Підвищення ефективності роботи підприємства на основі застосування економіко-математичних методів (на прикладі ВАТ "Дніпрополімермаш")
Overview
dataPressdataLit
dataYslyg
dataOther
Sheet 1: dataPress
| ДОДАТОК А | ||||||||||||||
| Вихідні дані по пресформах | ||||||||||||||
| 01.04 | Сырье и мат. | Покупн. | Транспорт | з-та основн | з-та допол | Соцстрах | износ спец | содерж оборуд | цехов расход | общезаводск | админ расход | заводск себест | расход на сбыт | полная себест |
| План | 2510 | 1532 | 0 | 6,3 | 30,3 | 0 | 247,4 | 1446 | 193,9 | 1149 | 300 | 7414,9 | 17,3 | 7432,2 |
| Факт | 1851 | 246 | 0 | 787 | 71 | 338 | 0 | 2543 | 1369 | 3721 | 400 | 11326 | 16 | 11342 |
| Отклон | -659 | -1286 | 0 | 780,7 | 40,7 | 338 | -247,4 | 1097 | 1175,1 | 2572 | 100 | 3911,1 | -1,3 | 3909,8 |
| 02.04 | Сырье и мат. | Покупн. | Транспорт | з-та основн | з-та допол | Соцстрах | износ спец | содерж оборуд | цехов расход | общезаводск | админ расход | заводск себест | расход на сбыт | полная себест |
| План | 2648 | 0 | 72 | 2093 | 18,75 | 90,05 | 0 | 1620,65 | 353,8 | 3518,6 | 303,95 | 10718,8 | 135,1 | 10853,9 |
| Факт | 864 | 30 | 0 | 1177 | 106 | 506 | 0 | 2661 | 1434 | 4825 | 2933 | 14536 | 64 | 14600 |
| Отклон | -1784 | 30 | -72 | -916 | 87,25 | 415,95 | 0 | 1040,35 | 1080,2 | 1306,4 | 2629,05 | 3817,2 | -71,1 | 3746,1 |
| 03.04 | Сырье и мат. | Покупн. | Транспорт | з-та основн | з-та допол | Соцстрах | износ спец | содерж оборуд | цехов расход | общезаводск | админ расход | заводск себест | расход на сбыт | полная себест |
| План | 1200 | 100 | 0 | 200 | 0 | 100 | 0 | 450 | 250 | 325 | 200 | 2825 | 50 | 2875 |
| Факт | 2558 | 215 | 0 | 208 | 19 | 89 | 0 | 762 | 410 | 383 | 463 | 5107 | 40 | 5147 |
| Отклон | 1358 | 115 | 0 | 8 | 19 | -11 | 0 | 312 | 160 | 58 | 263 | 2282 | -10 | 2272 |
| 04.04 | Сырье и мат. | Покупн. | Транспорт | з-та основн | з-та допол | Соцстрах | износ спец | содерж оборуд | цех расх | общезаводск | админ расход | заводск себест | расход на сбыт | полная себест |
| План | 5193,9 | 120,7 | 0 | 867,3 | 42,7 | 352,4 | 154 | 1972,7 | 1137,2 | 1495,4 | 893,1 | 12229,4 | 178,5 | 12407,9 |
| Факт | 3977 | 151 | 0 | 1484 | 133 | 637 | 0 | 2760 | 1485 | 2755 | 2246 | 15628 | 323 | 15951 |
| Отклон | -1216,9 | 30,3 | 0 | 616,7 | 90,3 | 284,6 | -154 | 787,3 | 347,8 | 1259,6 | 1352,9 | 3398,6 | 144,5 | 3543,1 |
| 05.04 | Сырье и мат. | Покупн. | Транспорт | з-та основн | з-та допол | Соцстрах | износ спец | содерж оборуд | цех расх | общезаводск | админ расход | заводск себест | расход на сбыт | полная себест |
| План | 2537,1 | 34,3 | 0 | 486,7 | 36,3 | 210,6 | 0 | 4088,3 | 3633,8 | 850,6 | 503,9 | 12381,6 | 83,5 | 12465,1 |
| Факт | 552 | 20 | 0 | 981 | 88 | 422 | 0 | 5930 | 3193 | 2156 | 3126 | 16468 | 163 | 16631 |
| Отклон | -1985,1 | -14,3 | 0 | 494,3 | 51,7 | 211,4 | 0 | 1841,7 | -440,8 | 1305,4 | 2622,1 | 4086,4 | 79,5 | 4165,9 |
| 06.04 | Сырье и мат. | Покупн. | Транспорт | з-та основн | з-та допол | Соцстрах | износ спец | содерж оборуд | цех расх | общезаводск | админ расход | заводск себест | расход на сбыт | полная себест |
| План | 2283 | 121 | 731 | 2573 | 228 | 1106 | 562 | 5813 | 3395 | 4553 | 2701 | 24066 | 512 | 24578 |
| Факт | 1191 | 138 | 1086 | 2506 | 225 | 1077 | 969 | 5730 | 3086 | 5569 | 5174 | 26751 | 236 | 26987 |
| Отклон | -1092 | 17 | 355 | -67 | -3 | -29 | 407 | -83 | -309 | 1016 | 2473 | 2685 | -276 | 2409 |
| 07.04 | Сырье и мат. | Покупн. | Транспорт | з-та основн | з-та допол | Соцстрах | износ спец | содерж оборуд | цех расх | общезаводск | админ расход | заводск себест | расход на сбыт | полная себест |
| План | 4272 | 137 | 0 | 1581 | 35 | 215 | 90 | 2340 | 772 | 1021 | 2592 | 13055 | 136 | 13191 |
| Факт | 686 | 0 | 26 | 1644 | 149 | 707 | 0 | 3419 | 1841 | 3727 | 2774 | 14973 | 220 | 15193 |
| Отклон | -3586 | -137 | 26 | 63 | 114 | 492 | -90 | 1079 | 1069 | 2706 | 182 | 1918 | 84 | 2002 |
| 08.04 | Сырье и мат. | Покупн. | Транспорт | з-та основн | з-та допол | Соцстрах | износ спец | содерж оборуд | цех расх | общезаводск | админ расход | заводск себест | расход на сбыт | полная себест |
| План | 3741,6 | 86,2 | 0 | 567 | 36,8 | 228,2 | 54 | 1293,2 | 750,4 | 986,6 | 586,8 | 8330,8 | 112,2 | 8443 |
| Факт | 2278 | 0 | 76 | 790 | 71 | 340 | 0 | 2157 | 1162 | 1750 | 1245 | 9869 | 240 | 10109 |
| Отклон | -1463,6 | -86,2 | 76 | 223 | 34,2 | 111,8 | -54 | 863,8 | 411,6 | 763,4 | 658,2 | 1538,2 | 127,8 | 1666 |
| 09.04 | Сырье и мат. | Покупн. | Транспорт | з-та основн | з-та допол | Соцстрах | износ спец | содерж оборуд | цех расх | общезаводск | админ расход | завод себест | расход на сбыт | полная себест |
| План | 1313,4 | 20,8 | 0 | 267 | 24,2 | 114,8 | 0 | 2603,8 | 352,6 | 472,4 | 2280,2 | 7449,2 | 37,8 | 7487 |
| Факт | 505 | 0 | 12 | 776 | 69 | 334 | 0 | 2202 | 1186 | 2731 | 1576 | 9391 | 51 | 9442 |
| Отклон | -808,4 | -20,8 | 12 | 509 | 44,8 | 219,2 | 0 | -401,8 | 833,4 | 2258,6 | -704,2 | 1941,8 | 13,2 | 1955 |
| 10.04 | Сырье и мат. | Покупн. | Транспорт | з-та основн | з-та допол | Соцстрах | износ спец | содерж оборуд | цех расх | общезаводск | админ расход | завод себест | расход на сбыт | полная себест |
| План | 6803 | 994 | 2418 | 2040 | 1836 | 6768 | 6693 | 5793 | 8998 | 5081 | 1015 | 48439 | 300 | 48739 |
| Факт | 6730 | 1000 | 3045 | 1965 | 1456 | 5468 | 4500 | 6032 | 9300 | 5103 | 950 | 45549 | 250 | 45799 |
| Отклон | -73 | 6 | 627 | -75 | -380 | -1300 | -2193 | 239 | 302 | 22 | -65 | -2890 | -50 | -2940 |
| 11.04 | Сырье и мат. | Покупн. | Транспорт | з-та основн | з-та допол | Соцстрах | износ спец | содерж оборуд | цех расх | общезаводск | админ расход | завод себест | расход на сбыт | полная себест |
| План | 3694 | 116 | 1026 | 5605 | 504 | 2430 | 7351 | 1129 | 3886 | 2465 | 855 | 29061 | 500 | 29561 |
| Факт | 2700 | 120 | 950 | 5534 | 476 | 2280 | 6994 | 2125 | 6400 | 1107 | 996 | 29682 | 630 | 30312 |
| Отклон | -994 | 4 | -76 | -71 | -28 | -150 | -357 | 996 | 2514 | -1358 | 141 | 621 | 130 | 751 |
| 12.04 | Сырье и мат | покупн | трансп | зп основн | зп допол | соцстрах | износ | содерж оборуд | цех расх | общезав расх | админ расх | завод себест | сбыт расх | полная себест |
| план | 3191 | 3005 | 186 | 2662 | 240 | 1144 | 1251 | 6016 | 3514 | 4712 | 2795 | 28716 | 311 | 29027 |
| факт | 5210 | 3886 | 433 | 2492 | 584 | 1791 | 1408 | 3921 | 5504 | 4667 | 1062 | 30958 | 1539 | 32497 |
| отклон | 2019 | 881 | 247 | -170 | 344 | 647 | 157 | -2095 | 1990 | -45 | -1733 | 2242 | 1228 | 3470 |
| 01.05 | Сырье и мат | покупн | трансп | зп основн | зп дополн | соцстрах | износ | содерж оборуд | цех расх | общезав расх | админ расх | завод себест | сбыт расх | полная себест |
| план | 6676 | 1192 | 399 | 2664 | 239 | 1155 | 1252 | 6022 | 3574 | 4765 | 2799 | 30737 | 4571 | 35308 |
| факт | 5657 | 1823 | 1133 | 4504 | 405 | 1764 | 452 | 7354 | 5054 | 1624 | 1247 | 31017 | 1802 | 32819 |
| отклон | -1019 | 631 | 734 | 1840 | 166 | 609 | -800 | 1332 | 1480 | -3141 | -1552 | 280 | -2769 | -2489 |
| 02.05 | Сырье и мат | покупн | трансп | зп основн | зп дополн | соцстрах | износ | содерж оборуд | цех расх | общезав расх | админ расх | завод себест | сбыт расх | полная себест |
| план | 6009 | 861 | 438 | 2304 | 207 | 990 | 1083 | 5209 | 3041 | 4078 | 2496 | 26716 | 3830 | 30546 |
| факт | 7192 | 740 | 742 | 4653 | 508 | 1382 | 771 | 1499 | 2066 | 5418 | 1062 | 26033 | 6669 | 32702 |
| отклон | 1183 | -121 | 304 | 2349 | 301 | 392 | -312 | -3710 | -975 | 1340 | -1434 | -683 | 2839 | 2156 |
Sheet 2: dataLit
| ДОДАТОК А (продовження) | ||||||||||||||
| Вихідні дані по сталевому литтю | ||||||||||||||
| 01.04 | Сырье и мат | покупн | трансп | зп осн | зп доп | соцстр | износ спец | расх на содерж | цехов расх | общезав расх | админ расх | заводск себест | сбыт расх | полная себест |
| План | 510 | 153 | 10 | 630 | 30,3 | 0 | 247,4 | 144,6 | 193,9 | 114,9 | 320 | 2354,1 | 17,3 | 2371,4 |
| факт | 851 | 24 | 15 | 787 | 71 | 338 | 0 | 254 | 136 | 372 | 178 | 3026 | 16 | 3042 |
| отклон | 341 | -129 | 5 | 157 | 40,7 | 338 | -247,4 | 109,4 | -57,9 | 257,1 | -142 | 671,9 | -1,3 | 670,6 |
| 02.04 | Сырье и мат | покупн | трансп | зп осн | зп доп | соцстр | износ спец | расх на содерж | цехов расх | общезав расх | админ расх | заводск себест | сбыт расх | полная себест |
| План | 2648 | 0 | 72 | 209,3 | 18,75 | 90,05 | 176 | 620,65 | 353,8 | 5183 | 303,95 | 9675,5 | 135 | 9810,5 |
| факт | 864 | 30 | 0 | 117 | 106 | 506 | 193 | 266 | 1434 | 4821 | 393 | 8730 | 64 | 8794 |
| отклон | -1784 | 30 | -72 | -92,3 | 87,25 | 415,95 | 17 | -354,65 | 1080,2 | -362 | 89,05 | -945,5 | -71 | -1016,5 |
| 03.04 | Сырье и мат | покупн | трансп | зп осн | зп доп | соцстр | износ спец | расх на содерж | цехов расх | общезав расх | админ расх | заводск себест | сбыт расх | полная себест |
| План | 1200 | 100 | 55 | 200 | 153 | 123 | 342 | 450 | 250 | 325 | 200 | 3398 | 50 | 3448 |
| факт | 2558 | 215 | 49 | 208 | 103 | 89 | 353 | 762 | 410 | 383 | 463 | 5593 | 40 | 5633 |
| отклон | 1358 | 115 | -6 | 8 | -50 | -34 | 11 | 312 | 160 | 58 | 263 | 2195 | -10 | 2185 |
| 04.04 | Сырье и мат | покупн | трансп | зп осн | зп доп | соцстр | износ спец | расх на содерж | цехов расх | общезав расх | админ расх | заводск себест | сбыт расх | полная себест |
| План | 5193,9 | 120,7 | 67 | 867,3 | 42,7 | 352,4 | 154 | 1972 | 1137,2 | 1495,4 | 893,1 | 12295,7 | 178,5 | 12474,2 |
| факт | 3977 | 151 | 100 | 1484 | 133 | 637 | 10 | 2760 | 1485 | 2755 | 2240 | 15732 | 353 | 16085 |
| отклон | -1216,9 | 30,3 | 33 | 616,7 | 90,3 | 284,6 | -144 | 788 | 347,8 | 1259,6 | 1346,9 | 3436,3 | 174,5 | 3610,8 |
| 05.04 | Сырье и мат | покупн | трансп | зп осн | зп доп | соцстр | износ спец | расх на содерж | цехов расх | общезав расх | админ расх | заводск себест | сбыт расх | полная себест |
| План | 2537,1 | 34,3 | 72 | 486,7 | 36,3 | 210,6 | 105 | 2088,3 | 4633,8 | 850,6 | 503,9 | 11558,6 | 83,5 | 11642,1 |
| факт | 1952,9 | 20 | 138 | 981 | 88 | 422 | 43 | 3930 | 3193 | 2156 | 3126 | 16049,9 | 163 | 16212,9 |
| отклон | -584,2 | -14,3 | 66 | 494,3 | 51,7 | 211,4 | -62 | 1841,7 | -1440,8 | 1305,4 | 2622,1 | 4491,3 | 79,5 | 4570,8 |
| 06.04 | Сырье и мат | покупн | трансп | зп осн | зп доп | соцстр | износ спец | расх на содерж | цехов расх | общезав расх | админ расх | заводск себест | сбыт расх | полная себест |
| План | 3779 | 48 | 45,5 | 702 | 140 | 200 | 55 | 987 | 520 | 379 | 205 | 7060,5 | 50 | 7110,5 |
| факт | 4257 | 69 | 5 | 742 | 152 | 307 | 20 | 406 | 100 | 581 | 199 | 6838 | 86 | 6924 |
| отклон | 478 | 21 | -40,5 | 40 | 12 | 107 | -35 | -581 | -420 | 202 | -6 | -222,5 | 36 | -186,5 |
| 07.04 | Сырье и мат | покупн | трансп | зп осн | зп доп | соцстр | износ спец | расх на содерж | цехов расх | общезав расх | админ расх | заводск себест | сбыт расх | полная себест |
| План | 4272 | 137 | 11 | 1581 | 35 | 215 | 90 | 1340 | 2772 | 1021 | 592 | 12066 | 136 | 12202 |
| факт | 5686 | 200 | 49 | 1644 | 149 | 707 | 0 | 2305 | 1841 | 3727 | 800 | 17108 | 220 | 17328 |
| отклон | 1414 | 63 | 38 | 63 | 114 | 492 | -90 | 965 | -931 | 2706 | 208 | 5042 | 84 | 5126 |
| 08.04 | Сырье и мат | покупн | трансп | зп осн | зп доп | соцстр | износ спец | расх на содерж | цехов расх | общезав расх | админ расх | заводск себест | сбыт расх | полная себест |
| План | 3741,6 | 86,2 | 94 | 567 | 36,8 | 228,2 | 54 | 1293,2 | 750,4 | 986,6 | 586,8 | 8424,8 | 112,2 | 8537 |
| факт | 2278 | 100 | 76 | 790 | 72 | 340 | 0 | 2157 | 1162 | 1750 | 1245 | 9970 | 240 | 10210 |
| отклон | -1463,6 | 13,8 | -18 | 223 | 35,2 | 111,8 | -54 | 863,8 | 411,6 | 763,4 | 658,2 | 1545,2 | 127,8 | 1673 |
| 09.04 | Сырье и мат | покупн | трансп | зп осн | зп доп | соцстр | износ спец | расх на содерж | цехов расх | общезав расх | админ расх | заводск себест | сбыт расх | полная себест |
| План | 1313,4 | 20,8 | 36,9 | 267 | 24,2 | 114,8 | 77 | 603,8 | 352,6 | 472,4 | 280,2 | 3563,1 | 37,8 | 3600,9 |
| факт | 505 | 31 | 12 | 776 | 59 | 334 | 21 | 220 | 118 | 906 | 157 | 3139 | 51 | 3190 |
| отклон | -808,4 | 10,2 | -24,9 | 509 | 34,8 | 219,2 | -56 | -383,8 | -234,6 | 433,6 | -123,2 | -424,1 | 13,2 | -410,9 |
| 10.04 | Сырье и мат | покупн | трансп | зп осн | зп доп | соцстр | износ спец | расх на содерж | цехов расх | общезав расх | админ расх | заводск себест | сбыт расх | полная себест |
| План | 1969 | 192 | 49,9 | 231,6 | 20,6 | 99,21 | 0 | 449,37 | 285,6 | 306 | 248,7 | 3851,98 | 18,3 | 3870,28 |
| факт | 1852 | 199 | 59 | 1243 | 11 | 533 | 12 | 459 | 194 | 515 | 307 | 5384 | 29 | 5413 |
| отклон | -117 | 7 | 9,1 | 1011,4 | -9,6 | 433,79 | 12 | 9,63 | -91,6 | 209 | 58,3 | 1532,02 | 10,7 | 1542,72 |
| 11.04 | Сырье и мат | покупн | трансп | зп осн | зп доп | соцстр | износ спец | расх на содерж | цехов расх | общезав расх | админ расх | заводск себест | сбыт расх | полная себест |
| План | 1022 | 345 | 38 | 544 | 144 | 361 | 0 | 108 | 143 | 575 | 83 | 3363 | 100 | 3463 |
| факт | 1345 | 280 | 101 | 706 | 204 | 123 | 0 | 346 | 150 | 428 | 127 | 3810 | 93 | 3903 |
| отклон | 323 | -65 | 63 | 162 | 60 | -238 | 0 | 238 | 7 | -147 | 44 | 447 | -7 | 440 |
| 12.04 | Сырье и мат | покупн | трансп | зп осн | зп доп | соцстр | износ спец | расх на содерж | цехов расх | общезав расх | админ расх | заводск себест | сбыт расх | полная себест |
| План | 7990,5 | 223,6 | 54 | 2068,5 | 190,22 | 1905,5 | 0 | 4711,5 | 2738,5 | 3697 | 2177 | 25756,32 | 352,12 | 26108,44 |
| факт | 6296 | 300 | 137 | 3738 | 697 | 1327 | 281 | 1769 | 3527 | 5231 | 1489 | 24792 | 1741 | 26533 |
| отклон | -1694,5 | 76,4 | 83 | 1669,5 | 506,78 | -578,5 | 281 | -2942,5 | 788,5 | 1534 | -688 | -964,32 | 1388,88 | 424,56 |
| 01.04 | Сырье и мат | покупн | трансп | зп осн | зп доп | соцстр | износ спец | расх на содерж | цехов расх | общезав расх | админ расх | заводск себест | сбыт расх | полная себест |
| План | 6335 | 197 | 191 | 6874 | 169 | 806 | 123 | 4236 | 2474 | 3318 | 1968 | 26691 | 329 | 27020 |
| факт | 6873 | 55 | 15 | 4558 | 410 | 1959 | 70 | 1874 | 2010 | 4712 | 1315 | 23851 | 182 | 24033 |
| отклон | 538 | -142 | -176 | -2316 | 241 | 1153 | -53 | -2362 | -464 | 1394 | -653 | -2840 | -147 | -2987 |
| 02.05 | Сырье и мат | покупн | трансп | зп осн | зп доп | соцстр | износ спец | расх на содерж | цехов расх | общезав расх | админ расх | заводск себест | сбыт расх | полная себест |
| План | 7380 | 342 | 221 | 2935 | 264 | 1262 | 0 | 6633 | 3874 | 2391 | 3082 | 28384 | 480 | 28864 |
| факт | 8328 | 200 | 159 | 2570 | 450 | 1061 | 105 | 5698 | 3667 | 2193 | 2780 | 27211 | 444 | 27655 |
| отклон | 948 | -142 | -62 | -365 | 186 | -201 | 105 | -935 | -207 | -198 | -302 | -1173 | -36 | -1209 |
Sheet 3: dataYslyg
| ДОДАТОК А (продовження) | ||||||||||||||
| Вихідні дані по послугам промхарактера | ||||||||||||||
| 01.04 | Сырье и мат | покупн | трансп | зп осн | зп доп | соцстр | износ спец | расх на содерж | цехов расх | общезав расх | админ расх | заводск себест | сбыт расх | полная себест |
| План | 1517 | 112 | 46 | 7607 | 685 | 270 | 598 | 2108 | 1231 | 1651 | 9795 | 25620 | 930 | 26550 |
| факт | 1846 | 43 | 54 | 7213 | 648 | 310 | 1542 | 2330 | 1255 | 1659 | 9752 | 26652 | 837 | 27489 |
| отклон | 329 | -69 | 8 | -394 | -37 | 40 | 944 | 222 | 24 | 8 | -43 | 1032 | -93 | 939 |
| 02.04 | Сырье и мат | покупн | трансп | зп осн | зп доп | соцстр | износ спец | расх на содерж | цехов расх | общезав расх | админ расх | заводск себест | сбыт расх | полная себест |
| План | 350 | 0 | 12 | 407 | 361 | 172 | 842 | 1088 | 635 | 852 | 505 | 5224 | 46,6 | 5270,6 |
| факт | 750 | 26 | 0 | 291 | 262 | 125 | 632 | 2080 | 1344 | 932 | 727 | 7169 | 23,7 | 7192,7 |
| отклон | 400 | 26 | -12 | -116 | -99 | -47 | -210 | 992 | 709 | 80 | 222 | 1945 | -22,9 | 1922,1 |
| 03.04 | Сырье и мат | покупн | трансп | зп осн | зп доп | соцстр | износ спец | расх на содерж | цехов расх | общезав расх | админ расх | заводск себест | сбыт расх | полная себест |
| План | 530 | 534 | 22 | 765 | 689 | 328 | 1607 | 1996 | 1176 | 1567 | 93 | 9307 | 835 | 10142 |
| факт | 463 | 376 | 39 | 655 | 588 | 428 | 1971 | 1375 | 1746 | 1200 | 144 | 8985 | 925 | 9910 |
| отклон | -67 | -158 | 17 | -110 | -101 | 100 | 364 | -621 | 570 | -367 | 51 | -322 | 90 | -232 |
| 04.04 | Сырье и мат | покупн | трансп | зп осн | зп доп | соцстр | износ спец | расх на содерж | цехов расх | общезав расх | админ расх | заводск себест | сбыт расх | полная себест |
| План | 263 | 735 | 8 | 7980 | 718 | 343 | 1676 | 2035 | 1188 | 1594 | 946 | 17486 | 837 | 18323 |
| факт | 192 | 916 | 11 | 7411 | 666 | 393 | 1909 | 1498 | 1800 | 1798 | 1126 | 17720 | 1612 | 19332 |
| отклон | -71 | 181 | 3 | -569 | -52 | 50 | 233 | -537 | 612 | 204 | 180 | 234 | 775 | 1009 |
| 05.04 | Сырье и мат | покупн | трансп | зп осн | зп доп | соцстр | износ спец | расх на содерж | цехов расх | общезав расх | админ расх | заводск себест | сбыт расх | полная себест |
| План | 194 | 645 | 0 | 1027 | 925 | 441 | 2156 | 2804 | 1638 | 2196 | 1304 | 13330 | 116 | 13446 |
| факт | 227 | 756 | 9 | 1065 | 960 | 458 | 2188 | 3178 | 1030 | 1343 | 2185 | 13399 | 156 | 13555 |
| отклон | 33 | 111 | 9 | 38 | 35 | 17 | 32 | 374 | -608 | -853 | 881 | 69 | 40 | 109 |
| 06.04 | Сырье и мат | покупн | трансп | зп осн | зп доп | соцстр | износ спец | расх на содерж | цехов расх | общезав расх | админ расх | заводск себест | сбыт расх | полная себест |
| План | 205 | 123 | 8 | 442 | 395 | 189 | 977 | 1051 | 593 | 795 | 472 | 5250 | 394 | 5644 |
| факт | 350 | 645 | 0 | 429 | 485 | 184 | 1095 | 1843 | 454 | 956 | 586 | 7027 | 403 | 7430 |
| отклон | 145 | 522 | -8 | -13 | 90 | -5 | 118 | 792 | -139 | 161 | 114 | 1777 | 9 | 1786 |
| 07.04 | Сырье и мат | покупн | трансп | зп осн | зп доп | соцстр | износ спец | расх на содерж | цехов расх | общезав расх | админ расх | заводск себест | сбыт расх | полная себест |
| План | 1956 | 798 | 48 | 1299 | 1014 | 486 | 2376 | 2874 | 1678 | 2251 | 135 | 14915 | 119 | 15034 |
| факт | 1168 | 453 | 16 | 1098 | 1881 | 522 | 2380 | 2999 | 1561 | 2981 | 169 | 15228 | 194 | 15422 |
| отклон | -788 | -345 | -32 | -201 | 867 | 36 | 4 | 125 | -117 | 730 | 34 | 313 | 75 | 388 |
| 08.04 | Сырье и мат | покупн | трансп | зп осн | зп доп | соцстр | износ спец | расх на содерж | цехов расх | общезав расх | админ расх | заводск себест | сбыт расх | полная себест |
| План | 1036 | 1186 | 8 | 1251 | 1126 | 537 | 2889 | 3256 | 1978 | 2570 | 1525 | 17362 | 373 | 17735 |
| факт | 982 | 978 | 32 | 1381 | 1068 | 571 | 3997 | 2799 | 2051 | 2608 | 1859 | 18326 | 297 | 18623 |
| отклон | -54 | -208 | 24 | 130 | -58 | 34 | 1108 | -457 | 73 | 38 | 334 | 964 | -76 | 888 |
| 09.04 | Сырье и мат | покупн | трансп | зп осн | зп доп | соцстр | износ спец | расх на содерж | цехов расх | общезав расх | админ расх | заводск себест | сбыт расх | полная себест |
| План | 3816 | 753 | 12 | 1063 | 957 | 456 | 2489 | 2711 | 1583 | 2123 | 1260 | 17223 | 115 | 17338 |
| факт | 3602 | 486 | 90 | 1941 | 849 | 455 | 3012 | 2656 | 1731 | 3324 | 1914 | 20060 | 93 | 20153 |
| отклон | -214 | -267 | 78 | 878 | -108 | -1 | 523 | -55 | 148 | 1201 | 654 | 2837 | -22 | 2815 |
| 10.04 | Сырье и мат | покупн | трансп | зп осн | зп доп | соцстр | износ спец | расх на содерж | цехов расх | общезав расх | админ расх | заводск себест | сбыт расх | полная себест |
| План | 1867 | 546 | 92 | 456 | 411 | 195 | 1596 | 1335 | 821 | 1473 | 468 | 9260 | 531 | 9791 |
| факт | 1812 | 435 | 26 | 553 | 499 | 237 | 1994 | 1691 | 910 | 895 | 584 | 9636 | 415 | 10051 |
| отклон | -55 | -111 | -66 | 97 | 88 | 42 | 398 | 356 | 89 | -578 | 116 | 376 | -116 | 260 |
| 11.04 | Сырье и мат | покупн | трансп | зп осн | зп доп | соцстр | износ спец | расх на содерж | цехов расх | общезав расх | админ расх | заводск себест | сбыт расх | полная себест |
| План | 2979 | 948 | 110 | 8832 | 7904 | 3996 | 340 | 1425 | 767 | 1513 | 153 | 28967 | 199 | 29166 |
| факт | 3056 | 768 | 15 | 8705 | 6951 | 4123 | 0 | 1123 | 1012 | 1678 | 127 | 27558 | 193 | 27751 |
| отклон | 77 | -180 | -95 | -127 | -953 | 127 | -340 | -302 | 245 | 165 | -26 | -1409 | -6 | -1415 |
| 12.04 | Сырье и мат | покупн | трансп | зп осн | зп доп | соцстр | износ спец | расх на содерж | цехов расх | общезав расх | админ расх | заводск себест | сбыт расх | полная себест |
| План | 606 | 343 | 8 | 6773 | 610 | 2913 | 1798 | 1694 | 1040 | 1348 | 799 | 17932 | 145 | 18077 |
| факт | 795 | 153 | 17 | 7650 | 703 | 1428 | 1714 | 1848 | 702 | 1218 | 600 | 16828 | 123 | 16951 |
| отклон | 189 | -190 | 9 | 877 | 93 | -1485 | -84 | 154 | -338 | -130 | -199 | -1104 | -22 | -1126 |
| 01.04 | Сырье и мат | покупн | трансп | зп осн | зп доп | соцстр | износ спец | расх на содерж | цехов расх | общезав расх | админ расх | заводск себест | сбыт расх | полная себест |
| План | 835 | 65 | 197 | 7652 | 689 | 3290 | 2807 | 1729 | 1010 | 1354 | 803 | 20431 | 751 | 21182 |
| факт | 700 | 57 | 168 | 7950 | 534 | 2556 | 3528 | 1918 | 533 | 2238 | 174 | 20356 | 230 | 20586 |
| отклон | -135 | -8 | -29 | 298 | -155 | -734 | 721 | 189 | -477 | 884 | -629 | -75 | -521 | -596 |
| 02.05 | Сырье и мат | покупн | трансп | зп осн | зп доп | соцстр | износ спец | расх на содерж | цехов расх | общезав расх | админ расх | заводск себест | сбыт расх | полная себест |
| План | 7377 | 1560 | 217 | 1087 | 979 | 467 | 4748 | 2521 | 1435 | 1925 | 114 | 22430 | 50 | 22480 |
| факт | 8107 | 585 | 165 | 1273 | 1144 | 547 | 4306 | 1495 | 1882 | 2220 | 256 | 21980 | 153 | 22133 |
| отклон | 730 | -975 | -52 | 186 | 165 | 80 | -442 | -1026 | 447 | 295 | 142 | -450 | 103 | -347 |
Sheet 4: dataOther
| ДОДАТОК А (продовження) | ||||||||||||||
| Вихідні дані по іншій продукції | ||||||||||||||
| 01.04 | Сырье и мат | покупн | трансп | зп осн | зп доп | соцстр | износ спец | расх на содерж | цехов расх | общезав расх | админ расх | заводск себест | сбыт расх | полная себест |
| План | 8829 | 687 | 2672 | 3615 | 3254 | 1554 | 7588 | 6748 | 3942 | 5218 | 3134 | 47241 | 3691 | 50932 |
| факт | 8296 | 697 | 1805 | 4012 | 3611 | 1724 | 3360 | 7245 | 5467 | 9231 | 3743 | 49191 | 2448 | 51639 |
| отклон | -533 | 10 | -867 | 397 | 357 | 170 | -4228 | 497 | 1525 | 4013 | 609 | 1950 | -1243 | 707 |
| 02.04 | Сырье и мат | покупн | трансп | зп осн | зп доп | соцстр | износ спец | расх на содерж | цехов расх | общезав расх | админ расх | заводск себест | сбыт расх | полная себест |
| План | 5305 | 465 | 1607 | 2579 | 2325 | 1109 | 5420 | 5343 | 3118 | 4189 | 2480 | 33940 | 2894 | 36834 |
| факт | 5606 | 0 | 1744 | 2452 | 2204 | 1054 | 2345 | 5567 | 2998 | 5117 | 3117 | 32204 | 3371 | 35575 |
| отклон | 301 | -465 | 137 | -127 | -121 | -55 | -3075 | 224 | -120 | 928 | 637 | -1736 | 477 | -1259 |
| 03.04 | Сырье и мат | покупн | трансп | зп осн | зп доп | соцстр | износ спец | расх на содерж | цехов расх | общезав расх | админ расх | заводск себест | сбыт расх | полная себест |
| План | 7286 | 0 | 2185 | 2705 | 2434 | 1163 | 5684 | 6082 | 3552 | 4764 | 2826 | 38681 | 3162 | 41843 |
| факт | 6233 | 855 | 2397 | 2329 | 2094 | 1001 | 9774 | 5574 | 2999 | 4286 | 3183 | 40725 | 2312 | 43037 |
| отклон | -1053 | 855 | 212 | -376 | -340 | -162 | 4090 | -508 | -553 | -478 | 357 | 2044 | -850 | 1194 |
| 04.04 | Сырье и мат | покупн | трансп | зп осн | зп доп | соцстр | износ спец | расх на содерж | цехов расх | общезав расх | админ расх | заводск себест | сбыт расх | полная себест |
| План | 6433 | 1811 | 1863 | 1666 | 7999 | 3905 | 4136 | 2415 | 3238 | 1922 | 2299 | 37687 | 1045 | 38732 |
| факт | 5335 | 0 | 2401 | 1764 | 586 | 7584 | 6762 | 3048 | 1641 | 1276 | 2671 | 33068 | 938 | 34006 |
| отклон | -1098 | -1811 | 538 | 98 | -7413 | 3679 | 2626 | 633 | -1597 | -646 | 372 | -4619 | -107 | -4726 |
| 05.04 | Сырье и мат | покупн | трансп | зп осн | зп доп | соцстр | износ спец | расх на содерж | цехов расх | общезав расх | админ расх | заводск себест | сбыт расх | полная себест |
| План | 7068 | 7818 | 4466 | 2395 | 2156 | 1031 | 5330 | 5398 | 3153 | 4228 | 2509 | 45552 | 3814 | 49366 |
| факт | 6631 | 8282 | 4793 | 2238 | 2013 | 962 | 6850 | 4588 | 3471 | 4918 | 1545 | 46291 | 4263 | 50554 |
| отклон | -437 | 464 | 327 | -157 | -143 | -69 | 1520 | -810 | 318 | 690 | -964 | 739 | 449 | 1188 |
| 06.04 | Сырье и мат | покупн | трансп | зп осн | зп доп | соцстр | износ спец | расх на содерж | цехов расх | общезав расх | админ расх | заводск себест | сбыт расх | полная себест |
| План | 1228 | 1211 | 7318 | 2573 | 2286 | 1106 | 5627 | 5813 | 3395 | 4553 | 2701 | 37811 | 512 | 38323 |
| факт | 1019 | 1385 | 6863 | 2506 | 2253 | 1277 | 6690 | 5738 | 3086 | 4569 | 2124 | 37510 | 236 | 37746 |
| отклон | -209 | 174 | -455 | -67 | -33 | 171 | 1063 | -75 | -309 | 16 | -577 | -301 | -276 | -577 |
| 07.04 | Сырье и мат | покупн | трансп | зп осн | зп доп | соцстр | износ спец | расх на содерж | цехов расх | общезав расх | админ расх | заводск себест | сбыт расх | полная себест |
| План | 4806 | 2363 | 8532 | 1551 | 1395 | 6668 | 3398 | 3505 | 2047 | 2745 | 1654 | 38664 | 1775 | 40439 |
| факт | 4462 | 2456 | 10000 | 1647 | 783 | 6582 | 5173 | 2772 | 3763 | 2787 | 1354 | 41779 | 1345 | 43124 |
| отклон | -344 | 93 | 1468 | 96 | -612 | -86 | 1775 | -733 | 1716 | 42 | -300 | 3115 | -430 | 2685 |
| 08.04 | Сырье и мат | покупн | трансп | зп осн | зп доп | соцстр | износ спец | расх на содерж | цехов расх | общезав расх | админ расх | заводск себест | сбыт расх | полная себест |
| План | 5509 | 7923 | 4030 | 1477 | 1330 | 635 | 3101 | 3335 | 1947 | 2510 | 1545 | 33342 | 285 | 33627 |
| факт | 6253 | 7335 | 4254 | 1192 | 1169 | 511 | 4127 | 3991 | 1610 | 2634 | 1874 | 34950 | 526 | 35476 |
| отклон | 744 | -588 | 224 | -285 | -161 | -124 | 1026 | 656 | -337 | 124 | 329 | 1608 | 241 | 1849 |
| 09.04 | Сырье и мат | покупн | трансп | зп осн | зп доп | соцстр | износ спец | расх на содерж | цехов расх | общезав расх | админ расх | заводск себест | сбыт расх | полная себест |
| План | 7723 | 2521 | 3072 | 1594 | 1435 | 685 | 3348 | 3602 | 2104 | 2821 | 1677 | 30582 | 254 | 30836 |
| факт | 7419 | 4335 | 3507 | 1659 | 1495 | 713 | 4112 | 3109 | 1516 | 3012 | 1577 | 32454 | 346 | 32800 |
| отклон | -304 | 1814 | 435 | 65 | 60 | 28 | 764 | -493 | -588 | 191 | -100 | 1872 | 92 | 1964 |
| 10.04 | Сырье и мат | покупн | трансп | зп осн | зп доп | соцстр | износ спец | расх на содерж | цехов расх | общезав расх | админ расх | заводск себест | сбыт расх | полная себест |
| План | 2883 | 550 | 641 | 7484 | 673 | 3225 | 4074 | 8103 | 2282 | 1853 | 869 | 32637 | 785 | 33422 |
| факт | 2773 | 338 | 698 | 6954 | 624 | 2989 | 4962 | 8276 | 2206 | 2884 | 1003 | 33707 | 893 | 34600 |
| отклон | -110 | -212 | 57 | -530 | -49 | -236 | 888 | 173 | -76 | 1031 | 134 | 1070 | 108 | 1178 |
| 11.04 | Сырье и мат | покупн | трансп | зп осн | зп доп | соцстр | износ спец | расх на содерж | цехов расх | общезав расх | админ расх | заводск себест | сбыт расх | полная себест |
| План | 3391 | 467 | 1305 | 7412 | 666 | 3186 | 2693 | 6550 | 1014 | 2948 | 1865 | 31497 | 1406 | 32903 |
| факт | 3226 | 578 | 1469 | 5678 | 850 | 4035 | 1995 | 7895 | 1034 | 2578 | 1765 | 31103 | 1543 | 32646 |
| отклон | -165 | 111 | 164 | -1734 | 184 | 849 | -698 | 1345 | 20 | -370 | -100 | -394 | 137 | -257 |
| 12.04 | Сырье и мат | покупн | трансп | зп осн | зп доп | соцстр | износ спец | расх на содерж | цехов расх | общезав расх | админ расх | заводск себест | сбыт расх | полная себест |
| План | 5393 | 2493 | 2462 | 1764 | 1588 | 758 | 3952 | 3986 | 2328 | 3122 | 1852 | 29698 | 245 | 29943 |
| факт | 5439 | 3218 | 2237 | 1505 | 1354 | 647 | 4706 | 4006 | 3151 | 2406 | 2509 | 31178 | 378 | 31556 |
| отклон | 46 | 725 | -225 | -259 | -234 | -111 | 754 | 20 | 823 | -716 | 657 | 1480 | 133 | 1613 |
| 01.04 | Сырье и мат | покупн | трансп | зп осн | зп доп | соцстр | износ спец | расх на содерж | цехов расх | общезав расх | админ расх | заводск себест | сбыт расх | полная себест |
| План | 4570 | 1446 | 1414 | 8574 | 772 | 3686 | 1801 | 1948 | 1131 | 1517 | 903 | 27762 | 123 | 27885 |
| факт | 3795 | 1535 | 1033 | 9986 | 875 | 2816 | 801 | 3042 | 675 | 1158 | 1034 | 26750 | 559 | 27309 |
| отклон | -775 | 89 | -381 | 1412 | 103 | -870 | -1000 | 1094 | -456 | -359 | 131 | -1012 | 436 | -576 |
| 02.05 | Сырье и мат | покупн | трансп | зп осн | зп доп | соцстр | износ спец | расх на содерж | цехов расх | общезав расх | админ расх | заводск себест | сбыт расх | полная себест |
| План | 4104 | 6113 | 1415 | 6119 | 551 | 2637 | 5929 | 1438 | 8078 | 1083 | 642 | 38109 | 398 | 38507 |
| факт | 5316 | 3636 | 1370 | 5963 | 535 | 2560 | 6389 | 1616 | 8706 | 1311 | 432 | 37834 | 205 | 38039 |
| отклон | 1212 | -2477 | -45 | -156 | -16 | -77 | 460 | 178 | 628 | 228 | -210 | -275 | -193 | -468 |
Overview
zastavkamain
sub>s_finance
sub>s_ishData
sub>s_model
sub>s_Graf
numb_prib
dataPress
dataLit
dataYslyg
dataOther
sokrPress
sokrLit
sokrYslyg
sokrOther
results
Исходныя данныя
Экспресс-анализ
Ликвидность
Коэффициенты
Sheet 1: zastavka
|
|||||||||
|
|||||||||
| Информационная система поддержки принятия решений | |||||||||
| ОАО "Днепрополимермаш" | |||||||||
|
|
|
|||||||
Sheet 2: main
|
|||||||||||||||
| Экономическая часть | Математическая часть | ||||||||||||||
|
|||||||||||||||
| ? | |||||||||||||||
|
|||||||||||||||
| ? | |||||||||||||||
|
|||||||||||||||
| ? | |||||||||||||||
|
|||||||||||||||
| ? |
|
||||||||||||||
| ? | |||||||||||||||
|
|
Сайт компании | |||||||||||||
| Сайт разработчика |
Sheet 3: sub>s_finance
|
||||||||||
|
||||||||||
|
||||||||||
| ? | ||||||||||
|
||||||||||
Sheet 4: sub>s_ishData
|
|
||||||||||
| Ввод данных | Массивы агрегированных показателей | ||||||||||
|
|
|
|||||||||
|
|||||||||||
|
|||||||||||
Sheet 5: sub>s_model
|
||||||||||||
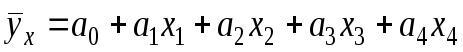
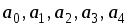
| При моделировании связи элементов себестоимости и прибыли используется многофакторная линейная регрессионная модель. Данная модель содержит 4 фактора | Выберите объект моделирования: | |||||||||||
|
||||||||||||
|
||||||||||||
|
||||||||||||
|
||||||||||||
| где: | x1 - | Сырье, материалы, полуфабрикаты, транспорт | Нажмите кнопку для перехода к странице моделирования | |||||||||
| x2 - | Зарплата и социальное страхование | |||||||||||
| x3 - | Затраты на оборудование, цеховые и общезаводские | |||||||||||
| x4 - | Административные и сбытовые расходы | |||||||||||
| y - | Прибыль по видам продукции |
|
||||||||||
| - неизвестные параметры регрессии | ||||||||||||
Sheet 6: sub>s_Graf
|
|
||||||||||
| Общее удельное отклонение по видам продукции | Агрегированные показатели по видам | ||||||||||
|
|
||||||||||
|
|
||||||||||
|
|
||||||||||
Sheet 7: numb_prib
| Дополнительная информация для расчетов | ||||||||||
| Прибыль и количество продукции | ||||||||||
| Количество произведенной продукции | Прибыль по категориям | |||||||||
| Прессформы | Литье | Услуги промхарактера | Прочая продукция | Месяц | Прессформы | Литье | Услуги промхарактера | Прочая продукция | ||
| 95 | 123 | 47 | 95 | 01.04 | 680,52 | 182,52 | 1649,34 | 3098,34 | ||
| 55 | 49 | 55 | 55 | 02.04 | 876 | 527,64 | 431,562 | 2134,5 | ||
| 50 | 75 | 46 | 65 | 03.04 | 308,82 | 337,98 | 594,6 | 2582,22 | ||
| 67 | 150 | 93 | 130 | 04.04 | 957,06 | 965,1 | 1159,92 | 2040,36 | ||
| 55 | 153 | 35 | 59 | 05.04 | 997,86 | 972,774 | 813,3 | 3033,24 | ||
| 100 | 30 | 50 | 120 | 06.04 | 1619,22 | 415,44 | 445,8 | 2264,76 | ||
| 75 | 96 | 45 | 75 | 07.04 | 911,58 | 1039,68 | 925,32 | 2587,44 | ||
| 30 | 125 | 98 | 111 | 08.04 | 606,54 | 612,6 | 1117,38 | 2128,56 | ||
| 85 | 122 | 103 | 63 | 09.04 | 566,52 | 191,4 | 1209,18 | 1968 | ||
| 42 | 39 | 17 | 88 | 10.04 | 2746,74 | 324,78 | 603,06 | 2076 | ||
| 30 | 37 | 36 | 35 | 11.04 | 1818,72 | 234,18 | 1665,06 | 1958,76 | ||
| 59 | 63 | 28 | 45 | 12.04 | 1949,82 | 1591,98 | 1017,06 | 1893,36 | ||
| 47 | 86 | 41 | 31 | 01.05 | 1969,14 | 1441,98 | 1235,16 | 1638,54 | ||
| 60 | 30 | 39 | 60 | 02.05 | 1962,12 | 1659,3 | 1327,98 | 2282,34 |
Sheet 8: dataPress
|
|
||||||||||||||
| Исходные данные по прессформам | |||||||||||||||
| штук | |||||||||||||||
| 01.04 | Сырье и мат. | Покупн. | Транспорт | з-та основн | з-та допол | Соцстрах | износ спец | содерж оборуд | цехов расход | общезаводск | админ расход | заводск себест | расход на сбыт | полная себест | |
| План | 2510 | 1532 | 0 | 6,3 | 30,3 | 0 | 247,4 | 1446 | 193,9 | 1149 | 300 | 7414,9 | 17,3 | 7432,2 | 95 |
| Факт | 1851 | 246 | 0 | 787 | 71 | 338 | 0 | 2543 | 1369 | 3721 | 400 | 11326 | 16 | 11342 | |
| Отклон | -659 | -1286 | 0 | 780,7 | 40,7 | 338 | -247,4 | 1097 | 1175,1 | 2572 | 100 | 3911,1 | -1,3 | 3909,8 | |
| 02.04 | Сырье и мат. | Покупн. | Транспорт | з-та основн | з-та допол | Соцстрах | износ спец | содерж оборуд | цехов расход | общезаводск | админ расход | заводск себест | расход на сбыт | полная себест | |
| План | 2648 | 0 | 72 | 2093 | 18,75 | 90,05 | 0 | 1620,65 | 353,8 | 3518,6 | 303,95 | 10718,8 | 135,1 | 10853,9 | 55 |
| Факт | 864 | 30 | 0 | 1177 | 106 | 506 | 0 | 2661 | 1434 | 4825 | 2933 | 14536 | 64 | 14600 | |
| Отклон | -1784 | 30 | -72 | -916 | 87,25 | 415,95 | 0 | 1040,35 | 1080,2 | 1306,4 | 2629,05 | 3817,2 | -71,1 | 3746,1 | |
| 03.04 | Сырье и мат. | Покупн. | Транспорт | з-та основн | з-та допол | Соцстрах | износ спец | содерж оборуд | цехов расход | общезаводск | админ расход | заводск себест | расход на сбыт | полная себест | |
| План | 1200 | 100 | 0 | 200 | 0 | 100 | 0 | 450 | 250 | 325 | 200 | 2825 | 50 | 2875 | 50 |
| Факт | 2558 | 215 | 0 | 208 | 19 | 89 | 0 | 762 | 410 | 383 | 463 | 5107 | 40 | 5147 | |
| Отклон | 1358 | 115 | 0 | 8 | 19 | -11 | 0 | 312 | 160 | 58 | 263 | 2282 | -10 | 2272 | |
| 04.04 | Сырье и мат. | Покупн. | Транспорт | з-та основн | з-та допол | Соцстрах | износ спец | содерж оборуд | цеховые расходы | общезаводск | админ расход | заводск себест | расход на сбыт | полная себест | |
| План | 5193,9 | 120,7 | 0 | 867,3 | 42,7 | 352,4 | 154 | 1972,7 | 1137,2 | 1495,4 | 893,1 | 12229,4 | 178,5 | 12407,9 | 67 |
| Факт | 3977 | 151 | 0 | 1484 | 133 | 637 | 0 | 2760 | 1485 | 2755 | 2246 | 15628 | 323 | 15951 | |
| Отклон | -1216,9 | 30,3 | 0 | 616,7 | 90,3 | 284,6 | -154 | 787,3 | 347,8 | 1259,6 | 1352,9 | 3398,6 | 144,5 | 3543,1 | |
| 05.04 | Сырье и мат. | Покупн. | Транспорт | з-та основн | з-та допол | Соцстрах | износ спец | содерж оборуд | цеховые расходы | общезаводск | админ расход | заводск себест | расход на сбыт | полная себест | |
| План | 2537,1 | 34,3 | 0 | 486,7 | 36,3 | 210,6 | 0 | 4088,3 | 3633,8 | 850,6 | 503,9 | 12381,6 | 83,5 | 12465,1 | 55 |
| Факт | 552 | 20 | 0 | 981 | 88 | 422 | 0 | 5930 | 3193 | 2156 | 3126 | 16468 | 163 | 16631 | |
| Отклон | -1985,1 | -14,3 | 0 | 494,3 | 51,7 | 211,4 | 0 | 1841,7 | -440,8 | 1305,4 | 2622,1 | 4086,4 | 79,5 | 4165,9 | |
| 06.04 | Сырье и мат. | Покупн. | Транспорт | з-та основн | з-та допол | Соцстрах | износ спец | содерж оборуд | цеховые расходы | общезаводск | админ расход | заводск себест | расход на сбыт | полная себест | |
| План | 2283 | 121 | 731 | 2573 | 228 | 1106 | 562 | 5813 | 3395 | 4553 | 2701 | 24066 | 512 | 24578 | 100 |
| Факт | 1191 | 138 | 1086 | 2506 | 225 | 1077 | 969 | 5730 | 3086 | 5569 | 5174 | 26751 | 236 | 26987 | |
| Отклон | -1092 | 17 | 355 | -67 | -3 | -29 | 407 | -83 | -309 | 1016 | 2473 | 2685 | -276 | 2409 | |
| 07.04 | Сырье и мат. | Покупн. | Транспорт | з-та основн | з-та допол | Соцстрах | износ спец | содерж оборуд | цеховые расходы | общезаводск | админ расход | заводск себест | расход на сбыт | полная себест | |
| План | 4272 | 137 | 0 | 1581 | 35 | 215 | 90 | 2340 | 772 | 1021 | 2592 | 13055 | 136 | 13191 | 75 |
| Факт | 686 | 0 | 26 | 1644 | 149 | 707 | 0 | 3419 | 1841 | 3727 | 2774 | 14973 | 220 | 15193 | |
| Отклон | -3586 | -137 | 26 | 63 | 114 | 492 | -90 | 1079 | 1069 | 2706 | 182 | 1918 | 84 | 2002 | |
| 08.04 | Сырье и мат. | Покупн. | Транспорт | з-та основн | з-та допол | Соцстрах | износ спец | содерж оборуд | цеховые расходы | общезаводск | админ расход | заводск себест | расход на сбыт | полная себест | |
| План | 3741,6 | 86,2 | 0 | 567 | 36,8 | 228,2 | 54 | 1293,2 | 750,4 | 986,6 | 586,8 | 8330,8 | 112,2 | 8443 | 30 |
| Факт | 2278 | 0 | 76 | 790 | 71 | 340 | 0 | 2157 | 1162 | 1750 | 1245 | 9869 | 240 | 10109 | |
| Отклон | -1463,6 | -86,2 | 76 | 223 | 34,2 | 111,8 | -54 | 863,8 | 411,6 | 763,4 | 658,2 | 1538,2 | 127,8 | 1666 | |
| 09.04 | Сырье и мат. | Покупн. | Транспорт | з-та основн | з-та допол | Соцстрах | износ спец | содерж оборуд | цеховые расходы | общезаводск | админ расход | завод себест | расход на сбыт | полная себест | |
| План | 1313,4 | 20,8 | 0 | 267 | 24,2 | 114,8 | 0 | 2603,8 | 352,6 | 472,4 | 2280,2 | 7449,2 | 37,8 | 7487 | 85 |
| Факт | 505 | 0 | 12 | 776 | 69 | 334 | 0 | 2202 | 1186 | 2731 | 1576 | 9391 | 51 | 9442 | |
| Отклон | -808,4 | -20,8 | 12 | 509 | 44,8 | 219,2 | 0 | -401,8 | 833,4 | 2258,6 | -704,2 | 1941,8 | 13,2 | 1955 | |
| 10.04 | Сырье и мат. | Покупн. | Транспорт | з-та основн | з-та допол | Соцстрах | износ спец | содерж оборуд | цеховые расходы | общезаводск | админ расход | завод себест | расход на сбыт | полная себест | |
| План | 6803 | 994 | 2418 | 2040 | 1836 | 6768 | 6693 | 5793 | 8998 | 5081 | 1015 | 48439 | 300 | 48739 | 42 |
| Факт | 6730 | 1000 | 3045 | 1965 | 1456 | 5468 | 4500 | 6032 | 9300 | 5103 | 950 | 45549 | 250 | 45799 | |
| Отклон | -73 | 6 | 627 | -75 | -380 | -1300 | -2193 | 239 | 302 | 22 | -65 | -2890 | -50 | -2940 | |
| 11.04 | Сырье и мат. | Покупн. | Транспорт | з-та основн | з-та допол | Соцстрах | износ спец | содерж оборуд | цеховые расходы | общезаводск | админ расход | завод себест | расход на сбыт | полная себест | |
| План | 3694 | 116 | 1026 | 5605 | 504 | 2430 | 7351 | 1129 | 3886 | 2465 | 855 | 29061 | 500 | 29561 | 30 |
| Факт | 2700 | 120 | 950 | 5534 | 476 | 2280 | 6994 | 2125 | 6400 | 1107 | 996 | 29682 | 630 | 30312 | |
| Отклон | -994 | 4 | -76 | -71 | -28 | -150 | -357 | 996 | 2514 | -1358 | 141 | 621 | 130 | 751 | |
| 12.04 | Сырье и мат | покупн | трансп | зп основн | зп допол | соцстрах | износ | содерж оборуд | цех расх | общезав расх | админ расх | завод себест | сбыт расх | полная себест | |
| план | 3191 | 3005 | 186 | 2662 | 240 | 1144 | 1251 | 6016 | 3514 | 4712 | 2795 | 28716 | 311 | 29027 | 59 |
| факт | 5210 | 3886 | 433 | 2492 | 584 | 1791 | 1408 | 3921 | 5504 | 4667 | 1062 | 30958 | 1539 | 32497 | |
| отклон | 2019 | 881 | 247 | -170 | 344 | 647 | 157 | -2095 | 1990 | -45 | -1733 | 2242 | 1228 | 3470 | |
| 01.05 | Сырье и мат | покупн | трансп | зп основн | зп дополн | соцстрах | износ | содерж оборуд | цех расх | общезав расх | админ расх | завод себест | сбыт расх | полная себест | |
| план | 6676 | 1192 | 399 | 2664 | 239 | 1155 | 1252 | 6022 | 3574 | 4765 | 2799 | 30737 | 4571 | 35308 | 47 |
| факт | 5657 | 1823 | 1133 | 4504 | 405 | 1764 | 452 | 7354 | 5054 | 1624 | 1247 | 31017 | 1802 | 32819 | |
| отклон | -1019 | 631 | 734 | 1840 | 166 | 609 | -800 | 1332 | 1480 | -3141 | -1552 | 280 | -2769 | -2489 | |
| 02.05 | Сырье и мат | покупн | трансп | зп основн | зп дополн | соцстрах | износ | содерж оборуд | цех расх | общезав расх | админ расх | завод себест | сбыт расх | полная себест | |
| план | 6009 | 861 | 438 | 2304 | 207 | 990 | 1083 | 5209 | 3041 | 4078 | 2496 | 26716 | 3830 | 30546 | 60 |
| факт | 7192 | 740 | 742 | 4653 | 508 | 1382 | 771 | 1499 | 2066 | 5418 | 1062 | 26033 | 6669 | 32702 | |
| отклон | 1183 | -121 | 304 | 2349 | 301 | 392 | -312 | -3710 | -975 | 1340 | -1434 | -683 | 2839 | 2156 |
Sheet 9: dataLit
|
|
||||||||||||||
| Исходные данные по литью | |||||||||||||||
| штук | |||||||||||||||
| 01.04 | Сырье и мат | покупн | трансп | зп осн | зп доп | соцстр | износ спец | расх на содерж | цехов расх | общезав расх | админ расх | заводск себест | сбыт расх | полная себест | |
| План | 510 | 153 | 10 | 630 | 30,3 | 0 | 247,4 | 144,6 | 193,9 | 114,9 | 320 | 2354,1 | 17,3 | 2371,4 | 123 |
| факт | 851 | 24 | 15 | 787 | 71 | 338 | 0 | 254 | 136 | 372 | 178 | 3026 | 16 | 3042 | |
| отклон | 341 | -129 | 5 | 157 | 40,7 | 338 | -247,4 | 109,4 | -57,9 | 257,1 | -142 | 671,9 | -1,3 | 670,6 | |
| 02.04 | Сырье и мат | покупн | трансп | зп осн | зп доп | соцстр | износ спец | расх на содерж | цехов расх | общезав расх | админ расх | заводск себест | сбыт расх | полная себест | |
| План | 2648 | 0 | 72 | 209,3 | 18,75 | 90,05 | 176 | 620,65 | 353,8 | 5183 | 303,95 | 9675,5 | 135 | 9810,5 | 49 |
| факт | 864 | 30 | 0 | 117 | 106 | 506 | 193 | 266 | 1434 | 4821 | 393 | 8730 | 64 | 8794 | |
| отклон | -1784 | 30 | -72 | -92,3 | 87,25 | 415,95 | 17 | -354,65 | 1080,2 | -362 | 89,05 | -945,5 | -71 | -1016,5 | |
| 03.04 | Сырье и мат | покупн | трансп | зп осн | зп доп | соцстр | износ спец | расх на содерж | цехов расх | общезав расх | админ расх | заводск себест | сбыт расх | полная себест | |
| План | 1200 | 100 | 55 | 200 | 153 | 123 | 342 | 450 | 250 | 325 | 200 | 3398 | 50 | 3448 | 75 |
| факт | 2558 | 215 | 49 | 208 | 103 | 89 | 353 | 762 | 410 | 383 | 463 | 5593 | 40 | 5633 | |
| отклон | 1358 | 115 | -6 | 8 | -50 | -34 | 11 | 312 | 160 | 58 | 263 | 2195 | -10 | 2185 | |
| 04.04 | Сырье и мат | покупн | трансп | зп осн | зп доп | соцстр | износ спец | расх на содерж | цехов расх | общезав расх | админ расх | заводск себест | сбыт расх | полная себест | |
| План | 5193,9 | 120,7 | 67 | 867,3 | 42,7 | 352,4 | 154 | 1972 | 1137,2 | 1495,4 | 893,1 | 12295,7 | 178,5 | 12474,2 | 150 |
| факт | 3977 | 151 | 100 | 1484 | 133 | 637 | 10 | 2760 | 1485 | 2755 | 2240 | 15732 | 353 | 16085 | |
| отклон | -1216,9 | 30,3 | 33 | 616,7 | 90,3 | 284,6 | -144 | 788 | 347,8 | 1259,6 | 1346,9 | 3436,3 | 174,5 | 3610,8 | |
| 05.04 | Сырье и мат | покупн | трансп | зп осн | зп доп | соцстр | износ спец | расх на содерж | цехов расх | общезав расх | админ расх | заводск себест | сбыт расх | полная себест | |
| План | 2537,1 | 34,3 | 72 | 486,7 | 36,3 | 210,6 | 105 | 2088,3 | 4633,8 | 850,6 | 503,9 | 11558,6 | 83,5 | 11642,1 | 153 |
| факт | 1952,9 | 20 | 138 | 981 | 88 | 422 | 43 | 3930 | 3193 | 2156 | 3126 | 16049,9 | 163 | 16212,9 | |
