Мультипликативная модель Хольта-Уинтерса
Задания к контрольной работе.
Задание 1.
В каждом варианте приведены поквартальные данные о кредитах от коммерческого банка на жилищное строительство (в условных единицах) за 4 года (всего 16 кварталов, первая строка соответствует первому кварталу первого года).
Требуется:
1) Построить адаптивную мультипликативную модель Хольта-Уинтерса с учетом сезонного фактора, приняв параметры сглаживания α>1> =0,3; α>2>=0,6; α>3>=0,3.
2) Оценить точность построенной модели с использованием средней относительной ошибки аппроксимации.
3) Оценить адекватность построенной модели на основе исследования:
случайности остаточной компоненты по критерию пиков;
независимости уровней ряда остатков по d-критерию (критические значения d>1>, = l,10 и d>2>=1,37) и по первому коэффициенту автокорреляции при критическом значении r>1> =0,32;
нормальности распределения остаточной компоненты по R/S-критерию с критическими значениями от 3 до 4,21.
4) Построить точечный прогноз на 4 шага вперед, т.е. на 1 год.
5) Отразить на графике фактические, расчетные и прогнозные данные.
|
Квартал |
1 |
2 |
3 |
4 |
5 |
6 |
7 |
8 |
9 |
10 |
11 |
12 |
13 |
14 |
15 |
16 |
|
Вариант 9 |
41 |
52 |
62 |
40 |
44 |
56 |
68 |
41 |
47 |
60 |
71 |
44 |
52 |
64 |
77 |
47 |
Решение:
1. Построение адаптивной мультипликативной модели Хольта-Уинтерса:
Исходные данные:
Таблица 1.
|
t |
1 |
2 |
3 |
4 |
5 |
6 |
7 |
8 |
9 |
10 |
11 |
12 |
13 |
14 |
15 |
16 |
|
Y(t) |
41 |
52 |
62 |
40 |
44 |
56 |
68 |
41 |
47 |
60 |
71 |
44 |
52 |
64 |
77 |
47 |
Для оценки начальных значений а(0) и b(0) применим линейную модель к первым 8 значениям Y(t) из таблицы 1. Линейная модель имеет вид:
Y>p>(t) = a(0) + b(0) * t
Определим коэффициенты линейного уравнения а(0) и b(0) по формулам:


Произведем расчеты в Excel (рис.1):

Рис .1 расчеты в Excel
Уравнение с учетом полученных коэффициентов имеет вид:
Y>p>(t) = 47 + 0,79*t
Из этого уравнения находим расчетные значения Y>p>(t) и сопоставляем их с фактическими значениями (рис. 2):

Рис. 2
Такое сопоставление позволяет оценить приближенные значения коэффициентов сезонности кварталов F(-3), F(-2), F(-1) и F(0) Эти значения необходимы для расчета коэффициентов сезонности первого года F(1), F(2), F(3), F(4) и других параметров модели Хольта –Уинтерса.

Рис. 3
Оценив значения а(0) и b(0), а также F(-3), F(-2), F(-1), F(0) перейдем к построению адаптивной модели Хольта Уинтерса.
Рассчитаем значения Yp(t), a(t), b(t), F(T) для t=1 значения параметров сглаживания α1=0,3, α2=0,6, α3=0,3.

Рис. 4
2. Проверка точности построенной модели.
Условие точности выполнено, если относительная погрешность в среднем не превышает 5%.
>
>

1,26%<5%, следовательно, условие точности выполнено.
3. Оценка адекватности построенной модели.
3.1 Проверка случайности уровней.
Гипотеза
подтверждается если P
> q,
где >>>
>
Функция int означает, что от полученного значения берется только целая часть.

Из таблицы P = 10, 6<10, т.е. можно заключить, что гипотеза выполнена.
3.2 проверка независимости уровней ряда остатков (отсутствия автокорреляции). Проверка проводится двумя методами:
а) по d-критерию Дарбина – Уотсона: табличные значения d>1> = 1,08, d>2> = 1,36

В данном случае имеет место отрицательная автокорреляция. В таком случае величину d уточняем, вычитая полученное значение из 4.
d’ = 4 – d = 4-2,53 = 1,48
Уточненное значение d сравниваем с табличными значениями d1 и d2, в данном случае d>1>=1,1 и d>2>=1,37.
Так как d>2><1,48<2, то уровни ряда остатков являются независимыми.
б) по первому коэффициенту автокорреляции
>
>
Для нашей задачи критический уровень r>таб> = 0,32 - значит уровни независимы.
3.3 Проверка соответствия ряда остатков нормальному распределению по R/S-критерию с критическими значениями от 3 до 4,21.
>
>,
где >
>,
S
= 0,93

Рис. 5
Полученное значение не попало в заданный интервал.
4. Построим точечный прогноз на 4 шага вперед.
Находим прогнозные значения экономического показателя для Y>p>(t)

Рис. 6
5. Отразим на графике расчетные, фактические и прогнозные данные.

Рис. 7 Сопоставление расчетных и фактических данных.
Из рисунка видно, что расчетные данные хорошо согласуются с фактическими, что говорит об удовлетворительном качестве прогноза.
Задание 2.
Даны цены (открытия, максимальная, минимальная и закрытия) за 10 дней. Интервал сглаживания принять равным пяти дням. Рассчитать:
экспоненциальную скользящую среднюю;
момент;
скорость изменения цен;
индекс относительной силы;
%R, %K и %D.
Расчеты выполнить для всех дней, для которых эти расчеты можно выполнить на основании имеющихся данных.
-
Вариант 9
Дни
Цены
Макс.
Мин.
Закр.
1
650
618
645
2
680
630
632
3
657
627
657
4
687
650
654
5
690
660
689
6
739
685
725
7
725
695
715
8
780
723
780
9
858
814
845
10
872
840
871
Решение:
Введем исходные данные:

Рис. 8
Экспоненциальная скользящая средняя (ЕМА) определяется по формуле:
EMA>t> = C>t>*K + EMA>t-1>*(1- K)
Где >010009000003be0c000000008807000000008807000026060f00060f574d46430100000000000100344a0000000001000000e40e000000000000e40e0000010000006c0000000000000000000000420000002200000000000000000000003d090000d104000020454d4600000100e40e00000c000000010000000000000000000000000000000005000000040000c401000069010000000000000000000000000000e3e306001c830500460000002c00000020000000454d462b014001001c000000100000000210c0db01000000600000006000000046000000480300003c030000454d462b224004000c000000000000001e4009000c00000000000000244001000c000000000000003040020010000000040000000000803f214007000c000000000000000840000594020000880200000210c0db01000000000000000000000000000000000000000100000089504e470d0a1a0a0000000d4948445200000043000000230802000000405c207e000000017352474200aece1ce9000000097048597300000ec400000ec401952b0e1b0000020e494441545847ed583d6e833018353d0952970c3d045196208e511694951c02c11a65811b748dca52c1213a64a9e29bb8fe8080015393046c07d54bc031e63d7f7fefc32084a0458c9745b000123a33c9f7c675ec73e1896bcb84d2085617eafb84643e8a82040bb868cbc40ac9e7bb59a037575ba145f4f6ae0a3efefa40f1b162354cc9d03d77512f3b3924b48456d1d6bb00394eec913460352197b871433f2b620c463dbd8dcbc0933d68a0d770329f41c6074299d4a859c8749be2f6fa2b9b06bcb8356e62c22c66cf433a89fb5ec88f93fc14f98e38c884512873018f094e82e723c2532bf9c145f1eec92c52e42e364f95ee20ce56dd78ecbb91788ffbc261f02996c935e20b9812904c1b45bc38b142ca25753da1687b10cab446e1e72ecba16649ddc3a096660477adbcdb17f6dce7d03b46264ed8e253068204179bcc3043bacbda8186f9cb2c0fbad6f48f8b7557a37e263bbf3936d25ed58fb69dd6aa7e340b58f8c44c207f325f2a346702bd56ffbb0acc1ac63a6ad94c2d931212949eaa408dac429b635f62a96492ef3d7484d6f47cb069af0e5d6a7ac62382c3344dceaa3912e22d7b4209ae0a70d39ff2056aa76d843360a64a05a96e00e60a0eafd1eea06de1ecfca7d2bba887e09f6f5475a770f9f66ae22419547b6d97c2e7949d50cb847e944bb7abc6e9a3b5e1a18db0c96b72177da0cc1808fdd7f8111946f212b5de3525d9e530f905eaadc5b6b25aeeaa0000000049454e44ae4260820000000840010824000000180000000210c0db01000000030000000000000000000000000000001b40000040000000340000000100000002000000000000bf000000bf0000864200000c4203000000000000b3000000b3ffff8542000000b3000000b3ffff0b422100000008000000620000000c00000001000000150000000c00000004000000150000000c0000000400000051000000380a000000000000000000004200000022000000000000000000000000000000000000004300000023000000500000009c000000ec0000004c090000000000002000cc00430000002300000028000000430000002300000001000800000000000000000000000000000000001d0000000000000000000000ffffff00bfffff0000007400bf74000048007400ffdf9c0074bfff00480000009cdfff0048004800489cdf00df9c4800dfffff0000489c0074000000ffffbf00000048009c480000ffffdf00ffbf74000074bf0074004800dfdfdf004874bf00dfdf9c0048489c00487474009c9cdf00010101010101010101010101010101010101010101010101010101010101010101010101010101010101010101010101010101010101010101010101010101010101010101010101010101010101010101010101010101010101010101010101010101010101010101010101010101010101010101010101010101010101010101010101010101010101010101010101010101010101010101010101010101010101010101010101010101010101010101010101010101010101010101010101010101010101010101010101010101010101010101010101010101010101010101010101010101010101010101010101010101010101010101010101010101010101010101010101010101010101011201010101010101010101010101010101010101010101010101010101010101010101010101010101010d0e0c010d0e000c0101010d0e1401010101010b000000000c01010101010101010101010101010101010101010101010101010101010101010101010101010101010101010b04010d0e141c1001010d0e1401010101010101150401010101010101010101010101010101010101010101010101010101010101010101010101010101010101010101070f1001150c010101010d0e14010101010101010b040101010101010101010101010101010101010101010101010101010101010101010101010101010101010101010102030c01071213020300000000000014010101010b0401010101010101010101010101010101010101010101010101010101010101010101010101010101010101010118191a1b140916100101010d0e14010101010101010b040101010101010101010101010101010101010101010101010101010101010101010101010101010101010101010d0e0806150012130101010d0e14010101010117010b0401010101010101010101010101010101010101010101010101010101010101010101010101010101010101010101010101010101010101010d0e1401010101010b000004010101010101010101010101010101010101010101010101010101010101010101010101010101010101010101010101010101010101010101010101010101010101150401010101010101010101010101010101010101010101010101010101010101010101010101010101010101010101010101010101010101010101010101010101010101010101010101010101010101010101010101010101010101010101010101010101010101010101010101010101010101010101010101010101010101010101010101010101010101000d0e00000f1001010911000f1001010101010101010101010101010101010101010101010101010101010101010101010101010101010101010101010101010101010101010d0e0f100101010b0004010101010101010101010101010101010101010101010101010101010101010101010101010101010101010101010101010101010101010100010d0e0f10010102030806010101010101010101010101010101010101010101010101010101010101010101010101010101010101010101010101010101010101010101010d0e0f10010107000401010101010101011500000000000000000000121301010101010101010101010101010101010101010101010101010101010101010101010101010d0e0f10010115080601010101010101010101010101010101010101010101010101010101010101010101010101010101010101010101010101010101010101010100010d0e0f100107000c0101010101010101010101010101010101010101010101010101010101010101000000000000000000000000000000000000000000000000000001010d0e0000000806010101010101010101011500000000000000000000121301010101010101010101010101010101010101010101010101010101010101010101010101010d0e0f1001150c010101010101010101010101010101010101010101010101010101010101010101010101010101010101010101010101010101010101010101010101010d0e0f10010916100101010101010101010101010101010101010101010101010101010101010101010101010101010101010101010101010101010101010101010109010d0e0f10010115140101010101010101010101010101010101010101010101010101010101010101010101010101010101010101010101010101010101010101010110010d0e0f10010107040101010101010101010101010101010101010101010101010101010101010101010101010101010101010101010101010101010101010101010101010d0e08060101020506071213010101010101010101010101010101010101010101010101010101010101010101010101010203000000001401010101010101010101010d0e00000f100101091100121301010101010101010101010101010101010101010101010101010101010101010101010101010704010107140101010101010101010101010101010101010101010101010101010101010101010101010101010101010101010101010101010101010101010101010101010b04010101010101010101010101010301010101010101010101010101010101010101010101010101010101010101010101010101010101010101010101010101010101010704010101010101010101010101010101010101010101010101010101010101010101010101010101010101010101010101010101010101010101010101010101010101010b0c010101010101010101010101010101010101010101010101010101010101010101010101010101010101010101010101010101010101010101010101010101010101090a06010101010101010101010101010101010101010101010101010101010101010101010101010101010101010101010101010101010101010101010101010205060107080601010101010101010101010101010101010101010101010101010101010101010101010101010101010101010101010101010101010101010101010101010203000004010101010101010101010101010101010101010101010101010101010101010101010101010101010101010101010101010101010101010101010101010101010101010101010101010101010101010101010101010101010101010101010101010101010101010101010101010101010101010101010101010101010101010101010101010101010101010101010101010101004c0000006400000000000000000000004200000022000000000000000000000043000000230000002900aa0000000000000000000000803f00000000000000000000803f0000000000000000000000000000000000000000000000000000000000000000220000000c000000ffffffff460000001c00000010000000454d462b024000000c000000000000000e000000140000000000000010000000140000000400000003010800050000000b0200000000050000000c0223004300030000001e000400000007010400040000000701040001050000410b2000cc002300430000000000230043000000000028000000430000002300000001000800000000000000000000000000000000001d0000000000000000000000ffffff00bfffff0000007400bf74000048007400ffdf9c0074bfff00480000009cdfff0048004800489cdf00df9c4800dfffff0000489c0074000000ffffbf00000048009c480000ffffdf00ffbf74000074bf0074004800dfdfdf004874bf00dfdf9c0048489c00487474009c9cdf00010101010101010101010101010101010101010101010101010101010101010101010101010101010101010101010101010101010101010101010101010101010101010101010101010101010101010101010101010101010101010101010101010101010101010101010101010101010101010101010101010101010101010101010101010101010101010101010101010101010101010101010101010101010101010101010101010101010101010101010101010101010101010101010101010101010101010101010101010101010101010101010101010101010101010101010101010101010101010101010101010101010101010101010101010101010101010101010101010101010101011201010101010101010101010101010101010101010101010101010101010101010101010101010101010d0e0c010d0e000c0101010d0e1401010101010b000000000c01010101010101010101010101010101010101010101010101010101010101010101010101010101010101010b04010d0e141c1001010d0e1401010101010101150401010101010101010101010101010101010101010101010101010101010101010101010101010101010101010101070f1001150c010101010d0e14010101010101010b040101010101010101010101010101010101010101010101010101010101010101010101010101010101010101010102030c01071213020300000000000014010101010b0401010101010101010101010101010101010101010101010101010101010101010101010101010101010101010118191a1b140916100101010d0e14010101010101010b040101010101010101010101010101010101010101010101010101010101010101010101010101010101010101010d0e0806150012130101010d0e14010101010117010b0401010101010101010101010101010101010101010101010101010101010101010101010101010101010101010101010101010101010101010d0e1401010101010b000004010101010101010101010101010101010101010101010101010101010101010101010101010101010101010101010101010101010101010101010101010101010101150401010101010101010101010101010101010101010101010101010101010101010101010101010101010101010101010101010101010101010101010101010101010101010101010101010101010101010101010101010101010101010101010101010101010101010101010101010101010101010101010101010101010101010101010101010101010101000d0e00000f1001010911000f1001010101010101010101010101010101010101010101010101010101010101010101010101010101010101010101010101010101010101010d0e0f100101010b0004010101010101010101010101010101010101010101010101010101010101010101010101010101010101010101010101010101010101010100010d0e0f10010102030806010101010101010101010101010101010101010101010101010101010101010101010101010101010101010101010101010101010101010101010d0e0f10010107000401010101010101011500000000000000000000121301010101010101010101010101010101010101010101010101010101010101010101010101010d0e0f10010115080601010101010101010101010101010101010101010101010101010101010101010101010101010101010101010101010101010101010101010100010d0e0f100107000c0101010101010101010101010101010101010101010101010101010101010101000000000000000000000000000000000000000000000000000001010d0e0000000806010101010101010101011500000000000000000000121301010101010101010101010101010101010101010101010101010101010101010101010101010d0e0f1001150c010101010101010101010101010101010101010101010101010101010101010101010101010101010101010101010101010101010101010101010101010d0e0f10010916100101010101010101010101010101010101010101010101010101010101010101010101010101010101010101010101010101010101010101010109010d0e0f10010115140101010101010101010101010101010101010101010101010101010101010101010101010101010101010101010101010101010101010101010110010d0e0f10010107040101010101010101010101010101010101010101010101010101010101010101010101010101010101010101010101010101010101010101010101010d0e08060101020506071213010101010101010101010101010101010101010101010101010101010101010101010101010203000000001401010101010101010101010d0e00000f100101091100121301010101010101010101010101010101010101010101010101010101010101010101010101010704010107140101010101010101010101010101010101010101010101010101010101010101010101010101010101010101010101010101010101010101010101010101010b04010101010101010101010101010301010101010101010101010101010101010101010101010101010101010101010101010101010101010101010101010101010101010704010101010101010101010101010101010101010101010101010101010101010101010101010101010101010101010101010101010101010101010101010101010101010b0c010101010101010101010101010101010101010101010101010101010101010101010101010101010101010101010101010101010101010101010101010101010101090a06010101010101010101010101010101010101010101010101010101010101010101010101010101010101010101010101010101010101010101010101010205060107080601010101010101010101010101010101010101010101010101010101010101010101010101010101010101010101010101010101010101010101010101010203000004010101010101010101010101010101010101010101010101010101010101010101010101010101010101010101010101010101010101010101010101010101010101010101010101010101010101010101010101010101010101010101010101010101010101010101010101010101010101010101010101010101010101010101010101010101010101010101010101010101000c00000040092900aa000000000000002300430000000000040000002701ffff030000000000>,
C>t> – цена закрытия
n– интервал сглаживания, n=5
Для вычисления экспоненциальной средней сформируем таблицу:

Рис. 9
Момент (МОМ) рассчитывается как разница конечной цены текущего дня и цены n дней тому назад:


Рис. 10

Рис. 11
Движение графика момента вверх (рис. 11) свидетельствует о повышении цен.
Скорость изменения цен (ROC):


Рис. 12

Рис. 13
ROC является отражением скорости изменения цены , а также указывает направление этого изменения. В качестве нулевой линии используется уровень 100%. Нахождения индекса выше линии 100 и положительная динамика в 7-9 дни говорит о сигнале к покупке. На 7-8 день скорость изменения цен была максимальной.
Индекс относительной силы (RSI).
Значения RSI изменяются от 0 до 100. Этот индикатор может подавать сигналы либо одновременно с разворотом цен, либо с опережением, что является важным его достоинством.
Для его расчета применяется формула:

Где AU – сумма приростков конечных цен за n дней;
AD – суммы убыли конечных цен за n дней.
Повышение цены рассчитываем по формуле: =ЕСЛИ((H5-H4)>0;H5-H4;""), а понижение =ЕСЛИ((H4-H3)<0;ABS(H4-H3);"")

Рис. 14
Отобразим на графике полученные значения RSI (рис. 15).

Рис. 15
Зоны перепроданности располагаются обычно ниже 25-20, а перекупленности - выше 75-80. Сигналом служит разворот RSI в указанных зонах и выход из нее. Как видно из рисунка, индекс относительной силы вошел в зону, ограниченной линией 80%, на 6-10 день. Это значит, что цены поднялись слишком высоко, надо ждать их падения и подготовится к продаже. Сигналом к продаже послужит момент выхода графика из зоны перепроданности.
Стохастические линии.
Смысл индексов %К и %R состоит в том, что при росте цен цена закрытия бывает ближе к максимальной цена ,а при падении цен, наоборот, ближе к минимальной. Индексы %R и %К проверяют куда больше тяготеет цена закрытия.

Где %K>t> – значение индекса текущего дня;
C>t> – цена закрытия текущего дня;
L>5> и H>5> – соответственно минимальная и максимальная цены за 5 предшествующих дней, включая текущий.

Где %R>t> – значение индекса текущего дня, t;
C>t> – цена закрытия текущего дня t;
L>n> и H>n> – соответственно минимальная и максимальная цены за n предшествующих дней, включая текущий.

Составим таблицу расчета индексов стохастических линий и заполним ее (рис. 18).
В ячейку Е8 введем формулу =МАКС(B4:B8) и размножим ее, а в ячейку F8 формулу =МИН(C4:C8) и тоже размножим (рис. 16)

Рис. 16
В ячейку G8 введем формулу =D8-F8, в H8 =E8-D8, в I8 =E8-F8 и размножим их (рис. 17).

Рис. 17
Далее рассчитаем индексы (рис. 18).

Рис. 18 расчет индексов стохастических линий.
Медленное %D рассчитывается по формуле =СРЗНАЧ(N10:N12).
Критические значения %К (зона перекупленности) свидетельствуют о том, что можно ожидать скорого разворота тренда, т.е. падения цен. Как видно из графика и из таблицы если цена закрытия ближе к максимальной цене, то наблюдается рост цен , в противном случае, падение (рис. 19).

