d01020c010101010101010f1400050604000011010712110101011e17010101010d0e030101010101070809010101010101010101010101010101010200000c010101010101071216170d1a1b16170b110b00110101010f1c01010101010f1411010101010101010101010216170101010101010101010101010b0c0101010101010d0e0c01010f14050601010712110101010d1906ff0101010102050601010101010101010101010101010101010101010101010101010101010101010d0e0c010101020a0901010101010101010f13060101010101010b1617010101010101010101010101010101010101010101010101010101010101010712161701010f141101010101011809010b16170101010101010d0e030101010101010101010101010101010101010101010101010101010101010101020a09010107120c01010712110712000506010101010101010b001617010101010101010101010101010101010101010101010101010101010101010f140c0101010b161701010101010101010101010101010104000a090101010101010102000000030101010101010101010101010101010101010101010400030107120a0901010101010101010101010101010d0e0003010101010101010d1509010f14110101010101010101010101010101010101010101010f140000030b1101010101010101010101010101010b000c0101010101010101010101010f1411010101010101010101010101010101010101010101010101010101010101010101010101010101010104000506010101010f13060101010b00001101010101010101010101010101010101010101010101010101010101010101010101010101010101010d0e001101010101010205060101010107121101010101010101010101010101010101010101010101010101010101010101010101010101010101010b000c01010101010d0e050601010101010f1009010101010101010101010101010101010101010101010101010101010101010101010101010101040000000000000000000005060107080901040a090101010101010101010101010101010101010101010101010101010101010101010101010101ff0101010101010101010101010101010200000003010101010101010101010101010101010101010101010101010101010101010101010101010101ff0101010101010101010101010101010101010101010101010101010101010101010101010101010101010101010101010101010101010101010101ff0101010101010101010101010101010101010101010101010101010101010101010101010101010101010101010101010101010101010101010101ff0101010101010101010101010101010101010101010101010101010101010101010101010101010101010101010101010101010101010101010101ff4c000000640000000000000000000000490000001c00000000000000000000004a0000001d0000002900aa0000000000000000000000803f00000000000000000000803f0000000000000000000000000000000000000000000000000000000000000000220000000c000000ffffffff460000001c00000010000000454d462b024000000c000000000000000e000000140000000000000010000000140000000400000003010800050000000b0200000000050000000c021d004a00030000001e000400000007010400040000000701040017030000410b2000cc0017003b00000000001d004a0000000000280000003b000000170000000100080000000000000000000000000000000000220000000000000000000000ffffff00489cdf00df9c480074bfff0074000000ffffbf00dfffff0048489c00ffdf9c00480000000074bf00bf740000bfffff00000074009cdfff0048004800ffbf740000489c007400480000004800480074009c480000ffffdf00749cdf00740074009c48740000749c00df9c7400dfdfdf009c9cbf00df9c9c000074a7009c9cdf00010101010101010101010101010107120003010101010101010101010102000000000301010101010101010101010101010101010101010101010101010101010101010101010101010107121121060101010101010101010101010b0c0101010101010101010101010101010101010101010101010101011200000000000000000000050601010b0301010d0e00000000000011010101020c0101010101010101010101010101010101040016200000000a09010f1400000000000000000005060101040c0101010101010101010101010101020c0101010101010101010101010101010101071211010203010d1f0101020a09010101010101020a0901010f130601010101010101010101010101020c01010101010101010101010101010101010712110101021101010101010b161701010101010f10090107120a09010d0e00000000000011011d01020c010101010101010f1400050604000011010712110101011e17010101010d0e030101010101070809010101010101010101010101010101010200000c010101010101071216170d1a1b16170b110b00110101010f1c01010101010f1411010101010101010101010216170101010101010101010101010b0c0101010101010d0e0c01010f14050601010712110101010d1906ff0101010102050601010101010101010101010101010101010101010101010101010101010101010d0e0c010101020a0901010101010101010f13060101010101010b1617010101010101010101010101010101010101010101010101010101010101010712161701010f141101010101011809010b16170101010101010d0e030101010101010101010101010101010101010101010101010101010101010101020a09010