| отклон | -584,2 | -14,3 | 66 | 494,3 | 51,7 | 211,4 | -62 | 1841,7 | -1440,8 | 1305,4 | 2622,1 | 4491,3 | 79,5 | 4570,8 | |
| 06.04 | Сырье и мат | покупн | трансп | зп осн | зп доп | соцстр | износ спец | расх на содерж | цехов расх | общезав расх | админ расх | заводск себест | сбыт расх | полная себест | |
| План | 3779 | 48 | 45,5 | 702 | 140 | 200 | 55 | 987 | 520 | 379 | 205 | 7060,5 | 50 | 7110,5 | 30 |
| факт | 4257 | 69 | 5 | 742 | 152 | 307 | 20 | 406 | 100 | 581 | 199 | 6838 | 86 | 6924 | |
| отклон | 478 | 21 | -40,5 | 40 | 12 | 107 | -35 | -581 | -420 | 202 | -6 | -222,5 | 36 | -186,5 | |
| 07.04 | Сырье и мат | покупн | трансп | зп осн | зп доп | соцстр | износ спец | расх на содерж | цехов расх | общезав расх | админ расх | заводск себест | сбыт расх | полная себест | |
| План | 4272 | 137 | 11 | 1581 | 35 | 215 | 90 | 1340 | 2772 | 1021 | 592 | 12066 | 136 | 12202 | 96 |
| факт | 5686 | 200 | 49 | 1644 | 149 | 707 | 0 | 2305 | 1841 | 3727 | 800 | 17108 | 220 | 17328 | |
| отклон | 1414 | 63 | 38 | 63 | 114 | 492 | -90 | 965 | -931 | 2706 | 208 | 5042 | 84 | 5126 | |
| 08.04 | Сырье и мат | покупн | трансп | зп осн | зп доп | соцстр | износ спец | расх на содерж | цехов расх | общезав расх | админ расх | заводск себест | сбыт расх | полная себест | |
| План | 3741,6 | 86,2 | 94 | 567 | 36,8 | 228,2 | 54 | 1293,2 | 750,4 | 986,6 | 586,8 | 8424,8 | 112,2 | 8537 | 125 |
| факт | 2278 | 100 | 76 | 790 | 72 | 340 | 0 | 2157 | 1162 | 1750 | 1245 | 9970 | 240 | 10210 | |
| отклон | -1463,6 | 13,8 | -18 | 223 | 35,2 | 111,8 | -54 | 863,8 | 411,6 | 763,4 | 658,2 | 1545,2 | 127,8 | 1673 | |
| 09.04 | Сырье и мат | покупн | трансп | зп осн | зп доп | соцстр | износ спец | расх на содерж | цехов расх | общезав расх | админ расх | заводск себест | сбыт расх | полная себест | |
| План | 1313,4 | 20,8 | 36,9 | 267 | 24,2 | 114,8 | 77 | 603,8 | 352,6 | 472,4 | 280,2 | 3563,1 | 37,8 | 3600,9 | 122 |
| факт | 505 | 31 | 12 | 776 | 59 | 334 | 21 | 220 | 118 | 906 | 157 | 3139 | 51 | 3190 | |
| отклон | -808,4 | 10,2 | -24,9 | 509 | 34,8 | 219,2 | -56 | -383,8 | -234,6 | 433,6 | -123,2 | -424,1 | 13,2 | -410,9 | |
| 10.04 | Сырье и мат | покупн | трансп | зп осн | зп доп | соцстр | износ спец | расх на содерж | цехов расх | общезав расх | админ расх | заводск себест | сбыт расх | полная себест | |
| План | 1969 | 192 | 49,9 | 231,6 | 20,6 | 99,21 | 0 | 449,37 | 285,6 | 306 | 248,7 | 3851,98 | 18,3 | 3870,28 | 39 |
| факт | 1852 | 199 | 59 | 1243 | 11 | 533 | 12 | 459 | 194 | 515 | 307 | 5384 | 29 | 5413 | |
| отклон | -117 | 7 | 9,1 | 1011,4 | -9,6 | 433,79 | 12 | 9,63 | -91,6 | 209 | 58,3 | 1532,02 | 10,7 | 1542,72 | |
| 11.04 | Сырье и мат | покупн | трансп | зп осн | зп доп | соцстр | износ спец | расх на содерж | цехов расх | общезав расх | админ расх | заводск себест | сбыт расх | полная себест | |
| План | 1022 | 345 | 38 | 544 | 144 | 361 | 0 | 108 | 143 | 575 | 83 | 3363 | 100 | 3463 | 37 |
| факт | 1345 | 280 | 101 | 706 | 204 | 123 | 0 | 346 | 150 | 428 | 127 | 3810 | 93 | 3903 | |
| отклон | 323 | -65 | 63 | 162 | 60 | -238 | 0 | 238 | 7 | -147 | 44 | 447 | -7 | 440 | |
| 12.04 | Сырье и мат | покупн | трансп | зп осн | зп доп | соцстр | износ спец | расх на содерж | цехов расх | общезав расх | админ расх | заводск себест | сбыт расх | полная себест | |
| План | 7990,5 | 223,6 | 54 | 2068,5 | 190,22 | 1905,5 | 0 | 4711,5 | 2738,5 | 3697 | 2177 | 25756,32 | 352,12 | 26108,44 | 63 |
| факт | 6296 | 300 | 137 | 3738 | 697 | 1327 | 281 | 1769 | 3527 | 5231 | 1489 | 24792 | 1741 | 26533 | |
| отклон | -1694,5 | 76,4 | 83 | 1669,5 | 506,78 | -578,5 | 281 | -2942,5 | 788,5 | 1534 | -688 | -964,32 | 1388,88 | 424,56 | |
| 01.04 | Сырье и мат | покупн | трансп | зп осн | зп доп | соцстр | износ спец | расх на содерж | цехов расх | общезав расх | админ расх | заводск себест | сбыт расх | полная себест | |
| План | 6335 | 197 | 191 | 6874 | 169 | 806 | 123 | 4236 | 2474 | 3318 | 1968 | 26691 | 329 | 27020 | 86 |
| факт | 6873 | 55 | 15 | 4558 | 410 | 1959 | 70 | 1874 | 2010 | 4712 | 1315 | 23851 | 182 | 24033 | |
| отклон | 538 | -142 | -176 | -2316 | 241 | 1153 | -53 | -2362 | -464 | 1394 | -653 | -2840 | -147 | -2987 | |
| 02.05 | Сырье и мат | покупн | трансп | зп осн | зп доп | соцстр | износ спец | расх на содерж | цехов расх | общезав расх | админ расх | заводск себест | сбыт расх | полная себест | |
| План | 7380 | 342 | 221 | 2935 | 264 | 1262 | 0 | 6633 | 3874 | 2391 | 3082 | 28384 | 480 | 28864 | 30 |
| факт | 8328 | 200 | 159 | 2570 | 450 | 1061 | 105 | 5698 | 3667 | 2193 | 2780 | 27211 | 444 | 27655 | |
| отклон | 948 | -142 | -62 | -365 | 186 | -201 | 105 | -935 | -207 | -198 | -302 | -1173 | -36 | -1209 |
Sheet 10: dataYslyg
|
|
||||||||||||||
| Исходные данные по услугам промхарактера | |||||||||||||||
| штук | |||||||||||||||
| 01.04 | Сырье и мат | покупн | трансп | зп осн | зп доп | соцстр | износ спец | расх на содерж | цехов расх | общезав расх | админ расх | заводск себест | сбыт расх | полная себест | |
| План | 1517 | 112 | 46 | 7607 | 685 | 270 | 598 | 2108 | 1231 | 1651 | 9795 | 25620 | 930 | 26550 | 47 |
| факт | 1846 | 43 | 54 | 7213 | 648 | 310 | 1542 | 2330 | 1255 | 1659 | 9752 | 26652 | 837 | 27489 | |
| отклон | 329 | -69 | 8 | -394 | -37 | 40 | 944 | 222 | 24 | 8 | -43 | 1032 | -93 | 939 | |
| 02.04 | Сырье и мат | покупн | трансп | зп осн | зп доп | соцстр | износ спец | расх на содерж | цехов расх | общезав расх | админ расх | заводск себест | сбыт расх | полная себест | |
| План | 350 | 0 | 12 | 407 | 361 | 172 | 842 | 1088 | 635 | 852 | 505 | 5224 | 46,6 | 5270,6 | 55 |
| факт | 750 | 26 | 0 | 291 | 262 | 125 | 632 | 2080 | 1344 | 932 | 727 | 7169 | 23,7 | 7192,7 | |
| отклон | 400 | 26 | -12 | -116 | -99 | -47 | -210 | 992 | 709 | 80 | 222 | 1945 | -22,9 | 1922,1 | |
| 03.04 | Сырье и мат | покупн | трансп | зп осн | зп доп | соцстр | износ спец | расх на содерж | цехов расх | общезав расх | админ расх | заводск себест | сбыт расх | полная себест | |
| План | 530 | 534 | 22 | 765 | 689 | 328 | 1607 | 1996 | 1176 | 1567 | 93 | 9307 | 835 | 10142 | 46 |
| факт | 463 | 376 | 39 | 655 | 588 | 428 | 1971 | 1375 | 1746 | 1200 | 144 | 8985 | 925 | 9910 | |
| отклон | -67 | -158 | 17 | -110 | -101 | 100 | 364 | -621 | 570 | -367 | 51 | -322 | 90 | -232 | |
| 04.04 | Сырье и мат | покупн | трансп | зп осн | зп доп | соцстр | износ спец | расх на содерж | цехов расх | общезав расх | админ расх | заводск себест | сбыт расх | полная себест | |
| План | 263 | 735 | 8 | 7980 | 718 | 343 | 1676 | 2035 | 1188 | 1594 | 946 | 17486 | 837 | 18323 | 93 |
| факт | 192 | 916 | 11 | 7411 | 666 | 393 | 1909 | 1498 | 1800 | 1798 | 1126 | 17720 | 1612 | 19332 | |
| отклон | -71 | 181 | 3 | -569 | -52 | 50 | 233 | -537 | 612 | 204 | 180 | 234 | 775 | 1009 | |
| 05.04 | Сырье и мат | покупн | трансп | зп осн | зп доп | соцстр | износ спец | расх на содерж | цехов расх | общезав расх | админ расх | заводск себест | сбыт расх | полная себест | |
| План | 194 | 645 | 0 | 1027 | 925 | 441 | 2156 | 2804 | 1638 | 2196 | 1304 | 13330 | 116 | 13446 | 35 |
| факт | 227 | 756 | 9 | 1065 | 960 | 458 | 2188 | 3178 | 1030 | 1343 | 2185 | 13399 | 156 | 13555 | |
| отклон | 33 | 111 | 9 | 38 | 35 | 17 | 32 | 374 | -608 | -853 | 881 | 69 | 40 | 109 | |
| 06.04 | Сырье и мат | покупн | трансп | зп осн | зп доп | соцстр | износ спец | расх на содерж | цехов расх | общезав расх | админ расх | заводск себест | сбыт расх | полная себест | |
| План | 205 | 123 | 8 | 442 | 395 | 189 | 977 | 1051 | 593 | 795 | 472 | 5250 | 394 | 5644 | 50 |
| факт | 350 | 645 | 0 | 429 | 485 | 184 | 1095 | 1843 | 454 | 956 | 586 | 7027 | 403 | 7430 | |
| отклон | 145 | 522 | -8 | -13 | 90 | -5 | 118 | 792 | -139 | 161 | 114 | 1777 | 9 | 1786 | |
| 07.04 | Сырье и мат | покупн | трансп | зп осн | зп доп | соцстр | износ спец | расх на содерж | цехов расх | общезав расх | админ расх | заводск себест | сбыт расх | полная себест | |
| План | 1956 | 798 | 48 | 1299 | 1014 | 486 | 2376 | 2874 | 1678 | 2251 | 135 | 14915 | 119 | 15034 | 45 |
| факт | 1168 | 453 | 16 | 1098 | 1881 | 522 | 2380 | 2999 | 1561 | 2981 | 169 | 15228 | 194 | 15422 | |
| отклон | -788 | -345 | -32 | -201 | 867 | 36 | 4 | 125 | -117 | 730 | 34 | 313 | 75 | 388 | |
| 08.04 | Сырье и мат | покупн | трансп | зп осн | зп доп | соцстр | износ спец | расх на содерж | цехов расх | общезав расх | админ расх | заводск себест | сбыт расх | полная себест | |
| План | 1036 | 1186 | 8 | 1251 | 1126 | 537 | 2889 | 3256 | 1978 | 2570 | 1525 | 17362 | 373 | 17735 | 98 |
| факт | 982 | 978 | 32 | 1381 | 1068 | 571 | 3997 | 2799 | 2051 | 2608 | 1859 | 18326 | 297 | 18623 | |
| отклон | -54 | -208 | 24 | 130 | -58 | 34 | 1108 | -457 | 73 | 38 | 334 | 964 | -76 | 888 | |
| 09.04 | Сырье и мат | покупн | трансп | зп осн | зп доп | соцстр | износ спец | расх на содерж | цехов расх | общезав расх | админ расх | заводск себест | сбыт расх | полная себест | |
| План | 3816 | 753 | 12 | 1063 | 957 | 456 | 2489 | 2711 | 1583 | 2123 | 1260 | 17223 | 115 | 17338 | 103 |
| факт | 3602 | 486 | 90 | 1941 | 849 | 455 | 3012 | 2656 | 1731 | 3324 | 1914 | 20060 | 93 | 20153 | |
| отклон | -214 | -267 | 78 | 878 | -108 | -1 | 523 | -55 | 148 | 1201 | 654 | 2837 | -22 | 2815 | |
| 10.04 | Сырье и мат | покупн | трансп | зп осн | зп доп | соцстр | износ спец | расх на содерж | цехов расх | общезав расх | админ расх | заводск себест | сбыт расх | полная себест | |
| План | 1867 | 546 | 92 | 456 | 411 | 195 | 1596 | 1335 | 821 | 1473 | 468 | 9260 | 531 | 9791 | 17 |
| факт | 1812 | 435 | 26 | 553 | 499 | 237 | 1994 | 1691 | 910 | 895 | 584 | 9636 | 415 | 10051 | |
| отклон | -55 | -111 | -66 | 97 | 88 | 42 | 398 | 356 | 89 | -578 | 116 | 376 | -116 | 260 | |
| 11.04 | Сырье и мат | покупн | трансп | зп осн | зп доп | соцстр | износ спец | расх на содерж | цехов расх | общезав расх | админ расх | заводск себест | сбыт расх | полная себест | |
| План | 2979 | 948 | 110 | 8832 | 7904 | 3996 | 340 | 1425 | 767 | 1513 | 153 | 28967 | 199 | 29166 | 36 |
| факт | 3056 | 768 | 15 | 8705 | 6951 | 4123 | 0 | 1123 | 1012 | 1678 | 127 | 27558 | 193 | 27751 | |
| отклон | 77 | -180 | -95 | -127 | -953 | 127 | -340 | -302 | 245 | 165 | -26 | -1409 | -6 | -1415 | |
| 12.04 | Сырье и мат | покупн | трансп | зп осн | зп доп | соцстр | износ спец | расх на содерж | цехов расх | общезав расх | админ расх | заводск себест | сбыт расх | полная себест | |
| План | 606 | 343 | 8 | 6773 | 610 | 2913 | 1798 | 1694 | 1040 | 1348 | 799 | 17932 | 145 | 18077 | 28 |
| факт | 795 | 153 | 17 | 7650 | 703 | 1428 | 1714 | 1848 | 702 | 1218 | 600 | 16828 | 123 | 16951 | |
| отклон | 189 | -190 | 9 | 877 | 93 | -1485 | -84 | 154 | -338 | -130 | -199 | -1104 | -22 | -1126 | |
| 01.04 | Сырье и мат | покупн | трансп | зп осн | зп доп | соцстр | износ спец | расх на содерж | цехов расх | общезав расх | админ расх | заводск себест | сбыт расх | полная себест | |
| План | 835 | 65 | 197 | 7652 | 689 | 3290 | 2807 | 1729 | 1010 | 1354 | 803 | 20431 | 751 | 21182 | 41 |
| факт | 700 | 57 | 168 | 7950 | 534 | 2556 | 3528 | 1918 | 533 | 2238 | 174 | 20356 | 230 | 20586 | |
| отклон | -135 | -8 | -29 | 298 | -155 | -734 | 721 | 189 | -477 | 884 | -629 | -75 | -521 | -596 | |
| 02.05 | Сырье и мат | покупн | трансп | зп осн | зп доп | соцстр | износ спец | расх на содерж | цехов расх | общезав расх | админ расх | заводск себест | сбыт расх | полная себест | |
| План | 7377 | 1560 | 217 | 1087 | 979 | 467 | 4748 | 2521 | 1435 | 1925 | 114 | 22430 | 50 | 22480 | 39 |
| факт | 8107 | 585 | 165 | 1273 | 1144 | 547 | 4306 | 1495 | 1882 | 2220 | 256 | 21980 | 153 | 22133 | |
| отклон | 730 | -975 | -52 | 186 | 165 | 80 | -442 | -1026 | 447 | 295 | 142 | -450 | 103 | -347 |
Sheet 11: dataOther
|
|
||||||||||||||
| Исходные данные по прочая продукция | |||||||||||||||
| штук | |||||||||||||||
| 01.04 | Сырье и мат | покупн | трансп | зп осн | зп доп | соцстр | износ спец | расх на содерж | цехов расх | общезав расх | админ расх | заводск себест | сбыт расх | полная себест | |
| План | 8829 | 687 | 2672 | 3615 | 3254 | 1554 | 7588 | 6748 | 3942 | 5218 | 3134 | 47241 | 3691 | 50932 | 95 |
| факт | 8296 | 697 | 1805 | 4012 | 3611 | 1724 | 3360 | 7245 | 5467 | 9231 | 3743 | 49191 | 2448 | 51639 | |
| отклон | -533 | 10 | -867 | 397 | 357 | 170 | -4228 | 497 | 1525 | 4013 | 609 | 1950 | -1243 | 707 | |
| 02.04 | Сырье и мат | покупн | трансп | зп осн | зп доп | соцстр | износ спец | расх на содерж | цехов расх | общезав расх | админ расх | заводск себест | сбыт расх | полная себест | |
| План | 5305 | 465 | 1607 | 2579 | 2325 | 1109 | 5420 | 5343 | 3118 | 4189 | 2480 | 33940 | 2894 | 36834 | 55 |
| факт | 5606 | 0 | 1744 | 2452 | 2204 | 1054 | 2345 | 5567 | 2998 | 5117 | 3117 | 32204 | 3371 | 35575 | |
| отклон | 301 | -465 | 137 | -127 | -121 | -55 | -3075 | 224 | -120 | 928 | 637 | -1736 | 477 | -1259 | |
| 03.04 | Сырье и мат | покупн | трансп | зп осн | зп доп | соцстр | износ спец | расх на содерж | цехов расх | общезав расх | админ расх | заводск себест | сбыт расх | полная себест | |
| План | 7286 | 0 | 2185 | 2705 | 2434 | 1163 | 5684 | 6082 | 3552 | 4764 | 2826 | 38681 | 3162 | 41843 | 65 |
| факт | 6233 | 855 | 2397 | 2329 | 2094 | 1001 | 9774 | 5574 | 2999 | 4286 | 3183 | 40725 | 2312 | 43037 | |
| отклон | -1053 | 855 | 212 | -376 | -340 | -162 | 4090 | -508 | -553 | -478 | 357 | 2044 | -850 | 1194 | |
| 04.04 | Сырье и мат | покупн | трансп | зп осн | зп доп | соцстр | износ спец | расх на содерж | цехов расх | общезав расх | админ расх | заводск себест | сбыт расх | полная себест | |
| План | 6433 | 1811 | 1863 | 1666 | 7999 | 3905 | 4136 | 2415 | 3238 | 1922 | 2299 | 37687 | 1045 | 38732 | 130 |
| факт | 5335 | 0 | 2401 | 1764 | 586 | 7584 | 6762 | 3048 | 1641 | 1276 | 2671 | 33068 | 938 | 34006 | |
| отклон | -1098 | -1811 | 538 | 98 | -7413 | 3679 | 2626 | 633 | -1597 | -646 | 372 | -4619 | -107 | -4726 | |
| 05.04 | Сырье и мат | покупн | трансп | зп осн | зп доп | соцстр | износ спец | расх на содерж | цехов расх | общезав расх | админ расх | заводск себест | сбыт расх | полная себест | |
| План | 7068 | 7818 | 4466 | 2395 | 2156 | 1031 | 5330 | 5398 | 3153 | 4228 | 2509 | 45552 | 3814 | 49366 | 59 |
| факт | 6631 | 8282 | 4793 | 2238 | 2013 | 962 | 6850 | 4588 | 3471 | 4918 | 1545 | 46291 | 4263 | 50554 | |
| отклон | -437 | 464 | 327 | -157 | -143 | -69 | 1520 | -810 | 318 | 690 | -964 | 739 | 449 | 1188 | |
| 06.04 | Сырье и мат | покупн | трансп | зп осн | зп доп | соцстр | износ спец | расх на содерж | цехов расх | общезав расх | админ расх | заводск себест | сбыт расх | полная себест | |
| План | 1228 | 1211 | 7318 | 2573 | 2286 | 1106 | 5627 | 5813 | 3395 | 4553 | 2701 | 37811 | 512 | 38323 | 120 |
| факт | 1019 | 1385 | 6863 | 2506 | 2253 | 1277 | 6690 | 5738 | 3086 | 4569 | 2124 | 37510 | 236 | 37746 | |
| отклон | -209 | 174 | -455 | -67 | -33 | 171 | 1063 | -75 | -309 | 16 | -577 | -301 | -276 | -577 | |
| 07.04 | Сырье и мат | покупн | трансп | зп осн | зп доп | соцстр | износ спец | расх на содерж | цехов расх | общезав расх | админ расх | заводск себест | сбыт расх | полная себест | |
| План | 4806 | 2363 | 8532 | 1551 | 1395 | 6668 | 3398 | 3505 | 2047 | 2745 | 1654 | 38664 | 1775 | 40439 | 75 |
| факт | 4462 | 2456 | 10000 | 1647 | 783 | 6582 | 5173 | 2772 | 3763 | 2787 | 1354 | 41779 | 1345 | 43124 | |
| отклон | -344 | 93 | 1468 | 96 | -612 | -86 | 1775 | -733 | 1716 | 42 | -300 | 3115 | -430 | 2685 | |
| 08.04 | Сырье и мат | покупн | трансп | зп осн | зп доп | соцстр | износ спец | расх на содерж | цехов расх | общезав расх | админ расх | заводск себест | сбыт расх | полная себест | |
| План | 5509 | 7923 | 4030 | 1477 | 1330 | 635 | 3101 | 3335 | 1947 | 2510 | 1545 | 33342 | 285 | 33627 | 111 |
| факт | 6253 | 7335 | 4254 | 1192 | 1169 | 511 | 4127 | 3991 | 1610 | 2634 | 1874 | 34950 | 526 | 35476 | |
| отклон | 744 | -588 | 224 | -285 | -161 | -124 | 1026 | 656 | -337 | 124 | 329 | 1608 | 241 | 1849 | |
| 09.04 | Сырье и мат | покупн | трансп | зп осн | зп доп | соцстр | износ спец | расх на содерж | цехов расх | общезав расх | админ расх | заводск себест | сбыт расх | полная себест | |
| План | 7723 | 2521 | 3072 | 1594 | 1435 | 685 | 3348 | 3602 | 2104 | 2821 | 1677 | 30582 | 254 | 30836 | 63 |
| факт | 7419 | 4335 | 3507 | 1659 | 1495 | 713 | 4112 | 3109 | 1516 | 3012 | 1577 | 32454 | 346 | 32800 | |
| отклон | -304 | 1814 | 435 | 65 | 60 | 28 | 764 | -493 | -588 | 191 | -100 | 1872 | 92 | 1964 | |
| 10.04 | Сырье и мат | покупн | трансп | зп осн | зп доп | соцстр | износ спец | расх на содерж | цехов расх | общезав расх | админ расх | заводск себест | сбыт расх | полная себест | |
| План | 2883 | 550 | 641 | 7484 | 673 | 3225 | 4074 | 8103 | 2282 | 1853 | 869 | 32637 | 785 | 33422 | 88 |
| факт | 2773 | 338 | 698 | 6954 | 624 | 2989 | 4962 | 8276 | 2206 | 2884 | 1003 | 33707 | 893 | 34600 | |
| отклон | -110 | -212 | 57 | -530 | -49 | -236 | 888 | 173 | -76 | 1031 | 134 | 1070 | 108 | 1178 | |
| 11.04 | Сырье и мат | покупн | трансп | зп осн | зп доп | соцстр | износ спец | расх на содерж | цехов расх | общезав расх | админ расх | заводск себест | сбыт расх | полная себест | |
| План | 3391 | 467 | 1305 | 7412 | 666 | 3186 | 2693 | 6550 | 1014 | 2948 | 1865 | 31497 | 1406 | 32903 | 35 |
| факт | 3226 | 578 | 1469 | 5678 | 850 | 4035 | 1995 | 7895 | 1034 | 2578 | 1765 | 31103 | 1543 | 32646 | |
| отклон | -165 | 111 | 164 | -1734 | 184 | 849 | -698 | 1345 | 20 | -370 | -100 | -394 | 137 | -257 | |
| 12.04 | Сырье и мат | покупн | трансп | зп осн | зп доп | соцстр | износ спец | расх на содерж | цехов расх | общезав расх | админ расх | заводск себест | сбыт расх | полная себест | |
| План | 5393 | 2493 | 2462 | 1764 | 1588 | 758 | 3952 | 3986 | 2328 | 3122 | 1852 | 29698 | 245 | 29943 | 45 |
| факт | 5439 | 3218 | 2237 | 1505 | 1354 | 647 | 4706 | 4006 | 3151 | 2406 | 2509 | 31178 | 378 | 31556 | |
| отклон | 46 | 725 | -225 | -259 | -234 | -111 | 754 | 20 | 823 | -716 | 657 | 1480 | 133 | 1613 | |
| 01.04 | Сырье и мат | покупн | трансп | зп осн | зп доп | соцстр | износ спец | расх на содерж | цехов расх | общезав расх | админ расх | заводск себест | сбыт расх | полная себест | |
| План | 4570 | 1446 | 1414 | 8574 | 772 | 3686 | 1801 | 1948 | 1131 | 1517 | 903 | 27762 | 123 | 27885 | 31 |
| факт | 3795 | 1535 | 1033 | 9986 | 875 | 2816 | 801 | 3042 | 675 | 1158 | 1034 | 26750 | 559 | 27309 | |
| отклон | -775 | 89 | -381 | 1412 | 103 | -870 | -1000 | 1094 | -456 | -359 | 131 | -1012 | 436 | -576 | |
| 02.05 | Сырье и мат | покупн | трансп | зп осн | зп доп | соцстр | износ спец | расх на содерж | цехов расх | общезав расх | админ расх | заводск себест | сбыт расх | полная себест | |
| План | 4104 | 6113 | 1415 | 6119 | 551 | 2637 | 5929 | 1438 | 8078 | 1083 | 642 | 38109 | 398 | 38507 | 60 |
| факт | 5316 | 3636 | 1370 | 5963 | 535 | 2560 | 6389 | 1616 | 8706 | 1311 | 432 | 37834 | 205 | 38039 | |
| отклон | 1212 | -2477 | -45 | -156 | -16 | -77 | 460 | 178 | 628 | 228 | -210 | -275 | -193 | -468 |
Sheet 12: sokrPress
|
||||||||||||||||||||||||||||||
| Агрегированные удельные факторы прессформы | ||||||||||||||||||||||||||||||
| Сырье, материалы, полуфабрикаты, транспорт | Зарплата и социальное страхование | Затраты на оборудование, цеховые и общезаводские | Административные и сбытовые расходы | Удельное общее отклонение | Прибыль | |||||||||||||||||||||||||
| 01.04 | -20,4736842105 | 12,2042105263 | 48,3863157895 | 1,0389473684 | 41,1557894737 | 7,1633684211 | ||||||||||||||||||||||||
| 02.04 | -33,2 | -7,5054545455 | 62,3081818182 | 46,5081818182 | 68,1109090909 | 15,9272727273 | ||||||||||||||||||||||||
| 03.04 | 29,46 | 0,32 | 10,6 | 5,06 | 45,44 | 6,1764 | ||||||||||||||||||||||||
| 04.04 | -17,7104477612 | 14,8 | 33,4432835821 | 22,3492537313 | 52,8820895522 | 14,2844776119 | ||||||||||||||||||||||||
| 05.04 | -36,3527272727 | 13,7709090909 | 49,2054545455 | 49,12 | 75,7436363636 | 18,1429090909 | ||||||||||||||||||||||||
| 06.04 | -7,2 | -0,99 | 10,31 | 21,97 | 24,09 | 16,1922 | ||||||||||||||||||||||||
| 07.04 | -49,2933333333 | 8,92 | 63,52 | 3,5466666667 | 26,6933333333 | 12,1544 | ||||||||||||||||||||||||
| 08.04 | -49,1266666667 | 12,3 | 66,16 | 26,2 | 55,5333333333 | 20,218 | ||||||||||||||||||||||||
| 09.04 | -9,6141176471 | 9,0941176471 | 31,6494117647 | -8,1294117647 | 23 | 6,6649411765 | ||||||||||||||||||||||||
| 10.04 | 13,3333333333 | -41,7857142857 | -38,8095238095 | -2,7380952381 | -70 | 65,3985714286 | ||||||||||||||||||||||||
| 11.04 | -35,5333333333 | -8,3 | 59,8333333333 | 9,0333333333 | 25,0333333333 | 60,624 | ||||||||||||||||||||||||
| 12.04 | 53,3389830508 | 13,9152542373 | 0,1186440678 | -8,5593220339 | 58,813559322 | 33,0477966102 | ||||||||||||||||||||||||
| 01.05 | 7,3617021277 | 55,6382978723 | -24,0212765957 | -91,9361702128 | -52,9574468085 | 41,8965957447 | ||||||||||||||||||||||||
| 02.05 | 22,7666666667 | 50,7 | -60,95 | 23,4166666667 | 35,9333333333 | 32,702 | ||||||||||||||||||||||||
|
|
|||||||||||||||||||||||||||||
|
|
|||||||||||||||||||||||||||||
|
Диаграмма прессформы | (удельные факторы) | ||||||||||||||||||||||||||||
|
Факторы | |||||||||||||||||||||||||||||
| x1 | x2 | x3 | x4 | y | (x1)2 | (x2)2 | (x3)2 | (x4)2 | x1x2 | x1x3 | x1x4 | x2x3 | x2x4 | x3x4 | yx1 | yx2 | yx3 | yx4 | ||||||||||||
| -20,4736842105 | 12,2042105263 | 48,3863157895 | 1,0389473684 | 7,1633684211 | 419,1717451524 | 148,9427545706 | 2341,2355556787 | 1,0794116343 | -249,8651523546 | -990,6461495845 | -21,2710803324 | 590,5167844875 | 12,67953241 | 50,2708354571 | -146,6605429363 | 87,4232562881 | 346,6090065374 | 7,4423627701 | ||||||||||||
| -33,2 | -7,5054545455 | 62,3081818182 | 46,5081818182 | 15,9272727273 | 1102,24 | 56,3318479339 | 3882,3095214876 | 2163,0109760331 | 249,1810909091 | -2068,6316363636 | -1544,0716363636 | -467,6512264463 | -349,0650446281 | 2897,8402487603 | -528,7854545455 | -119,5414214876 | 992,3994049587 | 740,7484958678 | ||||||||||||
| 29,46 | 0,32 | 10,6 | 5,06 | 6,1764 | 867,8916 | 0,1024 | 112,36 | 25,6036 | 9,4272 | 312,276 | 149,0676 | 3,392 | 1,6192 | 53,636 | 181,956744 | 1,976448 | 65,46984 | 31,252584 | ||||||||||||
| -17,7104477612 | 14,8 | 33,4432835821 | 22,3492537313 | 14,2844776119 | 313,659959902 | 219,04 | 1118,4532167521 | 499,489142348 | -262,1146268657 | -592,2955268434 | -395,8152907106 | 494,9605970149 | 330,7689552239 | 747,4324303854 | -252,9844945422 | 211,4102686567 | 477,7198355981 | 319,2474145689 | ||||||||||||
| -36,3527272727 | 13,7709090909 | 49,2054545455 | 49,12 | 18,1429090909 | 1321,5207801653 | 189,6379371901 | 2421,1767570248 | 2412,7744 | -500,6101024793 | -1788,7524694215 | -1785,6459636364 | 677,6038413223 | 676,4270545455 | 2416,9719272727 | -659,5442261157 | 249,8443517355 | 892,730088595 | 891,1796945455 | ||||||||||||
|
-7,2 | -0,99 | 10,31 | 21,97 | 16,1922 | 51,84 | 0,9801 | 106,2961 | 482,6809 | 7,128 | -74,232 | -158,184 | -10,2069 | -21,7503 | 226,5107 | -116,58384 | -16,030278 | 166,941582 | 355,742634 | |||||||||||
| -49,2933333333 | 8,92 | 63,52 | 3,5466666667 | 12,1544 | 2429,8327111111 | 79,5664 | 4034,7904 | 12,5788444444 | -439,6965333333 | -3131,1125333333 | -174,8270222222 | 566,5984 | 31,6362666667 | 225,2842666667 | -599,1308906667 | 108,417248 | 772,047488 | 43,1076053333 | ||||||||||||
| -49,1266666667 | 12,3 | 66,16 | 26,2 | 20,218 | 2413,4293777778 | 151,29 | 4377,1456 | 686,44 | -604,258 | -3250,2202666667 | -1287,1186666667 | 813,768 | 322,26 | 1733,392 | -993,2429466667 | 248,6814 | 1337,62288 | 529,7116 | ||||||||||||
| -9,6141176471 | 9,0941176471 | 31,6494117647 | -8,1294117647 | 6,6649411765 | 92,4312581315 | 82,7029757785 | 1001,6852650519 | 66,0873356401 | -87,431916955 | -304,2811681661 | 78,1571211073 | 287,8234740484 | -73,9298269896 | -257,291100346 | -64,0775285813 | 60,6117591696 | 210,9414676817 | -54,1820512111 | ||||||||||||
| 13,3333333333 | -41,7857142857 | -38,8095238095 | -2,7380952381 | 65,3985714286 | 177,7777777778 | 1746,0459183674 | 1506,179138322 | 7,4971655329 | -557,1428571429 | -517,4603174603 | -36,5079365079 | 1621,6836734694 | 114,4132653061 | 106,2641723356 | 871,980952381 | -2732,7260204082 | -2538,087414966 | -179,0675170068 | ||||||||||||
| -35,5333333333 | -8,3 | 59,8333333333 | 9,0333333333 | 60,624 | 1262,6177777778 | 68,89 | 3580,0277777778 | 81,6011111111 | 294,9266666667 | -2126,0777777778 | -320,9844444444 | -496,6166666667 | -74,9766666667 | 540,4944444444 | -2154,1728 | -503,1792 | 3627,336 | 547,6368 | ||||||||||||
| 53,3389830508 | 13,9152542373 | 0,1186440678 | -8,5593220339 | 33,0477966102 | 2845,0471128986 | 193,6343004884 | 0,0140764148 | 73,26199368 | 742,2255099109 | 6,3283539213 | -456,5455328928 | 1,6509623671 | -119,1051422005 | -1,0155127837 | 1762,7358632577 | 459,8684918127 | 3,9209250215 | -282,8667336972 | ||||||||||||
| 7,3617021277 | 55,6382978723 | -24,0212765957 | -91,9361702128 | 41,8965957447 | 54,1946582164 | 3095,6201901313 | 577,0217292893 | 8452,2593933907 | 409,5925758262 | -176,837483024 | -676,8066998642 | -1336,5029425079 | -5115,1720235401 | 2208,4241738343 | 308,4302580353 | 2331,0552738796 | -1006,4097148031 | -3851,8125577184 | ||||||||||||
| 22,7666666667 | 50,7 | -60,95 | 23,4166666667 | 32,702 | 518,3211111111 | 2570,49 | 3714,9025 | 548,3402777778 | 1154,27 | -1387,6283333333 | 533,1194444444 | -3090,165 | 1187,225 | -1427,2458333333 | 744,5155333333 | 1657,9914 | -1993,1869 | 765,7718333333 | ||||||||||||
| ∑ | -132,2436250463 | 133,0816205427 | 311,7538244958 | 96,8800503351 | 350,5929328111 | 13869,9758700217 | 8603,2748244602 | 28773,5976377989 | 15512,7045515924 | 165,6318541821 | -16089,5713080532 | -6097,4341080896 | -343,1450029111 | -3076,9697298729 | 9520,9687526935 | -1645,563373047 | 2045,8029776464 | 3356,0544886234 | -136,0878352146 | |||||||||||
| x1 | x2 | x3 | x4 | y | (x1)2 | (x2)2 | (x3)2 | (x4)2 | x1x2 | x1x3 | x1x4 | x2x3 | x2x4 | x3x4 | yx1 | yx2 | yx3 | yx4 | ||||||||||||
|
n= | 14 | ||||||||||||||||||||||||||||
|
||||||||||||||||||||||||||||||
| a0= | 35,7014978859 | 0 | ||||||||||||||||||||||||||||
| a1= | -0,2940398863 | 0 | ||||||||||||||||||||||||||||
|
Диаграмма прессформы | (общее отклонение) | a2= | -0,3936547029 | 0 | |||||||||||||||||||||||||
|
a3= | -0,3746138032 | 0 | |||||||||||||||||||||||||||
| a4= | -0,1954731271 | -1,08002495835535E-012 | ||||||||||||||||||||||||||||
|
||||||||||||||||||||||||||||||
Sheet 13: sokrLit
|
||||||||||||||||||||||||||||||
| Агрегированные удельные факторы литье | ||||||||||||||||||||||||||||||
| Сырье, материалы, полуфабрикаты, транспорт | Зарплата и социальное страхование | Затраты на оборудование, цеховые и общезаводские | Административные и сбытовые расходы | Удельное общее отклонение | Прибыль | |||||||||||||||||||||||||
| 01.04 | 1,7642276423 | 4,3552845528 | 0,4975609756 | -1,1650406504 | 5,4520325203 | 1,483902439 | ||||||||||||||||||||||||
| 02.04 | -37,2653061224 | 8,3857142857 | 7,7663265306 | 0,3683673469 | -20,7448979592 | 10,7681632653 | ||||||||||||||||||||||||
| 03.04 | 19,56 | -1,0133333333 | 7,2133333333 | 3,3733333333 | 29,1333333333 | 4,5064 | ||||||||||||||||||||||||
| 04.04 | -7,6906666667 | 6,6106666667 | 15,0093333333 | 10,1426666667 | 24,072 | 6,434 | ||||||||||||||||||||||||
| 05.04 | -3,4803921569 | 4,9503267974 | 10,7470588235 | 17,6575163399 | 29,8745098039 | 6,358 | ||||||||||||||||||||||||
| 06.04 | 15,2833333333 | 5,3 | -27,8 | 1 | -6,2166666667 | 13,848 | ||||||||||||||||||||||||
| 07.04 | 15,78125 | 6,96875 | 27,6041666667 | 3,0416666667 | 53,3958333333 | 10,83 | ||||||||||||||||||||||||
| 08.04 | -11,7424 | 2,96 | 15,8784 | 6,288 | 13,384 | 4,9008 | ||||||||||||||||||||||||
| 09.04 | -6,7467213115 | 6,2540983607 | -1,9737704918 | -0,9016393443 | -3,3680327869 | 1,568852459 | ||||||||||||||||||||||||
| 10.04 | -2,5871794872 | 36,81 | 3,5648717949 | 1,7692307692 | 39,5569230769 | 8,3276923077 | ||||||||||||||||||||||||
| 11.04 | 8,6756756757 | -0,4324324324 | 2,6486486486 | 1 | 11,8918918919 | 6,3291891892 | ||||||||||||||||||||||||
| 12.04 | -24,3666666667 | 25,3615873016 | -5,380952381 | 11,1250793651 | 6,739047619 | 25,2695238095 | ||||||||||||||||||||||||
| 01.05 | 2,5581395349 | -10,7209302326 | -17,2674418605 | -9,3023255814 | -34,7325581395 | 16,7672093023 | ||||||||||||||||||||||||
| 02.05 | 24,8 | -12,6666666667 | -41,1666666667 | -11,2666666667 | -40,3 | 55,31 | ||||||||||||||||||||||||
|
|
|
||||||||||||||||||||||||||||
|
||||||||||||||||||||||||||||||
|
Диаграмма литье | (удельные факторы) | ||||||||||||||||||||||||||||
| Факторы | ||||||||||||||||||||||||||||||
|
x1 | x2 | x3 | x4 | y | (x1)2 | (x2)2 | (x3)2 | (x4)2 | x1x2 | x1x3 | x1x4 | x2x3 | x2x4 | x3x4 | yx1 | yx2 | yx3 | yx4 | |||||||||||
| 1,7642276423 | 4,3552845528 | 0,4975609756 | -1,1650406504 | 1,483902439 | 3,1124991738 | 18,9685035363 | 0,2475669244 | 1,3573197171 | 7,6837133981 | 0,8778108269 | -2,0553969198 | 2,1670196312 | -5,0740835482 | -0,5796787626 | 2,6179417014 | 6,4628173706 | 0,7383319453 | -1,7288066627 | ||||||||||||
| -37,2653061224 | 8,3857142857 | 7,7663265306 | 0,3683673469 | 10,7681632653 | 1388,7030403998 | 70,3202040816 | 60,3158277801 | 0,1356945023 | -312,4962099125 | -289,4145356102 | -13,7273219492 | 65,1261953353 | 3,0890233236 | 2,8608610995 | -401,2789004581 | 90,2987405248 | 83,6290720533 | 3,9666397334 | ||||||||||||
| 19,56 | -1,0133333333 | 7,2133333333 | 3,3733333333 | 4,5064 | 382,5936 | 1,0268444444 | 52,0321777778 | 11,3793777778 | -19,8208 | 141,0928 | 65,9824 | -7,3095111111 | -3,4183111111 | 24,3329777778 | 88,145184 | -4,5664853333 | 32,5061653333 | 15,2015893333 | ||||||||||||
| -7,6906666667 | 6,6106666667 | 15,0093333333 | 10,1426666667 | 6,434 | 59,1463537778 | 43,7009137778 | 225,2800871111 | 102,8736871111 | -50,8404337778 | -115,4317795556 | -78,0038684444 | 99,2216995556 | 67,0497884444 | 152,2346648889 | -49,4817493333 | 42,5330293333 | 96,5700506667 | 65,2579173333 | ||||||||||||
|
-3,4803921569 | 4,9503267974 | 10,7470588235 | 17,6575163399 | 6,358 | 12,1131295656 | 24,5057354009 | 115,4992733564 | 311,7878832928 | -17,2290785595 | -37,4039792388 | -61,455081379 | 53,2014532872 | 87,4104763125 | 189,766366782 | -22,1283333333 | 31,4741777778 | 68,3298 | 112,2664888889 | |||||||||||
| 15,2833333333 | 5,3 | -27,8 | 1 | 13,848 | 233,5802777778 | 28,09 | 772,84 | 1 | 81,0016666667 | -424,8766666667 | 15,2833333333 | -147,34 | 5,3 | -27,8 | 211,6436 | 73,3944 | -384,9744 | 13,848 | ||||||||||||
| 15,78125 | 6,96875 | 27,6041666667 | 3,0416666667 | 10,83 | 249,0478515625 | 48,5634765625 | 761,9900173611 | 9,2517361111 | 109,9755859375 | 435,6282552083 | 48,0013020833 | 192,3665364583 | 21,1966145833 | 83,9626736111 | 170,9109375 | 75,4715625 | 298,953125 | 32,94125 | ||||||||||||
| -11,7424 | 2,96 | 15,8784 | 6,288 | 4,9008 | 137,88395776 | 8,7616 | 252,12358656 | 39,538944 | -34,757504 | -186,45052416 | -73,8362112 | 47,000064 | 18,61248 | 99,8433792 | -57,54715392 | 14,506368 | 77,81686272 | 30,8162304 | ||||||||||||
| -6,7467213115 | 6,2540983607 | -1,9737704918 | -0,9016393443 | 1,568852459 | 45,5182484547 | 39,1137463048 | 3,8957699543 | 0,8129535071 | -42,1946586939 | 13,316479441 | 6,0831093792 | -12,3441547971 | -5,6389411449 | 1,779629132 | -10,5846103198 | 9,811757592 | -3,0965546896 | -1,4145391024 | ||||||||||||
| -2,5871794872 | 36,81 | 3,5648717949 | 1,7692307692 | 8,3276923077 | 6,6934976989 | 1354,9761 | 12,7083109139 | 3,1301775148 | -95,2340769231 | -9,2229631821 | -4,5773175542 | 131,2229307692 | 65,1253846154 | 6,3070808679 | -21,545234714 | 306,5423538462 | 29,6871554241 | 14,7336094675 | ||||||||||||
| 8,6756756757 | -0,4324324324 | 2,6486486486 | 1 | 6,3291891892 | 75,2673484295 | 0,1869978086 | 7,015339664 | 1 | -3,7516435354 | 22,9788166545 | 8,6756756757 | -1,1453615778 | -0,4324324324 | 2,6486486486 | 54,9099926954 | -2,7369466764 | 16,763798393 | 6,3291891892 | ||||||||||||
| -24,3666666667 | 25,3615873016 | -5,380952381 | 11,1250793651 | 25,2695238095 | 593,7344444444 | 643,210110456 | 28,9546485261 | 123,7673908793 | -617,9773439153 | 131,1158730159 | -271,0811005291 | -136,4694935752 | 282,1496715545 | -59,8635222978 | -615,7340634921 | 640,8752341648 | -135,9741043084 | 281,1254578987 | ||||||||||||
| 2,5581395349 | -10,7209302326 | -17,2674418605 | -9,3023255814 | 16,7672093023 | 6,5440778799 | 114,9383450514 | 298,1645484045 | 86,5332612223 | -27,4256354786 | -44,1725256896 | -23,7966468361 | 185,1230394808 | 99,7295835587 | 160,6273661439 | 42,8928610059 | -179,7600811249 | -289,5268117902 | -155,9740400216 | ||||||||||||
| 24,8 | -12,6666666667 | -41,1666666667 | -11,2666666667 | 55,31 | 615,04 | 160,4444444444 | 1694,6944444445 | 126,9377777778 | -314,1333333333 | -1020,9333333333 | -279,4133333333 | 521,4444444444 | 142,7111111111 | 463,8111111111 | 1371,688 | -700,5933333333 | -2276,9283333333 | -623,1593333333 | ||||||||||||
| -5,4567062251 | 83,1230652999 | -2,6591312933 | 33,1301882451 | 172,7017327721 | 3808,9783269247 | 2556,8070218688 | 4285,7615987782 | 819,5062034134 | -1337,1997521273 | -1382,8962722896 | -663,9204576737 | 992,2648619008 | 777,8103652671 | 1099,9315582023 | 764,508471332 | 403,7135946415 | -2385,5058425859 | -205,7903468757 | ||||||||||||
| x1 | x2 | x3 | x4 | y | (x1)2 | (x2)2 | (x3)2 | (x4)2 | x1x2 | x1x3 | x1x4 | x2x3 | x2x4 | x3x4 | yx1 | yx2 | yx3 | yx4 | ||||||||||||
|
n= | 14 | ||||||||||||||||||||||||||||
| a0= | 12,3966472274 | 0,000001 | ||||||||||||||||||||||||||||
| a1= | 0,0131894781 | 0 | ||||||||||||||||||||||||||||
|
Диаграмма литье | (общее отклонение) | a2= | -0,0331358692 | 3,5242919693701E-012 | |||||||||||||||||||||||||
|
a3= | -0,5411449883 | 0 | |||||||||||||||||||||||||||
| a4= | 0,0161792965 | 0 | ||||||||||||||||||||||||||||
Sheet 14: sokrYslyg
| Агрегированные удельные факторы услуги промхарактера | |||||||||||||||||||||||||||||||
| Сырье, материалы, полуфабрикаты, транспорт | Зарплата и социальное страхование | Затраты на оборудование, цеховые и общезаводские | Административные и сбытовые расходы | Удельное общее отклонение | Прибыль | ||||||||||||||||||||||||||
| 01.04 | 5,7021276596 | -8,3191489362 | 25,4893617021 | -2,8936170213 | 19,9787234043 | 35,0923404255 | |||||||||||||||||||||||||
| 02.04 | 7,5272727273 | -4,7636363636 | 28,5636363636 | 3,62 | 34,9472727273 | 7,8465818182 | |||||||||||||||||||||||||
| 03.04 | -4,5217391304 | -2,4130434783 | -1,1739130435 | 3,0652173913 | -5,0434782609 | 12,9260869565 | |||||||||||||||||||||||||
| 04.04 | 1,2150537634 | -6,1397849462 | 5,5053763441 | 10,2688172043 | 10,8494623656 | 12,4722580645 | |||||||||||||||||||||||||
| 05.04 | 4,3714285714 | 2,5714285714 | -30,1428571429 | 26,3142857143 | 3,1142857143 | 23,2371428571 | |||||||||||||||||||||||||
| 06.04 | 13,18 | 1,44 | 18,64 | 2,46 | 35,72 | 8,916 | |||||||||||||||||||||||||
| 07.04 | -25,8888888889 | 15,6 | 16,4888888889 | 2,4222222222 | 8,6222222222 | 20,5626666667 | |||||||||||||||||||||||||
| 08.04 | -2,4285714286 | 1,0816326531 | 7,7755102041 | 2,6326530612 | 9,0612244898 | 11,4018367347 | |||||||||||||||||||||||||
| 09.04 | -3,9126213592 | 7,4660194175 | 17,640776699 | 6,1359223301 | 27,3300970874 | 11,7396116505 | |||||||||||||||||||||||||
| 10.04 | -13,6470588235 | 13,3529411765 | 15,5882352941 | 0 | 15,2941176471 | 35,4741176471 | |||||||||||||||||||||||||
| 11.04 | -5,5 | -26,4722222222 | -6,4444444444 | -0,8888888889 | -39,3055555556 | 46,2516666667 | |||||||||||||||||||||||||
| 12.04 | 0,2857142857 | -18,3928571429 | -14,2142857143 | -7,8928571429 | -40,2142857143 | 36,3235714286 | |||||||||||||||||||||||||
| 01.05 | -4,1951219512 | -14,4146341463 | 32,1219512195 | -28,0487804878 | -14,5365853659 | 30,1258536585 | |||||||||||||||||||||||||
| 02.05 | -7,6153846154 | 11,0512820513 | -18,6153846154 | 6,2820512821 | -8,8974358974 | 34,0507692308 | |||||||||||||||||||||||||
|
|
|
|
||||||||||||||||||||||||||||
|
|
||||||||||||||||||||||||||||||
| Диаграмма услуги промхарактера | (удельные факторы) | ||||||||||||||||||||||||||||||
|
Факторы | ||||||||||||||||||||||||||||||
| x1 | x2 | x3 | x4 | y | (x1)2 | (x2)2 | (x3)2 | (x4)2 | x1x2 | x1x3 | x1x4 | x2x3 | x2x4 | x3x4 | yx1 | yx2 | yx3 | yx4 | |||||||||||||
| 5,7021276596 | -8,3191489362 | 25,4893617021 | -2,8936170213 | 35,0923404255 | 32,5142598461 | 69,2082390222 | 649,7075599819 | 8,3730194658 | -47,4368492531 | 145,3435943866 | -16,4997736532 | -212,0497962879 | 24,0724309642 | -73,7564508828 | 200,1010049796 | -291,9384065188 | 894,4813580806 | -101,5437935718 | |||||||||||||
| 7,5272727273 | -4,7636363636 | 28,5636363636 | 3,62 | 7,8465818182 | 56,6598347107 | 22,692231405 | 815,8813223141 | 13,1044 | -35,8571900826 | 215,0062809917 | 27,2487272727 | -136,0667768595 | -17,2443636364 | 103,4003636364 | 59,0633613223 | -37,3782624793 | 224,1269097521 | 28,4046261818 | |||||||||||||
| -4,5217391304 | -2,4130434783 | -1,1739130435 | 3,0652173913 | 12,9260869565 | 20,4461247637 | 5,822778828 | 1,3780718336 | 9,395557656 | 10,9111531191 | 5,3081285444 | -13,8601134216 | 2,8327032136 | -7,3965028355 | -3,5982986767 | -58,4483931947 | -31,1912098299 | -15,1741020794 | 39,6212665406 | |||||||||||||
|
1,2150537634 | -6,1397849462 | 5,5053763441 | 10,2688172043 | 12,4722580645 | 1,4763556481 | 37,696959186 | 30,30916869 | 105,4486067754 | -7,4601688056 | 6,689328246 | 12,4771649902 | -33,8018268008 | -63,0483292866 | 56,5337033183 | 15,1544640999 | -76,5769823101 | 68,6644745057 | 128,0753381894 | ||||||||||||
| 4,3714285714 | 2,5714285714 | -30,1428571429 | 26,3142857143 | 23,2371428571 | 19,1093877551 | 6,612244898 | 908,5918367347 | 692,4416326531 | 11,2408163265 | -131,7673469388 | 115,0310204082 | -77,5102040816 | 67,6653061224 | -793,187755102 | 101,5795102041 | 59,7526530612 | -700,433877551 | 611,4688163265 | |||||||||||||
| 13,18 | 1,44 | 18,64 | 2,46 | 8,916 | 173,7124 | 2,0736 | 347,4496 | 6,0516 | 18,9792 | 245,6752 | 32,4228 | 26,8416 | 3,5424 | 45,8544 | 117,51288 | 12,83904 | 166,19424 | 21,93336 | |||||||||||||
| -25,8888888889 | 15,6 | 16,4888888889 | 2,4222222222 | 20,5626666667 | 670,2345679012 | 243,36 | 271,8834567901 | 5,8671604938 | -403,8666666667 | -426,8790123457 | -62,7086419753 | 257,2266666667 | 37,7866666667 | 39,9397530864 | -532,3445925926 | 320,7776 | 339,0555259259 | 49,8073481481 | |||||||||||||
| -2,4285714286 | 1,0816326531 | 7,7755102041 | 2,6326530612 | 11,4018367347 | 5,8979591837 | 1,1699291962 | 60,4585589338 | 6,9308621408 | -2,6268221574 | -18,8833819242 | -6,3935860058 | 8,4102457309 | 2,8475635152 | 20,4702207414 | -27,6901749271 | 12,3325989171 | 88,6550978759 | 30,0170803832 | |||||||||||||
| -3,9126213592 | 7,4660194175 | 17,640776699 | 6,1359223301 | 11,7396116505 | 15,3086059007 | 55,7414459421 | 311,197002545 | 37,649542841 | -29,2117070412 | -69,0216797059 | -24,0075407673 | 131,7063813743 | 45,8109152606 | 108,2424356678 | -45,9326552927 | 87,6481685361 | 207,0958676595 | 72,0333452729 | |||||||||||||
| -13,6470588235 | 13,3529411765 | 15,5882352941 | 0 | 35,4741176471 | 186,2422145329 | 178,3010380623 | 242,9930795848 | 0 | -182,2283737024 | -212,7335640138 | -0 | 208,1487889273 | 0 | 0 | -484,1173702422 | 473,6838062284 | 552,9788927336 | 0 | |||||||||||||
| -5,5 | -26,4722222222 | -6,4444444444 | -0,8888888889 | 46,2516666667 | 30,25 | 700,7785493827 | 41,5308641975 | 0,7901234568 | 145,5972222222 | 35,4444444444 | 4,8888888889 | 170,5987654321 | 23,5308641975 | 5,7283950617 | -254,3841666667 | -1224,3843981482 | -298,0662962963 | -41,1125925926 | |||||||||||||
| 0,2857142857 | -18,3928571429 | -14,2142857143 | -7,8928571429 | 36,3235714286 | 0,0816326531 | 338,2971938776 | 202,0459183673 | 62,2971938776 | -5,2551020408 | -4,0612244898 | -2,2551020408 | 261,4413265306 | 145,1721938776 | 112,1913265306 | 10,3781632653 | -668,0942602041 | -516,313622449 | -286,6967602041 | |||||||||||||
| -4,1951219512 | -14,4146341463 | 32,1219512195 | -28,0487804878 | 30,1258536585 | 17,5990481856 | 207,7816775729 | 1031,8197501487 | 786,7340868531 | 60,4711481261 | -134,755502677 | 117,6680547293 | -463,0261748959 | 404,3129089827 | -900,9815585961 | -126,3816299822 | -434,253158834 | 967,7012016657 | -844,993456276 | |||||||||||||
| -7,6153846154 | 11,0512820513 | -18,6153846154 | 6,2820512821 | 34,0507692308 | 57,9940828402 | 122,130834977 | 346,5325443787 | 39,4641683103 | -84,1597633136 | 141,7633136095 | -47,8402366864 | -205,7238658777 | 69,4247205786 | -116,942800789 | -259,309704142 | 376,3046548323 | -633,8681656805 | 213,908678501 | |||||||||||||
| -35,4277891898 | -28,352023366 | 97,222851755 | 23,4770256647 | 326,4205038053 | 1287,526473921 | 1991,6667223498 | 5261,7787345003 | 1774,5479545235 | -550,9031032695 | -202,8714218725 | 136,1716617389 | -60,9721669279 | 736,4767744071 | -1396,106266004 | -1284,8193031689 | -1420,4781567491 | 1345,0975041428 | -79,0767431009 | |||||||||||||
| x1 | x2 | x3 | x4 | y | (x1)2 | (x2)2 | (x3)2 | (x4)2 | x1x2 | x1x3 | x1x4 | x2x3 | x2x4 | x3x4 | yx1 | yx2 | yx3 | yx4 | |||||||||||||
|
n= | 14 | |||||||||||||||||||||||||||||
| a0= | 24,7215508671 | 0,000001 | |||||||||||||||||||||||||||||
| a1= | -0,4604137256 | 0 | |||||||||||||||||||||||||||||
| Диаграмма услуги промхарактера | (общее отклонение) | a2= | -0,3229516855 | -5,6843418860808E-012 | |||||||||||||||||||||||||||
|
a3= | -0,349203684 | 0 | ||||||||||||||||||||||||||||
| a4= | -0,4769941318 | 3,80850906367414E-012 | |||||||||||||||||||||||||||||
Sheet 15: sokrOther
|
||||||||||||||||||||||||||||||
| Агрегированные удельные факторы прочая продукция | ||||||||||||||||||||||||||||||
| Сырье, материалы, полуфабрикаты, транспорт | Зарплата и социальное страхование | Затраты на оборудование, цеховые и общезаводские | Административные и сбытовые расходы | Удельное общее отклонение | Прибыль | |||||||||||||||||||||||||
| 01.04 | -14,6315789474 | 9,7263157895 | 19,0210526316 | -6,6736842105 | 7,4421052632 | 32,6141052632 | ||||||||||||||||||||||||
| 02.04 | -0,4909090909 | -5,5090909091 | -37,1454545455 | 20,2545454545 | -22,8909090909 | 38,8090909091 | ||||||||||||||||||||||||