Рис. 19 Ценовой график.
Задание 3.
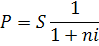
Выполнить различные коммерческие расчеты, используя данные, приведенные в таблице. В условии задачи значения параметров приведены в виде переменных. Например, S означает некую сумму средств в рублях, Т>лет> - время в годах, i - ставку в процентах и т.д. По именам переменных из таблицы необходимо выбрать соответствующие численные значения параметров и выполнить расчеты.
|
Вариант |
Сумма |
Дата начальная |
Дата конечная |
Время в днях |
Время в годах |
Ставка |
Число начислений |
|
S |
T>H> |
T>K> |
T>дн> |
T>лет> |
I |
m |
|
|
9 |
4500000 |
09.01.02 |
21.03.02 |
90 |
5 |
50 |
4 |
3.1 Банк выдал ссуду, размером S руб. Дата выдачи ссуды - T>H> , возврата - T>K> . День выдачи и день возврата считать за 1 день. Проценты рассчитываются по простой процентной ставке i% годовых.
Найти:
3.1.1) точные проценты с точным числом дней ссуды;
3.1.2) обыкновенные проценты с точным числом дней ссуды;
3.1.3) обыкновенные проценты с приближенным числом дней ссуды.
3.2 Через T>дн> дней после подписания договора должник уплатит S руб. Кредит выдан под i% годовых (проценты обыкновенные). Какова первоначальная сумма и дисконт?
3.3Через T>дн> дней предприятие должно получить по векселю S руб. Банк приобрел этот вексель с дисконтом. Банк учел вексель по учетной ставке i% годовых (год равен 360 дням). Определить полученную предприятием сумму и дисконт.
3.4 В кредитном договоре на сумму S руб. и сроком на T>лет> лет, зафиксирована ставка сложных процентов, равная i% годовых . Определить наращенную сумму.
3.5 Ссуда, размером S руб. предоставлена на Т>лет> . Проценты сложные, ставка i% годовых. Проценты начисляются m раз в году. Вычислить наращенную сумму.
3.6 Вычислить эффективную ставку процента, если банк начисляет проценты m раз в году, исходя из номинальной ставки i% годовых.
3.7 Определить, какой должна быть номинальная ставка при начислении процентов m раз в году, чтобы обеспечить эффективную ставку i% годовых.
3.8 Через Т>лет> предприятию будет выплачена сумма S руб. Определить ее современную стоимость при условии, что применяется сложная процентная ставка i% годовых.
3.9 через Т>лет> по векселю должна быть выплачена сумма S руб. Банк учел вексель по сложной учетной ставке i% годовых. Определить дисконт.
3.10 В течение Т>лет> на расчетный счет в конце каждого года поступает по S руб., на которые m раз в году начисляются проценты по сложной годовой ставке i%. Определить сумму на расчетном счете к концу указанного срока.
Решение.
3.1Используем формулу:


3.1.1 К = 365, t = 71, >010009000003202b00000000c912000000001610000026060f002220574d464301000000000001005784000000000200000000200000ec0f0000ec2f0000010000006c000000000000000000000075010000180000000000000000000000963300007003000020454d4600000100ec2f00000c000000010000000000000000000000000000000005000000040000c401000069010000000000000000000000000000e3e306001c830500460000002c00000020000000454d462b014001001c000000100000000210c0db01000000600000006000000046000000c0080000b4080000454d462b224004000c000000000000001e4009000c00000000000000244001000c000000000000003040020010000000040000000000803f214007000c00000000000000084000050c080000000800000210c0db01000000000000000000000000000000000000000100000089504e470d0a1a0a0000000d4948445200000176000000190802000000aae99209000000017352474200aece1ce9000000097048597300000ec400000ec401952b0e1b0000078849444154785eed5c3d721b3b0c5ee524f2a449a143d8e3461eb7be81dd78d2ca933364ac36e3c6be815b8fd578a443a44893b16ea2002477973f20402e7763e53d6e91b1973fc0f701044170e3d9e17068ea5319a80c5406a661e0d334d3d6592b039581ca003250434cf583ca40656042066a889990dc3a7565a03270ac2166ff7471b7abe62118383a6640a1d96c22631d1dd8ea92d90cb42146f98979267217ad9b1274f1b47735dddd75d2f50f27379b000baf63496bab579480d1e9499e30899974b3db726dca299ba3e8c05281a8dd8f9bcdf2f1eb69dfe0ca88ced076b3448f0c56a685f646e3a51d3f1e840c0e038c19639b14fe1dc67caa130d21d394d103657a7ac08d9279b62b9c69b5eddf8cffd3fbe312852c1fdfddb95176f0d2e9a2b433ca859a96b48298c2e1b93cf1e27299c9928e06704cac2ce2536fcc4459ca978658ac09f5c8ee85b6546059dd2b34b8ec065960a5ceb4378a107238a4981d897f5e4f1185444e46bbb672f77821a4f142cca41146d966454513c9b7fc85a04075e62b6905fc85c3336ca1baf2e2a825cc07df2cf9409ce0e19d295c8e692988c5d1ce5f7e9ea777f8693f93dc200baad439e68d220499436d630aa33c36997f5acfd61a220a899ed4763133e9430cb99da5ca49e9a741d36204df0a06399e5bd24a2c79ed1fad83f093a7e0f6fa644e38edaab3f3292ab825a4967cfc0b420c2751659323c653ce3a9c37bae3882819cdaf75038b5118eb6df9396cb07b82846280279bfd4252b12bf7eedf9e37cdf2ea7c9e71eecae9ba7fbabd596cefad237bc6e8fd2fa8cc2c3ef7bacd3f2f60f8cfdf7b9ca4a4b57c7800038ec75c0583d7368314a2ab203a54f5650db1f4729851a0acf67dddacbe5d332ea3bdaaafd4a8216ee5a60cf1c0d119dee843f025ee7c0e3330066307c251c3f6bf7fc2bff62ab1668ba2688b395811eb0b3b9d03873543ebcddd0ea66d2066b095c53ec4f8abb8046d30164dda38354162fae7db48814d93e73cf32f90696c7e618829692d1fde6b853ca3a14035b473fbaba738af6d84f42833a67f9a687ff28cb540e9855ecb460bf0d813b0fafb6b1784da7dacb12e1782702c812d77cc246f54624208be398398998451c78451e32d130a3914a7f73a6b5f9fcd662f976d12b6b939d155f8f9f56b97ffe8fca07d03c7c0fb53d82f17cddbc56df3d0e56f30917b77d0dd28e12a5e7e9933f60bcafdde2550fcfa419bf481d9ee30626c16dfb49e800920ca7719e5be36ee0ce70f87cb17751986f642dabfce3106163d69cc0c115d98b7aa9b243aeb359bda19a448eea33238b0aded929d37a3fba6bbc194dea896bfba610d217880c2dc5fc2d84d50c8bfa7082cb1cd6adb477313c49250605f3cee9833c6e93d1eb9d62f2ac68051ceaf2004991303bee8f716dc2fd737cf57ddd23643bf3b37c6ddaa9eec14ec9604fb52c476153dc57907c758cd50d74b4a5acb87bb6758554c58d2d72516d344c935f12a2f7ea4964587aab242e5a3bd7837a0b5eda450ca7352a6a81fe47aa30741e43019a358b04929b71b75c41a168b222c8ffa6f9cf9ad4232bff48c72268b090a04453baf3318773bdcb94ccea33e7851bf323b84536a8138aa2a2fe1a3b3ae92d6f2e1bd56b8af62aaf970856beaa181631f9189f1da8ab47bcc98fe69a25db3949561a44392d900af5fd586e8ee6a8e1eeac41b7968b022475c876c6f84734114426a2985c2983a56460b09d7d93a4860dc711c8a98045d8650cfe9e50ad6ec8f1dfe0c0c72258fd0bf758849c23b303585c39efdd801d24beb7cac7de54ad9c84ad5dc126f492bc69882c96d951128a69a10ae415530eae14001e4c5c91e853dfc9a5ea2e87ef2c232007348f2015845b3e866c083a60b987fd11b6d0896aa3487b12dc4c558c8bf35d9ee4ed5bbe47b94088a38f776d904638c3e3a41a8e82bfc0458a2d6688a1f931d93fccb30ead21ab609f7cc14e488fe0b37cb2c696def182d0572261f70d7c76b1b64e202330314083fcd21278926eaca849143126fca30b1b6dfc86e30082c37689837b6154372d1f01833ea12290725ec635b0284f79fa7a67a4e48027188d3467ff4bfdc0c7a8643f1bb184d8a74bd3d92792346b5e52b2d3d1f76740ce62869f509c89c7c002dbcb6e1a7c6bd6528660628209601d49c311777ab199e786f50b0de5c04aee779634702cbf293e08d918210c32187b167562c6451fc87bb5ff021a5fd057cef395c59cb2fd4d08637bdfc30e18275869aa6c68c54f992887a803b87a7249d9a1121b6cfd9c870c76b5ad2da4519ad4148c3e8247113124994c04ca659840863ebd609ee39c1d1dc76e40d0fbbba1d1cb2b55376cfc4bb9ea5882b4984207e5dc760cc1c6bc8b00387f999b493659a0414564e2513aff3986de86c8ed5ac0e6d88c974cfda7d7206a4353cb902e2c962f2ade843211eb3f0497c834ae50812a0dba0987fac7fcc81af00fe975bb1f4ce7f32fb81e8c5cfed3e50b7ff81e8bfef1b705da5af45d5b76d833efeaf21e6b83c737777d6e06793c7a595d106dd6c73b4e1ef28291b53a9a97c437db1127f36cf6f7b7d6fc57d3c1b1f3f838c684c1aea5c9581cac03fc400a429eddf66826350f09545d7acfebfc0205c35c40ca2ad0eaa0c5406d218a807a5349e6aafca406560100335c40ca2ad0eaa0c5406d218f8038afd283cf782b0880000000049454e44ae426082000840010824000000180000000210c0db01000000030000000000000000000000000000001b40000040000000340000000100000002000000000000bf000000bf0000bb430000c84103000000000000b3000000b3ffffba43000000b3000000b3ffffc7412100000008000000620000000c00000001000000150000000c00000004000000150000000c0000000400000051000000c82500000000000000000000750100001800000000000000000000000000000000000000760100001900000050000000c000000010010000b8240000000000002000cc0076010000190000002800000076010000190000000100080000000000000000000000000000000000260000000000000000000000ffffff009cdfff00bf744800dfffff0000489c00bf74000000004800df9c4800bfffff0000007400489cdf00ffbf740074bfff0048000000ffdf9c009c480000ffffdf000074bf0074000000ffffbf007474000048004800740048009cdfbf009c484800480074004848480074489c00dfdf9c009c9c7400dfdfdf00dfdfff009c48740000484800dfffbf009c74000048489c000101010101010101010101010101010101010101010101010101010101010101010101010101010101010101010101010101010101010101010101010101010101010101010101010101010101010101010101010101010101010101010101010101010101010101010101010101010101010101010101010101010101010101010101010101010101010101010101010101010101010101010101010101010101010101010101010101010101010101010101010101010101010101010101010101010101010101010101010101010101010101010101010101010101010101010101010101010101010101010101010101010101010101010101010101010101010101010101010101010101010101010101010101010101010101010101010101010101010101010101010101010101010101010101010101010101010101010101010101010101010101010101010101010101010101010101010101010101010101010101010101010101010101010101010101ffff0101010101010101010101010101010101010101010101010101010101010101010101010101010101010101010101010101010101010101010101010101010101010101010101010101010101010101010101010101010101010101010101010101010101010101010101010101010101010101010101010101010101010101010101010101010101010101010101010101010101010101010101010101010101010101010101010101010101010101010101010101010101010101010101010101010101010101010101010101010101010101010101010101010101010101010101010101010101010101010101010101010101010101010101010101010101010101010101010101010101010101010101010101010101010101010101010101010101010101010101010101010101010101010101010101010101010101010101010101010101010101010101010101010101010101010101010101010101010101010101010101010101010101010101010101ffff0101010101010101010101010101010101010101010101010101010101010101010101010101010101010101010101010101010101010101010101010101010101010101010101010101010101010101010101010101010101010101010101010101010101010101010101010101010101010101010101010101010101010101010101010101010101010101010101010101010101010101010101010101010101010101010101010101010101010101010101010101010101010101010101010101010101010101010101010101010101010101010101010101010101010101010101010101010101010101010101010101010101010101010101010101010101010101010101010101010101010101010101010101010101010101010101010101010101010101010101010101010101010101010101010101010101010101010101010101010101010101010101010101010101010101010101010101010101010101010101010101010101010101010101010101ffff0101010101010101010101010101010101010101010101010101010101010101010101010101010101010101010101010101010101010101010101010101010101010101010101010101010101010101010101010101010101010101010101010101010101010101010101010101010101010101010101010101010101010101010101010101010101010101010101010101010101010101010101010101010101010101010101010101010101010101010101010101010101010101010101010101010101010101010101010101010101010101010101010101010101010101010101010101010101010101010101010101010101010101010101010101010101010101010101010101010101010101010101010101010101010101010101010101010101010101010101010101010101010101010101010101010101010101010101010101010101010101010101010101010101020700000801010101010405001314010101010101010101010101010101010101ffff01010101010101010101010101010101010101010101010101010101010101010101010101010101010101010101010101010101010101010101010101010101010101010101010101010101010101010101010101010101010101010101010101010101010101010101010101010101010101010101010101010101010101010101010101120c010101010101010101010101010101010101010101010101010101010101010101010101010101010101010101010101010102070c0101010101010101010101010101010101010101010101010101010101010101010101010101010101010101010101010101010101010101010101010101010101010101010101010101010101010101010101010101010101010101010101010101010101010101010101010101010101010101010101010101010101120c0101010101010101010101010101010101010101010101010101010d00080101010101010405081210110101010101010101010101010101010101ffff01010101010101010101010101010101010101010101010101010101010101010101010101010101010101010101010101010101010101010101010101010101010101010101010101010101010101010101010101010101010101010101010101010101010101010101010101010101010101010101010101010101010101010101010101090a0c01010101010101010101010101010101010101010101010101010101010101010101010101010101010101010101010101010b101101010101010101010101010101010101010101010101010101010101010101010101010101010101010101010101010101010101010101010101010101010101010101010101010101010101010101010101010101010101010101010101010101010101010101010101010101010101010101010101010101010101090a0c010101010101010101010101010101010101010101010101010102070801010101010104250f0405080101010101010101010101010101010101ffff01010101010101010101010101010101010101010101010101010101010101010101010101010101010101010101010101010101010101010101010101010101010101010101010101010101010101010101010101010101010101010101010101010101010101010101010101010101010101010101010101010101010101010101010101011210110101010101010101010101010101010101010101010101010101010101010101010101010101010101010101010101010102070c0101010101010101010101010101010101010101010101010101010101010101010101010101010101010101010101010101010101010101010101010101010101010101010101010101010101010101010101010101010101010101010101010101010101010101010101010101010101010101010101010101010101121011010101010101010101010101010101010101010101010101010207080101010101010101010102191101010101010101010101010101010101ffff0b0000000c010101010101010101010101010101010101010101010101010101010101010207000008010101090a0000000e0f010101010104050000131401010101040500001314010101010405000013140101010101040500001314010101010405000013140101010101010101010101010101010101010101010405000013140101010112131401090a0000000e0f0101010101010101010101010101010101010101010d000c0101010101010104050000000000131401011210110101010101010104050000000e0f01010101040500000006010101090a0000000e0f010101010101010101010101010101010101010101010101010101010101020700000801010104050000000e0f01010101010d000c01010101010101040500000006010101010d000c0101010101010104050000000000131401121314010b00000000000010110104050000000e0f010101010101010207000000001011010101010102070c0101010101090a0000000c0101090a13ffff010b000801010101010101010101010101010101010101010101010101010101010101010102070801010101120e0f010112000c01010104050e0f010b0e0f010104050e0f010b0e0f010104050e0f010b0e0f01010104050e0f010b0e0f010104050e0f010b0e0f0101010101010101010101010101010101010104050e0f010b0e0f01010112131401120e0f010112000c0101010101010101010101010101010101010101090a06010101010101010101010d0008010101010102160f01010101010101120e0f01010b000c0101090a1314010207101101120e0f010112000c01010101010101010101010101010101010101010101010101010101010102070801010101120e0f01010b000c01010101090a06010101010101090a131401020710110101090a06010101010101010101010d00080101010112131401090a0c01010102171401120e0f01010b000c0101010101010207131401090a1011010101010b001011010101090a1314010d000801090a13ffff01020708010101010101010101010101010101010101010101010101010101010101010101020708010101011208010101090a101101010d00080101090a0601010d00080101090a0601010d00080101090a060101010d00080101090a0601010d00080101090a06010101010101010101010101010101010101010d00080101090a06010101010101011208010101090a101101010101010101010101010101010101010101010b0e0f0101010101010101010d00080101010101040506010101010101011208010101090a1011010b000c0101010b000c011208010101090a10110101010101010101010101010101010101010101010101010101010101020708010101011208010101090a1011010101010b0e0f01010101010b000c0101010b000c0101010b0e0f0101010101010101010d00080101010101010101010d13140101041c14011208010101090a101101010101010207080101010d000c010101040524050c0101010d000c010101121314010101ffff01090a060101010101010101010112000000000000000000001011010101010101010101010207080101010101010101010112131401010b0e0f010101121314010b0e0f010101121314010b0e0f01010112131401010b0e0f010101121314010b0e0f01010112131401010101010101091a0f01010101010101010b0e0f010101121314010101010101010101010101121314010101010101091a0f01010101010101010101010207080101010101010101010d00080101010101010d0e0f01010101010101010101010405131401121314010101020708010101010101011213140101010101011200000000000000000000101101010101010101010101020708010101010101010101040513140101010102070801010101011213140101010207080101010207080101010101010101010d000801010101010101010101121011010101010101010101010405131401010101010207080101010207080101010d000c0d060101011213140101010b000c010101ffff01011213140101010101010101010101010101010101010101010101010101010d0000000000000000101101010101010101120e0f01011213140101010b0e0f011213140101010b0e0f011213140101010b0e0f01011213140101010b0e0f011213140101010b0e0f01010101011206041c2305101101010101011213140101010b0e0f010101010101010101010101120e0f010101011206041c2305101101010101010101010112131401010101010101010d00080101010101010405080101010101010101010101090a10110405131401010102070801010101010101120e0f0101010101010101010101010101010101010101010101010d00000000000000001011010101010101090a10110101010101121314010101040513140101010207080101010112131401010101010101010d00080101010101010101010104050601010101010101010101090a10110101010101020708010101020706010101121314091a0f01040513140101010d000c010101ffff01010b0e0f01010101010101010101010101010101010101010101010101010104050801010207080921110101010101010405131401040513140101010b000c040513140101010b000c040513140101010b000c01040513140101010b000c040513140101010b000c0101010101010d0e220e0f010101010101040513140101010b000c01010101010101010101010405131401010101010d0e220e0f01010101010101010101010d000c01010101010101010d0008010101010101010b13140101010101010101010405000c01040513140101010d000801010101010104051314010101010101010101010101010101010101010101010101040508010102070809211101010101010405000c0101010101010d000c010101040513140101010d0008010101010d000c01010101010101010d00080101010101010101010101090a0801010101010101010405000c0101010101010207080101010207080101090a0801010b0601040513140101010b000c010101ffff01010207080101010101010101011200000000000000000000101101010101010102160f010207080101010104050601010b00080101040513140101010b000c040513140101010b000c040513140101010b000c01040513140101010b000c040513140101010b000c01010101011f0d00000008201101010101040513140101010b000c01010101010104050601010b000801010101011f0d00000008201101010101010101010104051011010101010101010d000801010101010101090a08010101010101040500000e0f01010112000e0f01090a13140104050601010b0008010101010101011200000000000000000000101101010101010102160f010207080101010101040500000e0f010101010101010405101101010112000e0f01090a13140101010104051011010101010101010d000801010101010101010101010102070c01010101040500000e0f010101010101010207080101010d000c01010b0e0f010102160f04050e0f010101120e0f010101ffff0101090a0601010101010101010101010101010101010101010101010101010101010b101102070801010101090a1b00000008010101040513140101010b000c040513140101010b000c040513140101010b000c01040513140101010b000c040513140101010b000c01010101010b06041c140b060101010101040513140101010b000c010101010101090a1b000000080101010101010b06041c140b0601010101010101010101010b0e0f010101010101010d000801010101010101010b10110101010101010101120e0f0101010b0e1d0500000e0f0101090a1b0c08000026060f000e10574d4643010000000000010000000000000002000000ec0f000000000000ec2f000000000008010101010101010101010101010101010101010101010101010101010b10110207080101010101010101120e0f01010101010101010b0e0f0101010b0e1d0500000e0f0101010101010b0e0f010101010101010d0008010101010101010101010101010b0e0f010101010101120e0f010101010101010207000601090a13140104051314010104050601121e1911010d000601010101ffff0101040510110101010101010101010101010101010101010101010101010101010104050c02070801010101090a080101010101010101121314010101120e0f01121314010101120e0f01121314010101120e0f0101121314010101120e0f01121314010101120e0f01010101010101091a0f0101010101010101121314010101120e0f010101010101090a08010101010101010101010101091a0f01010101010101010101010101090a06010101010101010d0008010101010101010102070c0101010101010101010b0e0f010102070801010101010101090a08010101010101010101010101010101010101010101010101010101010101010104050c0207080101010101010101010b0e0f01010101010101090a060101010207080101010101010101010101090a06010101010101010d000801010101010101010101010101020706010101010101010b0e0f01010101010d00000c0d00000e0f0104050000131404050000060b080207000006010101010100000101010b0e0f0101010101010101010101010101010101010101010101010101010101021718070801010101090a0801010101010101010b0e0f010104051314010b0e0f010104051314010b0e0f01010405131401010b0e0f010104051314010b0e0f0101040513140101010101010101010101010101010101010b0e0f010104051314010101010101090a0801010101010101010101010101010101010101010101010101010101011213140101010101010d00080101010101010101011210110101010101010101020706010101121314010101010101090a080101010101010101010101010101010101010101010101010101010101010101010217180708010101010101010101020706010101010101010112131401010112131401010101010101010101011213140101010101010d000801010101010101010101010101090a10110101010101010207060101010101010101010101010101010101010101010101010101021911010101010101010101ffff0101010d000c0101010101010101010101010101010101010101010101010101010101010b150a0801010101090a0801010101010101010207080101090a1011010207080101090a1011010207080101090a101101010207080101090a1011010207080101090a10110101010101010101010101010101010101010207080101090a1011010101010101090a08010101010101010101010101010101010101010101010101120c0101010207080101010d0e0f0d000801010101010101010102160f0101010b06010101020706010101040506010101010101090a08010101010101010101010101010101010101010101010101010101010101010101010b150a08010101010b06010101020706010101120c010101020708010101040506010101010101120c0101010207080101010d0e0f0d000801010101010101010b0601010102071011010b0601010102070601010101010101010101010101010101010101010101010101010112000c0101010101010101ffff0101010d00060101010101010101010101010101010101010101010101010101010101010405000801010101090a080101010101010101011213140112000c0101011213140112000c0101011213140112000c010101011213140112000c0101011213140112000c01010101010101010101010101010101010101011213140112000c01010101010101090a080101010101010101010101010101010101010101010101010b060101010405101101010104050000080101010101010101010112060101010b000c01011200080101010104050e0f01010101090a080101010101010101010101010101010101010101010101010101010101010101010104050008010101010b000c01011200080101010b060101010405101101010104050e0f010101010b0601010104051011010101040500000801010101010101010b000c010112000801010b000c01011200080101010101010101010101010101010101010101010101010101010112000000000c01010101ffff0101020700000601010101010101010101010101010101010101010101010101010101010102070801010101090a00000000000601010101010b0000000c01010101010b0000000c01010101010b0000000c0101010101010b0000000c01010101010b0000000c010101010101010101010101010101010101010101010b0000000c0101010101010101090a000000000006010101010101010101010101010101010101010b000000000000000c0101010101090a08010101010101010101010d0e0f010101020700000008010101010101010207000c0101090a0000000000060101010101010101010101010101010101010101010101010101010101010207080101010101020700000008010101010b000000000000000c01010101010207000c01010b000000000000000c0101010101090a08010101010101010101090a00000008010101010207000000080101010101010101010101010101010101010101010101010101010101010101010b1011010101ffff0101010101010101010101010101010101010101010101010101010101010101010101010101010101010101010101010101020301010101010101010101010101010101010101010101010101010101010101010101010101010101010101010101010101010101010101010101010101010101010101010101010101010101010101010101010101010101010101010203010101010101010101010101010101010101010101010101010101010101010101010101010101010101010101010405060101010101010101010101010101010101010101010101010101010102030101010101010101010101010101010101010101010101010101010101010101010101010101010101010101010101010101010101010101010101010101010101010101010101010101010101010101010101010101010101010101010101010101010101010101010101010101010101010101010101010101010101010101010101010101010101010101010101010101010101ffff0101010101010101010101010101010101010101010101010101010101010101010101010101010101010101010101010101010101010101010101010101010101010101010101010101010101010101010101010101010101010101010101010101010101010101010101010101010101010101010101010101010101010101010101010101010101010101010101010101010101010101010101010101010101010101010101010101010101010101010101010101010101010101010101010101010101010101010101010101010101010101010101010101010101010101010101010101010101010101010101010101010101010101010101010101010101010101010101010101010101010101010101010101010101010101010101010101010101010101010101010101010101010101010101010101010101010101010101010101010101010101010101010101010101010101010101010101010101010101010101010101010101010101010101010101ffff0101010101010101010101010101010101010101010101010101010101010101010101010101010101010101010101010101010101010101010101010101010101010101010101010101010101010101010101010101010101010101010101010101010101010101010101010101010101010101010101010101010101010101010101010101010101010101010101010101010101010101010101010101010101010101010101010101010101010101010101010101010101010101010101010101010101010101010101010101010101010101010101010101010101010101010101010101010101010101010101010101010101010101010101010101010101010101010101010101010101010101010101010101010101010101010101010101010101010101010101010101010101010101010101010101010101010101010101010101010101010101010101010101010101010101010101010101010101010101010101010101010101010101010101010101ffff0101010101010101010101010101010101010101010101010101010101010101010101010101010101010101010101010101010101010101010101010101010101010101010101010101010101010101010101010101010101010101010101010101010101010101010101010101010101010101010101010101010101010101010101010101010101010101010101010101010101010101010101010101010101010101010101010101010101010101010101010101010101010101010101010101010101010101010101010101010101010101010101010101010101010101010101010101010101010101010101010101010101010101010101010101010101010101010101010101010101010101010101010101010101010101010101010101010101010101010101010101010101010101010101010101010101010101010101010101010101010101010101010101010101010101010101010101010101010101010101010101010101010101010101010101ffff010101010101010101010101010101010101010101010101010101010101010101010101010101010101010101010101010101010101010101010101010101010101010101010101010101010101010101010101010101010101010101010101010101010101010101010101010101010101010101010101010101010101010101010101010101010101010101010101010101010101010101010101010101010101010101010101010101010101010101010101010101010101010101010101010101010101010101010101010101010101010101010101010101010101010101010101010101010101010101010101010101010101010101010101010101010101010101010101010101010101010101010101010101010101010101010101010101010101010101010101010101010101010101010101010101010101010101010101010101010101010101010101010101010101010101010101010101010101010101010101010101010101010101010101010101184c0000006400000000000000000000007501000018000000000000000000000076010000190000002900aa0000000000000000000000803f00000000000000000000803f0000000000000000000000000000000000000000000000000000000000000000220000000c000000ffffffff460000001c00000010000000454d462b024000000c000000000000000e000000140000000000000010000000140000000400000003010800050000000b0200000000050000000c0219007601030000001e0004000000070104000400000007010400c9120000410b2000cc00190076010000000019007601000000002800000076010000190000000100080000000000000000000000000000000000260000000000000000000000ffffff009cdfff00bf744800dfffff0000489c00bf74000000004800df9c4800bfffff0000007400489cdf00ffbf740074bfff0048000000ffdf9c009c480000ffffdf000074bf0074000000ffffbf007474000048004800740048009cdfbf009c484800480074004848480074489c00dfdf9c009c9c7400dfdfdf00dfdfff009c48740000484800dfffbf009c74000048489c000101010101010101010101010101010101010101010101010101010101010101010101010101010101010101010101010101010101010101010101010101010101010101010101010101010101010101010101010101010101010101010101010101010101010101010101010101010101010101010101010101010101010101010101010101010101010101010101010101010101010101010101010101010101010101010101010101010101010101010101010101010101010101010101010101010101010101010101010101010101010101010101010101010101010101010101010101010101010101010101010101010101010101010101010101010101010101010101010101010101010101010101010101010101010101010101010101010101010101010101010101010101010101010101010101010101010101010101010101010101010101010101010101010101010101010101010101010101010101010101010101010101