107120c01010712110712000506010101010101010b001617010101010101010101010101010101010101010101010101010101010101010f140c0101010b161701010101010101010101010101010104000a090101010101010102000000030101010101010101010101010101010101010101010400030107120a0901010101010101010101010101010d0e0003010101010101010d1509010f14110101010101010101010101010101010101010101010f140000030b1101010101010101010101010101010b000c0101010101010101010101010f1411010101010101010101010101010101010101010101010101010101010101010101010101010101010104000506010101010f13060101010b00001101010101010101010101010101010101010101010101010101010101010101010101010101010101010d0e001101010101010205060101010107121101010101010101010101010101010101010101010101010101010101010101010101010101010101010b000c01010101010d0e050601010101010f1009010101010101010101010101010101010101010101010101010101010101010101010101010101040000000000000000000005060107080901040a090101010101010101010101010101010101010101010101010101010101010101010101010101ff0101010101010101010101010101010200000003010101010101010101010101010101010101010101010101010101010101010101010101010101ff0101010101010101010101010101010101010101010101010101010101010101010101010101010101010101010101010101010101010101010101ff0101010101010101010101010101010101010101010101010101010101010101010101010101010101010101010101010101010101010101010101ff0101010101010101010101010101010101010101010101010101010101010101010101010101010101010101010101010101010101010101010101ff0c00000040092900aa000000000000001d004a0000000000040000002701ffff030000000000>
= 0.175 ≤ 1, >010009000003ba08000000007405000000007405000026060f00de0a574d4643010000000000010088590000000001000000bc0a000000000000bc0a0000010000006c0000000000000000000000490000001c0000000000000000000000c5060000a302000020454d4600000100bc0a00000c00000001000000000000000000000000000000560500000003000040010000b300000000000000000000000000000000e2040038bb0200460000002c00000020000000454d462b014001001c000000100000000210c0db0100000078000000780000004600000000030000f4020000454d462b224004000c000000000000001e4009000c00000000000000244001000c000000000000003040020010000000040000000000803f214007000c00000000000000084000054c020000400200000210c0db01000000000000000000000000000000000000000100000089504e470d0a1a0a0000000d494844520000003b0000001708020000003a29a0a9000000017352474200aece1ce9000000097048597300000ec400000ec401952b0e1b000001c7494441545847dd963b7283301086c127b1276d0e614f1a3c69730437e9f1299223886364860e8a1c21453a7113ac95b47ab142901018478d19ebf5edbf2fe57ddf6777357677450bb0ff9db8abce398e73d56de39fbe295317978d0876189c1505e3f21376e1b79e5de927d3b70b6a0366af56d6101300bf21b1528c4403308218fea6ec584366d018bd4c310fd84c106d4d3ca233295c44fc1544b6d5edf826e57b3fc58b407bcd97ae104ef511478b0bae6daa1078aa6897478b8054568f052a85bc0ecf5167a74fc53846f014f3726e57844e364c2c9821f16a955602bb8a069961531e1dab17531aa73df37ba553c0e606ce4ad9b48c051ef18a0540469f1312030b06a234a552d2219ec63babd901175db77d62ed787769d0083863faad60886371efbc25e6c482ad2a34b1ab29a8c7f09d2238c40eef79e007b2268ee6a927695080e8379422e4dc0b3ec2d8c0263c0c0d0c9bad0101e291180aa7663e28662e77ed1a6ed581bccbbaeaf55267597d3998a7affd38c0d4e3c31edb46f75d97cfc75457fa93f9f6e3ebe509409c2e16bbc846a2709d53fac6a242c9f5738dd5d905fb347c4831ec2023f9a5016cdea672315e2b523be3f3b38927f57e9d1bd6690b36a51b2d8912bc9e1d983c0000000049454e44ae42608200000840010824000000180000000210c0db01000000030000000000000000000000000000001b40000040000000340000000100000002000000000000bf000000bf00006c420000b841030000000000008000000080ffff93420000008000000080fdffe7412100000008000000620000000c00000001000000150000000c00000004000000150000000c0000000400000051000000580600000000000000000000490000001c000000000000000000000000000000000000003b0000001700000050000000a4000000f400000064050000000000002000cc004a0000001d000000280000003b0000001700000001000800000000000000000000000000000000001f0000000000000000000000ffffff00489cdf00df9c480074bfff0074000000ffffbf00dfffff0048489c00ffdf9c00480000000074bf00bf740000bfffff00000074009cdfff0048004800ffbf740000489c007400480000004800480074009c480000ffffdf00df9c7400bf9c9c009c48740000749c00dfdfdf00489cc4009c9cdf0001010101010101010101010101010712000301010101010101010101010200000000030101010101010101010101010101010101010101