| 03.04 | 0,2153846154 | -13,5076923077 | 39,2461538462 | -7,5846153846 | 18,3692307692 | 39,7264615385 | ||||||||||||||||||||||||
| 04.04 | -18,2384615385 | -27,9692307692 | 7,8153846154 | 2,0384615385 | -36,3538461538 | 15,6950769231 | ||||||||||||||||||||||||
| 05.04 | 6 | -6,2542372881 | 29,1186440678 | -8,7288135593 | 20,1355932203 | 51,4108474576 | ||||||||||||||||||||||||
| 06.04 | -4,0833333333 | 0,5916666667 | 5,7916666667 | -7,1083333333 | -4,8083333333 | 18,873 | ||||||||||||||||||||||||
| 07.04 | 16,2266666667 | -8,0266666667 | 37,3333333333 | -9,7333333333 | 35,8 | 34,4992 | ||||||||||||||||||||||||
| 08.04 | 3,4234234234 | -5,1351351351 | 13,2342342342 | 5,1351351351 | 16,6576576577 | 19,1762162162 | ||||||||||||||||||||||||
| 09.04 | 30,873015873 | 2,4285714286 | -2 | -0,126984127 | 31,1746031746 | 31,2380952381 | ||||||||||||||||||||||||
| 10.04 | -3,0113636364 | -9,2613636364 | 22,9090909091 | 2,75 | 13,3863636364 | 23,5909090909 | ||||||||||||||||||||||||
| 11.04 | 3,1428571429 | -20,0285714286 | 8,4857142857 | 1,0571428571 | -7,3428571429 | 55,9645714286 | ||||||||||||||||||||||||
| 12.04 | 12,1333333333 | -13,4222222222 | 19,5777777778 | 17,5555555556 | 35,8444444444 | 42,0746666667 | ||||||||||||||||||||||||
| 01.05 | -34,4193548387 | 20,8064516129 | -23,2580645161 | 18,2903225806 | -18,5806451613 | 52,8561290323 | ||||||||||||||||||||||||
| 02.05 | -21,8333333333 | -4,15 | 24,9 | -6,7166666667 | -7,8 | 38,039 | ||||||||||||||||||||||||
|
|
|
|
|||||||||||||||||||||||||||
| Диаграмма прочая продукция | (удельные факторы) | |||||||||||||||||||||||||||||
|
Факторы | |||||||||||||||||||||||||||||
| x1 | x2 | x3 | x4 | y | (x1)2 | (x2)2 | (x3)2 | (x4)2 | x1x2 | x1x3 | x1x4 | x2x3 | x2x4 | x3x4 | yx1 | yx2 | yx3 | yx4 | ||||||||||||
| -14,6315789474 | 9,7263157895 | 19,0210526316 | -6,6736842105 | 32,6141052632 | 214,0831024931 | 94,6012188366 | 361,8004432133 | 44,5380609418 | -142,3113573407 | -278,308033241 | 97,6465373961 | 185,0047645429 | -64,9103601108 | -126,940498615 | -477,1958559557 | 317,2150869806 | 620,3546127424 | -217,6562393352 | ||||||||||||
|
-0,4909090909 | -5,5090909091 | -37,1454545455 | 20,2545454545 | 38,8090909091 | 0,2409917355 | 30,3500826446 | 1379,7847933884 | 410,2466115702 | 2,7044628099 | 18,2350413223 | -9,9431404959 | 204,6376859504 | -111,5841322314 | -752,3642975207 | -19,0517355372 | -213,8028099174 | -1441,5813223141 | 786,0604958678 | |||||||||||
| 0,2153846154 | -13,5076923077 | 39,2461538462 | -7,5846153846 | 39,7264615385 | 0,0463905325 | 182,4577514793 | 1540,260591716 | 57,5263905325 | -2,9093491124 | 8,4530177515 | -1,6336094675 | -530,1249704142 | 102,4506508876 | -297,6669822485 | 8,5564686391 | -536,6128189349 | 1559,1108213018 | -301,3099313609 | ||||||||||||
| -18,2384615385 | -27,9692307692 | 7,8153846154 | 2,0384615385 | 15,6950769231 | 332,6414792899 | 782,2778698225 | 61,0802366864 | 4,1553254438 | 510,115739645 | -142,540591716 | -37,1784023669 | -218,590295858 | -57,0142011834 | 15,9313609467 | -286,2540568047 | -438,9792284024 | 122,6630627219 | 31,9938106509 | ||||||||||||
| 6 | -6,2542372881 | 29,1186440678 | -8,7288135593 | 51,4108474576 | 36 | 39,1154840563 | 847,895432347 | 76,1921861534 | -37,5254237288 | 174,7118644068 | -52,3728813559 | -182,1149095088 | 54,5920712439 | -254,1712151681 | 308,4650847458 | -321,5356391841 | 1497,0141683424 | -448,7557023844 | ||||||||||||
| -4,0833333333 | 0,5916666667 | 5,7916666667 | -7,1083333333 | 18,873 | 16,6736111111 | 0,3500694444 | 33,5434027778 | 50,5284027778 | -2,4159722222 | -23,6493055556 | 29,0256944444 | 3,4267361111 | -4,2057638889 | -41,1690972222 | -77,06475 | 11,166525 | 109,306125 | -134,155575 | ||||||||||||
| 16,2266666667 | -8,0266666667 | 37,3333333333 | -9,7333333333 | 34,4992 | 263,3047111111 | 64,4273777778 | 1393,7777777778 | 94,7377777778 | -130,2460444444 | 605,7955555556 | -157,9395555556 | -299,6622222222 | 78,1262222222 | -363,3777777778 | 559,8070186667 | -276,9135786667 | 1287,9701333333 | -335,7922133333 | ||||||||||||
| 3,4234234234 | -5,1351351351 | 13,2342342342 | 5,1351351351 | 19,1762162162 | 11,719827936 | 26,3696128561 | 175,1449557666 | 26,3696128561 | -17,5797419041 | 45,3063874685 | 17,5797419041 | -67,9595812028 | -26,3696128561 | 67,9595812028 | 65,6483077672 | -98,4724616508 | 253,7825371317 | 98,4724616508 | ||||||||||||
| 30,873015873 | 2,4285714286 | -2 | -0,126984127 | 31,2380952381 | 953,1431090955 | 5,8979591837 | 4 | 0,0161249685 | 74,977324263 | -61,746031746 | -3,920382968 | -4,8571428571 | -0,3083900227 | 0,253968254 | 964,4142101285 | 75,8639455782 | -62,4761904762 | -3,9667422525 | ||||||||||||
| -3,0113636364 | -9,2613636364 | 22,9090909091 | 2,75 | 23,5909090909 | 9,0683109504 | 85,772856405 | 524,826446281 | 7,5625 | 27,8893336777 | -68,9876033058 | -8,28125 | -212,1694214876 | -25,46875 | 63 | -71,0408057851 | -218,4839876033 | 540,4462809917 | 64,875 | ||||||||||||
| 3,1428571429 | -20,0285714286 | 8,4857142857 | 1,0571428571 | 55,9645714286 | 9,8775510204 | 401,1436734694 | 72,0073469388 | 1,1175510204 | -62,9469387755 | 26,6693877551 | 3,3224489796 | -169,9567346939 | -21,1730612245 | 8,9706122449 | 175,8886530612 | -1120,8904163265 | 474,8993632653 | 59,1625469388 | ||||||||||||
| 12,1333333333 | -13,4222222222 | 19,5777777778 | 17,5555555556 | 42,0746666667 | 147,2177777778 | 180,1560493827 | 383,2893827161 | 308,1975308642 | -162,8562962963 | 237,5437037037 | 213,0074074074 | -262,7772839506 | -235,6345679012 | 343,6987654321 | 510,5059555556 | -564,7355259259 | 823,7284740741 | 738,6441481481 | ||||||||||||
| -34,4193548387 | 20,8064516129 | -23,2580645161 | 18,2903225806 | 52,8561290323 | 1184,691987513 | 432,9084287201 | 540,9375650364 | 334,5359001041 | -716,144640999 | 800,5275754422 | -629,5411030177 | -483,9177939646 | 380,5567117586 | -425,3975026015 | -1819,2738605619 | 1099,7484911551 | -1229,3312591051 | 966,7556503642 | ||||||||||||
| -21,8333333333 | -4,15 | 24,9 | -6,7166666667 | 38,039 | 476,6944444444 | 17,2225 | 620,01 | 45,1136111111 | 90,6083333333 | -543,65 | 146,6472222222 | -103,335 | 27,8741666667 | -167,245 | -830,5181666667 | -157,86185 | 947,1711 | -255,4952833333 | ||||||||||||
| -24,6936536638 | -79,7112048655 | 165,0295333061 | 20,4087325067 | 494,5673697641 | 3655,4032950109 | 2343,0509340784 | 7938,3583746455 | 1460,8375861218 | -568,6405710945 | 798,3609678414 | -393,5812728735 | -2142,3961695554 | 96,9309833599 | -1928,5180830731 | -987,1135327473 | -2444,2942678982 | 5503,0579070093 | 1048,832426621 | ||||||||||||
| x1 | x2 | x3 | x4 | y | (x1)2 | (x2)2 | (x3)2 | (x4)2 | x1x2 | x1x3 | x1x4 | x2x3 | x2x4 | x3x4 | yx1 | yx2 | yx3 | yx4 | ||||||||||||
| n= | 14 | |||||||||||||||||||||||||||||
|
||||||||||||||||||||||||||||||
| a0= | 34,5068610963 | 0 | ||||||||||||||||||||||||||||
| a1= | 0,0146095247 | 0 | ||||||||||||||||||||||||||||
| Диаграмма прочая продукция | (общее отклонение) | a2= | 0,2450583871 | 0 | ||||||||||||||||||||||||||
|
a3= | 0,139621196 | 0 | |||||||||||||||||||||||||||
| a4= | 0,4078820401 | 0 | ||||||||||||||||||||||||||||
Sheet 16: results
|
|
||||||||
| Принятие решения на основе комплексной оценки взаимосвязи факторов себестоимости и прибыли. Итоговая таблица принятия решения. | |||||||||
| Прессформы | Стальное литье | Услуги промхарактера | Прочая продукция | ||||||
| a1 | 0,294 | 0,013 | 0,460 | 0,015 |
|
||||
| a2 | 0,394 | 0,033 | 0,323 | 0,245 | |||||
| a3 | 0,375 | 0,541 | 0,349 | 0,140 | |||||
| a4 | 0,195 | 0,016 | 0,477 | 0,408 | |||||
| ? | тренд | 2 | 3 | 4 | 4 | ||||
| Наиболее весомый фактор | 2 | 3 | 4 | 4 | |||||
|
|
||||||||
Sheet 17: Исходныя данныя
|
|||||||||
| Баланс ф1 | Отчет о финансовых результатах ф2 | ||||||||
| КОД | Начало | Конец | Показатель | КОД | Начало | Конец | |||
| АКТИВ | |||||||||
| Доход (выручка) от реализации | 010 | 8501,7 | 17528,2 | ||||||
| 1. Необоротные активы | НДС | 015 | 1385 | 2342,3 | |||||
| Нематериальные активы | Акцизный сбор | 020 | |||||||
| остаточная стоимость | 010 | 84 | 58,6 | 025 | |||||
| первоначальная стоимость | 011 | 155 | 155,6 | Другие отчисления из дохода | 030 | 156,4 | |||
| износ | 012 | -71 | -97 | Чистый доход | 035 | 7116,7 | 15029,5 | ||
| Незавершенное строительство | 020 | 6,5 | 6,5 | Себестоимость реализованной продукции | 040 | 8190,9 | 11785,3 | ||
| Основные фонды | Валовые | ||||||||
| остаточная стоимость | 030 | 16048,4 | 15053,7 | прибыль | 050 | -1074,2 | 3244,2 | ||
| первоначальная стоимость | 031 | 51379,4 | 49820 | убыток | 055 | -1074,2 | 3244,2 | ||
| износ | 032 | -35331 | -34766,6 | -0,6876491356 | Другие операционные доходы | 060 | 2354,9 | 7545,5 | |
| Долгосрочные финансовые инвестиции | Административные расходы | 070 | 1566,6 | 2662,5 | |||||
| по методу участия в капитале других предприятий | 040 | 520,9 | Расходы на сбыт | 080 | 93,5 | 167,2 | |||
| другие финансовые инвестиции | 045 | 18 | Другие операционные расходы | 090 | 2797,1 | 6003,3 | |||
| Долгосрочная дебиторская задолженность | 050 | Финансовые результаты операционной деятельности | |||||||
| Отсроченные налоговые активы | 060 | 1,5101183928 | прибыль | 100 | -3176,5 | 1956,7 | |||
| Другие необоротные активы | 070 | убыток | 105 | -3176,5 | 1956,7 | ||||
| Гудвил | 075 | Доход от участия в капитале | 110 | ||||||
| Всего по разделу 1 | 080 | 16156,9 | 15639,4 | Другие финансовые доходы | 120 | 0,1 | 162 | ||
| 2. Оборотные активы | Другие доходы | 130 | 21,6 | 180 | |||||
| Запасы | Финансовые затраты | 140 | 67,3 | 22,9 | |||||
| производственные запасы | 100 | 1340,2 | 2125,4 | Потери от участия в капитале | 150 | ||||
| животные | 110 | Другие затраты | 160 | 6,9 | 68,9 | ||||
| незавершенное производство | 120 | 2125 | 1794,1 | Финансовые результаты от обычной деятельности до налогообложения | |||||
| готовая продукция | 130 | 7059,8 | 8142,5 | прибыль | 170 | -3229 | 2206,9 | ||
| товары | 140 | 158,8 | 11,5 | убыток | 175 | -3229 | 2206,9 | ||
| Вексели полученные | 150 | Налог на прибыль от обычной деятельности | 180 | 316,9 | |||||
| Дебиторская задолженность за товары, работы, услуги | Финансовые результаты от обычной деятельности | ||||||||
| чистая реализационная стоимость | 160 | 2872,2 | 2349,9 | прибыль | 190 | -3545,9 | 2206,9 | ||
| первоначальная стоимость | 161 | 2872,2 | 2349,9 | убыток | 195 | -3545,9 | 2206,9 | ||
| резерв сомнительных долгов | 162 | Чрезвычайные | |||||||
| Дебиторская задолженность по расчетам | доходы | 200 | |||||||
| с бюджетом | 170 | 57,9 | 60,1 | затраты | 205 | ||||
| по выданным авансам | 180 | 195,2 | 228,2 | Налоги с чрезвычайного дохода | 210 | ||||
| с начисленных доходов | 190 | Части меншинства | 215 | ||||||
| из внутренних расчетов | 200 | Чистые | |||||||
| Другая текущая дебиторская задолженность | 210 | 56,9 | 34,7 | прибыль | 220 | -3545,9 | 2206,9 | ||
| Текущие финансовые инвестиции | 220 | убыток | 225 | -3545,9 | 2206,9 | ||||
| Денежные средства и их эквиваленты | |||||||||
| в национальной валюте | 230 | 0,8 | 0,3 | ЭЛЕМЕНТЫ ОПЕРАЦИОННЫХ ЗАТРАТ | |||||
| в иностранной валюте | 240 | Материальные затраты | 230 | 6357,9 | 7495,8 | ||||
| Другие оборотные активы | 250 | 231,3 | 213,2 | Затраты на оплату труда | 240 | 2230,7 | 2796,1 | ||
| Всего по разделу 2 | 260 | 14098,1 | 14959,9 | Отчисления на социальные мероприятия | 250 | 882,3 | 1187,6 | ||
| 3. Затраты будущих периодов | 270 | 2,6 | 1,9 | Амортизация | 260 | 1450,8 | 1674,3 | ||
| Баланс | 280 | 30257,6 | 30601,2 | Другие операционные затраты | 270 | 2332,2 | 7464,5 | ||
| Всего | 280 | 13253,9 | 20618,3 | ||||||
| ПАССИВ | |||||||||
| 1. Собственный капитал | |||||||||
| Уставной капитал | 300 | 308 | 307,7 | ||||||
| Паевой капитал | 310 | ||||||||
| Дополнительный вложеный капитал | 320 | ||||||||
| Другой дополнительный капитал | 330 | 20940,2 | 20493,5 | ||||||
| Резервный капитал | 340 | 51 | 51,3 | ||||||
| Нераспределенная прибыль | 350 | 1536 | -1554,2 | ||||||
| Неоплаченный капитал | 360 | -103 | -102,6 | ||||||
| Изьятый капитал | 370 | ||||||||
| Накопленная курсовая разница | 375 | ||||||||
| Всего по разделу 1 | 380 | 22732,2 | 19195,7 | ||||||
| 2. Обеспечение следующих затрат и платежей | |||||||||
| Обеспечение выплат персоналу | 400 | 104,1 | 87,3 | ||||||
| Другие обеспечения | 410 | ||||||||
| 415 | |||||||||
| Целевое финансирование | 420 | ||||||||
| Всего по разделу 2 | 430 | 104,1 | 87,3 | ||||||
| 3. Долгосрочные обязательства | |||||||||
| Долгосрочные кредиты банков | 440 | ||||||||
| Другие долгосрочные финансовые обязательства | 450 | ||||||||
| Отсроченные налоговые обязательства | 460 | 316,9 | |||||||
| Другие долгосрочные обязательства | 470 | 1198,4 | 1093,9 | ||||||
| Всего по разделу 3 | 480 | 1198,4 | 1410,8 | ||||||
| 4. Текущие обязательства | |||||||||
| Краткосрочные кредиты банков | 500 | 145,1 | 735,3 | ||||||
| Текущая задолженность по долгосрочным обязательствам | 510 | ||||||||
| Вексели выданные | 520 | 332,2 | 70,6 | ||||||
| Кредиторская задолженность за товары, работы, услуги | 530 | 3083,5 | 5255,7 | ||||||
| Текущие обязательства по расчетам | |||||||||
| по полученным авансам | 540 | 373,2 | 371,3 | ||||||
| с бюджетом | 550 | 158,6 | 505 | ||||||
| с внебюджетными платежами | 560 | 0,8 | 0,8 | ||||||
| со страхованием | 570 | 524,1 | 649,8 | ||||||
| по оплате труда | 580 | 606 | 1017,4 | ||||||
| с участниками | 590 | 58,1 | 49 | ||||||
| из внутренних расчетов | 600 | ||||||||
| Другие текущие обязательства | 610 | 940,9 | 1252,8 | ||||||
| Всего по разделу 4 | 620 | 6222,5 | 9907,7 | ||||||
| 5. Доходы будущих периодов | 630 | ||||||||
| Баланс | 640 | 30257,2 | 30601,5 |
Sheet 18: Экспресс-анализ
|
||||
| Периоды | Отклонения | |||
| ПОКАЗАТЕЛИ | Начало | Конец | +/- | % |
| 1. Состояние и динамика экономического потенциала | ||||
| 1.1. Имущественное состояние: | ||||
| - сумма хозяйственных средств в распоряжении предприятия, тыс.грн. | 30257,6 | 30601,2 | 343,6 | 101,1355824652 |
| - стоимость основных фондов, тыс.грн. | 16048,4 | 15053,7 | -994,7 | 93,8018743302 |
| - коэффициент износа основных фондов | -0,6876491356 | -0,6978442393 | -0,0101951036 | 101,4826025493 |
| 1.2. Финансовое состояние: | ||||
| -сумма собственных средств, тыс.грн. | 7773,7 | 4967,1 | -2806,6 | 63,896214158 |
| -коэффициент соотношения заемных и собственных средств | 0,3264488259 | 0,5896372625 | 0,2631884366 | 180,6216520755 |
| - коэффициент покрытия | 2,2660827642 | 1,5101183928 | -0,7559643714 | 66,6400370122 |
| - убытки | ||||
| - кредиты и займы, не погашенные в срок | 5281,6 | 8654,9 | 3373,3 | 163,8689033626 |
| 2. Результативность финансово-хозяйственной деятельности | ||||
| 2.1. Оценка прибыльности: | ||||
| - затраты на производство, тыс.грн. | 8190,9 | 11785,3 | 3594,4 | 143,8828455969 |
| - коммерческие затраты, тыс.грн. | ||||
| - прибыль, тыс.грн. | -1074,2 | 3244,2 | 4318,4 | -302,0107987339 |
| - рентабельность продаж, % | -12,6351200348 | 18,508460652 | 31,1435806868 | -146,4842486734 |
| - рентабельность основной деятельности, % | -13,1145539562 | 27,5275130883 | 40,6420670446 | -209,900490556 |
| Рентабельность инвестированного капитала | ||||
| - рентабельность собственного капитала, % | -4,7254555212 | 16,9006600437 | 21,6261155649 | -357,6514468855 |
| - рентабельность заемного капитала, % | -14,4753331806 | 28,6628086761 | 43,1381418567 | -198,0113916442 |
| 2.2. Оценка динамичности: | ||||
| - темпы роста выручки от реализации | 1 | 2,0617288307 | 1,0617288307 | 206,1728830704 |
| - темпы роста прибыли | 1 | -3,0201079873 | -4,0201079873 | -302,0107987339 |
| 2.3. Экономический потенциал: | ||||
| - выручка от реализации, тыс.грн. | 8501,7 | 17528,2 | 9026,5 | 206,1728830704 |
| - рентабельность активов, % | -11,7190391835 | 7,2118086872 | 18,9308478708 | -61,5392488607 |
| -оборачиваемость оборотных средств, дни | 596,9766046791 | 307,2514006002 | -289,7252040789 | 51,4679131798 |
| - оборачиваемость основного капитала, дни | 1013,328628392 | 423,2231489828 | -590,1054794092 | 41,7656362531 |
| - оборачиваемость дебиторской задолженности, дни | 134,7485796958 | 54,896908981 | -79,8516707149 | 40,7402505502 |
| - оборачиваемость кредиторской задолженности, дни | 243,2774621546 | 186,9357948905 | -56,3416672641 | 76,8405725853 |
| - оборачиваемость запасов и затрат, дни | 452,3998729666 | 247,9695576271 | -204,4303153394 | 54,8120307818 |
Sheet 19: Ликвидность
|
|
|||||||
| АКТИВ | Период | ПАССИВ | Период | Платежеспособность | ||||
| начало | конец | начало | конец | начало | конец | |||
| Наиболее ликвидные активы | 0,8 | 0,3 | Наиболее срочные пассивы | 5745,2 | 9101,8 | -5744,4 | -9101,5 | А1<П1 |
| Быстро реализуемые активы | 3182,2 | 2672,9 | Срочные пассивы | 477,3 | 805,9 | 2704,9 | 1867 | A2>П2 |
| Медленно реализуемые активы | 10917,7 | 12288,6 | Долгосрочные пассивы | 1198,4 | 1410,8 | 9719,3 | 10877,8 | A3>П3 |
| Трудно реализуемые активы | 16156,9 | 15639,4 | Постоянные пассивы | 22836,3 | 19283 | -6679,4 | -3643,6 | A4>П4 |
| ИТОГО | 30257,6 | 30601,2 | ИТОГО | 30257,2 | 30601,5 |
Sheet 20: Коэффициенты
|
|
|||
| 1. Анализ имущественного состояния предприятия. | Начало | Конец | ||
| 1.1. Коэффициент износа основных средств. |
|
уменьшение | -0,6876491356 | -0,6978442393 |
| 1.2. Коэффициент обновления основных средств. |
|
увеличение | ||
| 1.3. Коэффициент выбытия основных средств. |
|
меньше коэфф. обн. осн. средств | ||
| 2. Анализ ликвидности предприятия. | ||||
| 2.1. Коэффициент покрытия. | >1 | 2,2656649257 | 1,5099266227 | |
| 2.2. Коэффициент быстрой ликвидности. |
|
0.6-0.8 | 0,5487022901 | 0,2913289664 |
| 2.3. Коэффициент абсолютной ликвидности. |
|
>0 увеличение | ||
| 2.4. Чистый оборотный капитал, тыс. грн. | >0 увеличение | 0,691207382 | 0,6749048249 | |
| 3. Анализ платежеспособност (фин/ устойчивости) предприятия. | ||||
| 3.1. Коэффициент платежеспособности (автономии). |
|
>0.5 | 0,7512988644 | 0,6272797085 |
| 3.2. Коэффициент финансирования. |
|
<1 уменьшение | 0,3310282331 | 0,5941851561 |
| 3.3. Коэффициент обеспеченности собственными оборотными средствами. |
|
>0 увеличение | 1,2656649257 | 0,5099266227 |
| 3.4. Коэффициент маневренности собственного капитала. |
|
увеличение | ||
| 4. Анализ деловой активности предприятия. | ||||
| 4.1. Коэффициент оборачиваемости активов. |
|
0,2352037174 | 0,4967181799 | |
| 4.2. Коэффициент оборотности кредиторской задолженности. |
|
0,2707055417 | 0,3894988367 | |
| 4.3. Коэффициент оборотности дебиторской задолженности. |
|
6,6492912867 | 4,6213231738 | |
| 4.4. Срок погашения дебиторской задолженности, дней. | уменьшение | 27,0705541748 | 38,9498836656 | |
| 4.5. Срок погашения кредиторской задолженности, дней. | увеличение | 6,6492912867 | 4,6213231738 | |
| 4.6. Коэффициент оборотности материальных запасов. | увеличение | 0,7666654187 | 1,1031000206 | |
| 4.7. Коэффициент оборотности основных средств (фондоотдача) |
|
0,1385127113 | 0,2925199594 | |
4.8. Коэффициент оборотности собственного капитала.
|
0,3130669271 | 0,6611546617 | ||
| 5. Анализ рентабельности предприятия. | ||||
| 5.1. Коэффициент рентабельности активов | >0 увеличение | -0,1171903918 | 0,0729370472 | |
5.2. Коэффициент рентабельности собственного капитала.
|
-0,1171903918 | 0,0729370472 | ||
| 5.3. Коэффициент рентабельности деятельности. |
|
>0 увеличение | -0,4982505937 | 0,1468378855 |
| 5.4. Коэффициент рентабельности продукции. |
|
>0 увеличение | -0,4329072507 | 0,1872587036 |
Міністерство освіти та науки України
Національний гірничий університет
Кафедра Економічної кібернетики та інформаційних технологій
ПОЯСНЮВАЛЬНА ЗАПИСКА
дипломної роботи
магістра
спеціальності «Економічна кібернетика»
на тему:
«Підвищення ефективності роботи підприємства на основі застосування економіко-математичних методів (на прикладі ВАТ «Дніпрополімермаш»)»
Виконавець:
Конєв Павло Вікторович
Дніпропетровськ, 2009
ЗАТВЕРДЖЕНО:
Завідувач кафедри
Економічної кібернетики
та інформаційних технологій
______________ проф. Кочура Є.В.
ЗАВДАННЯ
на дипломну роботу магістра
студенту групи ЕК-04-м
Тема дипломної роботи: «Підвищення ефективності роботи підприємства на основі застосування економіко-математичних методів (на прикладі ВАТ «Дніпрополімермаш») затверджена наказом ректора НГУ від
РЕФЕРАТ
Об‘єкт розроблення: економіко-математична модель взаємозв‘язку факторів собівартості продукції та прибутку.
Мета роботи: підвищення ефективності роботи підприємства ВАТ «Дніпрополімермаш» шляхом управління собівартістю продукції.
Метод дослідження та апаратура: для дослідження даної предметної області використані аналітичні методи для оцінки фінансово-економічного стану підприємства та метод лінійного багатофакторного регресійного аналізу для встановлення взаємозв‘язків агрегованих компонентів собівартості та прибутку. Для проектування та реалізації інформаційної системи використовувався компьютер на базі процессора Intel Pentium III Celeron.
У першому розділі диплому зроблений аналіз методів фінансового-економічного аналізу, проведена оцінка фінансово-економічного стану підприємства, сформульована мета та поставлені задачі дослідження.
У другому розділі проведений аналіз методів вивчення взаємозв‘язків статистичних показників, вибраний найбільш адекватний і на його базі розроблена комплексна економіко-математична модель.
У третьому розділі описані сучасні методи розробки інформаційних систем, приведений алгоритм побудови та дано опис інтерфейсу розробленої інформаційної системи підтримки прийняття рішень.
Новизна полягає у застосуванні методів регресійного аналізу на даних собівартості промислової продукції для математичного обгрунтування управлінських рішень.
Практичне значення полягає у наданні практичних рекомендацій управлінському персоналу підприємства щодо прийняття рішень по управлінню собівартістю продукції.
ІНФОРМАЦІЙНА СИСТЕМА ПІДТРИМКИ ПРИЙНЯТТЯ РІШЕНЬ, БАГАТОФАКТОРНА РЕГРЕСІЯ, КОМПЛЕКСНА ОЦІНКА, РЕКОМЕНДІЦІЇ.
ЗМІСТ
ВСТУП
РОЗДІЛ 1. Аналіз діяльності підприємства
1.1 Методи і методики визначення ефективності роботи підприємства
1.2 Аналіз фінансового стану ВАТ «Дніпрополімермаш»
1.3 Визначення мети і постановка задач, розв'язуваних при виконанні дипломної роботи
РОЗДІЛ 2. Економіко-математичне моделювання взаємозв‘язку елементів собівартості та прибутку
2.1 Аналіз літературних джерел, вибір моделі
2.2 Побудова моделі взаємозв‘язку факторов собівартості та прибутку
2.3 Моделювання контрольного приклада
РОЗДІЛ 3. Проектування інформаційної системи підтримки прийняття рішень
3.1 Методики створення сучасних інформаційних систем
3.2 Алгоритм побудови інформаційної системи підтримки прийняття рішень
3.3 Розробка інтерфейсу інформаційної системи
РОЗДІЛ 4. Охорона праці
ВИСНОВКИ
СПИСОК ВИКОРИСТАНОЇ ЛІТЕРАТУРИ
ДОДАТОК А
ДОДАТОК Б
ВСТУП
Перехід від директивно керованої економіки до ринкового по-новому поставив питання керування підприємством як суб'єктом ринкових відносин. Функціонування підприємства зв'язане зі змінами як у зовнішньої, так і у внутрішнім середовищі його діяльності, що обумовлює необхідність розробки нових підходів до визначення цільової функції його діяльності, обґрунтуванню економічних передумов досягнення оптимальних розмірів прибутку, що забезпечує конкурентноздатність підприємства на ринку і визначальній перспективі його розвитку. Досягти подібне можна шляхом глибокого аналізу як господарської діяльності підприємства, так і стану навколишньої його економічного і соціального середовища. Сполучення мікро- і макроаналізу дозволяє створити інформаційну базу прийнятого управлінського рішення, адекватну дійсності.
Для дослідження даної предметної області використані аналітичні методи для оцінки фінансово-економічного стану підприємства та метод лінійного багатофакторного регресійного аналізу для встановлення взаємозв‘язків агрегованих компонентів собівартості та прибутку.
У першому розділі диплому буде зроблений аналіз наявних методів фінансового-економічного аналізу, проведена оцінка фінансово-економічного стану підприємства, сформулюється мета та поставлені задачі дослідження.
У другому розділі буде проведений аналіз методів вивчення взаємозв‘язків статистичних показників, вибраний найбільш адекватний і на його базі розроблена комплексна економіко-математична модель.
У третьому розділі будуть описані сучасні методи розробки інформаційних систем, приведено алгоритм побудови та дано опис інтерфейсу розробленої інформаційної системи підтримки прийняття рішень.
Новизна полягає у застосуванні методів регресійного аналізу на фактичних даних собівартості промислової продукції для математичного обґрунтування управлінських рішень.
Обрана тема актуальна, тому що пов'язана зі створенням сучасних інформаційних технологій, що забезпечують автоматизацію процесу прийняття рішень в умовах сучасного промислового підприємства.
Оригінальність пропонованих рішень полягає в розробці економіко-математичної моделі враховуючу технологічну, економічну й інформаційну характеристики виробництва продукції на підприємстві і реалізованої у виді інформаційної системи підтримки прийняття рішень. Алгоритми рішення функціональних задач реалізовані на основі програмного продукту Microsoft Excel шляхом написання програми мовою програмування Visual Basic for Applications.
Практичне значення отриманих рішень полягає в автоматизації процесу вибору методів керування собівартості продукції і підвищенні обґрунтованості прийнятих управлінських рішень.
РОЗДІЛ 1. Аналіз діяльності підприємства
1.1 Методи і методики визначення ефективності роботи підприємства
Неспроможність аналізувати господарчу ситуацію, неможливість визначення «вузьких місць» в економічній діяльності підприємства і факторів, що на неї впливають, так чи інакше призводить до зниження ефективності роботи, до прийняття неправильних управлінських рішень і, у кінцевому результаті, до збитків і фінансового краху. Тому формування ринкової економіки обумовлює розвиток аналізу в першу чергу на мікрорівні — на рівні окремих фірм, компаній, підприємств і їхніх структурних підрозділів, оскільки вони становлять основу ринкової економіки. І в цьому зв'язку важливої стає задача оволодіння прийомами і методами економічного аналізу фінансовим менеджером, що не тільки зосереджує на своєму робочому місці всю інформаційну базу для аналізу, але й володіє правами і методами фінансового керування діяльністю фірми, компанії або підприємства [30].
Аналіз базується на розчленовуванні досліджуваних об'єктів, його основна задача полягає в тому, щоб створити репрезентативну й адекватну ситуації, що складається, інформаційну базу для виконання завершальної функції керування - регулювання керованого об'єкта як на мікрорівні (підприємство, фірма), так і на макрорівні (галузь) [2, 36].
Економічний аналіз - прикладна наука, що представляє собою систему спеціальних знань, що дозволяють оцінити ефективність діяльності того чи іншого суб'єкта ринкової економіки. Спираючись на теорію пізнання, вона забезпечує практичну корисність діяльності людини, дозволяє раціонально обґрунтувати не тільки поточну діяльність, але і найближчу перспективу розвитку суб'єкта господарювання. За допомогою економічного аналізу створюються передумови для оцінки доцільності прийнятих управлінських рішень на перспективу [2, 30, 37].
Предметом економічного аналізу є вся доступна інформація з тих або інших напрямків діяльності суб'єктів ринкової економіки, що знаходиться в діалектичному взаємозв'язку, взаємозалежності і взаємодії, що виражає зміну становища того чи іншого суб'єкта господарювання [2, 3, 17, 37].
Також під предметом аналізу розуміються господарчі процеси підприємств, об'єднань, асоціацій, соціально-економічна ефективність і кінцеві результати їхньої діяльності, що складаються під впливом об'єктивних і суб'єктивних факторів, що дістають відбиття через систему економічної інформації. Ця система являє собою сукупність вхідних даних, результати їхньої проміжної обробки, вихідні дані і кінцеві результати, що надходять у систему управління. Раціонально організований і відповідним чином регульований інформаційний потік служить надійною базою для економічного аналізу, а отже, і для прийняття оптимальних управлінських рішень [4].
До основних напрямків економічного аналізу відносяться:
• формування системи показників, що характеризують роботу аналізованого об'єкта;
• якісний аналіз досліджуваного явища (результату);
• кількісний аналіз цього явища (результату);
• оформлення висновків і конкретних рекомендацій, що випливають з результатів аналізу [2, 3].
У системі методів управління виробництвом аналіз діяльності окремих суб'єктів господарювання дає можливість здійснювати контроль за виробництвом, економічно обґрунтовувати управлінські рішення, виявляти і більш повно використовувати резерви виробництва. Ці задачі можуть вирішуватися за допомогою отриманої в процесі аналізу економічної інформації про діяльність підприємств, об'єднань і їхніх структурних підрозділів [30].
Первісним джерелом економічної інформації служать дані бухгалтерського, статистичного й оперативного обліку про стан і використання усіх видів ресурсів виробництва, процес виробництва продукції, її реалізації, фінансових результатів і ін. Однак дані обліку самі по собі не забезпечують достатньої інформованості працівників управління про хід виконання планових завдань, досягнення високих або низьких показників, факторів що впливають на них, причинах позитивних і негативних відхилень у роботі підприємства.
Вивчення облікових даних шляхом перетворення їх у широке коло економічної інформації, її з'ясування і використання в керуванні досягається за допомогою аналізу [37].
Аналіз господарської діяльності виник на базі бухгалтерського обліку як основного джерела його інформації. Перші розроблені методики економічного аналізу обмежувалися в основному рахунковою перевіркою й аналізом балансів, вони призначалися для рахункових працівників. В даний час економічний аналіз перетворився в одну з істотних функцій керування виробництвом. Він служить важливим засобом при виробленні й обґрунтуванні управлінських рішень.
З цього погляду економічний аналіз - це система способів вивчення (на основі даних обліку, звітності, планів і інших джерел) досягнутих результатів і стану господарської діяльності, можливих варіантів її поліпшення з метою контролю за виробництвом і обґрунтування управлінських рішень спрямованих на підвищення його ефективності [3, 17].
У процесі аналізу економічні показники зіставляються з плановими даними, з показниками минулих періодів різних підприємств; визначається позитивний і негативний вплив факторів на досліджувані показники, досліджуються причини їхньої зміни, формулюються висновки і пропозиції по подальшому, перспективному розвитку суб'єктів господарювання. Варто помітити, що в умовах розвитку ринкових відносин важлива роль приділяється фінансовим результатам з погляду ефективного використання наявного потенціалу, порівняння витрат і результатів. Тому головним аспектом аналізу на мікрорівні стає комерційний розрахунок, а на макрорівні — оцінка економічної ефективності суспільного виробництва й окремих його елементів [2].
Задача аналізу полягає в одержанні (на основі плану, обліку й інших джерел аналітичної інформації) відомостей про стан і результати діяльності підприємства і його підрозділів, про величину, характер і причини відхилень у діяльності досліджуваних об'єктів, а також про наявні резерви виробництва.
Основна задача економічного аналізу підрозділяється на наступні, більш локальні задачі:
оцінка роботи підприємства і його підрозділів за визначені проміжки часу;
виявлення позитивних і негативних факторів, що впливають на роботу аналізованого об'єкта, визначення кількісної величини їхньої дії;
здійснення контролю за ходом виконання намічених результатів, виправлення недоліків у плануванні, підготовка даних про перспективу розвитку на наступні періоди;
виявлення невикористаних, перспективних резервів поліпшення економіки підприємства;
розробка заходів, спрямованих на активізацію використання резервів виробництва на підприємстві;
оцінка ефективності прийнятих рішень у ході проведення економічного аналізу [2, 12, 17].
Аналіз як у широкому розумінні (як філософський термін), так і стосовно його застосування в економіці являє собою пізнавальну процедуру уявного розчленування об‘єкта або явища на складові з метою їх вивчення, з‘ясування зв‘язків між ними. При цьому він нерозривно пов‘язаний із синтезом, тобто поєднанням окремих частин і елементів у єдине ціле. Разом із індукцією та дедукцією вони становлять базис економічного аналізу [28].
Методичні прийоми аналізу полегшують, прискорюють роботу, забезпечують розглядання різних сторін діяльності підприємства у взаємозв‘язку. Вибір методичних прийомів визначається метою аналізу та характером джерел інформації [24].
Метод економічного аналізу являє собою сукупність способів вивчення господарської діяльності підприємства шляхом:
виявлення і визначення взаємозв'язків досліджуваних показників,
розчленовування їх на складові частини;
порівняння з іншими показниками;
визначення величини впливу на досліджувані показники як окремих складових частин, так і в сукупності;
узагальнення отриманих результатів.
Без застосування в аналізі цих мінімально необхідних елементів методу неможливо глибоке і усебічне вивчення економічних показників і процесів, що відбуваються в економіці [2, 4].
Метод економічного аналізу має свої особливості. Серед них системний підхід у дослідженні економічних явищ, комплексність, результативність, використання системи показників. Вимоги до системи показників можна сформулювати наступним чином:
в систему повинні входити декілька часткових показників та один узагальнюючий, що забезпечує єдність системи;
системі повинна бути властива інтегрованість;
достатність показників для оцінки окремих аспектів роботи підприємств та інших підрозділів народного господарства;
всі показники повинні бути адекватними, тобто відображати реальні процеси та явища, динамічними, зведеними, забезпечувати одночасне розуміння явищ та процесів, які вивчаються [24].
При проведенні аналізу використовують кілька загальноприйнятих прийомів дослідження:
Дедуктивний прийом виражається в тому, що на початковій стадії аналізу того чи іншого показника вивчення проводиться від загального до частного;
Індуктивний прийом застосовується на стадії узагальнення, коли вивчені складові частини аналізованого показника розглядаються з урахуванням впливу їх на загальні аналізовані показники [2];
Абстрагування – прийом аналізу, при якому досліджуваний об'єкт спрощується, деякі неважливі фактори відкидаються з метою більш глибокого вивчення необхідних показників;
Агрегування – цей прийом дозволяє спростити розрахунки, розглянути досліджуваний об'єкт як єдину функціонуючу систему шляхом об'єднання декількох дрібних факторів (показників) в один великий.
По ознакам застосовуваних прийомів і методів особливий інтерес являє собою функціонально-вартісний аналіз, що займає важливе місце в економічному аналізі. Його виникнення пов'язане з необхідністю вирішення проблеми більш повного, доцільного використання ресурсів. Функціонально-вартісний аналіз заснований на постійному пошуку шляхів зниження матеріалоємності, енерго- і трудомісткості продукції, що випускається, за рахунок удосконалення способів виготовлення продукції. Даний аналіз виходить з того, що витрати на виробництво будь-якого виробу складаються з мінімуму витрат, абсолютно необхідних для виконання ним своїх функцій, і «додаткових», пов'язаних з недосконалістю конструкції, неефективним використанням матеріалів.
Таким чином, функціонально-вартісний аналіз – це метод вивчення можливостей скорочення витрат на виробництво продукції, робіт або послуг, обов'язково при незмінних і поліпшених їхніх властивостях. Він являє собою самостійну галузь знань, широко використовується як в економічному так і в системному аналізах [2, 11, 33].
Для рішення поставлених ним задач використовуються як традиційні прості калькуляційні розрахунки (які будуть розглянуті нижче в цьому розділі), так і економіко-математичні методи оптимізації за допомогою ЕОМ (які будуть розглянуті в другому розділі).
Очевидно, що однією з основних задач і кінцевою метою економічного аналізу є виявлення господарських резервів і розробка заходів щодо їхнього використання. Резерви являють собою невикористані можливості поліпшення аналізованих господарських результатів. Одним з головних джерел резервів, безсумнівно, є виробнича собівартість підприємства [2, 11].
Виробнича собівартість промислової продукції (робіт, послуг) – це виражені в грошовій формі поточні витрати підприємства на її виробництво. Показник «виробнича собівартість» промислової продукції (робіт, послуг) є одним з основних економічних показників підприємства і це визначає необхідність однозначного визначення методики його розрахунку незалежно від того, де буде використовуватися показник виробничої собівартості: у бухгалтерському, статистичному або управлінському обліку.
Розрахунки планової собівартості окремих виробів, товарної і валової продукції використовуються для визначення потреби в оборотних коштах, планування прибутку, визначення економічної ефективності окремих організаційно-технічних заходів і виробництва в цілому, для внутрішньозаводського планування, а також для формування цін.
У зв'язку з цим на підприємстві повинна бути забезпечена повна відповідність планового і звітного даних щодо складу і класифікації витрат, об'єктів і одиниць калькулювання, методів розподілу витрат по плановим (звітним періодам) [7, 33].
Витрати класифікуються по наступних ознаках:
Таблиця 1.1 – Класифікація витрат підприємства
|
Ознаки |
Витрати |
|
1. По центрах відповідальності (по місцю виникнення витрат) |
Витрати виробництва, цеху, ділянки, технологічного переділу, служби |
|
2. По видах продукції, робіт, послуг |
Витрати на вироби, типові представники виробів, одноразові замовлення, напівфабрикати, валову, товарну, реалізовану продукцію |
|
3. По єдності складу (однорідності) витрат |
Одноелементні, комплексні |
|
4. По видах витрат |
Витрати по економічних елементах, витрати по статтях калькуляції |
|
5. По способу віднесення на вартість продукції |
Витрати прямі, непрямі |
|
6. По ступені впливу обсягу виробництва на рівень витрат |
Витрати перемінні, постійні |
|
7. По календарних періодах |
Витрати поточні, одноразові |
|
8. По доцільності витрати |
Продуктивні, непродуктивні |
|
9. По визначенню відношення до собівартості продукції |
Витрати на продукцію, витрати періоду |
Витрати операційної діяльності групуються по таких економічних елементах:
матеріальні витрати;
витрати на оплату праці;
відрахування на соціальні заходи;
амортизація;
інші операційні витрати [7].
Це групування є єдиною для всієї промисловості. Склад елементів витрат операційної діяльності представлений у таблиці 1.2.
Таблиця 1.2 – Склад елементів витрат підприємства
|
Елемент витрат |
Склад елемента |
|
Матеріальні витрати |
Сировина і матеріали, покупні напівфабрикати і комплектуючі вироби, придбана в сторонніх підприємств паливо й енергія усіх видів, тара і тарні вироби, будівельні матеріали, запасні частини, малоцінні і швидкопсуйні предмети (МШП) |
|
Витрати на оплату праці |
Заробітна плата по окладах і тарифам, надбавки і доплати до тарифних ставок і посадових окладів, премії і заохочення, матеріальна допомога, компенсаційні виплати, оплата відпусток, інші |
|
Відрахування на соціальні заходи |
Відрахування на обов'язкове державне пенсійне страхування, соціальне страхування на випадки тимчасової втрати працездатності і безробіття, від нещасного випадку на виробництві, відрахування на індивідуальне страхування персоналу підприємства, інші соціальні заходи |
|
Амортизація |
Сума нарахованої амортизації основних засобів, інших необоротних нематеріальних активів і нематеріальних активів |
|
Інші операційні витрати |
Витрати на відрядження фізичних осіб, придбання літератури, оплати семінарів, придбання ліцензій, проведення аудита, транспортне обслуговування, охорону праці, страхуванню ризиків і ін [7]. |
Аналіз повної собівартості товарної продукції проводиться по групах статей витрат, об'єднаних по однорідності напрямку витрат: матеріальні витрати, трудові витрати, витрати по обслуговуванню виробництва і керування, витрати на підготовку й освоєння виробництва, інші [2, 30].
Під господарськими резервами розуміють можливості підвищення ефективності діяльності підприємства на основі досягнень науково-технічного прогресу і передового досвіду.
З розвитком науково-технічного прогресу (НТП) з’являються нові види сировини та матеріалів, нові види машин та устаткування, нові технології, більш досконалі форми організації праці, що дає змогу знижувати матеріаломісткість продукції та послуг, прискорювати оборотність коштів, підвищувати рентабельність та інші показники ефективності бізнесу [22, 23].
У процесі діагностики резервів зниження собівартості продукції проводиться оцінка виконання плану зниження собівартості; виявляються фактори, що надають впливу на відхилення фактичної собівартості від планової і сформованої в базисному періоді; розробляються заходи щодо мобілізації резервів [2].
Основними джерелами резервів зниження собівартості промислової продукції є збільшення обсягу її виробництва за рахунок повнішого використання виробничих потужностей підприємства та скорочення витрат на її виробництво за рахунок підвищення продуктивності праці, ощадливого використання сировини, матеріалів, електроенергії, палива, обладнання, запобігання невиробничим витратам, браку та інше [22, 23].
Зниження витрат залежить від таких факторів, як оптові ціни на продукцію, структура й асортимент випущеної товарної продукції, рівень собівартості окремих виробів. У свою чергу зниження собівартості по статтях витрат залежить від цін на сировину, матеріали, паливо, покупні напівфабрикати; тарифів на енергію і вантажні перевезення. Загальна зміна рівня витрат на 1 грошову одиницю товарної продукції визначається зіставленням цих показників у порівнюваних періодах:
∆Е>пл> = Е – Е>пл>,
д
е
Е>пл>,
Е
– витрати на 1 грошову одиницю товарної
продукції в плановому і звітному
періодах. Схема зміни повної собівартості
по статтях витрат і визначення резервів
її зниження наведена на рисунку 1.1.