010101010101010101ffff0101010101010101010101010101010101010101010101010101010101010101010101010101010101010101010101010101010101010101010101010101010101010101010101010101010101010101010101010101010101010101010101010101010101010101010101010101010101010101010101010101010101010101010101010101010101010101010101010101010101010101010101010101010101010101010101010101010101010101010101010101010101010101010101010101010101010101010101010101010101010101010101010101010101010101010101010101010101010101010101010101010101010101010101010101010101010101010101010101010101010101010101010101010101010101010101010101010101010101010101010101010101010101010101010101010101010101010101010101010101010101010101010101010101010101010101010101010101010101010101010101010101010101010101010101ffff0101010101010101010101010101010101010101010101010101010101010101010101010101010101010101010101010101010101010101010101010101010101010101010101010101010101010101010101010101010101010101010101010101010101010101010101010101010101010101010101010101010101010101010101010101010101010101010101010101010101010101010101010101010101010101010101010101010101010101010101010101010101010101010101010101010101010101010101010101010101010101010101010101010101010101010101010101010101010101010101010101010101010101010101010101010101010101010101010101010101010101010101010101010101010101010101010101010101010101010101010101010101010101010101010101010101010101010101010101010101010101010101010101010101010101010101010101010101010101010101010101010101010101010101010101ffff0101010101010101010101010101010101010101010101010101010101010101010101010101010101010101010101010101010101010101010101010101010101010101010101010101010101010101010101010101010101010101010101010101010101010101010101010101010101010101010101010101010101010101010101010101010101010101010101010101010101010101010101010101010101010101010101010101010101010101010101010101010101010101010101010101010101010101010101010101010101010101010101010101010101010101010101010101010101010101010101010101010101010101010101010101010101010101010101010101010101010101010101010101010101010101010101010101010101010101010101010101010101010101010101010101010101010101010101010101010101010101010101010101010101020700000801010101010405001314010101010101010101010101010101010101ffff01010101010101010101010101010101010101010101010101010101010101010101010101010101010101010101010101010101010101010101010101010101010101010101010101010101010101010101010101010101010101010101010101010101010101010101010101010101010101010101010101010101010101010101010101120c010101010101010101010101010101010101010101010101010101010101010101010101010101010101010101010101010102070c0101010101010101010101010101010101010101010101010101010101010101010101010101010101010101010101010101010101010101010101010101010101010101010101010101010101010101010101010101010101010101010101010101010101010101010101010101010101010101010101010101010101120c0101010101010101010101010101010101010101010101010101010d00080101010101010405081210110101010101010101010101010101010101ffff01010101010101010101010101010101010101010101010101010101010101010101010101010101010101010101010101010101010101010101010101010101010101010101010101010101010101010101010101010101010101010101010101010101010101010101010101010101010101010101010101010101010101010101010101090a0c01010101010101010101010101010101010101010101010101010101010101010101010101010101010101010101010101010b101101010101010101010101010101010101010101010101010101010101010101010101010101010101010101010101010101010101010101010101010101010101010101010101010101010101010101010101010101010101010101010101010101010101010101010101010101010101010101010101010101010101090a0c010101010101010101010101010101010101010101010101010102070801010101010104250f0405080101010101010101010101010101010101ffff01010101010101010101010101010101010101010101010101010101010101010101010101010101010101010101010101010101010101010101010101010101010101010101010101010101010101010101010101010101010101010101010101010101010101010101010101010101010101010101010101010101010101010101010101011210110101010101010101010101010101010101010101010101010101010101010101010101010101010101010101010101010102070c0101010101010101010101010101010101010101010101010101010101010101010101010101010101010101010101010101010101010101010101010101010101010101010101010101010101010101010101010101010101010101010101010101010101010101010101010101010101010101010101010101010101121011010101010101010101010101010101010101010101010101010207080101010101010101010102191101010101010101010101010101010101ffff0b0000000c010101010101010101010101010101010101010101010101010101010101010207000008010101090a0000000e0f010101010104050000131401010101040500001314010101010405000013140101010101040500001314010101010405000013140101010101010101010101010101010101010101010405000013140101010112131401090a0000000e0f0101010101010101010101010101010101010101010d000c0101010101010104050000000000131401011210110101010101010104050000000e0f01010101040500000006010101090a0000000e0f010101010101010101010101010101010101010101010101010101010101020700000801010104050000000e0f01010101010d000c01010101010101040500000006010101010d000c0101010101010104050000000000131401121314010b00000000000010110104050000000e0f010101010101010207000000001011010101010102070c0101010101090a0000000c0101090a13ffff010b000801010101010101010101010101010101010101010101010101010101010101010102070801010101120e0f010112000c01010104050e0f010b0e0f010104050e0f010b0e0f010104050e0f010b0e0f01010104050e0f010b0e0f010104050e0f010b0e0f0101010101010101010101010101010101010104050e0f010b0e0f01010112131401120e0f010112000c0101010101010101010101010101010101010101090a06010101010101010101010d0008010101010102160f01010101010101120e0f01010b000c0101090a1314010207101101120e0f010112000c01010101010101010101010101010101010101010101010101010101010102070801010101120e0f01010b000c01010101090a06010101010101090a131401020710110101090a06010101010101010101010d00080101010112131401090a0c01010102171401120e0f01010b000c0101010101010207131401090a1011010101010b001011010101090a1314010d000801090a13ffff01020708010101010101010101010101010101010101010101010101010101010101010101020708010101011208010101090a101101010d00080101090a0601010d00080101090a0601010d00080101090a060101010d00080101090a0601010d00080101090a06010101010101010101010101010101010101010d00080101090a06010101010101011208010101090a101101010101010101010101010101010101010101010b0e0f0101010101010101010d00080101010101040506010101010101011208010101090a1011010b000c0101010b000c011208010101090a10110101010101010101010101010101010101010101010101010101010101020708010101011208010101090a1011010101010b0e0f01010101010b000c0101010b000c0101010b0e0f0101010101010101010d00080101010101010101010d13140101041c14011208010101090a101101010101010207080101010d000c010101040524050c0101010d000c010101121314010101ffff01090a060101010101010101010112000000000000000000001011010101010101010101010207080101010101010101010112131401010b0e0f010101121314010b0e0f010101121314010b0e0f01010112131401010b0e0f010101121314010b0e0f01010112131401010101010101091a0f01010101010101010b0e0f010101121314010101010101010101010101121314010101010101091a0f01010101010101010101010207080101010101010101010d00080101010101010d0e0f01010101010101010101010405131401121314010101020708010101010101011213140101010101011200000000000000000000101101010101010101010101020708010101010101010101040513140101010102070801010101011213140101010207080101010207080101010101010101010d000801010101010101010101121011010101010101010101010405131401010101010207080101010207080101010d000c0d060101011213140101010b000c010101ffff01011213140101010101010101010101010101010101010101010101010101010d0000000000000000101101010101010101120e0f01011213140101010b0e0f011213140101010b0e0f011213140101010b0e0f01011213140101010b0e0f011213140101010b0e0f01010101011206041c2305101101010101011213140101010b0e0f010101010101010101010101120e0f010101011206041c2305101101010101010101010112131401010101010101010d00080101010101010405080101010101010101010101090a10110405131401010102070801010101010101120e0f0101010101010101010101010101010101010101010101010d00000000000000001011010101010101090a10110101010101121314010101040513140101010207080101010112131401010101010101010d00080101010101010101010104050601010101010101010101090a10110101010101020708010101020706010101121314091a0f01040513140101010d000c010101ffff01010b0e0f01010101010101010101010101010101010101010101010101010104050801010207080921110101010101010405131401040513140101010b000c040513140101010b000c040513140101010b000c01040513140101010b000c040513140101010b000c0101010101010d0e220e0f010101010101040513140101010b000c01010101010101010101010405131401010101010d0e220e0f01010101010101010101010d000c01010101010101010d0008010101010101010b13140101010101010101010405000c01040513140101010d000801010101010104051314010101010101010101010101010101010101010101010101040508010102070809211101010101010405000c0101010101010d000c010101040513140101010d0008010101010d000c01010101010101010d00080101010101010101010101090a0801010101010101010405000c0101010101010207080101010207080101090a0801010b0601040513140101010b000c010101ffff01010207080101010101010101011200000000000000000000101101010101010102160f010207080101010104050601010b00080101040513140101010b000c040513140101010b000c040513140101010b000c01040513140101010b000c040513140101010b000c01010101011f0d00000008201101010101040513140101010b000c01010101010104050601010b000801010101011f0d00000008201101010101010101010104051011010101010101010d000801010101010101090a08010101010101040500000e0f01010112000e0f01090a13140104050601010b0008010101010101011200000000000000000000101101010101010102160f010207080101010101040500000e0f010101010101010405101101010112000e0f01090a13140101010104051011010101010101010d000801010101010101010101010102070c01010101040500000e0f010101010101010207080101010d000c01010b0e0f010102160f04050e0f010101120e0f010101ffff0101090a0601010101010101010101010101010101010101010101010101010101010b101102070801010101090a1b00000008010101040513140101010b000c040513140101010b000c040513140101010b000c01040513140101010b000c040513140101010b000c01010101010b06041c140b060101010101040513140101010b000c010101010101090a1b000000080101010101010b06041c140b0601010101010101010101010b0e0f010101010101010d000801010101010101010b10110101010101010101120e0f0101010b0e1d0500000e0f0101090a1b00000008010101010101010101010101010101010101010101010101010101010b10110207080101010101010101120e0f01010101010101010b0e0f0101010b0e1d0500000e0f0101010101010b0e0f010101010101010d0008010101010101010101010101010b0e0f010101010101120e0f010101010101010207000601090a13140104051314010104050601121e1911010d000601010101ffff0101040510110101010101010101010101010101010101010101010101010101010104050c02070801010101090a080101010101010101121314010101120e0f01121314010101120e0f01121314010101120e0f0101121314010101120e0f01121314010101120e0f01010101010101091a0f0101010101010101121314010101120e0f010101010101090a08010101010101010101010101091a0f01010101010101010101010101090a06010101010101010d0008010101010101010102070c0101010101010101010b0e0f010102070801010101010101090a08010101010101010101010101010101010101010101010101010101010101010104050c0207080101010101010101010b0e0f01010101010101090a060101010207080101010101010101010101090a06010101010101010d000801010101010101010101010101020706010101010101010b0e0f01010101010d00000c0d00000e0f0104050000131404050000060b080207000006010101010100000101010b0e0f0101010101010101010101010101010101010101010101010101010101021718070801010101090a0801010101010101010b0e0f010104051314010b0e0f010104051314010b0e0f01010405131401010b0e0f010104051314010b0e0f0101040513140101010101010101010101010101010101010b0e0f010104051314010101010101090a0801010101010101010101010101010101010101010101010101010101011213140101010101010d00080101010101010101011210110101010101010101020706010101121314010101010101090a080101010101010101010101010101010101010101010101010101010101010101010217180708010101010101010101020706010101010101010112131401010112131401010101010101010101011213140101010101010d000801010101010101010101010101090a10110101010101010207060101010101010101010101010101010101010101010101010101021911010101010101010101ffff0101010d000c0101010101010101010101010101010101010101010101010101010101010b150a0801010101090a0801010101010101010207080101090a1011010207080101090a1011010207080101090a101101010207080101090a1011010207080101090a10110101010101010101010101010101010101010207080101090a1011010101010101090a08010101010101010101010101010101010101010101010101120c0101010207080101010d0e0f0d000801010101010101010102160f0101010b06010101020706010101040506010101010101090a08010101010101010101010101010101010101010101010101010101010101010101010b150a08010101010b06010101020706010101120c010101020708010101040506010101010101120c0101010207080101010d0e0f0d000801010101010101010b0601010102071011010b0601010102070601010101010101010101010101010101010101010101010101010112000c0101010101010101ffff0101010d00060101010101010101010101010101010101010101010101010101010101010405000801010101090a080101010101010101011213140112000c0101011213140112000c0101011213140112000c010101011213140112000c0101011213140112000c01010101010101010101010101010101010101011213140112000c01010101010101090a080101010101010101010101010101010101010101010101010b060101010405101101010104050000080101010101010101010112060101010b000c01011200080101010104050e0f01010101090a080101010101010101010101010101010101010101010101010101010101010101010104050008010101010b000c01011200080101010b060101010405101101010104050e0f010101010b0601010104051011010101040500000801010101010101010b000c010112000801010b000c01011200080101010101010101010101010101010101010101010101010101010112000000000c01010101ffff0101020700000601010101010101010101010101010101010101010101010101010101010102070801010101090a00000000000601010101010b0000000c01010101010b0000000c01010101010b0000000c0101010101010b0000000c01010101010b0000000c010101010101010101010101010101010101010101010b0000000c0101010101010101090a000000000006010101010101010101010101010101010101010b000000000000000c0101010101090a08010101010101010101010d0e0f010101020700000008010101010101010207000c0101090a0000000000060101010101010101010101010101010101010101010101010101010101010207080101010101020700000008010101010b000000000000000c01010101010207000c01010b000000000000000c0101010101090a08010101010101010101090a00000008010101010207000000080101010101010101010101010101010101010101010101010101010101010101010b1011010101ffff0101010101010101010101010101010101010101010101010101010101010101010101010101010101010101010101010101020301010101010101010101010101010101010101010101010101010101010101010101010101010101010101010101010101010101010101010101010101010101010101010101010101010101010101010101010101010101010101010203010101010101010101010101010101010101010101010101010101010101010101010101010101010101010101010405060101010101010101010101010101010101010101010101010101010102030101010101010101010101010101010101010101010101010101010101010101010101010101010101010101010101010101010101010101010101010101010101010101010101010101010101010101010101010101010101010101010101010101010101010101010101010101010101010101010101010101010101010101010101010101010101010101010101010101010101ffff0101010101010101010101010101010101010101010101010101010101010101010101010101010101010101010101010101010101010101010101010101010101010101010101010101010101010101010101010101010101010101010101010101010101010101010101010101010101010101010101010101010101010101010101010101010101010101010101010101010101010101010101010101010101010101010101010101010101010101010101010101010101010101010101010101010101010101010101010101010101010101010101010101010101010101010101010101010101010101010101010101010101010101010101010101010101010101010101010101010101010101010101010101010101010101010101010101010101010101010101010101010101010101010101010101010101010101010101010101010101010101010101010101010101010101010101010101010101010101010101010101010101010101010101010101ffff0101010101010101010101010101010101010101010101010101010101010101010101010101010101010101010101010101010101010101010101010101010101010101010101010101010101010101010101010101010101010101010101010101010101010101010101010101010101010101010101010101010101010101010101010101010101010101010101010101010101010101010101010101010101010101010101010101010101010101010101010101010101010101010101010101010101010101010101010101010101010101010101010101010101010101010101010101010101010101010101010101010101010101010101010101010101010101010101010101010101010101010101010101010101010101010101010101010101010101010101010101010101010101010101010101010101010101010101010101010101010101010101010101010101010101010101010101010101010101010101010101010101010101010101010101ffff0101010101010101010101010101010101010101010101010101010101010101010101010101010101010101010101010101010101010101010101010101010101010101010101010101010101010101010101010101010101010101010101010101010101010101010101010101010101010101010101010101010101010101010101010101010101010101010101010101010101010101010101010101010101010101010101010101010101010101010101010101010101010101010101010101010101010101010101010101010101010101010101010101010101010101010101010101010101010101010101010101010101010101010101010101010101010101010101010101010101010101010101010101010101010101010101010101010101010101010101010101010101010101010101010101010101010101010101010101010101010101010101010101010101010101010101010101010101010101010101010101010101010101010101010101ffff010101010101010101010101010101010101010101010101010101010101010101010101010101010101010101010101010101010101010101010101010101010101010101010101010101010101010101010101010101010101010101010101010101010101010101010101010101010101010101010101010101010101010101010101010101010101010101010101010101010101010101010101010101010101010101010101010101010101010101010101010101010101010101010101010101010101010101010101010101010101010101010101010101010101010101010101010101010101010101010101010101010101010101010101010101010101010101010101010101010101010101010101010101010101010101010101010101010101010101010101010101010101010101010101010101010101010101010101010101010101010101010101010101010101010101010101010101010101010101010101010101010101010101010101010101180c00000040092900aa000000000000001900760100000000040000002701ffff030000000000>
3.1.2 К = 360, t = 71, >010009000003cc29000000003312000000001610000026060f002220574d46430100000000000100f58e000000000200000000200000700e0000702e0000010000006c000000000000000000000068010000180000000000000000000000cb3100007003000020454d4600000100702e00000c000000010000000000000000000000000000000005000000040000c401000069010000000000000000000000000000e3e306001c830500460000002c00000020000000454d462b014001001c000000100000000210c0db010000006000000060000000460000007008000064080000454d462b224004000c000000000000001e4009000c00000000000000244001000c000000000000003040020010000000040000000000803f214007000c0000000000000008400005bc070000b00700000210c0db01000000000000000000000000000000000000000100000089504e470d0a1a0a0000000d49484452000001690000001908020000007c4c486c000000017352474200aece1ce9000000097048597300000ec400000ec401952b0e1b0000073849444154785eed5bcf4e233d0c9f7e4f32682f1cfa10202e455c79037a415c5bf10c885e57bdc01b7045db0b6a1f82c35e56f44dfad9c92493ff8e6746d32232d24aec8cedd83f3b4ee2b893c3e15095a720501028083011f88f495fc80b0205818200225072478983824041a00b0225777441adf014040a02df2d77ec5faf97bbe2b6000205999f1016a7e465953b40a7897a8e32398502d7af7b3b00764bad95fce36cbef14224ad3b69591f765238379eb3056621933fba39ae097928167068cf53ce5028afa5b1a5a77815a5336e362cf916f329c3216ac88911c4cda760cff2f2f8e048ef5670cfd23cdb05c2b0d8b66fc6fbebeb658683cf5ebeec315127efa54522b46e94f62d487f05417dd849e15cfc3802696458a3a3032cd70b8fb8d0376e0a792aea37c9a3654b1f857c2a09035f38b0b08c6611c742540b0913a4cda760a7bd3c1a38d271fa0187bab9e328a94320b808a5090a3b37c285813afcd25fc1e97dd849e1acc8249571a551c83047077144ead003da1807c7411225ce9d1ece646af8c5db60f00d8e331319491e0f51c380500ca7cda760a7bc3c1638c17d455befd8fffb8469775ef3f7723d39f6aff7f3e9f6e11c86e73efb8fb74d35bbbdd24ad7e710829bbff2e493fe4a12f4143eac2d5c695cfa8be7c3f345cbb4fb0d67c3c5e39d110d4071f863be880eb17f7d5a558b9b465c7df7c7121d62db2de12cbad89a1a2832d2895c4bbbd093211a27489b4fc39e54772470c0a19f782270fca37387a746178c3bf048d4435193216cff17aa1fd35f6d84d7bfa6c0f6f94f248ff45792a0a7704f7d38bb264ffa495b32c0489310a3dbccbbf715ec02d4ec678e2d2229ca2ce3ece5c1485422d7d8afda21492732b5eb404e8628496098e39b6f646c2eecb9e0a8b2095691da128a8c46bf5a62bc116527705905ebb347d8e60e37743b80cc6741d42b2b900232deee75f5ce9e7c62ab643fc6c623fd1531e9c14e0a37c2050a4be803500dd31cba20508164086c454791e18e6e81989ccba48f3139c41201c4ed19f8fbcbdabfa855ab32caf5dacf9d602175e41090214a12e8d182e6ebaf51d83bc6bf61246c6fc4e966753999bcdf8853169c4236f3330844d818e963a45cc2d51b38428a1790a1a6d5c7f57db596e733600541cb9dbe67e19d58bcfaaf731d4217e2514989fa3ab111c654b0993eea3327984b55f83971310eedd5fa70f32eae88d077e882871a337eaf271b19f6e8fd76a078da314f91d2c866cdba84ed8cf788c5131c6bc6a60ceb5ecf48214ac73061be3232087bb697f3a0c24a60b3c5bf78c61ac6ea1d51aeaf6e21b134bb75e12e33ff63fa5ecddf6ef53c6d589f9adcc18d173cfca61ffa681c437db76cd3039e16f531abbe5b43f2dccc7ff78caa3c9c07a3aaeb5ac89acdc43d025667d4ab1e63e422c31e3d50ea60a889a71d3f75e05266e67f73e3257716b0c6e98851b1e95ed833d400d251423427867172c6cd57468561cff5320f1a492db6e83261d4778fb00d79fbc0bf9bd46117bbecca8064dda8dc31fe89458005eb4bb363118d1be2bfc1c5a931d72c6780c9e2bffe232bbee9af24414fe1ad56b800e246717d8b33645dc1092cb07722b54d878755e83149f34637b4e59eb92dbd3075b8516711c06410ebdd53323188d894019e74719729c3e02143942470078b9a9f576172bc3c0038ea5ee1e206cf30725506ab883a821c58e68e3ccd0d2006d8103aeb8279db44ec59dae2a8913a1be5ccea51fa2b06669b79d9eca4708d161a8a1b45500db2bc58494206e60b8c47bf59366ea8324757f6a7ca96e4acb32f5862e4d65d583c3ba8e491f45142a53142b44b0c3be60b0b7815a6dcf827fd0504fa621593873cc24032b0d27f204335552875794db460514794dedf43bd48b042d9ad425e6b81fbc2ec94691abf0c09f65759f5b1ba9138ec69de0e787004d2c87450c0ef7789366fc49bbbbc1e0d5255bfe1c37ac381a593d1d94cc1763993bb5b0cc76127a1230238ad9b3b1b648bcd8bdb24a8a689e958c98abd61d186be6c5407208ce06e4eed50838aa5bb2723fdd5359dc94e0ae7a24208f43a08dbac186cdde10e6f37d9c6b963bd61913e26873cd41a66abef86e3e038f381d1b59a749773460c47cd0ff5c539d0f1e3dfb0540eecf4f7da2b734312ebecd5bc4aadaa6110fb9ba33495ea8d8fdc6205361aedde2bd89e9eb680b4af0f3b299c1ba62981814d11810c73746f5b66f39bbae981db9089a40e9da0350be9443f1007c799898c6d44f84712868ec129a9ec0ffeee2236f564bac8872e3e837deff966c89dc736bedb548a489a09fccb3917159aa3230007f84b68efa32fb08ea2296a57350d014751a00c9a44006ec9fdd61a870368e0a23c3bc0bedb6ff07f6e84905718c78426af4a7a4c0dcbd811042061a80653e8b6327edf412256720709d14910ec96a7bcaaa7dbd04f02c09fae84b8808c3cd8d9813f294af7697acce5ccf2d3836a00fb4ffb34358081df5d8438b0c8dc01550efb50a2bfa916f46c634beec886aa1016040a020602e5cc52c2a1205010e88240c91d5d502b3c058182c0ff42e8573f325153100000000049454e44ae426082000840010824000000180000000210c0db01000000030000000000000000000000000000001b40000040000000340000000100000002000000000000bf000000bf0080b4430000c84103000000000000b3000000b3ff7fb443000000b3000000b3ffffc7412100000008000000620000000c00000001000000150000000c00000004000000150000000c00000004000000510000009c2400000000000000000000680100001800000000000000000000000000000000000000690100001900000050000000c0000000100100008c230000000000002000cc0069010000190000002800000069010000190000000100080000000000000000000000000000000000260000000000000000000000ffffff009cdfff00bf74480000004800bf740000df9c4800bfffff0000007400489cdf00ffbf7400dfffff0000489c009c48000074bfff000074bf0074000000ffffbf00ffffdf0048000000ffdf9c0074740000740048009cdfbf009c484800480074004848480074489c00dfdf9c009c9c740048004800dfdfdf00dfdfff009c48740000484800dfffbf009c74000048489c00010101010101010101010101010101010101010101010101010101010101010101010101010101010101010101010101010101010101010101010101010101010101010101010101010101010101010101010101010101010101010101010101010101010101010101010101010101010101010101010101010101010101010101010101010101010101010101010101010101010101010101010101010101010101010101010101010101010101010101010101010101010101010101010101010101010101010101010101010101010101010101010101010101010101010101010101010101010101010101010101010101010101010101010101010101010101010101010101010101010101010101010101010101010101010101010101010101010101010101010101010101010101010101010101010101010101010101010101010101010101010101010101010101010101010101010101010101010101010101010101010101010101010101010101010101010101010101010101010101010101010101010101010101010101010101010101010101010101010101010101010101010101010101010101010101010101010101010101010101010101010101010101010101010101010101010101010101010101010101010101010101010101010101010101010101010101010101010101010101010101010101010101010101010101010101010101010101010101010101010101010101010101010101010101010101010101010101010101010101010101010101010101010101010101010101010101010101010101010101010101010101010101010101010101010101010101010101010101010101010101010101010101010101010101010101010101010101010101010101010101010101010101010101010101010101010101010101010101010101010101010101010101010101010101010101010101010101010101010101010101010101010101010101010101010101010101010101010101010101010101010101010101010101010101010101010101010101010101010101010101010101010101010101010101010101010101010101010101010101010101010101010101010101010101010101010101010101010101010101010101010101010101010101010101010101010101010101010101010101010101010101010101010101010101010101010101010101010101010101010101010101010101010101010101010101010101010101010101010101010101010101010101010101010101010101010101010101010101010101010101010101010101010101010101010101010101010101010101010101010101010101010101010101010101010101010101010101010101010101010101010101010101010101010101010101010101010101010101010101010101010101010101010101010101010101010101010101010101010101010101010101010101010101010101010101010101010101010101010101010101010101010101010101010101010101010101010101010101010101010101010101010101010101010101010101010101010101010101010101010101010101010101010101010101010101010101010101010101010101010101010101010101010101010101010101010101010101010101010101010101010101010101010101010101010