010101010101010101010101010101010101010712111e060101010101010101010101010b0c0101010101010101010101010101010101010101010101010101011200000000000000000000050601010b0301010d0e00000000000011010101020c01010101010101010101010101010101010400161d00000c0101010f1400000000000000000005060101040c0101010101010101010101010101020c01010101010101010101010101010101010712110101010403010101020a09010101010101020a0901010f130601010101010101010101010101020c01010101010101010101010101010101010712110101010d1a170101010b161701010101010f10090107120a09010d0e00000000000011011c01020c010101010101010f1400050604000011010712110101010216170101010d0e030101010101070809010101010101010101010101010101010200000c010101010101071216170d1a1b16170b110b0011010f14000301010101010f1411010101010101010101010216170101010101010101010101010b0c0101010101010d0e0c01010f1405060101071211010107190101ff0101010102050601010101010101010101010101010101010101010101010101010101010101010d0e0c010101020a0901010101010101010403010101010101010b1617010101010101010101010101010101010101010101010101010101010101010712161701010f141101010101010f1801020c010101010101010d0e030101010101010101010101010101010101010101010101010101010101010101020a09010107120c01010712110102000a09010101010101010b001617010101010101010101010101010101010101010101010101010101010101010f140c0101010b161701010101010101010101010101010104000a090101010101010102000000030101010101010101010101010101010101010101010400030107120a0901010101010101010101010101010d0e0003010101010101010d1509010f14110101010101010101010101010101010101010101010f140000030b1101010101010101010101010101010b000c0101010101010101010101010f1411010101010101010101010101010101010101010101010101010101010101010101010101010101010104000506010101010f13060101010b00001101010101010101010101010101010101010101010101010101010101010101010101010101010101010d0e001101010101010205060101010107121101010101010101010101010101010101010101010101010101010101010101010101010101010101010b000c01010101010d0e050601010101010f1009010101010101010101010101010101010101010101010101010101010101010101010101010101040000000000000000000005060107080901040a090101010101010101010101010101010101010101010101010101010101010101010101010101ff0101010101010101010101010101010200000003010101010101010101010101010101010101010101010101010101010101010101010101010101ff0101010101010101010101010101010101010101010101010101010101010101010101010101010101010101010101010101010101010101010101ff0101010101010101010101010101010101010101010101010101010101010101010101010101010101010101010101010101010101010101010101ff0101010101010101010101010101010101010101010101010101010101010101010101010101010101010101010101010101010101010101010101ff4c000000640000000000000000000000490000001c00000000000000000000004a0000001d0000002900aa0000000000000000000000803f00000000000000000000803f0000000000000000000000000000000000000000000000000000000000000000220000000c000000ffffffff460000001c00000010000000454d462b024000000c000000000000000e000000140000000000000010000000140000000400000003010800050000000b0200000000050000000c021d004a00030000001e000400000007010400040000000701040011030000410b2000cc0017003b00000000001d004a0000000000280000003b0000001700000001000800000000000000000000000000000000001f0000000000000000000000ffffff00489cdf00df9c480074bfff0074000000ffffbf00dfffff0048489c00ffdf9c00480000000074bf00bf740000bfffff00000074009cdfff0048004800ffbf740000489c007400480000004800480074009c480000ffffdf00df9c7400bf9c9c009c48740000749c00dfdfdf00489cc4009c9cdf0001010101010101010101010101010712000301010101010101010101010200000000030101010101010101010101010101010101010101010101010101010101010101010101010101010712111e060101010101010101010101010b0c0101010101010101010101010101010101010101010101010101011200000000000000000000050601010b0301010d0e00000000000011010101020c01010101010101010101010101010101010400161d00000c0101010f1400000000000000000005060101040c0101010101010101010101010101020c01010101010101010101010101010101010712110101010403010101020a09010101010101020a0901010f130601010101010101010101010101020c01010101010101010101010101010101010712110101010d1a170101010b161701010101010f10090107120a09010d0e00000000000011011c01020c010101010101010f1400050604000011010712110101010216170101010d0e030101010101070809010101010101010101010101010101010200000c010101010101071216170d1a1b16170b110b0011010f14000301010101010f1411010101010101010101010216170101010101010101010101010b0c0101010101010d0e0c01010f1405060101071211010107190101ff0101010102050601010101010101010101010101010101010101010101010101010101010101010d0e0c010101020a0901010101010101010403010101010101010b1617010101010101010101010101010101010101010101010101010101010101010712161701010f141101010101010f1801020c010101010101010d0e030101010101010101010101010101010101010101010101010101010101010101020a09010107120c01010712110102000a09010101010101010b001617010101010101010101010101010101010101010101010101010101010101010f140c0101010b161701010101010101010101010101010104000a090101010101010102000000030101010101010101010101010101010101010101010400030107120a0901010101010101010101010101010d0e0003010101010101010d1509010f14110101010101010101010101010101010101010101010f140000030b1101010101010101010101010101010b000c0101010101010101010101010f1411010101010101010101010101010101010101010101010101010101010101010101010101010101010104000506010101010f13060101010b00001101010101010101010101010101010101010101010101010101010101010101010101010101010101010d0e001101010101010205060101010107121101010101010101010101010101010101010101010101010101010101010101010101010101010101010b000c01010101010d0e050601010101010f1009010101010101010101010101010101010101010101010101010101010101010101010101010101040000000000000000000005060107080901040a090101010101010101010101010101010101010101010101010101010101010101010101010101ff0101010101010101010101010101010200000003010101010101010101010101010101010101010101010101010101010101010101010101010101ff0101010101010101010101010101010101010101010101010101010101010101010101010101010101010101010101010101010101010101010101ff0101010101010101010101010101010101010101010101010101010101010101010101010101010101010101010101010101010101010101010101ff0101010101010101010101010101010101010101010101010101010101010101010101010101010101010101010101010101010101010101010101ff0c00000040092900aa000000000000001d004a0000000000040000002701ffff030000000000>
= 0.167 ≤ 1 –
матрица A продуктивна, следовательно, продуктивна и сама модель.
Находим матрицу E-A, представляющую собой матрицу полных затрат, каждый элемент которой выражает стоимостные затраты той части валового выпуска которая необходима для выпуска единицы конечного продукта.
>
>
Определитель матрицы:
>
>
Вычислим матрицу C составленную из алгебраических дополнений матрицы E-A:
>
>
И транспонируем ее:
>
>
Находим новый вектор валового выпуска продукции тремя отраслями:
>
>
>
>
Чтобы машиностроение дало 60 у.д.е., металлургия 120 у.д.е., энергетика 150 у.д.е. конечного продукта идущего на непроизводственное потребление необходимо обеспечить следующие объемы валового выпуска отраслей: Машиностроение - 109,772 у.д.е.
Металлургия – 212,934 у.д.е.
Энергетика – 140,269 у.д.е.
Задание 5. Динамическая экономико-математическая модель Кейнса
Экономика в форме динамической модели Кейнса как инерционное звено
В этой модели предполагается, что ВВП >010009000003300900000000bc0500000000bc05000026060f006e0b574d46430100000000000100993b00000000010000004c0b0000000000004c0b0000010000006c0000000000000000000000530000001a0000000000000000000000af0700007402000020454d46000001004c0b00000c00000001000000000000000000000000000000560500000003000040010000b300000000000000000000000000000000e2040038bb0200460000002c00000020000000454d462b014001001c000000100000000210c0db010000007800000078000000460000003403000028030000454d462b224004000c000000000000001e4009000c00000000000000244001000c000000000000003040020010000000040000000000803f214007000c000000000000000840000580020000740200000210c0db01000000000000000000000000000000000000000100000089504e470d0a1a0a0000000d494844520000004300000016080200000014ebb660000000017352474200aece1ce9000000097048597300000ec400000ec401952b0e1b000001fd494441545847e5583b6ec240101d7312231a0a0e61298d91dbdc00bab4469c21222d1ddc20ad859b081f828206e19b383b63aff7e35d7b41602267bbacf7336fe6bdd947bca22860106334081408e25f23c9569e37dfe72f2c66be9f7bde2ad322603a711fc798ed8e8fee1b1eb012ef0c77d7c649fa3cb8df75dd85fdc2a00b699890b0c01530ce48ec386c496be608cfb004a52fae0f251a58374977bb22b1864b081dc3bb01498dac1d895416ea5da8613624195733b5acb2e40b6036f1159191f0c6cb14205d8ef5137a6a08411443fafdc3facf08612411712e5d6e793f0836a5b8a38022ca2f2796f8a90a04fcc5a150497758684b9e8fc79f86259411049b62c3e2457070bac8cd35dc7d9440203fb3c4eb25a9bf34203e3f7e71833f99957f889791c09d391246a778dd9d6123ebc4359ca444bd92899c88d5d4631e268c5b4282e07851b2e45417a425c3c43a4e41c33a566f791814ff183e222b24b7228a92ef3f4129087ed2a8f737b8554958651710e3b028d9f6bc46e9686414d4e31fa82446f9f4a7149470f8fea6d404caa26c5749a4e2606119fa010fb622249344c309f58007854a40407919db6c95f18d177ec2c98dddf2324a478b84342c9fed8d67f32df6b077dfd569096dbeeb18779a8e5778611b9e8617aee26f2f87de4a5d8d566756ef5b60640754ceb9e71f1df72168dde50de63f12bface61b91be5b77850000000049454e44ae4260820840010824000000180000000210c0db01000000030000000000000000000000000000001b40000040000000340000000100000002000000000000bf000000bf000086420000b041030000000000008000000080ffffa7420000008000000080feffd7412100000008000000620000000c00000001000000150000000c00000004000000150000000c0000000400000051000000b40600000000000000000000530000001a000000000000000000000000000000000000004300000016000000500000008c000000dc000000d8050000000000002000cc00540000001b0000002800000043000000160000000100080000000000000000000000000000000000190000000000000000000000ffffff00bfffff0000007400df9c4800489cdf0074000000ffffbf000074bf00dfffff0000489c009cdfff0000004800ffbf74009c480000ffffdf0074bfff0048000000ffdf9c00bf7400007400740074489c0074740000bf7474004874bf0001010101010101010101010101010101010101010101010101010101010101010101010101010101010101010101010101010101010101010101010101010101010101ff0a001301010101010101010101010101010101010101010101010101010101010101010101010101010101010101010101010101010101010101010101010101010101ff181210130101010101010101010101010b0c04010101010101010101010101010101010101010101010101010101010101010101010101010101010105060701010101ff01010110040101010101010101010108060701010101010101010101010101010101010101010101010101010101010101010101010101010101010101020304010101ff01010101080d01010101010101010506070101010101010101010101010101010101010101010101010101010101010101010101010101010101010101010203040101ff010101010806070101010101010b0c0d010101010b0c00000d0101010101010101010101050e0f0101010101010101010101090a000000000006070101010110111201ff010101090a1617010101010101080e0f0101010105111201080d01010101010101010101050e0f01010101010101010101010101011000040101010101010102030401ff010101020304100d01010101020313010101010105060701010101010101010101010101050e0f01010101010101010101010101011000040101010101010101080e0fff0101010b0c0d0915070101010b0c04010101010110111201010101010101010101010101050e0f01010101010101010101010101011000040101010101010101051112ff01010110111201100401010110000d01010101010b0c0d01010101010101010101010101050e0f01010101010101010101010101011000040101010101010101101112ff01010105060701021407010110000d0101010101020313010101010101010108000000000000000000000e0f010101010101010101100004010101010101010110000dff010101080e0f01010804010110000d010101010101080e0f010101010101010101010101050e0f01010101010101010101010101011000040101010101010101101112ff1013020313010101080607010b0c04010101010101050607010101010101010101010101050e0f01010101010101010101010101011000040101010101010101051112ff011000111201011000000d0102031301010101090a000000001112010101010101010101050e0f01010101010101010101010101011000040101010101010101080e0fff01010101010101010101010101080e0f01010101010b0c04010101010101010101010101050e0f01010101010101010101010101011000040101010101010102030401ff010101010101010101010101010b0c0d010101010101080e0f0101010101010101010101050e0f01010101010101010101011011121000040101010101010110111201ff010101010101010101010101010105060701010101010101010101010101010101010101010101010101010101010101010101090a0000040101010101010203040101ff01010101010101010101010101010108060701010101010101010101010101010101010101010101010101010101010101010101010203040101010101020304010101ff01010101010101010101010101010101020304010101010101010101010101010101010101010101010101010101010101010101010101010101010105060701010101ff01010101010101010101010101010101010101010101010101010101010101010101010101010101010101010101010101010101010101010101010101010101010101ff01010101010101010101010101010101010101010101010101010101010101010101010101010101010101010101010101010101010101010101010101010101010101ff01010101010101010101010101010101010101010101010101010101010101010101010101010101010101010101010101010101010101010101010101010101010101ff4c000000640000000000000000000000530000001a0000000000000000000000540000001b0000002900aa0000000000000000000000803f00000000000000000000803f0000000000000000000000000000000000000000000000000000000000000000220000000c000000ffffffff460000001c00000010000000454d462b024000000c000000000000000e000000140000000000000010000000140000000400000003010800050000000b0200000000050000000c021b005400030000001e00040000000701040004000000070104003f030000410b2000cc0016004300000000001b005400000000002800000043000000160000000100080000000000000000000000000000000000190000000000000000000000ffffff00bfffff0000007400df9c4800489cdf0074000000ffffbf000074bf00dfffff0000489c009cdfff0000004800ffbf74009c480000ffffdf0074bfff0048000000ffdf9c00bf7400007400740074489c0074740000bf7474004874bf0001010101010101010101010101010101010101010101010101010101010101010101010101010101010101010101010101010101010101010101010101010101010101ff0a001301010101010101010101010101010101010101010101010101010101010101010101010101010101010101010101010101010101010101010101010101010101ff181210130101010101010101010101010b0c04010101010101010101010101010101010101010101010101010101010101010101010101010101010105060701010101ff01010110040101010101010101010108060701010101010101010101010101010101010101010101010101010101010101010101010101010101010101020304010101ff01010101080d01010101010101010506070101010101010101010101010101010101010101010101010101010101010101010101010101010101010101010203040101ff010101010806070101010101010b0c0d010101010b0c00000d0101010101010101010101050e0f0101010101010101010101090a000000000006070101010110111201ff010101090a1617010101010101080e0f0101010105111201080d01010101010101010101050e0f01010101010101010101010101011000040101010101010102030401ff010101020304100d01010101020313010101010105060701010101010101010101010101050e0f01010101010101010101010101011000040101010101010101080e0fff0101010b0c0d0915070101010b0c04010101010110111201010101010101010101010101050e0f01010101010101010101010101011000040101010101010101051112ff01010110111201100401010110000d01010101010b0c0d01010101010101010101010101050e0f01010101010101010101010101011000040101010101010101101112ff01010105060701021407010110000d0101010101020313010101010101010108000000000000000000000e0f010101010101010101100004010101010101010110000dff010101080e0f01010804010110000d010101010101080e0f010101010101010101010101050e0f01010101010101010101010101011000040101010101010101101112ff1013020313010101080607010b0c04010101010101050607010101010101010101010101050e0f01010101010101010101010101011000040101010101010101051112ff011000111201011000000d0102031301010101090a000000001112010101010101010101050e0f01010101010101010101010101011000040101010101010101080e0fff01010101010101010101010101080e0f01010101010b0c04010101010101010101010101050e0f01010101010101010101010101011000040101010101010102030401ff010101010101010101010101010b0c0d010101010101080e0f0101010101010101010101050e0f01010101010101010101011011121000040101010101010110111201ff010101010101010101010101010105060701010101010101010101010101010101010101010101010101010101010101010101090a0000040101010101010203040101ff01010101010101010101010101010108060701010101010101010101010101010101010101010101010101010101010101010101010203040101010101020304010101ff01010101010101010101010101010101020304010101010101010101010101010101010101010101010101010101010101010101010101010101010105060701010101ff01010101010101010101010101010101010101010101010101010101010101010101010101010101010101010101010101010101010101010101010101010101010101ff01010101010101010101010101010101010101010101010101010101010101010101010101010101010101010101010101010101010101010101010101010101010101ff01010101010101010101010101010101010101010101010101010101010101010101010101010101010101010101010101010101010101010101010101010101010101ff0c00000040092900aa000000000000001b00540000000000040000002701ffff030000000000> в следующем году равен совокупному спросу предыдущего (текущего) года, а совокупный спрос, состоящий из спроса на потребительские (C) и инвестиционные (I) товары, зависит только от ВВП текущего года:

При линейной зависимости спроса на потребительские товары от ВВП и примерном постоянстве спроса на инвестиционные товары приходим к соотношению

где >010009000003a60300000000a00200000000a002000026060f003605574d46430100000000000100e0800000000001000000140500000000000014050000010000006c00000000000000000000000e0000001c00000000000000000000005e010000a302000020454d4600000100140500000c00000001000000000000000000000000000000560500000003000040010000b300000000000000000000000000000000e2040038bb0200460000002c00000020000000454d462b014001001c000000100000000210c0db01000000780000007800000046000000d8010000cc010000454d462b224004000c000000000000001e4009000c00000000000000244001000c000000000000003040020010000000040000000000803f214007000c000000000000000840000524010000180100000210c0db01000000000000000000000000000000000000000100000089504e470d0a1a0a0000000d494844520000000c000000170802000000b00639e8000000017352474200aece1ce9000000097048597300000ec400000ec401952b0e1b0000009e49444154384f63fcffff3f0321c0444801489e868a0e9432a280d203a8d63d98ebc9c8e87865ce7da06780e0fe1c0f06060f0d05a0a3200240b0bf04c8f380a980a92ad90ff23e4e2570dd3045609319c0bab001b04904d440ac033b07a739ffff8302f3c0d61e9837b0873f3cc47594417e25a0085f1cc24dba72f701923a60b87ace450860f11d8667618109914002c861cf48df44474cea65a09e9b00e331e64853f645c80000000049454e44ae4260820000000840010824000000180000000210c0db01000000030000000000000000000000000000001b40000040000000340000000100000002000000000000bf000000bf000040410000b841030000000000008000000080feff6f410000008000000080ffffe7412100000008000000620000000c00000001000000150000000c00000004000000150000000c0000000400000051000000d801000000000000000000000e0000001c000000000000000000000000000000000000000c000000170000005000000074000000c400000014010000000000002000cc000f0000001d000000280000000c000000170000000100080000000000000000000000000000000000130000000000000000000000ffffff0074bfff0074000000ffffbf00dfffff0000489c0048000000ffdf9c009c480000ffffdf000074bf00489cdf00bf740000df9c48009cdfff0000004800ffbf74009c48480001010101010101010101010101010101010101010101010100000000000000000000000001010101010101010101010101010101010101010101010101010101010101010101010101010f10000000000e010101010f100d01010f100d010101010b07080101010f120a0101010b03040101010101010101010b03040101010101010101010b07080101010101010101010200110101010101010101010f100d0101010101010101010506030401010101010101010102000e010101010101010101010b07080101010c0d0101010105060708010506090a0101010101020000000003040101010101010101010101010101010101010101010101010101010101010101010101010101010101010101010101014c0000006400000000000000000000000e0000001c00000000000000000000000f0000001d0000002900aa0000000000000000000000803f00000000000000000000803f0000000000000000000000000000000000000000000000000000000000000000220000000c000000ffffffff460000001c00000010000000454d462b024000000c000000000000000e000000140000000000000010000000140000000400000003010800050000000b0200000000050000000c021d000f00030000001e0004000000070104000400000007010400d1000000410b2000cc0017000c00000000001d000f0000000000280000000c000000170000000100080000000000000000000000000000000000130000000000000000000000ffffff0074bfff0074000000ffffbf00dfffff0000489c0048000000ffdf9c009c480000ffffdf000074bf00489cdf00bf740000df9c48009cdfff0000004800ffbf74009c48480001010101010101010101010101010101010101010101010100000000000000000000000001010101010101010101010101010101010101010101010101010101010101010101010101010f10000000000e010101010f100d01010f100d010101010b07080101010f120a0101010b03040101010101010101010b03040101010101010101010b07080101010101010101010200110101010101010101010f100d0101010101010101010506030401010101010101010102000e010101010101010101010b07080101010c0d0101010105060708010506090a0101010101020000000003040101010101010101010101010101010101010101010101010101010101010101010101010101010101010101010101010c00000040092900aa000000000000001d000f0000000000040000002701ffff030000000000> - минимальный объем фонда потребления;
>>>
>
– склонность к потреблению.
Соотношение, действующее при дискретности времени в один год, при дискретности Δt примет форму:

где (1 – с) – склонность к накоплению.
При t
→ 0 приходим к уравнению инертного звена
(роль постоянной времени выполняет
величина >>>
>,
обратная склонности к накоплению):

Последнее уравнение имеет равновесное (стационарное) решение

Если в начальный момент спрос на инвестиционные товары изменился с величины I>0> до I (I > I>0>), то в экономике будет происходить переходный процесс от значения ВВП
>>>
>
до значения y>E>> >(см. рис.1). При этом
>>>
>.
Нелинейная динамическая модель Кейнса
Рассмотрим нелинейную модель Кейнса как нелинейное динамическое звено первого порядка:

т.е. скорость роста ВВП является функцией ВВП и инвестиций. В линейном случае
>>>
>
Поскольку y(y>0) – ВВП, а x=I(I>0) – инвестиции, то из экономических соображений следует, что

т.е с увеличением ВВП скорость его роста замедляется, а с увеличением инвестиций – возрастает.
Пусть при t=0 инвестиции были равны I>0> и система находилась в некотором равновесном состоянии (y>0>,I>0>), первая компонента которого определяется из уравнения (инвестиции I>0> считаются известными)

При увеличении инвестиций с I>0> до I=I>0>+ΔI (ΔI>0) система будет удовлетворять уравнению

Представим ВВП в виде суммы постоянной и переменной частей:

Переменная часть η(t) удовлетворяет уравнению

Если приращение инвестиций ΔI сравнительно мало, то при эволюторном характере функции f(y,I) переменная часть η(t) также сравнительно мала. Поэтому правую часть можно разложить в окрестности точки (y>0>,I>0>) в ряд Тейлора, отбросив члены второго и более высоких порядков:

После перенесения члена, содержащего η, в левую часть и деления обеих частей на
>>>
>
получаем уравнение инерционного звена:

где
>>>
>
– обобщенная предельная склонность к сбережению в начальном состоянии;

Из вышеописанного вытекает, что переменная часть ВВП будет вести себя следующим образом:

а ВВП в целом будет изменяться как функция

При этом новое равновесное состояние ВВП

Заключение
В данной курсовой работе были рассмотрены основные математические модели макроэкономических процессов, такие как мультипликативная производственная функция, кривая Лоренца, различные модели банковских операций, модели межотраслевого баланса Леонтьева, динамическая экономико-математическая модель Кейнса.
Как можно было заключить из вышеизложенного, математические методы имеют большую степень универсальности. Основой этой универсальности является язык математики. Если исследователи различных специальностей часто говорят об одной и той же проблеме совершенно по-разному, видят разные ее особенности, и не могут связать их воедино; то перевод проблемы на математический язык сразу выявляет общие закономерности, и даже может дать уже практически готовое решение, полученное ранее где-то в другой отрасли знаний и для других целей. То есть предпосылкой использования математики является формализация количественных и качественных сторон проблемы.
Литература
Бережная Е.В., Бережной В.И. Математические методы моделирования экономических систем. М.: Финансы и статистика, 2005. 368 с.
Ильченко А.Н. Экономико-математические методы. М.: Финансы и статистика, 2006 287 с.
Колемаев В.А. Экономико-математическое моделирование: Моделирование макроэкономических процессов и систем. М.: ЮНИТИ, 2005 295 с.
Колемаев В.А. Математическая экономика. М.: ЮНИТИ, 2005. 399 с.
Найденков В.И. Прогнозирование и моделирование национальной экономики: Конспект лекций. М.: ПРИОР, 2004. 156 с.
Орехов Н.А., Левин А.Г., Горбунов Е.А., Математические методы и модели в экономике. М.: ЮНИТИ, 2004. 302 с.
Просветов Г.И. Математические модели в экономике. Спб.: РДЛ, 2006. 151 с.
Федосеев В.В. Экономико-математические методы и прикладные модели. М.: ЮНИТИ, 2005 391 с.
Хазанова Л.Э. Математические методы в экономике. Спб.: Волтерс Клувер, 2005. 132 с.
Шелобаев С.И. Экономико-математические методы и модели. М.: ЮНИТИ, 2005. 286 с.