Рисунок 1.1 – Схема зміни повної собівартості по статтях витрат [2]
Далі розраховуються абсолютна сума відхилення собівартості, відхилення через зміну оптових цін на продукцію, структурного зрушення асортименту продукції і власне витрат. Також розраховуються зміна рівня витрат під впливом собівартості окремих видів продукції, за рахунок зменшення умовно-постійних витрат, за рахунок відносної економії амортизаційних витрат, а також вплив галузевих і інших факторів.
Резерви зниження собівартості товарної продукції обчислюються по статтях витрат і у виді невикористаних можливостей по заходах підвищення ефективності виробництва:
∆ С>рп> = ∆ С>ссз> + ∆ C>нв>,
де ∆ С>ссз> – зниження власне витрат (по статтях витрат);
∆ C>нв> – недовикористані можливості зниження собівартості.
Розмір резервів по статтях витрат визначається підсумовуванням результатів з позитивним знаком по наступних факторах:
за рахунок скорочення нераціональних витрат матеріальних ресурсів і рівня транспортно-заготівельних витрат;
за рахунок усунення непродуктивного використання коштів на оплату праці;
скорочення непродуктивних витрат;
скорочення утрат від браку;
усунення перевищення невиробничих витрат [2, 28].
1.2 Аналіз фінансового стану ВАТ «Дніпрополімермаш»
Підприємство ВАТ «Дніпрополімермаш» засновано більш тридцяти п'яти років тому і в даний час спеціалізується по проектуванню, виготовленню і збуту машинобудівної продукції для шинних, шиноремонтних, гумовотехнічних і пластмасопереробних підприємств. Також випускається устаткування для підприємств по переробці полімерних матеріалів.
Завод «Дніпрополімермаш» є одним з найбільших в Україні і СНД виробником прес-форм для вулканізації пневматичних і масивних шин, камер, ободних стрічок і діафрагм. Його продукція застосовується на всіх шинних заводах країн СНД і складає близько 90% від їхніх потреб у шинних прес-формах по даній спеціалізації. Виробничі потужності заводу дозволяють випускати близько 1500 комплектів прес-форм більш 150 типорозмірів у рік.
В даний час діапазон розмірів шин, для яких виготовляються прес-форми, досить значний: від прес-форм для покришки фермерського міні-мотоблока, до прес-форми покришки кар'єрного самосвалу вантажопідйомністю 180 тонн.
Підприємство має понад 70 тис. м2 виробничих площин, оснащених усіма видами металообробного устаткування по технологічних межах, у тому числі унікальними копіювально-фрезерними і з числовим програмним керуванням верстатами для обробки малюнка протектора в суцільних металевих заготівках. У технічній підготовці виробництва при проектуванні і виготовленні технологічного оснащення і металообробці на заводі застосовується програмний продукт Pro/Engineer, що дозволяє технічним працівникам розширити границі моделювання деталей і прискорити запуск самого виробництва.
Крім двох спеціалізованих цехів по виготовленню шинних прес-форм загальною площею близько 14 тис. м2, на заводі є наступні виробничі підрозділи: цехи по виготовленню полімерного устаткування, цех металоконструкцій, цех сталевого лиття по виплавлюваних моделях, ділянка медичних прес-форм.
Крім того, на ВАТ «Дніпрополімермаш» освоєний випуск запасних частин, вузлів, деталей і агрегатів для нафтогазовидобувної, гірничодобувної і гірничо-збагачувальної, металургійної й іншої галузей промисловості, а також для енергетики і сільського господарства.
Багаторічна робота в області машинобудування дозволила підготувати досвідчені висококваліфіковані кадри робочих і інженерно-технічних працівників [27].
В основі діяльності будь-якого підприємства знаходяться його фінансові показники, що використовуються для оцінки його фінансової діяльності та для фінансового планування [32].
Аналіз фінансового стану підприємства являє собою глибоке, науково обґрунтоване дослідження фінансових відносин та руху фінансових ресурсів у єдиному виробничо-торговому процесі. Задачами аналізу фінансового стану суб’єкту господарювання є:
визначення рентабельності та фінансової стійкості;
вивчення ефективності використання фінансових ресурсів;
визначення стану суб’єкту господарювання на фінансовому ринку та кількісний вимір його фінансової конкурентоспроможності;
оцінювання ступеню виконання планових фінансових заходів програм;
оцінювання заходів, що були розроблені для ліквідації недоліків та підвищення віддачі фінансових ресурсів [2, 32].
У той же час фінансовий аналіз разом із плануванням розглядається як самостійний розділ, як інструмент фінансового керування, використовуваний на всіх його етапах і у всіх видах, у спеціальних розділах фінансового керування. Фінансовий аналіз як практика, як вид управлінської діяльності передує прийняттю рішень по фінансових питаннях, будучи інформаційно-аналітичним забезпеченням, а потім узагальнює й оцінює результати на основі підсумкової інформації [32].
Комплексне оцінювання фінансового стану підприємства ґрунтується на системі фінансових коефіцієнтів, що характеризують структуру джерел формування капіталу і його розміщення, рівновагу між активами та пасивами (зобов‘язаннями) підприємства, ефективність та інтенсивність використання капіталу, ліквідність та якість активів, його інвестиційну привабливість і т. ін. З цією метою вивчають динаміку кожного показника, проводять зіставлення з середніми й нормативними значеннями по галузі.
Такий аналіз дозволяє визначити:
зміни у фінансовому стані підприємства;
темпи зростання активів;
зміни обсягів виробництва та реалізації продукції;
рентабельність підприємства, та її динаміку;
всі види ліквідності;
структуру капіталу та її зміну;
стан та якість активів підприємства;
розрахувати питомі коефіцієнти, наприклад прибуток на одного робітника, на гривню зарплати, на гривню виробничих фондів та ін;
ризики;
шляхи підвищення ефективності діяльності.
Джерелом інформації для аналізу фінансового стану є бухгалтерський баланс та додатки до нього, статистична та оперативна звітність та інші документи [22, 23].
Фінансовий стан підприємства являє собою узагальнюючу, комплексну характеристику його діяльності. Параметри цього стану не є постійною величиною, а беззупинно змінюються. Вони визначаються загальним рівнем ефективності керування його активами і пасивами, скоординованістю керування ними [32].
Аналіз фінансового стану являє собою сукупність декількох більш детальніших і спеціалізованих видів аналізу, серед яких для зазначеного вище підприємства будуть виконані експрес-аналіз, аналіз ліквідності балансу та розрахунок фінансових коефіцієнтів. Розглянемо всі ці види аналізів поетапно.
Експрес-аналіз діяльності підприємства.
Для проведення експрес-аналізу використовують дані бухгалтерського балансу (форма 1), та звіту о фінансових результатах підприємства (форма 2). Якщо у формулах розрахунку не зазначене джерело даних, то вважати за нього форму 1 – бухгалтерський баланс, а якщо дані взяті з форми 2 – це зазначається приміткою «ф.2». Експрес-аналіз фінансового стану підприємства дозволяє визначити та оцінити такі показники:
1.Стан і динаміка економічного потенціалу
1.1. Майновий стан:
сума господарських коштів у розпорядженні підприємства (тис.грн). значення цього показника являє собою баланс активу, рядок 280;
вартість основних фондів (тис.грн). Значення – залишкова вартість основних фондів, рядок 030;
коефіцієнт зносу основних фондів. Значення – відношення зносу основних засобів до їхньої первісної вартості:
К>зн
>=