101010101010101010101010101010101010101010101010101010101010101010101010101010101010e1314010101010101010101010101010101010101010101010101010101010101010101010101010101010101010101010101010101010101010101010101010101010101010101010101010101010101010101010101010101010101010101010101010101010101010101010101010101010101010101010101010101010101010101010101010101010204000006010101010b0c0010110101010101010101010101010101010101010101010101010101010101010101010101010101010101010101010101010101010101010101010101010101010101010101010101010101010101010101010101010101010101010101010101010101010101010101010101010101010101010101010101010101010101010101010101010101010101010101010101010101010101010101010101010101010f0a01010101010101010101010101010101010101010101010101010101010101010101010101010101010101010101010101010b0c0501010101010101010101010101010101010101010101010101010101010101010101010101010101010101010101010101010101010101010101010101010101010101010101010101010101010101010101010101010101010101010101010101010101010101010101010101010101010101010101010101010101010101010101010101010101010e000601010101010b0c060f0d120101010101010101010101010101120c0101010101010101010101010101010101010101010101010101010101010101010101010101010101010101010101010101010101010101010101010101010101010101010101010101010101010101010101010101010101010101010101010101010101010101010101010101010101010101010101010101010101010101010101010101010101010101010107080a01010101010101010101010101010101010101010101010101010101010101010101010101010101010101010101010101010910110101010101010101010101010101010101010101010101010101010101010101010101010101010101010101010101010101010101010101010101010101010101010101010101010101010101010101010101010101010101010101010101010101010101010101010101010101010101010101010101010101010101010101010101010101010102040601010101010b25140b0c060101010101010101010101010101010101010101010101010101010101010101010101010101010101010101010101010101010101010101010101010101010101010101010101010101010101010101010101010101010101010101010101010101010101010101010101010101010101010101010101010101010101010101010101010101010101010101010101010101010101010101010101010101010f0d120101010101010101010101010101010101010101010101010101010101010101010101010101010101010101010101010107080a0101010101010101010101010101010101010101010101010101010101010101010101010101010101010101010101010101010101010101010101010101010101010101010101010101010101010101010101010101010101010101010101010101010101010101010101010101010101010101010101010101010101010101010101010101010102040601010101010101010102181201010101010101010101010101010101090000000a01010101010101010101010101010101010101010101010101010101010101010101010101010102040000060101010708000000131401010101010b0c00001011010101010b0c0000101101010101010b0c00001011010101010b0c00001011010101010b0c000010110101010101010101010101010101010101010101010b0c00001011010101010f101101070800000013140101010101010101010101010101010101010101010e000a010101010101010b0c0000000000101101010f0d1201010101010b0c000000131401010101010b0c00000005010101010b0c000010110101010101010101010101010101010101010101010101010101010101010101010101010101020400000601010101010102040000060101010b0c0000001314010101010e000a0101010101010708000000131401010101010b0c00001011010101010101010204000000000d120101010102040a01010101010107080000000a01010101010900060101010101010101010101010101010101010101010101010101010101010101010101010101010101020406010101010f131401010f000a0101010b0c13140109131401010b0c1314010913140101010b0c13140109131401010b0c13140109131401010b0c131401091314010101010101010101010101010101010101010b0c1314010913140101010f1011010f131401010f000a0101010101010101010101010101010101010101070805010101010101010101010e000601010101010e131401010101010f1314010109000a010101070810110102040d12010b0c13140109131401010101010101010101010101010101010101010101010101010101010101010101010101010204060101010101010101020406010101010f1314010109000a0101010708050101010101010f131401010f000a0101010b0c131401091314010101010101020410110107080d1201010109000d120101010107081011010e000601010b010204060101010101010101010101010101010101010101010101010101010101010101010101010101010101020406010101010f0601010107080d1201010e0006010107080501010e000601010708050101010e0006010107080501010e0006010107080501010e00060101070805010101010101010101010101010101010101010e00060101070805010101010101010f0601010107080d1201010101010101010101010101010101010101010913140101010101010101010e000601010101010b0c0501010101010f0601010107080d12010109000a01010109000a010e0006010107080501010101010101010101010101010101010101010101010101010101010101010101010101010204060101010101010101020406010101010f0601010107080d1201010109131401010101010f0601010107080d1201010e000601010708050101010101010204060101010e000a01010b0c240c0a010101010e000a0101010f100101020107080501010101010101010101010101010f000000000000000000000d120101010101010101010101010101020406010101010101010101010f101101010913140101010f1011010913140101010f101101010913140101010f1011010913140101010f1011010913140101010f10110101010101010107191401010101010101010913140101010f10110101010101010101010101010f101101010101010101071914010101010101010101010204060101010101010101010e00060101010101010910110101010101010101010b0c101101010f1011010101020406010913140101010f1011010101010101010101010f000000000000000000000d12010101010101010101010101010102040601010101010101010204060101010101010101010b0c101101010102040601010101010101010101010f101101010913140101010f1011010101010102040601010102040601010e000a0e05010101010f1011010101090000001001010f101101010101010101010101010101010101010101010101010101010101010101010101010e00000000000000000d12010101010101010f131401010f1011010101091314010f101101010109131401010f1011010101091314010f1011010101091314010f101101010109131401010101010f050b1b230c0d1201010101010f10110101010913140101010101010101010101010f131401010101010f050b1b230c0d1201010101010101010f101101010101010101010e000601010101010107080a01010101010101010107080d12010b0c1011010101020406010f101101010109131401010101010101010101010101010101010101010101010101010101010101010e00000000000000000d120e00000000000000000d1201010101010107080d12010101010f1011010101010101010101010f131401010f1011010101091314010101010102040601010102040501010f101107191401010b0c10110101010e00010101010109131401010101010101010101010101010101010101010101010101010101010101010101010b0c0601010204060721120101010101010b0c1011010b0c101101010109000a0b0c101101010109000a010b0c101101010109000a0b0c101101010109000a0b0c101101010109000a0101010101010e132213140101010101010b0c101101010109000a01010101010101010101010b0c10110101010101010e13221314010101010101010101010e000a01010101010101010e0006010101010101010f0d12010101010101010b0c000a01010b0c10110101010e00060b0c101101010109000a01010101010101010101010101010101010101010101010101010101010101010b0c0601010204060721120b0c06010102040607211201010101010b0c000a01010101010e000a0101010101010101010b0c1011010b0c101101010109000a0101010101020406010101020406010708060101090501010b0c101101010109000101010101020406010101010101010101010101010f000000000000000000000d1201010101010101010101021e1401020406010101010b0c05010109000601010b0c101101010109000a0b0c101101010109000a010b0c101101010109000a0b0c101101010109000a0b0c101101010109000a01010101011f0e000000062012010101010b0c101101010109000a0101010101010b0c0501010900060101010101011f0e00000006201201010101010101010b0c0d12010101010101010e0006010101010101010e1314010101010b0c00001314010101010f00131401070810110b0c101101010109000a010101010101010101010f000000000000000000000d1201010101010101010101021e140102040601010101021e140102040601010101010b0c000013140101010101010b0c0d120101010b0c05010109000601010b0c101101010109000a01010101010204060101010e000a010913140101021e14010b0c13140101010f13010112010107080501010101010101010101010101010101010101010101010101010101010101010101010101090d120204060101010107081a000000060101010b0c101101010109000a0b0c101101010109000a010b0c101101010109000a0b0c101101010109000a0b0c101101010109000a010101010109050b1b11090501010101010b0c101101010109000a01010101010107081a000000060101010101010109050b1b11090501010101010101010101091314010101010101010e0006010101010101010b0c06010101010101010f13140101010109131c0c00001314010b0c101101010109000a01010101010101010101010101010101010101010101010101010101010101010101090d120204060101010101090d1202040601010101010101010f13140101010101010109131401010107081a000000060101010b0c101101010109000a01010101010204000501070810110b0c101101010b0c0501010f1d1812010e000501010101010b0c0d120101010101010101010101010101010101010101010101010101010101010101010101010b0c0a0204060101010107080601010101010101010f10110101010f1314010f10110101010f131401010f10110101010f1314010f10110101010f1314014e07000026060f00920e574d4643010000000000010000000000000002000000700e000000000000702e00000f10110101010f13140101010101010107191401010101010101010f10110101010f131401010101010107080601010101010101010101010101071914010101010101010101010101070805010101010101010e0006010101010101010109101101010101010101091314010101020406010101010101010f10110101010f1314010101010101010101010101010101010101010101010101010101010101010101010b0c0a02040601010101010b0c0a02040601010101010101010109131401010101010107080501010107080601010101010101010f10110101010f1314010101010e00000a0e000013140b0c000010110b0c00000501090602040000050108010101010109131401010101010101010101010101010101010101010101010101010101010101010101010101021617040601010101070806010101010101010109131401010b0c10110109131401010b0c1011010109131401010b0c10110109131401010b0c10110109131401010b0c101101010101010101010101010101010101010109131401010b0c101101010101010107080601010101010101010101010101010101010101010101010101010101010f10110101010101010e0006010101010101010102040a01010101010101020405010101010f101101010101010109131401010b0c1011010101010101010101010101010101010101010101010101010101010101010101010102161704060101010101010216170406010101010101010101020405010101010101010f10110101070806010101010101010109131401010b0c10110101010101010101010101010101010101010101010101010102181201010101010112130101010e000a010101010101010101010101010101010101010101010101010101010101010101010101010109150806010101010708060101010101010101020406010107080d1201020406010107080d120101020406010107080d1201020406010107080d1201020406010107080d12010101010101010101010101010101010101020406010107080d120101010101010708060101010101010101010101010101010101010101010101010f0a0101010204060101010e13140e00060101010101010101010f0501010905010101020405010101010b0c05010101010101020406010107080d1201010101010101010101010101010101010101010101010101010101010101010101010109150806010101010101010915080601010101090501010102040501010f0a01010102040601010708060101010101010101020406010107080d1201010101010101010101010101010101010101010101010101010f000a010101010101010101010e000501010101010101010101010101010101010101010101010101010101010101010101010101010b0c0006010101010708060101010101010101010f1011010f000a0101010f1011010f000a010101010f1011010f000a0101010f1011010f000a0101010f1011010f000a01010101010101010101010101010101010101010f1011010f000a0101010101010107080601010101010101010101010101010101010101010101010109050101010b0c0d120101010b0c0000060101010101010101010e13140109000a01010f000601010101010b0c131401010101010f1011010f000a010101010101010101010101010101010101010101010101010101010101010101010101010b0c0006010101010101010b0c00060101010109000a01010f0006010109050101010b0c0d12010708060101010101010101010f1011010f000a010101010101010101010101010101010101010101010101010101010f000000000a0101010101020400000501010101010101010101010101010101010101010101010101010101010101010101010101010204060101010107080000000000050101010101090000000a0101010101090000000a010101010101090000000a0101010101090000000a0101010101090000000a01010101010101010101010101010101010101010101090000000a010101010101010107080000000000050101010101010101010101010101010101010109000000000000000a01010101010708060101010101010101010b0c06010102040000000601010101010101010204000a01010101090000000a0101010101010101010101010101010101010101010101010101010101010101010101010101010204060101010101010101020406010101010102040000000601010109000000000000000a0107080000000000050101010101090000000a010101010101010101010101010101010101010101010101010101010101010101090d01010101010101010101010101010101010101010101010101010101010101010101010101010101010101010101010101010101010101010101010101020301010101010101010101010101010101010101010101010101010101010101010101010101010101010101010101010101010101010101010101010101010101010101010101010101010101010101010101010101010101010101010203010101010101010101010101010101010101010101010101010101010101010101010101010101010101010101010101010101010101010101010101010101010101010101010101010101010101010101010101010101010101010101010101010101010101010101010101010101010101010101010101010101010101010101010101010101010101010101010101010101010101010101010101010101010203010101010101010101010101010101010101010101010101010101010101010101010101010101010101010101010101010101010101010101010101010101010101010101010101010101010101010101010101010101010101010101010101010101010101010101010101010101010101010101010101010101010101010101010101010101010101010101010101010101010101010101010101010101010101010101010101010101010101010101010101010101010101010101010101010101010101010101010101010101010101010101010101010101010101010101010101010101010101010101010101010101010101010101010101010101010101010101010101010101010101010101010101010101010101010101010101010101010101010101010101010101010101010101010101010101010101010101010101010101010101010101010101010101010101010101010101010101010101010101010101010101010101010101010101010101010101010101010101010101010101010101010101010101010101010101010101010101010101010101010101010101010101010101010101010101010101010101010101010101010101010101010101010101010101010101010101010101010101010101010101010101010101010101010101010101010101010101010101010101010101010101010101010101010101010101010101010101010101010101010101010101010101010101010101010101010101010101010101010101010101010101010101010101010101010101010101010101010101010101010101010101010101010101010101010101010101010101010101010101010101010101010101010101010101010101010101010101010101010101010101010101010101010101010101010101010101010101010101010101010101010101010101010101010101010101010101010101010101010101010101010101010101010101010101010101010101010101010101010101010101010101010101010101010101010101010101010101010101010101010101010101010101010101010101010101010101010101010101010101010101010101010101010101010101010101010101010101010101010101010101010101010101010101010101010101010101010101010101010101010101010101010101010101010101010101010101010101010101010101010101010101010101010101010101010101010101010101010101010101010101010101010101010101010101010101010101010101010101010101010101010101010101010101010101010101010101010101010101010101010101010101010101010101010101010101010101010101010101010101010101010101010101010101010101010101010101010101010101010101010101010101010101010101010101010101010101010101010101010101010101010101010101010101010101010101010101010101010101010101010101010101010101010101010101010101010101010101010101010101010101010101010101010101010101010101010101010101010101010101010101010101010101010101010101010101010101010101010101010101010101010101010101010101010101010101010101010101010101010101010101010101010101010101010101010101010101010101010101010101010101010101010101010101010101010101010101010101010101010101010101010101010101010101010101010101010101010101010101010101010101010101010101010101010101010101010101010101010101010101010101010101010101010101010101010101010101010101010101010101010101010101010101010101010101010101010101010101010101010101010101010101010101010101010101010101010101010101010101010101010101010101010101010101010101010101010101010101010101010101010101010101010101010101010101010101010101010101010101010101010101010101014c0000006400000000000000000000006801000018000000000000000000000069010000190000002900aa0000000000000000000000803f00000000000000000000803f0000000000000000000000000000000000000000000000000000000000000000220000000c000000ffffffff460000001c00000010000000454d462b024000000c000000000000000e000000140000000000000010000000140000000400000003010800050000000b0200000000050000000c0219006901030000001e000400000007010400040000000701040033120000410b2000cc00190069010000000019006901000000002800000069010000190000000100080000000000000000000000000000000000260000000000000000000000ffffff009cdfff00bf74480000004800bf740000df9c4800bfffff0000007400489cdf00ffbf7400dfffff0000489c009c48000074bfff000074bf0074000000ffffbf00ffffdf0048000000ffdf9c0074740000740048009cdfbf009c484800480074004848480074489c00dfdf9c009c9c740048004800dfdfdf00dfdfff009c48740000484800dfffbf009c74000048489c00010101010101010101010101010101010101010101010101010101010101010101010101010101010101010101010101010101010101010101010101010101010101010101010101010101010101010101010101010101010101010101010101010101010101010101010101010101010101010101010101010101010101010101010101010101010101010101010101010101010101010101010101010101010101010101010101010101010101010101010101010101010101010101010101010101010101010101010101010101010101010101010101010101010101010101010101010101010101010101010101010101010101010101010101010101010101010101010101010101010101010101010101010101010101010101010101010101010101010101010101010101010101010101010101010101010101010101010101010101010101010101010101010101010101010101010101010101010101010101010101010101010101010101010101010101010101010101010101010101010101010101010101010101010101010101010101010101010101010101010101010101010101010101010101010101010101010101010101010101010101010101010101010101010101010101010101010101010101010101010101010101010101010101010101010101010101010101010101010101010101010101010101010101010101010101010101010101010101010101010101010101010101010101010101010101010101010101010101010101010101010101010101010101010101010101010101010101010101010101010101010101010101010101010101010101010101010101010101010101010101010101010101010101010101010101010101010101010101010101010101010101010101010101010101010101010101010101010101010101010101010101010101010101010101010101010101010101010101010101010101010101010101010101010101010101010101010101010101010101010101010101010101010101010101010101010101010101010101010101010101010101010101010101010101010101010101010101010101010101010101010101010101010101010101010101010101010101010101010101010101010101010101010101010101010101010101010101010101010101010101010101010101010101010101010101010101010101010101010101010101010101010101010101010101010101010101010101010101010101010101010101010101010101010101010101010101010101010101010101010101010101010101010101010101010101010101010101010101010101010101010101010101010101010101010101010101010101010101010101010101010101010101010101010101010101010101010101010101010101010101010101010101010101010101010101010101010101010101010101010101010101010101010101010101010101010101010101010101010101010101010101010101010101010101010101010101010101010101010101010101010101010101010101010101010101010101010101010101010101010101010101010101010101010101010101010101010101010101010101010101010101010101010101010101010101010101010101010101010101010101010101010101010101010101010101010101010101010101010101010101010101010101010101010101010101010101010101010101010e1314010101010101010101010101010101010101010101010101010101010101010101010101010101010101010101010101010101010101010101010101010101010101010101010101010101010101010101010101010101010101010101010101010101010101010101010101010101010101010101010101010101010101010101010101010101010204000006010101010b0c0010110101010101010101010101010101010101010101010101010101010101010101010101010101010101010101010101010101010101010101010101010101010101010101010101010101010101010101010101010101010101010101010101010101010101010101010101010101010101010101010101010101010101010101010101010101010101010101010101010101010101010101010101010101010f0a01010101010101010101010101010101010101010101010101010101010101010101010101010101010101010101010101010b0c0501010101010101010101010101010101010101010101010101010101010101010101010101010101010101010101010101010101010101010101010101010101010101010101010101010101010101010101010101010101010101010101010101010101010101010101010101010101010101010101010101010101010101010101010101010101010e000601010101010b0c060f0d120101010101010101010101010101120c0101010101010101010101010101010101010101010101010101010101010101010101010101010101010101010101010101010101010101010101010101010101010101010101010101010101010101010101010101010101010101010101010101010101010101010101010101010101010101010101010101010101010101010101010101010101010101010107080a01010101010101010101010101010101010101010101010101010101010101010101010101010101010101010101010101010910110101010101010101010101010101010101010101010101010101010101010101010101010101010101010101010101010101010101010101010101010101010101010101010101010101010101010101010101010101010101010101010101010101010101010101010101010101010101010101010101010101010101010101010101010101010102040601010101010b25140b0c060101010101010101010101010101010101010101010101010101010101010101010101010101010101010101010101010101010101010101010101010101010101010101010101010101010101010101010101010101010101010101010101010101010101010101010101010101010101010101010101010101010101010101010101010101010101010101010101010101010101010101010101010101010f0d120101010101010101010101010101010101010101010101010101010101010101010101010101010101010101010101010107080a0101010101010101010101010101010101010101010101010101010101010101010101010101010101010101010101010101010101010101010101010101010101010101010101010101010101010101010101010101010101010101010101010101010101010101010101010101010101010101010101010101010101010101010101010101010102040601010101010101010102181201010101010101010101010101010101090000000a01010101010101010101010101010101010101010101010101010101010101010101010101010102040000060101010708000000131401010101010b0c00001011010101010b0c0000101101010101010b0c00001011010101010b0c00001011010101010b0c000010110101010101010101010101010101010101010101010b0c00001011010101010f101101070800000013140101010101010101010101010101010101010101010e000a010101010101010b0c0000000000101101010f0d1201010101010b0c000000131401010101010b0c00000005010101010b0c000010110101010101010101010101010101010101010101010101010101010101010101010101010101020400000601010101010102040000060101010b0c0000001314010101010e000a0101010101010708000000131401010101010b0c00001011010101010101010204000000000d120101010102040a01010101010107080000000a01010101010900060101010101010101010101010101010101010101010101010101010101010101010101010101010101020406010101010f131401010f000a0101010b0c13140109131401010b0c1314010913140101010b0c13140109131401010b0c13140109131401010b0c131401091314010101010101010101010101010101010101010b0c1314010913140101010f1011010f131401010f000a0101010101010101010101010101010101010101070805010101010101010101010e000601010101010e131401010101010f1314010109000a010101070810110102040d12010b0c13140109131401010101010101010101010101010101010101010101010101010101010101010101010101010204060101010101010101020406010101010f1314010109000a0101010708050101010101010f131401010f000a0101010b0c131401091314010101010101020410110107080d1201010109000d120101010107081011010e000601010b010204060101010101010101010101010101010101010101010101010101010101010101010101010101010101020406010101010f0601010107080d1201010e0006010107080501010e000601010708050101010e0006010107080501010e0006010107080501010e00060101070805010101010101010101010101010101010101010e00060101070805010101010101010f0601010107080d1201010101010101010101010101010101010101010913140101010101010101010e000601010101010b0c0501010101010f0601010107080d12010109000a01010109000a010e0006010107080501010101010101010101010101010101010101010101010101010101010101010101010101010204060101010101010101020406010101010f0601010107080d1201010109131401010101010f0601010107080d1201010e000601010708050101010101010204060101010e000a01010b0c240c0a010101010e000a0101010f100101020107080501010101010101010101010101010f000000000000000000000d120101010101010101010101010101020406010101010101010101010f101101010913140101010f1011010913140101010f101101010913140101010f1011010913140101010f1011010913140101010f10110101010101010107191401010101010101010913140101010f10110101010101010101010101010f101101010101010101071914010101010101010101010204060101010101010101010e00060101010101010910110101010101010101010b0c101101010f1011010101020406010913140101010f1011010101010101010101010f000000000000000000000d12010101010101010101010101010102040601010101010101010204060101010101010101010b0c101101010102040601010101010101010101010f101101010913140101010f1011010101010102040601010102040601010e000a0e05010101010f1011010101090000001001010f101101010101010101010101010101010101010101010101010101010101010101010101010e00000000000000000d12010101010101010f131401010f1011010101091314010f101101010109131401010f1011010101091314010f1011010101091314010f101101010109131401010101010f050b1b230c0d1201010101010f10110101010913140101010101010101010101010f131401010101010f050b1b230c0d1201010101010101010f101101010101010101010e000601010101010107080a01010101010101010107080d12010b0c1011010101020406010f101101010109131401010101010101010101010101010101010101010101010101010101010101010e00000000000000000d120e00000000000000000d1201010101010107080d12010101010f1011010101010101010101010f131401010f1011010101091314010101010102040601010102040501010f101107191401010b0c10110101010e00010101010109131401010101010101010101010101010101010101010101010101010101010101010101010b0c0601010204060721120101010101010b0c1011010b0c101101010109000a0b0c101101010109000a010b0c101101010109000a0b0c101101010109000a0b0c101101010109000a0101010101010e132213140101010101010b0c101101010109000a01010101010101010101010b0c10110101010101010e13221314010101010101010101010e000a01010101010101010e0006010101010101010f0d12010101010101010b0c000a01010b0c10110101010e00060b0c101101010109000a01010101010101010101010101010101010101010101010101010101010101010b0c0601010204060721120b0c06010102040607211201010101010b0c000a01010101010e000a0101010101010101010b0c1011010b0c101