1.2. Фінансовий стан:
сума власних коштів (тис.грн). Значення – сума необоротних активів, власного капіталу і довгострокових зобов'язань:

коефіцієнт співвідношення позикових і власних коштів. Значення – відношення суми довгострокових зобов'язань і поточних зобов'язань до величини власного капіталу:

коефіцієнт покриття. Значення – відношення суми витрат майбутніх періодів і оборотних активів до величини поточних зобов'язань:

кредити і позики, не погашені в термін (тис.грн). Значення – сума поточних зобов'язань.
2. Результативність фінансово-господарської діяльності
2.1. Оцінка прибутковості:
витрати на виробництво (тис.грн). Значення – величина собівартості реалізованої продукції, рядок 040 ф.2;
прибуток (тис.грн). Значення – величина валового прибутку, рядок 050 ф.2;
рентабельність продажів, %. Значення – відношення валового прибутку до величини доходу (виторгу від реалізації):

рентабельність основної діяльності, %. Значення – відношення валового прибутку до собівартості реалізованої продукції:

2.2. Рентабельність інвестованого капіталу
рентабельність власного капіталу, %. Значення – відношення валового прибутку до величини власного капіталу:

рентабельність позикового капіталу, %. Значення – відношення валового прибутку до суми довгострокових і поточних зобов'язань:

2.3. Оцінка динамічності:
темпи росту виторгу від реалізації. Значення – відношення величини валового доходу на кінець періоду до його величини на початок періоду;
темпи зростання прибутку. Значення – відношення величини валового прибутку на кінець періоду до її величини на початок періоду.
2.4. Економічний потенціал:
виторг від реалізації (тис.грн). Значення – величина валового доходу, рядок 010 ф.2;
рентабельність активів, %. Значення – відношення чистого прибутку до балансу активу:

оборотність оборотних коштів (дні). Значення – відношення величини оборотних активів до валового доходу, помножене на 360:

оборотність основного капіталу (дні). Значення – відношення суми власного капіталу і довгострокових зобов'язань до валового доходу, помножене на 360:

оборотність дебіторської заборгованості (дні). Значення – відношення суми дебіторської заборгованості до валового доходу, помножене на 360:

оборотність кредиторської заборгованості (дні). Значення – відношення суми кредиторської заборгованості і поточних зобов'язань до валового доходу, помножене на 360:

оборотність запасів і витрат (дні). Значення – відношення суми запасів до валового доходу, помножене на 360:

Розраховані коефіцієнти представлені в таблиці 1.3.
Таблиця 1.3 – Експрес-аналіз фінансового стану підприємства
|
Значення |
Відхилення |
|||
|
ПОКАЗНИКИ |
Початок |
Кінець |
+/- |
% |
|
1. Стан і динаміка економічного потенціалу |
|
|
|
|
|
1.1. Майновий стан: |
|
|
|
|
|
- сума господарських коштів у розпорядженні підприємства, тис.грн. |
30257,6 |
30601,2 |
343,6 |
101,13 |
|
- вартість основних фондів, тис.грн. |
16048,4 |
15053,7 |
-994,7 |
93,87 |
|
- коефіцієнт зносу основних фондів |
-0,68765 |
-0,69 |
-0,0102 |
101,46 |
|
1.2. Фінансовий стан: |
|
|
|
|
|
-сума власних коштів, тис.грн. |
7773,7 |
4967,1 |
-2806,6 |
63,89 |
|
-коефіцієнт співвідношення позикових і власних коштів |
0,326 |
0,58 |
0,2631 |
180,62 |
|
- коефіцієнт покриття |
2,266 |
1,51 |
-0,755 |
66,64 |
|
- кредити і позики, не погашені в термін |
5281,6 |
8654,9 |
3373,3 |
163,86 |
|
2. Результативність фінансово-господарської діяльності |
|
|
|
|
|
2.1. Оцінка прибутковості: |
|
|
|
|
|
- витрати на виробництво, тис.грн. |
8190,9 |
11785,3 |
3594,4 |
143,88 |
|
- прибуток, тис.грн. |
-1074,2 |
3244,2 |
4318,4 |
-302,01 |
|
- рентабельність продажів, % |
-12,6351 |
18,50 |
31,14 |
-146,48 |
|
- рентабельність основ. діяльності, % |
-13,1146 |
27,521 |
40,64 |
-209,9 |
|
2.2 Рентабельність інвестов. капіталу |
|
|
|
|
|
- рентабельність власного капіталу, % |
-4,72546 |
16,90 |
21,62 |
-357,65 |
|
- рентабельність позикового капіталу, % |
-14,475 |
28,66 |
43,13 |
-198,01 |
|
2.3. Оцінка динамічності: |
|
|
|
|
|
- темпи росту виторгу від реалізації |
1 |
2,06 |
1,06 |
206,179 |
|
- темпи зростання прибутку |
1 |
-3,02 |
-4,02 |
-302,01 |
|
2.4. Економічний потенціал: |
|
|
|
|
|
- виторг від реалізації, тис.грн. |
8501,7 |
17528,2 |
9026,5 |
206,17 |
|
- рентабельність активів, % |
-11,719 |
7,21 |
18,93 |
-61,53 |
|
-оборотність оборотн. коштів, дні |
596,97 |
307,25 |
-289,72 |
51,46 |
|
- оборотність основ. капіталу, дні |
1013,32 |
423,22 |
-590,10 |
41,765 |
|
- оборотність дебіторської заборгованості, дні |
134,74 |
54,89 |
-79,85 |
40,74 |
|
- оборотність кредиторської заборгованості, дні |
243,27 |
186,93 |
-56,34 |
76,84 |
|
- оборотність запасів і витрат, дні |
452,39 |
247,96 |
-204,43 |
54,812 |
Аналіз ліквідності балансу
Ліквідність оцінюється з погляду здатності підприємства трансформувати свої активи в грошові або інші платіжні кошти для оплати пропонованих йому зобов'язань при нестачі платіжних коштів. Кошти для цього можуть накопичуватися заздалегідь, здобуватися шляхом продажу активів або покупки пасивів [12, 32].
При аналізі ліквідності підприємства розраховуються такі показники:
1. Ліквідність активів.
найбільш ліквідні активи. Значення – сумі грошових коштів підприємства в національній та іноземній валюті:
;
активи, що швидко реалізуються. Значення – сума дебіторської заборгованості;
активи, що повільно реалізуються. Значення – сума запасів, векселів, інвестицій та затрат майбутніх періодів;
активи, що важко реалізуються. Значення – сума необоротних активів, рядок 080.
2. Ліквідність пасивів.
найбільш строкові пасиви. Значення – сума кредиторської заборгованості та поточних зобов‘язань;
строкові пасиви. Значення – сума короткострокових кредитів банків, поточної заборгованості по довгостроковим зобов’язанням та виданих векселів:
;
довгострокові пасиви. Значення – сума довгострокових зобов’язань та доходів майбутніх періодів:
;
постійні пасиви. Значення – сума власного капіталу та забезпечення майбутніх платежів:
;
Розраховані показники ліквідності представлені в таблиці 1.4.
Таблиця 1.4 – Показники ліквідності підприємства
|
АКТИВ |
Початок |
Кінець |
|
Найбільш ліквідні активи, тис.грн |
0,8 |
0,3 |
|
Швидко реалізовані активи, тис.грн |
3182,2 |
2672,9 |
|
Повільно реалізовані активи, тис.грн |
10917,7 |
12288,6 |
|
Важко реалізовані активи, тис.грн |
16156,9 |
15639,4 |
|
РАЗОМ: |
30257,6 |
30601,2 |
|
ПАСИВ |
||
|
Найбільш термінові пасиви, тис.грн |
5745,2 |
9101,8 |
|
Термінові пасиви, тис.грн |
477,3 |
805,9 |
|
Довгострокові пасиви, тис.грн |
1198,4 |
1410,8 |
|
Постійні пасиви, тис.грн |
22836,3 |
19283 |
|
РАЗОМ: |
30257,2 |
30601,5 |
Розрахунок фінансових коефіцієнтів
Фінансовий стан підприємства описується за допомогою коефіцієнтів, що умовно можна розділити на 2 категорії. До першого відносять показники, що мають встановлені нормативні значення – показники фінансової стійкості підприємства – ліквідності і платоспроможності. До показників другої категорії відносять не мають нормативні значення - рентабельності, ефективності керування, ділової активності.
Показники рентабельності характеризують ефективність використання майна або його окремих видів, а також витрат на виробництво реалізованої продукції [22, 32].
Розглянемо показники докладніше:
1. Аналіз ліквідності підприємства.
коефіцієнт покриття. Значення – відношення величини оборотних активів до величини поточних зобов'язань:
;
коефіцієнт швидкої ліквідності. Значення – відношення величини оборотних активів за винятком запасів до величини поточних зобов'язань;
коефіцієнт абсолютної ліквідності. Значення – відношення суми поточних фінансових інвестицій і коштів до величини поточних зобов'язань:
;
чистий оборотний капітал (тис. грн). Значення – різниця між оборотними активами і величиною поточних зобов'язань:
;
2. Аналіз платоспроможності (фин. стійкості) підприємства.
коефіцієнт платоспроможності (автономії). Значення – відношення величини власного капіталу до балансу пасиву:
;
коефіцієнт фінансування. Значення – відношення суми забезпечення майбутніх витрат, довгострокових зобов'язань, поточних зобов'язань і доходів майбутніх періодів до величини власного капіталу:
;
коефіцієнт забезпеченості власними оборотними коштами. Значення – відношення чистого оборотного капіталу до величини поточних зобов'язань:
;
коефіцієнт маневреності власного капіталу. Значення – відношення чистого оборотного капіталу до величини власного капіталу:
.
3. Аналіз ділової активності підприємства.
коефіцієнт оборотності активів. Значення – добуток чистого доходу на середнє значення активу балансу;
коефіцієнт оборотності кредиторської заборгованості. Значення – відношення чистого доходу до середнього значення суми поточних зобов'язань;
коефіцієнт оборотності дебіторської заборгованості. Значення – відношення чистого доходу до середнього значення суми дебіторської заборгованості;
термін погашення дебіторської заборгованості (днів). Значення – відношення тривалості періоду до коефіцієнта оборотності дебіторської заборгованості;
термін погашення кредиторської заборгованості (днів). Значення – відношення тривалості періоду до коефіцієнта оборотності кредиторської заборгованості;
коефіцієнт оборотності матеріальних запасів. Відношення собівартості реалізованої продукції до середньої суми запасів;
коефіцієнт оборотності основних засобів (фондовіддача). Значення – відношення чистого доходу до середнього значення первинної вартості основних фондів;
коефіцієнт оборотності власного капіталу. Значення – відношення чистого доходу до середнього значення власного капіталу.
4. Аналіз рентабельності підприємства.
коефіцієнт рентабельності активів. Значення – відношення чистого прибутку до середнього значення балансу активу;
коефіцієнт рентабельності власного капіталу. Значення – відношення чистого прибутку до середнього значення власного капіталу;
коефіцієнт рентабельності діяльності. Значення – відношення чистого прибутку до величини чистого доходу.
Розраховані коефіцієнти і показники представлені в таблиці 1.5.
Таблиця 1.5 – Фінансові коефіцієнти
|
Норматив |
Початок |
Кінець |
|
|
1. Аналіз ліквідності підприємства. |
|
||
|
1.1. Коефіцієнт покриття. |
>1 |
2,265665 |
1,509927 |
|
1.2. Коефіцієнт швидкої ліквідності. |
0.6-0.8 |
0,548702 |
0,291329 |
|
1.3. Коефіцієнт абсолютної ліквідності. |
>0 збільш. |
0,000129 |
0,00003 |
|
1.4. Чистий оборотний капітал, тис. грн. |
>0 збільш. |
7875,6 |
5052,2 |
|
2. Аналіз платоспроможності підприємства. |
|
|
|
|
2.1. Коефіцієнт платоспроможності (автономії). |
>0.5 |
0,751299 |
0,62728 |
|
2.2. Коефіцієнт фінансування. |
<1 зменьш. |
0,331028 |
0,594185 |
|
2.3. Коефіцієнт забезпеченості власними оборотними коштами. |
>0 збільш. |
1,265665 |
0,509927 |
|
2.4. Коефіцієнт маневреності власного капіталу. |
збільш. |
0,346451 |
0,263194 |
|
3. Аналіз ділової активності підприємства. |
|
|
|
|
3.1. Коефіцієнт оборотності активів. |
збільш. |
0,235204 |
0,491141 |
|
3.2. Коефіцієнт оборотності кредиторської заборгованості. |
збільш. |
1,385515 |
1,89776 |
|
3.3. Коефіцієнт оборотності дебіторської заборгованості. |
зменьш. |
1,175459 |
2,992255 |
|
3.4. Термін погашення дебіторської заборгованості, днів. |
зменьш. |
153,1316 |
60,15529 |
|
3.5. Термін погашення кредиторської заборгованості, днів. |
збільш. |
129,9156 |
94,84866 |
|
3.6. Коефіцієнт оборотності матеріальних запасів. |
збільш. |
0,766665 |
0,97613 |
|
3.7. Коефіцієнт оборотності основних засобів (фондовіддача) |
збільш. |
0,138513 |
0,603352 |
|
3.8. Коефіцієнт оборотності власного капіталу. |
збільш. |
0,313067 |
1,565924 |
|
4. Аналіз рентабельності підприємства. |
|
|
|
|
4.1. Коефіцієнт рентабельності активів |
>0 збільш. |
-0,11719 |
0,072118 |
|
4.2. Коефіцієнт рентабельності власного капіталу. |
>0 збільш. |
-0,15599 |
0,229937 |
|
5.3. Коефіцієнт рентабельності діяльності. |
>0 збільш. |
-0,49825 |
0,146838 |
У роботі фінансового аналітика важливим є не тільки уміння розрахувати показники ефективності роботи підприємства, але і правильно інтерпретувати їх значення, їхню динаміку, і потім надати необхідну інформацію керівникові для ухвалення рішення.
Проведений експрес-аналіз стану підприємства дозволяє зробити наступні висновки на підставі значень розрахованих показників:
сума господарських коштів у розпорядженні підприємства збільшилася, у той час як сума власних коштів зменшилася. Це вказує на перехід частини капіталу підприємства в оборотні і необоротні активи;
коефіцієнт співвідношення позикових і власних коштів збільшився на 80%, що говорить про більше залучення позикових коштів у діяльність підприємства;
сума кредитів і позик, не погашених у термін збільшилася, показуючи, що знизилася здатність підприємства погашати свої зобов'язання перед кредиторами;
позитивно характеризують динамікові розвитку виробництва ті факти, що при збільшенні витрат на виробництво виріс прибуток, а також підвищилися рентабельність продукції й основної діяльності;
у порівнянні з початковим періодом більш ніж у 2 рази підвищився виторг від реалізації, рентабельність активів підвищилася на 18%;
у середньому, удвічі знизилася оборотність таких показників, як оборотні кошти, основний капітал, дебіторська і кредиторська заборгованість, а також запасів.
Проведений аналіз ліквідності балансу підприємства показує, що зниження суми найбільш ліквідних, швидко реалізованих і важко реалізованих активів призвело до збільшення повільно реалізованих активів. Це вказує на те, що підприємству потрібні кошти на оборотні активи, зокрема на матеріальні запаси. У той же самий час, збільшення суми найбільш термінових, термінових і довгострокових пасивів призвело до зменшення постійних пасивів, що свідчить про те, що для одержання необхідних коштів підприємство не тільки збільшує свої поточні зобов'язання (бере банківські кредити, збільшує кредиторську заборгованість), але і вимушено продавати частину наявного у нього капіталу.
І, нарешті, проведений розрахунок фінансових коефіцієнтів дав наступні результати, які можна інтерпретувати, порівнюючи їх із зазначеними нормативними показниками:
коефіцієнт покриття, чистий оборотний капітал і коефіцієнт платоспроможності, незважаючи на те, що зменшилися за минулий період, усе ще залишаються в нормативних рамках;
коефіцієнти швидкої й абсолютної ліквідності зменшилися, що обумовлено зменшенням коштів на рахунку підприємства і зрослою потребою в матеріальних запасах;
коефіцієнт фінансування збільшився (при нормативному зменшенні), що говорить про більше залучення позикових засобів у порівнянні з попереднім періодом;
зменшилися коефіцієнти забезпеченості власними засобами і маневреності власного капіталу (при нормативному збільшенні), що обумовлено зрослою потребою в оборотних коштах і зменшенні суми наявного капіталу підприємства.
Аналіз розрахованих коефіцієнтів ділової активності підприємства показує, що в нормативні значення укладаються коефіцієнти оборотності активів, оборотності кредиторської заборгованості, термін погашення дебіторської заборгованості, оборотності матеріальних запасів, оборотності основних засобів, власного капіталу. Не вкладаються в нормативні значення коефіцієнти оборотності дебіторської заборгованості і погашення кредиторської заборгованості.
Аналіз рентабельності підприємства показує, що рентабельність активів, власного капіталу і рентабельності діяльності збільшилися і досягла нормативного значення, що свідчить про поліпшення фінансово-економічного стану фірми.
1.3 Визначення мети і постановка задач, розв'язуваних при виконанні дипломної роботи
Проведений аналіз фінансового стану підприємства виявив недоліки в господарській діяльності підприємства. Аналіз балансу показує, що на підприємстві зросла потреба в оборотних коштах, що призвело до підвищення витрат на виробництво продукції, і, відповідно виникла потреба в коштах на їхнє придбання. Для цього підприємство змушене було збільшити свою кредиторську заборгованість, а також реалізувати частину своїх пасивів.
У той же час, аналіз вихідних даних для розробки економіко-математичної моделі, а саме аналіз собівартості зробленої продукції по місяцях, показав, що майже в кожнім місяці по визначених статтях витрат має місце перевищення фактичного значення собівартості над плановим. Відомо, що собівартість є одним з головних джерел резервів підвищення ефективності роботи підприємства. Звідси сформуємо мету і задачі даної роботи.
Метою даної роботи є підвищення ефективності роботи підприємства ВАТ «Дніпрополімермаш» шляхом управління собівартістю продукції.
Відповідно, для досягнення поставленої мети необхідно вирішити наступні задачі:
Проаналізувати фінансово-економічний стан підприємства з метою виявлення можливих резервів підвищення ефективності;
Розробити економіко-математичну модель, що найбільше повно відображає істотні виробничо-економічні процеси й інформаційні взаємозв'язки на підприємстві;
Перевірити отриману модель на адекватність;
Промоделювати взаємозв’язки компонентів собівартості та прибутку по кожному виду продукції;
Створити інформаційну систему підтримки прийняття рішень (СППР), яка б спростила й унаочнила роботу аналітика підприємства;
Перевірити працездатність розробленої СППР на реальних даних про формування собівартості на підприємстві ВАТ «Дніпрополімермаш»;
Дати практичні рекомендації, що можуть бути використані керівництвом підприємства для підвищення ефективності його роботи;
Зробити висновки про виконану роботу.
РОЗДІЛ 2. Економіко-математичне моделювання взаємозв‘язку елементів собівартості та прибутку
2.1 Аналіз літературних джерел, вибір моделі
Система прийняття рішень, одним з елементів якої є економіко-математичні методи, повинна охоплювати повний цикл господарських проблем, причому не тільки повторюваних і рутинних, але і нестандартних, потребуючих творчого підходу.
Процес прийняття рішень містить у собі шість фаз, структура яких представлена на рисунку 2.1.

Рисунок 2.1 – Фази процесу прийняття рішення [16]
Починаючи з другого кроку рішення проблеми виникає необхідність використовувати деякий математичний апарат або для пошуку оптимального рішення серед безлічі можливих, або для полегшення вироблених розрахунків. В міру просування рішення проблеми цей апарат незмінно ускладнюється, стаючи більш комплексним, таким що широко охоплює всі аспекти проблеми.
Широке застосування математичних методів є важливим напрямком удосконалювання економічного аналізу, підвищує ефективність аналізу підприємств і їхніх підрозділів. Це досягається за рахунок скорочення термінів проведення аналізу, більш повного охоплення впливу факторів на результати комерційної діяльності, заміни наближених і спрощених розрахунків точними обчисленнями, постановки і рішення нових багатомірних задач аналізу, практично нездійсненних вручну і традиційними методами.
Застосування математичних методів в економічному аналізі вимагає:
системного підходу до вивчення економіки підприємств, обліку всієї безлічі істотних взаємозв'язків між різними сторонами діяльності підприємств;
розробки комплексу економіко-математичних моделей, що відображають кількісну характеристику економічних процесів і задач, розв'язуваних за допомогою економічного аналізу;
удосконалювання системи економічної інформації про роботу підприємств;
наявності технічних засобів (ЕОМ і ін.), що здійснюють збереження, обробку і передачу економічної інформації з метою економічного аналізу;
організації спеціального колективу аналітиків, що складається з економістів-виробничників, фахівців з економіко-математичного моделювання, математиків-обчислювачів і ін [4].
Сформульована математична задача може бути вирішена одним з розроблених математичних методів. Методи елементарної математики використовуються в звичайних традиційних економічних розрахунках при обґрунтуванні потреб у ресурсах, обліку витрат на виробництво, розробці планів, проектів, при балансових розрахунках і т.д. Ці методи використовуються не тільки в рамках інших методів, але й окремо. Наприклад, факторний аналіз зміни багатьох економічних показників може бути здійснений за допомогою диференціювання й інтегрування [4,6].
Застосування у фінансово-економічному аналізі математичних методів моделювання господарських процесів для розв’язання аналітичних задач – це шлях підвищення ефективності аналітичної роботи [14].
Эконометричні методи будуються на синтезі трьох галузей знань: економіки, математики і статистики. Основою економетрії є економічна модель, під якою розуміється схематичне представлення економічного явища або процесу за допомогою наукової абстракції, відображення їхніх характерних рис. Найбільше поширення в сучасній економіці одержав метод аналізу економіки «витрати – випуск». Це матричні (балансові) моделі, що дозволяють у найбільш компактній формі представити взаємозв'язок витрат і результатів виробництва. Зручність розрахунків і чіткість економічної інтерпретації – головні особливості матричних моделей.
Застосування математики в економіці приймає форму економіко-математичного моделювання. За допомогою економіко-математичної моделі зображуються той чи інший дійсний економічний процес. Така модель може бути сконструйована тільки на основі глибокого теоретичного дослідження економічної сутності процесу. Тільки в цьому випадку математична модель буде адекватна дійсному економічному процесові, буде об'єктивно відображати його [4].
Підхід до побудови математичної моделі може бути індуктивним і дедуктивним. При використанні індуктивного методу модель того чи іншого економічного процесу будується за допомогою часткового моделювання, що охоплює більш прості змінні економічного процесу, з переходом від них до загальної моделі всього процесу. При дедуктивному методі спочатку будується загальна модель і лише на її основі конструюються часткові моделі, встановлюються алгоритми конкретних математичних розрахунків. Економіко-математичні моделі будуть найбільш обґрунтованими, якщо при їхньому конструюванні методи індукції і дедукції використані в єдності. У цих умовах забезпечується більша «подібність» моделі на реальний економічний процес; вона в більшій мірі буде відображати об'єктивно існуючі економічні явища і закономірності [4,5,21].
Математичне програмування – швидко розвивающийся розділ сучасної прикладної математики. Методи математичного програмування – основний засіб вирішення задач оптимізації виробничо-господарської діяльності. По своїй суті – це методи планових розрахунків. Цінність їх для економічного аналізу виконання бізнес-планів полягає в тому, що вони дозволяють оцінювати напруженість планових завдань, визначати лімітовані групи устаткування, види сировини і матеріалів, одержувати оцінки дефіцитності виробничих ресурсів та інше.
Під дослідженням операцій розуміється розробка методів цілеспрямованих дій (операцій), кількісна оцінка отриманих рішень і вибір з них найкращого. Предметом дослідження операцій є економічні системи, у тому числі виробничо-господарська діяльність підприємств. Метою являється таке сполучення структурних взаємозалежних елементів систем, що найбільшою мірою відповідає задачі одержання найкращого економічного показника з ряду можливих [4,31].
Зв'язок аналізу і математики обумовлюється тим, що і тієї й іншої галузі знань властиве вивчення кількісних відносин. Застосування математики в економічних дослідженнях і розрахунках поширюється в першу чергу на галузь змінних величин, зв'язаних між собою функціональною залежністю. Сама змінна величина з'явилася у свій час поворотним пунктом у математиці. Завдяки цьому в математику увійшли рух і тим самим діалектика, і завдяки цьому стало необхідно диференціальне й інтегральне вирахування.
Вивчення змінних величин, вимір залежності одних перемінних від інших зводяться до визначення значення функції. Зв'язок між змінними величинами математично виражається у виді функціональних рівнянь, до яких, власне кажучи, відносяться диференціальні й інтегральні рівняння.
В економіці суцільно і поруч доводиться мати справа зі змінними величинами. Економічні перемінні, що мають якісну і кількісну визначеність, можуть бути у функціональній залежності друг від друга. Вивчення кількісних співвідношень і функціональних залежностей економічних перемінних являється однією з задач математики.
Однак зв'язок між економічними явищами і показниками далеко не завжди виражається у функціональній формі. Часто доводиться мати справи з кореляційною залежністю. Ця залежність характерна тим, що крім досліджуваних основних факторів на даний показник впливають і побічні фактори, виділити і методологічно ізолювати дію яких не завжди можливо. Такі зв'язки вивчають за допомогою кореляційного і регресійного аналізу [4].
Ці методи належать до методів математичної статистики. Вони застосовуються в тих випадках, коли зміну аналізованих показників можна представити як випадковий процес. Статистичні методи, будучи основним засобом масових, повторюваних явищ, відіграють важливу роль у прогнозуванні поведінки економічних показників. Коли зв'язок між аналізованими характеристиками не детермінований, а стохастичний, то статистичні та ймовірностні методи - це практично єдиний результат дослідження. Найбільше поширення з математико-статистичних методів в економічному аналізі одержали методи множинного і парного кореляційного аналізу [18,19].
Дослідження об'єктивно існуючих зв'язків між явищами - найважливіша задача теорії статистики. Соціально-економічні явища являють собою результат одночасного впливу великого числа причин. При вивченні цих явищ необхідно виявляти головні, основні причини, абстрагуючись від другорядних.
В основі першого етапу статистичного вивчення зв'язків лежить якісний аналіз явища, пов'язаний з аналізом його природи методами економічної теорії, соціології, конкретної економіки. Другий етап – побудова моделі зв'язку. Він базується на методах статистики: групування, середніх величин, таблиць і т.д. Третій етап являє собою інтерпретацію результатів, він також зв'язаний з якісними особливостями досліджуваного явища. Статистика розробила безліч методів вивчення зв'язків, вибір конкретного з них залежить від мети дослідження і від поставленої задачі.
Зв'язки між ознаками і явищами класифікуються по ряду підстав. Ознаки, що обумовлюють зміни інших, зв'язаних з ними ознак, називають факторними, або просто факторами. Ознаки, що змінюються під впливом факторних ознак, називають результативними [19].
Обов'язковою передумовою кореляційного і регресійного аналізу є масова основа: на базі одиничних даних виявити ті чи інші закономірності, вплив найважливіших факторів (в умові одночасного впливу другорядних факторів) не можна. Тільки спираючи на досить великий обсяг даних, можна простежити за змінами в досліджуваному показнику під впливом основного фактора і за умови нібито сталості інших факторів, хоча в дійсності, ці останні, у свою чергу, змінюються, що і позначається в тому чи іншому ступені на отриманих результатах. У силу цього зв'язок між досліджуваними ознаками не може бути повним, він завжди частковий, хоча тіснота зв'язку і неоднакова.
Перевірка статистичної однорідності сукупності має умову, що при вирішенні економічних задач результати значною мірою залежать від використовуваної вихідної інформації. Тому до вихідної інформації висувають певні вимоги, тобто досліджувані дані повинні бути достовірними, однорідними і достатніми по кількості. Вірогідність даних підтверджується тим, що них беруть з офіційної статистичної і бухгалтерської звітності або визначають на підставі зазначених даних розрахунковим шляхом, або вони є результатом безпосередніх спостережень.
Однорідність даних перевіряють у два етапи. Спочатку економічному аналізові піддають аномальні значення, що різко відрізняються від усієї сукупності. Такі значення можуть з'являтися в результаті грубої помилки в спостереженнях, звітах, розрахунках – у такому випадку їх необхідно проконтролювати і виправити, а також, у деяких випадках, виключити.
На другому етапі проводять математико-статистичне дослідження сукупності.
Перевірка
достатності числа спостережень припускає
виконання наступної умови. Вибірка
забезпечує відхилення середнього
вибіркового розміру ознаки
від середнього генерального
,
не переважаюче
,
з гарантійною імовірністю Р,
якщо її обсяг доведений до числа n,
обумовленого із системи рівнянь [15]
(2.1.1)
Кореляційний і регресійний аналіз можуть призвести до реальних результатів тільки в тому випадку, якщо вони виходять із правильних теоретичних передумов. Отже, і тут головну роль грає економічна теорія. Тільки попередній аналіз якості економічного явища забезпечує вірне визначення ознак, виявлення основних і побічних факторів, об'єктивно існуючих кількісних відносин.
Розглянемо далі види деякі існуючі види регресій з метою вибору найбільш придатної для побудови математичної моделі.
Парна регресія характеризує зв'язок між двома ознаками: результативним і факторним. Аналітично зв'язок між нами описується рівняннями:
Прямої
;Параболи
;Гіперболи
і т.д.
Визначити тип рівняння можна, досліджуючи залежність графічно. Однак існують більш загальні вказівки, що дозволяють виявити рівняння зв'язку, не удаючись до графічного зображення. Якщо результативна і факторна ознаки зростають однаково, приблизно в арифметичній прогресії, то це свідчить про наявність лінійного зв'язку між ними, а при зворотному зв'язку – гіперболічної. Якщо результативна ознака збільшується в арифметичній прогресії, а факторний значно швидше, то використовуються параболічна чи ступенева функції.
Оцінка
параметрів рівняння регресії
і т.д. здійснюється методом найменших
квадратів, в основі якого лежить
припущення про незалежність спостережень
досліджуваної сукупності і перебування
параметрів моделі, при якому мінімізується
сума квадратів відхилень емпіричних
значень результативної ознаки від
теоретичних, отриманих по рівнянню
регресії
,
(2.1.2)
Система нормальних рівнянь для перебування параметрів лінійної парної регресії методом найменших квадратів має такий вигляд:
(2.1.3)
У
рівняннях регресії параметр
показує усереднений вплив на результативну
ознаку неврахованих факторів, параметр
- коефіцієнт регресії показує, наскільки
змінюється в середньому значення
результативної ознаки при зміні
факторного на одиницю його власного
значення.
Модель регресії може бути побудована як за індивідуальним значенням ознаки, так і по згрупованим даним. Для виявлення зв'язку між ознаками по досить великому числу спостережень використовується кореляційна таблиця. У кореляційній таблиці можна відобразити тільки парний зв'язок, тобто зв'язок результативної ознаки з одним фактором, і на її основі побудувати рівняння регресії і визначити показники тісноти зв'язку. Саме рівняння регресії може мати лінійну, параболічну й іншу форми.
При визначенні параметрів моделі регресії і коефіцієнтів зв'язку по кореляційній таблиці не втрачається інформація про зв'язок, обумовлений усередненням даних. Для складання кореляційної таблиці парного зв'язку статистичні дані необхідно попередньо згрупувати по обох ознаках, потім побудувати таблицю, по рядках у якій відкласти групи результативного, а по стовпцях – групи факторного ознак. Кореляційна таблиця дає загальне представлення про напрямок зв'язку [19, 35].
Множинна (багатофакторна регресія) являє собою вивчення зв'язку між трьома, і більш зв'язаними ознаками й описується функцією виду [19]:
,
(2.1.4)
Вибір типу рівняння ускладнюється тим, що для будь-якої форми залежності можна вибрати цілий ряд рівнянь, що деякою мірою будуть описувати ці зв'язки. Оскільки рівняння регресії будується головним чином для пояснення і кількісного виразу залежностей, воно повинно відображати сформовані між досліджуваними факторами фактичні зв'язки.
Практика побудови багатофакторних моделей показує, що всі реально існуючі залежності між соціально-економічними явищами можна описати, використовуючи п'ять типів моделей:
Лінійна
;Степенева
;Показова
;Параболічна
;Гіперболічна
.
Основне значення мають лінійні моделі в силу простоти і логічності їхньої економічної інтерпретації. Нелінійні форми залежності приводяться до лінійних шляхом лінеаризації.
Узагальнена багатофакторна лінійна регресійна модель може бути записана у такому вигляді:
,
(2.1.5)
де y – залежна змінна;
- незалежні
змінні (фактори);
- параметри
моделі (константи), які потрібно оцінити;
- не спостережувана
випадкова величина.
Відомо, що узагальнена модель регресії – це модель, яка дійсна для всієї генеральної сукупності. Невідомі параметри узагальненої моделі є константами, а випадкова величина – неспостережувана, і можна зробити лише припущення відповідно закону її розподілу. На відміну від узагальненої регресійної моделі, вибіркова модель будується для певної вибірки, невідомі параметри вибіркової моделі є випадковими величинами, математичне сподівання яких дорівнює параметрам узагальненої моделі. Випадкові величини можна оцінити, виходячи з вибіркових даних.
Тому вибіркова регресійна лінійна багатофакторна модель має вигляд:
,
(2.1.6)
де y – залежна змінна;
- незалежні
змінні (фактори);
- оцінки невідомих
параметрів узагальненої моделі;
- випадкова
величина.
Система нормальних рівнянь для лінійної багатофакторної моделі має такий вигляд:
(2.1.7)
Лінійною регресійною моделлю називають модель, що лінійна за своїми параметрами. За введеними позначеннями, багатофакторна лінійна регресійна модель має p незалежних змінних, або факторів, які впливають на залежну змінну y, та (p+1) невідомих параметрів, які потрібно оцінити.
Важливим етапом побудови вже обраного рівняння множинної регресії являються добір і наступне включення факторних ознак.
Проблема добору факторних ознак для побудови моделей взаємозв'язку може бути вирішена на основі евристичних (інтуїтивних-логічних) чи багатомірних статистичних методів аналізу.
Найбільш
прийнятним способом добору факторних
ознак являється крокова регресія.
Сутність методу крокової регресії
полягає в послідовному включенні
факторів у рівняння регресії і наступній
перевірці їхньої значимості. Фактори
по черзі вводяться в рівняння так
називаним «прямим» методом. При перевірці
значимості введеного фактора обумовлюється,
наскільки зменшується сума квадратів
залишків і збільшується величина
множинного коефіцієнта кореляції (
).
Одночасно використовується і зворотний
метод, тобто виключення факторів, що
стали незначущими на основі t-критерію
Стьюдента.
Розглянемо основні припущення у багатофакторному регресійному аналізі. Для класичної багатофакторної регресивної моделі, яка є узагальненням простої лінійної регресійної моделі, всі основні класичні припущення зберігаються, але дещо модифікуються. Серед них такі:
Математичне сподівання випадкової величини
дорівнює 0.
,
для кожного і.
2. Випадкові величини незалежні між собою.
;
.
3. Модель гомоскедастична, тобто має однакову дисперсію для будь-якого спостереження.
.
4.
Коваріація між випадковою величиною
та кожною незалежною змінною х
дорівнює 0. Ця властивість виконується
автоматично, якщо
не стохастичні та перше припущення має
силу.
5. Модель повинна бути правильно специфікованою.
6.
Випадкова величина
відповідає нормальному закону розподілу
з нульовим математичним сподіванням і
постійною дисперсією.
7. Відсутність мультиколінеарності між факторами х, тобто фактори повинні бути незалежними між собою. Не повинно бути лінійного зв’язку між двома або більше факторами.
При побудові моделей регресії можна зіткнутися з проблемою мультиколінеарності, під якою розуміється тісна залежність між факторними ознаками, включеними в модель. Мультиколінеарність істотно змінює результати дослідження.
Одним
з індикаторів визначення наявності
мультиколінеарності між факторними
ознаками є перевищення величини парного
коефіцієнта кореляції 0,8 (
).
Усунення мультиколінеарності може реалізовуватися через виключення з кореляційної моделі одного чи декількох лінійно зв'язаних факторних ознак у нові, укрупнені фактори [8, 19].
Розглянемо
проблему мультиколінеарності детальніше.
Припустимо, що є лінійна залежність
та
.
В такому випадку неможливо точно
визначити окремий вплив кожного з цих
факторів на залежні змінну у.
Математично відсутність колінеарності
між двома факторами визначається так,
що не існує таких чисел
та
,
які одночасно не дорівнюють 0, для яких
би існувала тотожність:
,
(2.1.8)
Отже приймаємо, що коли між двома змінними є лінійний зв‘язок, то йдеться не про дві, а про одну незалежну змінну, бо неможливо знайти окремий вплив кожної з цих змінних на у.
Розглянемо етапи побудови багатофакторної регресійної моделі. Процес побудови багатофакторної регресійної моделі більш складний, ніж процес побудови простої лінійної регресії та складається з багатьох етапів:
Вибір та аналіз усіх можливих факторів, які впливають на процес (або показник), що вивчається;
Вимір та аналіз знайдених факторів;
Математико-статистичний аналіз факторів.
Вибір методу побудови регресійної багатофакторної моделі;
Оцінка невідомих параметрів регресійної моделі;
Перевірка моделі на адекватність;
Розрахунок основних характеристик та побудова інтервалів довіри;
Аналіз отриманих результатів, висновки.
На першому етапі дослідник повинен глибоко зрозуміти сам економічний процес, розглянути його з мікроекономічних та макроекономічних позицій, виявити якомога більше факторів, які в конкретному випадку можуть справити суттєвий або несуттєвий вплив на його зміну.
На етапі кількісного аналізу необхідно оцінити можливість кількісного вираження відібраних факторів, провести вимірювання та зібрати статистику для кількісних факторів, підібрати або створити балову шкалу оцінок якісних даних. З подальшого розгляду вилучаються також фактори, за якими немає або недоступна статистика.
Етап математик-статистичного аналізу є найважливішим підготовчим етапом для побудови регресійної багатофакторної моделі. Це заключний етап формування необхідної інформаційної бази. При наявності у динамічних рядах недостатньої інформації саме на цьому етапі за допомогою спеціальних методів проводиться її відтворення. На цьому етапі проводиться перевірка основних припущень класичного регресійного аналізу, крім того, здійснюється найважливіша процедура багатофакторного аналізу – перевірка факторів на мультиколінеарність. Для цього будується матриця коефіцієнтів парної кореляції, яка є симетричною. Потім аналізуються коефіцієнти парної кореляції між факторами. Якщо значення деяких з них близьке до 1, то це вказує на щільний зв’язок між ними, або на мультиколінеарність. Тоді один з факторів треба залишити, а інший вилучається з подальшого розгляду. Найчастіше залишають той фактор, який з економічної точки зору біль вагомий для аналізу впливу на залежну змінну. Або можна залишити фактор, що має більший коефіцієнт із залежною змінною у. Такий аналіз проводиться для кожної пари залежних між собою факторів. Результатом етапу математико-статистичного аналізу є знаходження множини основних незалежних між собою факторів, які є базою для побудови регресійної моделі.
Метод побудови регресійної багатофакторної моделі неможливо відокремити від самої моделі, вони найщільнішим чином пов’язані між собою. Саме обраний метод впливає на остаточний вигляд регресійної моделі.
Далі
розраховуються невідомі параметри
багатофакторної регресії за методом
найменших квадратів.
Нехай
існує ряд спостережень за залежною
змінною
та за незалежними змінними, або факторами:
.
На підставі цих спостережень будується лінійна вибіркова багатофакторна модель, а саме:
,
(2.1.9)
де y – залежна змінна;
- незалежні
змінні (фактори);
- невідомі
параметри;
- випадкова
величина.
Сутність методів найменших квадратів полягає у потребі мінімізувати суму квадратів відхилень фактичних даних від теоретичних:
,
(2.1.10)
Для
того, щоб знайти мінімум цього виразу,
необхідно прирівняти до нуля часткові
похідні функції F за аргументами
.
Отримаємо систему нормальних рівнянь.
Розглянемо властивості методу найменших квадратів:
1.
Багатофакторна регресійна модель
правильна для середніх точок
.
Тобто для моделі
(2.1.11)
маємо:
.
2.
Середнє значення оцінки дорівнює
середньому значенню фактичних даних,
тобто
.
Це виходить з простого перетворення:

(2.1.12)
,
Просумуємо
обидві частини рівняння за
,
а також виходячи з того, що
;
для
,
отримаємо
.
Для
спрощення пояснення наступних властивостей
введемо умовні позначення. Позначимо
,
тоді рівність (2.1.12) можна записати так:
,
(2.1.13)
де
.
Тому багатофакторну вибіркову модель можна записати у формі:
,
(2.1.14)
3. Сума помилок дорівнює нулю. Це випливає з рівняння (2.1.14).
.
4.
Помилки
некорельовані з
,
тобто
.
5.
Помилки
некорельовані з
,
тобто
.
6. Якщо правильні припущення класичної лінійної регресійної моделі, то оцінки методу найменших квадратів є не тільки лінійними, без відхилень, а й мають найменшу дисперсію.
Корисною
мірою ступеня відповідності даних,
отриманих з регресійної моделі, фактичним
даним є коефіцієнт множинної кореляції,
який визначається як коефіцієнт кореляції
між у
та
і має вигляд [10, 15, 20, 21, 35]:
,
(2.1.15)
Після того, як параметри знайдено за методом найменших квадратів, проводиться перевірка моделей на адекватність за допомогою F-критерію Фішера, а також перевірка значущості знайдених параметрів за t-критерієм Ст‘юдента. Якщо модель неадекватна, то необхідно повернутися до етапу побудови моделі і, можливо, від лінійної моделі перейти до нелінійної, або ввести додаткові фактори.
Якщо модель адекватна, то можна робити прогнози, вивчати вплив окремих факторів на залежний показник, будувати інтервали довіри, аналізувати та інтерпретувати отримані результати. Для того, щоб розглянути, як можна проінтерпретувати треба звернутися до загальної моделі багатофакторного регресійного аналізу та знайдемо математичне очікування обох частин. Отримаємо:
,
(2.1.16)
Це
рівняння дає умовне математичне
сподівання у
при фіксованих значеннях х.
Параметри
також називають частковими коефіцієнтами
регресії. Кожен з них вимірює вплив
відповідної змінної за умови, що всі
інші залишаються без змін, тобто є
константами.
Перевірка адекватності моделей, побудованих на основі рівнянь регресії, починається з перевірки значимості кожного коефіцієнта регресії. Значимість коефіцієнта регресії здійснюється за допомогою t-критерію Стьюдента:
,
(2.1.17)
де
- дисперсія коефіцієнта регресії.
Параметр
моделі визнається статистично значимим,
якщо
,
де
- рівень значимості, v = n – k – 1 – число
ступенів волі.
Величина
може бути визначена по виразу:
,
(2.1.18)
де
-
дисперсія результативної ознаки;
k – число факторних ознак у рівнянні.
Також більш точну оцінку величини дисперсії можна одержати по формулі:
,
(2.1.19)
де
- величина множинного коефіцієнта
кореляції по фактору
з іншими факторами.
Перевірка
адекватності всієї моделі здійснюється
за допомогою розрахунку F-критерію і
величини середньої помилки апроксимації
(
),
визначеної по формулі:
,
(2.1.20)
Це значення не повинне перевищувати 12 - 15% [19].
Існує ще один спосіб перевірки відповідності виведеного рівняння дослідним даним або перевірки відповідності виведеного рівняння регресії описуваному реальному процесові. Основним критерієм тут повинні служити міркування, що випливають з суті досліджуваного питання, з його економічного змісту. Це особливо важливо враховувати, якщо йдеться про використання виведеного рівняння для екстраполяції, що неминуче містить невизначеність, яку не можна оцінити чисто статистичним методом.
Варто оцінити ступінь близькості результатів розрахунків по кожному з отриманих рівнянь до дослідних даних. Ступінь близькості оцінюють по залишковій теоретичній дисперсії функціональної ознаки
,
(2.1.21)
де l – число параметрів рівняння, визначених по м.н.к;
k – число інтервалів [15];
Інтерпретація моделей регресій здійснюється методами тієї галузі знань, до якої відносяться досліджувані явища. Але всяка інтерпретація починається зі статистичної оцінки рівняння регресії в цілому й оцінки залежності вхідних у модель факторних ознак, тобто з з'ясування, як вони впливають на величину результативної ознаки. Чим більше величина коефіцієнта регресії, тим значніше вплив даної ознаки на модельований. Особливе значення при цьому має знак перед коефіцієнтом регресії. Знаки коефіцієнтів регресії говорять про характер впливу на результативну ознаку. Якщо факторна ознака має знак плюс, то зі збільшенням даного фактора результативна ознака зростає. Якщо факторна ознака має знак мінус, то з його збільшенням результативна ознака зменшується [19, 21].
Очевидно, що при застосуванні багатофакторних регресійних рівнянь і виробничих функцій постає проблема екстраполяції вхідних у них факторів, хоча сама по собі задача екстраполяції часових рядів має в прогнозуванні самостійне значення. Як і в інших екстраполяційних методах використання виробничих функцій у прогнозуванні припускає стійкість тенденцій зміни виробничих залежностей [21].
Використання лінійних трендів відкриває широкі можливості аналітику для вивчення характеру динаміки часового ряду, для прогнозування показників, для вибору оптимальних рішень. Тренд не тільки сглажує часовий ряд, він дозволяє оцінити загальну тенденцію розвитку показника, його збільшення або зменшення. Зіставляючи між собою різні тренди різних рядів показників можна робити висновки про те, який з показників зростає, чи спадає швидше, на підставі аналізу кута нахилу тренду до осі абсцис.
Розглянувши теоретичні передумови регресійного аналізу перейдемо до практичного моделювання взаємозв’язків факторів собівартості та прибутку підприємства для математичного обґрунтування прийняття управлінських рішень.
2.2 Побудова моделі взаємозв‘язку факторов собівартості та прибутку
Як зазначалося у попередньому параграфі, тільки попередній аналіз економічного явища з позицій економічної теорії забезпечує вірне визначення ознак, виявлення основних і побічних факторів, необхідних для побудови економіко-математичної моделі. Проаналізуємо наявні вихідні дані.
Вихідними даними для аналізу і побудови моделі виступають документи під назвою «Аналіз собівартості продукції» за певний місяць і дані про прибуток підприємства ВАТ «Дніпрополімермаш» та обсяги виробництва за відповідні місяці. Дані з «Аналізу собівартості» представлені в Додатку А і мають наступну структуру:
По рядках позначені види продукції, їх планові, фактичні показники, відхилення і підсумкові значення;
По стовпцях розташовані елементи, з яких складається виробнича собівартість продукції.
На підприємстві «Дніпрополімермаш» собівартість продукції складається з таких елементів (відповідно до «Методичних рекомендацій з формування собівартості продукції промислового підприємства»): сировина і матеріали, покупні напівфабрикати, транспортні витрати, основна зарплата, додаткова зарплата, відрахування на соціальне страхування, знос спецустаткування, витрати на утримування устаткування, цехові витрати, загальнозаводські, адміністративні і збутові витрати.
Дані про прибуток підприємства отримані з щомісячної фінансової звітності за відповідні місяці. Дані про обсяги виробництва отримані з документації відділу планування виробництва.
У такий спосіб ВАТ «Дніпрополімермаш» формує собівартість своєї продукції з великого (дванадцять) числа компонентів. Це обумовлюється специфікою виробництва, типом підприємства, податковим законодавством. Виробничі операції виконуються послідовно, сировина перетворюється в готову продукцію за один виробничий цикл, виконаний замовлення відразу ж відвантажується замовникові. Усе це говорить про лінійну залежність одержуваного прибутку від витрат на виробництво продукції.
Відповідно, використовуючи тезу про вибір моделі шляхом аналізу економічної сутності явища, приймаємо, що для вивчення взаємозв'язку прибутку і компонентів собівартості продукції доцільно використовувати лінійну багатофакторну (множинну) регресійну модель.
Неважко побачити, що зі збільшенням кількості факторних ознак регресійна модель ускладнюється, при кількості факторів більш двох, знаходження параметрів регресійного рівняння без допомоги обчислювальної техніки починає займати недоцільно великий час і розрахунки. При кількості елементів собівартості 12 побудова дванадцятифакторної моделі регресії була б дуже громіздкою та складною. Тому, з метою зменшення кількості факторів проводимо їхнє дослідження на мультиколінеарність і на можливість укрупнення факторних ознак (агрегування).
Для
спрощення розрахунків парних коефіцієнтів
кореляції (
)
розіб'ємо ознаки на чотири групи по
економічних категоріях. Далі розрахуємо
парні коефіцієнти кореляції в кожній
із груп. Результати представлені в
таблиці 2.1.
Таблиця 2.1 – Розрахунок парних коефіцієнтів кореляції в групах факторних ознак
|
№ |
Ознаки |
Значення
|
Висновок |
|
1 |
Сировина і матеріали Покупні напівфабрикати Транспортні витрати |
|
Мультиколінеарність є присутньою цілком |
|
2 |
Основна зарплата Додаткова зарплата Відрахування на соцстрах |
|
Мультиколінеарність є присутньою частково |
|
3 |
Знос спецустаткування Витрати на утримування устаткування Цехові витрати Загальнозаводські витрати |
|
Мультиколінеарність є присутньою частково |
|
4 |
Адміністративні витрати Витрати на збут |
|
Мультиколінеарність є присутньою цілком |
На підставі даних у таблиці 2.1 робимо висновок про доцільність об'єднання факторів сировина і матеріали, покупні напівфабрикати, транспортні витрати в один укрупнений, а також адміністративні витрати, витрати на збут в один укрупнений виходячи з того, що парні коефіцієнти кореляції перевищують значення 0,8, що безсумнівно вказує на зв'язок між ознаками. Також фактори основна зарплата, додаткова зарплата, відрахування на соцстрах поєднуємо в один укрупнений і фактори знос спецустаткування, витрати на зміст устаткування, цехові витрати і загальнозаводські витрати поєднуємо в одного укрупнений, виходячи їхнього економічного змісту цих показників, незважаючи на те, що значення парних коефіцієнтів кореляції не завжди відповідають нормативному.
Таким чином, одержуємо чотири агрегованих факторних ознаки, що представлені в таблиці 2.2.
Таблиця 2.2 – Агреговані факторні ознаки
|
Фактор |
Елементи |
|
Перший |
Сировина і матеріали Покупні напівфабрикати Транспортні витрати |
|
Другий |
Основна зарплата Додаткова зарплата Відрахування на соцстрах |
|
Третій |
Знос спецустаткування Витрати на утримування устаткування Цехові витрати Загальнозаводські витрати |
|
Четвертий |
Адміністративні витрати Витрати на збут |
Чотири факторних ознаки й один результуючий припускають побудову чотирьохфакторної лінійної регресійної моделі для вивчення їхнього взаємозв'язку.
Побудова чотирьохфакторної лінійної регресійної моделі
Виходячи з запропонованого в літературі загального виду моделі
,
або більш конкретного
,
а також те, що система нормальних рівнянь для двохфакторної лінійної регресії має вигляд
,
запишемо загальний вид рівняння регресії і системи нормальних рівнянь для випадку чотирьох факторних ознак і одного результуючого. Отримаємо:
,
(2.2.1)
,
(2.2.2)
де
-
агреговані факторні ознаки;
- результуюча
ознака;
-
невідомі параметри регресії.
Факторними ознаками будуть виступати фактичні питомі відхилення елементів собівартості від їхніх планових значень, результуючою ознакою виступає прибуток.
Отримані параметри рівняння регресії будуть свідчити про характер взаємозв'язку прибутку і компонентів собівартості. Характер такої залежності дозволить виявити найбільш вагомі фактори, з метою найбільш ефективного впливу через них на прибуток продукції.
2.3 Моделювання контрольного приклада
На підставі вихідних даних про фінансовий стан і динаміку виробництва ВАТ «Дніпрополімермаш» проведемо моделювання по кожному з видів продукції і послуг з метою виявити відхилення якого фактора найбільше впливає на прибуток підприємства. У сукупності з даними про динаміку виробництва, це допоможе керівництву більш обґрунтовано приймати рішення про управління собівартістю продукції.
Розглянемо послідовно кожний з чотирьох видів виробленої продукції і послуг.
1. Пресформи.
Дані для регресійного аналізу шляхом обчислення питомих відхилень і агрегування з «Аналізу собівартості», а також прибуток на одиницю даної продукції представлені в таблиці 2.3.
Таблиця 2.3 – Дані для регресійного аналізу пресформ
|
місяць |
Сировина, матеріали, полуфабр., транспорт |
Зарплата і соціальне страхування |
Витрати на устаткування, цехові й зальнозавод |
Адміністр. і збутові витрати |
Прибуток |
|
01.04 |
-20,474 |
12,204 |
48,386 |
1,039 |
7,163 |
|
02.04 |
-33,200 |
-7,505 |
62,308 |
46,508 |
15,927 |
|
03.04 |
29,460 |
0,320 |
10,600 |
5,060 |
6,176 |
|
04.04 |
-17,710 |
14,800 |
33,443 |
22,349 |
14,284 |
|
05.04 |
-36,353 |
13,771 |
49,205 |
49,120 |
18,143 |
|
06.04 |
-7,200 |
-0,990 |
10,310 |
21,970 |
16,192 |
|
07.04 |
-49,293 |
8,920 |
63,520 |
3,547 |
12,154 |
|
08.04 |
-49,127 |
12,300 |
66,160 |
26,200 |
20,218 |
|
09.04 |
-9,614 |
9,094 |
31,649 |
-8,129 |
6,665 |
|
10.04 |
13,333 |
-41,786 |
-38,810 |
-2,738 |
65,399 |
|
11.04 |
-35,533 |
-8,300 |
59,833 |
9,033 |
60,624 |
|
12.04 |
53,339 |
13,915 |
0,119 |
-8,559 |
33,048 |
|
01.05 |
7,362 |
55,638 |
-24,021 |
-91,936 |
41,897 |
|
02.05 |
22,767 |
50,700 |
-60,950 |
23,417 |
32,702 |
Графічно ці вихідні дані, а також побудовані по них лінійні тренди представлені на рисунку 2.2.