101010109000a0101010101020406010101020406010708060101090501010b0c101101010109000101010101020406010101010101010101010101010f000000000000000000000d1201010101010101010101021e1401020406010101010b0c05010109000601010b0c101101010109000a0b0c101101010109000a010b0c101101010109000a0b0c101101010109000a0b0c101101010109000a01010101011f0e000000062012010101010b0c101101010109000a0101010101010b0c0501010900060101010101011f0e00000006201201010101010101010b0c0d12010101010101010e0006010101010101010e1314010101010b0c00001314010101010f00131401070810110b0c101101010109000a010101010101010101010f000000000000000000000d1201010101010101010101021e140102040601010101021e140102040601010101010b0c000013140101010101010b0c0d120101010b0c05010109000601010b0c101101010109000a01010101010204060101010e000a010913140101021e14010b0c13140101010f13010112010107080501010101010101010101010101010101010101010101010101010101010101010101010101090d120204060101010107081a000000060101010b0c101101010109000a0b0c101101010109000a010b0c101101010109000a0b0c101101010109000a0b0c101101010109000a010101010109050b1b11090501010101010b0c101101010109000a01010101010107081a000000060101010101010109050b1b11090501010101010101010101091314010101010101010e0006010101010101010b0c06010101010101010f13140101010109131c0c00001314010b0c101101010109000a01010101010101010101010101010101010101010101010101010101010101010101090d120204060101010101090d1202040601010101010101010f13140101010101010109131401010107081a000000060101010b0c101101010109000a01010101010204000501070810110b0c101101010b0c0501010f1d1812010e000501010101010b0c0d120101010101010101010101010101010101010101010101010101010101010101010101010b0c0a0204060101010107080601010101010101010f10110101010f1314010f10110101010f131401010f10110101010f1314010f10110101010f1314010f10110101010f13140101010101010107191401010101010101010f10110101010f131401010101010107080601010101010101010101010101071914010101010101010101010101070805010101010101010e0006010101010101010109101101010101010101091314010101020406010101010101010f10110101010f1314010101010101010101010101010101010101010101010101010101010101010101010b0c0a02040601010101010b0c0a02040601010101010101010109131401010101010107080501010107080601010101010101010f10110101010f1314010101010e00000a0e000013140b0c000010110b0c00000501090602040000050108010101010109131401010101010101010101010101010101010101010101010101010101010101010101010101021617040601010101070806010101010101010109131401010b0c10110109131401010b0c1011010109131401010b0c10110109131401010b0c10110109131401010b0c101101010101010101010101010101010101010109131401010b0c101101010101010107080601010101010101010101010101010101010101010101010101010101010f10110101010101010e0006010101010101010102040a01010101010101020405010101010f101101010101010109131401010b0c1011010101010101010101010101010101010101010101010101010101010101010101010102161704060101010101010216170406010101010101010101020405010101010101010f10110101070806010101010101010109131401010b0c10110101010101010101010101010101010101010101010101010102181201010101010112130101010e000a010101010101010101010101010101010101010101010101010101010101010101010101010109150806010101010708060101010101010101020406010107080d1201020406010107080d120101020406010107080d1201020406010107080d1201020406010107080d12010101010101010101010101010101010101020406010107080d120101010101010708060101010101010101010101010101010101010101010101010f0a0101010204060101010e13140e00060101010101010101010f0501010905010101020405010101010b0c05010101010101020406010107080d1201010101010101010101010101010101010101010101010101010101010101010101010109150806010101010101010915080601010101090501010102040501010f0a01010102040601010708060101010101010101020406010107080d1201010101010101010101010101010101010101010101010101010f000a010101010101010101010e000501010101010101010101010101010101010101010101010101010101010101010101010101010b0c0006010101010708060101010101010101010f1011010f000a0101010f1011010f000a010101010f1011010f000a0101010f1011010f000a0101010f1011010f000a01010101010101010101010101010101010101010f1011010f000a0101010101010107080601010101010101010101010101010101010101010101010109050101010b0c0d120101010b0c0000060101010101010101010e13140109000a01010f000601010101010b0c131401010101010f1011010f000a010101010101010101010101010101010101010101010101010101010101010101010101010b0c0006010101010101010b0c00060101010109000a01010f0006010109050101010b0c0d12010708060101010101010101010f1011010f000a010101010101010101010101010101010101010101010101010101010f000000000a0101010101020400000501010101010101010101010101010101010101010101010101010101010101010101010101010204060101010107080000000000050101010101090000000a0101010101090000000a010101010101090000000a0101010101090000000a0101010101090000000a01010101010101010101010101010101010101010101090000000a010101010101010107080000000000050101010101010101010101010101010101010109000000000000000a01010101010708060101010101010101010b0c06010102040000000601010101010101010204000a01010101090000000a0101010101010101010101010101010101010101010101010101010101010101010101010101010204060101010101010101020406010101010102040000000601010109000000000000000a0107080000000000050101010101090000000a010101010101010101010101010101010101010101010101010101010101010101090d01010101010101010101010101010101010101010101010101010101010101010101010101010101010101010101010101010101010101010101010101020301010101010101010101010101010101010101010101010101010101010101010101010101010101010101010101010101010101010101010101010101010101010101010101010101010101010101010101010101010101010101010203010101010101010101010101010101010101010101010101010101010101010101010101010101010101010101010101010101010101010101010101010101010101010101010101010101010101010101010101010101010101010101010101010101010101010101010101010101010101010101010101010101010101010101010101010101010101010101010101010101010101010101010101010101010203010101010101010101010101010101010101010101010101010101010101010101010101010101010101010101010101010101010101010101010101010101010101010101010101010101010101010101010101010101010101010101010101010101010101010101010101010101010101010101010101010101010101010101010101010101010101010101010101010101010101010101010101010101010101010101010101010101010101010101010101010101010101010101010101010101010101010101010101010101010101010101010101010101010101010101010101010101010101010101010101010101010101010101010101010101010101010101010101010101010101010101010101010101010101010101010101010101010101010101010101010101010101010101010101010101010101010101010101010101010101010101010101010101010101010101010101010101010101010101010101010101010101010101010101010101010101010101010101010101010101010101010101010101010101010101010101010101010101010101010101010101010101010101010101010101010101010101010101010101010101010101010101010101010101010101010101010101010101010101010101010101010101010101010101010101010101010101010101010101010101010101010101010101010101010101010101010101010101010101010101010101010101010101010101010101010101010101010101010101010101010101010101010101010101010101010101010101010101010101010101010101010101010101010101010101010101010101010101010101010101010101010101010101010101010101010101010101010101010101010101010101010101010101010101010101010101010101010101010101010101010101010101010101010101010101010101010101010101010101010101010101010101010101010101010101010101010101010101010101010101010101010101010101010101010101010101010101010101010101010101010101010101010101010101010101010101010101010101010101010101010101010101010101010101010101010101010101010101010101010101010101010101010101010101010101010101010101010101010101010101010101010101010101010101010101010101010101010101010101010101010101010101010101010101010101010101010101010101010101010101010101010101010101010101010101010101010101010101010101010101010101010101010101010101010101010101010101010101010101010101010101010101010101010101010101010101010101010101010101010101010101010101010101010101010101010101010101010101010101010101010101010101010101010101010101010101010101010101010101010101010101010101010101010101010101010101010101010101010101010101010101010101010101010101010101010101010101010101010101010101010101010101010101010101010101010101010101010101010101010101010101010101010101010101010101010101010101010101010101010101010101010101010101010101010101010101010101010101010101010101010101010101010101010101010101010101010101010101010101010101010101010101010101010101010101010101010101010101010101010101010101010101010101010101010101010101010101010101010101010101010101010101010101010101010101010101010101010101010101010101010101010101010101010101010101010101010101010101010101010101010101010101010101010101010101010101010101010101010101010101010101010101010101010101010101010101010101010101010101010101010101010101010101010101010101010101010101010101010101010101010101010101010101010101010101010101010101010101010101010101010101010c00000040092900aa000000000000001900690100000000040000002701ffff030000000000>.
3.1.3 К = 360, t = 71, >0100090000031c2a000000006512000000001610000026060f002220574d464301000000000001007d5c000000000200000000200000ac0e0000ac2e0000010000006c00000000000000000000006c010000180000000000000000000000583200007003000020454d4600000100ac2e00000c000000010000000000000000000000000000000005000000040000c401000069010000000000000000000000000000e3e306001c830500460000002c00000020000000454d462b014001001c000000100000000210c0db01000000600000006000000046000000480800003c080000454d462b224004000c000000000000001e4009000c00000000000000244001000c000000000000003040020010000000040000000000803f214007000c000000000000000840000594070000880700000210c0db01000000000000000000000000000000000000000100000089504e470d0a1a0a0000000d494844520000016d00000019080200000075a7e816000000017352474200aece1ce9000000097048597300000ec400000ec401952b0e1b0000071149444154785eed5c3d52243b0ceed99334b509c11c028a048a941b404291ce1467d862d2ad49e006a4d44e42318720d8648bb9092bd96eb7fcd396dd9ea261571db1d3926c7dfa5ab665bd377b7f7f6fe41104040141a002816f15baa22a0808028200222079447820080802b508481ea94550f4050141e0abe591ddc3d9722b618b2020c87c125afc9781e8f208383feb9e493e543581b3879d4b86edd2ce4aff7170b509e8929e3beb598d3a6bbc94dbd906b390c91f9d8e4b2177b9e00c1a048b8e86f67a01d77a4ab193f438980d4bbec7e592135194f59d15287795d170a3ab84e1bec63c2f0bfcf7e2a5ffe5e3fe7abb3fc5c14fefdfdc31714ec18f8e889ab59974e841fa2d18aa51678d97e257629047a668740c80137a151102bd8e9015d1500f8686cc2e5b510b464c96c052e47491f03414657d67058a9c4c08eb88dbc7cb137e1e99248d28122f622983fb5a7cb62b672d15d36f01b31a75d6786900cb0c72c8148e0ee692694441452506bf7a1c1827d709c7157d9e297351f295c152e876b6f83414657d6705b21d4c0bb27b8cbe3eb2fbf30a9fe061bbf74d106770f7707d357fb93984e14b9fddf3e3a639bd38b1936e0f818e9bdf3b6528fd9615a834be5f5f4aad95ca1fddbddf1df54adb9f707e5cdc5ef66c682f7f3912edf7f9d018bb871fab66716eccf98a31aded12ceab8b173a834e8c0d62a9a763e427a228eb3b2b30c6d9500702fa8a2785587c8cb4cd23c194f63305d68a0e516286290bbbdf502d997f276c57ec7efda31249fa2d2b50693c98371417929581a42f2c8e9c0033baabbe7d5ac1eea0cb0451d36ad971b077befc4165cdb3fb1b92b454de717fea876483c8395eff7e328ab2beb302c6f9aeae8555a7bec6a5d9185657c82faa4c05216b60ad4e9661fa3ce2d3b81eff0c0b18a2c6215544e9f1da56fedc0f5173d979c88624fd16f1a950678d932f014a8e180f981aa63c0c47a4925d60b0373d884ce9e80e86c9efda4846d2017933941480c30710efb75f64a363b78d0d29f5db388f82258378f922d35194f59d15e8bc84dda63a01ad8e67b3a77375848193cae6ea008808fb455bc2d2cb79f70b1c33d50f90ade6cdf3d975b3d6871f5005432e87ed7d4dd9a926b82df0ae5522572f91c8e910ad29a922696133bfd5f30777c1f5e435413e3d3e50f264fd7efea4ae9a308e188e9b165782aa0713661632c5a367ec4c3170700e71d281f1064f44f4a4a97f366bd9316c7382472daa1058ca534df1aa47281ac2879543b3f53fbac39ac7ea09516e4f2e20c9985dbc0a176c1aed5a80d96a75f57861bf53a3fa835eae9a3c92c11d675690e09827c631d7b1a12cb25df6a9020fd7f658d65eae21a96eae7e5632ac8a9ee5ca6ddb2aa5d353751f81d59ceea7726356231799e2d1c3d2883f4bac66c0a6227a16c5135198467089a36b015dccf4a20a6b9f654c8ca7e548094519ccd4d65d278ff6f216b6278fcff8b749234e710c7ea3d503dc5af76548a5d2e5918f3fd528bec2ba637632aa3144fd33ba6869077571cf26cea15a9fae16a7dfb20295c6fb20e2c2889bc9f5057e2deb064e69913d153bdb342b3c644a4727f24c69047616c7abf856048c601af119e84c1c128a5a079dc52c704df194443cf4fd432e0426a6284b095680cfbedd9dc4d1399e73f40a0d6e33b58670609d4732ea6aee94f6b069f4d60b7a83c5ec65fad44852aa991fad3ca5df6222e93372b13a6bdc02868ee2da0d53830ca856e69883f90687d9e12c1a5a2c73f4ceff54c9138992d88ae0e9855ed40c4dd35bcc12173f6861342cff004559df59013691d87c8c89441f732019b83775e1cd5ca430630a0f5cbb17778ca97eefdf849b828edb96e4b687984605daba44bb724c9319b1e0bead54f7e712182f85a4c420c832c8948ede55a05244a06d218637414b49d003c24ed56b54d38530f8006873612a88a33c1da3f4f1146529c10a583fc3c9fb84d52d3cf77e4362f799d0c0865cc73eb4644bd118c0c7e80c0489d23ad60ce3cc3db0917eebbb5ea8ce1a2f85813118742ef61f17db26943795742af4b388df9a36d019e7513dcc1a26df3b8d6b34ec7bc7390f8c506a028ab2beb3029d1b5ad06b4876d7222332d4516c759d881aea3546596d80266966b51b22bd078b2cb3fde62cda879df680f5af469d355e4ad994c1c85e8b41a670f4641aa1338b0e3bdc60eba9b2410c89b8779c0b91b12bce0414657d6705faada673cc09e3a077242f517074be300f91317964064aec214a043e030270e03f86b642fe226c92c9e2ec1ad37030c90464d02402501f0f5b773c0d9081cbf75104fb6affdf80ff972dec55c894d0e45558a79ca18c3d8000248faeb115bab9c87f63528498e49122b82613de2e3ff36aafda8fd27df4932127032b04d445e6c0839d23fa262ed5139a0452ce35c2b36a043ef789abdabdaf6f401d6a741e81aa887b70b1efba36f851ee4a1e19059b28090282004140ce354207414010a84540f2482d82a22f0808027f01696f5331eeeb94aa0000000049454e44ae4260820840010824000000180000000210c0db01000000030000000000000000000000000000001b40000040000000340000000100000002000000000000bf000000bf0080b6430000c84103000000000000b3000000b3ff7fb643000000b3000000b3ffffc7412100000008000000620000000c00000001000000150000000c00000004000000150000000c00000004000000510000000025000000000000000000006c01000018000000000000000000000000000000000000006d0100001900000050000000c000000010010000f0230000000000002000cc006d01000019000000280000006d010000190000000100080000000000000000000000000000000000260000000000000000000000ffffff009cdfff00bf74480000004800bf740000df9c4800bfffff0000007400489cdf00ffbf7400dfffff0000489c009c480000ffffdf0074bfff000074bf0074000000ffffbf0048000000ffdf9c0074740000740048009cdfbf009c484800480074004848480074489c00dfdf9c009c9c740048004800dfdfdf00dfdfff009c48740000484800dfffbf009c74000048489c00010101010101010101010101010101010101010101010101010101010101010101010101010101010101010101010101010101010101010101010101010101010101010101010101010101010101010101010101010101010101010101010101010101010101010101010101010101010101010101010101010101010101010101010101010101010101010101010101010101010101010101010101010101010101010101010101010101010101010101010101010101010101010101010101010101010101010101010101010101010101010101010101010101010101010101010101010101010101010101010101010101010101010101010101010101010101010101010101010101010101010101010101010101010101010101010101010101010101010101010101010101010101010101010101010101010101010101010101010101010101010101010101010101010101010101010101010101010101010101010101010101010101010101010101010101010101010101010101010101010101010101010101010101010101010101010101010101010101010101010101010101010101010101010101010101010101010101010101010101010101010101010101010101010101010101010101010101010101010101010101010101010101010101010101010101010101010101010101010101010101010101010101010101010101010101010101010101010101010101010101010101010101010101010101010101010101010101010101010101010101010101010101010101010101010101010101010101010101010101010101010101010101010101010101010101010101010101010101010101010101010101010101010101010101010101010101010101010101010101010101010101010101010101010101010101010101010101010101010101010101010101010101010101010101010101010101010101010101010101010101010101010101010101010101010101010101010101010101010101010101010101010101010101010101010101010101010101010101010101010101010101010101010101010101010101010101010101010101010101010101010101010101010101010101010101010101010101010101010101010101010101010101010101010101010101010101010101010101010101010101010101010101010101010101010101010101010101010101010101010101010101010101010101010101010101010101010101010101010101010101010101010101010101010101010101010101010101010101010101010101010101010101010101010101010101010101010101010101010101010101010101010101010101010101010101010101010101010101010101010101010101010101010101010101010101010101010101010101010101010101010101010101010101010101010101010101010101010101010101010101010101010101010101010101010101010101010101010101010101010101010101010101010101010101010101010101010101010101010101010101010101010101010101010101010101010101010101010101010101010101010101010101010101010101010101010101010101010101010101010101010101010101010101010101010101010101010101010101010101010101010101010101010101010101010101010101010101010101010101010101010101010101010101010101010101010101010101010101010101010101010101010101010f1314010101010101010101010101010101010101010101010101010101010101010101010101010101010101010101010101010101010101010101010101010101010101010101010101010101010101010101010101010101010101010101010101010101010101010101010101010101010101010101010101010101010101010101010101010101010204000006010101010b0c00111201010101010101010101010101010101010101010101010101010101010101010101010101010101010101010101010101010101010101010101010101010101010101010101010101010101010101010101010101010101010101010101010101010101010101010101010101010101010101010101010101010101010101010101010101010101010101010101010101010101010101010101010101010101010101100a01010101010101010101010101010101010101010101010101010101010101010101010101010101010101010101010101010b0c0501010101010101010101010101010101010101010101010101010101010101010101010101010101010101010101010101010101010101010101010101010101010101010101010101010101010101010101010101010101010101010101010101010101010101010101010101010101010101010101010101010101010101010101010101010101010f000601010101010b0c06100d0e01010101010101010101010101010101010101010101010101010101010101010101010101010101010101010101010101010101010101010101010101010101010101010101010101010101010101010101010101010101010101010101010101010101010101010101010101010101010101010101010101010101010101010101010101010101010101010101010101010101010101010101010101010101010107080a01010101010101010101010101010101010101010101010101010101010101010101010101010101010101010101010101010911120101010101010101010101010101010101010101010101010101010101010101010101010101010101010101010101010101010101010101010101010101010101010101010101010101010101010101010101010101010101010101010101010101010101010101010101010101010101010101010101010101010101010101010101010101010102040601010101010b25140b0c0601010101010101010101010101010101010101010101010101010101010101010101010101010101010101010101010101010101010101010101010101010101010101010101010101010101010101010101010101010101010101010101010101010101010101010101010101010101010101010101010101010101010101010101010101010101010101010101010101010101010101010101010101010101010101100d0e0101010101010101010101010101010101010101010101010101010101010101010101010101010101010101010101010107080a0101010101010101010101010101010101010101010101010101010101010101010101010101010101010101010101010101010101010101010101010101010101010101010101010101010101010101010101010101010101010101010101010101010101010101010101010101010101010101010101010101010101010101010101010101010102040601010101010101010102180e0101010101010101010101010101010101010101090000000a01010101010101010101010101010101010101010101010101010101010101010101010101010102040000060101010708000000131401010101010b0c00001112010101010b0c0000111201010101010b0c00001112010101010b0c00001112010101010b0c000011120101010101010101010101010101010101010101010b0c000011120101010110111201070800000013140101010101010101010101010101010101010101010f000a01010101010101090000000000000d0e0101100d0e01010101010b0c000000131401010101010b0c00000005010101010b0c00001112010101010101010101010101010101010101010101010101010101010101010101010101010102040000060101010708000000131401010101010b0c00001112010101010b0c00001112010101010b0c0000111201010101010b0c00001112010101010101010204000000000d0e0101010102040a01010101010107080000000a010107081101010101090006010101010101010101010101010101010101010101010101010101010101010101010101010101010102040601010101101314010110000a0101010b0c13140109131401010b0c1314010913140101010b0c13140109131401010b0c13140109131401010b0c131401091314010101010101010101010101010101010101010b0c13140109131401010110111201101314010110000a01010101010101010101010101010101010101010708050101010101010107080a01010102161201010f13140101010101101314010109000a010101070811120102040d0e010b0c131401091314010101010101010101010101010101010101010101010101010101010101010101010101010102040601010101101314010110000a0101010b0c13140109131401010b0c13140109131401010b0c1314010913140101010b0c131401091314010101010101020411120107080d0e01010109000d0e0101010107081112010f00060107081101010101020406010101010101010101010101010101010101010101010101010101010101010101010101010101010102040601010101100601010107080d0e01010f0006010107080501010f000601010708050101010f0006010107080501010f0006010107080501010f00060101070805010101010101010101010101010101010101010f0006010107080501010101010101100601010107080d0e0101010101010101010101010101010101010101091314010101010101010f111201010b1b1201010b0c050101010101100601010107080d0e010109000a01010109000a010f00060101070805010101010101010101010101010101010101010101010101010101010101010101010101010102040601010101100601010107080d0e01010f0006010107080501010f0006010107080501010f000601010708050101010f000601010708050101010101010204060101010f000a01010b0c240c0a010101010f000a01010110111201010101010101070805010101010101010101010101010110000000000000000000000d0e0101010101010101010101010101020406010101010101010101011011120101091314010101101112010913140101011011120101091314010101101112010913140101011011120109131401010110111201010101010101071914010101010101010109131401010110111201010101010101010101010110111201010101010101071914010101010101010101010204060101010101010101100d0e010101010101010911120101010101010101010b0c11120101101112010101020406010913140101011011120101010101010101010110000000000000000000000d0e010101010101010101010101010102040601010101010101010101101112010109131401010110111201091314010101101112010913140101011011120101091314010101101112010101010102040601010102040601010f000a0f050101010110111201010109000a010101000000010110111201010101010101010101010101010101010101010101010101010101010101010101010f00000000000000000d0e0101010101010110131401011011120101010913140110111201010109131401011011120101010913140110111201010109131401101112010101091314010101010110050b1b230c0d0e0101010101101112010101091314010101010101010101010101101314010101010110050b1b230c0d0e0101010101010101101112010101010101010b0c050101010101010107080a01010101010101010107080d0e010b0c11120101010204060110111201010109131401010101010101010101010101010101010101010101010101010101010101010f00000000000000000d0e010101010101011013140101101112010101091314011011120101010913140110111201010109131401011011120101010913140101010101020406010101020405010110111207191401010b0c11120101010f000a010101020406010109131401010101010101010101010101010101010101010101010101010101010101010101010b0c06010102040607210e0101010101010b0c1112010b0c111201010109000a0b0c111201010109000a010b0c111201010109000a0b0c111201010109000a0b0c111201010109000a0101010101010f132213140101010101010b0c111201010109000a01010101010101010101010b0c11120101010101010f13221314010101010101010101010f000a010101010101010107080601010101010101100d0e010101010101010b0c000a01010b0c11120101010f00060b0c111201010109000a01010101010101010101010101010101010101010101010101010101010101010b0c06010102040607210e0101010101010b0c1112010b0c111201010109000a0b0c111201010109000a0b0c111201010109000a010b0c111201010109000a0101010101020406010101020406010708060101090501010b0c111201010109000a01010101010101010204060101010101010101010101010110000000000000000000000d0e01010101010101010101021e1401020406010101010b0c05010109000601010b0c111201010109000a0b0c111201010109000a010b0c111201010109000a0b0c111201010109000a0b0c111201010109000a01010101011f0f00000006200e010101010b0c111201010109000a0101010101010b0c0501010900060101010101011f0f00000006200e01010101010101010b0c0d0e010101010101010102040a0101010101010f1314010101010b0c00001314010101011000131401070811120b0c111201010109000a0101010101010101010110000000000000000000000d0e01010101010101010101021e1401020406010101010b0c05010109000601010b0c111201010109000a0b0c111201010109000a0b0c111201010109000a010b0c111201010109000a01010101010204060101010f000a010913140101021e14010b0c1314010101101314010101081a00010107080501010101010101010101010101010101010101010101010101010101010101010101010101090d0e0204060101010107081a000000060101010b0c111201010109000a0b0c111201010109000a010b0c111201010109000a0b0c111201010109000a0b0c111201010109000a010101010109050b1b12090501010101010b0c111201010109000a01010101010107081a000000060101010101010109050b1b1209050101010101010101010109131401010101010101010109131401010101010b0c06010101010101011013140101010109131c0c00001314010b0c111201010109000a01010101010101010101010101010101010101010101010101010101010101010101090d0e0204060101010107081a000000060101010b0c111201010109000a0b0c111201010109000a0b0c111201010109000a010b0c111201010109000a01010101010204000501070811120b0c111201010b0c050101101d180e010f00050101010101010101010b0c0d0e0101010101010101010101010101010101010101010101010101010101010101010101010b0c0a0204060101010107080601010101010101011011120101011013140110111201010110131401016c07000026060f00ce0e574d4643010000000000010000000000000002000000ac0e000000000000ac2e00001011120101011013140110111201010110131401101112010101101314010101010101010719140101010101010101101112010101101314010101010101070806010101010101010101010101010719140101010101010101010101010708050101010101010101010204050101010101010911120101010101010109131401010102040601010101010101101112010101101314010101010101010101010101010101010101010101010101010101010101010101010b0c0a02040601010101070806010101010101010110111201010110131401101112010101101314011011120101011013140101101112010101101314010101010f00000a0f000013140b0