Рисунок 2.2 – Вихідні дані для аналізу і лінійні тренди
д
е
- перший агрегований показник;
- другий агрегований показник;
- третій агрегований показник;
- четвертий агрегований показник;
- відповідні лінійні тренди.
Використовуючи формулу (2.2.1) і (2.2.2), дані результуючої і факторної ознак за допомогою надбудови MS Excel «Пошук рішення» вирішуємо систему нормальних рівнянь і одержуємо шукані параметри багатофакторної лінійної регресії.
Таблиця 2.4 – Параметри регресії для пресформ
|
a>0> |
a>1> |
a>2> |
a>3> |
a>4> |
|
35,7 |
-0,29 |
-0,39 |
-0,37 |
-0,2 |
Для аналізу динаміки відхилень використовуємо отримані графіки лінійних трендів. Напрямок тренда вкаже динаміку відхилень. Для вибору найбільш динамічного показника використовуємо правило: швидше збільшується той фактор, кут нахилу лінії тренда якого більше. Тангенс кута нахилу лінії тренда дорівнює відношенню коефіцієнтів a і b рівняння тренда. По розрахованим даним для пресформ найбільший кут нахилу лінії тренда мають перший і другий агреговані показники.
1. Сталеве лиття.
Дані для регресійного аналізу шляхом обчислення питомих відхилень і агрегування з «Аналізу собівартості», а також прибуток на одиницю даної продукції представлені в таблиці 2.5.
Таблиця 2.5 – Дані для регресійного аналізу лиття
|
місяць |
Сировина, матеріали, полуфабр., транспорт |
Зарплата і соціальне страхування |
Витрати на устаткування, цехові й загальнозавод |
Адмін. і збутові витрати |
Прибуток |
|
01.04 |
1,764 |
4,355 |
0,498 |
-1,165 |
1,484 |
|
02.04 |
-37,265 |
8,386 |
7,766 |
0,368 |
10,768 |
|
03.04 |
19,560 |
-1,013 |
7,213 |
3,373 |
4,506 |
|
04.04 |
-7,691 |
6,611 |
15,009 |
10,143 |
6,434 |
|
05.04 |
-3,480 |
4,950 |
10,747 |
17,658 |
6,358 |
|
06.04 |
15,283 |
5,300 |
-27,800 |
1,000 |
13,848 |
|
07.04 |
15,781 |
6,969 |
27,604 |
3,042 |
10,830 |
|
08.04 |
-11,742 |
2,960 |
15,878 |
6,288 |
4,901 |
|
09.04 |
-6,747 |
6,254 |
-1,974 |
-0,902 |
1,569 |
|
10.04 |
-2,587 |
36,810 |
3,565 |
1,769 |
8,328 |
|
11.04 |
8,676 |
-0,432 |
2,649 |
1,000 |
6,329 |
|
12.04 |
-24,367 |
25,362 |
-5,381 |
11,125 |
25,270 |
|
01.05 |
2,558 |
-10,721 |
-17,267 |
-9,302 |
16,767 |
|
02.05 |
24,800 |
-12,667 |
-41,167 |
-11,267 |
55,310 |
Графічно ці вихідні дані, а також побудовані по них лінійні тренди представлені на рисунку 2.3.
Рисунок 2.3 – Вихідні дані для аналізу і лінійні тренди
д
е
- перший агрегований показник;
- другий агрегований показник;
- третій агрегований показник;
- четвертий агрегований показник;
- відповідні лінійні тренди.
Використовуючи формулу (2.2.1) і (2.2.2) і дані результуючої і факторної ознак за допомогою надбудови MS Excel «Пошук рішення» вирішуємо систему нормальних рівнянь і одержуємо шукані параметри багатофакторної лінійної регресії.
Таблиця 2.6 – Параметри регресії для лиття
|
a>0> |
a>1> |
a>2> |
a>3> |
a>4> |
|
12,4 |
0,013 |
-0,03 |
-0,54 |
0,016 |
Для аналізу динаміки відхилень використовуємо отримані графіки лінійних трендів. Напрямок тренда вкаже динаміку відхилень. Для вибору найбільш динамічного показника використовуємо правило: швидше збільшується той фактор, кут нахилу лінії тренда якого більше. Тангенс кута нахилу лінії тренда дорівнює відношенню коефіцієнтів a і b рівняння тренда. По розрахованим даним для сталевого лиття найбільший кут нахилу лінії тренда мають перший і третій агреговані показники.
1. Послуги промислового характеру.
Дані для регресійного аналізу шляхом обчислення питомих відхилень і агрегування з «Аналізу собівартості», а також прибуток на одиницю даної продукції представлені в таблиці 2.7.
Таблиця 2.7 – Дані для регресійного аналізу послуг промхарактера
|
місяць |
Сировина, матеріали, полуфабр., транспорт |
Зарплата і соціальне страхування |
Витрати на устаткування, цехові й загальнозавод. |
Адмін. і збутові витрати |
Прибуток |
|
01.04 |
5,702 |
-8,319 |
25,489 |
-2,894 |
35,092 |
|
02.04 |
7,527 |
-4,764 |
28,564 |
3,620 |
7,847 |
|
03.04 |
-4,522 |
-2,413 |
-1,174 |
3,065 |
12,926 |
|
04.04 |
1,215 |
-6,140 |
5,505 |
10,269 |
12,472 |
|
05.04 |
4,371 |
2,571 |
-30,143 |
26,314 |
23,237 |
|
06.04 |
13,180 |
1,440 |
18,640 |
2,460 |
8,916 |
|
07.04 |
-25,889 |
15,600 |
16,489 |
2,422 |
20,563 |
|
08.04 |
-2,429 |
1,082 |
7,776 |
2,633 |
11,402 |
|
09.04 |
-3,913 |
7,466 |
17,641 |
6,136 |
11,740 |
|
10.04 |
-13,647 |
13,353 |
15,588 |
0,000 |
35,474 |
|
11.04 |
-5,500 |
-26,472 |
-6,444 |
-0,889 |
46,252 |
|
12.04 |
0,286 |
-18,393 |
-14,214 |
-7,893 |
36,324 |
|
01.05 |
-4,195 |
-14,415 |
32,122 |
-28,049 |
30,126 |
|
02.05 |
-7,615 |
11,051 |
-18,615 |
6,282 |
34,051 |
Графічно ці вихідні дані, а також побудовані по них лінійні тренди представлені на рисунку 2.4.
Рисунок 2.4 – Вихідні дані для аналізу і лінійні тренди
д
е
- перший агрегований показник;
- другий агрегований показник;
- третій агрегований показник;
- четвертий агрегований показник;
- відповідні лінійні тренди.
Використовуючи формулу (2.2.1) і (2.2.2) і дані результуючої і факторної ознак за допомогою надбудови MS Excel «Пошук рішення» вирішуємо систему нормальних рівнянь і одержуємо параметри багатофакторної лінійної регресії.
Таблиця 2.8 – Параметри регресії для послуг промхарактера
|
a>0> |
a>1> |
a>2> |
a>3> |
a>4> |
|
24,7 |
-0,46 |
-0,32 |
-0,35 |
-0,48 |
Для аналізу динаміки відхилень використовуємо отримані графіки лінійних трендів. Напрямок тренда вкаже динаміку відхилень. Для вибору найбільш динамічного показника використовуємо правило: швидше збільшується той фактор, кут нахилу лінії тренда якого більше. Тангенс кута нахилу лінії тренда дорівнює відношенню коефіцієнтів a і b рівняння тренда. По розрахованим даним для послуг промислового характеру найбільший кут нахилу лінії тренда має другий агрегований показник.
1. Інша продукція.
Дані для регресійного аналізу шляхом обчислення питомих відхилень і агрегування з «Аналізу собівартості», а також прибуток на одиницю даної продукції представлені в таблиці 2.9.
Таблиця 2.9 – Дані для регресійного аналізу іншої продукції
|
місяць |
Сировина, матеріали, полуфабр., транспорт |
Зарплата і соціальне страхування |
Витрати на устаткування, цехові й загальнозавод |
Адмін. і збутові витрати |
Прибуток |
|
01.04 |
-14,632 |
9,726 |
19,021 |
-6,674 |
32,614 |
|
02.04 |
-0,491 |
-5,509 |
-37,145 |
20,255 |
38,809 |
|
03.04 |
0,215 |
-13,508 |
39,246 |
-7,585 |
39,726 |
|
04.04 |
-18,238 |
-27,969 |
7,815 |
2,038 |
15,695 |
|
05.04 |
6,000 |
-6,254 |
29,119 |
-8,729 |
51,411 |
|
06.04 |
-4,083 |
0,592 |
5,792 |
-7,108 |
18,873 |
|
07.04 |
16,227 |
-8,027 |
37,333 |
-9,733 |
34,499 |
|
08.04 |
3,423 |
-5,135 |
13,234 |
5,135 |
19,176 |
|
09.04 |
30,873 |
2,429 |
-2,000 |
-0,127 |
31,238 |
|
10.04 |
-3,011 |
-9,261 |
22,909 |
2,750 |
23,591 |
|
11.04 |
3,143 |
-20,029 |
8,486 |
1,057 |
55,965 |
|
12.04 |
12,133 |
-13,422 |
19,578 |
17,556 |
42,075 |
|
01.05 |
-34,419 |
20,806 |
-23,258 |
18,290 |
52,856 |
|
02.05 |
-21,833 |
-4,150 |
24,900 |
-6,717 |
38,039 |
Графічно ці вихідні дані, а також побудовані по них лінійні тренди представлені на рисунку 2.5.

Рисунок 2.5 – Вихідні дані для аналізу і лінійні тренди
д
е
- перший агрегований показник;
- другий агрегований показник;
- третій агрегований показник;
- четвертий агрегований показник;
- відповідні лінійні тренди.
Використовуючи формулу (2.2.1) і (2.2.2) і дані результуючої і факторної ознак за допомогою надбудови MS Excel «Пошук рішення» вирішуємо систему нормальних рівнянь і одержуємо шукані параметри багатофакторної лінійної регресії.
Таблиця 2.10 – Параметри регресії для іншої продукції
|
a>0> |
a>1> |
a>2> |
a>3> |
a>4> |
|
34,5 |
0,01 |
0,25 |
0,14 |
0,41 |
Для аналізу динаміки відхилень використовуємо отримані графіки лінійних трендів. Напрямок тренда вкаже динаміку відхилень. Для вибору найбільш динамічного показника використовуємо правило: швидше збільшується той фактор, кут нахилу лінії тренда якого більше. Тангенс кута нахилу лінії тренда дорівнює відношенню коефіцієнтів a і b рівняння тренда. По розрахованим даним для іншої продукції найбільший кут нахилу лінії тренда мають другий і четвертий агреговані показники.
Розраховані дані зведемо в комплексну таблицю, на підставі якої керівник підприємства буде приймати рішення про управлінські впливи на собівартість продукції. Таблиця буде містити в собі абсолютні значення параметрів рівнянь регресії по видах продукції, а також перелік домінуючих агрегованих факторів.
Таблиця 2.11 – Комплексна таблиця ухвалення рішення
|
Показник |
Вид продукції |
|||
|
Пресформи |
Сталеве лиття |
Послуги промхарактера |
Інша продукція |
|
|
a>1> |
0,29 |
0,013 |
0,46 |
0,01 |
|
a>2> |
0,39 |
0,03 |
0,32 |
0,25 |
|
a>3> |
0,37 |
0,54 |
0,35 |
0,14 |
|
a>4> |
0,2 |
0,016 |
0,48 |
0,41 |
|
Домінуючий агрегований фактор |
1 і 2 |
1 і 3 |
2 |
2 і 4 |
Найбільш ефективний управлінський вплив буде на той фактор, (компонент собівартості), що у сукупності буде домінувати над іншими в темпі розвитку свого впливу і мати найбільшу вагу в структурі прибутку, тобто найбільше абсолютне значення відповідного параметра регресії.
На підставі цього твердження видаються наступні рекомендації керівництву підприємства:
Таблиця 2.11 – Можливі практичні рекомендації
|
Вид продукції |
Рекомендації |
|
Пресформи |
Найбільше економічно ефективним будуть управлінські рішення по зменшенню впливу другого агрегованого фактора (зарплата і соцстрахування) |
|
Сталеве лиття |
Найбільше економічно ефективним будуть управлінські рішення по зменшенню впливу третього агрегованого фактора (витрати на утримування устаткування, цеховий і загальнозаводські, знос устаткування) |
|
Послуги промхарактера |
Рівною мірою економічно ефективним будуть управлінські рішення по зменшенню впливу другого і четвертого агрегованого факторів |
|
Інша продукція |
Найбільше економічно ефективним будуть управлінські рішення по зменшенню впливу четвертого агрегованого фактора (адміністративні і збутові витрати) |
РОЗДІЛ 3. Проектування інформаційної системи підтримки прийняття рішень
3.1 Методики створення сучасних інформаційних систем
Математичні методи зараз широко застосовуються для потреб управління, планування, бухгалтерського обліку, статистики й економічного аналізу. Але застосування математичного програмування і моделювання, узагалі математичних методів у вирішенні багатьох задач економічного й інженерного характеру стало практично можливим і плідним лише за умови використання рахункової техніки. Вирішення складних задач (а економічні задачі відносяться переважно до класу складних) з використанням тільки ручної праці неможливо. Ось чому математичні методи в економічному аналізі і плануванні стали широко застосовуватися, коли були сконструйовані перші ЕОМ [4].
Оцінюючи ефективність застосування ПЕОМ в аналітичній роботі, треба мати на увазі, що в принциповому плані практично всі операції, які можна здійснювати за допомогою комп’ютера, можна зробити і без нього, але час, який доводиться витрачати для виконання цих дій «вручну» і традиційними методами, часто позбавляє їх сенсу.
Орієнтуючись на логіку розв’язання аналітичних задач фінансового характеру, можливості використання ПЕОМ в аналітичному процесі можна представити у такій послідовності:
постановка задачі та її формалізований опис;
накопичення інформації;
обробка інформації;
власне аналіз.
У сучасних умовах на багатьох підприємствах бухгалтерський облік ведеться за допомогою ЕОМ, тому найпоширенішими базами є бази бухгалтерського обліку та бухгалтерської звітності. Поступово здійснюється перехід на комплексне використання електронно-обчислювальної техніки також і для здійснення управлінського та податкового обліку. Створення інформаційних баз є початковою задачею і умовою підвищення якості аналітичної роботи на підприємстві. Для побудови ефективної системи збору і накопичення інформації фінансово-аналітична служба підприємства повинна постійно і заздалегідь вносити пропозиції про необхідні зміни у системі обліку інформації для того, щоб вона була зручною для використання не тільки службами, які її створюють, а й для фінансово-економічного аналізу.
На невеликих підприємствах, де фінансист-аналітик має справу з порівняно невеликими масивами інформації, задачу раціонального групування і обробки первісної інформації здатні виконувати безпосередньо користувачі ПЕОМ. На великих підприємствах фінансист-аналітик формулює ту чи іншу аналітичну задачу і чітко ставить її перед програмістами. Зокрема визначається:
яка конкретно інформація і з якої бази даних повинна бути використана;
яким чином вона повинна бути згрупована;
яку нову (розраховану) інформацію треба одержати;
у якій формі вона повинна бути подана;
який вигляд має алгоритм розв’язання задачі.
Тому успіх аналітичної роботи, ефективність результатів, що очікуються після її виконання значною мірою залежать від того, наскільки кваліфіковано спільно працювали фінансист-аналітик і програміст на даному етапі [14].
Методика економічного аналізу, орієнтована на застосування ПЕОМ, повинна задовольняти умови: системності, комплексності, оперативності, точності, прогресивності та динамічності. Тільки на базі цих умов забезпечуються пізнання станів об’єкта, який управляється, тенденції його розвитку, систематичне та цілеспрямоване підвищення ефективності господарчої діяльності підприємства по результатах аналізу.
Переваги ПЕОМ надають нові можливості для аналізу, серед них невисока вартість, висока продуктивність, надійність, простота експлуатації та обслуговування, гнучкість та автономність використання, наявність розвинутого програмного забезпечення, діалоговий режим роботи та інші.
Усе вищезазначене дозволяє сформулювати основні вимоги до комп’ютерного аналізу:
своєчасне та повне задоволення обчислювальних та інформаційних потреб економіста при проведенні аналізу господарської діяльності;
мінімальний час відповіді на аналітичні запроси;
можливість представлення вихідної інформації у табличній та графічній формах;
можливість внесення коректив в методику розрахунків та в форми відображення кінцевого результату;
повторення процесу розв’язання задачі з довільної стадії розрахунку;
можливість роботу у складу обчислювальної мережі;
простота діалогу у системі людина-машина [4].
Системи підтримки прийняття рішень (СППР) – являють собою наступний, новітній етап розвитку автоматизованих систем управління. Як видно з назви, ці системи не керують підприємством самі, вони лише видають рекомендації, завдяки яким особа приймаюча рішення (ОПР) вибирає оптимальну стратегію розвитку підприємства.
Процес управління складається з таких стадій: формулювання вимог до системи; дослідження середовища її передбаченого функціонування; розробка технічної задачі; ескізне проектування; технічне проектування; робоче проектування; іспит; впровадження; дослідна експлуатація. Остання стадія, як правило, стосується окремих, головних у своєму підкласі систем і призначена для розробки, апробації і виготовлення типових проектних рішень. Графічно це представлено на рисунку 3.1.

Рисунок 3.1 – Алгоритм побудови автоматизованої системи управління.
Перший етап передбачає наявність деяких знань про об'єкт-оригінал. Пізнавальні можливості моделі визначаються тим, що модель відображає з погляду системного аналітика, істотні риси об'єкта-оригіналу. Питання про необхідність і достатність подібності оригіналу і моделі вимагає аналізу. Очевидно, модель утрачає зміст як у випадку тотожності з оригіналом (тоді вона не перестає бути оригіналом), так і у випадку надмірного спрощення. Вивчення одних властивостей модельованого об'єкта відбувається по рахунок відмовлення від вивчення інших.
На другому етапі модель виникає як самостійний об'єкт дослідження. Однією з форм такого дослідження є «модельні» експерименти, при проведенні яких свідомо змінюють умови функціонування моделі і систематизують дані про її «поведінку». Остаточним результатом цього етапу є множина знань про моделі.
На третьому етапі здійснюється перенесення знань з моделі на оригінал — формування множини знань про об'єкт. Цей процес перенесення знань проводиться за певними правилами. Знання про моделі повинні бути скоректованими з урахуванням тих властивостей об'єкта-оригіналу, що не знайшли відображення або були деформовані під час побудови моделі. Ми можемо з достатньою підставою переносити який-небудь результат з моделі на оригінал, якщо цей результат обов'язково зв'язаний з ознаками подібності оригіналу і моделі. Якщо ж визначений результат модельного дослідження зв'язаний з відмінністю моделі від оригіналу, то його переносити неправомірно.
Технічне і робоче проектування умовно можна об'єднати в один етап. Спочатку вибирається «еквівалент», що відображає в математичній формі найважливіші властивості об'єкта — закони, яким він підкоряється, зв'язку, що властиві його складовим частинам, і т.п. Математична модель (або її фрагменти) досліджуються теоретичними методами, що дозволяють одержати важливі нові знання про об'єкт.
Далі іде розробка алгоритму для реалізації моделі на комп'ютері. Модель подається у формі, зручної для застосування числових методів, визначається послідовність обчислювальних і логічних операцій, які необхідно здійснити, щоб одержати шукані величини з заданою точністю. Обчислювальні алгоритми не повинні спотворювати основні властивості моделі, бути ощадливими і адаптивними щодо особливостей рішення задач і використання комп'ютерів.
І, нарешті, створюються програми, що «перекладають» модель і алгоритм на доступну комп'ютерну мову. До них також висуваються вимоги економічності й адаптивності, їх можна назвати «електронним» еквівалентом досліджуваного об'єкта, придатним для безпосереднього експериментування на комп'ютері.
П'ятий етап (іспит) - створивши тріаду: «модель-алгоритм-програма», дослідник одержує універсальний, гнучкий і відносно дешевий інструмент, що тестується в «пробних» обчислювальних експериментах. Після того як адекватність (достатній рівень відповідності, з огляду на цілі й узяту систему гіпотез) моделі вихідного об'єкта підтверджена, з моделлю проводять різноманітні і детальні «досвіди», що подають нову інформацію про необхідні якісні і кількісні властивості і характеристики об'єкта. Процес моделювання супроводжується поліпшенням і уточненням, при необхідності, усіх складових тріади.
Існує два протилежних походи до створення СППР, що значною мірою визначають і шляхи вирішення задачі оптимізації виробництва, що пояснюється і розходженнями в подоланні розмірності інформаційних масивів. Розміри масивів, що підлягають переробці в СППР, навіть для середнього по розміру багатономенклатурного виробництва складають десятки, а іноді і сотні мільйонів і мільярди байт. Для зменшення розмірності часто використовується функціональний розподіл масивів відповідності зі сформованою функціональною структурою управління виробництвом. Кожна функціональна служба одержує свій комплекс автономних масивів. Зменшення розмірів масивів досягається як за рахунок розподілу загального масиву на частині, так і деякою агрегацією інформації. Позитивним фактором при цьому підході вважається збереження функціональних служб підприємства і взаємодії між ними, недоліком – їхня автономія, що не стимулює постійний контроль, не забезпечує погодженість і вірогідність інформації в цих масивах.
Другий шлях створення СППР заснований не на імітації діяльності функціональних підрозділів підприємства, а на імітації виробничої структури підприємства. В основі виробничої структури сучасного підприємства лежить поцеховий принцип організації виробництва, зумовлений предметним або технологічним поділом праці. Організація масивів динамічної інформаційної моделі виробництва, їхня взаємодія в СППР другого типу відображають структуру підприємства і динаміку виробничого процесу. Така побудова СППР відрізняється великою послідовністю в проведенні системного підходу, а це забезпечує більш високий рівень адаптації до виробничих умов і типів виробництва, а також стійкість системи управління.
При побудові інтегрованих моделей виробничого процесу, що виходять за рамки однієї якої-небудь підсистеми і торкаючи діяльність ряду підсистем, вимоги до збалансованості і вірогідності інформації особливо високі. Відомо, що недоліком функціональної структури інформаційних масивів СППР є значна складність узгодження інформації між підсистемами. Безсумнівно, що необхідною умовою ефективності управління є вірогідність інформації, її постійна відповідність виробничому процесу [18].
У даній роботі для побудови моделі СППР підвищення ефективності трудових ресурсів доцільно застосовувати методи модульного проектування і метод декомпозиції (для окремих складних блоків).
Метод модульного проектування дозволяє розробити проект шляхом створення чітко розмежованих блоків (модулів), між якими встановлюються зв'язки за допомогою вхідної і вихідної інформації.
Метод декомпозиції передбачає подальшу розбивку підкомплексів на окремі задачі, показники. Підхід до розбивки всієї сукупності задач особливо зручний для розробки принципових організаційно-технічних рішень.
Система підтримки прийняття рішення складається з функціональної і забезпечуючої частин.
Функціональні підсистеми - це частина СППР, що виділяється за спільністю функціональних ознак управління. Відповідно до цього рекомендується виділяти функціональні підсистеми СППР:
оперативного планування виробництва;
управління технічною підготовкою виробництва;
техніко-економічного планування;
оперативного управління основним виробництвом;
управління матеріально-технічним постачанням;
бухгалтерського обліку;
управління реалізацією і збутом продукції;
управління якістю продукції;
управління забезпеченням кадрами;
управління фінансами;
інформаційно-керуючу підсистему.
Функціональна частина СППР реалізує задачі управління. Об'єктами управління тут є різні види ресурсів, процеси виробництва, напівфабрикати і готова продукція. Зміст функціональних задач, що здебільшого визначається характером виробництва, різний на кожному підприємстві. Крім того, охоплення і глибина (якість) рішення задач управління залежать від фінансових, кадрових і технічних можливостей підприємства або об'єднання. СППР безупинно розвиваються, причому цей розвиток може йти й у ширину, охоплюючи автоматизацією більш широке коло задач управління. Тому кількість функціональних підсистем і склад їх на кожному підприємстві різні. СППР містять від 6 до 12 функціональних підсистем і мають у своєму складі від 10 до 300 задач.
Розглянемо тепер забезпечувальну частину СППР. В умовах СППР підвищилася роль формалізації усіх функцій, що забезпечують, різко збільшилося по обсягу і складності технічне забезпечення, більш твердими стали вимоги до підвищення оперативності й обсягів циркулюючої в системі інформації. Ці обставини вимагають чіткої регламентації й організації усіх видів діяльності. У СППР ця діяльність розподіляється між забезпечуючими підсистемами.
Виділяють підсистеми інформаційного, програмного, технічного, технологічного, організаційно-правового, математичного, лінгвістичного і ергономічного забезпечення. Таке представлення підсистем не є обов'язковим, у деяких СППР їх може бути менше завдяки об'єднанню окремих функцій у рамках однієї збільшеної підсистеми, але все рівно ці функції повинні виконуватися.
Інформаційне забезпечення значною мірою визначає інтелект системи, оскільки одержує всю інформацію, оперує нею і веде інформаційний обмін усередині і поза СППР. Інформація повинна бути достовірною, своєчасною, постійно відновлятися, подаватися в зручній для користувача формі, бути доступною користувачеві і повною. Неповнота інформації часто являється причиною прийняття нераціональних і несвоєчасних управлінських рішень. Основний ефект СППР щодо удосконалення управління досягається завдяки автоматизації інформаційних процесів і підвищенню якості прийнятих управлінських рішень.
Для цього застосовується загальне і спеціальне програмне забезпечення. Загальне (системне) ПО служить для забезпечення роботи спеціального ПО, що, власне, і використовується для розробки і використання СППР. Спеціальне програмне забезпечення включає окремі програми і програмні комплекси, розроблені для управління конкретним підприємством у виді ППП, що реалізують певні функції управління, або у виді програмної системи, що реалізує певний метод рішення задач управління. Так, для підприємств із серійним і дрібносерійним виробництвами розроблені СППР управління підприємством на основі чотирьох ППП: «Планування потреб», «Планування потужностей», «Управління запасами», «Управління цехом». Ця система може бути розширена завдяки застосуванню ППП «Збут», «Фінанси» і ін.
Технічне забезпечення СППР — це сукупність техніки, методик, інструкцій і документації для персоналу, що обслуговує і забезпечує рішення функціональних задач СППР.
Методичні і керівні матеріали поділяються на три групи: загальносистемні методичні матеріали; спеціалізовані керівні технічні матеріали; нормативно-довідкові документи. До першої групи належать державні і галузеві стандарти, до другого — комплекс взаємозалежних методик для всіх етапів розробки, до третього — довідкової матеріали для розробки і нормативні документи для виконання технічного і робочого проектів.
Комплекс технічних засобів включає ЕОМ, обслуговуючу апаратуру зв'язку, периферійні пристрої, оргтехніку. Широкий набір периферійних пристроїв містить накопичувачі на гнучких магнітних і жорстких дисках, а також компакт-дисках для удосконалення пристроїв введення-висновку інформації, кольорові дисплеї; плотери, дігітайзери, модеми; контролери, інтерфейси, перетворювачі.
Організаційне забезпечення обумовлює погоджене функціонування елементів СППР. Під організацією роботи розуміють узгодження по місцю, у часі і за цілями загального функціонування окремих виконавців, колективів і технічних засобів, що може здійснювати і регулювати певними правилами взаємодії, що створюють правовий, а також моральний кодекс і складають основу правового забезпечення. Тому організаційне забезпечення СППР ґрунтується на нормативних актах правового забезпечення, воно знаходить своє втілення в організаційному забезпеченні.
Ергономічне забезпечення СППР — це сукупність методів і засобів, що призначені для створення оптимальних умов ефективної діяльності обслуговуючого персоналу і вилучення операторів зі складу персоналу СППР. Ергономічне забезпечення СППР включає комплекс документації, що містить вимоги і здійснює їхню експертизу, комплекс методів, учбово-методичних матеріалів і технічних засобів підготовки персоналу до роботи, комплекс методів і засобів, що забезпечують професійний добір кадрів.
У плані ергономічного забезпечення на етапах проектування СППР визначаються ступінь і сфери участі людини в системі управління, вимоги до форми представлення інформації, умови навколишнього середовища для діяльності людини, порядок роботи і відпочинку персоналу, нормативи завантаження і надійності персоналу, вимоги до технічних засобів, способи взаємодії персоналу з технічними засобами [29].
Створення сучасної СППР неможливе без застосування могутніх об‘єктно-орієнтованих мов програмування. Одним з найпоширеніших мов програмування є продукт корпорації Microsoft Visual Basic For Applications.
Visual Basic for Applications (VBA) являє собою інтегрований програмний продукт, до складу якого входить мова структурного програмування і середовище для розробки закінчених додатків. Мова програмування надає інструментальні засоби для розробки додатків, що мають великий діапазон функціональних можливостей – маленькі і великі, прості і складні, спеціалізовані і багатофункціональні. Суть роботи програміста полягає в тому, щоб спланувати роботу комп'ютера в термінах основних операцій (введення і виводу даних, їхнього запам'ятовування, обчислень, ухвалення рішення і повторення деякої послідовності дій) і реалізувати цей план у виді тексту програми – програмного коду. Ця справа вимагає глибокого розуміння мови програмування і постійної уваги до найменших деталей.
VBA – це могутній програмний продукт для створення додатків, що працюють у середовищі операційної системи Microsoft Windows версій вище 95. Пакет включає не тільки легко доступну мову програмування, але й ефективне діалогове середовище для розробки екранних форм і вікон. Таке унікальне сполучення спрощує задачу програміста, скорочує час розробки програми і сприяє створенню кінцевого програмного продукту досить високої якості.
Розробка додатка з використанням Visual Basic for Applications передбачає виконання трьох основних етапів:
Проектування екранного інтерфейсу користувача з програмою;
Визначення індивідуальних властивостей кожного об'єкта інтерфейсу;
Написання тексту програми.
Використовуючи VBA, можна швидко організувати візуальне середовище нового проекту. Користувальницький інтерфейс створюваної програми включає добре знайомі і звичні для тих, хто працює в Windows, засоби управління – функціональні кнопки, перемикачі, текстові вікна, смуги прокручування.
У понятті інтерфейс користувача входять усі видимі на екрані об'єкти і виконувані над ними операції, що мають відношення до взаємодії програми і користувача. Розробка інтерфейсу програми вирішує наступні питання:
як програма одержує інформацію від користувача;
як користувач вибирає ті або інші функції програми;
які допускаються операції з мишею і клавіатурою;
яким образом програма повинна надати користувачеві викликану інформацію після того, як будуть виконані всі розрахунки й ін.
До появи об‘єктно-орієнтованих, візуальних методів програмування програміст витрачав значний час на створення дружнього або хоча б задовільного середовища для практичної роботи користувача. З їхньою появою користувальницький інтерфейс створюється звичайним перетаскуванням елементів управління в проектовану екранну форму і розміщенням їх у межах форми. VBA забезпечує всі необхідні елементи управління для взаємодії користувача з програмою. Їхнє призначення інтуїтивне зрозуміло вже з зовнішнього вигляду – користувач може уявити собі, як з ними поводитися, практично без додаткових інструкцій. Вони звичні, оскільки такі ж елементи управління використовуються практично всіма додатками Windows. І, можливо, саме головне, що вони відразу ж готові до роботи, тобто всі необхідні операції з мишею і клавіатурою вже вбудовані в ці програмні об'єкти.
Екранна форма – це вікно додатка, що буде служити в написаній програмі для спілкування з користувачем. Екранна форма може являти собою діалогове вікно для введення інформації користувачем або вікно, у якому програма виводить деякі дані, сформовані в результаті її роботи. Можна створити будь-яку кількість екранних форм у рамках одного проекту, хоча більшість програм використовує тільки одну форму.
Вікно, у якому відображається екранна форма можна розгорнути в межах екрана VBA. З ним можна працювати так само як і з іншим вікном у середовищі Windows використовуючи кнопки Minimize, Restore і Close. За умовчанням Visual Basic включає файл екранної форми в кожен новий проект стандартного типу. Фактично екранна форма й об'єкти, що включаються в неї, будуть у центрі уваги протягом усіх трьох етапів розробки додатка.
Кнопка – один із самих зручних і практичних елементів управління. Саме за допомогою кнопок користувач відкриває і закриває програми, вікна, запускає процеси розрахунків, виводить результати на екран. Практично кожна програма містить ті чи інші кнопки. За допомогою VBA можна змінювати розміри і положення кнопок, їхні назви і властивості, призначати їм процедури та записані макроси.
Перемикач – елемент управління, що дозволяє робити користувачеві певний вибір при реалізації функцій програми. За допомогою перемикачів у будь-якій досить складній СППР можна реалізувати процес розгалуження, вибору параметрів і режимів роботи.
Комбінація екранних форм, кнопок, перемикачів, текстових і спливаючих вікон, а також усіх видів меню повинна забезпечувати користувачеві швидке, легке і доступне керування усіма функціями програми.
Після проектування користувальницького інтерфейсу необхідно приступати до другого етапу створення програми – завданню властивостей об'єктів, включених в екранну форму. Кожен клас елементів управління – кнопки, текстові поля, написи, перемикачі і т.д. – має певний набір властивостей. Оперуючи цими властивостями, можна визначити як вид представлення об'єкта на екрані, так і особливості його функціонування. Значення багатьох властивостей можна установити як під час розробки, так і під час виконання програми.
Визначивши зовнішній вигляд додатка і його функції і задавши властивості елементів управління, можна приступати до наступного етапу, тобто до написання тексту програми. Хоча ця розробка і являється найскладнішим етапом створення додатка, концепція програми, керованої подіями, на якій ґрунтується VBA, дає можливість чітко організувати роботу. Оскільки екранна форма вже скомпонована, спланована робота включених у неї елементів управління, залишається дописати тільки ті нестандартні процедури, що повинні виконуватися при звертанні до цих об'єктів. Процес розробки програми рідко буває послідовним, приходиться повертатися до попередніх етапів – змінювати компонування екранної форми, додавати нові об'єкти в екранну форму, присвоювати нові значення властивостям тих або інших об'єктів.
Одна з найважливіших особливостей Visual Basic – це підхід до створення програми на основі концепції програмної моделі, керованої подіями (even-driven programming model). Коли планується логіка роботи програми, головна увага приділяється подіям, що можуть відбутися в процесі її функціонування. Більшість з них викликається користувачем програми. Наприклад, користувач натискає на кнопку, вибирає перемикач або команду меню, виділяє елемент у списку або набирає на клавіатурі текст. Усе це – події, що повинні бути визначені в Visual Basic і розпізнані програмою. Майже весь текст програми в рамках деякого проекту стосується саме реакції додатка на події, аналогічні перерахованим.
Відповідно в програмі містяться блоки коду, називані процедурами обробки подій, що відповідають за формування реакції додатка на певні події. Visual Basic дозволяє дуже просто відкрити відповідне вікно і приступити до розробки процедури обробки події. Текст процедури обробки події зберігається в окремому файлі. Для того, щоб відкрити вікно з текстом програми для даної форми необхідно просто двічі клацнути мишею на будь-якому елементі управління у вікні форми. VBA автоматично підготує шаблон тексту відповідної процедури для обраного елемента.
Для планування структури тексту програми необхідно слідувати кільком основним етапам:
Визначення елементів управління, зв'язаних основними подіями, що будуть відбуватися в процесі роботи користувача з програмою;
Визначення подій, що будуть відбуватися з цими елементами;
Написання програмних процедур, що будуть визначати реакцію програми на ці події.
Основним методом написання тексту програми являється його введення у вікні програмного коду. У ньому також виводиться будь-яка процедура, написана для обраної екранної форми або об'єкта. Головним інструментом для роботи у вікні програмного коду являється вбудований редактор Visual Basic. У ньому передбачені численні службові функції, що значно спрощують роботу з текстом програми мовою VBA.
Для виводу тексту програми використовується кілька кольорів, що дозволяє легко орієнтуватися в тексті програми. Також по мірі введення операторів мови редактор забезпечує вивід на екран допоміжних контекстних списків і пояснювальної інформації й у такий спосіб попереджає появу в програмі типових помилок незавершеності оператора. У текст програми можна включити коментарі, що пояснюють призначення тих чи інших операторів і фрагментів програми. Вони являють собою довільний текст, не зв'язаний ніякими обмеженнями. І, нарешті, вікно програмного коду надає безпосередній доступ до системи оперативної довідки Visual Basic у будь-який момент, коли в ній виникне необхідність. Довідка може стосуватися як окремого елемента, так і мови в цілому.
Налагодження програми являє собою локалізацію й аналіз логічних помилок у програмі і відповідній корекції програмного коду. У результаті програма повинна працювати так, як цього хоче розроблювач. Цей процес вимагає глибокого розуміння нюансів мови програмування, а також часу і наполегливості. VBA має у своєму розпорядженні великий набір інструментів, що допомагають програмістові в процесі налагодження, вони дружні користувачеві й інтуїтивно зрозумілі.
У Visual Basic передбачено кілька способів пошуку і корекції помилок під час роботи над проектом. Як правило, виникаючі помилки можна віднести до однієї з трьох категорій.
Першою помилкою являються синтаксичні або загальні помилки в структурі використання операторів, що не дозволяють запустити програму на виконання. У цьому випадку Visual Basic виводить повідомлення відразу ж після введення в текст програми невірного вираження в ході роботи з оператором. Усі ці помилки відносяться до категорії помилок компіляції (compile errors).
Другий тип помилок приводить до того, що програма припиняє роботу на деякій стадії або при спробі виконати деяку операцію. Прикладами може служити спроба відкрити неіснуючий файл або спроба ділення на нуль. Ці помилки відносяться до категорії помилок часу виконання (runtime errors).
Третій вид помилок – програма не переривається при виконанні, але результати не ті, якими повинні бути. Виводяться некоректні значення даних або неправильно реагує на ту чи іншу подію. Такі помилки відносяться до категорії логічних помилок (logical errors) [1].
3.2 Алгоритм побудови інформаційної системи підтримки прийняття рішень
Розробка інформаційної системи підтримки прийняття рішень (ІСППР) велася на комп'ютері з наступними технічними параметрами:
Процесор Intel™ Pentium III™ Celeron 950 Mhz;
ОЗУ 128 МБ;
НЖМД (вінчестер) ємністю 80 ГБ;
Монітор Samtron 55e 15”, резолюция екрана 800х600 точок;
Пишучий привід CD-RW, floppy drive, клавіатура, миша.
Програмне забезпечення, встановлене на комп'ютері:
Microsoft™ Windows™ XP Professional Service Pack 2;
Microsoft™ Office XP Pro;
Службові утиліти.
З пакета прикладних програм Microsoft™ Office XP Pro для створення ІСППР використовувався табличний процесор Microsoft™ Excel XP з вбудованим редактором мови Visual Basic for Applications 6.3. Програма Excel використовувалася для збереження даних, розрахунків (у тому числі і за допомогою надбудови «Пошук рішення»), VBA використовувався для проектування користувальницького інтерфейсу.
Для полегшення розрахунків, приведених у розділі 2 даної роботи і для нормальної роботи користувача була спроектована інформаційна система підтримки рішення «Product Solution Assistant», що являє собою систему комплексної оцінки фінансового і виробничого стану підприємства.
ІСППР «Product Solution Assistant» призначена для математично обґрунтованого прийняття рішень по керуванню собівартістю продукції використовуючи графічні методи і методи регресійного аналізу. Розроблена система складається з 5 підсистем, органічно взаємодіючих, допомагаючи користувачеві вирішувати головну задачу - приймати управлінські рішення, спираючись на дані виробництва, фінансової й інших звітностей.
Р
исунок
3.2 – Укрупнена структура ІСППР «Product
Solution Assistant»
Розглянемо докладніше постановку задачі і розробимо алгоритм її дослідження. Необхідно послідовно позначити наступні пункти:
1. Характеристика задачі
1.1 Призначення задачі. Задача за назвою «Прийняття математично обґрунтованого виробничого рішення» призначена для математично обґрунтованого прийняття рішень по управлінню собівартістю виробництва продукції використовуючи графічні методи і методи регресійного аналізу. Отримані результати являють собою рекомендації користувачеві і сприяють прийняттю обґрунтованого управлінського рішення.
Задача має умовний код ППР104 і вирішується на АРМ керівника промислового підприємства (начальника виробництва).
1.2 Перелік об'єктів, при управлінні якими вирішують задачу. Задача ППР104 вирішується з метою керування собівартістю промислової продукції.
1.3 Періодичність, тривалість рішення задачі і терміни подачі вихідної інформації. Задача ППР104 вирішується щомісяця при плануванні виробництва і собівартості продукції. Тривалість рішення – не більше 1 години. Вихідна інформація готова відразу після рішення задачі.
1.4 Вимоги до організації, збору, і передачі в обробку вхідної інформації. Вихідні дані повинні мати вигляд, представлених у Додатку А даної роботи, затверджуються плановим відділом щомісяця перед рішенням задачі.
Відповідальність за вірогідність, повноту і своєчасність подачі інформації несе планово-економічний відділ.
1.5 Умови, при яких припиняється рішення задачі. Рішення задачі ППР104 припиняється, якщо:
відсутня або неповна, некоректна вхідна інформація;
виявлено помилки в інформаційній базі;
відсутнє енергозабезпечення ЕОМ;
вийшло з ладу програмне та/або апаратне забезпечення АРМ керівника промислового підприємства (начальника виробництва).
1.6 Зв'язки даної задачі з іншими задачами. Задача ППР104 інформаційно пов'язана з задачами прийняття рішень по інших видах продукції, мінімізації відхилення фактичних показників собівартості від планових.
Інформаційна модель задачі ППР104 представлена на рисунку 3.3.
Рисунок 3.3 – Інформаційна модель задачі ППР104
1
.7
Розподіл
функцій між персоналом і технічними
засобами при різних ситуаціях рішення
задачі.
Задача ППР104 вирішується в режимі діалогу
«ЕОМ – керівник». Дії керівника визначає
інтуїтивно зрозумілий інтерфейс ІСППР,
що підказує користувачеві можливі
варіанти дій.
2. Вхідна, вихідна інформація, математична модель
Вхідна інформація повинна відповідати параметрам, представленим у Додатку А.
Вихідна інформація повинна бути представлена у виді таблиць 2.11 і 2.12, представлених у розділі 2 даної роботи.
Математична модель представлена в пункті 2.2 даної роботи.
3. Алгоритм рішення задачі
У даному випадку алгоритм рішення задачі являє собою опис логіки і способу формування результатів рішення відповідно виконання етапів розрахунку. Укрупнена блок-схема алгоритму представлена на рисунку 3.4.
Р
исунок
3.4 – Блок-схема алгоритму рішення задачі
ППР104
3.3 Розробка інтерфейсу інформаційної системи
Розроблений інтерфейс також доцільно розглянути як сукупність інтерфейсів п'яти підсистем ІСППР «Product Solution Assistant»
1. Підсистема управління
Містить у собі наступні елементи: заставку, відомості про автора, головне меню, сторінку результатів (можливих рішень).
Заставка являє собою лист, сторінку або форму, що користувач бачить першою при запуску програми. Вона може мати як чисто декоративні елементи, так і нести на собі деяку інформацію, наприклад, назву інформаційної системи, її версію, логотип компанії власника і розроблювача, відомості про користувача – ім'я, компанія, серійний номер і багато чого іншого. Заставка ІСППР «Product Solution Assistant» представлена на рисунку 3.5.

Рисунок 3.5 – Заставка ІСППР «Product Solution Assistant»
Відомості про автора являють собою екранну форму, на якій відображаються короткі відомості про розроблювача програмного забезпечення, можливо телефон, фотографія й інша рекламна інформація. Екранна форма з відомостями про розроблювача даної ІСППР представлена на рисунку 3.6.

Рисунок 3.6 – Відомості про автора
Головне меню являє собою основу всього графічного інтерфейсу системи. Саме на нього попадає користувач після заставки. З головного меню здійснюється взаємодія користувача з усіма підсистемами, функціями і можливостями програми. В ІСППР «Product Solution Assistant» головне меню дозволяє користувачеві перейти до введення й обробки вихідних даних, перейти до підсистеми моделювання, графічного аналізу, фінансового аналізу, до сторінки результатів і вийти з програми. Переключення між елементами ІСППР проводиться за допомогою кнопок і перемикачів.

Рисунок 3.7 – Головне меню
Структура і функції сторінки результатів буде розглянута пізніше, після розгляду підсистем, що забезпечують прийняття рішення.
2. Підсистема фінансового аналізу
Підсистема фінансового аналізу включає в себе як вихідні дані сторінку, куди користувач вводить дані з бухгалтерського балансу (ф.1) і Звіту про фінансовий стан підприємства (ф.2). Форма для введення даних цілком копіює структуру вищезгаданих документів, тому користувачеві легко вводити дані, відповідно їх економічному значенню. Далі ідуть сторінки, на яких автоматично проводяться експрес-аналіз підприємства, аналіз ліквідності балансу і розрахунок фінансових коефіцієнтів. Головна сторінка підсистеми надає користувачеві можливість вибрати вид аналізу, перейти до введення даних, повернутися в головне меню системи.

Рисунок 3.8 – Підсистема фінансового аналізу
3. Підсистема обробки вихідних даних
Вихідні дані необхідні для моделювання, побудови графіків, одержання результатів і видачі рекомендацій користувачеві системи, тому дана підсистема повинна бути досить могутньою, надійною і зручною для роботи користувача. В ІСППР «Product Solution Assistant» дані про динаміку собівартості продукції вводяться у виді таблиць, представлених у Додатку А. Для кожного виду продукції використовується окремий лист, у такий спосіб досягається тривимірність масиву даних. Головна сторінка (рисунок 3.9) підсистеми дозволяє перейти до редагування первинних даних або відразу перейти до масиву укрупнених факторних ознак (рисунок 3.10), отриманих при перевірці елементів собівартості на наявність властивостей мультиколінеарності.

Рисунок 3.9 – Головна сторінка підсистеми обробки даних

Рисунок 3.10 – Массив агрегованих факторів
На цій сторінці також можна перейти до перегляду графіків, що обумовлює зв'язок цієї підсистеми з підсистемою графічного аналізу, а також перейти до сторінки результатів.
3. Підсистема моделювання
Підсистема моделювання є однією з головних, найбільш функціонально насичених підсистем. Результати розрахунків, проведених у ній являються основою для прийняття управлінських рішень користувачем, тобто керівником. Підсистема моделювання містить у собі головну сторінку (рисунок 3.11) і сторінки розрахунків по видах продукції (рисунок 3.12).

Рисунок 3.11 – Головна сторінка підсистеми моделювання

Рисунок 3.12 – Сторінка розрахунків підсистеми моделювання
На головній сторінці користувачеві пропонується ознайомитися з використовуваною моделлю і системою нормальних рівнянь, а також вибрати вид продукції, динаміку собівартості якої користувач хоче промоделювати. Для цього необхідно вибрати один з перемикачів з назвою виду продукції і натиснути кнопку «Моделювання». Відкриється сторінка моделювання даного виду продукції. На ній містяться розрахунки, необхідні для введення даних у надбудову MS Excel «Пошук рішення», а саме введені формули обмежень (системи нормальних рівнянь). При виклику надбудови дані автоматично перераховуються і користувач одержує нові параметри регресійного рівняння. Натиснувши на кнопку «Результати», користувач перейде до сторінки результатів, де розраховані параметри будуть інтерпретовані для можливого ухвалення рішення.
Ця підсистема тісно зв'язана з підсистемою графічного аналізу, тому що для ухвалення рішення використовуються розрахункові дані з них обох.
5. Підсистема графічного аналізу
Розрахункові дані з цієї підсистеми також враховуються користувачем при виборі рішення на сторінці результатів. Особливістю даної системи являється те, що дані ці отримано шляхом побудови графіків часових рядів, їхніх трендів, рівнянь трендів і ін. Головна сторінка (рисунок 3.13) дозволяє вибрати види графіків і відображати їх по обраному виду продукції, повернутися в головне меню і перейти до сторінки результатів. Також деякі графіки можна відобразити з підсистеми обробки вихідних даних.

Рисунок 3.13 – Головна сторінка підсистеми графічного аналізу

Рисунок 3.14 – Елемент підсистеми графічного аналізу
І, нарешті, найбільш інформативна сторінка для особи, що приймає рішення – сторінка результатів. На неї користувач потрапляє з головного меню, або після проведеного моделювання на сторінках підсистеми моделювання і графічного аналізу. Таблиця на цій сторінці містить комплексні дані для оцінювання можливих рішень. При виборі виду продукції і натисканні кнопки «Рішення» програма автоматично сформує кілька рекомендацій, що користувач може прийняти як математично обґрунтоване керівництво до дії.

Рисунок 3.15 – Сторінка результатів
Елементи ІСППР «Product Solution Assistant» розроблені в редакторі Visual Basic for Applications. Лістинги модулів, що відповідають за переключення між сторінками ІСППР, за роботу перемикачів, створення загального середовища і вихід із програми приведені в Додатку Б.
РОЗДІЛ 4. Охорона праці
Головним документом, що встановлює єдиний порядок функціонування системи управління охороною праці на підприємствах є Галузева (типова) Система управління охороною праці для підприємств Мінпромполітики (СУОП). При створенні даного нормативного акта використовувалися наступні документи: ЗУ «Про охорону праці», Кодекс законів про працю України, ДНАОП 0.00-4.21-93 «Типове положення про службу охорони праці», затв. наказом Держнаглядохоронпраці від 03.08.92 р. № 73 і ін.
Вимоги даного нормативного акта є обов'язковими для всіх підприємств, що відносяться до сфери керування Мінпромполітики України незалежно від їхньої організаційно-правової структури, форми власності і видів діяльності.
Типова система встановлює єдиний порядок діяльності керівників підприємств, керівників структурних підрозділів і інших посадових осіб з питань охорони праці: цільові задачі і функції структурних підрозділів, обов'язки посадових осіб, порядок планування профілактичної роботи, систему контролю за станом охорони праці і дотриманням працюючих вимог правил, норм і інструкцій з охорони праці; порядок проведення обліку і звітності по проведеній у структурному підрозділі й у цілому на підприємстві профілактичній роботі з охорони праці у виробничих підрозділах, оцінки ефективності функціонування СУОП, а також основні положення економічного регулювання і мотивації роботи з охорони праці на підприємстві.
На підставі Типової системи на підприємствах розробляється і впроваджуються (у формі положень, стандартів підприємства) Системи управління охороною праці, що враховують структуру керування і специфіку роботи підприємства.
Далі роз'ясняються деякі терміни, застосовувані в нормативних актах по охороні праці.
Управління охороною праці – це підготовка, прийняття і реалізація правових, організаційних, інженерно-технічних, санітарно-гігієнічних, лікувально-профілактичних і соціально-економічних заходів, спрямованих на забезпечення життя, здоров'я і працездатності людини в процесі його трудової діяльності.
Система управління охороною праці (СУОП) – це регламентована нормативними актами й організаційно-розпорядницькими документами, сукупність взаємопов'язаних мерь управлінських рішень, спрямованих на комплексне, програмно-цільове забезпечення охорони праці на виробництві.
Нормативне забезпечення охорони праці – необхідного і достатній (оптимальний) для даного виробничого об'єкта (цеху, ділянки, установки), виробничого процесу або виду робіт комплекс заходів для охорони праці працюючих, регламентованим державним міжгалузевим і галузевим нормативним актами, а також, розроблювальними на їхній основі нормативними актами підприємства.
Інформаційне забезпечення СУОП – забезпечення наявності в процесі функціонування Системи, повної й об'єктивної інформації про стан об'єкта керування, методів її обробки для одержання цільової й узагальненої інформації, використовуваної для прийняття управлінських рішень.
Система контролю – комплекс заходів, спрямованих на реалізацію цілей і задач контролю, а також передбачають раціональне сполучення найбільш прийнятних і ефективних в умовах даного підприємства видів і напрямків контролю.
Керівник підприємства – власник або посадова особа від імені власника керуючим підприємством.
Розглянемо основні положення Типової системи:
Система управління охороною праці є цільовою підсистемою загальної системи управління виробництвом. Вона охоплює всі сторони його виробничо-господарської діяльності, колективи структурних підрозділів, технічні засоби, матеріальні і фінансові ресурси, що відповідають потоки інформації.
Метою управління охороною праці є створення в кожнім структурному підрозділі і на кожному робочому місці умов праці, що відповідають вимогам нормативних актів, створення передумов для неухильного зниження показників виробничого травматизму, професійній захворюваності й аварійності.
Основною задачею СУОП є організаційно-технічне забезпечення процесів формування безпечних і здорових умов праці на виробництві, упорядкування і систематизація, на основі загальних принципів управління виробництвом, проведеної на підприємстві профілактичної роботи з охорони праці, підвищення її ефективності і цілеспрямованості за рахунок раціонального і планомірного використання всіх організаційних, технічних і економічних ресурсів підприємства.
Принципи, на яких базується СУОП:
Пріоритет життя і здоров'я працюючих стосовно результатів виробничої діяльності підприємства, повна відповідальність керівника підприємства і керівників структурних підрозділів за створення безпечних і здорових умов праці на виробництві;
Тверда матеріальна залежність між виробничою програмою і комплексом заходів і засобів безпечної її реалізації;
Адекватність заходів і засобів, спрямованих на охорону праці, рівневі потенційної небезпеки виробничих об'єктів і фактичному станові умов праці на них;
Встановлення прямої залежності системи пільг і стимулів, економічних санкцій від стану охорони праці на конкретній ділянці виробництва, на конкретному робочому місці;
Соціальний захист працюючих від нещасних випадків і професійних захворювань на виробництві;
Формування свідомого відношення працівників підприємства до питань охорони праці і безпеки виробництва, широкого використання засобів пропаганди;
Впровадження передового досвіду, постійне здійснення Системи.
Забезпечення безпеки праці – обов'язок кожного працівника. Кожен працівник несе відповідальність за свою безпеку, безпеку інших і підприємства в цілому. Щоб уникнути важких наслідків, гуманніше звільнити злісного порушника правил, норм, інструкцій з охорони праці, чим дочекатися, поки він нанесе шкоду своєму здоров'ю, здоров'ю навколишніх, збиток виробництву.
Усі можливі виробничі травми, і аварії можуть і повинні бути вчасно відвернений – такий основний принцип СУОП, що не знімає відповідальності з посадових осіб за невиконання ними своїх обов'язків по створенню безпечних умов праці на виробництві.
Розглянемо систему контролю за станом охорони праці і функціонуванням СУОП на підприємстві і загальний порядок організації і проведення контролю.
Контроль є однією з найважливіших, найбільш відповідальних і трудомістких функцій СУОП, що дозволяє одержувати оперативну і достовірну інформацію про стан охорони праці на тій або іншій ділянці виробництва або в цілому на підприємстві, про проведену на цьому підприємстві профілактичній роботі.
Метою контролю є попередження і виявлення на стадіях проектування, будівництва, реконструкції і поточній експлуатації виробничих об'єктів порушень вимоги стандартів, норм і правил охорони праці і безпеки виробництва, а також перевірка виконання службами, посадовими особами і робітниками обов'язків у сфері охорони праці, регламентованих СУОП.
Система контролю передбачає реалізацію і раціональне сполучення наступних видів контролю:
попереджувальний контроль;
особистий контроль (самоконтроль) на робочому місці;
оперативний контроль на рівні безпосередніх керівників робіт;
контроль на рівні керівництва виробничого підрозділу;
контроль на рівні керівництва підприємства;
цільові перевірки;
комплексні обстеження;
контроль за дотриманням працюючих вимог правил, норм і інструкцій з охорони праці;
суспільний контроль.
Відповідальність за організацію і здійснення контролю в структурних підрозділах підприємства несуть керівники цих підрозділів. Для обліку і наступного аналізу результатів контролю на підприємстві вводиться Журнал контролю за станом умов і безпеки праці виробничого підрозділу.
Розглянемо деякі види контролю докладніше.
Попереджувальний контроль здійснюється фахівцями підприємства з залученням спеціалізованих організацій, а також представників місцевих органів державного нагляду і профспілкової організації. Такий контроль припускає: вибіркову перевірку окремих технічних проектів, організацію перевірки виробничих об'єктів, організацію перевірки устаткування, машин і механізмів. Для проведення зазначених робіт наказом директора підприємства призначається комісія, із вказівкою об'єктів перевірки і членів комісії. Керівництво роботою комісії здійснює головний інженер – голова комісії.
Особистий контроль (самоконтроль) на робочому місці припускає, що кожен робітник зобов'язаний проводити самоконтроль безпеки праці на своєму робочому місці перед початком роботи (зміни) і після закінчення роботи (зміни). Об'єкти самоконтролю і порядок його здійснення для кожної професії працюючого на підприємстві або виду робіт повинні бути зазначені в розроблювальних на підприємстві інструкціях з охорони праці.
Оперативний контроль на рівні керівництва виробничого підрозділу. Керівник виробничого підрозділу (начальник виробництва, цеху, ділянки):
щодня потребує від підпорядкованих інженерно-технічних працівників інформацію про стан технологічного процесу, устаткування, засобів контролю й автоматики;
не рідше одного разу в тиждень на всіх ділянках знайомиться з записами в Журналі прийому і здачі зміни й у Журналі контролю за станом умов і безпеки праці.
Контроль на рівні керівництва підприємства зобов'язує керівника підприємства:
на оперативній нараді заслуховувати інформацію начальника відділу охорони праці і керівників виробничих підрозділів;
не рідше одного разу в півріччя розглядати виконання річного плану комплексних заходів щодо охорони праці і недоліки в роботі, у рамках діючої на підприємстві СУОП.
Результати розгляду оформляються протоколом, при необхідності видається наказ.
Контроль за дотриманням працюючих вимог правил, норм і інструкцій з охорони праці здійснюється на всіх рівнях управління і є обов'язком кожного керівника й інженерно-технічного працівника підприємства. Даний вид контролю повинен здійснюватися щодня, протягом робочого дня (зміни) при проведенні оперативного контролю й інших видів контролю.
Профілактичну роботу з порушниками в цілому по підприємству організує служба охорони праці. Вона аналізує на підприємстві випадки порушень що трапились, виявляє їхні причини, здійснює контроль за вживанням заходів до порушників.
Суспільний контроль відповідно до ЗУ «Про охорону праці» здійснюють трудові колективи виробничих підрозділів через уповноважених, профспілковий комітет через комісію з охорони праці і цехові комітети.
Облік, аналіз стану охорони праці й оцінка ефективності функціонування СУОП повинні систематично здійснюватися на всіх рівнях управління охороною праці.
Облік і аналіз вихідної інформації про стан умов і охорони праці, отриманої в результаті проведення всіх, передбачених СУОП, видів контролю і її зіставлення з нормативними вимогами дозволяє оцінити реальний стан охорони праці і прийняти відповідні керуючі впливи (рішення), спрямовані на доведення умов і охорони праця до нормативних вимог і підвищення ефективності функціонування СУОП, використовуючи при цьому, поряд з організаційно-розпорядницькими, економічні методи регулювання і мотивації роботи з охорони праці.
Організація обліку і звітності (у т.ч. статзвітності) по охороні праці в цілому по підприємству здійснюється службою охорони праці, у виробничих підрозділах - керівниками цих підрозділів.
У виробничих підрозділах (цехах, службах, ділянках) повинен вестися систематичний облік профілактичної роботи з охорони праці на рівні керівників виробничих підрозділів і фахівців, а також на рівні безпосередніх керівників робіт (старших майстрів, майстрів, начальників змін, механіків, енергетиків).
Облік проведеної у виробничих підрозділах профілактичної роботи з охорони праці (виконання, передбачених СУОП, організаційно-технічних заходів, у т.ч. виявлених порушень) повинен здійснюватися:
керівниками виробничих підрозділів - у Книзі обліку роботи з охорони праці начальника цеху;
майстрами, начальниками змін і іншими ІТП, що є безпосередніми керівниками робіт - у Журналі профілактичної роботи з охорони праці ІТП виробничого підрозділу (цеху, ділянки, служби).
Облік порушень правил, норм і інструкцій з охорони праці, крім того, здійснюється в Журналі контролю за станом умов і безпеки праці.
Розглянемо відповідальність працівників підприємства за порушення вимог по охороні праці. Кожен працюючий на підприємстві повинен додержувати виробничої дисципліни, правила, норми й інструкції з охорони праці в рамках покладених на нього обов'язків і відповідальності, регламентованих відповідними стандартами підприємства, положеннями, інструкціями й іншої, діючої на підприємстві організаційно-розпорядницькою документацією.
Працівники, винні в порушенні законодавства про працю, правил, норм і інструкцій з охорони праці, невиконанні зобов'язань за колективним договором, посадових обов'язків, регламентованих СУОП, розпоряджень органів державного нагляду і відомчого контролю, розпоряджень контролюючих служб підприємства, а також наказів і вказівок (розпоряджень) несуть, у залежності від характеру порушень і їхніх наслідків дисциплінарну, адміністративну, матеріальну або кримінальну відповідальність.
Розглянемо обов'язки по охороні праці керівників, фахівців і інших працівників підприємства.
Керівник (директор) підприємства здійснює загальне керівництво і координацію робіт з охорони праці на підприємстві забезпечуючи:
функціонування Системи управління охороною праці (СУОП);
проектування, будівництво, введення нових, реконструйованих виробничих об'єктів і експлуатацію діючих відповідно до вимог нормативних актів по охороні праці, техніці безпеки, виробничій санітарії і пожежній безпеці;
дотримання Закону України "Про охорону праці", "Кодексу законів про працю України", інших законодавчих і нормативних актів, виконання постанов і рішень Верховної Ради і Кабінету Міністрів України, розпоряджень органів державного нагляду, рішень профспілкових органів, місцевих Рад народних депутатів, наказів і розпоряджень по підприємству, що стосуються питань охорони праці;
розробку і реалізацію перспективних і річних планів робіт з охорони праці і колективного договору, їх фінансове і матеріально-технічне забезпечення, а також організацію контролю за освоєнням і використанням по призначенню коштів, виділюваних на охорону праці;
своєчасне розслідування нещасних випадків і аварій відповідно до діючого Положення і представлення за установленою формою статистичної звітності;
створення Системи контролю за станом охорони праці на підприємстві і дотриманням працюючих вимог правил, норм і інструкцій з охорони праці.
Головний інженер визначає технічну політику, перспективи розвитку і шляхи реалізації комплексних програм в усіх напрямках технічного переозброєння і реконструкції діючих виробництв підприємства, здійснює технічне керівництво й інженерно-технічне забезпечення впровадження на підприємстві СУОП. Забезпечує цілеспрямовану і погоджену діяльність усіх технічних служб (фахівців) у рамках покладених на них спеціальних функцій і конкретних задач, передбачених СУОП. Забезпечує технічний нагляд за експлуатацією потенційно небезпечних об'єктів і об'єктів підвищеної небезпеки, дотримання встановленого порядку допуску персоналу до обслуговування цих об'єктів, своєчасну координацію роботи виробничих підрозділів у випадку аварії і прийняття оперативних рішень відповідно до плану локалізації і ліквідації аварійних ситуацій і аварій.
Начальник відділу охорони праці здійснює контроль за впровадженням і функціонуванням СУОП на підприємстві й у його структурних підрозділах, організаційно-методичне керівництво, координацію діяльності всіх структурних підрозділів по створенню здорових і безпечних умов праці на виробництві, контроль за дотриманням керівниками і фахівцями законодавчих і нормативних актів по охороні праці, а також виконанням своїх посадових обов'язків, регламентованих СУОП. Організує свою роботу у взаємодії з іншими підрозділами і службами підприємства керуючись при цьому затвердженим директором підприємства Положенням про відділ охорони праці, що розроблено на основі Типового положення про службу охорони праці, затвердженого наказом Держнаглядохоронпраці від 03.08.93р. №73.
Начальник цеху здійснює впровадження і забезпечує функціонування СУОП у цеху, організує і забезпечує ведення технологічного процесу, експлуатацію устаткування, збереження, транспортування, застосування шкідливих і вибухонебезпечних речовин і матеріалів, проведення газонебезпечних, вогневих і інших робіт з підвищеною небезпекою відповідно до технологічного регламенту, технологічними картами, проектом провадження робіт і іншою документацією, даючою право на безпечне виробництво цих робіт, а також відповідно до вимог правил, норм і інструкцій з охорони праці.
Забезпечує справний стан і безпечну експлуатацію устаткування, механізмів, комунікацій, що обгороджують пристроїв і захисних пристосувань, транспортних засобів, вантажопідйомних машин і механізмів, санітарно-технічних пристроїв, а також виробничих і допоміжних приміщень, будинків і споруджень, що знаходяться на балансі цеху.
Забезпечує безпечні і здорові умови праці на робочих місцях. Уживає заходів до виключення загазованості, запиленості, знешкодженню стічних вод і шкідливих викидів, забезпеченню ефективної роботи вентиляційних і опалювальних установок, створенню оптимального мікроклімату й освітленості у виробничих приміщеннях і на робочих місцях [38].
На підприємстві ВАТ «Дніпрополімермаш», як характерно для усіх великих підприємств існує така структура побудови системи охорони праці:

Рисунок 4.1 – Структура охорони праці на підприємстві
ВИСНОВКИ
Проведений аналіз фінансового стану підприємства виявив недоліки в господарській діяльності підприємства, бо на підприємстві зросла потреба в оборотних коштах і підприємство змушене було збільшити свою кредиторську заборгованість, а також реалізувати частину своїх пасивів. Аналіз собівартості виробленої продукції по видах, показав, що майже в кожнім місяці по визначених статтях витрат має місце перевищення фактичного значення собівартості над плановим. Для покращення ефективності роботи підприємства виходячи з цього були сформовані ціль та задачі дослідження.
Поставлена мета досягнута, так як були розроблені практичні рекомендації керівництву заводу ВАТ «Дніпрополімермаш» щодо управлінських рішень по впливу на собівартість промислової продукції. Ці рекомендації підвищили математичну обґрунтованість рішень, що приймаються.
В процесі роботи були вирішені усі поставлені задачі, а саме:
у першому розділі диплому був зроблений аналіз наявних методів фінансового-економічного аналізу, проведена оцінка фінансово-економічного стану підприємства, сформульована мета та поставлені задачі дослідження.
у другому розділі проведений аналіз методів вивчення взаємозв‘язків статистичних показників, вибраний найбільш адекватний (побудови багатофакторної лінійної регресії) і на його базі розроблена комплексна економіко-математична модель.
у третьому розділі будуть описані сучасні методи розробки інформаційних систем, приведено алгоритм побудови та дано опис інтерфейсу розробленої інформаційної системи підтримки прийняття рішень «Product Solution Assistant».
У четвертому розділі наведений опис системи організації охорони праці на промисловому підпримстві.
Список використаної літератури
Visual Basic for Applications. Под редакцией Дж. Гелуэя. Самоучитель, пер. с англ. – М.: «Новое знание», 2000 г.
А. В. Калина, М. И. Конева, В. А. Ященко. Современный экономический анализ и прогнозирование. МАУП
Анализ хозяйственной деятельности / И.А. Белобежский, М.Ф. Дьячков и др. / Под ред. В.А. Белобородовой. М., Финансы и статистика, 1985
Баканов М.И., Шеремет А.Д. Теория экономического анализа. М., Финансы и статистика, 1997
В.И. Малыхин. Математическое моделирование экономики. М., 1998.
Вильямс Н.Н. Параметрическое программирование в экономике. М., «Статистика», 1976.
Григор Н.М., Клименко Н.И. и др. Методические рекомендации по формированию себестоимости продукции (работ, услуг) в промышленности. К.: КГИЭХП, 2001.
Евланов Л.Г. Теория и практика принятия решений. М.: Экономика, 1984.
Информационные системы в экономике: Учебник/ Под ред. проф. В.В. Дика. – М.: Финансы и статистика, 1996. – 27 с.;
Кини Р.Л., Райфа Х. Принятие решений при многих критериях: предпочтения и замещения. – М.: Радио и связь, 1981. – 560 стр.
Ковина М.Б., Майданчик Б.И. Внутриотраслевой анализ эффективности работы предприятий и объединений. М., Финансы, 1997
Кондраков Н.П. Основы финансового анализа. – М.: Главбух, 1998. – 112 с.
Кондрашова С.С. Інформаційні технології в управлінні: Навч. посібник. – К.: МАУП, 1998. – Бібліогр.: - 136 с. – Рос.
Коробов М.Я. Фінансово-економічний аналіз діяльності підприємств: Навч. посіб. – 3-тє вид., перероб. і доп. – К.: Т-во «Знання», КОО, 2002. – 294 с.
Математические методы в планировании материально-технического снабжения. Кулиш С.А., Воловельская С.Н., Рабинович И.А. Издательское объединение «Вища школа», 1984, 228 с.
Математические методы в планировании отраслей и предприятий. Под ред. И.Г. Попова. – М.: Экономика, 1983.
Мец В.О. Економічний аналіз (Збірник практичних завдань і тестів за даними П(С)БО): Навч. посібник. – К.:КНЕУ, 2001. – 236 с.
Н.Б. Мироносецкий. Моделирование процессов создания и выпуска новой продукции. – Новосибирск.: Наука. Сибирское отделение, 1986.
Практикум по теории статистики: Учеб. пособие/ Под ред. Проф. Р.А. Шмойловой. – М.: «Финансы и статистика», 1999. – 416 с.: ил.
Практическая статистика. С.Г. Боженова. Учеб. пособие для ВУЗов. 2-е издание – М.: Издательство московского государственного горного университета, 1998. – 462 с.
Редкозубов С.А. Статистические методы прогнозирования в АСУ. – М.: Энергоиздат, 1981. – 152 с., ил.
Савицкая Г.Ф. Теория анализа хозяйственной деятельности. М., Институт современных знаний, 1996
Савицька Г.В. Економічний аналіз діяльності підприємства: Навч. посіб. – К.:Знання, 2004. – 654 с.
Соляник Л.Г. Економічний аналіз: Навчальний посібник. – Дніпропетровськ: Національний гірничий Університет, 2003. – 199с.
Справочник по математике для инженеров и учащихся ВТУЗов. Бронштейн И.Н., Семендяев К.А.. – М.: Наука. Главная редакция физико-математической литературы, 1981.
Статистические методы повышения качества. Под ред. Х. Кумэ. – М.: «Финансы и статистика», 1990.
Сайт предприятия ОАО «Днепрополимермаш». Рекламные материалы www.polymermash.com.
Тарасенко Н.В. Економічний аналіз. Навчальний посібник. - 3-тє видання, перероблене. Львів: „Новий Світ – 2000”, 2004. – 344 ст.
Таунсенд К., Фохт Д. Проектирование и программная реализация экспертных систем на персональных ЭВМ. Пер. с англ. - М.: Финансы и статистика, 1990.- 319с.
Теория анализа хозяйственной деятельности / Под ред. А.Д. Шеремета. М., Прогресс, 1992
Трухаев Р.Н. Модели принятия решений в условиях неопределенности. М.: Наука, 1981.
Финансовый анализ в коммерческом банке/ А.Д. Шеремет, Г.Н. Щербакова. – М.: Финансы и статистика, 2001. – 256 с.: ил.
Функционально-стоимостной анализ издержек производства / Под ред. Б.И. Майданчика. М., Финансы и статистика, 1985
Цикритзис Д., Лоховски Ф. Модели данных. /Пер. с англ. - М.: Финансы и статистика, 1985. -344с.
Шелобаев С.И. Математические методы и модели в экономике, финансах, бизнесе. М., Юнити, 2000
Шеремет А.Д., Протопопов В.А. Анализ экономики промышленного производства. М. Высш. шк., 1994
Экономический анализ хозяйственной деятельности предприятий и объединений / Под ред. С.Б. Барнгольц и Г.М. Тация. М., Финансы и статистика, 1996
Отраслевая система управления охраной труда для предприятий МИНПРОМПОЛИТИКИ (типовая). Министерство промышленной политики Украины. Киев, 2000 г.
ДОДАТОК
Лістінг програми на VBA, що забезпечує роботу головного меню ІСППР
Private sub> CommandButton1_Click()
Application.Goto Reference:=Worksheets("sub>s_ishData").Range("A1"), _
Scroll:=True
End sub>
Private sub> CommandButton2_Click()
Application.Goto Reference:=Worksheets("sub>s_finance").Range("A1"), _
Scroll:=True
End sub>
Private sub> CommandButton3_Click()
Application.Goto Reference:=Worksheets("sub>s_model").Range("A1"), _
Scroll:=True
End sub>
Private sub> CommandButton4_Click()
Application.Goto Reference:=Worksheets("results").Range("A1"), _
Scroll:=True
End sub>
Private sub> CommandButton5_Click()
Application.Goto Reference:=Worksheets("sub>s_Graf").Range("A1"), _
Scroll:=True
End sub>
Private sub> CommandButton6_Click()
Application.Goto Reference:=Worksheets("zastavka").Range("A1"), _
Scroll:=True
Application.Quit
End sub>
Private sub> CommandButton7_Click()
Лист11.Activate
End sub>
=
0,813
= 0,952
= 0,973
= 0,799
=
0,796
= 0,950