c000011120b0c0000050109060204000005010101010101010901010109131401010101010101010101010101010101010101010101010101010101010101010101010101021617040601010101070806010101010101010109131401010b0c11120109131401010b0c1112010109131401010b0c11120109131401010b0c11120109131401010b0c111201010101010101010101010101010101010109131401010b0c11120101010101010708060101010101010101010101010101010101010101010101010101010101101112010101010101010107080d0e010101010102040a010101010101010204050101010110111201010101010109131401010b0c11120101010101010101010101010101010101010101010101010101010101010101010101021617040601010101070806010101010101010109131401010b0c11120109131401010b0c11120109131401010b0c1112010109131401010b0c11120101010101010101010101010101010101010101010101010102180e0101010101010101010601010101010f000a010101010101010101010101010101010101010101010101010101010101010101010101010109150806010101010708060101010101010101020406010107080d0e01020406010107080d0e0101020406010107080d0e01020406010107080d0e01020406010107080d0e010101010101010101010101010101010101020406010107080d0e010101010101070806010101010101010101010101010101010101010101010101100a010101020406010101090501010102040d0e010101010101100501010905010101020405010101010b0c05010101010101020406010107080d0e01010101010101010101010101010101010101010101010101010101010101010101010109150806010101010708060101010101010101020406010107080d0e01020406010107080d0e01020406010107080d0e0101020406010107080d0e010101010101010101010101010101010101010101010101010110000a0101010101010101000a010101010f000501010101010101010101010101010101010101010101010101010101010101010101010101010b0c0006010101010708060101010101010101011011120110000a0101011011120110000a010101011011120110000a0101011011120110000a0101011011120110000a01010101010101010101010101010101010101011011120110000a0101010101010107080601010101010101010101010101010101010101010101010109050101010b0c0d0e010109000a0101100006010101010101010f13140109000a010110000601010101010b0c131401010101011011120110000a010101010101010101010101010101010101010101010101010101010101010101010101010b0c0006010101010708060101010101010101011011120110000a0101011011120110000a0101011011120110000a010101011011120110000a0101010101010101010101010101010101010101010101010101010110000000000a010101010101090101020400000501010101010101010101010101010101010101010101010101010101010101010101010101010204060101010107080000000000050101010101090000000a0101010101090000000a010101010101090000000a0101010101090000000a0101010101090000000a01010101010101010101010101010101010101010101090000000a010101010101010107080000000000050101010101010101010101010101010101010109000000000000000a01010107080000000601010101010101010b0c06010102040000000601010101010101010204000a01010101090000000a0101010101010101010101010101010101010101010101010101010101010101010101010101010204060101010107080000000000050101010101090000000a0101010101090000000a0101010101090000000a010101010101090000000a010101010101010101010101010101010101010101010101010101010101010101090d0e010101010101010101010101010101010101010101010101010101010101010101010101010101010101010101010101010101010101010101010101010101010203010101010101010101010101010101010101010101010101010101010101010101010101010101010101010101010101010101010101010101010101010101010101010101010101010101010101010101010101010101010101010102030101010101010101010101010101010101010101010101010101010101010101010101010101010101010101010101010101010101010101010101010101010101010101010101010101010101010101010101010101010101010101010101010101010101010101010101010101010101010101010101010101010101010101010203010101010101010101010101010101010101010101010101010101010101010101010101010101010101010101010101010101010101010101010101010101010101010101010101010101010101010101010101010101010101010101010101010101010101010101010101010101010101010101010101010101010101010101010101010101010101010101010101010101010101010101010101010101010101010101010101010101010101010101010101010101010101010101010101010101010101010101010101010101010101010101010101010101010101010101010101010101010101010101010101010101010101010101010101010101010101010101010101010101010101010101010101010101010101010101010101010101010101010101010101010101010101010101010101010101010101010101010101010101010101010101010101010101010101010101010101010101010101010101010101010101010101010101010101010101010101010101010101010101010101010101010101010101010101010101010101010101010101010101010101010101010101010101010101010101010101010101010101010101010101010101010101010101010101010101010101010101010101010101010101010101010101010101010101010101010101010101010101010101010101010101010101010101010101010101010101010101010101010101010101010101010101010101010101010101010101010101010101010101010101010101010101010101010101010101010101010101010101010101010101010101010101010101010101010101010101010101010101010101010101010101010101010101010101010101010101010101010101010101010101010101010101010101010101010101010101010101010101010101010101010101010101010101010101010101010101010101010101010101010101010101010101010101010101010101010101010101010101010101010101010101010101010101010101010101010101010101010101010101010101010101010101010101010101010101010101010101010101010101010101010101010101010101010101010101010101010101010101010101010101010101010101010101010101010101010101010101010101010101010101010101010101010101010101010101010101010101010101010101010101010101010101010101010101010101010101010101010101010101010101010101010101010101010101010101010101010101010101010101010101010101010101010101010101010101010101010101010101010101010101010101010101010101010101010101010101010101010101010101010101010101010101010101010101010101010101010101010101010101010101010101010101010101010101010101010101010101010101010101010101010101010101010101010101010101010101010101010101010101010101010101010101010101010101010101010101010101010101010101010101010101010101010101010101010101010101010101010101010101010101010101010101010101010101010101010101010101010101010101010101010101010101010101010101010101010101010101010101010101010101010101010101010101010101010101010101010101010101010101010101010101010101010101010101010101010101010101010101010101010101010101010101010101010101010101010101010101010101010101010101010101010101010101010101010101010101010101010101010101010101010101010101010101010101010101010101010101010101010101010101010101010101010101010101010101010101010101010101010101010101010101010101010101010101010101010101010101010101010101010101010101010101010101010101010101010101010101010101010101010101010101010101010101010101010101010101010101010101010101010101010101010101010101010101010101010101010101010101010101010101010101010101010101010101010101010101010101010101014c0000006400000000000000000000006c0100001800000000000000000000006d010000190000002900aa0000000000000000000000803f00000000000000000000803f0000000000000000000000000000000000000000000000000000000000000000220000000c000000ffffffff460000001c00000010000000454d462b024000000c000000000000000e000000140000000000000010000000140000000400000003010800050000000b0200000000050000000c0219006d01030000001e000400000007010400040000000701040065120000410b2000cc0019006d010000000019006d0100000000280000006d010000190000000100080000000000000000000000000000000000260000000000000000000000ffffff009cdfff00bf74480000004800bf740000df9c4800bfffff0000007400489cdf00ffbf7400dfffff0000489c009c480000ffffdf0074bfff000074bf0074000000ffffbf0048000000ffdf9c0074740000740048009cdfbf009c484800480074004848480074489c00dfdf9c009c9c740048004800dfdfdf00dfdfff009c48740000484800dfffbf009c74000048489c00010101010101010101010101010101010101010101010101010101010101010101010101010101010101010101010101010101010101010101010101010101010101010101010101010101010101010101010101010101010101010101010101010101010101010101010101010101010101010101010101010101010101010101010101010101010101010101010101010101010101010101010101010101010101010101010101010101010101010101010101010101010101010101010101010101010101010101010101010101010101010101010101010101010101010101010101010101010101010101010101010101010101010101010101010101010101010101010101010101010101010101010101010101010101010101010101010101010101010101010101010101010101010101010101010101010101010101010101010101010101010101010101010101010101010101010101010101010101010101010101010101010101010101010101010101010101010101010101010101010101010101010101010101010101010101010101010101010101010101010101010101010101010101010101010101010101010101010101010101010101010101010101010101010101010101010101010101010101010101010101010101010101010101010101010101010101010101010101010101010101010101010101010101010101010101010101010101010101010101010101010101010101010101010101010101010101010101010101010101010101010101010101010101010101010101010101010101010101010101010101010101010101010101010101010101010101010101010101010101010101010101010101010101010101010101010101010101010101010101010101010101010101010101010101010101010101010101010101010101010101010101010101010101010101010101010101010101010101010101010101010101010101010101010101010101010101010101010101010101010101010101010101010101010101010101010101010101010101010101010101010101010101010101010101010101010101010101010101010101010101010101010101010101010101010101010101010101010101010101010101010101010101010101010101010101010101010101010101010101010101010101010101010101010101010101010101010101010101010101010101010101010101010101010101010101010101010101010101010101010101010101010101010101010101010101010101010101010101010101010101010101010101010101010101010101010101010101010101010101010101010101010101010101010101010101010101010101010101010101010101010101010101010101010101010101010101010101010101010101010101010101010101010101010101010101010101010101010101010101010101010101010101010101010101010101010101010101010101010101010101010101010101010101010101010101010101010101010101010101010101010101010101010101010101010101010101010101010101010101010101010101010101010101010101010101010101010101010101010101010101010101010101010101010101010101010101010101010101010101010101010101010101010101010101010101010101010101010101010101010101010101010101010101010101010101010101010101010101010101010101010101010101010f1314010101010101010101010101010101010101010101010101010101010101010101010101010101010101010101010101010101010101010101010101010101010101010101010101010101010101010101010101010101010101010101010101010101010101010101010101010101010101010101010101010101010101010101010101010101010204000006010101010b0c00111201010101010101010101010101010101010101010101010101010101010101010101010101010101010101010101010101010101010101010101010101010101010101010101010101010101010101010101010101010101010101010101010101010101010101010101010101010101010101010101010101010101010101010101010101010101010101010101010101010101010101010101010101010101010101100a01010101010101010101010101010101010101010101010101010101010101010101010101010101010101010101010101010b0c0501010101010101010101010101010101010101010101010101010101010101010101010101010101010101010101010101010101010101010101010101010101010101010101010101010101010101010101010101010101010101010101010101010101010101010101010101010101010101010101010101010101010101010101010101010101010f000601010101010b0c06100d0e01010101010101010101010101010101010101010101010101010101010101010101010101010101010101010101010101010101010101010101010101010101010101010101010101010101010101010101010101010101010101010101010101010101010101010101010101010101010101010101010101010101010101010101010101010101010101010101010101010101010101010101010101010101010107080a01010101010101010101010101010101010101010101010101010101010101010101010101010101010101010101010101010911120101010101010101010101010101010101010101010101010101010101010101010101010101010101010101010101010101010101010101010101010101010101010101010101010101010101010101010101010101010101010101010101010101010101010101010101010101010101010101010101010101010101010101010101010101010102040601010101010b25140b0c0601010101010101010101010101010101010101010101010101010101010101010101010101010101010101010101010101010101010101010101010101010101010101010101010101010101010101010101010101010101010101010101010101010101010101010101010101010101010101010101010101010101010101010101010101010101010101010101010101010101010101010101010101010101010101100d0e0101010101010101010101010101010101010101010101010101010101010101010101010101010101010101010101010107080a0101010101010101010101010101010101010101010101010101010101010101010101010101010101010101010101010101010101010101010101010101010101010101010101010101010101010101010101010101010101010101010101010101010101010101010101010101010101010101010101010101010101010101010101010101010102040601010101010101010102180e0101010101010101010101010101010101010101090000000a01010101010101010101010101010101010101010101010101010101010101010101010101010102040000060101010708000000131401010101010b0c00001112010101010b0c0000111201010101010b0c00001112010101010b0c00001112010101010b0c000011120101010101010101010101010101010101010101010b0c000011120101010110111201070800000013140101010101010101010101010101010101010101010f000a01010101010101090000000000000d0e0101100d0e01010101010b0c000000131401010101010b0c00000005010101010b0c00001112010101010101010101010101010101010101010101010101010101010101010101010101010102040000060101010708000000131401010101010b0c00001112010101010b0c00001112010101010b0c0000111201010101010b0c00001112010101010101010204000000000d0e0101010102040a01010101010107080000000a010107081101010101090006010101010101010101010101010101010101010101010101010101010101010101010101010101010102040601010101101314010110000a0101010b0c13140109131401010b0c1314010913140101010b0c13140109131401010b0c13140109131401010b0c131401091314010101010101010101010101010101010101010b0c13140109131401010110111201101314010110000a01010101010101010101010101010101010101010708050101010101010107080a01010102161201010f13140101010101101314010109000a010101070811120102040d0e010b0c131401091314010101010101010101010101010101010101010101010101010101010101010101010101010102040601010101101314010110000a0101010b0c13140109131401010b0c13140109131401010b0c1314010913140101010b0c131401091314010101010101020411120107080d0e01010109000d0e0101010107081112010f00060107081101010101020406010101010101010101010101010101010101010101010101010101010101010101010101010101010102040601010101100601010107080d0e01010f0006010107080501010f000601010708050101010f0006010107080501010f0006010107080501010f00060101070805010101010101010101010101010101010101010f0006010107080501010101010101100601010107080d0e0101010101010101010101010101010101010101091314010101010101010f111201010b1b1201010b0c050101010101100601010107080d0e010109000a01010109000a010f00060101070805010101010101010101010101010101010101010101010101010101010101010101010101010102040601010101100601010107080d0e01010f0006010107080501010f0006010107080501010f000601010708050101010f000601010708050101010101010204060101010f000a01010b0c240c0a010101010f000a01010110111201010101010101070805010101010101010101010101010110000000000000000000000d0e0101010101010101010101010101020406010101010101010101011011120101091314010101101112010913140101011011120101091314010101101112010913140101011011120109131401010110111201010101010101071914010101010101010109131401010110111201010101010101010101010110111201010101010101071914010101010101010101010204060101010101010101100d0e010101010101010911120101010101010101010b0c11120101101112010101020406010913140101011011120101010101010101010110000000000000000000000d0e010101010101010101010101010102040601010101010101010101101112010109131401010110111201091314010101101112010913140101011011120101091314010101101112010101010102040601010102040601010f000a0f050101010110111201010109000a010101000000010110111201010101010101010101010101010101010101010101010101010101010101010101010f00000000000000000d0e0101010101010110131401011011120101010913140110111201010109131401011011120101010913140110111201010109131401101112010101091314010101010110050b1b230c0d0e0101010101101112010101091314010101010101010101010101101314010101010110050b1b230c0d0e0101010101010101101112010101010101010b0c050101010101010107080a01010101010101010107080d0e010b0c11120101010204060110111201010109131401010101010101010101010101010101010101010101010101010101010101010f00000000000000000d0e010101010101011013140101101112010101091314011011120101010913140110111201010109131401011011120101010913140101010101020406010101020405010110111207191401010b0c11120101010f000a010101020406010109131401010101010101010101010101010101010101010101010101010101010101010101010b0c06010102040607210e0101010101010b0c1112010b0c111201010109000a0b0c111201010109000a010b0c111201010109000a0b0c111201010109000a0b0c111201010109000a0101010101010f132213140101010101010b0c111201010109000a01010101010101010101010b0c11120101010101010f13221314010101010101010101010f000a010101010101010107080601010101010101100d0e010101010101010b0c000a01010b0c11120101010f00060b0c111201010109000a01010101010101010101010101010101010101010101010101010101010101010b0c06010102040607210e0101010101010b0c1112010b0c111201010109000a0b0c111201010109000a0b0c111201010109000a010b0c111201010109000a0101010101020406010101020406010708060101090501010b0c111201010109000a01010101010101010204060101010101010101010101010110000000000000000000000d0e01010101010101010101021e1401020406010101010b0c05010109000601010b0c111201010109000a0b0c111201010109000a010b0c111201010109000a0b0c111201010109000a0b0c111201010109000a01010101011f0f00000006200e010101010b0c111201010109000a0101010101010b0c0501010900060101010101011f0f00000006200e01010101010101010b0c0d0e010101010101010102040a0101010101010f1314010101010b0c00001314010101011000131401070811120b0c111201010109000a0101010101010101010110000000000000000000000d0e01010101010101010101021e1401020406010101010b0c05010109000601010b0c111201010109000a0b0c111201010109000a0b0c111201010109000a010b0c111201010109000a01010101010204060101010f000a010913140101021e14010b0c1314010101101314010101081a00010107080501010101010101010101010101010101010101010101010101010101010101010101010101090d0e0204060101010107081a000000060101010b0c111201010109000a0b0c111201010109000a010b0c111201010109000a0b0c111201010109000a0b0c111201010109000a010101010109050b1b12090501010101010b0c111201010109000a01010101010107081a000000060101010101010109050b1b1209050101010101010101010109131401010101010101010109131401010101010b0c06010101010101011013140101010109131c0c00001314010b0c111201010109000a01010101010101010101010101010101010101010101010101010101010101010101090d0e0204060101010107081a000000060101010b0c111201010109000a0b0c111201010109000a0b0c111201010109000a010b0c111201010109000a01010101010204000501070811120b0c111201010b0c050101101d180e010f00050101010101010101010b0c0d0e0101010101010101010101010101010101010101010101010101010101010101010101010b0c0a0204060101010107080601010101010101011011120101011013140110111201010110131401011011120101011013140110111201010110131401101112010101101314010101010101010719140101010101010101101112010101101314010101010101070806010101010101010101010101010719140101010101010101010101010708050101010101010101010204050101010101010911120101010101010109131401010102040601010101010101101112010101101314010101010101010101010101010101010101010101010101010101010101010101010b0c0a02040601010101070806010101010101010110111201010110131401101112010101101314011011120101011013140101101112010101101314010101010f00000a0f000013140b0c000011120b0c0000050109060204000005010101010101010901010109131401010101010101010101010101010101010101010101010101010101010101010101010101021617040601010101070806010101010101010109131401010b0c11120109131401010b0c1112010109131401010b0c11120109131401010b0c11120109131401010b0c111201010101010101010101010101010101010109131401010b0c11120101010101010708060101010101010101010101010101010101010101010101010101010101101112010101010101010107080d0e010101010102040a010101010101010204050101010110111201010101010109131401010b0c11120101010101010101010101010101010101010101010101010101010101010101010101021617040601010101070806010101010101010109131401010b0c11120109131401010b0c11120109131401010b0c1112010109131401010b0c11120101010101010101010101010101010101010101010101010102180e0101010101010101010601010101010f000a010101010101010101010101010101010101010101010101010101010101010101010101010109150806010101010708060101010101010101020406010107080d0e01020406010107080d0e0101020406010107080d0e01020406010107080d0e01020406010107080d0e010101010101010101010101010101010101020406010107080d0e010101010101070806010101010101010101010101010101010101010101010101100a010101020406010101090501010102040d0e010101010101100501010905010101020405010101010b0c05010101010101020406010107080d0e01010101010101010101010101010101010101010101010101010101010101010101010109150806010101010708060101010101010101020406010107080d0e01020406010107080d0e01020406010107080d0e0101020406010107080d0e010101010101010101010101010101010101010101010101010110000a0101010101010101000a010101010f000501010101010101010101010101010101010101010101010101010101010101010101010101010b0c0006010101010708060101010101010101011011120110000a0101011011120110000a010101011011120110000a0101011011120110000a0101011011120110000a01010101010101010101010101010101010101011011120110000a0101010101010107080601010101010101010101010101010101010101010101010109050101010b0c0d0e010109000a0101100006010101010101010f13140109000a010110000601010101010b0c131401010101011011120110000a010101010101010101010101010101010101010101010101010101010101010101010101010b0c0006010101010708060101010101010101011011120110000a0101011011120110000a0101011011120110000a010101011011120110000a0101010101010101010101010101010101010101010101010101010110000000000a010101010101090101020400000501010101010101010101010101010101010101010101010101010101010101010101010101010204060101010107080000000000050101010101090000000a0101010101090000000a010101010101090000000a0101010101090000000a0101010101090000000a01010101010101010101010101010101010101010101090000000a010101010101010107080000000000050101010101010101010101010101010101010109000000000000000a01010107080000000601010101010101010b0c06010102040000000601010101010101010204000a01010101090000000a0101010101010101010101010101010101010101010101010101010101010101010101010101010204060101010107080000000000050101010101090000000a0101010101090000000a0101010101090000000a010101010101090000000a010101010101010101010101010101010101010101010101010101010101010101090d0e010101010101010101010101010101010101010101010101010101010101010101010101010101010101010101010101010101010101010101010101010101010203010101010101010101010101010101010101010101010101010101010101010101010101010101010101010101010101010101010101010101010101010101010101010101010101010101010101010101010101010101010101010102030101010101010101010101010101010101010101010101010101010101010101010101010101010101010101010101010101010101010101010101010101010101010101010101010101010101010101010101010101010101010101010101010101010101010101010101010101010101010101010101010101010101010101010203010101010101010101010101010101010101010101010101010101010101010101010101010101010101010101010101010101010101010101010101010101010101010101010101010101010101010101010101010101010101010101010101010101010101010101010101010101010101010101010101010101010101010101010101010101010101010101010101010101010101010101010101010101010101010101010101010101010101010101010101010101010101010101010101010101010101010101010101010101010101010101010101010101010101010101010101010101010101010101010101010101010101010101010101010101010101010101010101010101010101010101010101010101010101010101010101010101010101010101010101010101010101010101010101010101010101010101010101010101010101010101010101010101010101010101010101010101010101010101010101010101010101010101010101010101010101010101010101010101010101010101010101010101010101010101010101010101010101010101010101010101010101010101010101010101010101010101010101010101010101010101010101010101010101010101010101010101010101010101010101010101010101010101010101010101010101010101010101010101010101010101010101010101010101010101010101010101010101010101010101010101010101010101010101010101010101010101010101010101010101010101010101010101010101010101010101010101010101010101010101010101010101010101010101010101010101010101010101010101010101010101010101010101010101010101010101010101010101010101010101010101010101010101010101010101010101010101010101010101010101010101010101010101010101010101010101010101010101010101010101010101010101010101010101010101010101010101010101010101010101010101010101010101010101010101010101010101010101010101010101010101010101010101010101010101010101010101010101010101010101010101010101010101010101010101010101010101010101010101010101010101010101010101010101010101010101010101010101010101010101010101010101010101010101010101010101010101010101010101010101010101010101010101010101010101010101010101010101010101010101010101010101010101010101010101010101010101010101010101010101010101010101010101010101010101010101010101010101010101010101010101010101010101010101010101010101010101010101010101010101010101010101010101010101010101010101010101010101010101010101010101010101010101010101010101010101010101010101010101010101010101010101010101010101010101010101010101010101010101010101010101010101010101010101010101010101010101010101010101010101010101010101010101010101010101010101010101010101010101010101010101010101010101010101010101010101010101010101010101010101010101010101010101010101010101010101010101010101010101010101010101010101010101010101010101010101010101010101010101010101010101010101010101010101010101010101010101010101010101010101010101010101010101010101010101010101010101010101010101010101010101010101010101010101010101010101010101010101010101010101010101010101010101010101010101010101010101010101010101010101010101010101010101010101010101010101010101010101010101010101010101010101010101010101010101010101010101010101010101010101010101010101010101010101010101010101010101010101010101010101010101010101010101010101010101010101010101010101010101010101010101010101010101010101010101010101010101010101010101010101010101010101010101010101010101010101010101010101010c00000040092900aa0000000000000019006d0100000000040000002701ffff030000000000>
3.2 Используем формулы:




3.3 Используем формулы:




3.4 Используем формулу:

Где n – срок ссуды

3.5 Используем формулу:

>0100090000030631000000008315000000001610000026060f002220574d4643010000000000010006be0000000002000000002000004416000044360000010000006c0000000000000000000000af010000180000000000000000000000963b00007003000020454d4600000100443600000c000000010000000000000000000000000000000005000000040000c401000069010000000000000000000000000000e3e306001c830500460000002c00000020000000454d462b014001001c000000100000000210c0db01000000600000006000000046000000a409000098090000454d462b224004000c000000000000001e4009000c00000000000000244001000c000000000000003040020010000000040000000000803f214007000c0000000000000008400005f0080000e40800000210c0db01000000000000000000000000000000000000000100000089504e470d0a1a0a0000000d49484452000001b0000000190802000000df48ecef000000017352474200aece1ce9000000097048597300000ec400000ec401952b0e1b0000086d49444154785eed5c3d6e233b0c1ebf93cc629b1439848d340ed2e6064913a4b591330471bb7093dc20adb16e82f81029b659c437f123a5d18c7e28891ad963fb3d4db3884552e4478a92286947bbddae2a5f41a0205010280854d53f0584824041a0205010900894845822a1205010280834089c6d42dcbe5dcf37c58de78dc0c04e1cb8bbf3f68dd0feff87182444307a447cc74a37429debb7ad194e9bb9a5e28ffbb51370ba25aefa39ad32365a1552851f60682020244ace8f07e8dc14194646a3653951d1a354c216273cc40f64b026759788121da5894272c829053c2399464706b48970143183808a3483c0f14a983d2a3c072f9a9708323854d9edbe5fa7c030fb147fc0f73913fcd3d76ff5cb50ff4a4ddc9e51a3b03a42e7c604a97f674f6351cf5605487ff6fda2a75baa2437b80defb430eca6e1712776f4346d5278a47497e6219f1a695232a86905f0573de8e5b8a6870d292184989523e41033649b14167d983d2e3c032c8bb5496e2a431a80c109339910554a1c3a230a8fcea8dc170b6edbf5c2ea56fd9c56355f6858a408df9f23a524618ae9c4161b53afa49e516c0f6f8781b535883951a347522b54a5ed747834739669414277c95879d54892d493d8870318cccc871e09b184a84b9739cc1e152e45f38b9dac4df6706b4f98283677a96451f96a88f58558a90dfa6ddf1eee2f3f1f2fbed27bdd7ebcafabe9ed55ad5885feeb3f5bf1774e6b3e7bba357e0e84683dfb7c19eb24e397ddeef75d6bfa3efb8bc80a03db5f91eddbf3a29add1856c2162f181ee397cfd9fafec1aeb5f457c2c39911a5fbd1c5af0004821e199b5f50569a3db991d1cb84faeeb721bdfe7969d8b3592d600ed37d565fddc220fcfa2b0661983d267c3fc841083d7fe1aed71c3f86705f42dcfec112dde5cfe18699f45240d51028425d5d5be9aec61939ad98103384c73c09759384a21f86f8f4f5d14c14b12e0ed81e46a677c722cf5af990111ee39b59b57eff10e3afcfc7f105438d3e5df379f80ab8194af6c29710d46afb17172ef10ca1562596b0307ba055551ab140d9551de52072abd9da2ff30dc455058ba660cd9b4e889bf904d2fd90430fbd54c586fafb437bac616611899ff1694bc49c56443943b837a4d029e8525013634afd191e1822c4e321c81f5d999461643cc2bd4e6ce9311f5ab1c70a8f8aca88f1ee5af0e3bee0a991896a889daf8058641323382e8181188e0ab127b3476cb302892340b32bbe502b2c83c5767b31198d563762c30bfbe0f5fd0f184eb0d06cab917269a57e818dfbcb18e6efcbeae3faa15aca7d32f08114f3e8474f88d885fc260bac0d70b661ceb994735ecd5900492f2d03db3ecc6febcba7b68e06007004c73d732c8aabe5ee66351ac16139c28e3e7aac71920b7c22ff4c2fea63a99cdd2fcf896219ac553fe49a261c1e8d6aa283768dc8eb0e5899be60abe10235d430312615a386245b2226b0116b4a377a86183f429ad26b169b397513a455032a3f9e04430827420f3354b39fc46a0964c8d50633a0be4f1726b7d32b8e9fc5fdfb6d9b671abe67bdcca22744bd20ca4986d81dd6afc25f5c92cf4b9b7997f3b0c8d06efdebbba500ff1722709e5f5dcbbc369d8ad2348e7ff593d72067839a63ba354431766192d1a7b3fd4f382c27e232d8c8879cf05009d1a86bb1bac331c4f245821aae5f861a26aa67ba7c1835818918a6baeaf5db2a6f01b35caa3541b4ba91877cce0c4eb3b7aa93c223a12ef68372795adf3de99513cc87461dd5d86119470da28f13b8982d9cd7e128a615f1276edb3d9f51220410ac02afe292cec869cd67a72dc07c840bfee52d1e0c2e2b2806ec3f0185a2c81aa2c429737c260b031b4dd79613253de643238093c3c353b46ac280d8d4b17c91ac46d4fc44821405e8f2618a04a11ce920a8ee4c169ed59d11542fb5d8d1186b7d51e6f3b2c75a238829c78bca49b35a029b43953837827313e21ef602c4d054a7f99131d9257b6d866850d3975339ad1817ddf4932cdce743341a6758501386a89899e3092871081d9e3c8c0caf7f63c6268e9793c3235c54204ab02c5f24ab61583fe830f1950f7b9a6020165edd19363b571070ba0b2eff128453b1d53a1e33a2dc41c3ccd0cdaec4fced56c17313e23ef602f181e39cff8929508b7c61ab7ec268cc9139ad6aa2ec293c661be0c74e846efa89493f747b1858abf7a8139b4abd7ddd26c1083dbe19dd5992537c91a014920e334ca452542262a91b470c0f5bf5c561e8659fbc11619c0b84d95384dbf658d52451cf5cacdee060498fa62e512a7ec167069ce76276ac3278b876ea76bd75e398ba5d695cf47464e4b4aadbd06ad99a287c8f48514f5474f1c35fcc6ede3835d7735dd739ef58ba8bbc84133937a9038f2fe47302d5032366325c135423432e9bd5ab402c48da1e1c0931c49ccbf2f675ea563479fd39ccce17ae1ed67597d089b89703de796b602a66f0354df052a5e11549b3c76305b60b39849a2eeeab036d5a20f5d40d715e391866a6b6b63951aad0839d637c9cc6933174c35b905c2543f27bbe54419121d8cdd12963aefd6c27c6f3a1373cda6b14ced3097f7771b87d141135fa0be672061460e6435a42c841649079324e6484b83ee10957f0b8d46e3e1034d418306cd408ba84c8f542a13b3e025e371f5f355283788eebd89c3542aa4d299da5ca2ef427840067790e34bd5677b935445671a210ed0b0171e1683139d6ff44946a867364ec1740bed64be90f4b5056cd2a85bdd0fe0710809aa67ab2023757adf36d9e7d2521f2703a192a71dbcbb95f7f32eae98a408aaaf081004739eab51e87afa181f38009bc52659f4f25882ea42787807c574c7f78f8294fab43ef3c02269dd04ab8a8c24780b36be04b3b3a65c66ef7dcaa0847c7facc15081570dbb6b402ba8ec808fe38b919a0285410280814048e8140d9321f03f5d26741a020709208948478926e294a15040a02c740a024c463a05efa2c0814044e12817f01925cf11975e627410000000049454e44ae4260820840010824000000180000000210c0db01000000030000000000000000000000000000001b40000040000000340000000100000002000000000000bf000000bf0000d8430000c84103000000000000b3000000b3ffffd743000000b3000000b3ffffc7412100000008000000620000000c00000001000000150000000c00000004000000150000000c00000004000000510000003c2b00000000000000000000af0100001800000000000000000000000000000000000000b00100001900000050000000bc0000000c010000302a0000000000002000cc00b00100001900000028000000b0010000190000000100080000000000000000000000000000000000250000000000000000000000ffffff009cdfff00bf744800dfffff0000489c00bf74000000004800df9c4800bfffff0000007400489cdf00ffbf740074000000ffffbf009c480000ffffdf000074bf0074bfff0048000000ffdf9c0074740000740048009cdfbf009c484800480074004848480074489c009c9c740048004800dfdfdf00dfdfff009c48740000484800dfffbf009c74000048489c00010101010101010101010101010101010101010101010101010101010101010101010101010101010101010101010101010101010101010101010101010101010101010101010101010101010101010101010101010101010101010101010101010101010101010101010101010101010101010101010101010101010101010101010101010101010101010101010101010101010101010101010101010101010101010101010101010101010101010101010101010101010101010101010101010101010101010101010101010101010101010101010101010101010101010101010101010101010101010101010101010101010101010101010101010101010101010101010101010101010101010101010101010101010101010101010101010101010101010101010101010101010101010101010101010101010101010101010101010101010101010101010101010101010101010101010101010101010101010101010101010101010101010101010101010101010101010101010101010101010101010101010101010101010101010101010101010101010101010101010101010101010101010101010101010101010101010101010101010101010101010101010101010101010101010101010101010101010101010101010101010101010101010101010101010101010101010101010101010101010101010101010101010101010101010101010101010101010101010101010101010101010101010101010101010101010101010101010101010101010101010101010101010101010101010101010101010101010101010101010101010101010101010101010101010101010101010101010101010101010101010101010101010101010101010101010101010101010101010101010101010101010101010101010101010101010101010101010101010101010101010101010101010101010101010101010101010101010101010101010101010101010101010101010101010101010101010101010101010101010101010101010101010101010101010101010101010101010101010101010101010101010101010101010101010101010101010101010101010101010101010101010101010101010101010101010101010101010101010101010101010101010101010101010101010101010101010101010101010101010101010101010101010101010101010101010101010101010101010101010101010101010101010101010101010101010101010101010101010101010101010101010101010101010101010101010101010101010101010101010101010101010101010101010101010101010101010101010101010101010101010101010101010101010101010101010101010101010101010101010101010101010101010101010101010101010101010101010101010101010101010101010101010101010101010101010101010101010101010101010101010101010101010101010101010101010101010101010101010101010101010101010101010101010101010101010101010101010101010101010101010101010101010101010101010101010101010101010101010101010101010101010101010101010101010101010101010101010101010101010101010101010101010101010101010101010101010101010101010101010101010101010101010101010101010101010101010101010101010101010101010101010101010101010101010101010101010101010101010101010101010101010101010101010101010101010101010101010101010101010101010101010101010101010101010101010101010101010101010101010101010101010101010101010101010101010101010101010101010101010101010101010101010101010101010101010101010101010101010101010101010101010101010101010101010101010101010101010101010101010101010101010101010101010101010101010101010101010101010101010101010101010101010101010101010101010101010101010101010101010101010101010101010101010101010101010101010101010101010101010101010101010101010101010101010101010101010101010101010101010101010101010101010101010101010101010101010101010101010101010101010101010101010101010101010101010101010101010101010101010101010101010101010101010101010101010101010101010101010101010101010101010101010101010101010101010101010101010101010101010101010101010101010101010101010101010101010101010101010101010101010101010101010101010101010101010101010101010101010101010101010101010101010101010101010101010101010101010101010101010101010101010101010101010101010101010101010101010101010101010101010101010101010101010101010101010101010101010101010101010101010101010101010101010101010101010101010101010101010101010101010101010101010101010101010102070801010101010101010101010101010101010101010101010101010101010101010101010101010101010101010101010101010101010101010101010101010101010112131401010101010101010101010101010101010b0d0e0101010101010101010101010101010101010101010101010101010101010101010101010101010101010101010101010101010101010101010101010101010101010101010101010101010101010101010101010101010101010101010101010101010101010101010101010101010101010101010101010101010101010101010101010101010101010101010101010101010101010101010101010101010101010207000008010101010405000d0e01010101010101010101010101010101010101010101010101010101010101010101010101010101010101010101010101010101010101010101010101010101010101010101010101010101010101010101010101010101010101010101010101010101010101010101010101010101010101010101010101010101010101010101010101010101010101010101010101010101010101010101010101010101010101110d0e0101010101010101010101010101010101010101010101010101010101010101010101010101010101010101010101010101010101110c010101010101010101010101040506010101010101010101010101010101010101090a080101010101010101010101010101010101010101010101010101010101010101010101010101010101010101010101010101010101010101010101010101010101010101010101010101010101010101010101010101010101010101010101010101010101010101010101010101010101010101010101010101010101010101010101010101010101010101010101010101010101010101010101010101010101011200080101010101040508110f1001010101010101010101010101010101010101010101010101010101010101010101010101010101010101010101010101010101010101010101010101010101010101010101010101010101010101010101010101010101010101010101010101010101010101010101010101010101010101010101010101010101010101010101010101010101010101010101010101010101010101010101010101010101010b0d0e010101010101010101010101010101010101010101010101010101010101010101010101010101010101010101010101010101010101090a0c0101010101010101010101010b0d0e010101010101010101010101010101010101090a08010101010101010101010101010101010101010101010101010101010101010101010101010101010101010101010101010101010101010101010101010101010101010101010101010101010101010101010101010101010101010101010101010101010101010101010101010101010101010101010101010101010101010101010101010101010101010101010101010101010101010101010101010101010102070801010101010424140405080101010101010101010101010101010101010101010101010101010101010101010101010101010101010101010101010101010101010101010101010101010101010101010101010101010101010101010101010101010101010101010101010101010101010101010101010101010101010101010101010101010101010101010101010101010101010101010101010101010101010101010101010101010102070c0101010101010101010101010101010101010101010101010101010101010101010101010101010101010101010101010101010101010101110f100101010101010101010101090a0c01010101010101010101010101010101010101121314010101010101010101010101010101010101010101010101010101010101010101010101010101010101010101010101010101010101010101010101010101010101010101010101010101010101010101010101010101010101010101010101010101010101010101010101010101010101010101010101010101010101010101010101010101010101010101010101010101010101010101010101010101010207080101010101010101010218100101010101010101010101010101010104050000131401010101010101010101010101010101010101010101010101010101010101010101010101010101010207000008010101090a00000013140101010101040500000d0e01010101040500000d0e01010101040500000d0e0101010101040500000d0e01010101040500000d0e0101010101010101010101010101010101010101010101010101010101110f1001010101040500000000000d0e01010101010101010101010101010b0f1001010101010101010101010101010101040500000d0e01010101110d0e01090a000000131401010101110f10010101010101010102070000080101010101090a080101090a000000131401010101010101010101010101010101010101010101010207000008010101010101010101010101010101010101010101010101010101010101010101010101010102070000080101010112000c0101010101010101010102070000080101090a00000013140101010b0000000000000f10010101090a000c01010101010b0000000000000f10010b0000000000000f100101010101010207000000000f100101010102070c0101010101090a0000000c0101090a0d0104050d0e0101010101010101010101010101010101010101010101010101010101010101010101010101010101010102070801010101111314010111000c01010104051314010b1314010104051314010b1314010104051314010b131401010104051314010b1314010104051314010b1314010101010101010101010101010101010101010101010101010101090a06010101010101010112000801010101010101010101010101010101010b0f1001010101010101010101010101010104051314010b1314010101110d0e01111314010111000c01010112131401010101010101010102070801010101010101110f1001111314010111000c0101010101010101010101010101010101010101010101020708010101010101010101010101010101010101010101010101010101010101010101010101010101010207080101010101090a060101010101010101010101020708010101111314010111000c0101090a0c01010102160e0101010101090a0d0e010101090a0c01010102160e01090a0c01010102160e01010101010102070d0e01090a0f100101010b000f10010101090a0d0e0112000801090a0d0104050d0e01010101010101010101010101010101010101010101010101010101010101010101010101010101010101020708010101011108010101090a0f1001011200080101090a0601011200080101090a0601011200080101090a060101011200080101090a0601011200080101090a06010101010101010101010101010101010101010101010101010101020708010101010101010112000801010101010101010101010101010101010b0f100101010101010101010101010101011200080101090a06010101010101011108010101090a0f100101040506010101010101010101020708010101010101010b1314011108010101090a0f1001010101010101010101010101010101010101010101020708010101010101010101010101010101010101010101010101010101010101010101010101010101010207080101010101010b1314010101010101010101010207080101011108010101090a0f100101120d0e0101041b0e01010101010101110f10010101120d0e0101041b0e0101120d0e0101041b0e01010101010102070801010112000c0101040523050c01010112000c010101110d0e0101010104050d0e0101010101010101010101010101010111000000000000000000000f10010101010101010101010101010102070801010101010101010101110d0e01010b1314010101110d0e010b1314010101110d0e010b1314010101110d0e01010b1314010101110d0e010b1314010101110d0e010101010101010101010109191401010101010101010101010112000c010101010101010112000801010101010101010101010101010101010b0f100101010101010101010101010101010b1314010101110d0e010101010101010101010101110d0e0101010b0d0e01010101010101010207080101010101010112131401010101010101110d0e010101010101010919140101010101010101010101010207080101010101010101010101010111000000000000000000000f10010101010101010101010101010102070801010101010102070801010101010101010101020708010101010101010101110d0e010101110f10010101010101010101010102070801010101110f1001010101010101110f1001010101010101010101020708010101020708010112000c1206010101110d0e0101010b000c0101010104050d0e01010101010101010101010101010101010101010101010101010101010101010101010101011200000000000000000f10010101010101011113140101110d0e0101010b131401380b000026060f006616574d4643010000000000010000000000000002000000441600000000000044360000110d0e0101010b131401110d0e0101010b13140101110d0e0101010b131401110d0e0101010b13140101010101010101011106041b22050f1001010101010101010112000c010101010101010112000801010101010101010101010101010101010b0f10010101010101010101010101010101110d0e0101010b1314010101010101010101010101111314010101090a0c0101011200000000000000000f100101010112000c0101010101010111131401010101011106041b22050f10010101011200000000000000000f1001010101010101010101010101010101010101010101010101010101010101011200000000000000000f1001010101110d0e010101011200000000000000000f10010101010101111314010101040506010101010101010101010104050f1001010104050601010101010101040506010101010101010101010207080101010207060101110d0e0919140104050d0e01010112000c0101010104050d0e0101010101010101010101010101010101010101010101010101010101010101010101010101040508010102070809201001010101010104050d0e0104050d0e0101010b000c04050d0e0101010b000c04050d0e0101010b000c0104050d0e0101010b000c04050d0e0101010b000c010101010101010101011213211314010101010101010101010112000c010101010101010112000801010101010101010101010111000000000000000000000f1001010101010101010104050d0e0101010b000c010101010101010101010104050d0e01010101110f10010104050801010207080920100101010112131401010101010104050d0e01010101010112132113140101010101010405080101020708092010010101010101010101010101010101010101010101010101010101010101010104050801010207080920100101010112000c010101010405080101020708092010010101010104050d0e01010101090a08010101010101110000000611131401010101090a0801010101010101090a0801010101010101010102070801010102070801090a0801010b060104050d0e0101010b000c01010101040500000000131401010101010101010101010111000000000000000000000f1001010101010101010101021d14010207080101010104050601010b0008010104050d0e0101010b000c04050d0e0101010b000c04050d0e0101010b000c0104050d0e0101010b000c04050d0e0101010b000c0101010101010101011e12000000081f10010101010101010101020708010101010101010112000801010101010101010101010101010101010b0f10010101010101010101010101010104050d0e0101010b000c01010101010104050601010b00080101010101121314010101021d1401020708010101010101010b13140104050601010b00080101010101011e12000000081f100101010101021d14010207080101010101010101010101010111000000000000000000000f1001010101010101010101021d14010207080101010101010104050f1001010101021d140102070801010104050601010b000801010101010102070c010101010b000801011200000c010101010102070c0101010101010102070c010101010101010102070801010112000c010b13140101021d14040513140101011113140101010104050d0e010111000801010101010101010101010101010101010101010101010101010101010101010101010b0f1002070801010101090a1a0000000801010104050d0e0101010b000c04050d0e0101010b000c04050d0e0101010b000c0104050d0e0101010b000c04050d0e0101010b000c0101010101010101010b06041b0e0b0601010101010101010101090a06010101010101010112000801010101010101010101010101010101010b0f10010101010101010101010101010104050d0e0101010b000c010101010101090a1a00000008010101010101040508010101010b0f1002070801010101010101110f1001090a1a00000008010101010101010b06041b0e0b06010101010101010b0f10020708010101010101010101010101010101010101010101010101010101010101010101010101010b0f1002070801010101010101010b131401010101010b0f10020708010101090a1a0000000801010101010101010b13140101090a0f100101010b000c0101010101010b1314010101010101010b1314010101010101010207000601090a0d0e04050d0e010104050601111c181001120006010101010104050d0e0101090a0d0e0101010101010101010101010101010101010101010101010101010101010101010104050c02070801010101090a080101010101010101110d0e01010111131401110d0e01010111131401110d0e0101011113140101110d0e01010111131401110d0e010101111314010101010101010101010109191401010101010101010101010101110f100101010101010112000801010101010101010101010101010101010b0f10010101010101010101010101010101110d0e010101111314010101010101090a0801010101010101010101010b0d0e01010104050c020708010101010101090a080101090a080101010101010101010101010109191401010101010101010104050c0207080101010101010101010101010101010101010101010101010101010101010101010101010104050c0207080101010101010101090a06010101010104050c020708010101090a080101010101010101010101010207060101090a06010101010b000c010101010101020706010101010101010207060101010101011200000c1200001314040500000d0e04050000060b08020700000601010101010104050d0e0101040513140101010101010101010101010101010101010101010101010101010101010101010101021617070801010101090a0801010101010101010b1314010104050d0e010b1314010104050d0e010b1314010104050d0e01010b1314010104050d0e010b1314010104050d0e01010101010101010101010101010101010101010101010101010102070c0101010101010112000801010101010101010101010101010101010b0f100101010101010101010101010101010b1314010104050d0e010101010101090a08010101010101010101010102070c0101010102161707080101010101011213140101090a080101010101010101010101010101010101010101010101010101021617070801010101010101010101010101010101010101010101010101010101010101010101010101010216170708010101010101010101110d0e01010101010216170708010101090a08010101010101010101010101090a0f1001090a06010101010b1314010101010101090a0f10010101010101090a0f10010101010101010101010101010101010101010101010101010218100101010101010101010104050d0e0101090a13140101010101010101010101010101010101010101010101010101010101010101010101010b150a0801010101090a0801010101010101010207080101090a0f10010207080101090a0f10010207080101090a0f1001010207080101090a0f10010207080101090a0f10010101010101010101010101010101010101010101010101010101010b0d0e01010112131412000801010101010101010101010101010101010b0f100101010101010101010101010101010207080101090a0f10010101010101090a08010101010101010101010101110601010101010b150a080101010101090a08010101090a080101010101010101010101010101010101010101010101010101010b150a080101010101010101010101010101010101010101010101010101010101010101010101010101010b150a0801010101110c0101010207080101010101010b150a08010101090a08010101010101010b0601010102070f100101110d0e010104050d0e010b0601010102070f10010b0601010102070f10010101010101010101010101010101010101010101010101010111000c01010101010101010104050d0e010111000f100101010101010101010101010101010101010101010101010101010101010101010101010405000801010101090a08010101010101010101110d0e0111000c010101110d0e0111000c010101110d0e0111000c01010101110d0e0111000c010101110d0e0111000c010101010101010101010101010101010101010101010101010101010101110d0e0101010405000008010101010101010101010101010101010101010101010101010101010101010101010101110d0e0111000c01010101010101090a08010101010101010101010101121314010101010405000801010101090a0801010101090a080101010101010101010101010101010101010101010101010101010405000801010101010101010101010101010101010101010101010101010101010101010101010101010104050008010101010b0601010104050f10010101010104050008010101090a08010101010101010b000c010111000801010102070601010b000c01010b000c010111000801010b000c01011100080101010101010101010101010101010101010101010101010101010111000000000c0101010104050000000000000601010101010101010101010101010101010101010101010101010101010101010101010101010102070801010101090a00000000000601010101010b0000000c01010101010b0000000c01010101010b0000000c0101010101010b0000000c01010101010b0000000c0101010101010101010101010101010101010101010101010101010101010101090a0801010101090a08010101010101010101010101010101010101010101010101010101010101010101010101010b0000000c0101010101010101090a0000000000060101010101010104050801010101010207080101010b0d0e0101010101090a000000000006010101010101010101010101010101010101010101010102070801010101010101010101010101010101010101010101010101010101010101010101010101010101020708010101010b000000000000000c010101010101020708010101090a000000000006010101090a000000080101010101090a0000000c01010101090a0000000801010101090a000000080101010101010101010101010101010101010101010101010101010101010101010b0f100101010101010101010101010101010101010101010101010101010101010101010101010101010101010101010101010101010101010101010101010101010102030101010101010101010101010101010101010101010101010101010101010101010101010101010101010101010101010101010101010101010101010101010101010101010101010101010101010101010101010101010101010101010101010101010101010101010101010101010101010101010101010101010101010101010101010101010101010101010101010101010101020301010101010101010101010101010101010101010101010101010101010101010101010203010101010101010101010101010101010101010101010101010101010101010101010101010101010101010101010101010101010101010101010101010101010101010101010101010101010101010101010101010101010101010101010101010101010203010101010101010101010101010101010101010101010101010101010101010101010101010101010101010101010101010101010101010101010101010101010101010101010101010101010101010101010101010101010101010101010101010101010101010101010101010101010101010101010101010101010101010101010101010101010101010101010101010101010101010101010101010101010101010101010101010101010101010101010101010101010101010101010101010101010101010101010101010101010101010101010101010101010101010101010101010101010101010101010101010101010101010101010101010101010101010101010101010101010101010101010101010101010101010101010101010101010101010101010101010101010101010101010101010101010101010101010101010101010101010101010101010101010101010101010101010101010101010101010101010101010101010101010101010101010101010101010101010101010101010101010101010101010101010101010101010101010101010101010101010101010101010101010101010101010101010101010101010101010101010101010101010101010101010101010101010101010101010101010101010101010101010101010101010101010101010101010101010101010101010101010101010101010101010101010101010101010101010101010101010101010101010101010101010101010101010101010101010101010101010101010101010101010101010101010101010101010101010101010101010101010101010101010101010101010101010101010101010101010101010101010101010101010101010101010101010101010101010101010101010101010101010101010101010101010101010101010101010101010101010101010101010101010101010101010101010101010101010101010101010101010101010101010101010101010101010101010101010101010101010101010101010101010101010101010101010101010101010101010101010101010101010101010101010101010101010101010101010101010101010101010101010101010101010101010101010101010101010101010101010101010101010101010101010101010101010101010101010101010101010101010101010101010101010101010101010101010101010101010101010101010101010101010101010101010101010101010101010101010101010101010101010101010101010101010101010101010101010101010101010101010101010101010101010101010101010101010101010101010101010101010101010101010101010101010101010101010101010101010101010101010101010101010101010101010101010101010101010101010101010101010101010101010101010101010101010101010101010101010101010101010101010101010101010101010101010101010101010101010101010101010101010101010101010101010101010101010101010101010101010101010101010101010101010101010101010101010101010101010101010101010101010101010101010101010101010101010101010101010101010101010101010101010101010101010101010101010101010101010101010101010101010101010101010101010101010101010101010101010101010101010101010101010101010101010101010101010101010101010101010101010101010101010101010101010101010101010101010101010101010101010101010101010101010101010101010101010101010101010101010101010101010101010101010101010101010101010101014c000000640000000000000000000000af010000180000000000000000000000b0010000190000002900aa0000000000000000000000803f00000000000000000000803f0000000000000000000000000000000000000000000000000000000000000000220000000c000000ffffffff460000001c00000010000000454d462b024000000c000000000000000e000000140000000000000010000000140000000400000003010800050000000b0200000000050000000c021900b001030000001e000400000007010400040000000701040083150000410b2000cc001900b001000000001900b0010000000028000000b0010000190000000100080000000000000000000000000000000000250000000000000000000000ffffff009cdfff00bf744800dfffff0000489c00bf74000000004800df9c4800bfffff0000007400489cdf00ffbf740074000000ffffbf009c480000ffffdf000074bf0074bfff0048000000ffdf9c0074740000740048009cdfbf009c484800480074004848480074489c009c9c740048004800dfdfdf00dfdfff009c48740000484800dfffbf009c74000048489c00010101010101010101010101010101010101010101010101010101010101010101010101010101010101010101010101010101010101010101010101010101010101010101010101010101010101010101010101010101010101010101010101010101010101010101010101010101010101010101010101010101010101010101010101010101010101010101010101010101010101010101010101010101010101010101010101010101010101010101010101010101010101010101010101010101010101010101010101010101010101010101010101010101010101010101010101010101010101010101010101010101010101010101010101010101010101010101010101010101010101010101010101010101010101010101010101010101010101010101010101010101010101010101010101010101010101010101010101010101010101010101010101010101010101010101010101010101010101010101010101010101010101010101010101010101010101010101010101010101010101010101010101010101010101010101010101010101010101010101010101010101010101010101010101010101010101010101010101010101010101010101010101010101010101010101010101010101010101010101010101010101010101010101010101010101010101010101010101010101010101010101010101010101010101010101010101010101010101010101010101010101010101010101010101010101010101010101010101010101010101010101010101010101010101010101010101010101010101010101010101010101010101010101010101010101010101010101010101010101010101010101010101010101010101010101010101010101010101010101010101010101010101010101010101010101010101010101010101010101010101010101010101010101010101010101010101010101010101010101010101010101010101010101010101010101010101010101010101010101010101010101010101010101010101010101010101010101010101010101010101010101010101010101010101010101010101010101010101010101010101010101010101010101010101010101010101010101010101010101010101010101010101010101010101010101010101010101010101010101010101010101010101010101010101010101010101010101010101010101010101010101010101010101010101010101010101010101010101010101010101010101010101010101010101010101010101010101010101010101010101010101010101010101010101010101010101010101010101010101010101010101010101010101010101010101010101010101010101010101010101010101010101010101010101010101010101010101010101010101010101010101010101010101010101010101010101010101010101010101010101010101010101010101010101010101010101010101010101010101010101010101010101010101010101010101010101010101010101010101010101010101010101010101010101010101010101010101010101010101010101010101010101010101010101010101010101010101010101010101010101010101010101010101010101010101010101010101010101010101010101010101010101010101010101010101010101010101010101010101010101010101010101010101010101010101010101010101010101010101010101010101010101010101010101010101010101010101010101010101010101010101010101010101010101010101010101010101010101010101010101010101010101010101010101010101010101010101010101010101010101010101010101010101010101010101010101010101010101010101010101010101010101010101010101010101010101010101010101010101010101010101010101010101010101010101010101010101010101010101010101010101010101010101010101010101010101010101010101010101010101010101010101010101010101010101010101010101010101010101010101010101010101010101010101010101010101010101010101010101010101010101010101010101010101010101010101010101010101010101010101010101010101010101010101010101010101010101010101010101010101010101010101010101010101010101010101010101010101010101010101010101010101010101010101010101010101010101010101010101010101010101010101010101010101010101010101010101010101010101010101010101010101010101010101010101010101010101010101010101010101010101010101010101010101010101010101010101010101010101010101010101010101010101010101010101010101010101010101010101010101010101010101010101010101010101010101010101010101010101010101010101010101010101010101010101010101010101010101010101010101010101010101010101010101010102070801010101010101010101010101010101010101010101010101010101010101010101010101010101010101010101010101010101010101010101010101010101010112131401010101010101010101010101010101010b0d0e0101010101010101010101010101010101010101010101010101010101010101010101010101010101010101010101010101010101010101010101010101010101010101010101010101010101010101010101010101010101010101010101010101010101010101010101010101010101010101010101010101010101010101010101010101010101010101010101010101010101010101010101010101010101010207000008010101010405000d0e01010101010101010101010101010101010101010101010101010101010101010101010101010101010101010101010101010101010101010101010101010101010101010101010101010101010101010101010101010101010101010101010101010101010101010101010101010101010101010101010101010101010101010101010101010101010101010101010101010101010101010101010101010101010101110d0e0101010101010101010101010101010101010101010101010101010101010101010101010101010101010101010101010101010101110c010101010101010101010101040506010101010101010101010101010101010101090a080101010101010101010101010101010101010101010101010101010101010101010101010101010101010101010101010101010101010101010101010101010101010101010101010101010101010101010101010101010101010101010101010101010101010101010101010101010101010101010101010101010101010101010101010101010101010101010101010101010101010101010101010101010101011200080101010101040508110f1001010101010101010101010101010101010101010101010101010101010101010101010101010101010101010101010101010101010101010101010101010101010101010101010101010101010101010101010101010101010101010101010101010101010101010101010101010101010101010101010101010101010101010101010101010101010101010101010101010101010101010101010101010101010b0d0e010101010101010101010101010101010101010101010101010101010101010101010101010101010101010101010101010101010101090a0c0101010101010101010101010b0d0e010101010101010101010101010101010101090a08010101010101010101010101010101010101010101010101010101010101010101010101010101010101010101010101010101010101010101010101010101010101010101010101010101010101010101010101010101010101010101010101010101010101010101010101010101010101010101010101010101010101010101010101010101010101010101010101010101010101010101010101010101010102070801010101010424140405080101010101010101010101010101010101010101010101010101010101010101010101010101010101010101010101010101010101010101010101010101010101010101010101010101010101010101010101010101010101010101010101010101010101010101010101010101010101010101010101010101010101010101010101010101010101010101010101010101010101010101010101010101010102070c0101010101010101010101010101010101010101010101010101010101010101010101010101010101010101010101010101010101010101110f100101010101010101010101090a0c01010101010101010101010101010101010101121314010101010101010101010101010101010101010101010101010101010101010101010101010101010101010101010101010101010101010101010101010101010101010101010101010101010101010101010101010101010101010101010101010101010101010101010101010101010101010101010101010101010101010101010101010101010101010101010101010101010101010101010101010101010207080101010101010101010218100101010101010101010101010101010104050000131401010101010101010101010101010101010101010101010101010101010101010101010101010101010207000008010101090a00000013140101010101040500000d0e01010101040500000d0e01010101040500000d0e0101010101040500000d0e01010101040500000d0e0101010101010101010101010101010101010101010101010101010101110f1001010101040500000000000d0e01010101010101010101010101010b0f1001010101010101010101010101010101040500000d0e01010101110d0e01090a000000131401010101110f10010101010101010102070000080101010101090a080101090a000000131401010101010101010101010101010101010101010101010207000008010101010101010101010101010101010101010101010101010101010101010101010101010102070000080101010112000c0101010101010101010102070000080101090a00000013140101010b0000000000000f10010101090a000c01010101010b0000000000000f10010b0000000000000f100101010101010207000000000f100101010102070c0101010101090a0000000c0101090a0d0104050d0e0101010101010101010101010101010101010101010101010101010101010101010101010101010101010102070801010101111314010111000c01010104051314010b1314010104051314010b1314010104051314010b131401010104051314010b1314010104051314010b1314010101010101010101010101010101010101010101010101010101090a06010101010101010112000801010101010101010101010101010101010b0f1001010101010101010101010101010104051314010b1314010101110d0e01111314010111000c01010112131401010101010101010102070801010101010101110f1001111314010111000c0101010101010101010101010101010101010101010101020708010101010101010101010101010101010101010101010101010101010101010101010101010101010207080101010101090a060101010101010101010101020708010101111314010111000c0101090a0c01010102160e0101010101090a0d0e010101090a0c01010102160e01090a0c01010102160e01010101010102070d0e01090a0f100101010b000f10010101090a0d0e0112000801090a0d0104050d0e01010101010101010101010101010101010101010101010101010101010101010101010101010101010101020708010101011108010101090a0f1001011200080101090a0601011200080101090a0601011200080101090a060101011200080101090a0601011200080101090a06010101010101010101010101010101010101010101010101010101020708010101010101010112000801010101010101010101010101010101010b0f100101010101010101010101010101011200080101090a06010101010101011108010101090a0f100101040506010101010101010101020708010101010101010b1314011108010101090a0f1001010101010101010101010101010101010101010101020708010101010101010101010101010101010101010101010101010101010101010101010101010101010207080101010101010b1314010101010101010101010207080101011108010101090a0f100101120d0e0101041b0e01010101010101110f10010101120d0e0101041b0e0101120d0e0101041b0e01010101010102070801010112000c0101040523050c01010112000c010101110d0e0101010104050d0e0101010101010101010101010101010111000000000000000000000f10010101010101010101010101010102070801010101010101010101110d0e01010b1314010101110d0e010b1314010101110d0e010b1314010101110d0e01010b1314010101110d0e010b1314010101110d0e010101010101010101010109191401010101010101010101010112000c010101010101010112000801010101010101010101010101010101010b0f100101010101010101010101010101010b1314010101110d0e010101010101010101010101110d0e0101010b0d0e01010101010101010207080101010101010112131401010101010101110d0e010101010101010919140101010101010101010101010207080101010101010101010101010111000000000000000000000f10010101010101010101010101010102070801010101010102070801010101010101010101020708010101010101010101110d0e010101110f10010101010101010101010102070801010101110f1001010101010101110f1001010101010101010101020708010101020708010112000c1206010101110d0e0101010b000c0101010104050d0e01010101010101010101010101010101010101010101010101010101010101010101010101011200000000000000000f10010101010101011113140101110d0e0101010b131401110d0e0101010b131401110d0e0101010b13140101110d0e0101010b131401110d0e0101010b13140101010101010101011106041b22050f1001010101010101010112000c010101010101010112000801010101010101010101010101010101010b0f10010101010101010101010101010101110d0e0101010b1314010101010101010101010101111314010101090a0c0101011200000000000000000f100101010112000c0101010101010111131401010101011106041b22050f10010101011200000000000000000f1001010101010101010101010101010101010101010101010101010101010101011200000000000000000f1001010101110d0e010101011200000000000000000f10010101010101111314010101040506010101010101010101010104050f1001010104050601010101010101040506010101010101010101010207080101010207060101110d0e0919140104050d0e01010112000c0101010104050d0e0101010101010101010101010101010101010101010101010101010101010101010101010101040508010102070809201001010101010104050d0e0104050d0e0101010b000c04050d0e0101010b000c04050d0e0101010b000c0104050d0e0101010b000c04050d0e0101010b000c010101010101010101011213211314010101010101010101010112000c010101010101010112000801010101010101010101010111000000000000000000000f1001010101010101010104050d0e0101010b000c010101010101010101010104050d0e01010101110f10010104050801010207080920100101010112131401010101010104050d0e01010101010112132113140101010101010405080101020708092010010101010101010101010101010101010101010101010101010101010101010104050801010207080920100101010112000c010101010405080101020708092010010101010104050d0e01010101090a08010101010101110000000611131401010101090a0801010101010101090a0801010101010101010102070801010102070801090a0801010b060104050d0e0101010b000c01010101040500000000131401010101010101010101010111000000000000000000000f1001010101010101010101021d14010207080101010104050601010b0008010104050d0e0101010b000c04050d0e0101010b000c04050d0e0101010b000c0104050d0e0101010b000c04050d0e0101010b000c0101010101010101011e12000000081f10010101010101010101020708010101010101010112000801010101010101010101010101010101010b0f10010101010101010101010101010104050d0e0101010b000c01010101010104050601010b00080101010101121314010101021d1401020708010101010101010b13140104050601010b00080101010101011e12000000081f100101010101021d14010207080101010101010101010101010111000000000000000000000f1001010101010101010101021d14010207080101010101010104050f1001010101021d140102070801010104050601010b000801010101010102070c010101010b000801011200000c010101010102070c0101010101010102070c010101010101010102070801010112000c010b13140101021d14040513140101011113140101010104050d0e010111000801010101010101010101010101010101010101010101010101010101010101010101010b0f1002070801010101090a1a0000000801010104050d0e0101010b000c04050d0e0101010b000c04050d0e0101010b000c0104050d0e0101010b000c04050d0e0101010b000c0101010101010101010b06041b0e0b0601010101010101010101090a06010101010101010112000801010101010101010101010101010101010b0f10010101010101010101010101010104050d0e0101010b000c010101010101090a1a00000008010101010101040508010101010b0f1002070801010101010101110f1001090a1a00000008010101010101010b06041b0e0b06010101010101010b0f10020708010101010101010101010101010101010101010101010101010101010101010101010101010b0f1002070801010101010101010b131401010101010b0f10020708010101090a1a0000000801010101010101010b13140101090a0f100101010b000c0101010101010b1314010101010101010b1314010101010101010207000601090a0d0e04050d0e010104050601111c181001120006010101010104050d0e0101090a0d0e0101010101010101010101010101010101010101010101010101010101010101010104050c02070801010101090a080101010101010101110d0e01010111131401110d0e01010111131401110d0e0101011113140101110d0e01010111131401110d0e010101111314010101010101010101010109191401010101010101010101010101110f100101010101010112000801010101010101010101010101010101010b0f10010101010101010101010101010101110d0e010101111314010101010101090a0801010101010101010101010b0d0e01010104050c020708010101010101090a080101090a080101010101010101010101010109191401010101010101010104050c0207080101010101010101010101010101010101010101010101010101010101010101010101010104050c0207080101010101010101090a06010101010104050c020708010101090a080101010101010101010101010207060101090a06010101010b000c010101010101020706010101010101010207060101010101011200000c1200001314040500000d0e04050000060b08020700000601010101010104050d0e0101040513140101010101010101010101010101010101010101010101010101010101010101010101021617070801010101090a0801010101010101010b1314010104050d0e010b1314010104050d0e010b1314010104050d0e01010b1314010104050d0e010b1314010104050d0e01010101010101010101010101010101010101010101010101010102070c0101010101010112000801010101010101010101010101010101010b0f100101010101010101010101010101010b1314010104050d0e010101010101090a08010101010101010101010102070c0101010102161707080101010101011213140101090a080101010101010101010101010101010101010101010101010101021617070801010101010101010101010101010101010101010101010101010101010101010101010101010216170708010101010101010101110d0e01010101010216170708010101090a08010101010101010101010101090a0f1001090a06010101010b1314010101010101090a0f10010101010101090a0f10010101010101010101010101010101010101010101010101010218100101010101010101010104050d0e0101090a13140101010101010101010101010101010101010101010101010101010101010101010101010b150a0801010101090a0801010101010101010207080101090a0f10010207080101090a0f10010207080101090a0f1001010207080101090a0f10010207080101090a0f10010101010101010101010101010101010101010101010101010101010b0d0e01010112131412000801010101010101010101010101010101010b0f100101010101010101010101010101010207080101090a0f10010101010101090a08010101010101010101010101110601010101010b150a080101010101090a08010101090a080101010101010101010101010101010101010101010101010101010b150a080101010101010101010101010101010101010101010101010101010101010101010101010101010b150a0801010101110c0101010207080101010101010b150a08010101090a08010101010101010b0601010102070f100101110d0e010104050d0e010b0601010102070f10010b0601010102070f10010101010101010101010101010101010101010101010101010111000c01010101010101010104050d0e010111000f100101010101010101010101010101010101010101010101010101010101010101010101010405000801010101090a08010101010101010101110d0e0111000c010101110d0e0111000c010101110d0e0111000c01010101110d0e0111000c010101110d0e0111000c010101010101010101010101010101010101010101010101010101010101110d0e0101010405000008010101010101010101010101010101010101010101010101010101010101010101010101110d0e0111000c01010101010101090a08010101010101010101010101121314010101010405000801010101090a0801010101090a080101010101010101010101010101010101010101010101010101010405000801010101010101010101010101010101010101010101010101010101010101010101010101010104050008010101010b0601010104050f10010101010104050008010101090a08010101010101010b000c010111000801010102070601010b000c01010b000c010111000801010b000c01011100080101010101010101010101010101010101010101010101010101010111000000000c0101010104050000000000000601010101010101010101010101010101010101010101010101010101010101010101010101010102070801010101090a00000000000601010101010b0000000c01010101010b0000000c01010101010b0000000c0101010101010b0000000c01010101010b0000000c0101010101010101010101010101010101010101010101010101010101010101090a0801010101090a08010101010101010101010101010101010101010101010101010101010101010101010101010b0000000c0101010101010101090a0000000000060101010101010104050801010101010207080101010b0d0e0101010101090a000000000006010101010101010101010101010101010101010101010102070801010101010101010101010101010101010101010101010101010101010101010101010101010101020708010101010b000000000000000c010101010101020708010101090a000000000006010101090a000000080101010101090a0000000c01010101090a0000000801010101090a000000080101010101010101010101010101010101010101010101010101010101010101010b0f100101010101010101010101010101010101010101010101010101010101010101010101010101010101010101010101010101010101010101010101010101010102030101010101010101010101010101010101010101010101010101010101010101010101010101010101010101010101010101010101010101010101010101010101010101010101010101010101010101010101010101010101010101010101010101010101010101010101010101010101010101010101010101010101010101010101010101010101010101010101010101010101020301010101010101010101010101010101010101010101010101010101010101010101010203010101010101010101010101010101010101010101010101010101010101010101010101010101010101010101010101010101010101010101010101010101010101010101010101010101010101010101010101010101010101010101010101010101010203010101010101010101010101010101010101010101010101010101010101010101010101010101010101010101010101010101010101010101010101010101010101010101010101010101010101010101010101010101010101010101010101010101010101010101010101010101010101010101010101010101010101010101010101010101010101010101010101010101010101010101010101010101010101010101010101010101010101010101010101010101010101010101010101010101010101010101010101010101010101010101010101010101010101010101010101010101010101010101010101010101010101010101010101010101010101010101010101010101010101010101010101010101010101010101010101010101010101010101010101010101010101010101010101010101010101010101010101010101010101010101010101010101010101010101010101010101010101010101010101010101010101010101010101010101010101010101010101010101010101010101010101010101010101010101010101010101010101010101010101010101010101010101010101010101010101010101010101010101010101010101010101010101010101010101010101010101010101010101010101010101010101010101010101010101010101010101010101010101010101010101010101010101010101010101010101010101010101010101010101010101010101010101010101010101010101010101010101010101010101010101010101010101010101010101010101010101010101010101010101010101010101010101010101010101010101010101010101010101010101010101010101010101010101010101010101010101010101010101010101010101010101010101010101010101010101010101010101010101010101010101010101010101010101010101010101010101010101010101010101010101010101010101010101010101010101010101010101010101010101010101010101010101010101010101010101010101010101010101010101010101010101010101010101010101010101010101010101010101010101010101010101010101010101010101010101010101010101010101010101010101010101010101010101010101010101010101010101010101010101010101010101010101010101010101010101010101010101010101010101010101010101010101010101010101010101010101010101010101010101010101010101010101010101010101010101010101010101010101010101010101010101010101010101010101010101010101010101010101010101010101010101010101010101010101010101010101010101010101010101010101010101010101010101010101010101010101010101010101010101010101010101010101010101010101010101010101010101010101010101010101010101010101010101010101010101010101010101010101010101010101010101010101010101010101010101010101010101010101010101010101010101010101010101010101010101010101010101010101010101010101010101010101010101010101010101010101010101010101010101010101010101010101010101010101010101010101010101010101010101010101010101010101010101010101010101010101010101010101010101010101010101010101010101010101010101010101010101010101010101010101010101010101010101010101010101010101010101010101010101010101010101010101010101010101010101010101010101010101010101010101010101010101010101010101010101010101010101010c00000040092900aa000000000000001900b00100000000040000002701ffff030000000000>
3.6 Используем формулу:


3.7 Используем формулу:


3.8 Используем формулу:


3.9 Используем формулы:




3.10 Используем формулу:

