Основы проектирования и строительства перерабатывающих предприятий (работа 1)
БРЯНСКАЯ ГОСУДАРСТВЕННАЯ СЕЛЬСКОХОЗЯЙСТВЕННАЯ АКАДЕМИЯ
ИНЖЕНЕРНО-ТЕХНОЛОГИЧЕСКИЙ ФАКУЛЬТЕТ
КАФЕДРА ТЕХНОЛОГИЧЕСКОГО ОБОРУДОВАНИЯ В ЖИВОТНОВОДСТВЕ И ПЕРЕРАБАТЫВАЮЩИХ ПРОИЗВОДСТВ
КУРСОВОЙ ПРОЕКТ
по дисциплине
"ОСНОВЫ ПРОЕКТИРОВАНИЯ И СТРОИТЕЛЬСТВА ПЕРЕРАБАТЫВАЮЩИХ ПРЕДПРИЯТИЙ"
Выполнил: студент группы И-521
Кожушный С.В.
Проверил: доцент Курин Ю.А.
Брянск 2009
Содержание
Введение
1. Проектирование генерального плана предприятия
3. Расчет системы водяного отопления
4. Расчет приточной вентиляции
5. Расчет водопроводной сети
6. Расчет канализационной сети
Список используемой литературы
>Введение>
Дисциплина " Проектирование предприятий отрасли" содержит общие основы проектирования новых, а также реконструкции, расширения и технического перевооружения действующих предприятий мясной и молочной промышленности, принципы размещения предприятий отрасли и перспективы её развития; современные методы проектирования, вопросы строительства и эксплуатации предприятий отрасли и их сантехнических систем.
Дисциплина является базовой при выполнении курсового и дипломного проектов.
Дисциплина содержит два раздела:
Строительное проектирование предприятий отрасли.
Технологическое проектирование предприятий отрасли.
Генеральный план предприятия - схема проектируемого объекта промышленного комплекса с расположением проектируемых и существующих зданий и сооружений, основными проездами, подъездными железнодорожными путями, озеленением и благоустройством. Разработку генеральных планов новых и реконструированных предприятий и промышленных районов ведут в соответствии с СН и П II-89-80 " Генеральные планы промышленных предприятий".
Коэффициент застройки - это отношение площади, занимаемой зданиями и крытыми сооружениями к площади всего участка.
Коэффициент использования участка - это отношение площади, на которой расположены здания, сооружения и устройства, включая дороги, склады, к площади всего участка.
Площадь озеленения принимают не менее 15% от общей территории предприятия.
>1. Проектирование генерального плана предприятия>
Генеральный план предприятия представляет собой схему проектируемого объекта промышленного комплекса с расположением проектируемых и существующих зданий и сооружений, основными проездами, подъездными железнодорожными путями, озеленением и благоустройством. Разработку генеральных планов новых и реконструируемых предприятий и промышленных районов ведут в соответствии с СН и П II-89-80 "Генеральные планы промышленных предприятий"
Разрывы между предприятиями следует назначать минимальные, исходя из условий размещения дорог, тротуаров и инженерных сетей, с соблюдением требований санитарных и противопожарных норм, но не менее 6 м.
Ширина автодорог одностороннего проезда - 4.5 м, двустороннего - 7.0 м. Тротуары должны быть изолированы от проезжей части разделительной полосой шириной 3-5 м с рядовой посадкой деревьев. Минимальная ширина тротуаров 1,5 м.
Технико-экономические показатели генерального плана зависят от площади территории, измеряемой в гектарах, коэффициентов застройки и использования участка.
Коэффициент застройки - отношение площади, занимаемой зданиями и крытыми сооружениями, к площади всего участка. Для предприятий молочной промышленности коэффициент застройки принимают в пределах 0,36-0,45.
Коэффициент использования участка - это отношение площади, на которой расположены здания и сооружения, включая дороги, склады, площади всего участка. Его принимают 0,4-0,55.
Площадь озеленения принимают не менее 15% от общей территории (коэффициент = 0,15)
Порядок выполнения работы:
Построить розу ветров.
Расположить здания и сооружения на генеральном плане.
Определить технико-экономические показатели генплана.
Вычертить генеральный план предприятия.
Методические указания.
Построение розы ветров. Розу ветров строят для города, где расположено предприятие, по данным повторяемости ветра в летний период года по направленности. Повторяемость ветра (в%) в масштабе откладывается в соответствующем направлении (по соответствующему румбу). Большему значению вектора на розе ветров соответствует господствующие направление ветра.
Расположение зданий и сооружений на генеральном плане.
Расположить здания и сооружения на генеральном плане с учетом производственных вредностей и розы ветров.
Размеры главного производственного здания, административно-бытового корпуса и вспомогательного корпуса принимаем по заданию. Размеры остальных зданий и сооружений указаны на рис.2.3.4 (с учетом масштаба) и в "общих методических указаний" и задача 1.
Технико-экономические показатели генплана.
Коэффициент застройки
>>>
>
тогда

где >>>
>
- площадь участка (территория предприятия),
га;
>>>
>
- площадь, занимаемая зданиями крытыми
сооружениями, га, и определяем по заданию
и рис.2.3.4
Коэффициент использования участка
>>>
>,
,
тогда

где >>>
>
- площадь занимаемая зданиями, сооружениями
и устройствами, включая дороги (рельсовые
и безрельсовые), склады (открытые и
закрытые), га, определяемая по заданию
и рис.2.3.4
Коэффициент озеленения >0100090000031e1400000000b60b00000000b60b000026060f006217574d46430100000000000100d4200000000001000000401700000000000040170000010000006c00000000000000000000009f0000001800000000000000000000005d1000008e02000020454d4600000100401700000c00000001000000000000000000000000000000900600001a040000b801000013010000000000000000000000000000c0b6060038320400460000002c00000020000000454d462b014001001c000000100000000210c0db010000006000000060000000460000004005000034050000454d462b224004000c000000000000001e4009000c00000000000000244001000c000000000000003040020010000000040000000000803f214007000c00000000000000084000058c040000800400000210c0db01000000000000000000000000000000000000000100000089504e470d0a1a0a0000000d49484452000000a00000001908020000003968b2c7000000017352474200aece1ce9000000097048597300000ec400000ec401952b0e1b00000408494441546843ed59318eea301075fe498268283844a26db2a2dd1b40f3451bc41910b4abdfb037d8166d9a153904c5362b7293fc19db716cc7764c8256281b3740f08cdfccb367c693a02c4b328ee17ae0cf704d1b2d430f8c040f7c1f8c04ff3a82f34d103cbf1503b77b48e6156fcf9b1c0c82cf20a0dfe401459618e714fe49cffcf7f5988889e261598ac7c9f12a0b8fdf9d1eb078d321836c987c4c59d246cd8f2e45c40a14814424fec150c9ab803cfd597d8eb4fa78403e398c1fcdd1aa927a33d808761e2e85e38a6013bd15c11218907542f3b1f6d7cda1be9528a114db2812ec5867d94eb6168af902bcc8ca5f5759725c472da9293f1dd245dba421a5b77bd8527cbe672479790a2b65e10c08cfbecc654eb42fcb8fa598db0d40b44849f6fe892b3082813842e6d316b5c5dbee3efc621dc7475d1db0077279274d33577d6282fab7f9b1515b7f24ad2049f195a9ce0da773f0f9e5dbcc70374a35298961916a4d318325031e94ef9a76d57a8e27030982beb225a6c1b4244d95e2011f256a4ce4b5446d87acad07122f90ca2416460d8f9a79cb1da2d1423e8cc15ea4057a821b7b4cdd0f87981eaef820c799bb6c34ab124c19b0b1f62c1d446bd8683ce4a822701832327b49c8e194b37f4072bedde211a987af36131c876c1fb53ddc87113e9b6fc55ec956936680635102864fa3a32aabcef3d5e467aec8346524b3b07203856bcb5a64badca6e4b0c3bb3b6491cb711d7e5f147e6fd2a6bade81e436903d18d544c3e54759f2ad4fc2e53fdcfcab57bebf95b9e8311f822ba1680f61235bfdbd5b178487060c0f1338b1da809d2952750c843bb2161e7134921e5f7385e2d6d619493b48719634f3a4fddb8b7c4746c72528c1b4acf349fa98bb6ddba5034a53fba456d3b88f398acbf009c3741cc3f18dcc40dcda3a23f100d9f46e4b4aece0c946855c54418c11ec8c80f27a94611e0ebbe0f094a13e1169d54728c4304d52e3f1bd5d5bbda243d6572df32ebbb4d041637bd7eb2654edda9d414b406c0ddc43ac6462b9da7279b65680c686a65ca5725bac1d97b6da55eff7e06f438b0501361feb9d056a9e2c2f6beb81c413a4da106c8063e81a5658aa68edb1a52f56f3e9e864b5f5a21193e4290305b68b15434507b54b5a496ff828f3f4bb84d0a378a7d6aef558eb7329e6f746222970f61f5dad68956079a6ea266ebeb2a4bd5dcd8d77f7a2dbba8a0a83f58f0ae3d8d56c73a02b7c7ac99a2629e1b8aea2a1fa3ea7504d36de37f9a440750e2de4612c4e3f73abba1de12349604a36170f5d50428e8652f32a0a52e59a847dd0eb6ce7ff3e186a2e7105439cd8ed84b792e3eb647f6af24d4ccee25aeb2f679849df079f165a2fbb73206864041ef4951c3206e9befeed2b1f80825edb66147e6c0fdcd2c97a6c4b4674460f8c040f7c63fc07d0b2203de112f72b0000000049454e44ae426082000840010824000000180000000210c0db01000000030000000000000000000000000000001b40000040000000340000000100000002000000000000bf000000bf000020430000c84103000000000080b3000080b3ffff1f43000080b3000080b3ffffc7412100000008000000620000000c00000001000000150000000c00000004000000150000000c00000004000000510000009c10000000000000000000009f0000001800000000000000000000000000000000000000a00000001900000050000000ac000000fc000000a00f0000000000002000cc00a00000001900000028000000a0000000190000000100080000000000000000000000000000000000210000000000000000000000ffffff00bfffff0000007400df9c48009cdfff00bf744800489cdf0074000000ffffbf000074bf00dfffff0000489c00000048009c480000ffffdf00ffbf7400bf74000048000000ffdf9c004800740074bfff0074004800744848000048740048489c00004848004848480074007400489c9c00bfffbf00dfdf9c0074bfbf00010101010101010101010101010101010101010101010101010101010101010101010101010101010101010101010101010101010101010101010101010101010101010101010101010101010101010101010101010101010101010101010101010101010101010101010101010101010101010101010101010101010101010101010101010101010101010101010101010101010101010101010101010101010101010101010101010101010101010101010101010101010101010101010101010101010101010101010101010101010101010101010101010101010101010101010101010101010101010101010101010101010101010101010101010101010101010101010101010101010101010101010101010101010101010101010101010101010101010101010101010101010101010101010101010101010101010101010101010101010101010101010101010101010101010101010101010101010101010101010101010101010101010101010101010101010101010101010101010101010101010101010101010101010101010101010101010101010101010101010101010101010101010101010101010101010101010101010101010101010101010101010101010101010101010101010101010101010101010101010101010101010101010101010101010101010101010101150000121301070000001101010101010101010101010101010101010101010101010101010101010101010101010101010101010101010101010101010101010101010101010101010101010101010101010101010101010101010101010101010101010101010101010101010101010101010101010101010101010101010101010101010101010101010101010101050d040101010101010101010101010203100115080907040102141301010101010101010101010101010101010101010101010101010101010101010101010101010101010101010101010101010101010101010101010101010101010101010101010101010101010101010101010101010101010101010101010a10010101010101010101010101010101010101010101010107080901010101010101010a080901010101010101010101010101150e0f01021413010101021413010101010101010101010101010101010101010101010101010101010101010101010101010101010101010101010101010101010101010101010101010101010101010101010101010101010101010101010101010101010101010101010102031001010101010101010101010101010101010101010101010203040101010101010708090101010101010101010101010101150e0f010214130107000809010101010101010101010101010101010101010101010101010101010101010101010101010101010101010101010101010101010101010101010101010101010101010101010101010101010101010101010101010101010101010101010101010a0e0f010101010101010101010101010101010101010101010102030401010101050d100101010b0c000008090101050d00081e031001150809010101021413010101010102030000110107000012130101150000000809010101010102030008090101010a00000e0f01011500000008090102030000110107000012130101150000000809010101150000000809010101010101010b0c00000809010101010a0809010b0c0000000000080901010203000000121301010101011512130101010a0e0f010101010b0c08090101010700110101050d00001001150000000e0f010101010101020311010101071213010115001101010203100101010101051609010101010b0c0e0f01011500110101020310010203110101010712130101150011010102031001150011010102031001010101010b0c1213010712130101010a08090101010115000401010101010a121301010a001001010101020304010102031101010101010b0c08090101020312130101010101010101010101010101010101010101020311010101071213010b0c080901010101010101010101021c09010a11010b0c0e0f010b0c0809010101010101020311010101071213010b0c080901010101010b0c08090101010101010101010115000401010203110101010101010101010115000401010101010a0401010102030e0f010101010a0e0f01050d0401010101010b0c08090101150011010101010101010101010101010101010101010101020311010101071213010203110101010101010101010101021c09050d12130b0c0e0f01020311010101010101010203110101010712130102031101010101010102031101010101010101010101010712130101010a080901010101010101010115000401010101010101010101010a0809010101010712130115001001010101010b0c080901010a1213010101010101010101010101010101010101010101020300000000001213010203000000000000040101010101021c09070820110b0c0e0f01020300000000000004010203000000000012130102030000000000000402030000000000000401010101010a080901010107121301010101010101010115000401010101010101010101010a1213010101011512130115001001010101010b0c080901150004010101010101010101010101010101010101010101010203110101010712130102030e0f01011500100101010101021c1e03040b191f0c0e0f0102030e0f0101150010010203110101010712130102030e0f010115001002030e0f0101150010010101010b0c0809010101070010010101010101010101150004010101010101010101010b0c0809010101011500100115001001010101010b0c0000001213010101010101010101010101010101010101010101010102031101010107121301010a080901010712130101010101021c1d08090115110a0e0f01010a080901010712130102031101010107121301010a08090101071213010a08090101071213010101010b0c080901010107001001010101010101010115000401010101010b0c110101070004010101010115121301050d0401010101010b0c0809010a0401010101010101010101010101010101010101010101010203110101010712130101050d110102030e0f01010101010517181101010b191a0e0f0101050d110102030e0f010203110101010712130101050d110102030e0f01050d110102030e0f010101010b0c0809010101070010010101010101010101150004010101010102031b000000040101010101010712130102031101010101010b0c08090105160901010101010101010101010101010101010101010102030000110107000012130101020300000e0f010101010102030012130101011500000e0f0101020300000e0f0102030000110107000012130101020300000e0f010101020300000e0f0101010101010a08090101010a12130101010101010101011500040101010101020304010101010101010101010a0e0f01010a0e0f010101010b0c080901010a10010101010101010101010101010101010101010101010101010101010101010101010101010101010101010101010101010101010101010101010101010101010101010101010101010101010101010101010101010101010101010101010101010101010107121301010b0c08090101010101010101011500040101010101020304010101010101010101020304010101050d10010101010b0c0809010115110101010101010101010101010101010101010101010101010101010101010101010101010101010101010101010101010101010101010101010101010101010101010101010101010101010101010101010101010101010101010101010101010101010101050d04010102030e0f0101010101011512131500040101010101020304010101010101010101151213010101010708090101010b0c12130101021413150e0f01010101010101010101010101010101010101010101010101010101010101010101010101010101010101010101010101010101010101010101010101010101010101010101010101010101010101010101010101010101010101010101010101010a0809010a001001010101010101010b0c000004010101010102030401010101010101010203040101010101010a0809010b0c000008090101050d000e0f0101010101010101010101010101010101010101010101010101010101010101010101010101010101010101010101010101010101010101010101010101010101010101010101010101010101010101010101010101010101010101010101010101010700000010010101010101010101010102030401010101010203000000000011010102030401010101010101010203040101010101010101010101010101010101010101010101010101010101010101010101010101010101010101010101010101010101010101010101010101010101010101010101010101010101010101010101010101010101010101010101010101010101010101010101010101010101010101010101010101010101010101010101010101010101010101010105060107080901010101010101010101010101010101010101010101010101010101010101010101010101010101010101010101010101010101010101010101010101010101010101010101010101010101010101010101010101010101010101010101010101010101010101010101010101010101010101010101010101010101010101010101010101010101010101010101010101010101010101010101010101010101010101010101010101010101010101010101010101010101010101010101010101010101010101010101010101010101010101010101010101010101010101010101010101010101010101010101010101010101010101010101010101010101010101010101010101010101010101010101010101010101010101010101010101010101010101010101010101010101010101010101010101010101010101010101010101010101010101010101010101010101010101010101010101010101010101010101010101010101010101010101010101010101010101010101010101010101010101010101010101010101010101010101010101010101010101010101010101010101010101010101010101010101010101010101010101010101010101010101010101010101010101010101010101010101010101010101010101010101010101010101010101010101010101010101010101010101010101010101010101010101010101010101010101010101010101010101010101010101010101010101010101010101010101010101010101010101010101010101010101010101010101010101010101010101010101010101010101010101010101010101010101010101010101010101010101010101010101010101010101010101010101014c0000006400000000000000000000009f000000180000000000000000000000a0000000190000002900aa0000000000000000000000803f00000000000000000000803f0000000000000000000000000000000000000000000000000000000000000000220000000c000000ffffffff460000001c00000010000000454d462b024000000c000000000000000e000000140000000000000010000000140000000400000003010800050000000b0200000000050000000c021900a000030000001e000400000007010400040000000701040033080000410b2000cc001900a000000000001900a0000000000028000000a0000000190000000100080000000000000000000000000000000000210000000000000000000000ffffff00bfffff0000007400df9c48009cdfff00bf744800489cdf0074000000ffffbf000074bf00dfffff0000489c00000048009c480000ffffdf00ffbf7400bf74000048000000ffdf9c004800740074bfff0074004800744848000048740048489c00004848004848480074007400489c9c00bfffbf00dfdf9c0074bfbf00010101010101010101010101010101010101010101010101010101010101010101010101010101010101010101010101010101010101010101010101010101010101010101010101010101010101010101010101010101010101010101010101010101010101010101010101010101010101010101010101010101010101010101010101010101010101010101010101010101010101010101010101010101010101010101010101010101010101010101010101010101010101010101010101010101010101010101010101010101010101010101010101010101010101010101010101010101010101010101010101010101010101010101010101010101010101010101010101010101010101010101010101010101010101010101010101010101010101010101010101010101010101010101010101010101010101010101010101010101010101010101010101010101010101010101010101010101010101010101010101010101010101010101010101010101010101010101010101010101010101010101010101010101010101010101010101010101010101010101010101010101010101010101010101010101010101010101010101010101010101010101010101010101010101010101010101010101010101010101010101010101010101010101010101010101010101010101150000121301070000001101010101010101010101010101010101010101010101010101010101010101010101010101010101010101010101010101010101010101010101010101010101010101010101010101010101010101010101010101010101010101010101010101010101010101010101010101010101010101010101010101010101010101010101010101050d040101010101010101010101010203100115080907040102141301010101010101010101010101010101010101010101010101010101010101010101010101010101010101010101010101010101010101010101010101010101010101010101010101010101010101010101010101010101010101010101010a10010101010101010101010101010101010101010101010107080901010101010101010a080901010101010101010101010101150e0f01021413010101021413010101010101010101010101010101010101010101010101010101010101010101010101010101010101010101010101010101010101010101010101010101010101010101010101010101010101010101010101010101010101010101010102031001010101010101010101010101010101010101010101010203040101010101010708090101010101010101010101010101150e0f010214130107000809010101010101010101010101010101010101010101010101010101010101010101010101010101010101010101010101010101010101010101010101010101010101010101010101010101010101010101010101010101010101010101010101010a0e0f010101010101010101010101010101010101010101010102030401010101050d100101010b0c000008090101050d00081e031001150809010101021413010101010102030000110107000012130101150000000809010101010102030008090101010a00000e0f01011500000008090102030000110107000012130101150000000809010101150000000809010101010101010b0c00000809010101010a0809010b0c0000000000080901010203000000121301010101011512130101010a0e0f010101010b0c08090101010700110101050d00001001150000000e0f010101010101020311010101071213010115001101010203100101010101051609010101010b0c0e0f01011500110101020310010203110101010712130101150011010102031001150011010102031001010101010b0c1213010712130101010a08090101010115000401010101010a121301010a001001010101020304010102031101010101010b0c08090101020312130101010101010101010101010101010101010101020311010101071213010b0c080901010101010101010101021c09010a11010b0c0e0f010b0c0809010101010101020311010101071213010b0c080901010101010b0c08090101010101010101010115000401010203110101010101010101010115000401010101010a0401010102030e0f010101010a0e0f01050d0401010101010b0c08090101150011010101010101010101010101010101010101010101020311010101071213010203110101010101010101010101021c09050d12130b0c0e0f01020311010101010101010203110101010712130102031101010101010102031101010101010101010101010712130101010a080901010101010101010115000401010101010101010101010a0809010101010712130115001001010101010b0c080901010a1213010101010101010101010101010101010101010101020300000000001213010203000000000000040101010101021c09070820110b0c0e0f01020300000000000004010203000000000012130102030000000000000402030000000000000401010101010a080901010107121301010101010101010115000401010101010101010101010a1213010101011512130115001001010101010b0c080901150004010101010101010101010101010101010101010101010203110101010712130102030e0f01011500100101010101021c1e03040b191f0c0e0f0102030e0f0101150010010203110101010712130102030e0f010115001002030e0f0101150010010101010b0c0809010101070010010101010101010101150004010101010101010101010b0c0809010101011500100115001001010101010b0c0000001213010101010101010101010101010101010101010101010102031101010107121301010a080901010712130101010101021c1d08090115110a0e0f01010a080901010712130102031101010107121301010a08090101071213010a08090101071213010101010b0c080901010107001001010101010101010115000401010101010b0c110101070004010101010115121301050d0401010101010b0c0809010a0401010101010101010101010101010101010101010101010203110101010712130101050d110102030e0f01010101010517181101010b191a0e0f0101050d110102030e0f010203110101010712130101050d110102030e0f01050d110102030e0f010101010b0c0809010101070010010101010101010101150004010101010102031b000000040101010101010712130102031101010101010b0c08090105160901010101010101010101010101010101010101010102030000110107000012130101020300000e0f010101010102030012130101011500000e0f0101020300000e0f0102030000110107000012130101020300000e0f010101020300000e0f0101010101010a08090101010a12130101010101010101011500040101010101020304010101010101010101010a0e0f01010a0e0f010101010b0c080901010a10010101010101010101010101010101010101010101010101010101010101010101010101010101010101010101010101010101010101010101010101010101010101010101010101010101010101010101010101010101010101010101010101010101010107121301010b0c08090101010101010101011500040101010101020304010101010101010101020304010101050d10010101010b0c0809010115110101010101010101010101010101010101010101010101010101010101010101010101010101010101010101010101010101010101010101010101010101010101010101010101010101010101010101010101010101010101010101010101010101010101050d04010102030e0f0101010101011512131500040101010101020304010101010101010101151213010101010708090101010b0c12130101021413150e0f01010101010101010101010101010101010101010101010101010101010101010101010101010101010101010101010101010101010101010101010101010101010101010101010101010101010101010101010101010101010101010101010101010a0809010a001001010101010101010b0c000004010101010102030401010101010101010203040101010101010a0809010b0c000008090101050d000e0f0101010101010101010101010101010101010101010101010101010101010101010101010101010101010101010101010101010101010101010101010101010101010101010101010101010101010101010101010101010101010101010101010101010700000010010101010101010101010102030401010101010203000000000011010102030401010101010101010203040101010101010101010101010101010101010101010101010101010101010101010101010101010101010101010101010101010101010101010101010101010101010101010101010101010101010101010101010101010101010101010101010101010101010101010101010101010101010101010101010101010101010101010101010101010101010101010105060107080901010101010101010101010101010101010101010101010101010101010101010101010101010101010101010101010101010101010101010101010101010101010101010101010101010101010101010101010101010101010101010101010101010101010101010101010101010101010101010101010101010101010101010101010101010101010101010101010101010101010101010101010101010101010101010101010101010101010101010101010101010101010101010101010101010101010101010101010101010101010101010101010101010101010101010101010101010101010101010101010101010101010101010101010101010101010101010101010101010101010101010101010101010101010101010101010101010101010101010101010101010101010101010101010101010101010101010101010101010101010101010101010101010101010101010101010101010101010101010101010101010101010101010101010101010101010101010101010101010101010101010101010101010101010101010101010101010101010101010101010101010101010101010101010101010101010101010101010101010101010101010101010101010101010101010101010101010101010101010101010101010101010101010101010101010101010101010101010101010101010101010101010101010101010101010101010101010101010101010101010101010101010101010101010101010101010101010101010101010101010101010101010101010101010101010101010101010101010101010101010101010101010101010101010101010101010101010101010101010101010101010101010101010101010101010c00000040092900aa000000000000001900a00000000000040000002701ffff030000000000>

где >>>
>
- площадь, занимаемая под озеленения.
Генеральный план предприятия. В масштабе 1: 1000 выполнить генеральный план предприятия (мясокомбината или гормолзавода). Роза ветров изображается в левом верхнем углу генплана. Графическая часть выполняется на стандартном листе чертежной бумаги (формат № 24) в карандаше с соблюдением правил строительного чертежа и ЕСКД.
Расчет:
Исходные данные:
Место строительства, город Иркутск
Повторяемость ветра для летнего периода
|
Части света |
с |
св |
в |
юв |
ю |
юз |
з |
сз |
|
Повторяемость,% |
4 |
2 |
5 |
32 |
9 |
6 |
18 |
24 |
Размеры главного производственного здания 72х24 м
Размеры административно-бытового корпуса 48х12 м
Размеры вспомогательного корпуса 48х18 м
а) Построение розы ветров

б) Расположить здания и сооружения на генплане. В качестве источника выделения вредных веществ принять котельную. Она должна располагаться так, чтобы дымовой факел не попадал на главное производственное здание;
в) Определим технико-экономические показатели генплана.
Принимаем К>з> =0,42
Находим:
F>1>=1728+576+864+192+3960+432+672+216+392+288+117=9437 м2.
Определяем:
F>уч>=9437/0,42=22469 м2.
Принимаем К>иу>=0,55.

Отсюда
>>>
>м2
Площадь озеленения (при К>оз>=0,15) составляет:
>>>
>22469·0,15=3370
м2
>2. Конструирование промышленного здания>
Исходные данные:
Место строительства, город Иркутск
Расчетные температуры наружного и внутреннего воздуха
>>>
>
Глубина промерзания грунта >010009000003440b00000000c80600000000c806000026060f00860d574d46430100000000000100c49b0000000001000000640d000000000000640d0000010000006c00000000000000000000004f0000001800000000000000000000002e0800008e02000020454d4600000100640d00000c00000001000000000000000000000000000000900600001a040000b801000013010000000000000000000000000000c0b6060038320400460000002c00000020000000454d462b014001001c000000100000000210c0db010000006000000060000000460000003c03000030030000454d462b224004000c000000000000001e4009000c00000000000000244001000c000000000000003040020010000000040000000000803f214007000c0000000000000008400005880200007c0200000210c0db01000000000000000000000000000000000000000100000089504e470d0a1a0a0000000d494844520000005000000019080200000029243e5e000000017352474200aece1ce9000000097048597300000ec400000ec401952b0e1b00000203494441545847ed583b6ec3300cb57b92025d7b08075d1c74ed11ba75954f91acdd9c1b642d9025b00fd1b5b06fa2e863c992ac1fa3b835ea686ae817928f8fa49ce618e36c4de7614d6429d73be1ffaef86a15ee0fdb5c9caae532db6c376c80b69211f37c7be8bdae4160af27b2a587d3200a44cd68c1d866539f5ff97757976a281ea5ac3bab3b10389890d9d2e8b598d4c7664b571a353b11aaf8a005381dcf4e9541607f6eb224ac90babe5c6057e583c50400408140603309a9707f3e9e3243cbf66b4ff8bebd3ca6ebe9f7d0ff7c13c0f35354201f588ebabe131473a64fb0252f4374806cd150d65cb18d140093c725425ab35253292208c2ce86f6f1e5cbc6776258d8423b6b150693a450ad8e273534345596cc40f8ef06586612d30f3160c68f6d1f4690ca5b77635b0c842d9e8cdb20261f3026ac97e23212cc0953a27407ab9f1485596fda36b47f80135b3a462fed2d216640a8b62c6b2ed8b01a0c856d7b00b448c0d2922f50ba6a3d49407779016041588b30b2a1d712bb918cd37ebe4f6ca10d0579de569bbdf2366126c1ee11f18a9b05c05a5c7e69b153ec30962f37123428cf3e8b0adb6cd788e8dfb593fa281dabce989acdf81d7b7bcb21d39a651cbdb296f7f04d09253b038d37285a4ed09056fc1d2ce9e84dd658fa313dfc127f0f93919d892da9d732154e17d2e961890acf48f7fe4fbc598bbb08e717f4b816f29ccd5d6d0000000049454e44ae42608200000840010824000000180000000210c0db01000000030000000000000000000000000000001b40000040000000340000000100000002000000000000bf000000bf0000a0420000c84103000000000080b3000080b3ffff9f42000080b3000080b3ffffc7412100000008000000620000000c00000001000000150000000c00000004000000150000000c0000000400000051000000c408000000000000000000004f0000001800000000000000000000000000000000000000500000001900000050000000a4000000f4000000d0070000000000002000cc00500000001900000028000000500000001900000001000800000000000000000000000000000000001f0000000000000000000000ffffff009cdfff0000004800bf740000489cdf00ffbf7400bfffff0000007400df9c480074bfff000074bf0074000000ffffbf009c480000ffffdf00dfffff0000489c0048000000ffdf9c00744848000048740048489c000048480074007400489c9c00bfffbf00dfdf9c0074bfbf0074489c00740048000101010101010101010101010101010101010101010101010101010101010101010101010101010101010101010101010101010101010101010101010101010101010101010101010101010101010101010101010101010101010101010101010101010101010101010101010101010101010101010101010101010101010101010101010101010101010101010101010101010101010101010101010101010101010101010101010101010101010101010101010101010101010101010101010101010101010101010101010101010101010101010101010101010101010101010101010101010101010101010101010101010101010101010101010101010101010101010101010101010101010101010101010101010101010101010101010101010101010101010101010101010101010101010101010101010101010101010101010101010101010101010101010101010101010101010101010101010101010101010101010101010101010101010b060101010101010101010101010101010101010101010101010101010101010101010101010101010101010101010101010101010101010101010101010101010101010101010101010101010101010708060101010101010101010101010101010101010101010101010101010101010101010101010101010101010101010101010101010101010101010101010101010101010101010101010101010101010b0e0f010101010101010101010101010101010101010101010101010101050000000601101100000c0d010101010101010101010101010101010101010101010101010101050000000000000e0f01010b0c0d01050000000000000e0f01010101010708000c0d0101010b00000e010500090101010708121301010101010101010101010101010101010101010101010101010101070806010101021e0d01010b0c0d01070806010101021e0d010101010101021e0d0101010110110e0f010203090101010105121301010101010101010101010101010101010101010101010101010101010a0c0d0101101d0d010101010101010a0c0d0101101d0d01010101010107180d010b040110110e0f01070804010101010a00060101010101010101010b000000000000000000000e0f01010101010101010b0e0f0101010101010101010101010b0e0f0101010101010101010107180d0203121310110e0f01010b0e0f0101010203040101010101010101010101010101010101010101010101010101010101011011040101010101010101010101011011040101010101010101010107180d050c1c0410110e0f0101050c0d01010107080e0f01010101010101010101010101010101010101010101010101010101010107080901010101010101010101010107080901010101010101010107181a080910161b110e0f0101020306010101010b0c0d01010101010101010b000000000000000000000e0f0101010101010101010102030601010101010101010101010102030601010101010101010718190c0d010a040b0e0f0101070800000000000000060101010101010101010101010101010101010101010101010101010101010101051213010101010101010101010101051213010101010101010214150401011016170e0f0101101104010101010a0009010101010101010101010101010101010101010101010101010101010101010102030401010101010101010101010102030401010101010107080012130101010a00000e010101050c0d01010107080e0f0101010101010101010101010101010101010101010101010101010101010107080e0f010101010101010101010107080e0f01010101010101010101010101010101010101010a0006010101010b0c0d0101010101010101010101010101010101010101010101010101050401010102030e0f010101010101050401010102030e0f01010101010101010101010101010101010101010a0004010101010b0006010101010101010101010101010101010101010101010101010105000601010b00090101010101010105000601010b00090101010101010101010101010101010101010101020300000401010500000006010101010101010101010101010101010101010101010101010107080000000901010101010101010107080000000901010101010101010101010101010101010101010101010101010101010101010101010101010101010101010101010101010101010101010101010101010101010101010101010101010101010101010101010101010101010101010101010101010101010101010101010101010101010101010101010101010101010101010101010101010101010101010101010101010101010101010101010101010101010101010101010101010101010101010101010101010101010101010101010101010101010101010101010101010101010101010101010101010101010101010101010101010101010101010101010101010101010101010101010101010101010101010101010101010101010101010101010101010101010101010101010101010101010101010101010101010101010101010101010101010101010101010101010101010101010101010101010101010101010101010101010101010101010101010101010101010101010101010101010101010101010101010101010101010101010101010101010101010101010101010101010101010101010101010101014c0000006400000000000000000000004f00000018000000000000000000000050000000190000002900aa0000000000000000000000803f00000000000000000000803f0000000000000000000000000000000000000000000000000000000000000000220000000c000000ffffffff460000001c00000010000000454d462b024000000c000000000000000e000000140000000000000010000000140000000400000003010800050000000b0200000000050000000c0219005000030000001e000400000007010400040000000701040047040000410b2000cc001900500000000000190050000000000028000000500000001900000001000800000000000000000000000000000000001f0000000000000000000000ffffff009cdfff0000004800bf740000489cdf00ffbf7400bfffff0000007400df9c480074bfff000074bf0074000000ffffbf009c480000ffffdf00dfffff0000489c0048000000ffdf9c00744848000048740048489c000048480074007400489c9c00bfffbf00dfdf9c0074bfbf0074489c00740048000101010101010101010101010101010101010101010101010101010101010101010101010101010101010101010101010101010101010101010101010101010101010101010101010101010101010101010101010101010101010101010101010101010101010101010101010101010101010101010101010101010101010101010101010101010101010101010101010101010101010101010101010101010101010101010101010101010101010101010101010101010101010101010101010101010101010101010101010101010101010101010101010101010101010101010101010101010101010101010101010101010101010101010101010101010101010101010101010101010101010101010101010101010101010101010101010101010101010101010101010101010101010101010101010101010101010101010101010101010101010101010101010101010101010101010101010101010101010101010101010101010101010101010b060101010101010101010101010101010101010101010101010101010101010101010101010101010101010101010101010101010101010101010101010101010101010101010101010101010101010708060101010101010101010101010101010101010101010101010101010101010101010101010101010101010101010101010101010101010101010101010101010101010101010101010101010101010b0e0f010101010101010101010101010101010101010101010101010101050000000601101100000c0d010101010101010101010101010101010101010101010101010101050000000000000e0f01010b0c0d01050000000000000e0f01010101010708000c0d0101010b00000e010500090101010708121301010101010101010101010101010101010101010101010101010101070806010101021e0d01010b0c0d01070806010101021e0d010101010101021e0d0101010110110e0f010203090101010105121301010101010101010101010101010101010101010101010101010101010a0c0d0101101d0d010101010101010a0c0d0101101d0d01010101010107180d010b040110110e0f01070804010101010a00060101010101010101010b000000000000000000000e0f01010101010101010b0e0f0101010101010101010101010b0e0f0101010101010101010107180d0203121310110e0f01010b0e0f0101010203040101010101010101010101010101010101010101010101010101010101011011040101010101010101010101011011040101010101010101010107180d050c1c0410110e0f0101050c0d01010107080e0f01010101010101010101010101010101010101010101010101010101010107080901010101010101010101010107080901010101010101010107181a080910161b110e0f0101020306010101010b0c0d01010101010101010b000000000000000000000e0f0101010101010101010102030601010101010101010101010102030601010101010101010718190c0d010a040b0e0f0101070800000000000000060101010101010101010101010101010101010101010101010101010101010101051213010101010101010101010101051213010101010101010214150401011016170e0f0101101104010101010a0009010101010101010101010101010101010101010101010101010101010101010102030401010101010101010101010102030401010101010107080012130101010a00000e010101050c0d01010107080e0f0101010101010101010101010101010101010101010101010101010101010107080e0f010101010101010101010107080e0f01010101010101010101010101010101010101010a0006010101010b0c0d0101010101010101010101010101010101010101010101010101050401010102030e0f010101010101050401010102030e0f01010101010101010101010101010101010101010a0004010101010b0006010101010101010101010101010101010101010101010101010105000601010b00090101010101010105000601010b00090101010101010101010101010101010101010101020300000401010500000006010101010101010101010101010101010101010101010101010107080000000901010101010101010107080000000901010101010101010101010101010101010101010101010101010101010101010101010101010101010101010101010101010101010101010101010101010101010101010101010101010101010101010101010101010101010101010101010101010101010101010101010101010101010101010101010101010101010101010101010101010101010101010101010101010101010101010101010101010101010101010101010101010101010101010101010101010101010101010101010101010101010101010101010101010101010101010101010101010101010101010101010101010101010101010101010101010101010101010101010101010101010101010101010101010101010101010101010101010101010101010101010101010101010101010101010101010101010101010101010101010101010101010101010101010101010101010101010101010101010101010101010101010101010101010101010101010101010101010101010101010101010101010101010101010101010101010101010101010101010101010101010101010101010101010101010c00000040092900aa000000000000001900500000000000040000002701ffff030000000000>
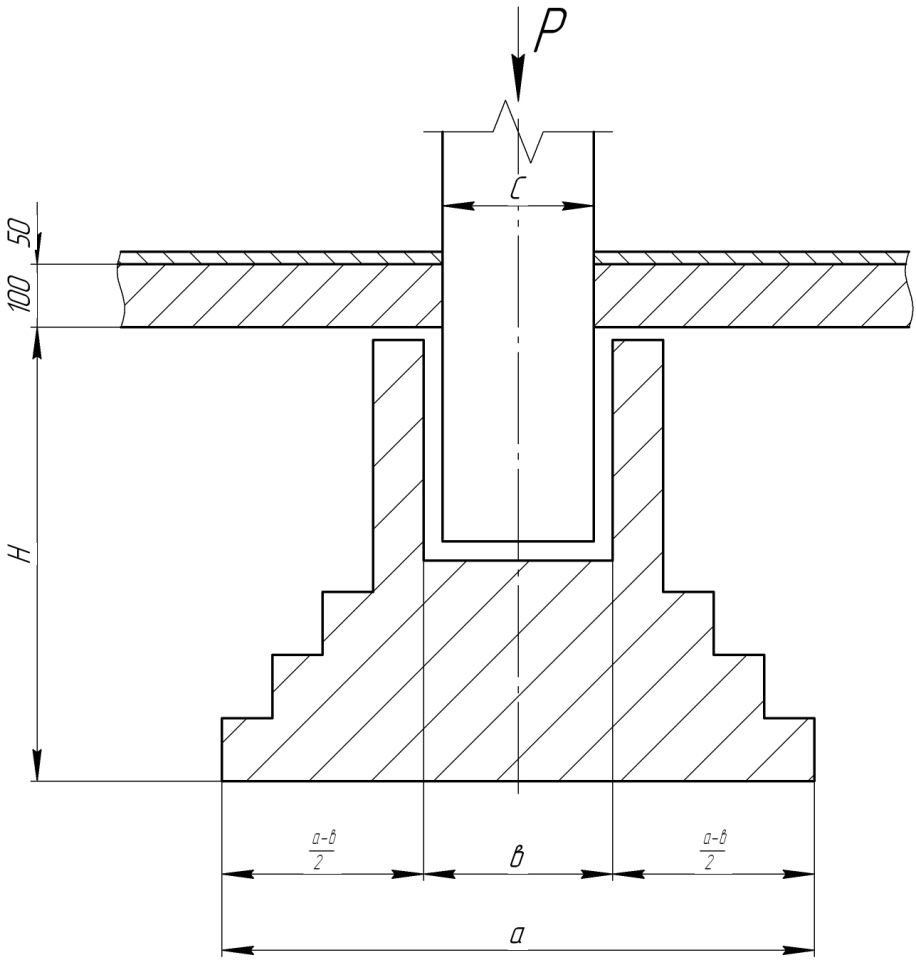
Вид и расчетное сопротивление грунта R=20т/м2
Размеры здания в осях 72х24 м, высота помещения 4,8 м
Стеновой материал - сборные панели
Утеплитель (материал теплоизоляции) покрытие - мин. - ват. плиты >0100090000039c0e00000000bc0800000000bc08000026060f006e11574d46430100000000000100b8e600000000010000004c110000000000004c110000010000006c00000000000000000000006a000000180000000000000000000000f10a00008e02000020454d46000001004c1100000c00000001000000000000000000000000000000900600001a040000b801000013010000000000000000000000000000c0b6060038320400460000002c00000020000000454d462b014001001c000000100000000210c0db010000006000000060000000460000005c04000050040000454d462b224004000c000000000000001e4009000c00000000000000244001000c000000000000003040020010000000040000000000803f214007000c0000000000000008400005a80300009c0300000210c0db01000000000000000000000000000000000000000100000089504e470d0a1a0a0000000d494844520000006b000000190802000000b9374791000000017352474200aece1ce9000000097048597300000ec400000ec401952b0e1b00000324494441546843ed583d72a3301496f72478d2b8e01066d290d9363730cd4e5a329c21635a77f8066933a1c9c0215ca4d9313761df9384d01f202c27931da366d7e23de9e9e37bdf87b26adb962cc303815f1eb94b2a22b020e8cb8305c1190836c78755371e8e0dcbfc7604a18ae77a46d55f154ad1985749f3f14a8a331847db566999fce118d2098f712e62e99031df412c58a5260469a5ed27af613cf4a86d2415eb328a75df0a2be6e9c43dcb8c642717676668a9754d574ab3f81a6c856f001137ba7c1b3cb7c8f64650ae434394d17dfc5dd31409748aa107399c082131c8295e0a123d25ceeda583c1eebddd6f7d940aa4a524f1e37dd02d126c00d1f293abb4cfd2c3b9f52129e53de7ecb2dd5338cfc529e22aea85a0b63583a3789a8169f3591212de0900497017c2aaa7bf7608eb67e185dc04ba19fc293d1561a65934c7979ca4d9aedfb34f14064b4f26d6e3d3f05b0d60e79f4be3a1f881f6a35d1cf766a336a8a5ed2d53ca96b26ca2466037f17fb8680889a24be96a67ef60988dd35409c7292c5caa58763c318d1cb4bebbfe2dc2ff6cd07704e41f49516e6d06ecca32cc1808504199acc7169bd35004d994fe06c6436bd9c424d865c697c0400703f54bb2798c49fe0664a6043c2461966143f40355ab1bef82c4d7e220c507371bb5388d615e1c04e6d93f9e862bb0b29222c0682c7c0f09589c759bb36275451d84378415e42fddd7ba85509accb19fe68837924a599ee711344694cfb50314ea519dde3e61971c6a4a405929477ac3bf8b159abb39696f1dd47a15df30bcc5563c63591526eb5181d1521d3c38b8c74e8ea293bb1f2282dca147fab96f7aa528c39ce8f125021901f51bc8a514404958be7e34ddba34808adbf4d8ee81f3fded6a22c1e2c1b626a1daa95af5c4c23e3aa8f9afa96a5a80edcac192b8a039088fe2c55c7b7be1539fca671bff8a566e1922cda11cf8ebaa0f82c23dbab7645e26b47bb1f5b6e17e2d9656e3a8895cee03bc12abc50c5e75cc8b46779d62cb8dde9156103bdd2fff7b047c71ad93b0f2bc40d951b8a217ff5c98273dd8a7f41be0e0571210a0bf01047d08e6907b135dec80c3e5210b829763c73217047d11fc073ea240e23db12e260000000049454e44ae426082000840010824000000180000000210c0db01000000030000000000000000000000000000001b40000040000000340000000100000002000000000000bf000000bf0000d6420000c84103000000000000b3000000b3ffffd542000000b3000000b3ffffc7412100000008000000620000000c00000001000000150000000c00000004000000150000000c00000004000000510000008c0b000000000000000000006a00000018000000000000000000000000000000000000006b0000001900000050000000b0000000000100008c0a0000000000002000cc006b00000019000000280000006b000000190000000100080000000000000000000000000000000000220000000000000000000000ffffff00489cdf00df9c48009cdfff00bf744800dfffff0000489c00bf74000048489c00ffdf9c0074bfff004800000000004800bfffff0000007400ffbf7400480048000074bf0074000000ffffbf009c480000ffffdf0048007400484848007448480000487400004848007400480074007400489c9c00bfffbf00dfdf9c0074bfbf00010101010101010101010101010101010101010101010101010101010101010101010101010101010101010101010101010101010101010101010101010101010101010101010101010101010101010101010101010101010101010101010101010101010101010101010101010101010101010101010101010101010101010101010101010101010101010101010101010101010101010101010101010101010101010101010101010101010101010101010101010101010101010101010101010101010101010101010101010101010101010101010101010101010101010101010101010101010101010101010101010101010101010101010101010101010101010101010101010101010101010101010101010101010101010101010101010101010101010101010101010101010101010101010101010101010101010101010101010101010101010101010101010101010101010101010101010101010101010101010101010101010101010101010101010101010101010101010101010101010101010101010101010101010101010101010101010101010101010101010101010101010101010101010100010101010101010101010101010101010101010101010101010101010101010101010101010101010101010101010101010101010101010101010101010101010101010101010101010101040d1001010101010101010101010101010101010101010101010101010101010401010101010101010101010101010101010101010101010101010101010101010101010101010101010101010101010101010101010101010101010101010101010101010101010101010101021516010101010101010101010101010101010101010101010101010101010401010101010101010101010101010101010101010101010101010101010101010101010101010101010101010101010101010101010101010101010101010101010101010101010101010101040d100101010101010101010101010101010101010101010101010101010100010101010101010101010101010101010101010106070000000c0a010101010e0f0000000c0a010101010106070000131401010101010101010e0f00000801060700131f0f00001516010101011215160101010101010e0f00131401010112000015160101010101010101070101010101010101010101010101010101010101120c0a0101020010010101120c0a010112001001010106070c0a01020c0a01010101010101010e0f080101040d0801010e0f0801010101010104110a01010101010101041c14010101010607151601010101010101010104010101010101010101010101010101010101010112030101010e0f1516010112030101010e0f151601010b000301010e0f0801010101010101010e0f080101120c0a01010e0f08010101010101060708010101010101010e1d1401120801060715160101010101010101010b011200000000000000000000151601010101010101010101010607131401010101010101011213140101020c0a010101121314010101010101010e0f08010b00030101010e0f08010101010101010b0c0a0101010101010e1d14040d0c0a0607151601010101010101010100010101010101010101010101010101010101010101010101010e0f15160101010101010101120c0a0101121314010101020c0a010101010101010e0f00000c0a010101010e0f08010101010101010607030101010101010e1d14021321080607151601010101010101010101010101010101010101010101010101010101010101010101060700100101010101010101060713140106071314010101020010010101010101010e0f08011203010101010e0f08010101010101010102131401010101010e1d1f0f0306092007151601010101010101010101011200000000000000000000151601010101010101060700000c0a010101010607080101020003010106071314010101020010010101010101010e0f0801041c140101010e0f0801010e1d140101010e0f0301010101010e1d1e1314010b0812151601010101010101010101010101010101010101010101010101010101010101010101120c0a010101010e0f180000000301010106071314010101020010010101010101010e0f08010112100b08010e0f080101021314010101010215160101010104191a08010106091b15160101020000000301010001010101010101010101010101010101010101010101010101020c0a0101010e0f030101010101010101121314010101120c0a0101010101010e0f000008010e0f00080e0f0000000000131401010101040d100101010e0f000c0a0101010b000015160e170a01040d10010001010101010101010101010101010101010101010101010101040d080101010e0f030101010101010101020c0a01010607131401010101010101010101010101010101010101010101010101010101010112151601010101010101010101010101010101010101040d10010001010101010101010101010101010101010101010208010101040d080101010e0f030101010101010101040d0301010e0f151601010101010101010101010101010101010101010101010101010101010104110a010101010101010101010101010101010112000010010100010101010101010101010101010101010101010102001001011200030101010e0f030101010101010101011213140112001001010101010101010101010101010101010101010101010101010101010101011208010101010101010101010101010101010101060710010100010101010101010101010101010101010101010101040d00000003010101010e0f000000000008010101010102000000100101010101010101010101010101010101010101010101010101010101010101010b0c0a01010101010101010101010101010101010104110a010001010101010101010101010101010101010101010101010101010101010101010101010101040501010101010101010101010101010101010101010101010101010101010101010101010101010101010101060708010101010101010101010101010106090a010b0c0a01000101010101010101010101010101010101010101010101010101010101010101010101010101010101010101010101010101010101010101010101010101010101010101010101010101010101010101010101010101010101010101010101010101010102000000030101000101010101010101010101010101010101010101010101010101010101010101010101010101010101010101010101010101010101010101010101010101010101010101010101010101010101010101010101010101010101010101010101010101010101010101010101000101010101010101010101010101010101010101010101010101010101010101010101010101010101010101010101010101010101010101010101010101010101010101010101010101010101010101010101010101010101010101010101010101010101010101010101000101010101010101010101010101010101010101010101010101010101010101010101010101010101010101010101010101010101010101010101010101010101010101010101010101010101010101010101010101010101010101010101010101010101010101010101004c0000006400000000000000000000006a0000001800000000000000000000006b000000190000002900aa0000000000000000000000803f00000000000000000000803f0000000000000000000000000000000000000000000000000000000000000000220000000c000000ffffffff460000001c00000010000000454d462b024000000c000000000000000e000000140000000000000010000000140000000400000003010800050000000b0200000000050000000c0219006b00030000001e0004000000070104000400000007010400ab050000410b2000cc0019006b000000000019006b0000000000280000006b000000190000000100080000000000000000000000000000000000220000000000000000000000ffffff00489cdf00df9c48009cdfff00bf744800dfffff0000489c00bf74000048489c00ffdf9c0074bfff004800000000004800bfffff0000007400ffbf7400480048000074bf0074000000ffffbf009c480000ffffdf0048007400484848007448480000487400004848007400480074007400489c9c00bfffbf00dfdf9c0074bfbf00010101010101010101010101010101010101010101010101010101010101010101010101010101010101010101010101010101010101010101010101010101010101010101010101010101010101010101010101010101010101010101010101010101010101010101010101010101010101010101010101010101010101010101010101010101010101010101010101010101010101010101010101010101010101010101010101010101010101010101010101010101010101010101010101010101010101010101010101010101010101010101010101010101010101010101010101010101010101010101010101010101010101010101010101010101010101010101010101010101010101010101010101010101010101010101010101010101010101010101010101010101010101010101010101010101010101010101010101010101010101010101010101010101010101010101010101010101010101010101010101010101010101010101010101010101010101010101010101010101010101010101010101010101010101010101010101010101010101010101010101010101010101010101010100010101010101010101010101010101010101010101010101010101010101010101010101010101010101010101010101010101010101010101010101010101010101010101010101010101040d1001010101010101010101010101010101010101010101010101010101010401010101010101010101010101010101010101010101010101010101010101010101010101010101010101010101010101010101010101010101010101010101010101010101010101010101021516010101010101010101010101010101010101010101010101010101010401010101010101010101010101010101010101010101010101010101010101010101010101010101010101010101010101010101010101010101010101010101010101010101010101010101040d100101010101010101010101010101010101010101010101010101010100010101010101010101010101010101010101010106070000000c0a010101010e0f0000000c0a010101010106070000131401010101010101010e0f00000801060700131f0f00001516010101011215160101010101010e0f00131401010112000015160101010101010101070101010101010101010101010101010101010101120c0a0101020010010101120c0a010112001001010106070c0a01020c0a01010101010101010e0f080101040d0801010e0f0801010101010104110a01010101010101041c14010101010607151601010101010101010104010101010101010101010101010101010101010112030101010e0f1516010112030101010e0f151601010b000301010e0f0801010101010101010e0f080101120c0a01010e0f08010101010101060708010101010101010e1d1401120801060715160101010101010101010b011200000000000000000000151601010101010101010101010607131401010101010101011213140101020c0a010101121314010101010101010e0f08010b00030101010e0f08010101010101010b0c0a0101010101010e1d14040d0c0a0607151601010101010101010100010101010101010101010101010101010101010101010101010e0f15160101010101010101120c0a0101121314010101020c0a010101010101010e0f00000c0a010101010e0f08010101010101010607030101010101010e1d14021321080607151601010101010101010101010101010101010101010101010101010101010101010101060700100101010101010101060713140106071314010101020010010101010101010e0f08011203010101010e0f08010101010101010102131401010101010e1d1f0f0306092007151601010101010101010101011200000000000000000000151601010101010101060700000c0a010101010607080101020003010106071314010101020010010101010101010e0f0801041c140101010e0f0801010e1d140101010e0f0301010101010e1d1e1314010b0812151601010101010101010101010101010101010101010101010101010101010101010101120c0a010101010e0f180000000301010106071314010101020010010101010101010e0f08010112100b08010e0f080101021314010101010215160101010104191a08010106091b15160101020000000301010001010101010101010101010101010101010101010101010101020c0a0101010e0f030101010101010101121314010101120c0a0101010101010e0f000008010e0f00080e0f0000000000131401010101040d100101010e0f000c0a0101010b000015160e170a01040d10010001010101010101010101010101010101010101010101010101040d080101010e0f030101010101010101020c0a01010607131401010101010101010101010101010101010101010101010101010101010112151601010101010101010101010101010101010101040d10010001010101010101010101010101010101010101010208010101040d080101010e0f030101010101010101040d0301010e0f151601010101010101010101010101010101010101010101010101010101010104110a010101010101010101010101010101010112000010010100010101010101010101010101010101010101010102001001011200030101010e0f030101010101010101011213140112001001010101010101010101010101010101010101010101010101010101010101011208010101010101010101010101010101010101060710010100010101010101010101010101010101010101010101040d00000003010101010e0f000000000008010101010102000000100101010101010101010101010101010101010101010101010101010101010101010b0c0a01010101010101010101010101010101010104110a010001010101010101010101010101010101010101010101010101010101010101010101010101040501010101010101010101010101010101010101010101010101010101010101010101010101010101010101060708010101010101010101010101010106090a010b0c0a01000101010101010101010101010101010101010101010101010101010101010101010101010101010101010101010101010101010101010101010101010101010101010101010101010101010101010101010101010101010101010101010101010101010102000000030101000101010101010101010101010101010101010101010101010101010101010101010101010101010101010101010101010101010101010101010101010101010101010101010101010101010101010101010101010101010101010101010101010101010101010101010101000101010101010101010101010101010101010101010101010101010101010101010101010101010101010101010101010101010101010101010101010101010101010101010101010101010101010101010101010101010101010101010101010101010101010101010101000101010101010101010101010101010101010101010101010101010101010101010101010101010101010101010101010101010101010101010101010101010101010101010101010101010101010101010101010101010101010101010101010101010101010101010101000c00000040092900aa0000000000000019006b0000000000040000002701ffff030000000000>
Порядок выполнения работы
Произвести теплотехнический расчет стены и покрытия
Рассчитать фундамент под пристенную колонну
Сконструировать фундамент; рассчитать уступы
Вычертить план и размеры здания в соответствии с ЕСКД на листе чертежной бумаги.
Методические указания
Теплотехнический
расчет стен и покрытия. Определяем
толщину наружной стены с учетом
штукатурного слоя и толщину тепловой
изоляции покрытия по необходимому
сопротивлению теплопередаче - R>о>ТР,
(м2/ єС) /Вт. Величина >>>
>
зависит, главным образом, от места
строительства и находится по формуле:

где >>>
>
- расчетная температура воздуха в нутрии
помещения, >010009000003b404000000003603000000003603000026060f006206574d46430100000000000100dfb90000000001000000400600000000000040060000010000006c000000000000000000000010000000180000000000000000000000bc0100008e02000020454d4600000100400600000c00000001000000000000000000000000000000900600001a040000b801000013010000000000000000000000000000c0b6060038320400460000002c00000020000000454d462b014001001c000000100000000210c0db010000006000000060000000460000001402000008020000454d462b224004000c000000000000001e4009000c00000000000000244001000c000000000000003040020010000000040000000000803f214007000c000000000000000840000560010000540100000210c0db01000000000000000000000000000000000000000100000089504e470d0a1a0a0000000d4948445200000011000000190802000000585c52c0000000017352474200aece1ce9000000097048597300000ec400000ec401952b0e1b000000db49444154384fdd52b10dc230107498043649ba44b46cc00a8e1802464836484f1a940c414183ec4d3eff7edb98c856142905e22bcb77e7bfbf7706006265ed56f289fefb9ab1ceb8aa567f0fe8918080f3e8b62ac480f901a85377a847a7227e71930c010cd201a09ab26c94bd278049788d940061155da472d38fae17425ecefbc06b7e853b5df08bd6803fc6ba382b809ad0aaf3c2defd289e6e0eec0d9b7299d64bb5f93f78be67db6207893ef99106ea5f510d6710a9580a763f498d5d6ab055f30a059bd67c3e43982369328496b29de39b679d30f06f7d2681921cdd6b1b2d340000000049454e44ae42608200000840010824000000180000000210c0db01000000030000000000000000000000000000001b40000040000000340000000100000002000000000000bf000000bf000088410000c84103000000000000b3000000b3ffff8741000000b3000000b3ffffc7412100000008000000620000000c00000001000000150000000c00000004000000150000000c0000000400000051000000c8020000000000000000000010000000180000000000000000000000000000000000000011000000190000005000000084000000d4000000f4010000000000002000cc0011000000190000002800000011000000190000000100080000000000000000000000000000000000170000000000000000000000ffffff00bfffff000000740048000000ffdf9c0074bfff00dfffff0000489c00ffbf74009cdfff0074004800ffffbf000074bf009c484800ffffdf00489cdf00df9c48004800740074000000000048009c480000bf740000010101010101010101010101010101010101ffff010101010101010101010101010101010101ffff010101010101010101010101010101010101ffff010101010101010101010101010101010101ffff010101010101010101010101010101010101ffff010101010101010101010101010101010101ffff010101010101010101010101010101010101ffff010101010101010101070800000000040501ffff01010101010101010a14040501010d040501ffff01010101010101010d000901010102120501ffff010101010101010203130c01010101010101ffff010101010101010600150f01010101010101ffff010101010101010600160101010101010101ffff010101010101010600160101010101010101ffff010203000405010600160101010101010101ffff070809010a0b0c0a14150f01010101010101ffff0a0e0f01010d090708130c01010101010101ffff0a0e0f01010d090110001101010102120501ffff070809010a0b0c01010d000901010d040501ffff010203000405010101010600000000040501ffff010101010101010101010101010101010101ffff010101010101010101010101010101010101ffff010101010101010101010101010101010101ffff010101010101010101010101010101010101ffff010101010101010101010101010101010101ffff4c0000006400000000000000000000001000000018000000000000000000000011000000190000002900aa0000000000000000000000803f00000000000000000000803f0000000000000000000000000000000000000000000000000000000000000000220000000c000000ffffffff460000001c00000010000000454d462b024000000c000000000000000e000000140000000000000010000000140000000400000003010800050000000b0200000000050000000c0219001100030000001e000400000007010400040000000701040049010000410b2000cc00190011000000000019001100000000002800000011000000190000000100080000000000000000000000000000000000170000000000000000000000ffffff00bfffff000000740048000000ffdf9c0074bfff00dfffff0000489c00ffbf74009cdfff0074004800ffffbf000074bf009c484800ffffdf00489cdf00df9c48004800740074000000000048009c480000bf740000010101010101010101010101010101010101ffff010101010101010101010101010101010101ffff010101010101010101010101010101010101ffff010101010101010101010101010101010101ffff010101010101010101010101010101010101ffff010101010101010101010101010101010101ffff010101010101010101010101010101010101ffff010101010101010101070800000000040501ffff01010101010101010a14040501010d040501ffff01010101010101010d000901010102120501ffff010101010101010203130c01010101010101ffff010101010101010600150f01010101010101ffff010101010101010600160101010101010101ffff010101010101010600160101010101010101ffff010203000405010600160101010101010101ffff070809010a0b0c0a14150f01010101010101ffff0a0e0f01010d090708130c01010101010101ffff0a0e0f01010d090110001101010102120501ffff070809010a0b0c01010d000901010d040501ffff010203000405010101010600000000040501ffff010101010101010101010101010101010101ffff010101010101010101010101010101010101ffff010101010101010101010101010101010101ffff010101010101010101010101010101010101ffff010101010101010101010101010101010101ffff0c00000040092900aa000000000000001900110000000000040000002701ffff030000000000>
>>>
>
- расчетная зимняя температура наружного
воздуха, >010009000003b404000000003603000000003603000026060f006206574d46430100000000000100dfb90000000001000000400600000000000040060000010000006c000000000000000000000010000000180000000000000000000000bc0100008e02000020454d4600000100400600000c00000001000000000000000000000000000000900600001a040000b801000013010000000000000000000000000000c0b6060038320400460000002c00000020000000454d462b014001001c000000100000000210c0db010000006000000060000000460000001402000008020000454d462b224004000c000000000000001e4009000c00000000000000244001000c000000000000003040020010000000040000000000803f214007000c000000000000000840000560010000540100000210c0db01000000000000000000000000000000000000000100000089504e470d0a1a0a0000000d4948445200000011000000190802000000585c52c0000000017352474200aece1ce9000000097048597300000ec400000ec401952b0e1b000000db49444154384fdd52b10dc230107498043649ba44b46cc00a8e1802464836484f1a940c414183ec4d3eff7edb98c856142905e22bcb77e7bfbf7706006265ed56f289fefb9ab1ceb8aa567f0fe8918080f3e8b62ac480f901a85377a847a7227e71930c010cd201a09ab26c94bd278049788d940061155da472d38fae17425ecefbc06b7e853b5df08bd6803fc6ba382b809ad0aaf3c2defd289e6e0eec0d9b7299d64bb5f93f78be67db6207893ef99106ea5f510d6710a9580a763f498d5d6ab055f30a059bd67c3e43982369328496b29de39b679d30f06f7d2681921cdd6b1b2d340000000049454e44ae42608200000840010824000000180000000210c0db01000000030000000000000000000000000000001b40000040000000340000000100000002000000000000bf000000bf000088410000c84103000000000000b3000000b3ffff8741000000b3000000b3ffffc7412100000008000000620000000c00000001000000150000000c00000004000000150000000c0000000400000051000000c8020000000000000000000010000000180000000000000000000000000000000000000011000000190000005000000084000000d4000000f4010000000000002000cc0011000000190000002800000011000000190000000100080000000000000000000000000000000000170000000000000000000000ffffff00bfffff000000740048000000ffdf9c0074bfff00dfffff0000489c00ffbf74009cdfff0074004800ffffbf000074bf009c484800ffffdf00489cdf00df9c48004800740074000000000048009c480000bf740000010101010101010101010101010101010101ffff010101010101010101010101010101010101ffff010101010101010101010101010101010101ffff010101010101010101010101010101010101ffff010101010101010101010101010101010101ffff010101010101010101010101010101010101ffff010101010101010101010101010101010101ffff010101010101010101070800000000040501ffff01010101010101010a14040501010d040501ffff01010101010101010d000901010102120501ffff010101010101010203130c01010101010101ffff010101010101010600150f01010101010101ffff010101010101010600160101010101010101ffff010101010101010600160101010101010101ffff010203000405010600160101010101010101ffff070809010a0b0c0a14150f01010101010101ffff0a0e0f01010d090708130c01010101010101ffff0a0e0f01010d090110001101010102120501ffff070809010a0b0c01010d000901010d040501ffff010203000405010101010600000000040501ffff010101010101010101010101010101010101ffff010101010101010101010101010101010101ffff010101010101010101010101010101010101ffff010101010101010101010101010101010101ffff010101010101010101010101010101010101ffff4c0000006400000000000000000000001000000018000000000000000000000011000000190000002900aa0000000000000000000000803f00000000000000000000803f0000000000000000000000000000000000000000000000000000000000000000220000000c000000ffffffff460000001c00000010000000454d462b024000000c000000000000000e000000140000000000000010000000140000000400000003010800050000000b0200000000050000000c0219001100030000001e000400000007010400040000000701040049010000410b2000cc00190011000000000019001100000000002800000011000000190000000100080000000000000000000000000000000000170000000000000000000000ffffff00bfffff000000740048000000ffdf9c0074bfff00dfffff0000489c00ffbf74009cdfff0074004800ffffbf000074bf009c484800ffffdf00489cdf00df9c48004800740074000000000048009c480000bf740000010101010101010101010101010101010101ffff010101010101010101010101010101010101ffff010101010101010101010101010101010101ffff010101010101010101010101010101010101ffff010101010101010101010101010101010101ffff010101010101010101010101010101010101ffff010101010101010101010101010101010101ffff010101010101010101070800000000040501ffff01010101010101010a14040501010d040501ffff01010101010101010d000901010102120501ffff010101010101010203130c01010101010101ffff010101010101010600150f01010101010101ffff010101010101010600160101010101010101ffff010101010101010600160101010101010101ffff010203000405010600160101010101010101ffff070809010a0b0c0a14150f01010101010101ffff0a0e0f01010d090708130c01010101010101ffff0a0e0f01010d090110001101010102120501ffff070809010a0b0c01010d000901010d040501ffff010203000405010101010600000000040501ffff010101010101010101010101010101010101ffff010101010101010101010101010101010101ffff010101010101010101010101010101010101ffff010101010101010101010101010101010101ffff010101010101010101010101010101010101ffff0c00000040092900aa000000000000001900110000000000040000002701ffff030000000000>,
принимается в зависимости от массивности
окружающей конструкции: расчета массивной
конструкции (кирпичная стена) берут ее
по самым холодным суткам; для расчета
конструкции средней массивности (сборные
стеновые панели из керамзитобетона) в
качестве расчетной температуры принимают
среднею арифметическую между первыми
двумя температурами;
>>>
>
- сопротивление теплоотдачи внутренней
поверхности ограждения, для стен и
покрытий >>>
>
>>>
>
- коэффициент, зависящий от положения
наружной поверхности ограждения
относительно наружного воздуха; для
стен и покрытий n=1
>>>
>
- коэффициент качества теплоизоляции,
равный 1,1 для не уплотняющихся
теплоизоляционных материалов с
плотностью, равной или менее >>>
>
- для теплоизоляционных материалов,
подверженных уплотнению или усадке
(минераловатные плиты, войлоки,
керамзитовый гравий и др.). При расчете
толщины кирпичной стены и стен из сборных
панелей >0100090000030609000000009205000000009205000026060f001a0b574d4643010000000000010065250000000001000000f80a000000000000f80a0000010000006c00000000000000000000003a000000180000000000000000000000080600008e02000020454d4600000100f80a00000c00000001000000000000000000000000000000900600001a040000b801000013010000000000000000000000000000c0b6060038320400460000002c00000020000000454d462b014001001c000000100000000210c0db01000000600000006000000046000000e0020000d4020000454d462b224004000c000000000000001e4009000c00000000000000244001000c000000000000003040020010000000040000000000803f214007000c00000000000000084000052c020000200200000210c0db01000000000000000000000000000000000000000100000089504e470d0a1a0a0000000d494844520000003b0000001908020000000023c1d9000000017352474200aece1ce9000000097048597300000ec400000ec401952b0e1b000001a9494441545847ed97b16e833010868f3e0952960c3c04551750d6be41bb7487a7086b95257983ac5159227808862c5178137a77061b920016ad0948b909c767eef3dd6f5fb08aa28059d9cbac6809f6496cbe64b3cd71bef32d327f979bcf12454843bd601518c18529b3e15d21ecb2f50082448e4d3d701c366f7be90e9204e85522f1330d1431fd641a98623027c7ef21e6add57cca3552c7f939036f699bd584bb2e8a9f0fbd20f9711f83f7fe26bded25ee203e55c4344fd35237a329ba2d47f9290670166a7bf6c241df4c12e3bc0347ff0b36a82d2c40fcf92d84fe20a39a5f994872499c1e2280680f1b513377853a8b0e2dc874cebbcd648104316f2848a4c478dcaa6a5263b7e96a7548fd9898451eac5cf902d6d0634da8f6d63c418c80f58c8a14d78e6973e138aa60d566e75cc5166791eee3ebde51bfb8fbea3f705ee73ebef629b1905834a1eaaa16a3315ac99d0ed2cc55034cf6132446b720114d90cd24ad6ad135a1a98037d5adfb976eaa4b0facefbf2e935dbce3add694be9af048bf4252acd5a575e7b298d0ffe334ecc7c51d4c2ac75a1d604239d6e27d7e996aa6e94f6ebf66c1194deef2d6900000000049454e44ae4260820840010824000000180000000210c0db01000000030000000000000000000000000000001b40000040000000340000000100000002000000000000bf000000bf00006c420000c84103000000000080b3000080b3ffff6b42000080b3000080b3ffffc7412100000008000000620000000c00000001000000150000000c00000004000000150000000c0000000400000051000000b406000000000000000000003a00000018000000000000000000000000000000000000003b000000190000005000000088000000d8000000dc050000000000002000cc003b00000019000000280000003b000000190000000100080000000000000000000000000000000000180000000000000000000000ffffff00489cdf0048000000ffdf9c00bfffff0000007400df9c4800ffbf740074000000ffffbf00dfffff0000489c000074bf00bf74000074bfff009cdfff00000048009c48000048004800489c9c00ffffdf007400740074bfbf000101010101010101010101010101010101010101010101010101010101010101010101010101010101010101010101010101010101010101010101000101010101010101010101010101010101010101010101010101010101010101010101010101010101010101010101010101010101010101010101000101010101010101010101010101010101010101010101010101010101010101010101010101010101010101010101010101010101010101010101000101010101010101010101010101010101010101010101010101010101010101010101010101010101010101010101010101010101010101010101ff010101010101010101010101010101010101010101010101010101010101010101010101010101010101010101010d080101010101010101010101000101010101010101010101010101010101010101010101010101010101010101010101010101010101010101010105060801010101010101010101ff01010101010101010101010101010101010101010101010101010101010101010101010101010101010101010101010d1215010101010101010101000516170000000801010101010101010101010101010101010101010101010101010101010b0c0000000000090a01010d090a01010b0c0000090a01ff0b0c03040110110e010101010101010101010101010101010101010101010101010101010101010f000701010101010d090a010b0c030401020304000102090a01010f00080101010101010101010101010101010101010101010101010101010101010f00070101010101010101010f0007010105060e00010f030401010b0c1215010101010101010d0000000000000000000012150101010101010101010f00070101010101010101010203040101010d0900011011080101010d030401010101010101010101010101010101010101010101010101010101010f00070101010101010101010d090a010101020300010b0c0e01010102030401010101010101010101010101010101010101010101010101010101010f000701010101010101010b0c090a01010102000001010d000701010f0008010101010101010d0000000000000000000012150101010101010101010f000701010101010101010b0c090a01010102000001010f091407010d090a01010101010101010101010101010101010101010101010101010101010f000701010101010101010b0c090a0101010200000101101304020000070101010101010101010101010101010101010101010101010101010101010f00070101010101010101010d090a0101010d030001010b0c07010101010101010101010101010101010101010101010101010101010101010101010f000701010101010101010102030401010b0c09000101010d0e010101010101010101010101010101010101010101010101010101010101010f03040f000701010101010101010110110701010506120001010102090a010101010101010101010101010101010101010101010101010101010101010b0c000007010101010101010101010d090a010d0008000101020003040101010101010101010101010101010101010101010101010101010101010101010506070101010101010101010101020000000801000101010101010101010101010101010101010101010101010101010101010101010101010101010101010101010101010101010101010101010101000101010101010101010101010101010101010101010101010101010101010101010101010101010101010101010101010101010101010101010101000101010101010101010101010101010101010101010101010101010101010101010101010101010101010101010101010101010101010101010101000101010101010101010101010101010101010101010101010101010101010101010101010101010101010101010101010101010101010101010101000101010101010101010101010101010101010101010101010101010101010101010101010101010101010101010101010101010101010101010101004c0000006400000000000000000000003a0000001800000000000000000000003b000000190000002900aa0000000000000000000000803f00000000000000000000803f0000000000000000000000000000000000000000000000000000000000000000220000000c000000ffffffff460000001c00000010000000454d462b024000000c000000000000000e000000140000000000000010000000140000000400000003010800050000000b0200000000050000000c0219003b00030000001e00040000000701040004000000070104003f030000410b2000cc0019003b000000000019003b0000000000280000003b000000190000000100080000000000000000000000000000000000180000000000000000000000ffffff00489cdf0048000000ffdf9c00bfffff0000007400df9c4800ffbf740074000000ffffbf00dfffff0000489c000074bf00bf74000074bfff009cdfff00000048009c48000048004800489c9c00ffffdf007400740074bfbf000101010101010101010101010101010101010101010101010101010101010101010101010101010101010101010101010101010101010101010101000101010101010101010101010101010101010101010101010101010101010101010101010101010101010101010101010101010101010101010101000101010101010101010101010101010101010101010101010101010101010101010101010101010101010101010101010101010101010101010101000101010101010101010101010101010101010101010101010101010101010101010101010101010101010101010101010101010101010101010101ff010101010101010101010101010101010101010101010101010101010101010101010101010101010101010101010d080101010101010101010101000101010101010101010101010101010101010101010101010101010101010101010101010101010101010101010105060801010101010101010101ff01010101010101010101010101010101010101010101010101010101010101010101010101010101010101010101010d1215010101010101010101000516170000000801010101010101010101010101010101010101010101010101010101010b0c0000000000090a01010d090a01010b0c0000090a01ff0b0c03040110110e010101010101010101010101010101010101010101010101010101010101010f000701010101010d090a010b0c030401020304000102090a01010f00080101010101010101010101010101010101010101010101010101010101010f00070101010101010101010f0007010105060e00010f030401010b0c1215010101010101010d0000000000000000000012150101010101010101010f00070101010101010101010203040101010d0900011011080101010d030401010101010101010101010101010101010101010101010101010101010f00070101010101010101010d090a010101020300010b0c0e01010102030401010101010101010101010101010101010101010101010101010101010f000701010101010101010b0c090a01010102000001010d000701010f0008010101010101010d0000000000000000000012150101010101010101010f000701010101010101010b0c090a01010102000001010f091407010d090a01010101010101010101010101010101010101010101010101010101010f000701010101010101010b0c090a0101010200000101101304020000070101010101010101010101010101010101010101010101010101010101010f00070101010101010101010d090a0101010d030001010b0c07010101010101010101010101010101010101010101010101010101010101010101010f000701010101010101010102030401010b0c09000101010d0e010101010101010101010101010101010101010101010101010101010101010f03040f000701010101010101010110110701010506120001010102090a010101010101010101010101010101010101010101010101010101010101010b0c000007010101010101010101010d090a010d0008000101020003040101010101010101010101010101010101010101010101010101010101010101010506070101010101010101010101020000000801000101010101010101010101010101010101010101010101010101010101010101010101010101010101010101010101010101010101010101010101000101010101010101010101010101010101010101010101010101010101010101010101010101010101010101010101010101010101010101010101000101010101010101010101010101010101010101010101010101010101010101010101010101010101010101010101010101010101010101010101000101010101010101010101010101010101010101010101010101010101010101010101010101010101010101010101010101010101010101010101000101010101010101010101010101010101010101010101010101010101010101010101010101010101010101010101010101010101010101010101000c00000040092900aa0000000000000019003b0000000000040000002701ffff030000000000>;
>>>
>
- нормативный перепад между температурой
воздуха внутри помещений и температурой
внутренней поверхности ограждения,
который принимается по СНиП II-3-79
Толщина кирпичной кладки наружной стены определяется по формуле:

где >>>
>
- искомая толщина кирпичной кладки, м;
>>>
>
- коэффициент проводимости кирпичной
кладки, >010009000003ec0c00000000d60700000000d607000026060f00a20f574d46430100000000000100c1aa0000000001000000800f000000000000800f0000010000006c000000000000000000000059000000180000000000000000000000340900008e02000020454d4600000100800f00000c00000001000000000000000000000000000000900600001a040000b801000013010000000000000000000000000000c0b6060038320400460000002c00000020000000454d462b014001001c000000100000000210c0db010000006000000060000000460000002404000018040000454d462b224004000c000000000000001e4009000c00000000000000244001000c000000000000003040020010000000040000000000803f214007000c000000000000000840000570030000640300000210c0db01000000000000000000000000000000000000000100000089504e470d0a1a0a0000000d494844520000005a0000001908020000003e06ae97000000017352474200aece1ce9000000097048597300000ec400000ec401952b0e1b000002ec494441545847ed583b6ee33010a5f62432dcb8d02124a451903637b09ac0ad0c9f21b0da74f60dd22ea226900ee1224d10dd44cb9f687e662c9a8a8164215696341c0edfcc7b1c3aeafb9ecc6340e0cf0c858ec00c87510f3782a33bde47d1b6fd7da5d7f75f871c0c3b3f7c5161091a4d490836fdd2b7a0c5c424e6960f675df54533e07b2e1b673dc2df0844b4cf12a240445800c05a2264e8c3041854fcd22f8bfcbc8480423df347b5292031081c03da2178b08080795842a64221b2a92d487729f62f726a86423fea2f6c4450ed8857308546e5a07d29eafcf12e360dbbe3535197cd3e1d9dff6d06ddfb6b4d2b63b7d64349f7fd9bf622dd37655d3c1dbb6155982cb23a249098ba00a58fd400241808db7111c0eb486388fa09d506e4c1080d268ba525fc5140a3d11f520284288868b0222f4b43d4d8ab5cad7605911c142dd9c05de978e864a9b2488e4541e8e68dcab68a8e1646ba718e249828a4fb3c513857167f088997494d568f39a9feca33993a4876bb04214cbb65f1c1e7376581183a17bc88c764a17e7de77cd1e1d034bf498a4514dd4b4ec5eb37131bb18cfdba3b3e573657b961f741499c2c1d38f8c7e57a5792ea992d451d9c0e9b9881070d8e2a3963e7b5d971239a1465844869ba67656f88cca85f265df961938e1ada06accceae2a5e5a561089f6929e32e1fae58e2f4c9b33e3aea0f6e879f2c1c336935ea8d1a2044f1991adf31c264192d8d8b3b1584f03c9dd207d664f86e405219854354264078a49031a230737e685fca53cc0803f2cc074dc446e0a164495851f9192460982639c81f1138daeda2700f6d3cb6cb44e1550ee4490b8425de33edde0809adafb2f3fedb6d5639d399b2a94609bdb3b88da5de7e38bd1e7a4751370adba13a1a8db6fd7cc308e988dde3d4ed992cbf40df71c5f90e98fab4df3e36d3a2089c6d3688a20d9b3490d6cbf6f92301b1bbe5c9705cb3cb9bdd68c3d289de68c3dc05cdd21afea0f9df33094b6244dd7b4bf5ff6f78a33f077f2b70331c46e666380c38fe01d983b618565358cb0000000049454e44ae426082000840010824000000180000000210c0db01000000030000000000000000000000000000001b40000040000000340000000100000002000000000000bf000000bf0000b4420000c84103000000000000b3000000b3ffffb342000000b3000000b3ffffc7412100000008000000620000000c00000001000000150000000c00000004000000150000000c0000000400000051000000f809000000000000000000005900000018000000000000000000000000000000000000005a0000001900000050000000ac000000fc000000fc080000000000002000cc005a00000019000000280000005a000000190000000100080000000000000000000000000000000000210000000000000000000000ffffff00dfffff0000489c00bf74000048000000ffdf9c0074bfff00bfffff0000007400df9c4800489cdf0074000000ffffbf009cdfff00000048000074bf00ffbf740074004800480048009c484800ffffdf00480074009c480000744848000048740048489c000048480074007400489c9c00bfffbf00dfdf9c0074bfbf000101010101010101010101010101010101010101010101010101010101010101010101010101010101010101010101010101010101010101010101010101010101010101010101010101010101010101010101010101010101010000010101010101010101010101010101010101010101010101010101010101010101010101010101010101010101010101010101010101010101010101010101010101010101010101010101010101010101010101010101010101000001010101010101010101010101010101010101010101010101010101010101010101010101010101010101010101010101010101010101010101010101010101010101010101010101010101010101010101010101010101010100000101010101010101010101010101010101010101010101010101010101010101010101010101010101010101010101010101010101010101010101010101010101010101010101010101010101010101010101010101010101010000010101010101010101010101010101010101010101010101010101010101010101010101010e0f0a0101010101010101010101010101010101010101010101010101010101010101010101010101010101010b0c0d010101010100000101010101010101010101010101010101010101010e0f11010101010101010101010101100c0d010101010101010101010101010101010101010101010101010101010101010101010101010101010101010108090a010101010000010101010101010101010101010101010101010101010b1715010101010101010101010b0c0d0101010101010101010101010101010101010101010101010101010101010101010101010101010101010101010108090a0101010000010101010101010101010101010101010101010101010e0f110101010101010101010e0f110101010101010101010101010101010101010101010101010101010101010101010101010101010101010101010101010705060101000002030000000000001715010101010e0f0000171501010110171501010101010101011017150101010809000c0d0101011000001715010101010101010101010101010101010101010101020300000000050601010108090a010100000102030c0d010107000c0d0101010108090401010101010e13060101010101010108090401010101010e120d01010101020317150101010101010101010101010101010101010101010e0f05060101100506010101011017150100000102030c0d0101010b000a010101010809040101010101020304010101010101010e0f0a0101010101081c0d0110040102031715010101010101010101010101010101010101010101100011010101081606010101010b05060100000102030c0d010101070004010101010809040101010101010705060101010101010700110101010101081c0d0e0f050602031715010101010101010101010101010101010101010108090c0d010101010101010101010705060100000102030c0d0101010b000a0101010108090401010101010102030a0101010101010700110101010101081c0d0b0c200402031715010101010107000401010101010101010101010107001715010101010101010101010700110100000102030c0d01010700171501010101080904010101010101010b0c0d01010101010700110101010101081c1e090a021a1f03171501010101010b000c0d010101010101010101010107000401010101010101010101010705060100000102030000000005060101010b04010809040102031101010108090a01010101010e0f0a0101010101081c1d0c0d010704101715010101010107000401010101010101010101010107000401010101010101010101010b05060100000102030c0d01010b001101010b050608090401070011010101010b17150101010108090401010101010e1819040101021a1b1715010101010101010101010101010108090005060107000401010101010101010101011017150100000102030c0d010101100506010b000000000000000011010101010e0f11010101010110171501010108090005060101010700001715010101010101010101010101020311010e120d0e0f171501010101010101010108090a010100000102030c0d0101010b000a01010101010101010101010101010101101715010101010e0f11010101010101010101010101010101010101010101010101010101010e14150101101102030c0d010101010101010101070506010100000102030c0d01010110000a010101010101010101010101010101010e130601010101010b0c0d0101010101010101010101010101010101010101010101010101010e141501011011010b000a010101081606010108090a01010100000102030c0d01010e0f050601010101010101010101010101010101011004010101010101100c0d0101010101010101010101010101010101010101010101010101020311010e120d010110001101011005060108090a0101010100000203000000000000050601010101010101010101010101010101010107050601010101010108090a0101010101010101010101010101010101010101010101010101080900050601010101070000000005060b0c0d0101010101000001010101010101010101010101010101010101010101010101010101020304010101010101010101010101010101010101010101010101010101010101010101010101010101010101010101010101010101010101010101010100000101010101010101010101010101010101010101010101010101010101010101010101010101010101010101010101010101010101010101010101010101010101010101010101010101010101010101010101010101010101010000010101010101010101010101010101010101010101010101010101010101010101010101010101010101010101010101010101010101010101010101010101010101010101010101010101010101010101010101010101010101000001010101010101010101010101010101010101010101010101010101010101010101010101010101010101010101010101010101010101010101010101010101010101010101010101010101010101010101010101010101010100004c000000640000000000000000000000590000001800000000000000000000005a000000190000002900aa0000000000000000000000803f00000000000000000000803f0000000000000000000000000000000000000000000000000000000000000000220000000c000000ffffffff460000001c00000010000000454d462b024000000c000000000000000e000000140000000000000010000000140000000400000003010800050000000b0200000000050000000c0219005a00030000001e0004000000070104000400000007010400e1040000410b2000cc0019005a000000000019005a0000000000280000005a000000190000000100080000000000000000000000000000000000210000000000000000000000ffffff00dfffff0000489c00bf74000048000000ffdf9c0074bfff00bfffff0000007400df9c4800489cdf0074000000ffffbf009cdfff00000048000074bf00ffbf740074004800480048009c484800ffffdf00480074009c480000744848000048740048489c000048480074007400489c9c00bfffbf00dfdf9c0074bfbf000101010101010101010101010101010101010101010101010101010101010101010101010101010101010101010101010101010101010101010101010101010101010101010101010101010101010101010101010101010101010000010101010101010101010101010101010101010101010101010101010101010101010101010101010101010101010101010101010101010101010101010101010101010101010101010101010101010101010101010101010101000001010101010101010101010101010101010101010101010101010101010101010101010101010101010101010101010101010101010101010101010101010101010101010101010101010101010101010101010101010101010100000101010101010101010101010101010101010101010101010101010101010101010101010101010101010101010101010101010101010101010101010101010101010101010101010101010101010101010101010101010101010000010101010101010101010101010101010101010101010101010101010101010101010101010e0f0a0101010101010101010101010101010101010101010101010101010101010101010101010101010101010b0c0d010101010100000101010101010101010101010101010101010101010e0f11010101010101010101010101100c0d010101010101010101010101010101010101010101010101010101010101010101010101010101010101010108090a010101010000010101010101010101010101010101010101010101010b1715010101010101010101010b0c0d0101010101010101010101010101010101010101010101010101010101010101010101010101010101010101010108090a0101010000010101010101010101010101010101010101010101010e0f110101010101010101010e0f110101010101010101010101010101010101010101010101010101010101010101010101010101010101010101010101010705060101000002030000000000001715010101010e0f0000171501010110171501010101010101011017150101010809000c0d0101011000001715010101010101010101010101010101010101010101020300000000050601010108090a010100000102030c0d010107000c0d0101010108090401010101010e13060101010101010108090401010101010e120d01010101020317150101010101010101010101010101010101010101010e0f05060101100506010101011017150100000102030c0d0101010b000a010101010809040101010101020304010101010101010e0f0a0101010101081c0d0110040102031715010101010101010101010101010101010101010101100011010101081606010101010b05060100000102030c0d010101070004010101010809040101010101010705060101010101010700110101010101081c0d0e0f050602031715010101010101010101010101010101010101010108090c0d010101010101010101010705060100000102030c0d0101010b000a0101010108090401010101010102030a0101010101010700110101010101081c0d0b0c200402031715010101010107000401010101010101010101010107001715010101010101010101010700110100000102030c0d01010700171501010101080904010101010101010b0c0d01010101010700110101010101081c1e090a021a1f03171501010101010b000c0d010101010101010101010107000401010101010101010101010705060100000102030000000005060101010b04010809040102031101010108090a01010101010e0f0a0101010101081c1d0c0d010704101715010101010107000401010101010101010101010107000401010101010101010101010b05060100000102030c0d01010b001101010b050608090401070011010101010b17150101010108090401010101010e1819040101021a1b1715010101010101010101010101010108090005060107000401010101010101010101011017150100000102030c0d010101100506010b000000000000000011010101010e0f11010101010110171501010108090005060101010700001715010101010101010101010101020311010e120d0e0f171501010101010101010108090a010100000102030c0d0101010b000a01010101010101010101010101010101101715010101010e0f11010101010101010101010101010101010101010101010101010101010e14150101101102030c0d010101010101010101070506010100000102030c0d01010110000a010101010101010101010101010101010e130601010101010b0c0d0101010101010101010101010101010101010101010101010101010e141501011011010b000a010101081606010108090a01010100000102030c0d01010e0f050601010101010101010101010101010101011004010101010101100c0d0101010101010101010101010101010101010101010101010101020311010e120d010110001101011005060108090a0101010100000203000000000000050601010101010101010101010101010101010107050601010101010108090a0101010101010101010101010101010101010101010101010101080900050601010101070000000005060b0c0d0101010101000001010101010101010101010101010101010101010101010101010101020304010101010101010101010101010101010101010101010101010101010101010101010101010101010101010101010101010101010101010101010100000101010101010101010101010101010101010101010101010101010101010101010101010101010101010101010101010101010101010101010101010101010101010101010101010101010101010101010101010101010101010000010101010101010101010101010101010101010101010101010101010101010101010101010101010101010101010101010101010101010101010101010101010101010101010101010101010101010101010101010101010101000001010101010101010101010101010101010101010101010101010101010101010101010101010101010101010101010101010101010101010101010101010101010101010101010101010101010101010101010101010101010100000c00000040092900aa0000000000000019005a0000000000040000002701ffff030000000000>.
>>>
>
- сопротивления теплоотдачи соответственно
внутренней и наружной поверхности стен,
>>>
>
>>>
>
- требуемое (необходимое) сопротивление
теплоотдачи стены получаемое по формуле
1;
>>>
>
- термическая (тепловое) сопротивление
слоя штукатурки, >010009000003c80d000000004e08000000004e08000026060f009210574d4643010000000000010041a20000000001000000701000000000000070100000010000006c000000000000000000000061000000180000000000000000000000060a00008e02000020454d4600000100701000000c00000001000000000000000000000000000000900600001a040000b801000013010000000000000000000000000000c0b6060038320400460000002c00000020000000454d462b014001001c000000100000000210c0db010000006000000060000000460000004c04000040040000454d462b224004000c000000000000001e4009000c00000000000000244001000c000000000000003040020010000000040000000000803f214007000c0000000000000008400005980300008c0300000210c0db01000000000000000000000000000000000000000100000089504e470d0a1a0a0000000d494844520000006200000019080200000045226c5b000000017352474200aece1ce9000000097048597300000ec400000ec401952b0e1b00000313494441545847ed993b6ee3301040a93d890c372e7408196914a4cd0dac66e15686cf60d86d3af90669175113d887709126886ea2e54f123f436a1833c0ae61566b71349fc799e1289b745d47ee6b8ac0af2981fb3e231005d37993f46b73be49aed763a28c768b2f5abb5d77aac861776cff2950edf13149ae3f3c1e9fba68aca4a845dc81ebab2ebef32ab3c8976576d851049811529d90ae69d1f05781351d2e3109e13db01ca55e4c1b34df62aecba0957f8ad4a46be0c17f0eeab167c9e434a48294f248a29b707cc414764af661528fd0673cbeada31d7408e775dfe9a6fa00410ac86e0b537f1e7e4e3da6eb20e97980ac072e0663028201944e8182f601cdd09198d6242648a3a365d88fd53c3a55812905151dc6717965b87b217cf0ae6c92c9e4ea5e02130fdd8e8f1d7555691d933d2ae8933147cd361b8869e8424a91196dc99d9d9e7c725c272626e337ff296253989c2a3e10b49f17bab948cd4b209d670d593c17e4f0478e43e79732db6e335530dfeb61ec73e83211a3157c310f1ade56960bfee1225d14a4797d074610ea68533c3f38f41d96fd9c372b0985a2f95c6d4d37f2b5c0f4d11092cd619df3d5b61f87dae3ee52af53063570f1832023eec0d75de2f41cc12deae881d8e10eb24ac69fb27296248f72da4b576f3a33f14a8a192ff3755d34e5cb99a752e8814b3b229eea094c3598c2e513c81240b4f930e5daf7d7a6a8d7285bf99e155a53fef68ec5184c247d6085b75cd2544299066211850517a4259e3fb15e69870fe3b4ba85bfe02c252225fdd6382656e2c47778292b3c5f16472aa25e8de0347444f198b6b7be367a3959cb9af5a982b35c154a80d6ac480a4c8c278053f18265033217622063754e392d472ee7cdf26047489baad1a8430a4ec09f95b4337b1a19b72aae29efdca45df1e3fd1ffe611232778ad1d300639804bcf68e9c8ea9c80e4415e4bb71a6f0c0f82389db48aefb96f0b815ef9b2e52ec683540de38464ab44ab760ccbf10447007abc2f9b916fe0d8032a96192dfa2dffe7b13cae2b5423f56583ec712ba19e36aba711da8f1f2c61920c2bb6342408af43f2b284bffb5d05ff934963ab8a045b00000000049454e44ae42608200000840010824000000180000000210c0db01000000030000000000000000000000000000001b40000040000000340000000100000002000000000000bf000000bf0000c4420000c84103000000000000b3000000b3ffffc342000000b3000000b3ffffc7412100000008000000620000000c00000001000000150000000c00000004000000150000000c0000000400000051000000c00a00000000000000000000610000001800000000000000000000000000000000000000620000001900000050000000ac000000fc000000c4090000000000002000cc0062000000190000002800000062000000190000000100080000000000000000000000000000000000210000000000000000000000ffffff00bfffff0000007400bf74000048007400ffdf9c0074bfff0048000000dfffff0000489c00df9c48009cdfff0048004800489cdf0074000000ffffbf000074bf00ffbf740074004800000048009c484800ffffdf009c480000744848000048740048489c000048480074007400489c9c00bfffbf00dfdf9c0074bfbf000101010101010101010101010101010101010101010101010101010101010101010101010101010101010101010101010101010101010101010101010101010101010101010101010101010101010101010101010101010101010101010101010101010101010101010101010101010101010101010101010101010101010101010101010101010101010101010101010101010101010101010101010101010101010101010101010101010101010101010101010101010101010101010101010101010101010101010101010101010101010101010101010101010101010101010101010101010101010101010101010101010101010101010101010101010101010101010101010101010101010101010101010101010101010101010101010101010101010101010107ff0101010101010101010101010101010101010101010101010101010101010101010101010101010101010101010101010101010101010101010101010101010101010101010101010101010101010101010101010101010101010101010101010101010101010101010c140b0101010101010101010101010101010101010101010101010101010101010101010101010101010101010101010101010101010e0f10010101010101010101010101010101010101010101010101010101010101010101010101010101010101110f10010101010101010101010101010101010101010101010101010101010101010101010101010101010101010101010101010101010102030b010101010c14120101010101010101010101010101010101010101010101010101010101ff0101010e0f100101010101010101010101010101010101010101010101010101010101010101010101010101010101010101010101010101010101010102030b010101010e1716010101010101010101010101010101010101010101010101010101010101010c14120101010101010101010101010101010101010101010101010101010101010101010101010101010101010101010101010101010101010101010708060101010c1412010101010101010101010101010101010101010101010101010101010101011117160101010203000f100101011100001716010101010101010101010101010101010101010101010101010101010101090a00000000080601010102030b01010101111716010101010101090a0000000000001716010101010c140000171601ff0102030401010101010c131001010101090a17160101010101010101010101010101010101010101010101010101010101010c1408060101110806010101011117160101010c0d0601010101010101090a0f10010107000f100101010102030401010101010c140b0101010101021c1001110401090a1716010101010101010101010101010101010101010101010101010101010101110012010101020506010101010e0806010101090a0401010101010101090a0f100101010e000b0101010102030401010101010700120101010101021c100c140806090a1716010101010101010101010101010101010101010101010101010101010102030f100101010101010101010107080601010101070806010101010101090a0f1001010107000401010101020304010101ff010700120101010101021c100e0f2004090a17160101010101010101010101010101070004010101010101010101010101070017160101010101010101010107001201010101090a0b010101010101090a0f100101010e000b0101010102030401010101010700120101010101021c1e030b091a1f0a171601010101010101010101010101010e000f100101010101010101010101070004010101010101010101010107080601010101010e0f100101010101090a0f100101070017160101010102030401010102010c140b0101010101021c1d0f10010704111716010101010101010101010101010107000401010101010101010101010107000401010101010101010101010e0806010101010102030b0101010101090a0000000008060101010e0401020304010901ff0102030401010101010c1819040101091a1b1716010203000000001201010101010101010101010101010102030008060107000401010101010101010101011117160101010101010e171601010101090a0f1001010e001201010e080602030401070101010111171601010102030008060101010700001716010704010107120101010101010101010101010101090a12010c13100c14171601010101010101010102030b010101010101010c141201010101090a0f10010101110806010e00000000000000010101010c14120101010101010101010101010101010101010e0401010101010101010101010101010101010c151601011112090a0f100101010101010101010708060101010101010101111716010101090a0f100101010e000b01010101010101010100ff0101010e0f100101010101010101010101010101010101010704010101010101010101010101010101010c151601011112010e000b010101020506010102030b0101010101010101010c0d06010101090a0f1001010111000b0101010101010101010b0801010101110f100101010101010101010101010101010101010e0b010101010101010101010101010101090a12010c1310010111001201011108060102030b01010101010101010101011104010101090a0f1001010c1408060101010101010101010101010101010102030b01010101010101010101010101010101010c0d06010101010101010101010101010101020300080601010101070000000008060e0f1001010101010101010101010107080601090a00000000000008060101010101010101010101ff0101010101010101010101010101010101010101010205060107080601010101010101010101010101010101010101010101010101010101010101010101010101010101010101010101090a040101010101010101010101010101010101010101010101010101010101010101010101010101010101010101010203000004010101010101010101010101010101010101010101010101010101010101010101010101010101010101010101010101010101010101010101010101010101010101010101010101010101010101010101010101010101010101010101010101010101010101010101010101010101010101010101010101010101010101010101010101010101010101010101010101010101010101010101010101010101010101010101010101010101ffff010101010101010101010101010101010101010101010101010101010101010101010101010101010101010101010101010101010101010101010101010101010101010101010101010101010101010101010101010101010101010101010101010100ff4c0000006400000000000000000000006100000018000000000000000000000062000000190000002900aa0000000000000000000000803f00000000000000000000803f0000000000000000000000000000000000000000000000000000000000000000220000000c000000ffffffff460000001c00000010000000454d462b024000000c000000000000000e000000140000000000000010000000140000000400000003010800050000000b0200000000050000000c0219006200030000001e000400000007010400040000000701040045050000410b2000cc00190062000000000019006200000000002800000062000000190000000100080000000000000000000000000000000000210000000000000000000000ffffff00bfffff0000007400bf74000048007400ffdf9c0074bfff0048000000dfffff0000489c00df9c48009cdfff0048004800489cdf0074000000ffffbf000074bf00ffbf740074004800000048009c484800ffffdf009c480000744848000048740048489c000048480074007400489c9c00bfffbf00dfdf9c0074bfbf000101010101010101010101010101010101010101010101010101010101010101010101010101010101010101010101010101010101010101010101010101010101010101010101010101010101010101010101010101010101010101010101010101010101010101010101010101010101010101010101010101010101010101010101010101010101010101010101010101010101010101010101010101010101010101010101010101010101010101010101010101010101010101010101010101010101010101010101010101010101010101010101010101010101010101010101010101010101010101010101010101010101010101010101010101010101010101010101010101010101010101010101010101010101010101010101010101010101010101010107ff0101010101010101010101010101010101010101010101010101010101010101010101010101010101010101010101010101010101010101010101010101010101010101010101010101010101010101010101010101010101010101010101010101010101010101010c140b0101010101010101010101010101010101010101010101010101010101010101010101010101010101010101010101010101010e0f10010101010101010101010101010101010101010101010101010101010101010101010101010101010101110f10010101010101010101010101010101010101010101010101010101010101010101010101010101010101010101010101010101010102030b010101010c14120101010101010101010101010101010101010101010101010101010101ff0101010e0f100101010101010101010101010101010101010101010101010101010101010101010101010101010101010101010101010101010101010102030b010101010e1716010101010101010101010101010101010101010101010101010101010101010c14120101010101010101010101010101010101010101010101010101010101010101010101010101010101010101010101010101010101010101010708060101010c1412010101010101010101010101010101010101010101010101010101010101011117160101010203000f100101011100001716010101010101010101010101010101010101010101010101010101010101090a00000000080601010102030b01010101111716010101010101090a0000000000001716010101010c140000171601ff0102030401010101010c131001010101090a17160101010101010101010101010101010101010101010101010101010101010c1408060101110806010101011117160101010c0d0601010101010101090a0f10010107000f100101010102030401010101010c140b0101010101021c1001110401090a1716010101010101010101010101010101010101010101010101010101010101110012010101020506010101010e0806010101090a0401010101010101090a0f100101010e000b0101010102030401010101010700120101010101021c100c140806090a1716010101010101010101010101010101010101010101010101010101010102030f100101010101010101010107080601010101070806010101010101090a0f1001010107000401010101020304010101ff010700120101010101021c100e0f2004090a17160101010101010101010101010101070004010101010101010101010101070017160101010101010101010107001201010101090a0b010101010101090a0f100101010e000b0101010102030401010101010700120101010101021c1e030b091a1f0a171601010101010101010101010101010e000f100101010101010101010101070004010101010101010101010107080601010101010e0f100101010101090a0f100101070017160101010102030401010102010c140b0101010101021c1d0f10010704111716010101010101010101010101010107000401010101010101010101010107000401010101010101010101010e0806010101010102030b0101010101090a0000000008060101010e0401020304010901ff0102030401010101010c1819040101091a1b1716010203000000001201010101010101010101010101010102030008060107000401010101010101010101011117160101010101010e171601010101090a0f1001010e001201010e080602030401070101010111171601010102030008060101010700001716010704010107120101010101010101010101010101090a12010c13100c14171601010101010101010102030b010101010101010c141201010101090a0f10010101110806010e00000000000000010101010c14120101010101010101010101010101010101010e0401010101010101010101010101010101010c151601011112090a0f100101010101010101010708060101010101010101111716010101090a0f100101010e000b01010101010101010100ff0101010e0f100101010101010101010101010101010101010704010101010101010101010101010101010c151601011112010e000b010101020506010102030b0101010101010101010c0d06010101090a0f1001010111000b0101010101010101010b0801010101110f100101010101010101010101010101010101010e0b010101010101010101010101010101090a12010c1310010111001201011108060102030b01010101010101010101011104010101090a0f1001010c1408060101010101010101010101010101010102030b01010101010101010101010101010101010c0d06010101010101010101010101010101020300080601010101070000000008060e0f1001010101010101010101010107080601090a00000000000008060101010101010101010101ff0101010101010101010101010101010101010101010205060107080601010101010101010101010101010101010101010101010101010101010101010101010101010101010101010101090a040101010101010101010101010101010101010101010101010101010101010101010101010101010101010101010203000004010101010101010101010101010101010101010101010101010101010101010101010101010101010101010101010101010101010101010101010101010101010101010101010101010101010101010101010101010101010101010101010101010101010101010101010101010101010101010101010101010101010101010101010101010101010101010101010101010101010101010101010101010101010101010101010101010101ffff010101010101010101010101010101010101010101010101010101010101010101010101010101010101010101010101010101010101010101010101010101010101010101010101010101010101010101010101010101010101010101010101010100ff0c00000040092900aa000000000000001900620000000000040000002701ffff030000000000>.
Для стен из сборных панелей формула 2 примем следующий вид:

где >>>
>
- искомая толщина стеновой панели, м;
>>>
>
- коэффициент теплопроводимости материала
панели, >010009000003c40d000000004a08000000004a08000026060f008a10574d464301000000000001008c500000000001000000681000000000000068100000010000006c000000000000000000000061000000180000000000000000000000060a00008e02000020454d4600000100681000000c00000001000000000000000000000000000000900600001a040000b801000013010000000000000000000000000000c0b6060038320400460000002c00000020000000454d462b014001001c000000100000000210c0db010000006000000060000000460000004404000038040000454d462b224004000c000000000000001e4009000c00000000000000244001000c000000000000003040020010000000040000000000803f214007000c000000000000000840000590030000840300000210c0db01000000000000000000000000000000000000000100000089504e470d0a1a0a0000000d494844520000006200000019080200000045226c5b000000017352474200aece1ce9000000097048597300000ec400000ec401952b0e1b0000030b494441545847ed58416eab3010353d095136597008503754ddf6066153654b94335461db5d72836eabb2a9e010597453959bf03d3638067bf04012a9ff7f2c556a60c6337e9ef73cc6abeb9acdc385c09dcb607e0f08cc3091eae0463055c707cfdb96a414fe0aa3bafe39c4d64ce3c30f17ae49a34819c3dc87de4d0a269d605a318cb8ea8d6620d69c16e4784c584aa434b706ba89484162b61c44c2239223af02d26de6d5fe55e0a9902201b5a8111b86c0d4eece149c20518bdfd80d24632476590bc8572f71917bdd4d85bfd41f509142b5c95fd9a9e85492f235c9e3a77bbf6b581d9f933c2df6a1d3ff6a06d5e75bce8b77b7d65309f7f587f620dc17699e3c1f2b57543be99a6a6a80c7d4cb4221a4666cbb86a8092e32787dd94867ab25db0ca482b293aea755e2a7844c93179bd22084434409c892a61d318547b18a36827806baf2014109319c749c75d26591d78c45c238281d86f48a9767106e8c23d24e38567d9f38ccab1e0f19f39741ce564f31cbde9bde814f10ec76014281720bf9d9fb0cce2639744eb9a824de83bce46f9f83bcd361d2902f8264e1790f0d67fdf547173319beffb83abe647d2d1086d51717896069c0245e2ed7bb94652f108a4f703a6c7c00d53604daec8c290904b711df2cab112caf451d91f0700f25471237150224333e6c4277623d0b28cb3c792d45297504b76bd8ac277d1c11e2f43d58252a40fe45aea64e52322787b7ee81108e029a7f0fc48b225e4a83084862114fcbf011c489ba008b24e899a30d81ac7087f77926947060229a8ba17df5817856be5250466c244e4af6a41597b7564a5ab786cb83911098caed22319b0e7ca661c289cab4ecab9620140ab14cc8c8c933268bceb894db2833dc4139cd464f42aa0e0cf44e6736d27afb64f4b6e81d4eddb8fa13aa23bc73689f6f60536e00660761f67cbd79f1be49bbdac8bee9b241b986506c2ecb62a2f74077a9757b5780096929fb69ff4aa05c9f32da42bf18a631abbfd91782699534784de95ea72f86696c86dac567aceb15edc76c2e84f5f81ff9e8f87f0d6ff491f75f03748689b4a3334c2498fe00c7e89807071f14fc0000000049454e44ae42608200000840010824000000180000000210c0db01000000030000000000000000000000000000001b40000040000000340000000100000002000000000000bf000000bf0000c4420000c84103000000000000b3000000b3ffffc342000000b3000000b3ffffc7412100000008000000620000000c00000001000000150000000c00000004000000150000000c0000000400000051000000c00a00000000000000000000610000001800000000000000000000000000000000000000620000001900000050000000ac000000fc000000c4090000000000002000cc0062000000190000002800000062000000190000000100080000000000000000000000000000000000210000000000000000000000ffffff00dfffff0000489c00bf74000048000000ffdf9c0074bfff00bfffff0000007400df9c4800489cdf0074000000ffffbf009cdfff00000048000074bf00ffbf740074004800480048009c484800ffffdf00480074009c480000744848000048740048489c000048480074007400489c9c00bfffbf00dfdf9c0074bfbf000101010101010101010101010101010101010101010101010101010101010101010101010101010101010101010101010101010101010101010101010101010101010101010101010101010101010101010101010101010101010101010101010101ffff0101010101010101010101010101010101010101010101010101010101010101010101010101010101010101010101010101010101010101010101010101010101010101010101010101010101010101010101010101010101010101010101010101ffff0101010101010101010101010101010101010101010101010101010101010101010101010101010101010101010101010101010101010101010101010101010101010101010101010101010101010101010101010101010101010101010101010101ffff010101010101010101010101010101010101010101010101010101010101010101010101010101010101010101010101010101010101010101010101010101010101010101010101010101010101010101010101010101010101010101010101010174ff010101010101010101010101010101010101010101010101010101010101010101010101010e0f0a0101010101010101010101010101010101010101010101010101010101010101010101010101010101010b0c0d01010101010101010101010101ffff0101010101010101010101010101010101010101010e0f11010101010101010101010101100c0d010101010101010101010101010101010101010101010101010101010101010101010101010101010101010108090a010101010101010e14150101ffff010101010101010101010101010101010101010101010b1715010101010101010101010b0c0d0101010101010101010101010101010101010101010101010101010101010101010101010101010101010101010108090a0101010101010110040101ffff010101010101010101010101010101010101010101010e0f110101010101010101010e0f1101010101010101010101010101010101010101010101010101010101010101010101010101010101010101010101010107050601010101010107001101ffff02030000000000001715010101010e0f0000171501010110171501010101010101011017150101010809000c0d0101011000001715010101010101010101010101010101010101010101020300000000050601010108090a01010101010107000a01ffff0102030c0d010107000c0d0101010108090401010101010e13060101010101010108090401010101010e120d01010101020317150101010101010101010101010101010101010101010e0f0506010110050601010101101715010101010107001101ffff0102030c0d0101010b000a010101010809040101010101020304010101010101010e0f0a0101010101081c0d0110040102031715010101010101010101010101010101010101010101100011010101081606010101010b0506010101010101010101ffff0102030c0d010101070004010101010809040101010101010705060101010101010700110101010101081c0d0e0f050602031715010101010101010101010101010101010101010108090c0d01010101010101010101070506010101010101010101ffff0102030c0d0101010b000a0101010108090401010101010102030a0101010101010700110101010101081c0d0b0c2004020317150101010101070004010101010101010101010101070017150101010101010101010107001101010101010101010100ff0102030c0d01010700171501010101080904010101010101010b0c0d01010101010700110101010101081c1e090a021a1f03171501010101010b000c0d01010101010101010101010700040101010101010101010101070506010101010101010101ffff0102030000000005060101010b04010809040102031101010108090a01010101010e0f0a0101010101081c1d0c0d010704101715010101010107000401010101010101010101010107000401010101010101010101010b050601010101010b000a01ffff0102030c0d01010b001101010b050608090401070011010101010b17150101010108090401010101010e1819040101021a1b17150101010101010101010101010101080900050601070004010101010101010101010110171501010101010b000a01ffff0102030c0d010101100506010b000000000000000011010101010e0f11010101010110171501010108090005060101010700001715010101010101010101010101020311010e120d0e0f171501010101010101010108090a01010101010101010101ffff0102030c0d0101010b000a01010101010101010101010101010101101715010101010e0f11010101010101010101010101010101010101010101010101010101010e14150101101102030c0d01010101010101010107050601010101010101010101ffff0102030c0d01010110000a010101010101010101010101010101010e130601010101010b0c0d0101010101010101010101010101010101010101010101010101010e141501011011010b000a010101081606010108090a0101010101010101010101ffff0102030c0d01010e0f050601010101010101010101010101010101011004010101010101100c0d0101010101010101010101010101010101010101010101010101020311010e120d010110001101011005060108090a010101010101010101010101ffff0203000000000000050601010101010101010101010101010101010107050601010101010108090a0101010101010101010101010101010101010101010101010101080900050601010101070000000005060b0c0d01010101010101010101010101ffff0101010101010101010101010101010101010101010101010101010102030401010101010101010101010101010101010101010101010101010101010101010101010101010101010101010101010101010101010101010101010101010101010101ffff0101010101010101010101010101010101010101010101010101010101010101010101010101010101010101010101010101010101010101010101010101010101010101010101010101010101010101010101010101010101010101010101010101ffff010101010101010101010101010101010101010101010101010101010101010101010101010101010101010101010101010101010101010101010101010101010101010101010101010101010101010101010101010101010101010101010101010174000101010101010101010101010101010101010101010101010101010101010101010101010101010101010101010101010101010101010101010101010101010101010101010101010101010101010101010101010101010101010101010101010101ffff4c0000006400000000000000000000006100000018000000000000000000000062000000190000002900aa0000000000000000000000803f00000000000000000000803f0000000000000000000000000000000000000000000000000000000000000000220000000c000000ffffffff460000001c00000010000000454d462b024000000c000000000000000e000000140000000000000010000000140000000400000003010800050000000b0200000000050000000c0219006200030000001e000400000007010400040000000701040045050000410b2000cc00190062000000000019006200000000002800000062000000190000000100080000000000000000000000000000000000210000000000000000000000ffffff00dfffff0000489c00bf74000048000000ffdf9c0074bfff00bfffff0000007400df9c4800489cdf0074000000ffffbf009cdfff00000048000074bf00ffbf740074004800480048009c484800ffffdf00480074009c480000744848000048740048489c000048480074007400489c9c00bfffbf00dfdf9c0074bfbf000101010101010101010101010101010101010101010101010101010101010101010101010101010101010101010101010101010101010101010101010101010101010101010101010101010101010101010101010101010101010101010101010101ffff0101010101010101010101010101010101010101010101010101010101010101010101010101010101010101010101010101010101010101010101010101010101010101010101010101010101010101010101010101010101010101010101010101ffff0101010101010101010101010101010101010101010101010101010101010101010101010101010101010101010101010101010101010101010101010101010101010101010101010101010101010101010101010101010101010101010101010101ffff010101010101010101010101010101010101010101010101010101010101010101010101010101010101010101010101010101010101010101010101010101010101010101010101010101010101010101010101010101010101010101010101010174ff010101010101010101010101010101010101010101010101010101010101010101010101010e0f0a0101010101010101010101010101010101010101010101010101010101010101010101010101010101010b0c0d01010101010101010101010101ffff0101010101010101010101010101010101010101010e0f11010101010101010101010101100c0d010101010101010101010101010101010101010101010101010101010101010101010101010101010101010108090a010101010101010e14150101ffff010101010101010101010101010101010101010101010b1715010101010101010101010b0c0d0101010101010101010101010101010101010101010101010101010101010101010101010101010101010101010108090a0101010101010110040101ffff010101010101010101010101010101010101010101010e0f110101010101010101010e0f1101010101010101010101010101010101010101010101010101010101010101010101010101010101010101010101010107050601010101010107001101ffff02030000000000001715010101010e0f0000171501010110171501010101010101011017150101010809000c0d0101011000001715010101010101010101010101010101010101010101020300000000050601010108090a01010101010107000a01ffff0102030c0d010107000c0d0101010108090401010101010e13060101010101010108090401010101010e120d01010101020317150101010101010101010101010101010101010101010e0f0506010110050601010101101715010101010107001101ffff0102030c0d0101010b000a010101010809040101010101020304010101010101010e0f0a0101010101081c0d0110040102031715010101010101010101010101010101010101010101100011010101081606010101010b0506010101010101010101ffff0102030c0d010101070004010101010809040101010101010705060101010101010700110101010101081c0d0e0f050602031715010101010101010101010101010101010101010108090c0d01010101010101010101070506010101010101010101ffff0102030c0d0101010b000a0101010108090401010101010102030a0101010101010700110101010101081c0d0b0c2004020317150101010101070004010101010101010101010101070017150101010101010101010107001101010101010101010100ff0102030c0d01010700171501010101080904010101010101010b0c0d01010101010700110101010101081c1e090a021a1f03171501010101010b000c0d01010101010101010101010700040101010101010101010101070506010101010101010101ffff0102030000000005060101010b04010809040102031101010108090a01010101010e0f0a0101010101081c1d0c0d010704101715010101010107000401010101010101010101010107000401010101010101010101010b050601010101010b000a01ffff0102030c0d01010b001101010b050608090401070011010101010b17150101010108090401010101010e1819040101021a1b17150101010101010101010101010101080900050601070004010101010101010101010110171501010101010b000a01ffff0102030c0d010101100506010b000000000000000011010101010e0f11010101010110171501010108090005060101010700001715010101010101010101010101020311010e120d0e0f171501010101010101010108090a01010101010101010101ffff0102030c0d0101010b000a01010101010101010101010101010101101715010101010e0f11010101010101010101010101010101010101010101010101010101010e14150101101102030c0d01010101010101010107050601010101010101010101ffff0102030c0d01010110000a010101010101010101010101010101010e130601010101010b0c0d0101010101010101010101010101010101010101010101010101010e141501011011010b000a010101081606010108090a0101010101010101010101ffff0102030c0d01010e0f050601010101010101010101010101010101011004010101010101100c0d0101010101010101010101010101010101010101010101010101020311010e120d010110001101011005060108090a010101010101010101010101ffff0203000000000000050601010101010101010101010101010101010107050601010101010108090a0101010101010101010101010101010101010101010101010101080900050601010101070000000005060b0c0d01010101010101010101010101ffff0101010101010101010101010101010101010101010101010101010102030401010101010101010101010101010101010101010101010101010101010101010101010101010101010101010101010101010101010101010101010101010101010101ffff0101010101010101010101010101010101010101010101010101010101010101010101010101010101010101010101010101010101010101010101010101010101010101010101010101010101010101010101010101010101010101010101010101ffff010101010101010101010101010101010101010101010101010101010101010101010101010101010101010101010101010101010101010101010101010101010101010101010101010101010101010101010101010101010101010101010101010174000101010101010101010101010101010101010101010101010101010101010101010101010101010101010101010101010101010101010101010101010101010101010101010101010101010101010101010101010101010101010101010101010101ffff0c00000040092900aa000000000000001900620000000000040000002701ffff030000000000>
>>>
>
- тепловой (термическое) сопротивление
теплопередачи отдельного слоя с двух
сторон панели; принять толщину каждого
отделочного слоя >>>
>
м, коэффициент теплопроводности >>>
>.
Полученное расчетное значение кирпичной кладки округлить до ближайшего стандартного размера кирпичных стен: в 1,5 кирпича - 0,38 м; в 2 кирпича - 0,51 м. Стандартная толщина стеновых панелей: 0, 20; 0,25; 0,30; 0,40 м. Расчетная схема покрытия промышленного здания показана на Рис.6. Толщина слоя утеплителя (тепловой изоляции) покрытия определяется по формуле, аналогичной предыдущим:

В формуле >0100090000039a1400000000dc0b00000000dc0b000026060f00ae17574d4643010000000000010051c800000000010000008c170000000000008c170000010000006c0000000000000000000000910000001b0000000000000000000000ef0e0000dc02000020454d46000001008c1700000c00000001000000000000000000000000000000900600001a040000b801000013010000000000000000000000000000c0b6060038320400460000002c00000020000000454d462b014001001c000000100000000210c0db01000000600000006000000046000000e0040000d4040000454d462b224004000c000000000000001e4009000c00000000000000244001000c000000000000003040020010000000040000000000803f214007000c00000000000000084000052c040000200400000210c0db01000000000000000000000000000000000000000100000089504e470d0a1a0a0000000d49484452000000920000001c080200000005a37171000000017352474200aece1ce9000000097048597300000ec400000ec401952b0e1b000003a7494441546843ed593b6ef2401036ff498cd2a4e010a0bf71e4363780264a6bc419a2d0221ab8415a044d641f22459a08df84ccbe5fd8de5ddb722ced3698f578f69bf7eceee476bb45618c4d03ffc60638e0451a08661ba51f04b38dde6cc57a82c7d3b1ec5e965e99dbc01d1c800cb22d181e6de5f1e994427f723d24978fcf8eedd62b731b9b0d0e4006d90518b0943ac06e51961bd3dd4cf4cadc06e2e0006490fe60ccda163fcc6cfcd78fa657e6369006072083f407639aadfcf9b291df8fa657e636900607a0644b6f55eb662bd6d3d5c5467e1f9a5e99db001a1c80da96f8ab5a355bb15e6c6dc4f7a2e995b90da2c101a8466ba36ad96c58ac2ccf331b1db8d2f4cadc06cce0000ca3b55135ef6c90b592c315ed00d04fb7e32e73d448c1206d2bfda3fc537098dee4d2eff62a9dabaeda83a1d1065b89c53639ec97b18de33ad254339f817fe4d11bdadec7cb3dde79bccf817bb1fb78be5e0f4a4b3b7f57fa6566661b2cbd4a670340dbb575a06aeee9ccb5fd3713f79d0eebb78e799e91b77ce1aa78f744d608c03558dad0770406a28db457d9468b3470d175012ff179173c4530c19fd9bc7e1886c911311bb5cc09d13c9dad76d227e5e7c74c0763edd2ce00985404373b7422a77c4c7221bb38fdc394e8189032408fe46b2abe810465112755034bcc1c7e8dc3305232e432418b080b10f84bdf624f310a0abc1735087f2b481a9913c7d5cb5645d1d2f2e25d2a4700889cf02162d2c867f14e65470b5319d54c40c8e91cfc186a5430366a432c27be2342738cf4296a8c78c12bc932e9dc4bed21281b566c1bb90a02fe09cf81429735c76e152bb901505c4e5a4c4bd39566531d4eede4dc90a8ee2b595ba90c1cafe5c54db17e89f6e7d7472959c5cb335e2b3d892b83e2043b08a704571edf8c5668fe7a48b6b84fa919f3f4de3ec51d804dfa45ed52b49aa20c28ef9051a71341a832236fbea7e2f2c4130936581e2d944a6362b432db76714acf4ae903c4e6f50eec8c400adc0ada8e62b7ba24cfff63953e5e6eb20bad7728abcbc59252227347b307f850227006103f266c1de0537f6125fa260a0161cf52495af0247679e28c445180eeb75f3fc485912b6099a3a62449cb0e7102e2dfe85929332efb2739ed117ea26870ee7c2d78c733a65e00a5dadbe6c682b3d52b32afd15275a162c3d26252cc510df9ee7a65551bec895939eb09a8c8363402dd001a80bc36fddee839cc2a490e80362c59ab8160b63fed20e5f105f6d4db855edd4392fcd366ab0217a22d986d941a1825e8106da334db2f4958cb20a965e9730000000049454e44ae42608200000840010824000000180000000210c0db01000000030000000000000000000000000000001b40000040000000340000000100000002000000000000bf000000bf000012430000e04103000000000000b3000000b3ffff1143000000b3000000b3ffffdf412100000008000000620000000c00000001000000150000000c00000004000000150000000c0000000400000051000000481100000000000000000000910000001b00000000000000000000000000000000000000920000001c00000050000000c80000001801000030100000000000002000cc00920000001c00000028000000920000001c0000000100080000000000000000000000000000000000280000000000000000000000ffffff00bfffff00000074009c480000ffffdf00dfffff0074489c00ffffbf009cdfff0048004800ffdf9c0000489c00ffbf74000074bf0074bfff00bf740000dfffdf0048489c00489cdf0000004800df9c480048000000749cdf004874bf009c4874009cdfdf00df9c7400bf7448007400000074007400bfffdf00bfdf9c00480074009c4848007448480000487400bfbf740074bfdf00dfdf9c000101010101010101010101010101010101010101010101010101010101010101010101010101010101010101010101010101010101010101010101010101010101010101010101010101010101010101010101010101010101010101010101010101010101010101010101010101010101010101010101010101010101010101010101010101010101010101010101010101ffff0101010101010101010101010101010101010101010101010101010101010101010101010101010101010101010101010101010101010101010101010101010101010101010101010101010101010101010101010101010101010101010101010101010101010101010101010101010101010101010101010101010101010101010101010101010101010101010101010101ffff0101010101010101010101010101010101010101010101010101010101010101010101010101010101010101010101010101010101010101010101010101010101010101010101010101010101010101010101010101010101010101010101010101010101010101010101010101010101010101010101010101010101010101010101010101010101010101010101010101ffff0101010101010101010101010101010101010101010101010101010101010101010101010101010101010101010101010101010101010101010101010101010101010101010101010101010101010101010101010101010101010101010101010101010101010101010101010101010101010101010101010101010101010101010101010101010101010101010101010101ffff01010101010101010101010101010101010101010101010101010101010101010101010101010101010101010101010101010101010101010101010101010101010101010101010101010101010101010101010101010101010101010101010101010101010101010101010101010101010101010101010101010101010101010101010101010101010113001d0801010101ffff010101010101010101010101010101010101010101010101010101010101010101010101010101010101010101010101010101010101010101010101010101010101010101010101010101010101010101010101010101010101010101010101010101010101010101010101010101010101010101010101010101010101010101010101010101010101060c0d0101010101ffff010101010101010101010101010101010101010101010101010101010101010101010101010101010101010101010101010101010101010101010101010101010101010101010101010101010101010101010101010101010101010101010101010101010101010101010101010101010101010101010101010101010101010101010101010101010101060c0d0101010101ffff010101010101010101010f001d080f001d0813000000100101010101010101010101010101010101010e0015010914000d010f0004261d080f00000000160b010f1d080101010101010101010101010101010101010f00001001010203001001060c1d08091416270c1d08130004050e160b01010101010101010101010101010101010f001d08091410060c000000150101ffff01010101010101010101010e1d08060c0d0113150102210b010e0d0101010101010101010101010101010e040501131001010e10010f1d080113100101131d080f1d08010e0d010101010101010101010101010109140d010f15010109220501010113150113150102030d06120b02210b010e0d010101010101010101010101010101010e0d01130405060c150102030d01ffff01010101010101010101010e2519110c0d0101010102210b0102030d0101010101010101010101010101090a0b01131001090a0b01010101011310010102210b0101010102030d010101010101010101010101010f0405010101010109220501010113000000150101131006120b0f04050102030d0101010101010101010101010101010e0d02030d01060c0d01010e1501ffff01010101010101010101010e0d0923240d010113001d080101010e040501010101010101010101010101010e04051310010e10010101010101131001010f160b01010101010e04050101010101010101010101010f040501010101010922050101090a0b0113150101010e00000004050101010e040501010101010101010101010101010e00000d0101060c0d01010e1501ffff0e000d0101010e000405010e0d0109140d0101010102210b01010e1d0801010e000d0101010e0004050101010e00000000100101010101010113000000000d0101010101010e1d0801010e000d0101010e00040502030d010e0d180b0922050e0d090a0b0113150101021911120b130d0101010e1d080101010e000d0101010e000405010e0d091c0101060c1d0802030d01ffff02031d0801060c0d091c0f001d0813001d080f000000040501010e1d08010102031d0801060c0d091c0101021e0813100607080101010101011310010101010101010101010e1d08010102031d0801060c0d091c01091400000d0e00000000000d0113000000160b0e160b1300041f031d08010e1d0801010102031d0801060c0d091c0f001d081300151316200300040501ffff0109141501060c0d01010101010101010101010101010101010101010101010109141501060c0d010101010f1501131001131501010101010113100101010101010101010101010101010109141501060c0d0101010101010101010101010101010101010101010101010101010101010101010101010101010109141501060c0d0101010101010101010101010101010101ffff010113160b06120b0101010101010101010101010101010101010101010101010113160b06120b0101170b180b0113100102191a1b0101010113100101091c0101010101010101010101010113160b06120b010101010101010101010101010101010101010101010101010101010101010101010101010101010113160b06120b0101010101010101010101010101010101ffff0101010e0411120b01010101010101010101010101010101010101010101010101010e0411120b0101130010010914000d011300150101010f00000000001001010101010101010101010101010e0411120b0101010101010101010101010101010101010101010101010101010101010101010101010101010101010e0411120b010101010101010101010101010101010101010101010203100e0d01010101010101010101010101010101010101010101010101010203100e0d01010101010101010101010101010101010101010101010101010101010101010101010101010203100e0d0101010101010101010101010101010101010101010101010101010101010101010101010101010101010203100e0d01010101010101010101010101010101010101010101010f00000d0101010101010101010101010101010101010101010101010101010f00000d0101010101010101010101010101010101010101010101010101010101010101010101010101010f00000d010101010101010101010101010101010101010101010101010101010101010101010101010101010101010f00000d0101010101010101010101010101010101010101010101010e000d010101010101010101010101010101010101010101010101010101010e000d010101010101010101010101010101010101010101010101010101010101010101010101010101010e000d01010101010101010101010101010101010101010101010101010101010101010101010101010101010101010e000d010101010101010101010101010101010101040101010101060c0d01010101010101010101010101010101010101010101010101010101060c0d01010101010101010101010101010101010101010101010101010101010101010101010101010101060c0d0101010101010101010101010101010101010101010101010101010101010101010101010101010101010101060c0d010101010101010101010101010101010101010101010101010e0d01010101010101010101010101010101010101010101010101010101010e0d01010101010101010101010101010101010101010101010101010101010101010101010101010101010e0d0101010101010101010101010101010101010101010101010101010101010101010101010101010101010101010e0d010101010101010101010101010101010102170101010101060c0d01010101010101010101010101010101010101010101010101010101060c0d01010101010101010101010101010101010101010101010101010101010101010101010101010101060c0d0101010101010101010101010101010101010101010101010101010101010101010101010101010101010101060c0d010101010101010101010101010101010101020101060708090a0b01010101010101010101010101010101010101010101010101060708090a0b01010101010101010101010101010101010101010101010101010101010101010101010101060708090a0b0101010101010101010101010101010101010101010101010101010101010101010101010101010101060708090a0b0101010101010101010101010101010101010101010102030004050101010101010101010101010101010101010101010101010101020300040501010101010101010101010101010101010101010101010101010101010101010101010101010203000405010101010101010101010101010101010101010101010101010101010101010101010101010101010101020300040501010101010101010101010101010101011112010101010101010101010101010101010101010101010101010101010101010101010101010101010101010101010101010101010101010101010101010101010101010101010101010101010101010101010101010101010101010101010101010101010101010101010101010101010101010101010101010101010101010101010101010101010101010101010101010101010101010101010101010101010101010101010101010101010101010101010101010101010101010101010101010101010101010101010101010101010101010101010101010101010101010101010101010101010101010101010101010101010101010101010101010101010101010101010101010101010101010101010101010101010101010101010101010101010101010101010101010101010101010101010101010101010101010101010101010101010101010101010101010101010101010101010101010101010101010101010101010101010101010101010101010101010101010101010101010101010101010101010101010101010101010101010101010101010101010101010101010101010101010101010101010101010101010101010101010101010101010101010101010101010101010101010101010101010101010101010101010101010101010101010101010101010101010101010101010101010101010101010101010101010101010101010101010101010101010101010101010101010101010101010101010101010101010101010101010101010101010101010101010101010101010101010101010101014c000000640000000000000000000000910000001b0000000000000000000000920000001c0000002900aa0000000000000000000000803f00000000000000000000803f0000000000000000000000000000000000000000000000000000000000000000220000000c000000ffffffff460000001c00000010000000454d462b024000000c000000000000000e000000140000000000000010000000140000000400000003010800050000000b0200000000050000000c021c009200030000001e000400000007010400040000000701040089080000410b2000cc001c009200000000001c0092000000000028000000920000001c0000000100080000000000000000000000000000000000280000000000000000000000ffffff00bfffff00000074009c480000ffffdf00dfffff0074489c00ffffbf009cdfff0048004800ffdf9c0000489c00ffbf74000074bf0074bfff00bf740000dfffdf0048489c00489cdf0000004800df9c480048000000749cdf004874bf009c4874009cdfdf00df9c7400bf7448007400000074007400bfffdf00bfdf9c00480074009c4848007448480000487400bfbf740074bfdf00dfdf9c000101010101010101010101010101010101010101010101010101010101010101010101010101010101010101010101010101010101010101010101010101010101010101010101010101010101010101010101010101010101010101010101010101010101010101010101010101010101010101010101010101010101010101010101010101010101010101010101010101ffff0101010101010101010101010101010101010101010101010101010101010101010101010101010101010101010101010101010101010101010101010101010101010101010101010101010101010101010101010101010101010101010101010101010101010101010101010101010101010101010101010101010101010101010101010101010101010101010101010101ffff0101010101010101010101010101010101010101010101010101010101010101010101010101010101010101010101010101010101010101010101010101010101010101010101010101010101010101010101010101010101010101010101010101010101010101010101010101010101010101010101010101010101010101010101010101010101010101010101010101ffff0101010101010101010101010101010101010101010101010101010101010101010101010101010101010101010101010101010101010101010101010101010101010101010101010101010101010101010101010101010101010101010101010101010101010101010101010101010101010101010101010101010101010101010101010101010101010101010101010101ffff01010101010101010101010101010101010101010101010101010101010101010101010101010101010101010101010101010101010101010101010101010101010101010101010101010101010101010101010101010101010101010101010101010101010101010101010101010101010101010101010101010101010101010101010101010101010113001d0801010101ffff010101010101010101010101010101010101010101010101010101010101010101010101010101010101010101010101010101010101010101010101010101010101010101010101010101010101010101010101010101010101010101010101010101010101010101010101010101010101010101010101010101010101010101010101010101010101060c0d0101010101ffff010101010101010101010101010101010101010101010101010101010101010101010101010101010101010101010101010101010101010101010101010101010101010101010101010101010101010101010101010101010101010101010101010101010101010101010101010101010101010101010101010101010101010101010101010101010101060c0d0101010101ffff010101010101010101010f001d080f001d0813000000100101010101010101010101010101010101010e0015010914000d010f0004261d080f00000000160b010f1d080101010101010101010101010101010101010f00001001010203001001060c1d08091416270c1d08130004050e160b01010101010101010101010101010101010f001d08091410060c000000150101ffff01010101010101010101010e1d08060c0d0113150102210b010e0d0101010101010101010101010101010e040501131001010e10010f1d080113100101131d080f1d08010e0d010101010101010101010101010109140d010f15010109220501010113150113150102030d06120b02210b010e0d010101010101010101010101010101010e0d01130405060c150102030d01ffff01010101010101010101010e2519110c0d0101010102210b0102030d0101010101010101010101010101090a0b01131001090a0b01010101011310010102210b0101010102030d010101010101010101010101010f0405010101010109220501010113000000150101131006120b0f04050102030d0101010101010101010101010101010e0d02030d01060c0d01010e1501ffff01010101010101010101010e0d0923240d010113001d080101010e040501010101010101010101010101010e04051310010e10010101010101131001010f160b01010101010e04050101010101010101010101010f040501010101010922050101090a0b0113150101010e00000004050101010e040501010101010101010101010101010e00000d0101060c0d01010e1501ffff0e000d0101010e000405010e0d0109140d0101010102210b01010e1d0801010e000d0101010e0004050101010e00000000100101010101010113000000000d0101010101010e1d0801010e000d0101010e00040502030d010e0d180b0922050e0d090a0b0113150101021911120b130d0101010e1d080101010e000d0101010e000405010e0d091c0101060c1d0802030d01ffff02031d0801060c0d091c0f001d0813001d080f000000040501010e1d08010102031d0801060c0d091c0101021e0813100607080101010101011310010101010101010101010e1d08010102031d0801060c0d091c01091400000d0e00000000000d0113000000160b0e160b1300041f031d08010e1d0801010102031d0801060c0d091c0f001d081300151316200300040501ffff0109141501060c0d01010101010101010101010101010101010101010101010109141501060c0d010101010f1501131001131501010101010113100101010101010101010101010101010109141501060c0d0101010101010101010101010101010101010101010101010101010101010101010101010101010109141501060c0d0101010101010101010101010101010101ffff010113160b06120b0101010101010101010101010101010101010101010101010113160b06120b0101170b180b0113100102191a1b0101010113100101091c0101010101010101010101010113160b06120b010101010101010101010101010101010101010101010101010101010101010101010101010101010113160b06120b0101010101010101010101010101010101ffff0101010e0411120b01010101010101010101010101010101010101010101010101010e0411120b0101130010010914000d011300150101010f00000000001001010101010101010101010101010e0411120b0101010101010101010101010101010101010101010101010101010101010101010101010101010101010e0411120b010101010101010101010101010101010101010101010203100e0d01010101010101010101010101010101010101010101010101010203100e0d01010101010101010101010101010101010101010101010101010101010101010101010101010203100e0d0101010101010101010101010101010101010101010101010101010101010101010101010101010101010203100e0d01010101010101010101010101010101010101010101010f00000d0101010101010101010101010101010101010101010101010101010f00000d0101010101010101010101010101010101010101010101010101010101010101010101010101010f00000d010101010101010101010101010101010101010101010101010101010101010101010101010101010101010f00000d0101010101010101010101010101010101010101010101010e000d010101010101010101010101010101010101010101010101010101010e000d010101010101010101010101010101010101010101010101010101010101010101010101010101010e000d01010101010101010101010101010101010101010101010101010101010101010101010101010101010101010e000d010101010101010101010101010101010101040101010101060c0d01010101010101010101010101010101010101010101010101010101060c0d01010101010101010101010101010101010101010101010101010101010101010101010101010101060c0d0101010101010101010101010101010101010101010101010101010101010101010101010101010101010101060c0d010101010101010101010101010101010101010101010101010e0d01010101010101010101010101010101010101010101010101010101010e0d01010101010101010101010101010101010101010101010101010101010101010101010101010101010e0d0101010101010101010101010101010101010101010101010101010101010101010101010101010101010101010e0d010101010101010101010101010101010102170101010101060c0d01010101010101010101010101010101010101010101010101010101060c0d01010101010101010101010101010101010101010101010101010101010101010101010101010101060c0d0101010101010101010101010101010101010101010101010101010101010101010101010101010101010101060c0d010101010101010101010101010101010101020101060708090a0b01010101010101010101010101010101010101010101010101060708090a0b01010101010101010101010101010101010101010101010101010101010101010101010101060708090a0b0101010101010101010101010101010101010101010101010101010101010101010101010101010101060708090a0b0101010101010101010101010101010101010101010102030004050101010101010101010101010101010101010101010101010101020300040501010101010101010101010101010101010101010101010101010101010101010101010101010203000405010101010101010101010101010101010101010101010101010101010101010101010101010101010101020300040501010101010101010101010101010101011112010101010101010101010101010101010101010101010101010101010101010101010101010101010101010101010101010101010101010101010101010101010101010101010101010101010101010101010101010101010101010101010101010101010101010101010101010101010101010101010101010101010101010101010101010101010101010101010101010101010101010101010101010101010101010101010101010101010101010101010101010101010101010101010101010101010101010101010101010101010101010101010101010101010101010101010101010101010101010101010101010101010101010101010101010101010101010101010101010101010101010101010101010101010101010101010101010101010101010101010101010101010101010101010101010101010101010101010101010101010101010101010101010101010101010101010101010101010101010101010101010101010101010101010101010101010101010101010101010101010101010101010101010101010101010101010101010101010101010101010101010101010101010101010101010101010101010101010101010101010101010101010101010101010101010101010101010101010101010101010101010101010101010101010101010101010101010101010101010101010101010101010101010101010101010101010101010101010101010101010101010101010101010101010101010101010101010101010101010101010101010101010101010101010101010101010101010101010c00000040092900aa000000000000001c00920000000000040000002701ffff030000000000> - коэффициенты теплопроводности материалов;
>>>
>
- толщина слоев, входящих в покрытие.
Расчет под пристенную колонну. Определяем площадь и ширину квадратной подошвы фундамента при осевой нагрузке по следующей формуле:


где F - площадь подошвы фундамента, >0100090000034a05000000008803000000008803000026060f000607574d464301000000000001006ad30000000001000000e406000000000000e4060000010000006c000000000000000000000014000000180000000000000000000000250200008e02000020454d4600000100e40600000c00000001000000000000000000000000000000900600001a040000b801000013010000000000000000000000000000c0b6060038320400460000002c00000020000000454d462b014001001c000000100000000210c0db010000006000000060000000460000003002000024020000454d462b224004000c000000000000001e4009000c00000000000000244001000c000000000000003040020010000000040000000000803f214007000c00000000000000084000057c010000700100000210c0db01000000000000000000000000000000000000000100000089504e470d0a1a0a0000000d494844520000001500000019080200000051b7f2ba000000017352474200aece1ce9000000097048597300000ec400000ec401952b0e1b000000f849444154384fe554bb0d8330147c64124b693304288d07c806d0d11a31038296ceec910e0f411bc1268e6df00f25c2088526afb22cdfbb7bbeb323ce391ca8cb01ac849e8a6745a4ab608b70317f58f504301dd559b1d46b0803fba7468a8fe0055c2be1fbf98578d21b3dfbf052b80396d9996f439511652ec9df76997b32f751fc7220423038bde516163bb6a7a159d81cbc9440a8d0661a282ac7a6af2ed9fc5dd39240537513c0d45503cdd16bd80eb79bdf38a7f899b58cb5d9ad4cd136789d7f747f6068924490c741e8f5fb41720620a1e49a7fb293c635e77528b9d4e8f8ef25c3dae5c762e544f44fffcf074f4ffdff7ec0ff065c65f60e47e2868b0000000049454e44ae426082000840010824000000180000000210c0db01000000030000000000000000000000000000001b40000040000000340000000100000002000000000000bf000000bf0000a8410000c84103000000000000b3000000b3ffffa741000000b3000000b3ffffc7412100000008000000620000000c00000001000000150000000c00000004000000150000000c0000000400000051000000500300000000000000000000140000001800000000000000000000000000000000000000150000001900000050000000a8000000f800000058020000000000002000cc0015000000190000002800000015000000190000000100080000000000000000000000000000000000200000000000000000000000ffffff00bfffff0000007400bf74000048007400ffdf9c0074bfff00480000009cdfff0048004800489cdf00df9c48009c480000ffffdf00ffbf74007448480000487400dfffff0048489c000048480074007400489c9c0074000000ffffbf000074bf00bfffbf00dfdf9c0000489c0074bfbf000000480074004800010101010101010101010101010101010101010101010000010101010101010101010101010101010101010101010000010101010101010101010101010101010101010101010000010101010101010101010101010101010101010101010000010101010101010101010101010101010101010101010000010101010101010101010101010101010101010101019cff01010101010101010101010101010101010101010101bfff02030017180101011900000d0e010101010101010101dfff01091f1801010101121c0d0e0101010101010101010100000102151801190401121c0d0e01010101010101010101000001021518091e0806121c0d0e010101010101010101010000010215180b171d04121c0d0e0101010101010101010100000102151a030c12131b1c0d0e010101010101010101010000010215161718010704190d0e010101010101010101010000010910110401011213140d0e010203000000000f0101000002030008060101010700000d0e0107040101070f010100000101010101010101010101010101010b04010101010174ff01010101010101010101010101010101070401010101000001010101010101010101010101010101010b0c01010100000101010101010101010101010101010101090a06010100000101010101010101010101010102050601070806010100000101010101010101010101010101020300000401010100000101010101010101010101010101010101010101010100000101010101010101010101010101010101010101010100000101010101010101010101010101010101010101010100004c0000006400000000000000000000001400000018000000000000000000000015000000190000002900aa0000000000000000000000803f00000000000000000000803f0000000000000000000000000000000000000000000000000000000000000000220000000c000000ffffffff460000001c00000010000000454d462b024000000c000000000000000e000000140000000000000010000000140000000400000003010800050000000b0200000000050000000c0219001500030000001e00040000000701040004000000070104008d010000410b2000cc00190015000000000019001500000000002800000015000000190000000100080000000000000000000000000000000000200000000000000000000000ffffff00bfffff0000007400bf74000048007400ffdf9c0074bfff00480000009cdfff0048004800489cdf00df9c48009c480000ffffdf00ffbf74007448480000487400dfffff0048489c000048480074007400489c9c0074000000ffffbf000074bf00bfffbf00dfdf9c0000489c0074bfbf000000480074004800010101010101010101010101010101010101010101010000010101010101010101010101010101010101010101010000010101010101010101010101010101010101010101010000010101010101010101010101010101010101010101010000010101010101010101010101010101010101010101010000010101010101010101010101010101010101010101019cff01010101010101010101010101010101010101010101bfff02030017180101011900000d0e010101010101010101dfff01091f1801010101121c0d0e0101010101010101010100000102151801190401121c0d0e01010101010101010101000001021518091e0806121c0d0e010101010101010101010000010215180b171d04121c0d0e0101010101010101010100000102151a030c12131b1c0d0e010101010101010101010000010215161718010704190d0e010101010101010101010000010910110401011213140d0e010203000000000f0101000002030008060101010700000d0e0107040101070f010100000101010101010101010101010101010b04010101010174ff01010101010101010101010101010101070401010101000001010101010101010101010101010101010b0c01010100000101010101010101010101010101010101090a06010100000101010101010101010101010102050601070806010100000101010101010101010101010101020300000401010100000101010101010101010101010101010101010101010100000101010101010101010101010101010101010101010100000101010101010101010101010101010101010101010100000c00000040092900aa000000000000001900150000000000040000002701ffff030000000000>;
>>>
>
- нагрузка, передаваемая от наземной
части здания на фундамент колонны (для
одноэтажных зданий с сеткой колонн 6х12
м принять, в среднем принять 50 т);
>010009000003d40300000000c00200000000c002000026060f007605574d46430100000000000100e6620000000001000000540500000000000054050000010000006c00000000000000000000000b000000180000000000000000000000390100008e02000020454d4600000100540500000c00000001000000000000000000000000000000900600001a040000b801000013010000000000000000000000000000c0b6060038320400460000002c00000020000000454d462b014001001c000000100000000210c0db01000000600000006000000046000000fc010000f0010000454d462b224004000c000000000000001e4009000c00000000000000244001000c000000000000003040020010000000040000000000803f214007000c0000000000000008400005480100003c0100000210c0db01000000000000000000000000000000000000000100000089504e470d0a1a0a0000000d494844520000000c0000001908020000008a0c5898000000017352474200aece1ce9000000097048597300000ec400000ec401952b0e1b000000c449444154384f63fcffff3f0321c0444801489ece8a18800e0781fb733c305de731e73e5812a608c8dc5f02540613876903f3d11daea3ac00355121b91ca86bc78d07c8be7b70f70a034389b703b63081ba09e228846530eb4bf623bb09e42224356007328095201c8ee13ba83c5811d4e10ff6aed90137086ca806cc032013216e029b0ed78cca839974606b0fb2cf1434809eb87217e87908005b07f63d92050aca3ad0104228023b0805808dead97a002688ec2d848f60a29040611caa29937a190100dc1dc93ce6441baf0000000049454e44ae426082000840010824000000180000000210c0db01000000030000000000000000000000000000001b40000040000000340000000100000002000000000000bf000000bf000040410000c84103000000000000b3000000b3ffff3f41000000b3000000b3ffffc7412100000008000000620000000c00000001000000150000000c00000004000000150000000c0000000400000051000000f401000000000000000000000b00000018000000000000000000000000000000000000000c000000190000005000000078000000c80000002c010000000000002000cc000c00000019000000280000000c000000190000000100080000000000000000000000000000000000140000000000000000000000ffffff009cdfff00000048009c480000ffffdf0074bfff00df9c4800ffbf74000074bf0074000000ffffbf00489cdf00dfffff0000489c00bfffff0000007400bf74000048000000ffdf9c000101010101010101010101010101010101010101010101010101010101010101010101010101010101010101010101010101010101010101010101010101010101010101010101010101010101010101010101010c0000000801010203000701010c00070101010c0008010101020307010101090a0b0101010f101101010d0e040501010101090a0b010f101101010101010c12130106121301010101010203000000000801010101010f100701010f100a0b0101010d0e040501010f1011010101010c0a0b010101090a0b010101060008010101090a0b0101010600070101020304050101020300000000000405010101010101010101010101010101010101010101010101010101010101010101010101010101010101010101010101010101010101010101010101014c0000006400000000000000000000000b0000001800000000000000000000000c000000190000002900aa0000000000000000000000803f00000000000000000000803f0000000000000000000000000000000000000000000000000000000000000000220000000c000000ffffffff460000001c00000010000000454d462b024000000c000000000000000e000000140000000000000010000000140000000400000003010800050000000b0200000000050000000c0219000c00030000001e0004000000070104000400000007010400df000000410b2000cc0019000c000000000019000c0000000000280000000c000000190000000100080000000000000000000000000000000000140000000000000000000000ffffff009cdfff00000048009c480000ffffdf0074bfff00df9c4800ffbf74000074bf0074000000ffffbf00489cdf00dfffff0000489c00bfffff0000007400bf74000048000000ffdf9c000101010101010101010101010101010101010101010101010101010101010101010101010101010101010101010101010101010101010101010101010101010101010101010101010101010101010101010101010c0000000801010203000701010c00070101010c0008010101020307010101090a0b0101010f101101010d0e040501010101090a0b010f101101010101010c12130106121301010101010203000000000801010101010f100701010f100a0b0101010d0e040501010f1011010101010c0a0b010101090a0b010101060008010101090a0b0101010600070101020304050101020300000000000405010101010101010101010101010101010101010101010101010101010101010101010101010101010101010101010101010101010101010101010101010c00000040092900aa0000000000000019000c0000000000040000002701ffff030000000000>>
>
- расчетная сопротивление грунта,
>>>
>;
>>>
>
- плотность материала фундамента, >010009000003900700000000d20400000000d204000026060f009a09574d464301000000000001008ccb0000000001000000780900000000000078090000010000006c000000000000000000000028000000180000000000000000000000310400008e02000020454d4600000100780900000c00000001000000000000000000000000000000900600001a040000b801000013010000000000000000000000000000c0b6060038320400460000002c00000020000000454d462b014001001c000000100000000210c0db01000000600000006000000046000000cc020000c0020000454d462b224004000c000000000000001e4009000c00000000000000244001000c000000000000003040020010000000040000000000803f214007000c0000000000000008400005180200000c0200000210c0db01000000000000000000000000000000000000000100000089504e470d0a1a0a0000000d49484452000000290000001908020000002378900c000000017352474200aece1ce9000000097048597300000ec400000ec401952b0e1b0000019349444154484be555318ec23010747849a46baec82382684ccf0f42476b94379ca0a54b7e70ed893427f208da13f949ceeb38cec6c1c91a14516009c9d85ecfec787613d475cd5e34162fc205d837c0aef275d08e755e69b1e57bfb8f5bc619131772a03ccfb39b3a7e118ce93923c7a38328de3b1c683f810dd01e49637a806c42fdf346c4bd9206c66a3c8efd8cdec0155965811d68acd84cf6e5a0f8abfcebc8449a84dd4eb9d7619d7f61b3b72cfff4779b70c5a3797ca54aa3089adacfd51ab65b07170bd1733e2c7173b1ce56f33517a8ded24f0456e21d50b24779da167cb34249ab13e14754b0cf0d67c71fad943c18a569d4c587c9d9703d1bd5acd21931b0bba8a54a522ee384a69a91a00e4fd27b6af5fb5df06c170fe5d02ba055b13d952a69ec08570419dba137be375c81eecbe5758c210a2062dff1f79d6cc22485b6434a5a86d3b0c7f5aefeae2d91f850d707f7b3587cb50f9433ec22683d32da4f86fdca14a9ba6f5893edb5849eeafbd12277da69ec47fbf7348529ecd99296d402f97356eccc1b349fcf43e25db1ff013fc5016f3c64f8510000000049454e44ae42608200000840010824000000180000000210c0db01000000030000000000000000000000000000001b40000040000000340000000100000002000000000000bf000000bf000024420000c84103000000000000b3000000b3ffff2342000000b3000000b3ffffc7412100000008000000620000000c00000001000000150000000c00000004000000150000000c0000000400000051000000480500000000000000000000280000001800000000000000000000000000000000000000290000001900000050000000ac000000fc0000004c040000000000002000cc0029000000190000002800000029000000190000000100080000000000000000000000000000000000210000000000000000000000ffffff00489cdf00df9c4800dfffff0000489c00bf74000048489c00ffdf9c0074bfff00480000009cdfff00480048000074bf00ffbf74009c480000ffffdf0000004800bfffff0000007400bfffdf004800740074484800004874000048480074007400489c9c0074000000ffffbf00bfffbf00dfdf9c0074bfbf00740048000101010101010101010101010101010101010101010101010101010101010101010101010101010101ffffff0101010101010101010101010101010101010101010101010101010101010101010101010101010101ffffff0101010101010101010101010101010101010101010101010101010101010101010101010101010101ffffff0101010101010101010101010101010101010101010101010101010101010101010101010101010101ffffff010101010101010101010b110e01010101010101010101010101010101010101010101010101010101ffffff0101010101010101010101020f100101010101010101010101010101010101010101010101010101010000ff01010101010101010101010b110e010101010101010101010101010101010101010101010101010101ffffff01010b1100000f10010101010d0f100101010101011213001b1c0101010d00000f1001010101010101ffffff0101011213060101010101010b0c08010101010101010b201c0101010104050f100101010101010101ffffff0101011213060101010101010405060101010101010112191c010d060104050f100101010101010101ffffff01010112130601010101010101090a0801010101010112191c0b110a0804050f100101010101010101ffffff0101011213060101010101010104050301010101010112191c021b1f0604050f100101010101010101ffffff0101011213060101010101010101021b1c010101010112191d130304071e050f100101010101010101ffffff0206011213060104050e01010101121303010101010112191a1b1c0109060d0f100101010101010101ffffff020a081213060109000e0101010101020f10010101010b16170601010407180f100102000000030101ffffff0200000000000000000e01010101010b110e0101011213000a080101010900000f141508010b110e01ffffff010101010101010101010101010101010d0f100101010101010101010101010101010101010b110e01ffffff010101010101010101010101010101010b0c08010101010101010101010101010101010d00000e0101ffffff01010101010101010101010101010101010d06010101010101010101010101010101010104050e0101ffffff0101010101010101010101010101010101090a0801010101010101010101010101010101010b0c0801ffffff01010101010101010101010101010101010405060101010101010101010101010104070801090a0801ffffff0101010101010101010101010101010101010101010101010101010101010101010102000000030101ffffff0101010101010101010101010101010101010101010101010101010101010101010101010101010101ffffff0101010101010101010101010101010101010101010101010101010101010101010101010101010101ffffff0101010101010101010101010101010101010101010101010101010101010101010101010101010101ffffff4c0000006400000000000000000000002800000018000000000000000000000029000000190000002900aa0000000000000000000000803f00000000000000000000803f0000000000000000000000000000000000000000000000000000000000000000220000000c000000ffffffff460000001c00000010000000454d462b024000000c000000000000000e000000140000000000000010000000140000000400000003010800050000000b0200000000050000000c0219002900030000001e000400000007010400040000000701040089020000410b2000cc00190029000000000019002900000000002800000029000000190000000100080000000000000000000000000000000000210000000000000000000000ffffff00489cdf00df9c4800dfffff0000489c00bf74000048489c00ffdf9c0074bfff00480000009cdfff00480048000074bf00ffbf74009c480000ffffdf0000004800bfffff0000007400bfffdf004800740074484800004874000048480074007400489c9c0074000000ffffbf00bfffbf00dfdf9c0074bfbf00740048000101010101010101010101010101010101010101010101010101010101010101010101010101010101ffffff0101010101010101010101010101010101010101010101010101010101010101010101010101010101ffffff0101010101010101010101010101010101010101010101010101010101010101010101010101010101ffffff0101010101010101010101010101010101010101010101010101010101010101010101010101010101ffffff010101010101010101010b110e01010101010101010101010101010101010101010101010101010101ffffff0101010101010101010101020f100101010101010101010101010101010101010101010101010101010000ff01010101010101010101010b110e010101010101010101010101010101010101010101010101010101ffffff01010b1100000f10010101010d0f100101010101011213001b1c0101010d00000f1001010101010101ffffff0101011213060101010101010b0c08010101010101010b201c0101010104050f100101010101010101ffffff0101011213060101010101010405060101010101010112191c010d060104050f100101010101010101ffffff01010112130601010101010101090a0801010101010112191c0b110a0804050f100101010101010101ffffff0101011213060101010101010104050301010101010112191c021b1f0604050f100101010101010101ffffff0101011213060101010101010101021b1c010101010112191d130304071e050f100101010101010101ffffff0206011213060104050e01010101121303010101010112191a1b1c0109060d0f100101010101010101ffffff020a081213060109000e0101010101020f10010101010b16170601010407180f100102000000030101ffffff0200000000000000000e01010101010b110e0101011213000a080101010900000f141508010b110e01ffffff010101010101010101010101010101010d0f100101010101010101010101010101010101010b110e01ffffff010101010101010101010101010101010b0c08010101010101010101010101010101010d00000e0101ffffff01010101010101010101010101010101010d06010101010101010101010101010101010104050e0101ffffff0101010101010101010101010101010101090a0801010101010101010101010101010101010b0c0801ffffff01010101010101010101010101010101010405060101010101010101010101010104070801090a0801ffffff0101010101010101010101010101010101010101010101010101010101010101010102000000030101ffffff0101010101010101010101010101010101010101010101010101010101010101010101010101010101ffffff0101010101010101010101010101010101010101010101010101010101010101010101010101010101ffffff0101010101010101010101010101010101010101010101010101010101010101010101010101010101ffffff0c00000040092900aa000000000000001900290000000000040000002701ffff030000000000>;
для железобетонного фундамента >010009000003860e00000000a00800000000a008000026060f003611574d4643010000000000010009250000000001000000141100000000000014110000010000006c00000000000000000000006a000000180000000000000000000000f10a00008e02000020454d4600000100141100000c00000001000000000000000000000000000000900600001a040000b801000013010000000000000000000000000000c0b6060038320400460000002c00000020000000454d462b014001001c000000100000000210c0db01000000600000006000000046000000180400000c040000454d462b224004000c000000000000001e4009000c00000000000000244001000c000000000000003040020010000000040000000000803f214007000c000000000000000840000564030000580300000210c0db01000000000000000000000000000000000000000100000089504e470d0a1a0a0000000d494844520000006b000000190802000000b9374791000000017352474200aece1ce9000000097048597300000ec400000ec401952b0e1b000002e0494441546843ed583d52f3301075be9398a1f98a1c22191ad17303dc30b4ca700686b40c8d73037adc30f621d232f64dcc4ab2ec9562fd59891918abb28d56fbf6497a6fc3aa6ddb6419110cfc8b885d4219030b83b1e76061308cc1e670bb92e3f6d0fcb63308f0775558c5b6d99c8db0059bcff724afc13bdab6a445f6c038e46f738e92a2aa480767148032b30ba2e5d9b0b2e5adf9ed99ea9cf0f05919644993a4274130642e22b24407d56cf5e9fbc14a11d1b3eb202d5f36dd79da3c32468bf74f2627338fe6f0bc27f9a3841292bdda81105e654517332b83e9fd47dbf30700d2eb7508f433cead5eb382dcdda45396dcbcf0d35de7c72d53516050da0bd654ce73a0ca86a369be8e10b4be9e5488920e5b64ef95e261c42ad8014ce8d33dca2b0a86210c560efd33bcab1360624e98107185ea15497d3b9b74eb0bb9d2701d244c3ac5b0c83e5a8aabab9028f488734b0f50f1c0574229641bc4917d62f9516221e5188f74129cccaae06306a99e3e4f7fe358ac52aecc10d04d6b0fc2aed0863e0f7499ca83ef34c7a0d887d2696792c101edf80e9dfb203a819d26d49cdc84c870f0e474f3c671c2f806f07d620730af5df744f562f23f05517cc892fc0d4b44b8beb92240b5b67b5a7e846511be73fcc23ae5ca74f27768890bab07b306a1c85e2bf09ab5a294a6549a17439c83bf5e5b35c11e5e4fa456cb5dedae20498d4d39808838dff1f0e0f4e68e24fbedf6e8dbeb74a79bdf5d10524f119b7ea9f54616128f8b214c54c1f0ebe9c667b9c576e915b7583a50f7e8bec58a0e7ae09b4e9d8e4daca46abdee67089070308f1f116606ed0a3fea3a5a9332563d66d0bdbf91fce15660b8b828ad5abd66fb1ef04e7b0d84d8afc550f66840604e8eba190f84910c3ac32738b4734d24533e47d877bd7e9e60d0dd9b052f3c2520eec7be35e3e57a34cea0a7464f2125206650f28020bfa9973c212b8000ed19ef2f02fbb38016e42f4f650cfee5fa2e5fdbacffddba7c393f9061613096f46fa42981648169a0b80000000049454e44ae426082000840010824000000180000000210c0db01000000030000000000000000000000000000001b40000040000000340000000100000002000000000000bf000000bf0000d6420000c84103000000000000b3000000b3ffffd542000000b3000000b3ffffc7412100000008000000620000000c00000001000000150000000c00000004000000150000000c0000000400000051000000980b000000000000000000006a00000018000000000000000000000000000000000000006b0000001900000050000000bc0000000c0100008c0a0000000000002000cc006b00000019000000280000006b000000190000000100080000000000000000000000000000000000250000000000000000000000ffffff00489cdf00df9c48009cdfff00bf744800dfffff0000489c00bf74000048489c00ffdf9c0074bfff0048000000bfffff000000740048004800ffbf74000074bf00000048009c480000ffffdf00480074004848480074484800004874000048480074007400489c9c0074000000ffffbf00bfffbf00dfdf9c0074bfbf00bfdf9c004874740074489c007400480001010101010101010101010101010101010101010101010101010101010101010101010101010101010101010101010101010101010101010101010101010101010101010101010101010101010101010101010101010101010101010101010101010101010101010101010101010101010101010101010101010101010101010101010101010101010101010101010101010101010101010101010101010101010101010101010101010101010101010101010101010101010101010101010101010101010101010101010101010101010101010101010101010101010101010101010101010101010101010101010101010101010101010101010101010101010101010101010101010101010101010101010101010101010101010101010101010101010101010101010101010101010101010101010101010101010101010101010101020c0a0101010101010101010101010101010101010101010101010101010101010101010101010101010101010101010101010101010101010101010101010101010101010101010101010101010101010101010101010101010101010101010101010101010101010100010b00030101010101010101010101010101010101010101010101010101010101010101010101010101010101011110010101010101010101010101010101010101010101010101010101010412100101010101010101010101010101010101010101010101010101010101010607080101010101010101010101010101010101010101010101010101010101010101010101010101010101010d0e10010101010101010101010101010101010101010101010101010101010213140101010101010101010101010101010101010101010101010101010101010b1314010101010101010101010101010101010101010101010101010101010101010101010101010101010101111314010101010101010101010101010101010101010101010101010101041210010101010101010101010101010101010101010101010101010101000101040f0a010101010101010101010101010101010101010101010101010101010101010200000000000013140101111c1d010d0e0000000c0a01010101010101010101041200001314010101011113140101010101010d0e001c1d010101110000131401010101010101060101041213140101010101010101010101010101010101010101010101010101010101010d0e1001010104241d0101111c1d01110c0a0101110010010101010101010101010d0e08010101010101040f0a0101010101010104241d01010101060713140101010101010101010101040f2203010101010101010101010101010101010101010101010101010101010101010b1c1d010106231d01010101010111030101010d0e13140101010101010101010d0e08010101010101060708010101010101010d1a1d01110801060713140101010101010101010101040f21150a0101010101010101011100000000000000000000131401010101010101010111131401010101010101010101010101010101111c1d0101010101010101010d0e08010101010101010b0c0a0101010101010d1a1d04120c0a060713140101010101010101000101040f0a02131401010101010101010101010101010101010101010101010101010101010106070801010101010101010101010101010101110c0a0101010101010101010d0e08010101010101010607030101010101010d1a1d021c2008060713140101010101010101010101041210060703010101010101010101010101010101010101010101010101010101010101010d0e03010101010101010101010101010106071c1d0101010101010101010d0e080101010101010101021c1d01010101010d1a1e0e0306091f07131401010101010101010101010b0010010b0c0a0101010101010111000000000000000000001314010101010101010101010104121001010101010101010607080101020003010101010101010208010d0e0801060710010101010d0e0301010101010d1a1b1c1d010b08111314010101010101010101090a020c0a010607131401010101010101010101010101010101010101010101010101010101010101020c0a010101010101010d0e16000000030101010101010101020c0a0d0e08010b00100101010101021314010101010417180801010609191314010102000000030100060700080101010b000801010101010101010101010101010101010101010101010101010101010101041208010101010101010d0e030101010101010101010101010200000000000000001001010101010412100101010d0e000c0a0101010b000013140d150a010412100001010101010101010101010101010101010101010101010101010101010101010101010101010101010d0e13140101010101010d0e030101010101010101010101010101010101010101010101010101010111131401010101010101010101010101010101010101041210000101010101010101010101010101010101010101010101010101010101010101010101010208010101041213140101010101010d0e0301010101010101010101010101010101010101010101010101010101040f0a01010101010101010101010101010101011100001001000101010101010101010101010101010101010101010101010101010101010101010101010200100101110003010101010101010d0e03010101010101010101010101010101010101010101010101010101010111080101010101010101010101010101010101010607100100010101010101010101010101010101010101010101010101010101010101010101010101010d0e0000000301010101010101010d0e0000000000080101010101010101010101010101010101010101010101010b0c0a010101010101010101010101010101010101040f0a000101010101010101010101010101010101010101010101010101010101010101010101010101010101010101010101010101010101010101010405010101010101010101010101010101010101010101010101060708010101010101010101010101010106090a010b0c0a000101010101010101010101010101010101010101010101010101010101010101010101010101010101010101010101010101010101010101010101010101010101010101010101010101010101010101010101010101010101010101010101010101010101020000000301000101010101010101010101010101010101010101010101010101010101010101010101010101010101010101010101010101010101010101010101010101010101010101010101010101010101010101010101010101010101010101010101010101010101010101010101000101010101010101010101010101010101010101010101010101010101010101010101010101010101010101010101010101010101010101010101010101010101010101010101010101010101010101010101010101010101010101010101010101010101010101010101000101010101010101010101010101010101010101010101010101010101010101010101010101010101010101010101010101010101010101010101010101010101010101010101010101010101010101010101010101010101010101010101010101010101010101010101004c0000006400000000000000000000006a0000001800000000000000000000006b000000190000002900aa0000000000000000000000803f00000000000000000000803f0000000000000000000000000000000000000000000000000000000000000000220000000c000000ffffffff460000001c00000010000000454d462b024000000c000000000000000e000000140000000000000010000000140000000400000003010800050000000b0200000000050000000c0219006b00030000001e0004000000070104000400000007010400b1050000410b2000cc0019006b000000000019006b0000000000280000006b000000190000000100080000000000000000000000000000000000250000000000000000000000ffffff00489cdf00df9c48009cdfff00bf744800dfffff0000489c00bf74000048489c00ffdf9c0074bfff0048000000bfffff000000740048004800ffbf74000074bf00000048009c480000ffffdf00480074004848480074484800004874000048480074007400489c9c0074000000ffffbf00bfffbf00dfdf9c0074bfbf00bfdf9c004874740074489c007400480001010101010101010101010101010101010101010101010101010101010101010101010101010101010101010101010101010101010101010101010101010101010101010101010101010101010101010101010101010101010101010101010101010101010101010101010101010101010101010101010101010101010101010101010101010101010101010101010101010101010101010101010101010101010101010101010101010101010101010101010101010101010101010101010101010101010101010101010101010101010101010101010101010101010101010101010101010101010101010101010101010101010101010101010101010101010101010101010101010101010101010101010101010101010101010101010101010101010101010101010101010101010101010101010101010101010101010101010101020c0a0101010101010101010101010101010101010101010101010101010101010101010101010101010101010101010101010101010101010101010101010101010101010101010101010101010101010101010101010101010101010101010101010101010101010100010b00030101010101010101010101010101010101010101010101010101010101010101010101010101010101011110010101010101010101010101010101010101010101010101010101010412100101010101010101010101010101010101010101010101010101010101010607080101010101010101010101010101010101010101010101010101010101010101010101010101010101010d0e10010101010101010101010101010101010101010101010101010101010213140101010101010101010101010101010101010101010101010101010101010b1314010101010101010101010101010101010101010101010101010101010101010101010101010101010101111314010101010101010101010101010101010101010101010101010101041210010101010101010101010101010101010101010101010101010101000101040f0a010101010101010101010101010101010101010101010101010101010101010200000000000013140101111c1d010d0e0000000c0a01010101010101010101041200001314010101011113140101010101010d0e001c1d010101110000131401010101010101060101041213140101010101010101010101010101010101010101010101010101010101010d0e1001010104241d0101111c1d01110c0a0101110010010101010101010101010d0e08010101010101040f0a0101010101010104241d01010101060713140101010101010101010101040f2203010101010101010101010101010101010101010101010101010101010101010b1c1d010106231d01010101010111030101010d0e13140101010101010101010d0e08010101010101060708010101010101010d1a1d01110801060713140101010101010101010101040f21150a0101010101010101011100000000000000000000131401010101010101010111131401010101010101010101010101010101111c1d0101010101010101010d0e08010101010101010b0c0a0101010101010d1a1d04120c0a060713140101010101010101000101040f0a02131401010101010101010101010101010101010101010101010101010101010106070801010101010101010101010101010101110c0a0101010101010101010d0e08010101010101010607030101010101010d1a1d021c2008060713140101010101010101010101041210060703010101010101010101010101010101010101010101010101010101010101010d0e03010101010101010101010101010106071c1d0101010101010101010d0e080101010101010101021c1d01010101010d1a1e0e0306091f07131401010101010101010101010b0010010b0c0a0101010101010111000000000000000000001314010101010101010101010104121001010101010101010607080101020003010101010101010208010d0e0801060710010101010d0e0301010101010d1a1b1c1d010b08111314010101010101010101090a020c0a010607131401010101010101010101010101010101010101010101010101010101010101020c0a010101010101010d0e16000000030101010101010101020c0a0d0e08010b00100101010101021314010101010417180801010609191314010102000000030100060700080101010b000801010101010101010101010101010101010101010101010101010101010101041208010101010101010d0e030101010101010101010101010200000000000000001001010101010412100101010d0e000c0a0101010b000013140d150a010412100001010101010101010101010101010101010101010101010101010101010101010101010101010101010d0e13140101010101010d0e030101010101010101010101010101010101010101010101010101010111131401010101010101010101010101010101010101041210000101010101010101010101010101010101010101010101010101010101010101010101010208010101041213140101010101010d0e0301010101010101010101010101010101010101010101010101010101040f0a01010101010101010101010101010101011100001001000101010101010101010101010101010101010101010101010101010101010101010101010200100101110003010101010101010d0e03010101010101010101010101010101010101010101010101010101010111080101010101010101010101010101010101010607100100010101010101010101010101010101010101010101010101010101010101010101010101010d0e0000000301010101010101010d0e0000000000080101010101010101010101010101010101010101010101010b0c0a010101010101010101010101010101010101040f0a000101010101010101010101010101010101010101010101010101010101010101010101010101010101010101010101010101010101010101010405010101010101010101010101010101010101010101010101060708010101010101010101010101010106090a010b0c0a000101010101010101010101010101010101010101010101010101010101010101010101010101010101010101010101010101010101010101010101010101010101010101010101010101010101010101010101010101010101010101010101010101010101020000000301000101010101010101010101010101010101010101010101010101010101010101010101010101010101010101010101010101010101010101010101010101010101010101010101010101010101010101010101010101010101010101010101010101010101010101010101000101010101010101010101010101010101010101010101010101010101010101010101010101010101010101010101010101010101010101010101010101010101010101010101010101010101010101010101010101010101010101010101010101010101010101010101000101010101010101010101010101010101010101010101010101010101010101010101010101010101010101010101010101010101010101010101010101010101010101010101010101010101010101010101010101010101010101010101010101010101010101010101000c00000040092900aa0000000000000019006b0000000000040000002701ffff030000000000>;
>>>
>
- 0,85 - коэффициент учитывающий форму
фундамента и соотношение объемных весов
фунта и материала фундамента;
>>>
>
- глубина заложения подошвы фундамента,
м;
>>>
>
- ширина квадратной подошвы фундамента,
м.
Конструирование фундамента. Расчет уступов. Для зданий применяют колонны квадратного сечения 0,4 х 0,4 м с заглублением их от нулевой отметки (уровня чистого пола) на 0,9 м.
В связи с этим глубина заложения фундамента для южных районов может быть больше глубины промерзания грунтов по конструктивным соображениям: чтобы колонна не продавила дно стакана фундамента, его толщину можно взять равной 0,3 м; добавляя ее к отметке низа колонны, получим отметку подошвы фундамента, равную - 1,2 м.
Расчет:
а) теплотехнический расчет стены

определяем толщину сборных панелей наружной стены

>>>
>=2>0100090000037408000000005205000000005205000026060f009a0a574d46430100000000000100282c0000000001000000780a000000000000780a0000010000006c00000000000000000000002100000024000000000000000000000079030000c803000020454d4600000100780a00000c00000001000000000000000000000000000000900600001a040000b801000013010000000000000000000000000000c0b6060038320400460000002c00000020000000454d462b014001001c000000100000000210c0db0100000060000000600000004600000004030000f8020000454d462b224004000c000000000000001e4009000c00000000000000244001000c000000000000003040020010000000040000000000803f214007000c000000000000000840000550020000440200000210c0db01000000000000000000000000000000000000000100000089504e470d0a1a0a0000000d4948445200000022000000250802000000a820ac2d000000017352474200aece1ce9000000097048597300000ec400000ec401952b0e1b000001cb49444154484bed563b8ec2400c9dec4906d1507008104d102d37608f90682f91763bb8415ab469103904451a94dc246b8f6792f926685769225c8d8c679eed67e217b56dcba6b78fe9211081609acb3e22db5f1a1ff050409946515aeab7fae8ee49685a7d8e5972878338c5e71a8fba8502d04f46d79581df74b4ac6def491fe6c50906d43566d4271186a1a6c52b4e59f1e59a1595db377f00e7f29adbe76c2b59a07e4e3202fcf4230b834ab32d00114c5740f37cf4a569398e06040696ef8e317b3c1be04623c7a006289144f6e4f8b8d3a9134540909a233124f00ac210903d3206b3be00225f33e36de52727c178ec9e78263b143cea8f106a7a9b64d2dcb4e705333d2d02e13d027f68f4bc266deed58cc80f8f9c902381d223285c5e5417037242ed984eace0d6b03eef1637e5f767911c364216c0e22bf29bab0bbcf3dc54055b2f491a6c0e892d28dc1118951fcc9213e269bea2658c565e332673ed52329b06f5f6e53adbd78c550b58934df2557721bad5bcac2e3a39212a48a345f54588f5315f583ad482c1b666d7122f36b7bc888f3b6a37bc42fa15064de95f0c507ca022ea0cc59e6dce1a1f961f86cad09b13fc41000425870eff7ff9f1de37deffe7b0735e5fe85fb69b574b9f10ff800000000049454e44ae42608200000840010824000000180000000210c0db01000000030000000000000000000000000000001b40000040000000340000000100000002000000000000bf000000bf000008420000144203000000000000b3000000b3ffff0742000000b3000000b3ffff13422100000008000000620000000c00000001000000150000000c00000004000000150000000c00000004000000510000001006000000000000000000002100000024000000000000000000000000000000000000002200000025000000500000008c000000dc00000034050000000000002000cc0022000000250000002800000022000000250000000100080000000000000000000000000000000000190000000000000000000000ffffff00dfffff0000489c00df9c48000074bf00bf740000489cdf0048000000ffdf9c009cdfff0048004800ffbf7400bfffff0000007400dfdfdf00480074000000480074007400ffffbf0048489c00740048004874bf009c480000ffffdf0001010101010101010101010101010101010101010101010101010101010101010101ffff01010101010101010101010101010101010101010101010101010101010101010101ffff01010101010101010101010101010101010101010101010101010101010101010101ffff01010101010101010101010101010101010101010101010101010101010101010101ffff01010101010101010101010101010101010101010101010101010101010101010101ffff01010101010101010101010116090101010101010101010101010101010101010101ffff01010101010d0e00000c01010a151302030000000401010107000000171801010101ffff01010101010506010a0b09010d1213021409010a110c010a110c0101050601010101ffff010101010d0e0c010203040101010101010101020304010d0e0c0102030601010101ffff010101010d10090101050601010101010101010a110c010102030000040101010101ffff010101010d100901010506010101010107000000060101020304010d0e0c01010101ffff010101010d0e0c010203040101010101070c01010101010d0e0c0101050601010101ffff01010101010706010a0b090101010101070c0101010101020304010d0e0401010101ffff0101010101020300000401010101010107000000080901010d0e0000171801010101ffff01010101010101010101010101010101010101010101010101010101010101010101ffff01010101010101010101010101010101010101010101010101010101010101010101ffff01010101010101010101010101010101010101010101010101010101010101010101ffff01010101010101010101010101010101010101010101010101010101010101010101ffff01010101010101010101010101010101010101010101010101010101010101010101ffff01010101010101010101010101010101010101010101010101010101010101010101ffff01010101010101010101010101010101010101010101010101010101010101010101ffff00000000000000000000000000000000000000000000000000000000000000000000ffff01010101010101010101010101010101010101010101010101010101010101010101ffff01010101010101010101010101010101010101010101010101010101010101010101ffff01010101010101010101010101010101010101010101010101010101010101010101ffff01010101010101010101010101010101010101010101010101010101010101010101ffff01010101010101011609010101010101010101010101010101010101010101010101ffff010d0e00000c01010a1513010d0e00000c0101010700000000040102030000000401ffff010506010a0b09010d1213010506010a0b09010101010506010101021409010a110cffff0d0e0c01020304010101010d0e0c0102030401010101070601010101010101020304ffff0d100901010506010101010d100901010506010101010706010101010101010a110cffff0d100901010506010101010d10090101050601010101070601010101070000000601ffff0d0e0c01020304010101010d0e0c0102030401010f01070601010101070c01010101ffff010706010a0b0901010101010706010a0b0901010700000601010101070c01010101ffff01020300000401010101010102030000040101010101050601010101070000000809ffff01010101010101010101010101010101010101010101010101010101010101010101ffff01010101010101010101010101010101010101010101010101010101010101010101ffff4c0000006400000000000000000000002100000024000000000000000000000022000000250000002900aa0000000000000000000000803f00000000000000000000803f0000000000000000000000000000000000000000000000000000000000000000220000000c000000ffffffff460000001c00000010000000454d462b024000000c000000000000000e000000140000000000000010000000140000000400000003010800050000000b0200000000050000000c0225002200030000001e0004000000070104000400000007010400ed020000410b2000cc00250022000000000025002200000000002800000022000000250000000100080000000000000000000000000000000000190000000000000000000000ffffff00dfffff0000489c00df9c48000074bf00bf740000489cdf0048000000ffdf9c009cdfff0048004800ffbf7400bfffff0000007400dfdfdf00480074000000480074007400ffffbf0048489c00740048004874bf009c480000ffffdf0001010101010101010101010101010101010101010101010101010101010101010101ffff01010101010101010101010101010101010101010101010101010101010101010101ffff01010101010101010101010101010101010101010101010101010101010101010101ffff01010101010101010101010101010101010101010101010101010101010101010101ffff01010101010101010101010101010101010101010101010101010101010101010101ffff01010101010101010101010116090101010101010101010101010101010101010101ffff01010101010d0e00000c01010a151302030000000401010107000000171801010101ffff01010101010506010a0b09010d1213021409010a110c010a110c0101050601010101ffff010101010d0e0c010203040101010101010101020304010d0e0c0102030601010101ffff010101010d10090101050601010101010101010a110c010102030000040101010101ffff010101010d100901010506010101010107000000060101020304010d0e0c01010101ffff010101010d0e0c010203040101010101070c01010101010d0e0c0101050601010101ffff01010101010706010a0b090101010101070c0101010101020304010d0e0401010101ffff0101010101020300000401010101010107000000080901010d0e0000171801010101ffff01010101010101010101010101010101010101010101010101010101010101010101ffff01010101010101010101010101010101010101010101010101010101010101010101ffff01010101010101010101010101010101010101010101010101010101010101010101ffff01010101010101010101010101010101010101010101010101010101010101010101ffff01010101010101010101010101010101010101010101010101010101010101010101ffff01010101010101010101010101010101010101010101010101010101010101010101ffff01010101010101010101010101010101010101010101010101010101010101010101ffff00000000000000000000000000000000000000000000000000000000000000000000ffff01010101010101010101010101010101010101010101010101010101010101010101ffff01010101010101010101010101010101010101010101010101010101010101010101ffff01010101010101010101010101010101010101010101010101010101010101010101ffff01010101010101010101010101010101010101010101010101010101010101010101ffff01010101010101011609010101010101010101010101010101010101010101010101ffff010d0e00000c01010a1513010d0e00000c0101010700000000040102030000000401ffff010506010a0b09010d1213010506010a0b09010101010506010101021409010a110cffff0d0e0c01020304010101010d0e0c0102030401010101070601010101010101020304ffff0d100901010506010101010d100901010506010101010706010101010101010a110cffff0d100901010506010101010d10090101050601010101070601010101070000000601ffff0d0e0c01020304010101010d0e0c0102030401010f01070601010101070c01010101ffff010706010a0b0901010101010706010a0b0901010700000601010101070c01010101ffff01020300000401010101010102030000040101010101050601010101070000000809ffff01010101010101010101010101010101010101010101010101010101010101010101ffff01010101010101010101010101010101010101010101010101010101010101010101ffff0c00000040092900aa000000000000002500220000000000040000002701ffff030000000000>
= 0,052 Вт/>0100090000034e0900000000cc0500000000cc05000026060f008e0b574d4643010000000000010070ae00000000010000006c0b0000000000006c0b0000010000006c000000000000000000000038000000180000000000000000000000d40500008e02000020454d46000001006c0b00000c00000001000000000000000000000000000000900600001a040000b801000013010000000000000000000000000000c0b6060038320400460000002c00000020000000454d462b014001001c000000100000000210c0db01000000600000006000000046000000380300002c030000454d462b224004000c000000000000001e4009000c00000000000000244001000c000000000000003040020010000000040000000000803f214007000c000000000000000840000584020000780200000210c0db01000000000000000000000000000000000000000100000089504e470d0a1a0a0000000d494844520000003900000019080200000004d611e4000000017352474200aece1ce9000000097048597300000ec400000ec401952b0e1b000001ff494441545847ed563b8ec2301075f62459d150e410201ad37303d2ac68837206042dda26b9c1b62ba541e410143488dc243b334e9c8f1daf95100924a60ac69e79f3e679c64e9ee7ec45ece3457022cc37565db1b278e9a06dd3bea554794db78eb38cb3be0e3bce65f1d73584bb919fd9aee1bc4c81f290a9d0aa92159e2fed1c40a4e05c5f7ad437b8168ee5077cdf230e01797417515a3f716bf527f6000986768e03b486a4169c986946440c127a9159b550621d1ba95a1f82da00a6ad618ddc026b9bee3227525fd3a1a0c32a8e49401a56f5db2b68026b8750816c1e040d69e0128795ff09312bbdad4dc36e0996fa4076bb40f4a9dbbec3eec44bd874c5d9e1b76834e9d1f7c2d07b709330bb73a79c253fa74ccc82ec9a30e64d14ace463b20e0376a04693c5bb4bb4713133ad61bb1bd240f55e8131f187cddc9a6d229ef8c794485deb33eac774720506ac0c77da6065ee0275309f03a93393e7d91e65b737ee29ce934bc62e374bb0a850c28a8a301e7351072c7824a9022ce9b0321c57cacca4db2435408ad0d443ee620c29b322ccaaa244d0fa1b3a7fe27fca510a73d8878bd336bc4d7cb500ed896661ecaf8d6126dbebe0b65575cb1a3ab517b6fb6b318b479cb0bddf15eadc2a5f0ecf86b651efeaedd23dbe7a7332f060f73bab704cc36fe8041d08b243920ebe0b5fc4ac66c193e4f2c63a4e21fe0015a45ae44d44ef2b0000000049454e44ae42608200000840010824000000180000000210c0db01000000030000000000000000000000000000001b40000040000000340000000100000002000000000000bf000000bf000064420000c84103000000000000b3000000b3ffff6342000000b3000000b3ffffc7412100000008000000620000000c00000001000000150000000c00000004000000150000000c0000000400000051000000d00600000000000000000000380000001800000000000000000000000000000000000000390000001900000050000000a4000000f4000000dc050000000000002000cc00390000001900000028000000390000001900000001000800000000000000000000000000000000001f0000000000000000000000ffffff00489cdf0074000000ffffbf00bfffff0000007400df9c48009cdfff00bf74480074bfff00dfffff0000489c00ffbf74000074bf00bf740000000048009c480000ffffdf0048000000ffdf9c00744848000048740048489c000048480074007400489c9c00bfffbf00dfdf9c0074bfbf007400480001010101010101010101010101010101010101010101010101010101010101010101010101010101010101010101010101010101010101010101010101010101010101010101010101010101010101010101010101010101010101010101010101010101010101010101010101010101010101010101010101010101010101010101010101010101010101010101010101010101010101010101010101010101010101010101010101010101010101010101ffff010101010101010101010101010101010101010101010101010101010101010101010101010101010101010101010101010101010101010101010101010101010108100701010101010101010101010101010101010101010101010101010101010101010101010101010101010102030401010101030401010101010e0304010101010101010101010101010101010101010101010101010101010101010101010101010101010101010105060701010101ffff01010102030401010101010101010101010101010101010101010101010101010101010101010101010101010101010101010101050607010101010d010108100d0101010101010101010101010101010101010101010101010101010101010101010101010101010101010101010101010a13140104010101010e111201010105060003040101010e000011120101010101010101010101010101010101010101010a000000001314010101010506070101ffff0105060f0101010101081e04010101010b0c111201010101010101010101010101010101010101010102000f010108101112010101010e1112010101010810070101010101051904010e0f010b0c111201010101010101010101010101010101010101010810111201010102111201010101021314010101010a000d0101010101051904081013140b0c1112010101010101010101010101010101010101010102000701010101010101010101010a131401ffff010a000d010101010105190402031d0f0b0c111201010101010a000f01010101010101010101010b0c000d01010101010101010101010a000d000000010a000d010101010105191b06070b171c0c111201010101010a000f01010101010101010101010b0c131401010101010101010101010a131401010101081007010101010105191a0304010a0f0e1112010101010101010101010101010101010101010b0c1314010101010101010101010102131401ffff0105060f01010101010815160f01010b17181112010101010101010101010101010101010101010b0c131401010101010101010101010e111201010101010e111201010105060013140101010a00001112010101010101010101010101010101010101010e000d0101010101010101010105060701121301010108100d01010101010101010101010101010101010101010101010101010101010101010101010a0007010101010101010101010a13140104ffff010101020304010101010101010101010101010101010101010101010101010101010102001112010506030401010102111201010506070101010706010101010e03040101010101010101010101010101010101010101010101010101010a0f010a0f010108101112010810111201050607010101010101010101010105060701010101010101010101010101010101010101010101010101010809010a070101010b0c000000000d010203040101010109ffff01010101010101010101010101010101010101010101010101010101010101010101010200030401010101010101010101010101010101010101010101010101010101010101010101010101010101010101010101010101010101010101010101010101010101010101010101010101010101010104ab04010101010101010101010101010101010101010101010101010101010101010101010101010101010101010101010101010101010101010101ffffff010101010101010101010101010101010101010101010101010101010101010101010101010101010101010101010101010101010101010101ffffff4c0000006400000000000000000000003800000018000000000000000000000039000000190000002900aa0000000000000000000000803f00000000000000000000803f0000000000000000000000000000000000000000000000000000000000000000220000000c000000ffffffff460000001c00000010000000454d462b024000000c000000000000000e000000140000000000000010000000140000000400000003010800050000000b0200000000050000000c0219003900030000001e00040000000701040004000000070104004d030000410b2000cc001900390000000000190039000000000028000000390000001900000001000800000000000000000000000000000000001f0000000000000000000000ffffff00489cdf0074000000ffffbf00bfffff0000007400df9c48009cdfff00bf74480074bfff00dfffff0000489c00ffbf74000074bf00bf740000000048009c480000ffffdf0048000000ffdf9c00744848000048740048489c000048480074007400489c9c00bfffbf00dfdf9c0074bfbf007400480001010101010101010101010101010101010101010101010101010101010101010101010101010101010101010101010101010101010101010101010101010101010101010101010101010101010101010101010101010101010101010101010101010101010101010101010101010101010101010101010101010101010101010101010101010101010101010101010101010101010101010101010101010101010101010101010101010101010101010101ffff010101010101010101010101010101010101010101010101010101010101010101010101010101010101010101010101010101010101010101010101010101010108100701010101010101010101010101010101010101010101010101010101010101010101010101010101010102030401010101030401010101010e0304010101010101010101010101010101010101010101010101010101010101010101010101010101010101010105060701010101ffff01010102030401010101010101010101010101010101010101010101010101010101010101010101010101010101010101010101050607010101010d010108100d0101010101010101010101010101010101010101010101010101010101010101010101010101010101010101010101010a13140104010101010e111201010105060003040101010e000011120101010101010101010101010101010101010101010a000000001314010101010506070101ffff0105060f0101010101081e04010101010b0c111201010101010101010101010101010101010101010102000f010108101112010101010e1112010101010810070101010101051904010e0f010b0c111201010101010101010101010101010101010101010810111201010102111201010101021314010101010a000d0101010101051904081013140b0c1112010101010101010101010101010101010101010102000701010101010101010101010a131401ffff010a000d010101010105190402031d0f0b0c111201010101010a000f01010101010101010101010b0c000d01010101010101010101010a000d000000010a000d010101010105191b06070b171c0c111201010101010a000f01010101010101010101010b0c131401010101010101010101010a131401010101081007010101010105191a0304010a0f0e1112010101010101010101010101010101010101010b0c1314010101010101010101010102131401ffff0105060f01010101010815160f01010b17181112010101010101010101010101010101010101010b0c131401010101010101010101010e111201010101010e111201010105060013140101010a00001112010101010101010101010101010101010101010e000d0101010101010101010105060701121301010108100d01010101010101010101010101010101010101010101010101010101010101010101010a0007010101010101010101010a13140104ffff010101020304010101010101010101010101010101010101010101010101010101010102001112010506030401010102111201010506070101010706010101010e03040101010101010101010101010101010101010101010101010101010a0f010a0f010108101112010810111201050607010101010101010101010105060701010101010101010101010101010101010101010101010101010809010a070101010b0c000000000d010203040101010109ffff01010101010101010101010101010101010101010101010101010101010101010101010200030401010101010101010101010101010101010101010101010101010101010101010101010101010101010101010101010101010101010101010101010101010101010101010101010101010101010104ab04010101010101010101010101010101010101010101010101010101010101010101010101010101010101010101010101010101010101010101ffffff010101010101010101010101010101010101010101010101010101010101010101010101010101010101010101010101010101010101010101ffffff0c00000040092900aa000000000000001900390000000000040000002701ffff030000000000>
Принимаем
стандартное значение толщины стены >>>
>
м.
б) теплотехнический расчет покрытия


Принимаем стандартное значение толщину теплоизоляции: >010009000003c60b000000002007000000002007000026060f00360e574d46430100000000000100e6ca0000000001000000140e000000000000140e0000010000006c0000000000000000000000520000001800000000000000000000007d0800008e02000020454d4600000100140e00000c00000001000000000000000000000000000000900600001a040000b801000013010000000000000000000000000000c0b6060038320400460000002c00000020000000454d462b014001001c000000100000000210c0db01000000600000006000000046000000980300008c030000454d462b224004000c000000000000001e4009000c00000000000000244001000c000000000000003040020010000000040000000000803f214007000c0000000000000008400005e4020000d80200000210c0db01000000000000000000000000000000000000000100000089504e470d0a1a0a0000000d4948445200000053000000190802000000c213855d000000017352474200aece1ce9000000097048597300000ec400000ec401952b0e1b00000260494441545847ed573d928230140e7b121c1b0b0f811d8ec790c6b185f110da3a367a836d196976e41016368edcc47d491e248190282eba0ea6e2e7917cdfcb97ef3d9cebf54a3a39be3ac99a92fe30efded67ff69cef791a39c588d297eb20db8d6f87630c968939ce78970137f0f67c1c4242c203bfa3d7e24e0a7ada25438070ac684cc197ad2f53e1b724ac63ceb8fbdbcbd388961662f8a4f519b53a3cc66039297c11e42eafc81ee5bbfe2ace029c4cb4b4710ab83271a4c689e83e64c9501cce9d2e42b21af163f0d2919d1242867db700e1f687707d3ceb901983351f66e723e847306726104f204924e8bdd8de183675b803d06372d230b7047b73507212ac0bc34ed74142c205674e7d7144401d4b8fe0c63fce5df5535134c4d573c4e54ef7b09dc751be2e12a5ccb3dd2c48fceddcc32c7b133807abf8d1aae62d6d56b19f0a39b777b8e8b6f68221162d4cc27807ccb39f6fbafb6514fa33d51e4079667e38abc31f68526509e6e23e809af970a71b267fca1cdc4433a5ec2f8df83ea27676aa95dc576c4c603206a7f10aec4cc918a60a9b16b996552ba04db67fffbe5cbf8d984cc1b5550d3a19f51dbfe3a594b74eacc263f5e7d51e9fb3976d753b320ebebab2929a096370b901c43cf11e2ee755e10251a8067d97d36aa327a32af757150d9882557ed8acc9ddab46b3c81ca6f5c3d017fd9d2281bfd7ba7d46cafc31b9ddf2979a4633b2d9cf0792cfd11a49c724c61f9f461ed8fc23ea5bd57274d77c76e6ab513c510b2f14c8e7f420754cd2887623459dba8bb00836094b72389ddb15f66717e73f8c700053c39cbdf96776b5bf39c15af8dd65fe0b6c354c4231e843810000000049454e44ae426082000840010824000000180000000210c0db01000000030000000000000000000000000000001b40000040000000340000000100000002000000000000bf000000bf0000a6420000c84103000000000000b3000000b3ffffa542000000b3000000b3ffffc7412100000008000000620000000c00000001000000150000000c00000004000000150000000c000000040000005100000018090000000000000000000052000000180000000000000000000000000000000000000053000000190000005000000094000000e400000034080000000000002000cc00530000001900000028000000530000001900000001000800000000000000000000000000000000001b0000000000000000000000ffffff0074bfff00bf740000489cdf00ffbf7400bfffff00000074009c480000ffffdf0074000000ffffbf000074bf009cdfff0000004800df9c480048000000ffdf9c00dfffff0000489c00dfffbf00480074007448480000487400bfbf74009c487400dfffdf000101010101010101010101010101010101010101010101010101010101010101010101010101010101010101010101010101010101010101010101010101010101010101010101010101010101010101010101ff0101010101010101010101010101010101010101010101010101010101010101010101010101010101010101010101010101010101010101010101010101010101010101010101010101010101010101010101ff0101010101010101010101010101010101010101010101010101010101010101010101010101010101010101010101010101010101010101010101010101010101010101010101010101010101010101010101ff01010101010101010102000a0b02000a0b040000000301010101010101010101010101010101010101010101010101010101010101010101010101010101010101010101010101010101010101010101010101ff010101010101010101010c0a0b12130501040f01061511010101010101010101010101010101010101010101010101010101010101010101010101010c05010101010101010101010101010101010101010101ff010101010101010101010c18191a130501010101061511010101010101010101010101010101010101010101010101010101010101010101010101010607050101010101010101010101010101010101010101ff010101010101010101010c050d161705010104000a0b0101010101010101010101010101010101010101010101010101010101010101010101010101010c080901010101010101010101010101010101010101ff0112130000000f0101010c05010d0e050101010106151101010101010101010101010101010101010101010101010101010101121300000a0b010101010c0a0b0101121300000a0b010101010d0e0000000301ff12130a0b010d0e080902000a0b04000a0b02000000080901010101010101010101010101010101010101010101010101010112131011010410110101010c0a0b01121310110104101101010200030101060708ff060703010101020005010101010101010101010101010101010101010101010101010101010101010101010101010101010102000f01010607030101010101010102000f01010607030112130a0b0101010200ff06070f0101010607030101010101010101010101010101010101010101010c000000000000000000000809010101010101010410110101010c0a0b0101010101010410110101010c0a0b060708090101010200ff12130301010106070809010101010101010101010101010101010101010101010101010101010101010101010101010101010c0a0b0101010410110101010101010c0a0b010101041011010c0a0b0101010400ff0104101101010607030101010101010101010101010101010101010101010101010101010101010101010101010101010112130a0b010101040005010101010112130a0b010101040005010d0e0301010d0e08ff0112130301010200050101010101010101010101010101010101010101010c00000000000000000000080901010101010112130a0b010101040005010101010112130a0b010101040005010112130000000501ff0101010c0a141303010101010101010101010101010101010101010101010101010101010101010101010101010101010112130a0b010101040005010101010112130a0b010101040005010d0e030101060703ff01010101060708090101010101010101010101010101010101010101010101010101010101010101010101010101010101010c0a0b0101010c10110101010101010c0a0b0101010c1011010c10110101010410ff01010101040a0b01010101010101010101010101010101010101010101010101010101010101010101010101010101010101041011010112130a0b010101010101041011010112130a0b12130a0b0101010200ff01010106070501010208090101010101010101010101010101010101010101010101010101010101010101010101010101010d0e0f0101060708090101010101010d0e0f010106070809010c0a0b0101010400ff0101010607050106070a0b010101010101010101010101010101010101010101010101010101010101010101010101010101010c0a0b010c000501010101010101010c0a0b010c000501010d0e0301010d0e0aff0101010102000000030101010101010101010101010101010101010101010101010101010101010101010101010101010101010104000000050101010101010101010104000000050101010106070000000809ff0101010101010101010101010101010101010101010101010101010101010101010101010101010101010101010101010101010101010101010101010101010101010101010101010101010101010101010101ff0101010101010101010101010101010101010101010101010101010101010101010101010101010101010101010101010101010101010101010101010101010101010101010101010101010101010101010101ff0101010101010101010101010101010101010101010101010101010101010101010101010101010101010101010101010101010101010101010101010101010101010101010101010101010101010101010101000101010101010101010101010101010101010101010101010101010101010101010101010101010101010101010101010101010101010101010101010101010101010101010101010101010101010101010101000101010101010101010101010101010101010101010101010101010101010101010101010101010101010101010101010101010101010101010101010101010101010101010101010101010101010101010101004c0000006400000000000000000000005200000018000000000000000000000053000000190000002900aa0000000000000000000000803f00000000000000000000803f0000000000000000000000000000000000000000000000000000000000000000220000000c000000ffffffff460000001c00000010000000454d462b024000000c000000000000000e000000140000000000000010000000140000000400000003010800050000000b0200000000050000000c0219005300030000001e000400000007010400040000000701040071040000410b2000cc001900530000000000190053000000000028000000530000001900000001000800000000000000000000000000000000001b0000000000000000000000ffffff0074bfff00bf740000489cdf00ffbf7400bfffff00000074009c480000ffffdf0074000000ffffbf000074bf009cdfff0000004800df9c480048000000ffdf9c00dfffff0000489c00dfffbf00480074007448480000487400bfbf74009c487400dfffdf000101010101010101010101010101010101010101010101010101010101010101010101010101010101010101010101010101010101010101010101010101010101010101010101010101010101010101010101ff0101010101010101010101010101010101010101010101010101010101010101010101010101010101010101010101010101010101010101010101010101010101010101010101010101010101010101010101ff0101010101010101010101010101010101010101010101010101010101010101010101010101010101010101010101010101010101010101010101010101010101010101010101010101010101010101010101ff01010101010101010102000a0b02000a0b040000000301010101010101010101010101010101010101010101010101010101010101010101010101010101010101010101010101010101010101010101010101ff010101010101010101010c0a0b12130501040f01061511010101010101010101010101010101010101010101010101010101010101010101010101010c05010101010101010101010101010101010101010101ff010101010101010101010c18191a130501010101061511010101010101010101010101010101010101010101010101010101010101010101010101010607050101010101010101010101010101010101010101ff010101010101010101010c050d161705010104000a0b0101010101010101010101010101010101010101010101010101010101010101010101010101010c080901010101010101010101010101010101010101ff0112130000000f0101010c05010d0e050101010106151101010101010101010101010101010101010101010101010101010101121300000a0b010101010c0a0b0101121300000a0b010101010d0e0000000301ff12130a0b010d0e080902000a0b04000a0b02000000080901010101010101010101010101010101010101010101010101010112131011010410110101010c0a0b01121310110104101101010200030101060708ff060703010101020005010101010101010101010101010101010101010101010101010101010101010101010101010101010102000f01010607030101010101010102000f01010607030112130a0b0101010200ff06070f0101010607030101010101010101010101010101010101010101010c000000000000000000000809010101010101010410110101010c0a0b0101010101010410110101010c0a0b060708090101010200ff12130301010106070809010101010101010101010101010101010101010101010101010101010101010101010101010101010c0a0b0101010410110101010101010c0a0b010101041011010c0a0b0101010400ff0104101101010607030101010101010101010101010101010101010101010101010101010101010101010101010101010112130a0b010101040005010101010112130a0b010101040005010d0e0301010d0e08ff0112130301010200050101010101010101010101010101010101010101010c00000000000000000000080901010101010112130a0b010101040005010101010112130a0b010101040005010112130000000501ff0101010c0a141303010101010101010101010101010101010101010101010101010101010101010101010101010101010112130a0b010101040005010101010112130a0b010101040005010d0e030101060703ff01010101060708090101010101010101010101010101010101010101010101010101010101010101010101010101010101010c0a0b0101010c10110101010101010c0a0b0101010c1011010c10110101010410ff01010101040a0b01010101010101010101010101010101010101010101010101010101010101010101010101010101010101041011010112130a0b010101010101041011010112130a0b12130a0b0101010200ff01010106070501010208090101010101010101010101010101010101010101010101010101010101010101010101010101010d0e0f0101060708090101010101010d0e0f010106070809010c0a0b0101010400ff0101010607050106070a0b010101010101010101010101010101010101010101010101010101010101010101010101010101010c0a0b010c000501010101010101010c0a0b010c000501010d0e0301010d0e0aff0101010102000000030101010101010101010101010101010101010101010101010101010101010101010101010101010101010104000000050101010101010101010104000000050101010106070000000809ff0101010101010101010101010101010101010101010101010101010101010101010101010101010101010101010101010101010101010101010101010101010101010101010101010101010101010101010101ff0101010101010101010101010101010101010101010101010101010101010101010101010101010101010101010101010101010101010101010101010101010101010101010101010101010101010101010101ff0101010101010101010101010101010101010101010101010101010101010101010101010101010101010101010101010101010101010101010101010101010101010101010101010101010101010101010101000101010101010101010101010101010101010101010101010101010101010101010101010101010101010101010101010101010101010101010101010101010101010101010101010101010101010101010101000101010101010101010101010101010101010101010101010101010101010101010101010101010101010101010101010101010101010101010101010101010101010101010101010101010101010101010101000c00000040092900aa000000000000001900530000000000040000002701ffff030000000000> м: 2 слоя плит из минеральной ваты толщиной - 40мм.
в) Расчет фундамента


принимаем стандартное значение >010009000003fa0a00000000ae0600000000ae06000026060f00520d574d4643010000000000010012690000000001000000300d000000000000300d0000010000006c00000000000000000000004b000000180000000000000000000000c50700008e02000020454d4600000100300d00000c00000001000000000000000000000000000000900600001a040000b801000013010000000000000000000000000000c0b6060038320400460000002c00000020000000454d462b014001001c000000100000000210c0db01000000600000006000000046000000680300005c030000454d462b224004000c000000000000001e4009000c00000000000000244001000c000000000000003040020010000000040000000000803f214007000c0000000000000008400005b4020000a80200000210c0db01000000000000000000000000000000000000000100000089504e470d0a1a0a0000000d494844520000004c00000019080200000014b65f38000000017352474200aece1ce9000000097048597300000ec400000ec401952b0e1b00000231494441545847ed583d6e833014363d0951970e3904288ba3aeb94158a2aca09ca18235ea626e90b52a4b058760c812c14de8b3f9312e3f36505014c51331cff6fbfcbdef7b285a9665e8d1c7cba303a4f89e201f85e52793333219399ab6f553d90934ac1a4e240bef7a0feebaec48082e72c124e93b3a0fb4c33c46fc352c65342c7c62746823c4a0d187fca973b09012e23498cb6ad270b3ec7bafab545df4e501c67783c7ea9b1d501bdfa435ded8be0632f5b765f9835a400de335a08262644c706d015949579479395d8284df2b0b15f593ec2e2bd3c36f4a573e3259a565aab4192e4816db360eac73e54ea9ff1163e01e13a6c986a82bedb42a86a9a577482c45499379527ca7f2d4ba4c6be9c16b9bd025e57b3a11e6402848b65d3d2f36d1b1d944eb29962b180f440ab79967dce9560c135bc190506649522083724d7f2e01c2bb4d559c6c42d0bc8cb999de539faa86abdf624050cbb3e554e34858c946676b7daa1c8e82bc0608ad5f458c7d82143a74ad59f34785363ff85e1a5cb4eec02cd833cd981cb931375a48ea1f2c11746333e1825bcb57b14d0c010adc04987c4afb8fbe3f41c9da9c46380440ea6fbcfd44ce01ed685d53675dbe8bb01a69762e3a6d7a76d8737729ade57c500e5c4e239de2ee4a7f31b791f8d814ebe1df743516b9c535be728a54642658399410c87d6b4acaffbeb6bf758d3e4e839543a4316b2c94a589c2bfb536fdc865bf5d7bf38d9c5910c29977c5e474ceda77b82326e782f8fc236bbe9b5d7ae75f38d32b0d5c489ac10000000049454e44ae4260820840010824000000180000000210c0db01000000030000000000000000000000000000001b40000040000000340000000100000002000000000000bf000000bf000098420000c84103000000000000b3000000b3ffff9742000000b3000000b3ffffc7412100000008000000620000000c00000001000000150000000c00000004000000150000000c00000004000000510000006408000000000000000000004b00000018000000000000000000000000000000000000004c0000001900000050000000a8000000f80000006c070000000000002000cc004c00000019000000280000004c000000190000000100080000000000000000000000000000000000200000000000000000000000ffffff00bfffff0000007400df9c4800ffbf7400dfffff0000489c009cdfff0000004800bf740000489cdf0074bfff0048000000ffdf9c000074bf0074000000ffffbf009c480000ffffdf00744848000048740048489c000048480074007400489c9c00bfffbf00dfdf9c0074bfbf009c48740000749c007400480001010101010101010101010101010101010101010101010101010101010101010101010101010101010101010101010101010101010101010101010101010101010101010101010101010101010101010101010101010101010101010101010101010101010101010101010101010101010101010101010101010101010101010101010101010101010101010101010101010101010101010101010101010101010101010101010101010101010101010101010101010101010101010101010101010101010101010101010101010101010101010101010101010101010101010101010101010101010101010101010101010101010101010101010101010101010101010101010101010101010101010101010101010101010101010101010101010101010101010101010101010101010101010101010101010101010101010101010101010101010101010101010101010101010101010101010101010f05010101010101010101010101010101010101010101010101010101010101010101010101010101010101010101010101010101010101010101010101010101010101010101010101010102030501010101010101010101010101010101010101010101010101010101010101010101010101010101010101010101010101010101010101010101010101010101010101010101010101010f121301010101010101010101010101010101010101010101010101010108090010110c000005010101010101010101010101010101010101010101010101010106070000000000101101010f101101010203000501010101010101010102030010110101010f000006071213021d1e12130f05010101010101010101010101010101010101010101010101010101010c000401010101010f101101010101020310110101010101010101081f110101010106071202030a0101080910110101010101010101010101010101010101010101010101010101010101010c000401010101010101010101010101010f121301010101010101021811010f0a0106071202030a0101010b0d0e01010101010101010f0000000000000000000012130101010101010101010c000401010101010101010101010101010809040101010101010102181108090d0e0607120607121301010809050101010101010101010101010101010101010101010101010101010101010c00040101010101010101010101010101060712130101010101010218110b101c0a060712010b0d0e010106070a0101010101010101010101010101010101010101010101010101010101010c0004010101010101010101010f0000000a0f0d0e01010101010102181a030406161b07120108090a0101010f1213010101010101010f0000000000000000000012130101010101010101010c00040101010101010101010b000401010c0000050101010101010218191011010c0a0f1201010c00040106070d0e01010101010101010101010101010101010101010101010101010101010c00040101010101010101020312130101010b00050101010101010814150a01010616171201010108090000040f0501010101010101010101010101010101010101010101010101010101010c0004010101010101010102030a010101010b000501010101010203000d0e0101010c00000101010101010101010101010101010101010101010101010101010101010101010101010101010c0004010101010101010102030a010101010b0d0e010101010101010101010101010101010101010101010101010101010101010101010101010101010101010101010101010101010c0d0e0c00040101010101010101010f10110101060710110101010101010101010101010101010101010101010101010101010101010101010101010101010101010101010101010101010101060700000401010101010101010108090a01010b000501010101010101010101010101010101010101010101010101010101010101010101010101010101010101010101010101010101010101010203040101010101010101010102030000000501010101010101010101010101010101010101010101010101010101010101010101010101010101010101010101010101010101010101010101010101010101010101010101010101010101010101010101010101010101010101010101010101010101010101010101010101010101010101010101010101010101010101010101010101010101010101010101010101010101010101010101010101010101010101010101010101010101010101010101010101010101010101010101010101010101010101010101010101010101010101010101010101010101010101010101010101010101010101010101010101010101010101010101010101010101010101010101010101010101010101010101010101010101010101010101010101010101010101010101010101010101010101010101010101010101010101010101010101010101010101010101010101010101010101010101010101010101010101010101010101010101010101010101010101010101010101010101010101010101010101010101010101014c0000006400000000000000000000004b0000001800000000000000000000004c000000190000002900aa0000000000000000000000803f00000000000000000000803f0000000000000000000000000000000000000000000000000000000000000000220000000c000000ffffffff460000001c00000010000000454d462b024000000c000000000000000e000000140000000000000010000000140000000400000003010800050000000b0200000000050000000c0219004c00030000001e000400000007010400040000000701040017040000410b2000cc0019004c000000000019004c0000000000280000004c000000190000000100080000000000000000000000000000000000200000000000000000000000ffffff00bfffff0000007400df9c4800ffbf7400dfffff0000489c009cdfff0000004800bf740000489cdf0074bfff0048000000ffdf9c000074bf0074000000ffffbf009c480000ffffdf00744848000048740048489c000048480074007400489c9c00bfffbf00dfdf9c0074bfbf009c48740000749c007400480001010101010101010101010101010101010101010101010101010101010101010101010101010101010101010101010101010101010101010101010101010101010101010101010101010101010101010101010101010101010101010101010101010101010101010101010101010101010101010101010101010101010101010101010101010101010101010101010101010101010101010101010101010101010101010101010101010101010101010101010101010101010101010101010101010101010101010101010101010101010101010101010101010101010101010101010101010101010101010101010101010101010101010101010101010101010101010101010101010101010101010101010101010101010101010101010101010101010101010101010101010101010101010101010101010101010101010101010101010101010101010101010101010101010101010101010101010f05010101010101010101010101010101010101010101010101010101010101010101010101010101010101010101010101010101010101010101010101010101010101010101010101010102030501010101010101010101010101010101010101010101010101010101010101010101010101010101010101010101010101010101010101010101010101010101010101010101010101010f121301010101010101010101010101010101010101010101010101010108090010110c000005010101010101010101010101010101010101010101010101010106070000000000101101010f101101010203000501010101010101010102030010110101010f000006071213021d1e12130f05010101010101010101010101010101010101010101010101010101010c000401010101010f101101010101020310110101010101010101081f110101010106071202030a0101080910110101010101010101010101010101010101010101010101010101010101010c000401010101010101010101010101010f121301010101010101021811010f0a0106071202030a0101010b0d0e01010101010101010f0000000000000000000012130101010101010101010c000401010101010101010101010101010809040101010101010102181108090d0e0607120607121301010809050101010101010101010101010101010101010101010101010101010101010c00040101010101010101010101010101060712130101010101010218110b101c0a060712010b0d0e010106070a0101010101010101010101010101010101010101010101010101010101010c0004010101010101010101010f0000000a0f0d0e01010101010102181a030406161b07120108090a0101010f1213010101010101010f0000000000000000000012130101010101010101010c00040101010101010101010b000401010c0000050101010101010218191011010c0a0f1201010c00040106070d0e01010101010101010101010101010101010101010101010101010101010c00040101010101010101020312130101010b00050101010101010814150a01010616171201010108090000040f0501010101010101010101010101010101010101010101010101010101010c0004010101010101010102030a010101010b000501010101010203000d0e0101010c00000101010101010101010101010101010101010101010101010101010101010101010101010101010c0004010101010101010102030a010101010b0d0e010101010101010101010101010101010101010101010101010101010101010101010101010101010101010101010101010101010c0d0e0c00040101010101010101010f10110101060710110101010101010101010101010101010101010101010101010101010101010101010101010101010101010101010101010101010101060700000401010101010101010108090a01010b000501010101010101010101010101010101010101010101010101010101010101010101010101010101010101010101010101010101010101010203040101010101010101010102030000000501010101010101010101010101010101010101010101010101010101010101010101010101010101010101010101010101010101010101010101010101010101010101010101010101010101010101010101010101010101010101010101010101010101010101010101010101010101010101010101010101010101010101010101010101010101010101010101010101010101010101010101010101010101010101010101010101010101010101010101010101010101010101010101010101010101010101010101010101010101010101010101010101010101010101010101010101010101010101010101010101010101010101010101010101010101010101010101010101010101010101010101010101010101010101010101010101010101010101010101010101010101010101010101010101010101010101010101010101010101010101010101010101010101010101010101010101010101010101010101010101010101010101010101010101010101010101010101010101010101010101010101010101010c00000040092900aa0000000000000019004c0000000000040000002701ffff030000000000>
Расчет уступов:
Ширина уступов фундамента:
С=0,4м; b=0,8м;

Общая высота уступов фундамента:
h= (H-0,85) =2,2-0,85=1,35 м
Принимаем три уступа высотой 0,35; 0,4 и 0,6м и шириной 0,15; 0,2 и 0,2м.

Расчетная схема определения ширины и высоты уступов фундамента при осевой нагрузки на него.

Расчетная схема наружной стены промышленного здания.

Расчетная схема покрытия промышленного здания.
>3. Расчет системы водяного отопления>
Определение расхода тепла на отопление здания.
Ориентировочный
подсчет тепловых потерь здания >>>
>
тепловой мощности системы отопления
>>>
>
произвести по укрупненным показателям.
Расчетную величину тепловых потерь зданием определить по формуле:

где >>>
>
- удельная тепловая характеристика
(принять для мясных предприятий >010009000003d21400000000340c00000000340c000026060f005e18574d46430100000000000100d91a00000000010000003c180000000000003c180000010000006c0000000000000000000000a1000000180000000000000000000000921000008e02000020454d46000001003c1800000c00000001000000000000000000000000000000900600001a040000b801000013010000000000000000000000000000c0b6060038320400460000002c00000020000000454d462b014001001c000000100000000210c0db01000000600000006000000046000000d0050000c4050000454d462b224004000c000000000000001e4009000c00000000000000244001000c000000000000003040020010000000040000000000803f214007000c00000000000000084000051c050000100500000210c0db01000000000000000000000000000000000000000100000089504e470d0a1a0a0000000d49484452000000a20000001908020000003d9d62fa000000017352474200aece1ce9000000097048597300000ec400000ec401952b0e1b00000499494441546843ed583d52eb400c36ef2461682872886468ccd0be1b240d43eb4ccec0242df39ae406b40c6e98f81014340cbe499ea45dafb5ff6b3b3004b215389256d2a7bfd5d97ebfcf4ee7a77be0cf4f37f0641f7ae00473240eeaedf55973aeb7f59146cd8f8499a059548780a47e79cc361fd0d9f6fb5d51ce6f8f1568b200cfc726577e2976eab3f38f5dc15c984b37304a2e2bcb1c042dad4eda8a0d32c5b5f3b1a3e63d45a3a63d59c3fa1ef65772a8096026ee20dce46f02431fd20216f5ab20e6d647092cab0c0e15713d7d8a2ab9b4e73676f72c2a198bfeee523f8bc38c668299fccc9c4a0ef138d9345760c488dd04210f5930cbb0eb953b9e9c73c678a29355ed3a1e9865e62a581066136559bf138d0ac544db0c3ac26c054f22225496ec001d02b2ded5129d92aaeea7d2315fe00856bf955936be18a9c638ba18c3dfafef297365fdfe0ab49c5b9f7c608629c1f177934e0311a994ffbd429df8acab865ef1873966d5dbfb75562c67ad29746bf5302f4d15aa8594a58fcfe667f87fc87cadc471c549ebe617fca7a5d2efd22cd76df50b6efd3cb929b2f2f185506c3aa116a68e32ea893bab126874b14ce7c35fab80713bbb82b55757a7f5146c4f5306eabc28b479053fe57a03e32362af6141bb5d2b2b4ab46328d2fdeaf2236b8edea943e5f3b00755bdbd9d97c5eed94c9f2603a7ebf41c5e4f9b883f9fe31b66c5f3dfced0c91d7b19885b28694505e087ea4d7e697ecea06695d9e5df3c5b3f617a0901e3e5122b597b46b36715b9b69dc4457521edfd369a2df92305b83174a4a99315c222b4a16bd57d989759f94679c98ec3289d6074998b7c1e0273b52040343ce435ca391073e5fc3cc509ac9cecc6c0a28a25ca72dc617ef6146c474fe2aeb840bfafeff1390c025e3777236a421d8ee85a6dac4458272b97318ddb001667b344bc8c037dcddf2a1b79d47de100cca213db271c2bd037a66b57221bf1347ba6102547a69ec90a2b52b76504ce009d47005408cb42397fa82895adb2145759baafb899c4699328daac6d7bf3f91c6615ed407445935930a03ccc660a156de0b2863253bf40225ba69078bbe2044d16beebc0e429d8297e1d5d61e19e4e21957b2105f909c755d3526ef7a417217c9bfd930dc35a22e176ceee4fde742598d1a7cd488694d513f4d44078560b3d9141a7b63559b3a9989aedde187282a884c94cde828d77d8516cdc2c1aa6ddfefba134844ba517bd4f9846f4033b10d52928cb86028c142eda33d51e9ef549ceda32e90b11632a4c18da2d12b98fb0dfa8fe9939b44a0970d957849f0e3ddeb9fee59b4c517da328a679c7a0cdf601e6062a3e69cb656778a5cdc558e583624c7b6a1824e167885b9e6fc521035a1719dd53bb08dcab2df5b5d706ce0e82565ec4226198b14c6cd21702410aca371b6352d792dc88dad66e0573284ea37eec11e4076349d970a5d01c4ca16441bd0a872f731ddf196c29305b553ad9902f20f4ac44cc9bbf23d0bd61766e5c4d94b4dc8cc30ce4df7791db053d7f93fc8268745de1da6d455501264f17e44099f5370e73f4e26322e895409f62209b497aed50bd4a3923ff0cc8873c014ebc47e18121cbcea330f0a4247ae004f3af888313ccbf02e6fff24f36e4766b97fc0000000049454e44ae4260820840010824000000180000000210c0db01000000030000000000000000000000000000001b40000040000000340000000100000002000000000000bf000000bf000022430000c84103000000000000b3000000b3ffff2143000000b3000000b3ffffc7412100000008000000620000000c00000001000000150000000c00000004000000150000000c0000000400000051000000081100000000000000000000a10000001800000000000000000000000000000000000000a20000001900000050000000b40000000401000004100000000000002000cc00a20000001900000028000000a2000000190000000100080000000000000000000000000000000000230000000000000000000000ffffff00489cdf00df9c4800dfffff0000489c00bf74000048489c00ffdf9c0074bfff0048000000ffbf7400bfffff00000074009cdfff00000048004800480074000000ffffbf000074bf009c480000ffffdf004800740074484800004874000048480074007400489c9c00bfffbf00dfdf9c0074bfbf009c48480074489c007400480000749c00010101010101010101010101010101010101010101010101010101010101010101010101010101010101010101010101010101010101010101010101010101010101010101010101010101010101010101010101010101010101010101010101010101010101010101010101010101010101010101010101010101010101010101010101010101010101010101010101010101010101010101010101010101010101ffff010101010101010101010101010101010101010101010101010101010101010101010101010101010101010101010101010101010101010101010101010101010101010101010101010101010101010101010101010101010101010101010101010101010101010101010101010101010101010101010101010101010101010101010101010101010101010101010101010101010101010101010101010101010101ffff010101010101010101010101010101010101010101010101010101010101010101010101010101010101010101010101010101010101010101010101010101010101010101010101010101010101010101010101010101010101010101010101010101010101010101010101010101010101010101010101010101010101010101010101010101010101010101010101010101010101010101010101010101010101ffff010101010101010101010101010101010101010101010101010101010101010101010101010101010101010101010101010101010101010101010101010101010101010101010101010101010101010101010101010101010101010101010101010101010101010101010101010101010101010101010101010101010101010101010101010101010101010101010101010101010101010101010101010101010101ffff010101010101010101010101010101010101010101010101010101010101010101010101010101010101010101010101010101010101010101010101010101010101010101010101010101010101010e0f03010101010101010101010101010101010101010101010101010101010101010101010101010101010101010e0f0000030101010101010101010101010101010101010101010101010102111201010101ffff0101010101010101010101130b01010101010101010101010101010101010101010101010101010101010101010101010101010101010101010101010101010e0f0b01010101010101010101010113111201010101010101010101010101010101010101010101010101010101010101010101010101010101010101010109000301010101010101010101010101010113030101010101010c1a12010c0d03010101ffff01010101010101010101010c0d0b010101010101010101010101010101010101010101010101010101010101010101010101010101010101010101010101010102141501010101010101010101021112010101010101010101010101010101010101010101010101010101010101010101010101010101010101010101010e0f03010101010101010101010101010101130601010101010109111201010c0d030101ffff010101010101010101010101131415010101010101010101010101010101010101010101010101010101010101010101010101010101010101010101010101010e0f0b0101010101010101010e0f0b01010101010101010101010101010101010101010101010101010101010101010101010101010101010101010101010e0f030101010101010101010101010101011311120101010101131112010101090a0801ffff01010405000011120101010113111201020000000000001415010104050000000a08010101010101010104050000000000001415010101010e0f0000141501010113141501010101010101011314150101010c0d00111201010113000014150101010101010101010101010101010101010101010c0d00001415010101010e0f0000000014150101020000000b13001422000000000000000011120101010c0d0301ffff0104050a0801020a08010101131112010c0d0b0101010e21120101130a08010102000b010101010101010104051112010109001112010101010c0d0601010101010e1008010101010101010c0d0601010101010e2112010101010405141501010101010101010101010101010101010101010101010c0d060101010101010e0f1112010c0d14150e0f03010113001415010e211201010c0d06010101010101131415ffff0109000301010c0d0601010101010101010911120101042012010113030101010c0d14150101010101010104051112010101020003010101010c0d060101010101040506010101010101010e0f0301010101010c1a12011306010405141501010101010101010101010101010101010101010101010c0d060101010101010e0f0301010109000b0e0f0b01010c0d06010101130301010c0d06010101010101020a08e20001020a0801010113111201010101010101011314150101010101010101010101040511120101010101010104051112010101090006010101010c0d06010101010101090a0801010101010109000b01010101010c1a120e0f0a080405141501010101010101010101010101010101010101010101010c0d060101010101010e0f030101010e0f0304051415010405060101010e1f15010c0d06010101010101090a08ffff01131112010101020a08010101010101010104050601010101010101010101010c0d14150101010101010104051112010101020003010101010c0d0601010101010104050301010101010109000b01010101010c1a1202111e060405141501010101010101010101010101090006010101010101010c0d060101010101010e0f030101010e0f0601010e0f00000006010101040708010c0d0601010101010109000bbfff0405111201010102000b0101010101010101010c0d030101010101010101010405000b010101010101010104051112010109001415010101010c0d0601010101010101021112010101010109000b01010101010c1a1c0d0304071d05141501010101010101010101010101020011120101010101010c0d060101010101010e0f030101010e0f03010101010104050601010101130b010c0d06010101010101090a0848000405111201010102000b010101010101010101010e0f0b0101010101040500000a080101010101010101010405000000000a080101010206010c0d060104050b0101010c0d0301010101010e0f0301010101010c1a1b111201090613141501010101010101010101010101090006010101010101010c0d0601010c1a12010e0f0301010109000b01010101010c0d06010101010203010c0d06010101010101020a08ffff0405111201010102000b0101010101010101010101020a0801010101010101130a0801010101010101010104051112010102000b0101020a080c0d060109000b01010101021415010101010c0d0601010101010e1718060101040719141501010200000003010101010101010101010101010101010c0d060101021112010e0f0006010c0d11120405141501090003010101010206010c0d06010101010101131415ffff01131112010101130a0801010101010101010101010e0f060101010101010101020a08010101010101010104051112010101130a08010200000000000000000b010101010e0f0b01010101011314150101010c0d000a0801010109000014150c1608010e0f0b01010101010101010101010101010c0d000000000011120900000b0900000a080101010e0f000011120101010900000000000006010101010c0d0301ffff01020a0801010405111201010101010101010101010c0d1415010101010101010e0f0601010101010101010405111201010102000301010101010101010101010101010101131415010101010e0f0b01010101010101010101010101010101010101010e0f0b0101010101010101010101010101010101010101010101010101010101010101010101010101010101010101010101010101010101010101090a0801ffff010e0f0301010c0d141501010101010102060101010e0f1415010102060101010e0f06010101010101010104051112010101130003010101010101010101010101010101010e1008010101010102111201010101010101010101010101010101011300000b01010101010101010101010101010101010101010101010101010101010101010101010101010101010101010101010101010101010101010c0d030101ffff01011311120113000b0101010101010102000b010113000301010102000b010113000301010101010101010405111201010e0f0a0801010101010101010101010101010101011306010101010101131112010101010101010101010101010101010104050b010101010101010101010101010101010101010101010101010101010101010101010101010101010101010101010101010101010101010c0d030101010000010101020000000b0101010101010101010c0d0000000301010101010e0f00000003010101010101010104050000000000000a08010101010101010101010101010101010101090a080101010101010c0d0301010101010101010101010101010101010e10080101010101010101010101010101010101010101010101010101010101010101010101010101010101010101010101010101010101021112010101010000010101010101010101010101010101010101010101010101010101010101010101010101010101010101010101010101010101010101010101010101010101010101010101010405060101010101010101010101010101010101010101010104070801090a0801010101010101010101010101010101010101010101010101010101010101010101010101010101010101010101010101010101010101010101010100000101010101010101010101010101010101010101010101010101010101010101010101010101010101010101010101010101010101010101010101010101010101010101010101010101010101010101010101010101010101010101010101010200000003010101010101010101010101010101010101010101010101010101010101010101010101010101010101010101010101010101010101010101010101010000010101010101010101010101010101010101010101010101010101010101010101010101010101010101010101010101010101010101010101010101010101010101010101010101010101010101010101010101010101010101010101010101010101010101010101010101010101010101010101010101010101010101010101010101010101010101010101010101010101010101010101010101010101010101000001010101010101010101010101010101010101010101010101010101010101010101010101010101010101010101010101010101010101010101010101010101010101010101010101010101010101010101010101010101010101010101010101010101010101010101010101010101010101010101010101010101010101010101010101010101010101010101010101010101010101010101010101010101010101024c000000640000000000000000000000a1000000180000000000000000000000a2000000190000002900aa0000000000000000000000803f00000000000000000000803f0000000000000000000000000000000000000000000000000000000000000000220000000c000000ffffffff460000001c00000010000000454d462b024000000c000000000000000e000000140000000000000010000000140000000400000003010800050000000b0200000000050000000c021900a200030000001e000400000007010400040000000701040069080000410b2000cc001900a200000000001900a2000000000028000000a2000000190000000100080000000000000000000000000000000000230000000000000000000000ffffff00489cdf00df9c4800dfffff0000489c00bf74000048489c00ffdf9c0074bfff0048000000ffbf7400bfffff00000074009cdfff00000048004800480074000000ffffbf000074bf009c480000ffffdf004800740074484800004874000048480074007400489c9c00bfffbf00dfdf9c0074bfbf009c48480074489c007400480000749c00010101010101010101010101010101010101010101010101010101010101010101010101010101010101010101010101010101010101010101010101010101010101010101010101010101010101010101010101010101010101010101010101010101010101010101010101010101010101010101010101010101010101010101010101010101010101010101010101010101010101010101010101010101010101ffff010101010101010101010101010101010101010101010101010101010101010101010101010101010101010101010101010101010101010101010101010101010101010101010101010101010101010101010101010101010101010101010101010101010101010101010101010101010101010101010101010101010101010101010101010101010101010101010101010101010101010101010101010101010101ffff010101010101010101010101010101010101010101010101010101010101010101010101010101010101010101010101010101010101010101010101010101010101010101010101010101010101010101010101010101010101010101010101010101010101010101010101010101010101010101010101010101010101010101010101010101010101010101010101010101010101010101010101010101010101ffff010101010101010101010101010101010101010101010101010101010101010101010101010101010101010101010101010101010101010101010101010101010101010101010101010101010101010101010101010101010101010101010101010101010101010101010101010101010101010101010101010101010101010101010101010101010101010101010101010101010101010101010101010101010101ffff010101010101010101010101010101010101010101010101010101010101010101010101010101010101010101010101010101010101010101010101010101010101010101010101010101010101010e0f03010101010101010101010101010101010101010101010101010101010101010101010101010101010101010e0f0000030101010101010101010101010101010101010101010101010102111201010101ffff0101010101010101010101130b01010101010101010101010101010101010101010101010101010101010101010101010101010101010101010101010101010e0f0b01010101010101010101010113111201010101010101010101010101010101010101010101010101010101010101010101010101010101010101010109000301010101010101010101010101010113030101010101010c1a12010c0d03010101ffff01010101010101010101010c0d0b010101010101010101010101010101010101010101010101010101010101010101010101010101010101010101010101010102141501010101010101010101021112010101010101010101010101010101010101010101010101010101010101010101010101010101010101010101010e0f03010101010101010101010101010101130601010101010109111201010c0d030101ffff010101010101010101010101131415010101010101010101010101010101010101010101010101010101010101010101010101010101010101010101010101010e0f0b0101010101010101010e0f0b01010101010101010101010101010101010101010101010101010101010101010101010101010101010101010101010e0f030101010101010101010101010101011311120101010101131112010101090a0801ffff01010405000011120101010113111201020000000000001415010104050000000a08010101010101010104050000000000001415010101010e0f0000141501010113141501010101010101011314150101010c0d00111201010113000014150101010101010101010101010101010101010101010c0d00001415010101010e0f0000000014150101020000000b13001422000000000000000011120101010c0d0301ffff0104050a0801020a08010101131112010c0d0b0101010e21120101130a08010102000b010101010101010104051112010109001112010101010c0d0601010101010e1008010101010101010c0d0601010101010e2112010101010405141501010101010101010101010101010101010101010101010c0d060101010101010e0f1112010c0d14150e0f03010113001415010e211201010c0d06010101010101131415ffff0109000301010c0d0601010101010101010911120101042012010113030101010c0d14150101010101010104051112010101020003010101010c0d060101010101040506010101010101010e0f0301010101010c1a12011306010405141501010101010101010101010101010101010101010101010c0d060101010101010e0f0301010109000b0e0f0b01010c0d06010101130301010c0d06010101010101020a08e20001020a0801010113111201010101010101011314150101010101010101010101040511120101010101010104051112010101090006010101010c0d06010101010101090a0801010101010109000b01010101010c1a120e0f0a080405141501010101010101010101010101010101010101010101010c0d060101010101010e0f030101010e0f0304051415010405060101010e1f15010c0d06010101010101090a08ffff01131112010101020a08010101010101010104050601010101010101010101010c0d14150101010101010104051112010101020003010101010c0d0601010101010104050301010101010109000b01010101010c1a1202111e060405141501010101010101010101010101090006010101010101010c0d060101010101010e0f030101010e0f0601010e0f00000006010101040708010c0d0601010101010109000bbfff0405111201010102000b0101010101010101010c0d030101010101010101010405000b010101010101010104051112010109001415010101010c0d0601010101010101021112010101010109000b01010101010c1a1c0d0304071d05141501010101010101010101010101020011120101010101010c0d060101010101010e0f030101010e0f03010101010104050601010101130b010c0d06010101010101090a0848000405111201010102000b010101010101010101010e0f0b0101010101040500000a080101010101010101010405000000000a080101010206010c0d060104050b0101010c0d0301010101010e0f0301010101010c1a1b111201090613141501010101010101010101010101090006010101010101010c0d0601010c1a12010e0f0301010109000b01010101010c0d06010101010203010c0d06010101010101020a08ffff0405111201010102000b0101010101010101010101020a0801010101010101130a0801010101010101010104051112010102000b0101020a080c0d060109000b01010101021415010101010c0d0601010101010e1718060101040719141501010200000003010101010101010101010101010101010c0d060101021112010e0f0006010c0d11120405141501090003010101010206010c0d06010101010101131415ffff01131112010101130a0801010101010101010101010e0f060101010101010101020a08010101010101010104051112010101130a08010200000000000000000b010101010e0f0b01010101011314150101010c0d000a0801010109000014150c1608010e0f0b01010101010101010101010101010c0d000000000011120900000b0900000a080101010e0f000011120101010900000000000006010101010c0d0301ffff01020a0801010405111201010101010101010101010c0d1415010101010101010e0f0601010101010101010405111201010102000301010101010101010101010101010101131415010101010e0f0b01010101010101010101010101010101010101010e0f0b0101010101010101010101010101010101010101010101010101010101010101010101010101010101010101010101010101010101010101090a0801ffff010e0f0301010c0d141501010101010102060101010e0f1415010102060101010e0f06010101010101010104051112010101130003010101010101010101010101010101010e1008010101010102111201010101010101010101010101010101011300000b01010101010101010101010101010101010101010101010101010101010101010101010101010101010101010101010101010101010101010c0d030101ffff01011311120113000b0101010101010102000b010113000301010102000b010113000301010101010101010405111201010e0f0a0801010101010101010101010101010101011306010101010101131112010101010101010101010101010101010104050b010101010101010101010101010101010101010101010101010101010101010101010101010101010101010101010101010101010101010c0d030101010000010101020000000b0101010101010101010c0d0000000301010101010e0f00000003010101010101010104050000000000000a08010101010101010101010101010101010101090a080101010101010c0d0301010101010101010101010101010101010e10080101010101010101010101010101010101010101010101010101010101010101010101010101010101010101010101010101010101021112010101010000010101010101010101010101010101010101010101010101010101010101010101010101010101010101010101010101010101010101010101010101010101010101010101010405060101010101010101010101010101010101010101010104070801090a0801010101010101010101010101010101010101010101010101010101010101010101010101010101010101010101010101010101010101010101010100000101010101010101010101010101010101010101010101010101010101010101010101010101010101010101010101010101010101010101010101010101010101010101010101010101010101010101010101010101010101010101010101010200000003010101010101010101010101010101010101010101010101010101010101010101010101010101010101010101010101010101010101010101010101010000010101010101010101010101010101010101010101010101010101010101010101010101010101010101010101010101010101010101010101010101010101010101010101010101010101010101010101010101010101010101010101010101010101010101010101010101010101010101010101010101010101010101010101010101010101010101010101010101010101010101010101010101010101010101000001010101010101010101010101010101010101010101010101010101010101010101010101010101010101010101010101010101010101010101010101010101010101010101010101010101010101010101010101010101010101010101010101010101010101010101010101010101010101010101010101010101010101010101010101010101010101010101010101010101010101010101010101010101010101020c00000040092900aa000000000000001900a20000000000040000002701ffff030000000000>;
для молочных >>>
>;
>>>
>
- объем здания по наружному обмеру (с
учетом толщины стен и покрытия), >0100090000035005000000008e03000000008e03000026060f001207574d46430100000000000100711b0000000001000000f006000000000000f0060000010000006c000000000000000000000014000000180000000000000000000000250200008e02000020454d4600000100f00600000c00000001000000000000000000000000000000900600001a040000b801000013010000000000000000000000000000c0b6060038320400460000002c00000020000000454d462b014001001c000000100000000210c0db010000006000000060000000460000003c02000030020000454d462b224004000c000000000000001e4009000c00000000000000244001000c000000000000003040020010000000040000000000803f214007000c0000000000000008400005880100007c0100000210c0db01000000000000000000000000000000000000000100000089504e470d0a1a0a0000000d494844520000001500000019080200000051b7f2ba000000017352474200aece1ce9000000097048597300000ec400000ec401952b0e1b0000010549444154384fe5543b0e83300c353d0955d71e02d425ecbd016caca9380382952ddc830d0ec15a919ba43121844fab8622b5433d81f1f3e73d1b4708013becb0038bd02fe2791938da82920f8dcbf9edac6384b0ae8fad29c0f00c76e079944cb5038f685a0f19b7f1d7dc2401c7a89a88f669ff430bb27e9f14cd908af9976ef93e0f504d607da496520266acde45a44753aea2c6be47b7e25f0a42197ed6bca0a39ec8f4724ac3df294c28e4292e062fd396c5eebd7dbfdc53febd98912a2a9aa688ce49e8be072ff7dfbd5c09e4be2f8b7b56e8e5fdb8380350dbe2ba3e37937a9910996d71a51fd2dcdbb894fa46947b22e15a06e77ffe3f4f15dd76bfeb14bfc63f00acf4a10126093d060000000049454e44ae4260820840010824000000180000000210c0db01000000030000000000000000000000000000001b40000040000000340000000100000002000000000000bf000000bf0000a8410000c84103000000000000b3000000b3ffffa741000000b3000000b3ffffc7412100000008000000620000000c00000001000000150000000c00000004000000150000000c0000000400000051000000500300000000000000000000140000001800000000000000000000000000000000000000150000001900000050000000a8000000f800000058020000000000002000cc0015000000190000002800000015000000190000000100080000000000000000000000000000000000200000000000000000000000ffffff00489cdf00df9c4800dfffff0048489c00ffdf9c0074bfff00480000009cdfff004800480000489c00ffbf74000074bf0000004800bfffff00000074009c480000ffffdf00480074007448480000487400bf7400000048480074007400489c9c0074000000ffffbf00bfffbf00dfdf9c0074bfbf0074004800010101010101010101010101010101010101010101010000010101010101010101010101010101010101010101010000010101010101010101010101010101010101010101010000010101010101010101010101010101010101010101010000010101010101010101010101010101010101010101010000010101010101010101010101010101010101010101019cff01010101010101010101010101010101010101010101bfff0f10001a1b0101010d00001112010101010101010101dfff01091f1b01010101040b1112010101010101010101010000010f181b010d1601040b1112010101010101010101010000010f181b090e0806040b1112010101010101010101010000010f181b021a1e16040b1112010101010101010101010000010f181c100304051d0b1112010101010101010101010000010f18191a1b0107160d11120101010101010101010100000109141516010104051711120101020000000301010100000f1000080601010107000011120f130601090e0c010100000101010101010101010101010101010101090e0c010174ff0101010101010101010101010101010d00000c010101000001010101010101010101010101010101040b0c01010100000101010101010101010101010101010101090a06010100000101010101010101010101010104050601070806010100000101010101010101010101010101020000000301010100000101010101010101010101010101010101010101010100000101010101010101010101010101010101010101010100000101010101010101010101010101010101010101010100004c0000006400000000000000000000001400000018000000000000000000000015000000190000002900aa0000000000000000000000803f00000000000000000000803f0000000000000000000000000000000000000000000000000000000000000000220000000c000000ffffffff460000001c00000010000000454d462b024000000c000000000000000e000000140000000000000010000000140000000400000003010800050000000b0200000000050000000c0219001500030000001e00040000000701040004000000070104008d010000410b2000cc00190015000000000019001500000000002800000015000000190000000100080000000000000000000000000000000000200000000000000000000000ffffff00489cdf00df9c4800dfffff0048489c00ffdf9c0074bfff00480000009cdfff004800480000489c00ffbf74000074bf0000004800bfffff00000074009c480000ffffdf00480074007448480000487400bf7400000048480074007400489c9c0074000000ffffbf00bfffbf00dfdf9c0074bfbf0074004800010101010101010101010101010101010101010101010000010101010101010101010101010101010101010101010000010101010101010101010101010101010101010101010000010101010101010101010101010101010101010101010000010101010101010101010101010101010101010101010000010101010101010101010101010101010101010101019cff01010101010101010101010101010101010101010101bfff0f10001a1b0101010d00001112010101010101010101dfff01091f1b01010101040b1112010101010101010101010000010f181b010d1601040b1112010101010101010101010000010f181b090e0806040b1112010101010101010101010000010f181b021a1e16040b1112010101010101010101010000010f181c100304051d0b1112010101010101010101010000010f18191a1b0107160d11120101010101010101010100000109141516010104051711120101020000000301010100000f1000080601010107000011120f130601090e0c010100000101010101010101010101010101010101090e0c010174ff0101010101010101010101010101010d00000c010101000001010101010101010101010101010101040b0c01010100000101010101010101010101010101010101090a06010100000101010101010101010101010104050601070806010100000101010101010101010101010101020000000301010100000101010101010101010101010101010101010101010100000101010101010101010101010101010101010101010100000101010101010101010101010101010101010101010100000c00000040092900aa000000000000001900150000000000040000002701ffff030000000000>;
>>>
>
- соответственно температура внутреннего
и наружного воздуха в помещении.
При расчете
тепловой мощности системы отопления
>>>
>
учесть тепловыделения производственного
оборудования в размере 30% от тепловых
потерь >>>
>;

Определение поверхности нагревательных приборов.
Произвести
вычисления общей поверхности F
нагревательных приборов по величине
найденной тепловой мощности системы
отопления >>>
>.

где >>>
>
- расчетный коэффициент теплопередачи
относительно прибора, зависит от типа
прибора, вида теплоносителя >0100090000033e0d00000000f60700000000f607000026060f00e20f574d464301000000000001008dc00000000001000000c00f000000000000c00f0000010000006c00000000000000000000005e000000180000000000000000000000b70900008e02000020454d4600000100c00f00000c00000001000000000000000000000000000000900600001a040000b801000013010000000000000000000000000000c0b6060038320400460000002c00000020000000454d462b014001001c000000100000000210c0db0100000060000000600000004600000000040000f4030000454d462b224004000c000000000000001e4009000c00000000000000244001000c000000000000003040020010000000040000000000803f214007000c00000000000000084000054c030000400300000210c0db01000000000000000000000000000000000000000100000089504e470d0a1a0a0000000d494844520000005f000000190802000000d82f65d3000000017352474200aece1ce9000000097048597300000ec400000ec401952b0e1b000002c7494441545847ed583d6eeb300c967b123fbc25430fe1a28b1fbaf606cd527475d03304f1dacdd93b742de0a5880f91a14b51dfc44f9464878a49d992d2022de2517ffcf87d244539e9ba4e9c3f86818b33330e067e043bcd2ae9bf55f39d727e113bedf65f929cc61349cd7af1290b40d7ed0a51aeb7ed37f2d3759f554edacb2b8d29e0936e086ebb6b6ec214200d42855d2c76ca8a35f40c1498098c41a0a568daec0d82a234a66ca97172629e00125420201d7747c68d8f83d7846c0c3bfd69216818851518429f79cc284011bbc7ca50317c3cc6b2a3990d6087ce9c386e60770c3526910edeb0396aa377c78e398eab4c449e302c7042a982674ba053000fe3a8d915412c2958bd1d2ef1fbca7f0044b3a3e91870a0b351e9a0aa08a3095370a090148595703094234ffa143fdc1b41ec0c00a663180b89d9c13797a5270a6cece738de99fbc8520ed719888a0ad7231526deb7dab8e21e15333bf8ddfc62b04c66697b44d5715d3bac2eec269d33031bfa5262b9e4ea77ef3beb354a0505c55d4d91384c37986de0c47a79efd17bb56f2f755e3d64decd5af650e5f5f2a9699e96978f77a9f7fef4efa5baad6f38d3ed7bdd4f832d51bfbc4db494f5bb5ac0f6cadaa4593507b0f4adce6faffd9d1322bdbecd457975b50fe15662cb3610561b8e9ce6b594f1b2d0c8942dd0c2e99359cdb2d37eec2106cd9993f4b4db75290a46f97421ebecfe83d72bbd7b8406322470269109e5c941376dab7ce5e8d18eeb8f61a759fd594234cec5ebce2a158744182220203f2bfe34038e1500cd9ece6e801eeec106693870c9beb3c6a50b57fe718fe22c75ce7ec7aaa643bb13d2898eea36f1c0c22f2ca28e5b48f59d15f74df7104682a056250e9bef6eaa57f63dc35acf76e5f6a973388cc27182cdf43b2be2601fa75dcd520484136d25b2ff1499e585cebbd7f33a3d7031277122cf8bba127ef5e62ffa73fa4b383bb3e312f2cc8e8b9dff42f2a61a58a16a200000000049454e44ae42608200000840010824000000180000000210c0db01000000030000000000000000000000000000001b40000040000000340000000100000002000000000000bf000000bf0000be420000c84103000000000000b3000000b3ffffbd42000000b3000000b3ffffc7412100000008000000620000000c00000001000000150000000c00000004000000150000000c00000004000000510000005c0a000000000000000000005e00000018000000000000000000000000000000000000005f0000001900000050000000ac000000fc00000060090000000000002000cc005f00000019000000280000005f000000190000000100080000000000000000000000000000000000210000000000000000000000ffffff00bfffff0000007400bf740000dfffff0000489c0048007400ffdf9c0074bfff0048000000df9c48009cdfff00480048000000480074000000489ca800ffffbf000074bf00489cdf00ffbf74009c480000ffffdf00744848000048740048489c000048480074007400489c9c00bfffbf00dfdf9c0074bfbf00740048000101010101010101010101010101010101010101010101010101010101010101010101010101010101010101010101010101010101010101010101010101010101010101010101010101010101010101010101010101010101010101010101ff0101010101010101010101010101010101010101010101010101010101010101010101010101010101010101010101010101010101010101010101010101010101010101010101010101010101010101010101010101010101010101010101ff0101010101010101010101010101010101010101010101010101010101010101010101010101010101010101010101010101010101010101010101010101010101010101010101010101010101010101010101010101010101010101010101ff0101010101010101010101010101010101010101010101010101010101010101010101010101010101010101010101010101010101010101010101010101010101010101010101010101010101010101010101010101010101010101010101ff010101010101010101010101010101010101010101010101010101010101010101010101010c0e0b0101010101010101010101010101010101010101010101010101010101010101010101010101010101010101010101130f110101010101ff0101010101010101010101010101010101010101010c0e14010101010101010101010101120f110101010101010101010101010101010101010101010101010101010101010101010101010101010101010101010101010102030b01010101ff0101010101010101010101010101010101010101010113151601010101010101010101130f1101010101010101010101010101010101010101010101010101010101010101010101010101010101010101010101010101010102030b0101019c010101010101010101010101010101010101010101010c0e140101010101010101010c0e140101010101010101010101010101010101010101010101010101010101010101010101010101010101010101010101010101010101090a080101ff05060000000000001516010101010c0e0000151601010112151601010101010101011215160101010203000f1101010112000015160101010101010101010101010101010101010101011300000014010506000004010101010102030b0101000105060f11010109000f110101010102030401010101010c0d080101010101010102030401010101010c20110101010105061516010101010101010101010101010101010101010101010113000b01010109000b0101010101010112151601ff0105060f1101010113000b010101010203040101010101050604010101010101010c0e0b0101010101021b11011204010506151601010101010101010101010101010101010101010101010c0e0b010101120f1101010101010101130a0801ff0105060f1101010109000401010101020304010101010101090a080101010101010900140101010101021b110c0e0a0805061516010101010101010101010101010101010101010101010102031516010c0e040101010101010101090a0801ff0105060f1101010113000b0101010102030401010101010105060b0101010101010900140101010101021b11130f1f0405061516010101010101010101010101010900040101010101010101120f1101130a08010101010101010109001401ff0105060f110101090015160101010102030401010101010101130f1101010101010900140101010101021b1d030b05191e0615160101010101010101010101010113000f1101010101010101130014020315160101010101010101090a0801ff010506000000000a080101011304010203040105061401010102030b01010101010c0e0b0101010101021b1c0f110109041215160101010101010101010101010109000401010101010101010c0e00000014010101010101010101130a0801ff0105060f1101011300140101130a0802030401090014010101011315160101010102030401010101010c171804010105191a151601020300000000140101010101010101010101010101010102030405060401010101010101010112151601ff0105060f11010101120a080113000000000000000014010101010c0e1401010101011215160101010203000a0801010109000015160109040101091401010101010101010101010101010101050615160112040101010101010102030b0101ff0105060f1101010113000b01010101010101010101010101010101121516010101010c0e1401010101010101010101010101010101010113040101010101010101010101010101010101010101130a0801011315160101010101090a080101ff0105060f1101010112000b010101010101010101010101010101010c0d080101010101130f1101010101010101010101010101010101010109040101010101010101010101010101010101010109001401010112151601010102030b010101ff0105060f1101010c0e0a0801010101010101010101010101010101011204010101010101120f11010101010101010101010101010101010101130b0101010101010101010101010101010101010900040101010c0e0f110102030b01010101ff05060000000000000a08010101010101010101010101010101010101090a0801010101010102030b01010101010101010101010101010101010c0d08010101010101010101010101010101010c0e00000401050600000f100f110101010101ff010101010101010101010101010101010101010101010101010101010506040101010101010101010101010101010101010101010102070801090a080101010101010101010101010101010101010101010101010101010101010101010101ff0101010101010101010101010101010101010101010101010101010101010101010101010101010101010101010101010101010101010203000004010101010101010101010101010101010101010101010101010101010101010101010101ff0101010101010101010101010101010101010101010101010101010101010101010101010101010101010101010101010101010101010101010101010101010101010101010101010101010101010101010101010101010101010101010101ff0101010101010101010101010101010101010101010101010101010101010101010101010101010101010101010101010101010101010101010101010101010101010101010101010101010101010101010101010101010101010101010101ff4c0000006400000000000000000000005e0000001800000000000000000000005f000000190000002900aa0000000000000000000000803f00000000000000000000803f0000000000000000000000000000000000000000000000000000000000000000220000000c000000ffffffff460000001c00000010000000454d462b024000000c000000000000000e000000140000000000000010000000140000000400000003010800050000000b0200000000050000000c0219005f00030000001e000400000007010400040000000701040013050000410b2000cc0019005f000000000019005f0000000000280000005f000000190000000100080000000000000000000000000000000000210000000000000000000000ffffff00bfffff0000007400bf740000dfffff0000489c0048007400ffdf9c0074bfff0048000000df9c48009cdfff00480048000000480074000000489ca800ffffbf000074bf00489cdf00ffbf74009c480000ffffdf00744848000048740048489c000048480074007400489c9c00bfffbf00dfdf9c0074bfbf00740048000101010101010101010101010101010101010101010101010101010101010101010101010101010101010101010101010101010101010101010101010101010101010101010101010101010101010101010101010101010101010101010101ff0101010101010101010101010101010101010101010101010101010101010101010101010101010101010101010101010101010101010101010101010101010101010101010101010101010101010101010101010101010101010101010101ff0101010101010101010101010101010101010101010101010101010101010101010101010101010101010101010101010101010101010101010101010101010101010101010101010101010101010101010101010101010101010101010101ff0101010101010101010101010101010101010101010101010101010101010101010101010101010101010101010101010101010101010101010101010101010101010101010101010101010101010101010101010101010101010101010101ff010101010101010101010101010101010101010101010101010101010101010101010101010c0e0b0101010101010101010101010101010101010101010101010101010101010101010101010101010101010101010101130f110101010101ff0101010101010101010101010101010101010101010c0e14010101010101010101010101120f110101010101010101010101010101010101010101010101010101010101010101010101010101010101010101010101010102030b01010101ff0101010101010101010101010101010101010101010113151601010101010101010101130f1101010101010101010101010101010101010101010101010101010101010101010101010101010101010101010101010101010102030b0101019c010101010101010101010101010101010101010101010c0e140101010101010101010c0e140101010101010101010101010101010101010101010101010101010101010101010101010101010101010101010101010101010101090a080101ff05060000000000001516010101010c0e0000151601010112151601010101010101011215160101010203000f1101010112000015160101010101010101010101010101010101010101011300000014010506000004010101010102030b0101000105060f11010109000f110101010102030401010101010c0d080101010101010102030401010101010c20110101010105061516010101010101010101010101010101010101010101010113000b01010109000b0101010101010112151601ff0105060f1101010113000b010101010203040101010101050604010101010101010c0e0b0101010101021b11011204010506151601010101010101010101010101010101010101010101010c0e0b010101120f1101010101010101130a0801ff0105060f1101010109000401010101020304010101010101090a080101010101010900140101010101021b110c0e0a0805061516010101010101010101010101010101010101010101010102031516010c0e040101010101010101090a0801ff0105060f1101010113000b0101010102030401010101010105060b0101010101010900140101010101021b11130f1f0405061516010101010101010101010101010900040101010101010101120f1101130a08010101010101010109001401ff0105060f110101090015160101010102030401010101010101130f1101010101010900140101010101021b1d030b05191e0615160101010101010101010101010113000f1101010101010101130014020315160101010101010101090a0801ff010506000000000a080101011304010203040105061401010102030b01010101010c0e0b0101010101021b1c0f110109041215160101010101010101010101010109000401010101010101010c0e00000014010101010101010101130a0801ff0105060f1101011300140101130a0802030401090014010101011315160101010102030401010101010c171804010105191a151601020300000000140101010101010101010101010101010102030405060401010101010101010112151601ff0105060f11010101120a080113000000000000000014010101010c0e1401010101011215160101010203000a0801010109000015160109040101091401010101010101010101010101010101050615160112040101010101010102030b0101ff0105060f1101010113000b01010101010101010101010101010101121516010101010c0e1401010101010101010101010101010101010113040101010101010101010101010101010101010101130a0801011315160101010101090a080101ff0105060f1101010112000b010101010101010101010101010101010c0d080101010101130f1101010101010101010101010101010101010109040101010101010101010101010101010101010109001401010112151601010102030b010101ff0105060f1101010c0e0a0801010101010101010101010101010101011204010101010101120f11010101010101010101010101010101010101130b0101010101010101010101010101010101010900040101010c0e0f110102030b01010101ff05060000000000000a08010101010101010101010101010101010101090a0801010101010102030b01010101010101010101010101010101010c0d08010101010101010101010101010101010c0e00000401050600000f100f110101010101ff010101010101010101010101010101010101010101010101010101010506040101010101010101010101010101010101010101010102070801090a080101010101010101010101010101010101010101010101010101010101010101010101ff0101010101010101010101010101010101010101010101010101010101010101010101010101010101010101010101010101010101010203000004010101010101010101010101010101010101010101010101010101010101010101010101ff0101010101010101010101010101010101010101010101010101010101010101010101010101010101010101010101010101010101010101010101010101010101010101010101010101010101010101010101010101010101010101010101ff0101010101010101010101010101010101010101010101010101010101010101010101010101010101010101010101010101010101010101010101010101010101010101010101010101010101010101010101010101010101010101010101ff0c00000040092900aa0000000000000019005f0000000000040000002701ffff030000000000>;
>>>
>
- температура поверхности нагревательных
приборов

>>>
>
- температура воздуха в нутрии помещения.
Определение числа секций в нагревательных приборов:

где >>>
>
- площадь поверхности одной секции
нагревательного прибора, >010009000003b40500000000c00300000000c003000026060f007607574d4643010000000000010043700000000001000000540700000000000054070000010000006c0000000000000000000000180000001800000000000000000000008e0200008e02000020454d4600000100540700000c00000001000000000000000000000000000000900600001a040000b801000013010000000000000000000000000000c0b6060038320400460000002c00000020000000454d462b014001001c000000100000000210c0db010000006000000060000000460000003c02000030020000454d462b224004000c000000000000001e4009000c00000000000000244001000c000000000000003040020010000000040000000000803f214007000c0000000000000008400005880100007c0100000210c0db01000000000000000000000000000000000000000100000089504e470d0a1a0a0000000d49484452000000190000001908020000004b8b1234000000017352474200aece1ce9000000097048597300000ec400000ec401952b0e1b0000010349444154484bed943d0e832014809f3d0949d71e42d38503f406bab93ee3198cae6e788f6e7a08d7466f4201ab803fa934262e6522043fbef7a7c7398783d6e5208ec49cc66a126f5c49b31290c8d7be552350d6a9bb623bed8d8f611fc8bed5317a144ba04643eb0d772f1120d6abd1b8b164701b20d9a74326d5b2c597c7a6518d4ba6f2920940a460bc298fa838d1fc89fd79798325d59009ff09a614364abf5979ddf7d7304528b2aa07e8abac653179b56e0366ce901f33fa8ccaa629a35b1a1237d07c1ec9fd41a1080221e53b93e6b34d649c80bf488d5ebdce8c9f739ebb4a0d339f98fd655559b7c0eabc58c51ceea2f7ffaf3a75c669fffb2f96477abd016d4b5e0d2401c57c0000000049454e44ae42608200000840010824000000180000000210c0db01000000030000000000000000000000000000001b40000040000000340000000100000002000000000000bf000000bf0000c8410000c84103000000000000b3000000b3ffffc741000000b3000000b3ffffc7412100000008000000620000000c00000001000000150000000c00000004000000150000000c0000000400000051000000b40300000000000000000000180000001800000000000000000000000000000000000000190000001900000050000000a8000000f8000000bc020000000000002000cc0019000000190000002800000019000000190000000100080000000000000000000000000000000000200000000000000000000000ffffff00bfffff0000007400bf74000048007400ffdf9c0074bfff00480000009cdfff0048004800489cdf00df9c48009c480000ffffdf00ffbf74007448480000487400dfffff0048489c000048480074007400489c9c0074000000ffffbf000074bf00bfffbf00dfdf9c0000489c0074bfbf000000480074004800010101010101010101010101010101010101010101010101010101ff010101010101010101010101010101010101010101010101010101ff010101010101010101010101010101010101010101010101010101ff010101010101010101010101010101010101010101010101010101ff010101010101010101010101010101010101010101010101010101ff010101010101010101010101010101010101010101010101010101ff010101010101010101010101010101010101010101010101010101ff02030017180101011900000d0e0101010101010101010203170a01ff01091f1801010101121c0d0e010101010101010101010203170a01ff0102151801190401121c0d0e010101010101010101010101010101ff01021518091e0806121c0d0e010101010101010101010101010101ff010215180b171d04121c0d0e010101010101010101010101010101ff0102151a030c12131b1c0d0e010101010101010101010101010101ff010215161718010704190d0e010101010101010101010101010101ff010910110401011213140d0e010203000000000f01010101010101ff02030008060101010700000d0e0107040101070f01010101010101ff0101010101010101010101010101010b0401010101010101010101ff010101010101010101010101010101010704010101010101010101ff01010101010101010101010101010101010b0c0101010101010101ff0101010101010101010101010101010101090a0601010101010101ff010101010101010101010101010205060107080601010101010101ff010101010101010101010101010102030000040101010101010101ff010101010101010101010101010101010101010101010101010101ff010101010101010101010101010101010101010101010101010101ff010101010101010101010101010101010101010101010101010101ff4c0000006400000000000000000000001800000018000000000000000000000019000000190000002900aa0000000000000000000000803f00000000000000000000803f0000000000000000000000000000000000000000000000000000000000000000220000000c000000ffffffff460000001c00000010000000454d462b024000000c000000000000000e000000140000000000000010000000140000000400000003010800050000000b0200000000050000000c0219001900030000001e0004000000070104000400000007010400bf010000410b2000cc00190019000000000019001900000000002800000019000000190000000100080000000000000000000000000000000000200000000000000000000000ffffff00bfffff0000007400bf74000048007400ffdf9c0074bfff00480000009cdfff0048004800489cdf00df9c48009c480000ffffdf00ffbf74007448480000487400dfffff0048489c000048480074007400489c9c0074000000ffffbf000074bf00bfffbf00dfdf9c0000489c0074bfbf000000480074004800010101010101010101010101010101010101010101010101010101ff010101010101010101010101010101010101010101010101010101ff010101010101010101010101010101010101010101010101010101ff010101010101010101010101010101010101010101010101010101ff010101010101010101010101010101010101010101010101010101ff010101010101010101010101010101010101010101010101010101ff010101010101010101010101010101010101010101010101010101ff02030017180101011900000d0e0101010101010101010203170a01ff01091f1801010101121c0d0e010101010101010101010203170a01ff0102151801190401121c0d0e010101010101010101010101010101ff01021518091e0806121c0d0e010101010101010101010101010101ff010215180b171d04121c0d0e010101010101010101010101010101ff0102151a030c12131b1c0d0e010101010101010101010101010101ff010215161718010704190d0e010101010101010101010101010101ff010910110401011213140d0e010203000000000f01010101010101ff02030008060101010700000d0e0107040101070f01010101010101ff0101010101010101010101010101010b0401010101010101010101ff010101010101010101010101010101010704010101010101010101ff01010101010101010101010101010101010b0c0101010101010101ff0101010101010101010101010101010101090a0601010101010101ff010101010101010101010101010205060107080601010101010101ff010101010101010101010101010102030000040101010101010101ff010101010101010101010101010101010101010101010101010101ff010101010101010101010101010101010101010101010101010101ff010101010101010101010101010101010101010101010101010101ff0c00000040092900aa000000000000001900190000000000040000002701ffff030000000000>
Определение числа секций в одном нагревательном приборе:

где >>>
>
- число нагревательных приборов.
Расчет:
Исходные данные:
Местоположения здания - город Иркутск (мясокомбинат).
Тип нагревательных приборов - М-140.
Теплоноситель:
вода >>>
>.
Размеры отапливаемого помещения 72х24 м.
а) определение теплопотерь здания

>>>
>
м3
б) определение мощности отопительной системы

в) определение площади поверхности всех нагревательных приборов


г) определение числа секций во всех нагревательных приборах

д) определение числа секций в одном нагревательном приборе

>4. Расчет приточной вентиляции>
Круглые стальные воздуховоды проложить под потолком вдоль колонн. Вентилятор, фильтр, калорифер разместить в приточной камере на антресоли. Расстояние между отверстиями принять 6 - 12 м. Общую длину воздуховода принять в соответствии с длиной здания. Подбор воздушного фильтра. Воздушный фильтр для очистки наружного воздуха от пыли подобрать по коэффициенту очистки ε и начальной концентрации пыли q>н>

Коэффициент очистки, указанный в технической характеристике, должен быть больше найденному по расчету или больше его.
Определить рабочую поверхность фильтра и число стандартных секций.
Рабочую поверхность вычислим по формуле:

где >>>
>
- удельная нагрузка на >0100090000039806000000004004000000004004000026060f007608574d46430100000000000100ba880000000001000000540800000000000054080000010000006c000000000000000000000022000000180000000000000000000000940300008e02000020454d4600000100540800000c00000001000000000000000000000000000000900600001a040000b801000013010000000000000000000000000000c0b6060038320400460000002c00000020000000454d462b014001001c000000100000000210c0db010000006000000060000000460000007402000068020000454d462b224004000c000000000000001e4009000c00000000000000244001000c000000000000003040020010000000040000000000803f214007000c0000000000000008400005c0010000b40100000210c0db01000000000000000000000000000000000000000100000089504e470d0a1a0a0000000d4948445200000023000000190802000000345a00c5000000017352474200aece1ce9000000097048597300000ec400000ec401952b0e1b0000013b49444154484bed553d0e8230147e78921a17070e0171a9bb37d0c5b8967006a3ab71c16318dde4100e2e066e82efbd060a1a9536e8607c53f328fddef753f08aa280af54ef2b2804f20b4869e49515a5440a7dfa409d14c824e38371c9eb3ba4b2dd217896c82612357495c3748386e7ea03391124e91cb69a69a79546fd4b7c988a079f18a92b4ea4923a55cad8a6bc4ad47897d7d83fb6994db10ab46694be861b6d3891f04aa1a9665e6a49ec1835ee6dc0bdb69c00c4c03fc2702261bde76b82236f667e1cfb75838355334fc8cd1e890f1c4c6305eb252998ef96e76421aee737517244020816893cce362913d2e17a5dce482046a460182221b6fd5db92381200541b5228463d823e5c611f25de7b84d7146cca7a8f64aedd6992055f16d3c35a17e7eedbdff3fb78d1f4ff6d827c215ec8fe4aa1cbd770398955c03a10f712b0000000049454e44ae42608200000840010824000000180000000210c0db01000000030000000000000000000000000000001b40000040000000340000000100000002000000000000bf000000bf00000c420000c84103000000000000b3000000b3ffff0b42000000b3000000b3ffffc7412100000008000000620000000c00000001000000150000000c00000004000000150000000c00000004000000510000007c0400000000000000000000220000001800000000000000000000000000000000000000230000001900000050000000a8000000f800000084030000000000002000cc0023000000190000002800000023000000190000000100080000000000000000000000000000000000200000000000000000000000ffffff00bfffff0000007400bf74000048007400ffdf9c0074bfff0048000000df9c48009cdfff0048004800dfffff0000489c00489cdf009c480000ffffdf00ffbf7400744848000048740048489c000048480074007400489c9c0074000000ffffbf000074bf00bfffbf00dfdf9c0074bfbf0000004800740048000101010101010101010101010101010101010101010101010101010101010101010101ff0101010101010101010101010101010101010101010101010101010101010101010101ff0101010101010101010101010101010101010101010101010101010101010101010101ff0101010101010101010101010101010101010101010101010101010101010101010101ff0101010101010101010101010101010101010101010101010101010101010101010101ff0101010101010101010101010101010101010101010101010101010101010101010101ff0101010101010101010101010101010101010101010101010101010101010101010101ff010c0d00000000001819010101010102030018190101011a00000f1001010101010101ff010101010700090101010101010101010a1f19010101010c0d0f100101010101010101ff01010101070009010101010101010101021619011a04010c0d0f100101010101010101ff010101010700090101010101010101010216190a1e08060c0d0f100101010101010101ff010101010700090101010101010101010216190e181d040c0d0f100101010101010101ff0101010107000901010101010101010102161b03090c141c0d0f100101010101010101ff0101010107000901010101010101010102161718190107041a0f100101010101010101ff010101010700090101010101010101010a12130401010c14150f100102030000000011ff01010101070009010101010101010102030008060101010700000f1001070401010711ff0101010107000901010101010101010101010101010101010101010101010e04010101bf0107080607000901010101010101010101010101010101010101010101010107040101bf01010c0d000009010101010101010101010101010101010101010101010101010e0901df01010101020309010101010101010101010101010101010101010101010101010a0b06ff0101010101010101010101010101010101010101010101010101010102050601070806ff0101010101010101010101010101010101010101010101010101010101020300000401ff0101010101010101010101010101010101010101010101010101010101010101010101ff0101010101010101010101010101010101010101010101010101010101010101010101ff0101010101010101010101010101010101010101010101010101010101010101010101ff4c0000006400000000000000000000002200000018000000000000000000000023000000190000002900aa0000000000000000000000803f00000000000000000000803f0000000000000000000000000000000000000000000000000000000000000000220000000c000000ffffffff460000001c00000010000000454d462b024000000c000000000000000e000000140000000000000010000000140000000400000003010800050000000b0200000000050000000c0219002300030000001e000400000007010400040000000701040023020000410b2000cc00190023000000000019002300000000002800000023000000190000000100080000000000000000000000000000000000200000000000000000000000ffffff00bfffff0000007400bf74000048007400ffdf9c0074bfff0048000000df9c48009cdfff0048004800dfffff0000489c00489cdf009c480000ffffdf00ffbf7400744848000048740048489c000048480074007400489c9c0074000000ffffbf000074bf00bfffbf00dfdf9c0074bfbf0000004800740048000101010101010101010101010101010101010101010101010101010101010101010101ff0101010101010101010101010101010101010101010101010101010101010101010101ff0101010101010101010101010101010101010101010101010101010101010101010101ff0101010101010101010101010101010101010101010101010101010101010101010101ff0101010101010101010101010101010101010101010101010101010101010101010101ff0101010101010101010101010101010101010101010101010101010101010101010101ff0101010101010101010101010101010101010101010101010101010101010101010101ff010c0d00000000001819010101010102030018190101011a00000f1001010101010101ff010101010700090101010101010101010a1f19010101010c0d0f100101010101010101ff01010101070009010101010101010101021619011a04010c0d0f100101010101010101ff010101010700090101010101010101010216190a1e08060c0d0f100101010101010101ff010101010700090101010101010101010216190e181d040c0d0f100101010101010101ff0101010107000901010101010101010102161b03090c141c0d0f100101010101010101ff0101010107000901010101010101010102161718190107041a0f100101010101010101ff010101010700090101010101010101010a12130401010c14150f100102030000000011ff01010101070009010101010101010102030008060101010700000f1001070401010711ff0101010107000901010101010101010101010101010101010101010101010e04010101bf0107080607000901010101010101010101010101010101010101010101010107040101bf01010c0d000009010101010101010101010101010101010101010101010101010e0901df01010101020309010101010101010101010101010101010101010101010101010a0b06ff0101010101010101010101010101010101010101010101010101010102050601070806ff0101010101010101010101010101010101010101010101010101010101020300000401ff0101010101010101010101010101010101010101010101010101010101010101010101ff0101010101010101010101010101010101010101010101010101010101010101010101ff0101010101010101010101010101010101010101010101010101010101010101010101ff0c00000040092900aa000000000000001900230000000000040000002701ffff030000000000>
фильтра, >010009000003bc0c00000000a80700000000a807000026060f00460f574d46430100000000000100b8d70000000001000000240f000000000000240f0000010000006c00000000000000000000005a0000001800000000000000000000004e0900008e02000020454d4600000100240f00000c00000001000000000000000000000000000000900600001a040000b801000013010000000000000000000000000000c0b6060038320400460000002c00000020000000454d462b014001001c000000100000000210c0db01000000600000006000000046000000cc030000c0030000454d462b224004000c000000000000001e4009000c00000000000000244001000c000000000000003040020010000000040000000000803f214007000c0000000000000008400005180300000c0300000210c0db01000000000000000000000000000000000000000100000089504e470d0a1a0a0000000d494844520000005b000000190802000000d1c4c5a9000000017352474200aece1ce9000000097048597300000ec400000ec401952b0e1b00000293494441545847ed583b8ec23010357b92201a0a0e01a231da961b908e3688332068e9c20d6857eb06c121286810b9093b767e7632fe24de0f8b7081a26466fce6cdc7633af7fb9dbc96c4c0db8b8d0a030d184976934ebe26bbe4bf51795a14e817271378a81ab7758b298d6f42f61811923fe3ca204c487474b3fc0b5280d8153c690387fb6b64c444999dce3690dc7554f0f5d0b560841b31879f3b8d49f0f77f9d3952aa172c2a416ac68870892f13239a0c7a8842020770e82529cd18c958353a8757c503f061c9ed1c373052045e6d0dd5d7527332b8a7f954a7a9309f7624a167cfbf5abb70042fbc2cb2e318e96a1ab0881ce1b51545cae9c05f517823b12481d6f6554dc5e00da4429310321f6158ff74025ff26f603dc523e691a03760a43fa564f3919dd4a76d38582e07cab11dcc3e0b449fb3003bd2418dd1e9b8fa2db99e61af3eaa529a09fa108141af2e954e12ba21c209fc70ad92b91e22f03900b62f27b4de6c1991cd8a8f5ec96e758ee701f7a3c902b50d899675b2920bc37d2580e0609bf5049fa48c1606c91f7c9a18f02bcfacc3794c59b83d8904c193c0445072d8331acf31f671b5e11af29485dd6c96ec86c01b163a019444ef46cb9ee08b7d9932c507635e39a3112488bb5fb92d4dc518934c4966b94f295aa9149ae8929c17f8d20e55ef3501af1c34f16dd5a3ad18ae283ac4f96a2b0fdb1e96efedc16786d3f2148c6495ca1f793c6cd14090992b461428bb581811dda6396ffee0737f38003a95e711e590aecc0be67b83f5ae6215f09e47da83cf5dcb30b69a592bf4b8cca32e32eeb7b59f909466565ff3d69b70bac16373e279af91396ce2e823dc7db1f87bdc7d7dd3294f95e6b3fa37ec8c9aa807b403729ea7de93a937f89ff5c93cd7b9f362a4cacc8b912a235f4e3d2592f40a96ff0000000049454e44ae42608200000840010824000000180000000210c0db01000000030000000000000000000000000000001b40000040000000340000000100000002000000000000bf000000bf0000b6420000c84103000000000000b3000000b3ffffb542000000b3000000b3ffffc7412100000008000000620000000c00000001000000150000000c00000004000000150000000c0000000400000051000000f409000000000000000000005a00000018000000000000000000000000000000000000005b0000001900000050000000a8000000f8000000fc080000000000002000cc005b00000019000000280000005b000000190000000100080000000000000000000000000000000000200000000000000000000000ffffff00489cdf00df9c4800bfffff0000007400bf740000dfffff0048489c00ffdf9c0074bfff004800000000489c00480074009cdfff004800480074000000ffffbf00ffbf74000074bf00000048009c480000ffffdf0074484800004874000048480074007400489c9c00bfffbf00dfdf9c0074bfbf007400480001010101010101010101010101010101010101010101010101010101010101010101010101010101010101010101010101010101010101010101010101010101010101010101010101010101010101010101010101010101010101ff01010101010101010101010101010101010101010101010101010101010101010101010101010101010101010101010101010101010101010101010101010101010101010101010101010101010101010101010101010101010101ff01010101010101010101010101010101010101010101010101010101010101010101010101010101010101010101010101010101010101010101010101010101010101010101010101010101010101010101010101010101010101ff01010101010101010101010101010101010101010101010101010101010101010101010101010101010101010101010101010101010101010101010101010101010101010101010101010101010101010101010101010101010101ff010101010101010101010101010101010101010101010101010101010101010101010101010e1403010101010101010101010101010101010101010101010101010101010101010101010101010101010101010101021011010101ff0101010101010101010101010101010101010101010e141201010101010101010101010113101101010101010101010101010101010101010101010101010101010101010101010101010101010101010101010101010405030101ff01010101010101010101010101010101010101010101021516010101010101010101010210110101010101010101010101010101010101010101010101010101010101010101010101010101010101010101010101010104050301ff010101010101010101010101010101010101010101010e14120101010101010101010e14120101010101010101010101010101010101010101010101010101010101010101010101010101010101010101010101010101010a0b09ff04050010110101011300001516010101010101010101011315160101010101010101131516010101010101010102000010110101010101010101010101010104050010110101011300001516010101010101010101010101040503bf010e1f1101010101070c151601010101010101010101010e0f090101010101010104050601010101010101010101130b090101010101010101010101010101010e1f1101010101070c151601010101010101010101010101011315ff01041a1101130601070c15160101010101010101010101070c06010101010101010e140301010101010101010101021011010101010101010101010101010101041a1101130601070c15160101010101010101010101010101020bff01041a110e140b09070c15160101010101010101010101010a0b090101010101010a001201010101010101010101021011010101010101010101010101010101041a110e140b09070c151601010101010101010101010101010a0bff01041a1102101e06070c1516010101010101010101010101070c030101010101010a00120101010101040500000000101101010101010a000601010101010101041a1102101e06070c151601010101010101010101010101010a00ff01041a1c050307081d0c15160101010101010101010101010102101101010101010a00120101010101130b090101021011010101010102001011010101010101041a1c050307081d0c151601010101010101010101010101010a0bff01041a1b1011010a061315160101010101010101010101010104050301010101010e14030101010101131516010102101101010101010a000601010101010101041a1b1011010a061315160101010101010101010101010101020bff010e1718060101070819151601010200000003010101010101010215160101010104050601010101011315160101130b090101010101010101010101010101010e1718060101070819151601040500000000120101010101011315bf0405000b090101010a00001516040d09010e14120101010101010e1412010101010113151601010113000015160200001011010101010101010101010101010405000b090101010a00001516010a0601010a1201010101010405037401010101010101010101010101010101010e141201010101010101131516010101010e14120101010101010101010101010101010101010101010101010101010101010101010101010101010101020601010101010101010a0b09ff0101010101010101010101010101011300001201010101010101010e0f09010101010102101101010101010101010101010101010101010101010101010101010101010101010101010101010101010a06010101010101040503019c01010101010101010101010101010101070c120101010101010101011306010101010101131011010101010101010101010101010101010101010101010101010101010101010101010101010101010102030101010104050301017401010101010101010101010101010101010e0f0901010101010101010a0b09010101010101040503010101010101010101010101010101010101010101010101010101010101010101010101010101010e0f090101021011010101ff01010101010101010101010101070809010a0b090101010101010101070c06010101010101010101010101010101010101010101010101010101010101010101010101010101010101010101040d09010a0b090101010101010101ff01010101010101010101010101010200000003010101010101010101010101010101010101010101010101010101010101010101010101010101010101010101010101010101010101010101010405000006010101010101010101ff01010101010101010101010101010101010101010101010101010101010101010101010101010101010101010101010101010101010101010101010101010101010101010101010101010101010101010101010101010101010101ff01010101010101010101010101010101010101010101010101010101010101010101010101010101010101010101010101010101010101010101010101010101010101010101010101010101010101010101010101010101010101ff4c0000006400000000000000000000005a0000001800000000000000000000005b000000190000002900aa0000000000000000000000803f00000000000000000000803f0000000000000000000000000000000000000000000000000000000000000000220000000c000000ffffffff460000001c00000010000000454d462b024000000c000000000000000e000000140000000000000010000000140000000400000003010800050000000b0200000000050000000c0219005b00030000001e0004000000070104000400000007010400df040000410b2000cc0019005b000000000019005b0000000000280000005b000000190000000100080000000000000000000000000000000000200000000000000000000000ffffff00489cdf00df9c4800bfffff0000007400bf740000dfffff0048489c00ffdf9c0074bfff004800000000489c00480074009cdfff004800480074000000ffffbf00ffbf74000074bf00000048009c480000ffffdf0074484800004874000048480074007400489c9c00bfffbf00dfdf9c0074bfbf007400480001010101010101010101010101010101010101010101010101010101010101010101010101010101010101010101010101010101010101010101010101010101010101010101010101010101010101010101010101010101010101ff01010101010101010101010101010101010101010101010101010101010101010101010101010101010101010101010101010101010101010101010101010101010101010101010101010101010101010101010101010101010101ff01010101010101010101010101010101010101010101010101010101010101010101010101010101010101010101010101010101010101010101010101010101010101010101010101010101010101010101010101010101010101ff01010101010101010101010101010101010101010101010101010101010101010101010101010101010101010101010101010101010101010101010101010101010101010101010101010101010101010101010101010101010101ff010101010101010101010101010101010101010101010101010101010101010101010101010e1403010101010101010101010101010101010101010101010101010101010101010101010101010101010101010101021011010101ff0101010101010101010101010101010101010101010e141201010101010101010101010113101101010101010101010101010101010101010101010101010101010101010101010101010101010101010101010101010405030101ff01010101010101010101010101010101010101010101021516010101010101010101010210110101010101010101010101010101010101010101010101010101010101010101010101010101010101010101010101010104050301ff010101010101010101010101010101010101010101010e14120101010101010101010e14120101010101010101010101010101010101010101010101010101010101010101010101010101010101010101010101010101010a0b09ff04050010110101011300001516010101010101010101011315160101010101010101131516010101010101010102000010110101010101010101010101010104050010110101011300001516010101010101010101010101040503bf010e1f1101010101070c151601010101010101010101010e0f090101010101010104050601010101010101010101130b090101010101010101010101010101010e1f1101010101070c151601010101010101010101010101011315ff01041a1101130601070c15160101010101010101010101070c06010101010101010e140301010101010101010101021011010101010101010101010101010101041a1101130601070c15160101010101010101010101010101020bff01041a110e140b09070c15160101010101010101010101010a0b090101010101010a001201010101010101010101021011010101010101010101010101010101041a110e140b09070c151601010101010101010101010101010a0bff01041a1102101e06070c1516010101010101010101010101070c030101010101010a00120101010101040500000000101101010101010a000601010101010101041a1102101e06070c151601010101010101010101010101010a00ff01041a1c050307081d0c15160101010101010101010101010102101101010101010a00120101010101130b090101021011010101010102001011010101010101041a1c050307081d0c151601010101010101010101010101010a0bff01041a1b1011010a061315160101010101010101010101010104050301010101010e14030101010101131516010102101101010101010a000601010101010101041a1b1011010a061315160101010101010101010101010101020bff010e1718060101070819151601010200000003010101010101010215160101010104050601010101011315160101130b090101010101010101010101010101010e1718060101070819151601040500000000120101010101011315bf0405000b090101010a00001516040d09010e14120101010101010e1412010101010113151601010113000015160200001011010101010101010101010101010405000b090101010a00001516010a0601010a1201010101010405037401010101010101010101010101010101010e141201010101010101131516010101010e14120101010101010101010101010101010101010101010101010101010101010101010101010101010101020601010101010101010a0b09ff0101010101010101010101010101011300001201010101010101010e0f09010101010102101101010101010101010101010101010101010101010101010101010101010101010101010101010101010a06010101010101040503019c01010101010101010101010101010101070c120101010101010101011306010101010101131011010101010101010101010101010101010101010101010101010101010101010101010101010101010102030101010104050301017401010101010101010101010101010101010e0f0901010101010101010a0b09010101010101040503010101010101010101010101010101010101010101010101010101010101010101010101010101010e0f090101021011010101ff01010101010101010101010101070809010a0b090101010101010101070c06010101010101010101010101010101010101010101010101010101010101010101010101010101010101010101040d09010a0b090101010101010101ff01010101010101010101010101010200000003010101010101010101010101010101010101010101010101010101010101010101010101010101010101010101010101010101010101010101010405000006010101010101010101ff01010101010101010101010101010101010101010101010101010101010101010101010101010101010101010101010101010101010101010101010101010101010101010101010101010101010101010101010101010101010101ff01010101010101010101010101010101010101010101010101010101010101010101010101010101010101010101010101010101010101010101010101010101010101010101010101010101010101010101010101010101010101ff0c00000040092900aa0000000000000019005b0000000000040000002701ffff030000000000>
>>>
>
- производительность системы вентиляции
>010009000003fe07000000001005000000001005000026060f00160a574d46430100000000000100c0fc0000000001000000f409000000000000f4090000010000006c00000000000000000000002c0000001800000000000000000000009a0400008e02000020454d4600000100f40900000c00000001000000000000000000000000000000900600001a040000b801000013010000000000000000000000000000c0b6060038320400460000002c00000020000000454d462b014001001c000000100000000210c0db01000000600000006000000046000000e8020000dc020000454d462b224004000c000000000000001e4009000c00000000000000244001000c000000000000003040020010000000040000000000803f214007000c000000000000000840000534020000280200000210c0db01000000000000000000000000000000000000000100000089504e470d0a1a0a0000000d494844520000002d0000001908020000002a933076000000017352474200aece1ce9000000097048597300000ec400000ec401952b0e1b000001b049444154484bd556316e833014353d8925960c1c22511667cf0de8d6d58833a0b076831b64adc2128543307489e29b507f03c6a6ae63232a114fc1fab69fdffbef3941dbb66805e36d051800c20be260e52118c6a1640b13c9fbc36d3c0a428a87a8bd518486dfe6c5bc18217a73db19aa907be95809a758713c073a3d76060e4061bf2ac0f021c39b0f38400cdb294fd9324930838fb6b5aaefaf09e0e2bead93de05ba09a6d3fcdbc125accc7244d3180f7692db74ab15d325b56a39000356a054eb7098227c466947c1423ffeea52a326138684b8d30d448ee130aad0e64850fed563ac3fdfa3348db48cc0f1452a7b192facd6f0651539ee2519c68cc11b7e9f28d48bc63c0de394a23cebc8cb9ae203df1bbfacfaa589b2bc3a5fedc937041338a0ef3f4e9cfcb2c795d6f9169f489f496453c369ef0bde8336bb1d2763eb4705afb669b23d2988d53e93a7e8ef1c066db476778563d3c4650f81838d9d00c84ffe64b0ebb9228e2cb2ef0aa1e6deb74be7eb84e798392447491d5ac43dbb1451ba16e9cea1b3f27412ccde8fab21d817c031eb3d59e0bdd5b758820cbe63006fee0ac60bfe3ffd57d6d6c2c70fcda093844d48ebbc0000000049454e44ae426082000840010824000000180000000210c0db01000000030000000000000000000000000000001b40000040000000340000000100000002000000000000bf000000bf000034420000c84103000000000000b3000000b3ffff3342000000b3000000b3ffffc7412100000008000000620000000c00000001000000150000000c00000004000000150000000c0000000400000051000000a805000000000000000000002c00000018000000000000000000000000000000000000002d0000001900000050000000a8000000f8000000b0040000000000002000cc002d00000019000000280000002d000000190000000100080000000000000000000000000000000000200000000000000000000000ffffff00489cdf00df9c4800dfffff0048489c00ffdf9c0074bfff004800000000489c00bf7400009cdfff0048004800ffbf74000074bf00000048009c480000ffffdf00bfffff00000074004800740074000000ffffbf0074484800004874000048480074007400489c9c00bfffbf00dfdf9c0074bfbf0074004800010101010101010101010101010101010101010101010101010101010101010101010101010101010101010101ffffff010101010101010101010101010101010101010101010101010101010101010101010101010101010101010101ffffff010101010101010101010101010101010101010101010101010101010101010101010101010101010101010101ffffff010101010101010101010101010101010101010101010101010101010101010101010101010101010101010101ffffff0101010101010101010101010101010101010101010b0f0d010101010101010101010101010101010101010101ffffff010101010101010101010101010101010101010101010210110101010101010101010101010101010101010101ffffff010101010101010101010101010101010101010101010b0f0d0101010101010101010101010101010101010101ffffff12130015160101010e00001011010101010101010101010e1011010101010101010101010102000015161213150000ff010b1f16010101010409101101010101010101010101010b0c060101010101010101010101010e080601121315ffffff01121a16010e0a0104091011010101010101010101010104090a01010101010101010101010102151601010101ffffff01121a160b0f080604091011010101010101010101010101070806010101010101010101010102151601010101ffbfff01121a1602151e0a040910110101010101010101010101010409030101010101011213000000001516010101010074ff01121a1c130304051d0910110101010101010101010101010102151601010101010e0806010102151601010101ffffff01121a1b151601070a0e10110101010101010101010101010112130301010101010e1011010102151601010101ffffff010b17180a010104051910110101020000000301010101010101021011010101010e101101010e080601010101ffffff12130008060101010700001011121406010b0f0d0101010101010b0f0d0101010e000010110200001516010101ffffff01010101010101010101010101010101010b0f0d010101010101010e1011010101010101010101010101010101ffffff0101010101010101010101010101010e00000d01010101010101010b0c06010101010101010101010101010101ffffff0101010101010101010101010101010104090d0101010101010101010e0a010101010101010101010101010101bf74ff01010101010101010101010101010101010b0c06010101010101010107080601010101010101010101010101010000ff0101010101010101010101010104050601070806010101010101010104090a0101010101010101010101010101ffffff010101010101010101010101010102000000030101010101010101010101010101010101010101010101010101ffffff010101010101010101010101010101010101010101010101010101010101010101010101010101010101010101ffffff010101010101010101010101010101010101010101010101010101010101010101010101010101010101010101ffffff010101010101010101010101010101010101010101010101010101010101010101010101010101010101010101ffffff4c0000006400000000000000000000002c0000001800000000000000000000002d000000190000002900aa0000000000000000000000803f00000000000000000000803f0000000000000000000000000000000000000000000000000000000000000000220000000c000000ffffffff460000001c00000010000000454d462b024000000c000000000000000e000000140000000000000010000000140000000400000003010800050000000b0200000000050000000c0219002d00030000001e0004000000070104000400000007010400b9020000410b2000cc0019002d000000000019002d0000000000280000002d000000190000000100080000000000000000000000000000000000200000000000000000000000ffffff00489cdf00df9c4800dfffff0048489c00ffdf9c0074bfff004800000000489c00bf7400009cdfff0048004800ffbf74000074bf00000048009c480000ffffdf00bfffff00000074004800740074000000ffffbf0074484800004874000048480074007400489c9c00bfffbf00dfdf9c0074bfbf0074004800010101010101010101010101010101010101010101010101010101010101010101010101010101010101010101ffffff010101010101010101010101010101010101010101010101010101010101010101010101010101010101010101ffffff010101010101010101010101010101010101010101010101010101010101010101010101010101010101010101ffffff010101010101010101010101010101010101010101010101010101010101010101010101010101010101010101ffffff0101010101010101010101010101010101010101010b0f0d010101010101010101010101010101010101010101ffffff010101010101010101010101010101010101010101010210110101010101010101010101010101010101010101ffffff010101010101010101010101010101010101010101010b0f0d0101010101010101010101010101010101010101ffffff12130015160101010e00001011010101010101010101010e1011010101010101010101010102000015161213150000ff010b1f16010101010409101101010101010101010101010b0c060101010101010101010101010e080601121315ffffff01121a16010e0a0104091011010101010101010101010104090a01010101010101010101010102151601010101ffffff01121a160b0f080604091011010101010101010101010101070806010101010101010101010102151601010101ffbfff01121a1602151e0a040910110101010101010101010101010409030101010101011213000000001516010101010074ff01121a1c130304051d0910110101010101010101010101010102151601010101010e0806010102151601010101ffffff01121a1b151601070a0e10110101010101010101010101010112130301010101010e1011010102151601010101ffffff010b17180a010104051910110101020000000301010101010101021011010101010e101101010e080601010101ffffff12130008060101010700001011121406010b0f0d0101010101010b0f0d0101010e000010110200001516010101ffffff01010101010101010101010101010101010b0f0d010101010101010e1011010101010101010101010101010101ffffff0101010101010101010101010101010e00000d01010101010101010b0c06010101010101010101010101010101ffffff0101010101010101010101010101010104090d0101010101010101010e0a010101010101010101010101010101bf74ff01010101010101010101010101010101010b0c06010101010101010107080601010101010101010101010101010000ff0101010101010101010101010104050601070806010101010101010104090a0101010101010101010101010101ffffff010101010101010101010101010102000000030101010101010101010101010101010101010101010101010101ffffff010101010101010101010101010101010101010101010101010101010101010101010101010101010101010101ffffff010101010101010101010101010101010101010101010101010101010101010101010101010101010101010101ffffff010101010101010101010101010101010101010101010101010101010101010101010101010101010101010101ffffff0c00000040092900aa0000000000000019002d0000000000040000002701ffff030000000000>
Число стандартных секций

где >>>
>
- рабочая площадь поверхности одной
секции, >0100090000034a05000000008803000000008803000026060f000607574d464301000000000001006ad30000000001000000e406000000000000e4060000010000006c000000000000000000000014000000180000000000000000000000250200008e02000020454d4600000100e40600000c00000001000000000000000000000000000000900600001a040000b801000013010000000000000000000000000000c0b6060038320400460000002c00000020000000454d462b014001001c000000100000000210c0db010000006000000060000000460000003002000024020000454d462b224004000c000000000000001e4009000c00000000000000244001000c000000000000003040020010000000040000000000803f214007000c00000000000000084000057c010000700100000210c0db01000000000000000000000000000000000000000100000089504e470d0a1a0a0000000d494844520000001500000019080200000051b7f2ba000000017352474200aece1ce9000000097048597300000ec400000ec401952b0e1b000000f849444154384fe554bb0d8330147c64124b693304288d07c806d0d11a31038296ceec910e0f411bc1268e6df00f25c2088526afb22cdfbb7bbeb323ce391ca8cb01ac849e8a6745a4ab608b70317f58f504301dd559b1d46b0803fba7468a8fe0055c2be1fbf98578d21b3dfbf052b80396d9996f439511652ec9df76997b32f751fc7220423038bde516163bb6a7a159d81cbc9440a8d0661a282ac7a6af2ed9fc5dd39240537513c0d45503cdd16bd80eb79bdf38a7f899b58cb5d9ad4cd136789d7f747f6068924490c741e8f5fb41720620a1e49a7fb293c635e77528b9d4e8f8ef25c3dae5c762e544f44fffcf074f4ffdff7ec0ff065c65f60e47e2868b0000000049454e44ae426082000840010824000000180000000210c0db01000000030000000000000000000000000000001b40000040000000340000000100000002000000000000bf000000bf0000a8410000c84103000000000000b3000000b3ffffa741000000b3000000b3ffffc7412100000008000000620000000c00000001000000150000000c00000004000000150000000c0000000400000051000000500300000000000000000000140000001800000000000000000000000000000000000000150000001900000050000000a8000000f800000058020000000000002000cc0015000000190000002800000015000000190000000100080000000000000000000000000000000000200000000000000000000000ffffff00bfffff0000007400bf74000048007400ffdf9c0074bfff00480000009cdfff0048004800489cdf00df9c48009c480000ffffdf00ffbf74007448480000487400dfffff0048489c000048480074007400489c9c0074000000ffffbf000074bf00bfffbf00dfdf9c0000489c0074bfbf000000480074004800010101010101010101010101010101010101010101010000010101010101010101010101010101010101010101010000010101010101010101010101010101010101010101010000010101010101010101010101010101010101010101010000010101010101010101010101010101010101010101010000010101010101010101010101010101010101010101019cff01010101010101010101010101010101010101010101bfff02030017180101011900000d0e010101010101010101dfff01091f1801010101121c0d0e0101010101010101010100000102151801190401121c0d0e01010101010101010101000001021518091e0806121c0d0e010101010101010101010000010215180b171d04121c0d0e0101010101010101010100000102151a030c12131b1c0d0e010101010101010101010000010215161718010704190d0e010101010101010101010000010910110401011213140d0e010203000000000f0101000002030008060101010700000d0e0107040101070f010100000101010101010101010101010101010b04010101010174ff01010101010101010101010101010101070401010101000001010101010101010101010101010101010b0c01010100000101010101010101010101010101010101090a06010100000101010101010101010101010102050601070806010100000101010101010101010101010101020300000401010100000101010101010101010101010101010101010101010100000101010101010101010101010101010101010101010100000101010101010101010101010101010101010101010100004c0000006400000000000000000000001400000018000000000000000000000015000000190000002900aa0000000000000000000000803f00000000000000000000803f0000000000000000000000000000000000000000000000000000000000000000220000000c000000ffffffff460000001c00000010000000454d462b024000000c000000000000000e000000140000000000000010000000140000000400000003010800050000000b0200000000050000000c0219001500030000001e00040000000701040004000000070104008d010000410b2000cc00190015000000000019001500000000002800000015000000190000000100080000000000000000000000000000000000200000000000000000000000ffffff00bfffff0000007400bf74000048007400ffdf9c0074bfff00480000009cdfff0048004800489cdf00df9c48009c480000ffffdf00ffbf74007448480000487400dfffff0048489c000048480074007400489c9c0074000000ffffbf000074bf00bfffbf00dfdf9c0000489c0074bfbf000000480074004800010101010101010101010101010101010101010101010000010101010101010101010101010101010101010101010000010101010101010101010101010101010101010101010000010101010101010101010101010101010101010101010000010101010101010101010101010101010101010101010000010101010101010101010101010101010101010101019cff01010101010101010101010101010101010101010101bfff02030017180101011900000d0e010101010101010101dfff01091f1801010101121c0d0e0101010101010101010100000102151801190401121c0d0e01010101010101010101000001021518091e0806121c0d0e010101010101010101010000010215180b171d04121c0d0e0101010101010101010100000102151a030c12131b1c0d0e010101010101010101010000010215161718010704190d0e010101010101010101010000010910110401011213140d0e010203000000000f0101000002030008060101010700000d0e0107040101070f010100000101010101010101010101010101010b04010101010174ff01010101010101010101010101010101070401010101000001010101010101010101010101010101010b0c01010100000101010101010101010101010101010101090a06010100000101010101010101010101010102050601070806010100000101010101010101010101010101020300000401010100000101010101010101010101010101010101010101010100000101010101010101010101010101010101010101010100000101010101010101010101010101010101010101010100000c00000040092900aa000000000000001900150000000000040000002701ffff030000000000>.
Определение диаметров воздуховодов

где >>>
>
- расход воздуха на n-ом
участке >>>
>;
>>>
>
- скорость воздуха на участке, >010009000003a406000000004e04000000004e04000026060f009208574d46430100000000000100a2110000000001000000700800000000000070080000010000006c0000000000000000000000200000001800000000000000000000005f0300008e02000020454d4600000100700800000c00000001000000000000000000000000000000900600001a040000b801000013010000000000000000000000000000c0b6060038320400460000002c00000020000000454d462b014001001c000000100000000210c0db010000006000000060000000460000009402000088020000454d462b224004000c000000000000001e4009000c00000000000000244001000c000000000000003040020010000000040000000000803f214007000c0000000000000008400005e0010000d40100000210c0db01000000000000000000000000000000000000000100000089504e470d0a1a0a0000000d494844520000002100000019080200000030afd0f8000000017352474200aece1ce9000000097048597300000ec400000ec401952b0e1b0000015d49444154484bed953b8ec2301086279cc4521a8a1c0244e3edb90174b446390322ed76e106b42bb9417088143408dfc43be344c10eb1e3cd2a1dd3c58ff93ddf3c9268ad61629b4dec9fdc7f340c6475fa4a92fd6d0038e67cbc5d05002f9f030e60bc80d62421ae831efea1f12c794410d41b83aff01d88e344b751830e1b73c97a961b490ac2e1d41eafdd98fdda84890317b810ce255ae2b8e2c9682fa74e644695ee9b1e64692661bee650fc346578fbde66799ef96a12b7255faf58b066d91cdf98a5cceaf374930b280e2745557fa8ca1d7b54fd3e70bb00916ffa24e4f9820e3a66f8625854830d64fbab8755a09e5e496993816e9d79c556c46bb9c420165e0c214e8ba355856ddadd99c888970f83510d71f23dcb68a817797ac9d11f84ba9c250f4569e9a8bb04a81e981eab3f9cb1d0a9f79a417cdfbdf54764afbff55de4bd3fcc92e8f9d4958ed6181b040a2634b326b6cfff3c1ef02f6e9aed02f4f535600000000049454e44ae4260820840010824000000180000000210c0db01000000030000000000000000000000000000001b40000040000000340000000100000002000000000000bf000000bf000004420000c84103000000000080b3000080b3ffff0342000080b3000080b3ffffc7412100000008000000620000000c00000001000000150000000c00000004000000150000000c0000000400000051000000780400000000000000000000200000001800000000000000000000000000000000000000210000001900000050000000a4000000f400000084030000000000002000cc00210000001900000028000000210000001900000001000800000000000000000000000000000000001f0000000000000000000000ffffff00dfffff0000489c00bf74000074bfff0048000000ffdf9c000074bf009cdfff00480048009c480000ffffdf00bfffff000000740000004800ffbf7400489cdf0074000000744848000048740048489c000048480074007400489c9c00ffffbf00df9c4800bfffbf00dfdf9c0074bfbf0074004800010101010101010101010101010101010101010101010101010101010101010101ffffff010101010101010101010101010101010101010101010101010101010101010101ffffff010101010101010101010101010101010101010101010101010101010101010101ffffff010101010101010101010101010101010101010101010101010101010101010101ffffff01010101010101010101010101090f100101010101010101010101010101010101ffffff0101010101010101010101010101110b0c01010101010101010101010101010101ffffff0101010101010101010101010101090f1001010101010101010101010101010101ffffff0d0e0012190101010800000b0c0101080b0c010101010101010101010111000012ffffff01091e190101010102030b0c010101090a07010101010101010101010101080607ffffff010d17190108040102030b0c010101020304010101010101010101010101111219ffffff010d1719090f060702030b0c010101010506070101010101010101010101111219ffffff010d171911121d0402030b0c0101010102031a0101010101010d0e000000001219ffffff010d171b0e1a02151c030b0c010101010111121901010101010806070101111219ffffff010d17181219010504080b0c01010101010d0e1a0101010101080b0c0101111219ffffff010913140401010215160b0c010101010101110b0c01010101080b0c0101080607ffffff0d0e0006070101010500000b0c0101010101090f100101010800000b0c11000012ffffff01010101010101010101010101010101010101080b0c0101010101010101010101ffffff01010101010101010101010101010101010101090a070101010101010101010101ffffff010101010101010101010101010101010101010108040101010101010101010101ffffdf010101010101010101010101010101010101010105060701010101010101010101bf7400010101010101010101010101010101010101010102030401010101010101010101ffffff010101010101010101010101010101010101010101010101010101010101010101ffffff010101010101010101010101010101010101010101010101010101010101010101ffffff010101010101010101010101010101010101010101010101010101010101010101ffffff010101010101010101010101010101010101010101010101010101010101010101ffffff4c0000006400000000000000000000002000000018000000000000000000000021000000190000002900aa0000000000000000000000803f00000000000000000000803f0000000000000000000000000000000000000000000000000000000000000000220000000c000000ffffffff460000001c00000010000000454d462b024000000c000000000000000e000000140000000000000010000000140000000400000003010800050000000b0200000000050000000c0219002100030000001e000400000007010400040000000701040021020000410b2000cc001900210000000000190021000000000028000000210000001900000001000800000000000000000000000000000000001f0000000000000000000000ffffff00dfffff0000489c00bf74000074bfff0048000000ffdf9c000074bf009cdfff00480048009c480000ffffdf00bfffff000000740000004800ffbf7400489cdf0074000000744848000048740048489c000048480074007400489c9c00ffffbf00df9c4800bfffbf00dfdf9c0074bfbf0074004800010101010101010101010101010101010101010101010101010101010101010101ffffff010101010101010101010101010101010101010101010101010101010101010101ffffff010101010101010101010101010101010101010101010101010101010101010101ffffff010101010101010101010101010101010101010101010101010101010101010101ffffff01010101010101010101010101090f100101010101010101010101010101010101ffffff0101010101010101010101010101110b0c01010101010101010101010101010101ffffff0101010101010101010101010101090f1001010101010101010101010101010101ffffff0d0e0012190101010800000b0c0101080b0c010101010101010101010111000012ffffff01091e190101010102030b0c010101090a07010101010101010101010101080607ffffff010d17190108040102030b0c010101020304010101010101010101010101111219ffffff010d1719090f060702030b0c010101010506070101010101010101010101111219ffffff010d171911121d0402030b0c0101010102031a0101010101010d0e000000001219ffffff010d171b0e1a02151c030b0c010101010111121901010101010806070101111219ffffff010d17181219010504080b0c01010101010d0e1a0101010101080b0c0101111219ffffff010913140401010215160b0c010101010101110b0c01010101080b0c0101080607ffffff0d0e0006070101010500000b0c0101010101090f100101010800000b0c11000012ffffff01010101010101010101010101010101010101080b0c0101010101010101010101ffffff01010101010101010101010101010101010101090a070101010101010101010101ffffff010101010101010101010101010101010101010108040101010101010101010101ffffdf010101010101010101010101010101010101010105060701010101010101010101bf7400010101010101010101010101010101010101010102030401010101010101010101ffffff010101010101010101010101010101010101010101010101010101010101010101ffffff010101010101010101010101010101010101010101010101010101010101010101ffffff010101010101010101010101010101010101010101010101010101010101010101ffffff010101010101010101010101010101010101010101010101010101010101010101ffffff0c00000040092900aa000000000000001900210000000000040000002701ffff030000000000>.

где >>>
>
- расход воздуха через одно приточное
отверстие >010009000003920700000000d60400000000d604000026060f00a209574d46430100000000000100cb540000000001000000800900000000000080090000010000006c000000000000000000000028000000180000000000000000000000310400008e02000020454d4600000100800900000c00000001000000000000000000000000000000900600001a040000b801000013010000000000000000000000000000c0b6060038320400460000002c00000020000000454d462b014001001c000000100000000210c0db01000000600000006000000046000000d8020000cc020000454d462b224004000c000000000000001e4009000c00000000000000244001000c000000000000003040020010000000040000000000803f214007000c000000000000000840000524020000180200000210c0db01000000000000000000000000000000000000000100000089504e470d0a1a0a0000000d49484452000000290000001908020000002378900c000000017352474200aece1ce9000000097048597300000ec400000ec401952b0e1b0000019f49444154484bed56318e8330105cee25966852f0884469489f1f70ddb58e78030aed75f083b4a7d044e11114d744f14f38af0163133086434227dd5680ec1dcfecec1aa72c4b5829de56c245d83f82cdd283d3c421650b08c6eb6d17cfc4f793a7587ba700cd73ff66be1880decd99c10e585f85998dd8e387c38433b011d94c09a1c7484fc6c6a4224c99475569449cc1bb2c8dd5b4d31bf1798fe5a7dabdba79bb9ff9bb85bb591ac540c380346d20d354bb95663909de68614a3567e2279f7f512c25d8d631e4b45ebd3b4a88c26102315b88eb65b039fa107fe555f2fcf3dd0b434feb61125ca5ddaf2d31750ddf96f9c7bd24dd3b03c88673f05ca2cc35370829c451254c54241fe4514c9b1f2f7a2bdbb3cbed751a35c3029d5b7b888b22dfcc23446b7b83bf657fc8d3208036cfc91e75dfed38e9ed34ca559906f5de9e95534adfe8770941dd359bda1ec1a4f7500e81cddacae209cfd349b3db25f32dd562df1940f1e0e5af6e0611dab06a4b645172fb79a2342a9d35d73af78fd5a5d573672d806d3dbfbbf0bfc69e4b9a1fc4f9ff57b46de5c5d6adf99ffa03e647132c5d19fb830000000049454e44ae42608200000840010824000000180000000210c0db01000000030000000000000000000000000000001b40000040000000340000000100000002000000000000bf000000bf000024420000c84103000000000000b3000000b3ffff2342000000b3000000b3ffffc7412100000008000000620000000c00000001000000150000000c00000004000000150000000c0000000400000051000000440500000000000000000000280000001800000000000000000000000000000000000000290000001900000050000000a8000000f80000004c040000000000002000cc0029000000190000002800000029000000190000000100080000000000000000000000000000000000200000000000000000000000ffffff00489cdf00df9c4800dfffff0048489c00ffdf9c0074bfff004800000000489c00bf7400009cdfff0048004800ffbf74000074bf00000048009c480000ffffdf00bfffff0000007400480074007400000074484800004874000048480074007400489c9c00ffffbf00bfffbf00dfdf9c0074bfbf00740048000101010101010101010101010101010101010101010101010101010101010101010101010101010101ffffff0101010101010101010101010101010101010101010101010101010101010101010101010101010101ffffff0101010101010101010101010101010101010101010101010101010101010101010101010101010101ffffff0101010101010101010101010101010101010101010101010101010101010101010101010101010101ffffff0101010101010101010101010101010101010101010b0f0d0101010101010101010101010101010101489cdf0101010101010101010101010101010101010101010102101101010101010101010101010101010101ffffff010101010101010101010101010101010101010101010b0f0d01010101010101010101010101010101ffffff121300151b0101010e00001011010101010101010101010e101101010101010101010101010200001574bfdf010b1f1b010101010409101101010101010101010101010b0c060101010101010101010101010e0806ffffff0112191b010e0a0104091011010101010101010101010104090a01010101010101010101010102151b0000000112191b0b0f080604091011010101010101010101010101070806010101010101010101010102151bffff740112191b02151e0a04091011010101010101010101010101040903010101010101121300000000151b0074bf0112191c130304051d0910110101010101010101010101010102151b01010101010e0806010102151bbfffff0112191a151b01070a0e10110101010101010101010101010112130301010101010e1011010102151bffdfff010b16170a010104051810110101020000000301010101010101021011010101010e101101010e0806ffffff12130008060101010700001011121406010b0f0d0101010101010b0f0d0101010e0000101102000015ffffff01010101010101010101010101010101010b0f0d010101010101010e10110101010101010101010101ffffff0101010101010101010101010101010e00000d01010101010101010b0c0601010101010101010101010000480101010101010101010101010101010104090d0101010101010101010e0a0101010101010101010101ffffff01010101010101010101010101010101010b0c06010101010101010107080601010101010101010101ffffff0101010101010101010101010104050601070806010101010101010104090a01010101010101010101ffffff0101010101010101010101010101020000000301010101010101010101010101010101010101010101ffffff0101010101010101010101010101010101010101010101010101010101010101010101010101010101ffffff0101010101010101010101010101010101010101010101010101010101010101010101010101010101bf7400010101010101010101010101010101010101010101010101010101010101010101010101010101010100ffff4c0000006400000000000000000000002800000018000000000000000000000029000000190000002900aa0000000000000000000000803f00000000000000000000803f0000000000000000000000000000000000000000000000000000000000000000220000000c000000ffffffff460000001c00000010000000454d462b024000000c000000000000000e000000140000000000000010000000140000000400000003010800050000000b0200000000050000000c0219002900030000001e000400000007010400040000000701040087020000410b2000cc00190029000000000019002900000000002800000029000000190000000100080000000000000000000000000000000000200000000000000000000000ffffff00489cdf00df9c4800dfffff0048489c00ffdf9c0074bfff004800000000489c00bf7400009cdfff0048004800ffbf74000074bf00000048009c480000ffffdf00bfffff0000007400480074007400000074484800004874000048480074007400489c9c00ffffbf00bfffbf00dfdf9c0074bfbf00740048000101010101010101010101010101010101010101010101010101010101010101010101010101010101ffffff0101010101010101010101010101010101010101010101010101010101010101010101010101010101ffffff0101010101010101010101010101010101010101010101010101010101010101010101010101010101ffffff0101010101010101010101010101010101010101010101010101010101010101010101010101010101ffffff0101010101010101010101010101010101010101010b0f0d0101010101010101010101010101010101489cdf0101010101010101010101010101010101010101010102101101010101010101010101010101010101ffffff010101010101010101010101010101010101010101010b0f0d01010101010101010101010101010101ffffff121300151b0101010e00001011010101010101010101010e101101010101010101010101010200001574bfdf010b1f1b010101010409101101010101010101010101010b0c060101010101010101010101010e0806ffffff0112191b010e0a0104091011010101010101010101010104090a01010101010101010101010102151b0000000112191b0b0f080604091011010101010101010101010101070806010101010101010101010102151bffff740112191b02151e0a04091011010101010101010101010101040903010101010101121300000000151b0074bf0112191c130304051d0910110101010101010101010101010102151b01010101010e0806010102151bbfffff0112191a151b01070a0e10110101010101010101010101010112130301010101010e1011010102151bffdfff010b16170a010104051810110101020000000301010101010101021011010101010e101101010e0806ffffff12130008060101010700001011121406010b0f0d0101010101010b0f0d0101010e0000101102000015ffffff01010101010101010101010101010101010b0f0d010101010101010e10110101010101010101010101ffffff0101010101010101010101010101010e00000d01010101010101010b0c0601010101010101010101010000480101010101010101010101010101010104090d0101010101010101010e0a0101010101010101010101ffffff01010101010101010101010101010101010b0c06010101010101010107080601010101010101010101ffffff0101010101010101010101010104050601070806010101010101010104090a01010101010101010101ffffff0101010101010101010101010101020000000301010101010101010101010101010101010101010101ffffff0101010101010101010101010101010101010101010101010101010101010101010101010101010101ffffff0101010101010101010101010101010101010101010101010101010101010101010101010101010101bf7400010101010101010101010101010101010101010101010101010101010101010101010101010101010100ffff0c00000040092900aa000000000000001900290000000000040000002701ffff030000000000>;
>>>
>
- число приточных отверстий одной
вентиляционной системы.
Расчет:
Исходные данные:
Воздухообмен
>>>
>
Начальная концентрация пыли ровна >010009000003ae1400000000060c00000000060c000026060f000218574d46430100000000000100181d0000000001000000e017000000000000e0170000010000006c0000000000000000000000a2000000180000000000000000000000ac1000008e02000020454d4600000100e01700000c00000001000000000000000000000000000000900600001a040000b801000013010000000000000000000000000000c0b6060038320400460000002c00000020000000454d462b014001001c000000100000000210c0db010000006000000060000000460000006005000054050000454d462b224004000c000000000000001e4009000c00000000000000244001000c000000000000003040020010000000040000000000803f214007000c0000000000000008400005ac040000a00400000210c0db01000000000000000000000000000000000000000100000089504e470d0a1a0a0000000d49484452000000a3000000190802000000d25f09c4000000017352474200aece1ce9000000097048597300000ec400000ec401952b0e1b00000426494441546843ed5a3d52eb301036ef2466682872886468ccd07283b8c9a475266760489b794d72035a06374c7c088ad730f82679bb2b595e4bb2bd7648086035106577b5faf6479f0417fbfd3e18c62f40e0cf2fd8e3b045446088f46fc98321d21d239d2d2e702cb28e7a2716cfb7b7e4278edb6d7ede350dce9e179e84def31d309bfdfe717cbad0d1badda0c85f9f82cd0779ba4bd27886b1a64fe73076898b5db23bc0333418e9edda663e3691594db808aa08450f70daa3dab40fc14ae837c2705e91ae0b8c60435ca48ca3d720e5940e9aca2f410429d09b22413ec951c9bed043817f35a6cafcfc719136154031f44484d280cd73395f5f5138abe4d16af4a13ffa92f81632454576d1d1b26633cad31f176903494da4ed40eb18b6c60dcc95e97100fedd427660e7c6c58ab464dc9bd135606bc031bb9180d331948356caffa54130ba0a8d91f06a04bfbfbd233f6d18e175943ebd2a21e03b69c586474f7374c6d38b1984957d6b28b28b77be7d5805c9725a3a5b2a2a425d0c634f4fc3e7aa0008f2522f92567c78754bd066694adfa8244a871e85fe9a565db852c19e29bfa7acb78b9ce37c002830adaa7fc002956fbde781bf73c06c942495e303a71039e615a79c6a9a6a1aaa7902c9b37bd1d903f90b6ad72c95a465e4cdd5326bcde5ce630f174d474b0532389ac6974e5a929a5ae30b1acef8d1644081941417accee46e1c0460c377410ba74be7ea91ade334babfb1a3003d280daeefa360f50ccd810059c7a3e5123b5339c2e98be52c469a9a51b49983236cf00e27dd106ea465d46244be152884d3bf507c69bcd69b610ee4ef6ff8c9ec53ecdb170a422c021b5fcb1d3b053c9d9b695c6166ac1eb08383e0db661e2a541a06445a059a250f4d50067ee1a83d3ed5177dfdd3dacec67a7530093cab0934a0c9ca539c8dda1803a7f8b8c6788e6d6f9d5141f393bcce2c46dae2282af27d7a770dd390756faf87bec6a2fa46df472a3a992afccbe16892008a651425d88de24b9723d51ba9e9dc5c21bcc10e3e9940418b6ad279f7ceb7b3d862a7e25dd131d4af7b3b64317b5ef5e40acdee52511b160db2b4d0b13bd8f81108987e956c87b3b97317faea6caf52f3e6eecdb33c5bcc827bd437bd5bddbd901b69b6e5a749edeeb74a7020b2055044f92e5a6d33016c7b25e8046a639bec62bb41562feb211e8e5273e7d63c05b5b0aee4bdcd5cae6941e83595cbfa2e018aae797df154d4fac8d056d6ad7718f444748ff159e2f70b03a2e5738f67efae9b625732bdb8595483ac9d7336daf85a623d7cf13b32d9ab87cd7923f3dcecd8d29597a2ae9b1fe405081ceda5d58e744da0cbbf07f4ae35c12e07117abb3c0ec4362343225ae5dd782ee8631b7f05369c6fb7d9279d5e83990a024487c51cab2378d53a2a8e81f25ce349a64f9ae3e4dc50d0c745e002cc77cc8d41fc5b2230fc1fd9b70c5b0fa78748f700ed5baafc078304ef3e0d5955ec0000000049454e44ae4260820000000840010824000000180000000210c0db01000000030000000000000000000000000000001b40000040000000340000000100000002000000000000bf000000bf000023430000c84103000000000080b3000080b3ffff2243000080b3000080b3ffffc7412100000008000000620000000c00000001000000150000000c00000004000000150000000c00000004000000510000001c1100000000000000000000a20000001800000000000000000000000000000000000000a30000001900000050000000c80000001801000004100000000000002000cc00a30000001900000028000000a3000000190000000100080000000000000000000000000000000000280000000000000000000000ffffff0074bfff0074000000ffffbf00489cdf00df9c48009cdfff00bf744800dfffff0000489c00bf74000048489c00ffdf9c0048000000bfffff0000007400ffbf7400480048000074bf009c9c7400000048009c480000ffffdf0048007400484848007448480000487400004848007400480074007400489c9c00bfffbf00dfdf9c0074bfbf009c48740000749c004874bf00487474009c9cdf00010101010101010101010101010101010101010101010101010101010101010101010101010101010101010101010101010101010101010101010101010101010101010101010101010101010101010101010101010101010101010101010101010101010101010101010101010101010101010101010101010101010101010101010101010101010101010101010101010101010101010101010101010101010101010101010101010101010101010101010101010101010101010101010101010101010101010101010101010101010101010101010101010101010101010101010101010101010101010101010101010101010101010101010101010101010101010101010101010101010101010101010101010101010101010101010101010101010101010101010101010101010101010101010101010101010101010101010101010101010101010101010101010101010101010101010101010101010101010101010101010101010101010101010101010101010101010101010101010101010101010101010101010101010101010101010101010101010101010101010101010101010101010101010101010101010101010101010101010101010101010101010101010101010101010101010101010101010101010101010101010101010101010101010101010101010f10000b0101090a0601090a000601010101010101010101010101010101010101010101010101010101010101010101010101010101010101010101010101010101010101010101010101010101010101010101010101010101010101010101010101010101010101010101010101010101010101010101010101010101010101010101010101010101010101010101010101010101010101010101010101010101010101131617010101050b01090a11270401010101010101010101010101010101010101010101010101010101010101010101010101010101010101010101010101010101010101010101010101010101010101010101010101010101010101010101010101010101010101010101010101010101010101010101010101010101010715110101010101010101010101010101010101010101010101010101010101010101010105030401010102030401130601010101010101010101010101010101010101010101010101010101010101010101010101010101010101010101010101010101010101010101010101010101010101010101010101010101010101010101010101010101010101010101010101010101010101010101010101010101010101010516170101010101010101010101010101010101010101010101010101010101010101010715110101010f10060102161701010101010101010101010101010101010101010101010101010101010101010101010101010101010101010101010101010101010101010101010101010101010101010101010101010101010101010101010101010101010101010101010101010101010101010101010101010101010101071511010101010101010101010101010101010101010101010101010101080107150003201006010125210c2611071d040101010101010101010101010101010101010101010101010101010f100000000e0d0101010101010101010101010101010101090a00000000000304010101090a000003040101010101010101010101010101010101010101010101010101010f1000000b01090a0003201000001617010101011316170101010101010f1000030401010113000016170101010101010101090a16170f23240b0101090a0e0d13001617010101010101010101010101010101010101010101010101010101130e0d0101130011010101010101010101010101010101010101010200060101010101090a0e0d01050e0d0101010101010101010101010101010101010101010101010101010f100b010107150b01010f100b01010101010107120d01010101010101071d0401010101090a16170101010101010101010f100b01010715030401010101010101010101010101010101010101010101010101010101010101010101010113060101010f101617010101010101010101010101010101010101020006010101010102000601010f100b0101010101010101010101010101010101010101010101010101010f100b0101130e0d01010f100b010101010101090a0b010101010101010f1e0401130b01090a16170101010101010101010f100b010101050e0d0101010101010101010101010101010101130000000000000000000016170101010101010101010101011303040101010101010101010101010101010101010200060101010101050e0d01010113030401010101010101010101010101010101010101010101010101010f100b010200060101010f100b01010101010101020e0d0101010101010f1e0407150e0d090a1617010101010101010101090a16170101071511010101010101010101010101010101010101010101010101010101010101010101010101010101010101130e0d010101010102000b010101010101010101010200060101010101130304010101050e0d01010101010101010101010101010101010101010101010101010f1000000e0d010101010f100b01010101010101090a060101010101010f1e040503220b090a161701010101010101010201050e0d0101090a0b0101010101010101010101010101010101010101010101010101010101010101010101010101010101090a030401010101010500030401010101010101010102000601010101090a030401010105001101010101010101010101010101010101010101010101010101010f100b011306010101010f100b010101010101010105030401010101010f1e201006090c210a16170101010101010101010107150b0101090a16170101010101010101010101010101010113000000000000000000001617010101010101090a0b010105000601010101010102000b0101010101010101010102000601010101090a030401010105001101010101010101010101010101010101010101010101010101010f100b01071d040101010f100b01010f1e040101010f100601010101010f1e1f030401020b1316170101010101010101010101020006010f10030401010101010101010101010101010101010101010101010101010101010101010101010f101900000006010101010101010101010101010101010101010102000601010101090a0304010101050011010101010101010101010f1000001617010101010101010101010f100b01011311020b010f100b01010503040101010105161701010101071a1b0b0101090c1c16170101050000000601010101010715000006131101010101010101010101010101010101010101010101010101010101010101010101010f10060101010101010101010101010101010101010101010101010200060101010101130304010101130e0d010101010101010101090a0601090a0b0101010101010101010f1000000b010f10000b0f1000000000000304010101010715110101010f10000e0d01010102000016170f180d01071511000101010101010101010101010101010101010101010101010101010101010101010101010101010101010101010f10060101010101010101010101010101010101010101010101010200060101010101050e0d0101090a03040101010101010101010f180d0101051617010101010101010101010101010101010101010101010101010101010101010113161701010101010101010101010101010101010101071511010101010101010101010101010101010101010101010101010101010101010101010101010101010101010101010f1006010101010101010101010101010101010101010101020e0d020006010101010107150601010f1016170f100000000000001107151617090a0b01010101010101010101010101010101010101010101010101010101010101010107120d01010101010101010101010101010101011300001101010101010101010101010101010101010101010101010101010101010101010101010101010101010101010101010f100601010101010101010101010101010101010101010101090a0000060101010101011303040113001101010101010101010101090a141500161701010101010101010101010101010101010101010101010101010101010101010101130b010101010101010101010101010101010101090a1101010101010101010101010101010101010101010101010101010101010101010101010101010101010101010101010f1000000000000b010101010101010101010101010101010101010f1006010101010101010500000011010101010101010101010101050b0101010101010101010101010101010101010101010101010101010101010101010101010101020e0d01010101010101010101010101010101010107120d01010101010101010101010101010101010101010101010101010101010101010101010101010101010101010101010101010101070801010101010101010101010101010101010101010101010101010101010101010101010101010101010101010101090a0b01010101010101010101010101010101010101010101010101010101010101010101010101090a0b0101010101010101010101010101090c0d01020e0d0001010101010101010101010101010101010101010101010101010101010101010101010101010101010101010101010101010101010101010101010101010101010101010101010101010101010101010101010101010101010101010101010101010101010200030401010101010101010101010101010101010101010101010101010101010101010101010101010101010101010101010101010101050000000601000101010101010101010101010101010101010101010101010101010101010101010101010101010101010101010101010101010101010101010101010101010101010101010101010101010101010101010101010101010101010101010101010101010101010101010101010101010101010101010101010101010101010101010101010101010101010101010101010101010101010101010101010101010101010100010101010101010101010101010101010101010101010101010101010101010101010101010101010101010101010101010101010101010101010101010101010101010101010101010101010101010101010101010101010101010101010101010101010101010101010101010101010101010101010101010101010101010101010101010101010101010101010101010101010101010101010101010101010101010001010101010101010101010101010101010101010101010101010101010101010101010101010101010101010101010101010101010101010101010101010101010101010101010101010101010101010101010101010101010101010101010101010101010101010101010101010101010101010101010101010101010101010101010101010101010101010101010101010101010101010101010101010101010101024c000000640000000000000000000000a2000000180000000000000000000000a3000000190000002900aa0000000000000000000000803f00000000000000000000803f0000000000000000000000000000000000000000000000000000000000000000220000000c000000ffffffff460000001c00000010000000454d462b024000000c000000000000000e000000140000000000000010000000140000000400000003010800050000000b0200000000050000000c021900a300030000001e000400000007010400040000000701040073080000410b2000cc001900a300000000001900a3000000000028000000a3000000190000000100080000000000000000000000000000000000280000000000000000000000ffffff0074bfff0074000000ffffbf00489cdf00df9c48009cdfff00bf744800dfffff0000489c00bf74000048489c00ffdf9c0048000000bfffff0000007400ffbf7400480048000074bf009c9c7400000048009c480000ffffdf0048007400484848007448480000487400004848007400480074007400489c9c00bfffbf00dfdf9c0074bfbf009c48740000749c004874bf00487474009c9cdf00010101010101010101010101010101010101010101010101010101010101010101010101010101010101010101010101010101010101010101010101010101010101010101010101010101010101010101010101010101010101010101010101010101010101010101010101010101010101010101010101010101010101010101010101010101010101010101010101010101010101010101010101010101010101010101010101010101010101010101010101010101010101010101010101010101010101010101010101010101010101010101010101010101010101010101010101010101010101010101010101010101010101010101010101010101010101010101010101010101010101010101010101010101010101010101010101010101010101010101010101010101010101010101010101010101010101010101010101010101010101010101010101010101010101010101010101010101010101010101010101010101010101010101010101010101010101010101010101010101010101010101010101010101010101010101010101010101010101010101010101010101010101010101010101010101010101010101010101010101010101010101010101010101010101010101010101010101010101010101010101010101010101010101010101010101010f10000b0101090a0601090a000601010101010101010101010101010101010101010101010101010101010101010101010101010101010101010101010101010101010101010101010101010101010101010101010101010101010101010101010101010101010101010101010101010101010101010101010101010101010101010101010101010101010101010101010101010101010101010101010101010101010101131617010101050b01090a11270401010101010101010101010101010101010101010101010101010101010101010101010101010101010101010101010101010101010101010101010101010101010101010101010101010101010101010101010101010101010101010101010101010101010101010101010101010101010715110101010101010101010101010101010101010101010101010101010101010101010105030401010102030401130601010101010101010101010101010101010101010101010101010101010101010101010101010101010101010101010101010101010101010101010101010101010101010101010101010101010101010101010101010101010101010101010101010101010101010101010101010101010101010516170101010101010101010101010101010101010101010101010101010101010101010715110101010f10060102161701010101010101010101010101010101010101010101010101010101010101010101010101010101010101010101010101010101010101010101010101010101010101010101010101010101010101010101010101010101010101010101010101010101010101010101010101010101010101071511010101010101010101010101010101010101010101010101010101080107150003201006010125210c2611071d040101010101010101010101010101010101010101010101010101010f100000000e0d0101010101010101010101010101010101090a00000000000304010101090a000003040101010101010101010101010101010101010101010101010101010f1000000b01090a0003201000001617010101011316170101010101010f1000030401010113000016170101010101010101090a16170f23240b0101090a0e0d13001617010101010101010101010101010101010101010101010101010101130e0d0101130011010101010101010101010101010101010101010200060101010101090a0e0d01050e0d0101010101010101010101010101010101010101010101010101010f100b010107150b01010f100b01010101010107120d01010101010101071d0401010101090a16170101010101010101010f100b01010715030401010101010101010101010101010101010101010101010101010101010101010101010113060101010f101617010101010101010101010101010101010101020006010101010102000601010f100b0101010101010101010101010101010101010101010101010101010f100b0101130e0d01010f100b010101010101090a0b010101010101010f1e0401130b01090a16170101010101010101010f100b010101050e0d0101010101010101010101010101010101130000000000000000000016170101010101010101010101011303040101010101010101010101010101010101010200060101010101050e0d01010113030401010101010101010101010101010101010101010101010101010f100b010200060101010f100b01010101010101020e0d0101010101010f1e0407150e0d090a1617010101010101010101090a16170101071511010101010101010101010101010101010101010101010101010101010101010101010101010101010101130e0d010101010102000b010101010101010101010200060101010101130304010101050e0d01010101010101010101010101010101010101010101010101010f1000000e0d010101010f100b01010101010101090a060101010101010f1e040503220b090a161701010101010101010201050e0d0101090a0b0101010101010101010101010101010101010101010101010101010101010101010101010101010101090a030401010101010500030401010101010101010102000601010101090a030401010105001101010101010101010101010101010101010101010101010101010f100b011306010101010f100b010101010101010105030401010101010f1e201006090c210a16170101010101010101010107150b0101090a16170101010101010101010101010101010113000000000000000000001617010101010101090a0b010105000601010101010102000b0101010101010101010102000601010101090a030401010105001101010101010101010101010101010101010101010101010101010f100b01071d040101010f100b01010f1e040101010f100601010101010f1e1f030401020b1316170101010101010101010101020006010f10030401010101010101010101010101010101010101010101010101010101010101010101010f101900000006010101010101010101010101010101010101010102000601010101090a0304010101050011010101010101010101010f1000001617010101010101010101010f100b01011311020b010f100b01010503040101010105161701010101071a1b0b0101090c1c16170101050000000601010101010715000006131101010101010101010101010101010101010101010101010101010101010101010101010f10060101010101010101010101010101010101010101010101010200060101010101130304010101130e0d010101010101010101090a0601090a0b0101010101010101010f1000000b010f10000b0f1000000000000304010101010715110101010f10000e0d01010102000016170f180d01071511000101010101010101010101010101010101010101010101010101010101010101010101010101010101010101010f10060101010101010101010101010101010101010101010101010200060101010101050e0d0101090a03040101010101010101010f180d0101051617010101010101010101010101010101010101010101010101010101010101010113161701010101010101010101010101010101010101071511010101010101010101010101010101010101010101010101010101010101010101010101010101010101010101010f1006010101010101010101010101010101010101010101020e0d020006010101010107150601010f1016170f100000000000001107151617090a0b01010101010101010101010101010101010101010101010101010101010101010107120d01010101010101010101010101010101011300001101010101010101010101010101010101010101010101010101010101010101010101010101010101010101010101010f100601010101010101010101010101010101010101010101090a0000060101010101011303040113001101010101010101010101090a141500161701010101010101010101010101010101010101010101010101010101010101010101130b010101010101010101010101010101010101090a1101010101010101010101010101010101010101010101010101010101010101010101010101010101010101010101010f1000000000000b010101010101010101010101010101010101010f1006010101010101010500000011010101010101010101010101050b0101010101010101010101010101010101010101010101010101010101010101010101010101020e0d01010101010101010101010101010101010107120d01010101010101010101010101010101010101010101010101010101010101010101010101010101010101010101010101010101070801010101010101010101010101010101010101010101010101010101010101010101010101010101010101010101090a0b01010101010101010101010101010101010101010101010101010101010101010101010101090a0b0101010101010101010101010101090c0d01020e0d0001010101010101010101010101010101010101010101010101010101010101010101010101010101010101010101010101010101010101010101010101010101010101010101010101010101010101010101010101010101010101010101010101010101010200030401010101010101010101010101010101010101010101010101010101010101010101010101010101010101010101010101010101050000000601000101010101010101010101010101010101010101010101010101010101010101010101010101010101010101010101010101010101010101010101010101010101010101010101010101010101010101010101010101010101010101010101010101010101010101010101010101010101010101010101010101010101010101010101010101010101010101010101010101010101010101010101010101010101010100010101010101010101010101010101010101010101010101010101010101010101010101010101010101010101010101010101010101010101010101010101010101010101010101010101010101010101010101010101010101010101010101010101010101010101010101010101010101010101010101010101010101010101010101010101010101010101010101010101010101010101010101010101010101010001010101010101010101010101010101010101010101010101010101010101010101010101010101010101010101010101010101010101010101010101010101010101010101010101010101010101010101010101010101010101010101010101010101010101010101010101010101010101010101010101010101010101010101010101010101010101010101010101010101010101010101010101010101010101020c00000040092900aa000000000000001900a30000000000040000002701ffff030000000000>
Конечная концентрация пыли ровна >010009000003641600000000f60c00000000f60c000026060f00e219574d46430100000000000100719e0000000001000000c019000000000000c0190000010000006c0000000000000000000000b00000001800000000000000000000001b1200008e02000020454d4600000100c01900000c00000001000000000000000000000000000000900600001a040000b801000013010000000000000000000000000000c0b6060038320400460000002c00000020000000454d462b014001001c000000100000000210c0db01000000600000006000000046000000b4050000a8050000454d462b224004000c000000000000001e4009000c00000000000000244001000c000000000000003040020010000000040000000000803f214007000c000000000000000840000500050000f40400000210c0db01000000000000000000000000000000000000000100000089504e470d0a1a0a0000000d49484452000000b1000000190802000000f1045811000000017352474200aece1ce9000000097048597300000ec400000ec401952b0e1b0000047c494441546843ed5a3d6eeb300c76df495c74e9904324e8e2a2ebbb41b2145d5de40c45b3066f716ed0b5a897c2394487b714cd4df2484a966849b6e4bfbe34b09626b644911f3f5124d38be3f1184d63428021f06b426342c04060e2c4440913818913a37162ff7881e3713fda0efd051f76b7a4248edbdd41083c0b4e8065a7853c41fd7a07b9daf1f83cefefba2009b4693b1c0eef2f51f6456a1669beba97aca0072731beb244d99e160d2a15a98d51e38246f3505a2281312706ab545988abbaebd3d5174d7604c844a5250c51c0f4ef98427e96400a9fd7a3dad37a658ef6b893136d54e2101125b292e075741b1a54d4b63b112b343e0d4e9077187ae48e5a3487e0849251b795472557ac124e114c93cad397eeae0a260e3be5c16be444658952f3243861e22f71adc372084e28e46a38d15225ee0890a8e9dcc3592d9c3b00228cbd2cc7643928a4a09035b7cb5782f220f7a4c3df3c8a6657b17a1b5fcde0f3c7a74c847b88eebab4874af17592bfbc0bd52189cb2b9699fac8e2841528e513449fbd55e581ed96c3ee6913a5eba5c64f2f54c5046dace4c9c7f0bd3a41a8c72348496fdf85de82c1215345b4ad4405c7232d894e45a213d25e57b63b4eb455c93093dd2c7ee578de02e93f0121ff503dc0b0715e45ee50044f9334addc5cf80861632af1245a3da638011162014c2bde24d580e9b0f29af12ee8b83959adf9cd4be02079759350bd7cb6167e00abf2d5a58bede5b1f8b670a7f59d3f2b92949806598c273ebd9b47110870d5b0f1726dd55cfbed2a4f7edf98ce82509b47d7bf9368f30a018782c476355baf3100eb112fdf6c4d911314e092ec01746183c7f22083d010cf680550eda664480959bcfc0361265f6da5e56cd5e1f303bf2950c2acf88fb3c06b91e906431d932c8e7b83adb8420e6d9eb0ed00133fb2875840d23c801382128c69f480e82af845fd38f749f4890f7a2fb2077b0446aadae443cad596046943937aaa14be513973b3008c171bc7816f9485aeb24e335f317fc038badd5390e019478358e48491e1098ee89b63fe8c99b41d9d2ca99def0ebaab2a19a595e2795176853511b83a35128750c9ab339b20b2a962b6ba6c73fa6aee0dbe717c83f7c7620141a23ce43ebdacdef66177bf32aa008cc1213749e7bb834ea5cad53134bd6e20e95491aa6284952bd3e4c098e28343bd6fa552b054df443a7ebac7ec99de7c6f948b450e522d4b3c82659345269d459a6499d9115305b74ca747e8c1d88d9e4abe6eb514f5dbbe35526d7bcca3922f750a7f5fa92cacd64cf5add92fadaf6adc0d76abede252936a515d9180bbadfe079630e2f780015a23f55035fdb65005c6e821faab3dd7a67c3b756c0cb677fbb9239c0d65a929f6979bab4da52fa47296958dceb09b93a5ff84b846ccac3ea65502336046081061008e4ac630154e6cd6984d73339f306a0ea014a47bc82a7783df77410ef31e33865617e230db9eb0146fbdd14b7783ffd689c407141fca0f4556f3c3f2582749f7f4c6dae1a7c91d33480016c6dd514603754bb05465bc0cf3a7f9e4ccf5bd405e4c634280217016ff7b3779745004264e0c0ae75908fb07d424cd18055341e10000000049454e44ae426082000840010824000000180000000210c0db01000000030000000000000000000000000000001b40000040000000340000000100000002000000000000bf000000bf000031430000c84103000000000000b3000000b3ffff3043000000b3000000b3ffffc7412100000008000000620000000c00000001000000150000000c00000004000000150000000c0000000400000051000000a81200000000000000000000b00000001800000000000000000000000000000000000000b10000001900000050000000c40000001401000094110000000000002000cc00b10000001900000028000000b1000000190000000100080000000000000000000000000000000000270000000000000000000000ffffff0074bfff0074000000ffffbf00489cdf00df9c48009cdfff00bf744800dfffff0000489c00bf74000048489c00ffdf9c0048000000ffbf7400bfffff0000007400480048000074bf009c9c7400000048009c480000ffffdf0048007400484848007448480000487400004848007400480074007400489c9c00bfffbf00dfdf9c0074bfbf009c48740000749c009c4848009cbfff00010101010101010101010101010101010101010101010101010101010101010101010101010101010101010101010101010101010101010101010101010101010101010101010101010101010101010101010101010101010101010101010101010101010101010101010101010101010101010101010101010101010101010101010101010101010101010101010101010101010101010101010101010101010101010101010101010101010101010101010101010101010101010101010101010101010101010101010101010101010101010101010101010101010101010101010101010101010101010101010101010101010101010101010101010101010101010101010101010101010101010101010101010101010101010101010101010101010101010101010101010101010101010101010101010101010101010101010101010101010101010101010101010101010101010101010101010101010101010101010101010101010101010101010101010101010101010101010101010101010101010101010101010101010101010101010101010101010101010101010101010101010101010101010101010101010101010101010101010101010101010101010101010101010101010101010101010101010101010101010101010101010101010101010101010101010101010101010101010101010101010101010101010101010101010101010101010101010101010101010101010101011011000b0101071d040113000b010101010101010101010101010101010101010101010101010101010101010101010101010101010101010101010101010101010101010101010101010101010101010101010101010101010101010101010101010101010101010101010101010101010101010101010101010101010101010101010101010101010101010101010101010101010101010101010101010101010101010101010101010101010101010101010101131617010110110f10110f260d010101010101010101010101010101010101010101010101010101010101010101010101130f010101010101010101010101010101010101010101010101010101010101010101010101010101010101010101010101010101010101010101010101010101010101010101010101010101010101010101010101010101010107150f010101010101010101010101010101010101010101010101010101010101010101010101010503040101011306020304010101010101010101010101010101010101010101010101010101010101010101010101010110110f010101010101010101010101010101010101010101010101010101010101010101010101010101010101010101010101010101010101010101010101010101010101010101010101010101010101010101010101010101010105161701010101010101010101010101010101010101010101010101010101010101010101010107150f01010105000003040101010101010101010101010101010101010101010101010101010101010101010101010101011316170101010101010101010101010101010101010101010101010101010101010101010101010101010101010101010101010101010101010101010101010101010101010101010101010101010101010101010101010101010107150f01010101010101010101010101010101010101010101010101010101010101010715000320110601010107251710110601010101010101010101010101010101010101010101010101010101090a00000304010101011303040110110000000e0d01010101010101010101010101010101090a00000000000304010101090a00000304010101010101010101010101010101010101010101010101010101101100000b01090a0003201100001617010101011316170101010101011011000304010101130000161701010101010101010f100b090a16171023240b01010110180d1011000f0101010101010101010101010101010101010101010101010101090a0e0d01050e0d01010113030401130e0d010113000f0101010101010101010101010101010101010200060101010101090a0e0d01050e0d01010101010101010101010101010101010101010101010101010110110b010107150b010110110b01010101010107120d01010101010101071d0401010101090a161701010101010101010101010110110b0101071503040101090a0f010101010101010101010101010101010101010101010101010101010101020006010110110b0101010101010113060101011011161701010101010101010101010101010101010200060101010101020006010110110b01010101010101010101010101010101010101010101010101010110110b0101130e0d010110110b010101010101090a0b01010101010101101e0401130b01090a161701010101010101010101010110110b010101050e0d0101011306010101010101010101010113000000000000000000001617010101010101050e0d01010113030401010101010101010101010113030401010101010101010101010101010101010200060101010101050e0d010101130304010101010101010101010101010101010101010101010101010110110b0102000601010110110b01010101010101020e0d010101010101101e0407150e0d090a1617010101010101010101010101090a1617010107150f0101020016170101010101010101010101010101010101010101010101010101010101130304010101050e0d010101010101010101010101130e0d010101010102000b0101010101010101010200060101010101130304010101050e0d0101010101010101010101010101010101010101010101010101101100000e0d0101010110110b01010101010101090a06010101010101101e040503220b090a161701010101010101010101130001050e0d0101090a0b01010101010101010101010101010101010101010101010101010101010101010101090a030401010105000f0101010101010101010101090a0304010101010105000304010101010101010102000601010101090a030401010105000f010101010101010101010101010101010101010101010101010110110b0113060101010110110b01010101010101010503040101010101101e201106090c210a16170101010101010101010101010107150b0101090a1617010101010101010101010101010101130000000000000000000016170101010101090a030401010105000f010101010101090a0b010105000601010101010102000b01010101010101010102000601010101090a030401010105000f010101010101010101010101010101010101010101010101010110110b01071d0401010110110b0101101e040101011011060101010101101e1f030401020b13161701010101010101010101010101010200060110110304010101010101010101010101010101010101010101010101010101010101010101090a030401010105000f010101010101101119000000060101010101010101010101010101010101010102000601010101090a030401010105000f010101010101010101010110110000161701010101010101010110110b0101130f020b0110110b01010503040101010105161701010101071a1b0b0101090c1c16170101050000000601010006010101010715000006130f01010101010101010101010101010101010101010101010101010101010101010101130304010101130e0d01010101010110110601010101010101010101010101010101010101010101010200060101010101130304010101130e0d01010101010101010101090a0601090a0b0101010101010101101100000b011011000b1011000000000003040101010107150f0101011011000e0d010101020000161710180d0107150f010f10000101010101010101010101010101010101010101010101010101010101010101010101010101010101010101050e0d0101090a030401010101010110110601010101010101010101010101010101010101010101010200060101010101050e0d0101090a03040101010101010101010110180d0101051617010101010101010101010101010101010101010101010101010101010101011316170101010101010101010101010101010101010107150f0101010101010101010101010101010101010101010101010101010101010101010101010101010101010101010101010715060101101116170101010101011011060101010101010101010101010101010101010101020e0d02000601010101010715060101101116170110110000000000000f07151617090a0b010101010101010101010101010101010101010101010101010101010101010107120d01010101010101010101010101010101011300000f01010101010101010101010101010101010101010101010101010101010101010101010101010101010101010101010101011303040113000f01010101010101101106010101010101010101010101010101010101010101090a0000060101010101011303040113000f0101010101010101010101090a1415001617010101010101010101010101010101010101010101010101010101010101010101130b010101010101010101010101010101010101090a0f010101010901010101010101010101010101010101010101010101010101010101010101010101010101010101010101010101050000000f0101010101010101101100000000000b01010101010101010101010101010101010110110601010101010101050000000f01010101010101010101010101050b01010101010101010101010101010101010101010101010101010101010101010101010101020e0d01010101010101010101010101010101010107120d010101010101010101010101010101010101010101010101010101010101010101010101010101010101010101010101010101010101010101010101010101010101010101070801010101010101010101010101010101010101010101010101010101010101010101010101010101010101010101090a0b010101010101010101010101010101010101010101010101010101010101010101010101090a0b0101010101010101010101010101090c0d01020e0d01010101010101010101010101010101010101010101010101010101010101010101010101010101010101010101010101010101010101010101010101010101010101010101010101010101010101010101010101010101010101010101010101010101010101010101010101010101010101010101010200030401010101010101010101010101010101010101010101010101010101010101010101010101010101010101010101010101010105000000060101010101010101010101010101010101010101010101010101010101010101010101010101010101010101010101010101010101010101010101010101010101010101010101010101010101010101010101010101010101010101010101010101010101010101010101010101010101010101010101010101010101010101010101010101010101010101010101010101010101010101010101010101010101010101010101010101010101010101010101010101ffffff010101010101010101010101010101010101010101010101010101010101010101010101010101010101010101010101010101010101010101010101010101010101010101010101010101010101010101010101010101010101010101010101010101010101010101010101010101010101010101010101010101010101010101010101010101010101010101010101010101010101010101010101010101010101010101010101010101010101010101ffffff010101010101010101010101010101010101010101010101010101010101010101010101010101010101010101010101010101010101010101010101010101010101010101010101010101010101010101010101010101010101010101010101010101010101010101010101010101010101010101010101010101010101010101010101010101010101010101010101010101010101010101010101010101010101010101010101010101010101010101ffffff4c000000640000000000000000000000b0000000180000000000000000000000b1000000190000002900aa0000000000000000000000803f00000000000000000000803f0000000000000000000000000000000000000000000000000000000000000000220000000c000000ffffffff460000001c00000010000000454d462b024000000c000000000000000e000000140000000000000010000000140000000400000003010800050000000b0200000000050000000c021900b100030000001e000400000007010400040000000701040039090000410b2000cc001900b100000000001900b1000000000028000000b1000000190000000100080000000000000000000000000000000000270000000000000000000000ffffff0074bfff0074000000ffffbf00489cdf00df9c48009cdfff00bf744800dfffff0000489c00bf74000048489c00ffdf9c0048000000ffbf7400bfffff0000007400480048000074bf009c9c7400000048009c480000ffffdf0048007400484848007448480000487400004848007400480074007400489c9c00bfffbf00dfdf9c0074bfbf009c48740000749c009c4848009cbfff00010101010101010101010101010101010101010101010101010101010101010101010101010101010101010101010101010101010101010101010101010101010101010101010101010101010101010101010101010101010101010101010101010101010101010101010101010101010101010101010101010101010101010101010101010101010101010101010101010101010101010101010101010101010101010101010101010101010101010101010101010101010101010101010101010101010101010101010101010101010101010101010101010101010101010101010101010101010101010101010101010101010101010101010101010101010101010101010101010101010101010101010101010101010101010101010101010101010101010101010101010101010101010101010101010101010101010101010101010101010101010101010101010101010101010101010101010101010101010101010101010101010101010101010101010101010101010101010101010101010101010101010101010101010101010101010101010101010101010101010101010101010101010101010101010101010101010101010101010101010101010101010101010101010101010101010101010101010101010101010101010101010101010101010101010101010101010101010101010101010101010101010101010101010101010101010101010101010101010101010101010101011011000b0101071d040113000b010101010101010101010101010101010101010101010101010101010101010101010101010101010101010101010101010101010101010101010101010101010101010101010101010101010101010101010101010101010101010101010101010101010101010101010101010101010101010101010101010101010101010101010101010101010101010101010101010101010101010101010101010101010101010101010101131617010110110f10110f260d010101010101010101010101010101010101010101010101010101010101010101010101130f010101010101010101010101010101010101010101010101010101010101010101010101010101010101010101010101010101010101010101010101010101010101010101010101010101010101010101010101010101010107150f010101010101010101010101010101010101010101010101010101010101010101010101010503040101011306020304010101010101010101010101010101010101010101010101010101010101010101010101010110110f010101010101010101010101010101010101010101010101010101010101010101010101010101010101010101010101010101010101010101010101010101010101010101010101010101010101010101010101010101010105161701010101010101010101010101010101010101010101010101010101010101010101010107150f01010105000003040101010101010101010101010101010101010101010101010101010101010101010101010101011316170101010101010101010101010101010101010101010101010101010101010101010101010101010101010101010101010101010101010101010101010101010101010101010101010101010101010101010101010101010107150f01010101010101010101010101010101010101010101010101010101010101010715000320110601010107251710110601010101010101010101010101010101010101010101010101010101090a00000304010101011303040110110000000e0d01010101010101010101010101010101090a00000000000304010101090a00000304010101010101010101010101010101010101010101010101010101101100000b01090a0003201100001617010101011316170101010101011011000304010101130000161701010101010101010f100b090a16171023240b01010110180d1011000f0101010101010101010101010101010101010101010101010101090a0e0d01050e0d01010113030401130e0d010113000f0101010101010101010101010101010101010200060101010101090a0e0d01050e0d01010101010101010101010101010101010101010101010101010110110b010107150b010110110b01010101010107120d01010101010101071d0401010101090a161701010101010101010101010110110b0101071503040101090a0f010101010101010101010101010101010101010101010101010101010101020006010110110b0101010101010113060101011011161701010101010101010101010101010101010200060101010101020006010110110b01010101010101010101010101010101010101010101010101010110110b0101130e0d010110110b010101010101090a0b01010101010101101e0401130b01090a161701010101010101010101010110110b010101050e0d0101011306010101010101010101010113000000000000000000001617010101010101050e0d01010113030401010101010101010101010113030401010101010101010101010101010101010200060101010101050e0d010101130304010101010101010101010101010101010101010101010101010110110b0102000601010110110b01010101010101020e0d010101010101101e0407150e0d090a1617010101010101010101010101090a1617010107150f0101020016170101010101010101010101010101010101010101010101010101010101130304010101050e0d010101010101010101010101130e0d010101010102000b0101010101010101010200060101010101130304010101050e0d0101010101010101010101010101010101010101010101010101101100000e0d0101010110110b01010101010101090a06010101010101101e040503220b090a161701010101010101010101130001050e0d0101090a0b01010101010101010101010101010101010101010101010101010101010101010101090a030401010105000f0101010101010101010101090a0304010101010105000304010101010101010102000601010101090a030401010105000f010101010101010101010101010101010101010101010101010110110b0113060101010110110b01010101010101010503040101010101101e201106090c210a16170101010101010101010101010107150b0101090a1617010101010101010101010101010101130000000000000000000016170101010101090a030401010105000f010101010101090a0b010105000601010101010102000b01010101010101010102000601010101090a030401010105000f010101010101010101010101010101010101010101010101010110110b01071d0401010110110b0101101e040101011011060101010101101e1f030401020b13161701010101010101010101010101010200060110110304010101010101010101010101010101010101010101010101010101010101010101090a030401010105000f010101010101101119000000060101010101010101010101010101010101010102000601010101090a030401010105000f010101010101010101010110110000161701010101010101010110110b0101130f020b0110110b01010503040101010105161701010101071a1b0b0101090c1c16170101050000000601010006010101010715000006130f01010101010101010101010101010101010101010101010101010101010101010101130304010101130e0d01010101010110110601010101010101010101010101010101010101010101010200060101010101130304010101130e0d01010101010101010101090a0601090a0b0101010101010101101100000b011011000b1011000000000003040101010107150f0101011011000e0d010101020000161710180d0107150f010f10000101010101010101010101010101010101010101010101010101010101010101010101010101010101010101050e0d0101090a030401010101010110110601010101010101010101010101010101010101010101010200060101010101050e0d0101090a03040101010101010101010110180d0101051617010101010101010101010101010101010101010101010101010101010101011316170101010101010101010101010101010101010107150f0101010101010101010101010101010101010101010101010101010101010101010101010101010101010101010101010715060101101116170101010101011011060101010101010101010101010101010101010101020e0d02000601010101010715060101101116170110110000000000000f07151617090a0b010101010101010101010101010101010101010101010101010101010101010107120d01010101010101010101010101010101011300000f01010101010101010101010101010101010101010101010101010101010101010101010101010101010101010101010101011303040113000f01010101010101101106010101010101010101010101010101010101010101090a0000060101010101011303040113000f0101010101010101010101090a1415001617010101010101010101010101010101010101010101010101010101010101010101130b010101010101010101010101010101010101090a0f010101010901010101010101010101010101010101010101010101010101010101010101010101010101010101010101010101050000000f0101010101010101101100000000000b01010101010101010101010101010101010110110601010101010101050000000f01010101010101010101010101050b01010101010101010101010101010101010101010101010101010101010101010101010101020e0d01010101010101010101010101010101010107120d010101010101010101010101010101010101010101010101010101010101010101010101010101010101010101010101010101010101010101010101010101010101010101070801010101010101010101010101010101010101010101010101010101010101010101010101010101010101010101090a0b010101010101010101010101010101010101010101010101010101010101010101010101090a0b0101010101010101010101010101090c0d01020e0d01010101010101010101010101010101010101010101010101010101010101010101010101010101010101010101010101010101010101010101010101010101010101010101010101010101010101010101010101010101010101010101010101010101010101010101010101010101010101010101010200030401010101010101010101010101010101010101010101010101010101010101010101010101010101010101010101010101010105000000060101010101010101010101010101010101010101010101010101010101010101010101010101010101010101010101010101010101010101010101010101010101010101010101010101010101010101010101010101010101010101010101010101010101010101010101010101010101010101010101010101010101010101010101010101010101010101010101010101010101010101010101010101010101010101010101010101010101010101010101010101ffffff010101010101010101010101010101010101010101010101010101010101010101010101010101010101010101010101010101010101010101010101010101010101010101010101010101010101010101010101010101010101010101010101010101010101010101010101010101010101010101010101010101010101010101010101010101010101010101010101010101010101010101010101010101010101010101010101010101010101010101ffffff010101010101010101010101010101010101010101010101010101010101010101010101010101010101010101010101010101010101010101010101010101010101010101010101010101010101010101010101010101010101010101010101010101010101010101010101010101010101010101010101010101010101010101010101010101010101010101010101010101010101010101010101010101010101010101010101010101010101010101ffffff0c00000040092900aa000000000000001900b10000000000040000002701ffff030000000000>
Размеры вентилируемого помещения 72х24.
а) подбор воздушного фильтра:

По найденному значению и начальной концентрации пыли выбираем масляной самоочищающийся фильтр КдМ. К с параметрами g=20 мг/м3,>010009000003180400000000d40200000000d402000026060f009e05574d464301000000000001003d6500000000010000007c050000000000007c050000010000006c00000000000000000000000c000000180000000000000000000000530100008e02000020454d46000001007c0500000c00000001000000000000000000000000000000900600001a040000b801000013010000000000000000000000000000c0b6060038320400460000002c00000020000000454d462b014001001c000000100000000210c0db01000000600000006000000046000000c4010000b8010000454d462b224004000c000000000000001e4009000c00000000000000244001000c000000000000003040020010000000040000000000803f214007000c000000000000000840000510010000040100000210c0db01000000000000000000000000000000000000000100000089504e470d0a1a0a0000000d494844520000000d00000019080200000065ce33a6000000017352474200aece1ce9000000097048597300000ec400000ec401952b0e1b0000008b49444154384f63fcffff3f0311808908352025a3eab00714f6703950ca880c4a0f303000e3030dec2f011a59b21f2a0ae479ccb9ff1f53ddfd391e48ca606660daabe01ce2c170e5ee03347762da0b14019b0902202bc100dd5e880ab834dc1454756055988a80aa51dda7a0acc3c0b0e306c26dc000f29c0be6a2bb0fee34b0fbe0c1c3389a9eb1264000882fd032d1b0dc980000000049454e44ae42608200000840010824000000180000000210c0db01000000030000000000000000000000000000001b40000040000000340000000100000002000000000000bf000000bf000050410000c84103000000000080b3000080b3ffff4f41000080b3000080b3ffffc7412100000008000000620000000c00000001000000150000000c00000004000000150000000c00000004000000510000005402000000000000000000000c00000018000000000000000000000000000000000000000d000000190000005000000074000000c400000090010000000000002000cc000d00000019000000280000000d000000190000000100080000000000000000000000000000000000130000000000000000000000ffffff000074bf00ffbf740074000000ffffbf00bfffff0048007400ffdf9c00dfffff0000489c00bf740000489cdf009c480000ffffdf00df9c48009cdfff00000048000000740001010101010101010101010101010101010101010101010101010101010101010101010101010101010101010101010101010101010101010101010101010101010101010101010101010101010101010101010101010101010101010101010101010101010101010101010101010101010101010110110000000301010101010101010106120b010101020f010101010101010110110f01010101010101010101010101010c000f0101010101010101010101010101010c00000f01010101010101010101010c0d0e010101010101010101010101090a0b010101010101010101010101010102040501060708010101010101010101010200000000030116010101010101010101010101010101150101010101010101010101010101010e01010101010101010101010101010106010101010101010101010101010108000601010101010101010101010101010101010101010101010101010101010101010101010101010101010101010101010101010101010101010101010101010101010101010101010101010101010101014c0000006400000000000000000000000c0000001800000000000000000000000d000000190000002900aa0000000000000000000000803f00000000000000000000803f0000000000000000000000000000000000000000000000000000000000000000220000000c000000ffffffff460000001c00000010000000454d462b024000000c000000000000000e000000140000000000000010000000140000000400000003010800050000000b0200000000050000000c0219000d00030000001e00040000000701040004000000070104000f010000410b2000cc0019000d000000000019000d0000000000280000000d000000190000000100080000000000000000000000000000000000130000000000000000000000ffffff000074bf00ffbf740074000000ffffbf00bfffff0048007400ffdf9c00dfffff0000489c00bf740000489cdf009c480000ffffdf00df9c48009cdfff00000048000000740001010101010101010101010101010101010101010101010101010101010101010101010101010101010101010101010101010101010101010101010101010101010101010101010101010101010101010101010101010101010101010101010101010101010101010101010101010101010101010110110000000301010101010101010106120b010101020f010101010101010110110f01010101010101010101010101010c000f0101010101010101010101010101010c00000f01010101010101010101010c0d0e010101010101010101010101090a0b010101010101010101010101010102040501060708010101010101010101010200000000030116010101010101010101010101010101150101010101010101010101010101010e01010101010101010101010101010106010101010101010101010101010108000601010101010101010101010101010101010101010101010101010101010101010101010101010101010101010101010101010101010101010101010101010101010101010101010101010101010101010c00000040092900aa0000000000000019000d0000000000040000002701ffff030000000000> =90%, L>уд>=11000 м3/ч, рабочая поверхность фильтра равна 1.8 м2, сопротивление фильтра 100 Па.
Рабочую поверхность фильтра находим по формуле:

Число стандартных секций:

б) определение диаметра воздуховодов





Таблица 1-Расчетные параметры приточной вентиляции
|
№ участка |
Длина участка, м |
Расход воздуха по участкам, м3/ч |
Расчетная скорость воздуха, м/с |
Диаметр воздуховода, мм |
|
|
расчетный |
стандартный |
||||
|
1-2 |
12 |
10000 |
12 |
544 |
560 |
|
2-3 |
12 |
8000 |
10 |
533 |
560 |
|
3-4 |
12 |
6000 |
8 |
516 |
500 |
|
4-5 |
12 |
4000 |
6 |
486 |
500 |
|
5-6 |
12 |
2000 |
4 |
421 |
450 |
в) подбор вентилятора, центробежный вентилятор типа Ц-4-70 подбирается по величине воздухообмена для одной вентиляционной установки.
Полное давление >010009000003ea0c00000000b20700000000b207000026060f005a0f574d464301000000000001002d630000000001000000380f000000000000380f0000010000006c00000000000000000000005c000000180000000000000000000000830900008e02000020454d4600000100380f00000c00000001000000000000000000000000000000900600001a040000b801000013010000000000000000000000000000c0b6060038320400460000002c00000020000000454d462b014001001c000000100000000210c0db01000000600000006000000046000000980300008c030000454d462b224004000c000000000000001e4009000c00000000000000244001000c000000000000003040020010000000040000000000803f214007000c0000000000000008400005e4020000d80200000210c0db01000000000000000000000000000000000000000100000089504e470d0a1a0a0000000d494844520000005d000000190802000000dcdab5ee000000017352474200aece1ce9000000097048597300000ec400000ec401952b0e1b0000025f494441545847ed583b8ec23010357b92201a0a0e91d53641b47b03d220da447b0604ed8a86dc8076451a440e414183f04db2e34ffc890d8ea38db4855d81f598193fbf799330aaeb1a856530f01638b1321078b10b23f01278f1b18c462fb8988f8c352fb04f2c6f2c4d6a4da296935796c04e0042d6232967b4c615a9601ef175c96033393cd4af28bb48c01f7f7a1c125285cca815c213d3a2da55d0cd578026124ba19fc1b6679e0cb5785162740bd0972c123dcbe0806d5e685a65b3755d75ed04c892faf3227d17dfaf40ed22d6459b4c23eff6e8f0035cacd2d9653d8594ad85cfc712259f1f226d34059eca9be86827a0437a3744f0c2d2292cd00d349b0cc00b6365dbba02562cbeb5b24693196c5fef0d314e80fbd02642f322623c9217a8475e13e0c669099d692fbe4f6af11bc20a3aacadac20aa5a7de98271027c6ba394acd09e751fe9dadda6c0621e917aca74ccfd1a48214ef394952a37a797bef36c963156f6cb0164e8cb08c347cb535d9f9a7ae20510035dcb79615d24661161eea552e2adcb6f4526adda67ac54f9d0cf045d49a3ea147d449a5635bbae513c71d53734a7a64a2ed2f71d8fc4dcc45cc2f99c00cf92185cfa0bb10fc14bf50375f9586ccf3e6ac94c9db88dbee87d49972535eb4eec047812a3fb0b7b0ae07aa15ee63591fbf691bb66aa87f278c60d94de99f2fce004b873a808ea20d997f03b7a0b8c173691ffcb8ad7706365ba62ef20b8d8ecc0f8d4e9e504f89f44e8b3ca69475fef88eb86c61af0a1dfb46925b1f12ae02cca09807c364c873df6e6310affd759e515fe7fb1775de025f0e2e3c7412f412f412f3e0cd8b1bf20e8e6ed363852470000000049454e44ae42608200000840010824000000180000000210c0db01000000030000000000000000000000000000001b40000040000000340000000100000002000000000000bf000000bf0000ba420000c84103000000000000b3000000b3ffffb942000000b3000000b3ffffc7412100000008000000620000000c00000001000000150000000c00000004000000150000000c00000004000000510000003c0a000000000000000000005c00000018000000000000000000000000000000000000005d00000019000000500000008c000000dc00000060090000000000002000cc005d00000019000000280000005d000000190000000100080000000000000000000000000000000000190000000000000000000000ffffff009cdfff00000048009c480000ffffdf00df9c4800489cdf00ffbf7400dfffff0000489c00bf74000074bfff000074bf0074000000ffffbf007474000000007400bfffff00740048009cdfbf0048000000ffdf9c00480048009c487400010101010101010101010101010101010101010101010101010101010101010101010101010101010101010101010101010101010101010101010101010101010101010101010101010101010101010101010101010101010101010101ffffff010101010101010101010101010101010101010101010101010101010101010101010101010101010101010101010101010101010101010101010101010101010101010101010101010101010101010101010101010101010101010101ffffff010101010101010101010101010101010101010101010101010101010101010101010101010101010101010101010101010101010101010101010101010101010101010101010101010101010101010101010101010101010101010101ffffff010101010101010101010101010101010101010101010101010101010101010101010101010101010101010101010101010101010101010101010101010101010101010101010101010101010101010101010101010101010101010101ffffff010101010101010101010101010101010101010101010101010101010101010101010101010101010101010101010101010101010101010101010101010101010101010101010101010101010101010101010101010101010101010101ffffff010101010101010101010101010101010101010101010101010101010101010101010101010101010101010101010101010101010101010101010101010101010101010101010101010101010101010101010101010101010101010101ffffff010101010101010101010101010101010101010101010101010101010101010101010101010101010101010101010101010101010101010101010101010101010101010101010101010101010101010101010101010101010101010101ffffff07000000080101010101010101010101010101010101010101010101010101010101010101010101020300000601010101090a00000e0f0101010101090a00000e0f010101010101090a00000e0f01020300000b010107000000080d00ffffff010700060101010101010101010101010101010101010101010101010101010101010101010101010102030601010101090a151601071516010101090a151601071516010101010101090a0e0f01010102030b010102030601010d0004ffffff0102030601010101010101010101010101010101010101010101010101010101010101010101010101020306010101010c0006010112110b0101010c0006010112110b010101010101090a0e0f01010102030b0101020308010112110bffffff0112110b01010101010101010101010101010d00000000000000000000040501010101010101010101020306010101010715160101010d0e0f01010715160101010d0e0f0101010101090a0e0f01010102030b0101090a040501090a0bffffff01010d0405010101010101010101010101010101010101010101010101010101010101010c00000000000000000405010d0e0f01010107151601010d0e0f0101010715160101010101090a0e0f01010102030b0101010102030000000bffffff010107151601010101010101010101010101010101010101010101010101010101010101090a060101020306121805090a0e0f01010107000801090a0e0f0101010700080101010101090a0e0f01010102030b01010101010101090a0bffffff01010203000000000b0101010101010101010d00000000000000000000040501010101010102171601020306010101090a0e0f01010107000801090a0e0f0101010700080101010101090a0e0f01010102030b0101010101010112110bffffff0101121106010102030e0f010101010101010101010101010101010101010101010101010101070405020306010101090a0e0f01010107000801090a0e0f0101010700080101010101090a0e0f01010102030b0101090a0405010c0006ffffff0101090a0405010102030b010101010101010101010101010101010101010101010101010101090a08020306010101010d0e0f0101010d151601010d0e0f0101010d15160101010101090a0e0f01010102030b01010101020300000e0fffffff010101070e0f0101090a04050101010101010101010101010101010101010101010101010101010213140306010101010715160101090a0e0f01010715160101090a0e0f0101010101090a0e0f01010102030b01010101010101010101ffffff0101010c00080101090a0e0f01010101010101010101010101010101010101010101010101010101071011060101010102030601011211040501010203060101121104050101010101090a0e0f01010102030b01010101010101010101ffffff0101010c000601010c000b0101010101010101010101010101010101010101010101010101010101090a000601010101010d0e0f010d0008010101010d0e0f010d0008010101010101090a0e0f01010102030b01010101010101010101ffffff010102030000000000040501010101010101010101010101010101010101010101010101010101010102030601010101010107000000080101010101010700000008010101010101090a0000000000000000000b010101010101010101ffffff010101010101010101010101010101010101010101010101010101010101010101010101010101010101010101010101010101010101010101010101010101010101010101010101010101010101010101010101010101010101010101ffffff010101010101010101010101010101010101010101010101010101010101010101010101010101010101010101010101010101010101010101010101010101010101010101010101010101010101010101010101010101010101010101ffffff010101010101010101010101010101010101010101010101010101010101010101010101010101010101010101010101010101010101010101010101010101010101010101010101010101010101010101010101010101010101010101ffffff01010101010101010101010101010101010101010101010101010101010101010101010101010101010101010101010101010101010101010101010101010101010101010101010101010101010101010101010101010101010101010103ab04010101010101010101010101010101010101010101010101010101010101010101010101010101010101010101010101010101010101010101010101010101010101010101010101010101010101010101010101010101010101010101ffff014c0000006400000000000000000000005c0000001800000000000000000000005d000000190000002900aa0000000000000000000000803f00000000000000000000803f0000000000000000000000000000000000000000000000000000000000000000220000000c000000ffffffff460000001c00000010000000454d462b024000000c000000000000000e000000140000000000000010000000140000000400000003010800050000000b0200000000050000000c0219005d00030000001e000400000007010400040000000701040003050000410b2000cc0019005d000000000019005d0000000000280000005d000000190000000100080000000000000000000000000000000000190000000000000000000000ffffff009cdfff00000048009c480000ffffdf00df9c4800489cdf00ffbf7400dfffff0000489c00bf74000074bfff000074bf0074000000ffffbf007474000000007400bfffff00740048009cdfbf0048000000ffdf9c00480048009c487400010101010101010101010101010101010101010101010101010101010101010101010101010101010101010101010101010101010101010101010101010101010101010101010101010101010101010101010101010101010101010101ffffff010101010101010101010101010101010101010101010101010101010101010101010101010101010101010101010101010101010101010101010101010101010101010101010101010101010101010101010101010101010101010101ffffff010101010101010101010101010101010101010101010101010101010101010101010101010101010101010101010101010101010101010101010101010101010101010101010101010101010101010101010101010101010101010101ffffff010101010101010101010101010101010101010101010101010101010101010101010101010101010101010101010101010101010101010101010101010101010101010101010101010101010101010101010101010101010101010101ffffff010101010101010101010101010101010101010101010101010101010101010101010101010101010101010101010101010101010101010101010101010101010101010101010101010101010101010101010101010101010101010101ffffff010101010101010101010101010101010101010101010101010101010101010101010101010101010101010101010101010101010101010101010101010101010101010101010101010101010101010101010101010101010101010101ffffff010101010101010101010101010101010101010101010101010101010101010101010101010101010101010101010101010101010101010101010101010101010101010101010101010101010101010101010101010101010101010101ffffff07000000080101010101010101010101010101010101010101010101010101010101010101010101020300000601010101090a00000e0f0101010101090a00000e0f010101010101090a00000e0f01020300000b010107000000080d00ffffff010700060101010101010101010101010101010101010101010101010101010101010101010101010102030601010101090a151601071516010101090a151601071516010101010101090a0e0f01010102030b010102030601010d0004ffffff0102030601010101010101010101010101010101010101010101010101010101010101010101010101020306010101010c0006010112110b0101010c0006010112110b010101010101090a0e0f01010102030b0101020308010112110bffffff0112110b01010101010101010101010101010d00000000000000000000040501010101010101010101020306010101010715160101010d0e0f01010715160101010d0e0f0101010101090a0e0f01010102030b0101090a040501090a0bffffff01010d0405010101010101010101010101010101010101010101010101010101010101010c00000000000000000405010d0e0f01010107151601010d0e0f0101010715160101010101090a0e0f01010102030b0101010102030000000bffffff010107151601010101010101010101010101010101010101010101010101010101010101090a060101020306121805090a0e0f01010107000801090a0e0f0101010700080101010101090a0e0f01010102030b01010101010101090a0bffffff01010203000000000b0101010101010101010d00000000000000000000040501010101010102171601020306010101090a0e0f01010107000801090a0e0f0101010700080101010101090a0e0f01010102030b0101010101010112110bffffff0101121106010102030e0f010101010101010101010101010101010101010101010101010101070405020306010101090a0e0f01010107000801090a0e0f0101010700080101010101090a0e0f01010102030b0101090a0405010c0006ffffff0101090a0405010102030b010101010101010101010101010101010101010101010101010101090a08020306010101010d0e0f0101010d151601010d0e0f0101010d15160101010101090a0e0f01010102030b01010101020300000e0fffffff010101070e0f0101090a04050101010101010101010101010101010101010101010101010101010213140306010101010715160101090a0e0f01010715160101090a0e0f0101010101090a0e0f01010102030b01010101010101010101ffffff0101010c00080101090a0e0f01010101010101010101010101010101010101010101010101010101071011060101010102030601011211040501010203060101121104050101010101090a0e0f01010102030b01010101010101010101ffffff0101010c000601010c000b0101010101010101010101010101010101010101010101010101010101090a000601010101010d0e0f010d0008010101010d0e0f010d0008010101010101090a0e0f01010102030b01010101010101010101ffffff010102030000000000040501010101010101010101010101010101010101010101010101010101010102030601010101010107000000080101010101010700000008010101010101090a0000000000000000000b010101010101010101ffffff010101010101010101010101010101010101010101010101010101010101010101010101010101010101010101010101010101010101010101010101010101010101010101010101010101010101010101010101010101010101010101ffffff010101010101010101010101010101010101010101010101010101010101010101010101010101010101010101010101010101010101010101010101010101010101010101010101010101010101010101010101010101010101010101ffffff010101010101010101010101010101010101010101010101010101010101010101010101010101010101010101010101010101010101010101010101010101010101010101010101010101010101010101010101010101010101010101ffffff01010101010101010101010101010101010101010101010101010101010101010101010101010101010101010101010101010101010101010101010101010101010101010101010101010101010101010101010101010101010101010103ab04010101010101010101010101010101010101010101010101010101010101010101010101010101010101010101010101010101010101010101010101010101010101010101010101010101010101010101010101010101010101010101ffff010c00000040092900aa0000000000000019005d0000000000040000002701ffff030000000000>. КПД = 0,8. По номограмме подбираем вентилятор №3 (Ц-4-70№3).
>5. Расчет водопроводной сети>
За основу принять тупиковую схему, показанную на рисунке 12 (методичка), и вычертить ее в соответствии с размерами здания в пояснительной записке. Водозаборные краны установить по средним колоннам, на расстоянии 12 метров друг от друга. Расход воды на любом участке тупиковой схемы находят как сумму расходов последующих потребителей.
Определение диаметров труб:

где >>>
>
- расчетный расход воды на n-ом
участке, >>>
>;
>>>
>
- скорость движения воды в трубах >010009000003840d000000000c08000000000c08000026060f000e10574d4643010000000000010034080000000001000000ec0f000000000000ec0f0000010000006c000000000000000000000060000000180000000000000000000000eb0900008e02000020454d4600000100ec0f00000c00000001000000000000000000000000000000900600001a040000b801000013010000000000000000000000000000c0b6060038320400460000002c00000020000000454d462b014001001c000000100000000210c0db01000000600000006000000046000000cc030000c0030000454d462b224004000c000000000000001e4009000c00000000000000244001000c000000000000003040020010000000040000000000803f214007000c0000000000000008400005180300000c0300000210c0db01000000000000000000000000000000000000000100000089504e470d0a1a0a0000000d4948445200000061000000190802000000ae15d758000000017352474200aece1ce9000000097048597300000ec400000ec401952b0e1b00000294494441545847ed573b72c230109573126768527008181a65d27203e868c5e40c19dcd2991ba4cdc40d830f419126836f4276255b4848f29a600249bc0d8caccfeedbb7bf68bfdfb34e6a11b8ebf02111e8302221621d46dfc1289f47d1e3aaa08ffebe1dc5ea318ae6798de2fe1d90b3b56c041c171b73a9fc8f5f78baf37c397749be59c9659ea8546c6ac4f13ea66ddca5dc07905c96d2ba01ea6aed138556ebaf580cf01280e244859117210da854bf75edf14d53698559ebcf2808f0f253ae36c8546244d0f0321839febbe0334de3cc4e3c0a5455d7f2b784b17e2fbe6e1a2e3eb7a000a106961429765d092c970615ab978489e78963a03ee65e3978122c7b5d63f1aa78584bc40b3af8e038196a0dc201f67121ace4894b3c7c3a106756897289a6f5911885eb9951d69aa87f46910b940cdf8da0ae48cd0a830b9b7034f9bf90464b58d067edf4903665cb60b07e888e2b9fdf4f59ba5b0c9a467b6ff22c58f2827d1c04d2369dc532503d12883319d8fc814a2fd947d1529f3d58500c7a777381b6071ab7612236755b3cb60f6629cfa6cb3c5f4efb9e4c539d28d6af194f670ef8c54746e63eacb280a2e451fc00b1bcfdc4f4f4f37232852a15e3d198b36438041285e90708667c3c0ad0a5d6665542401446bd3e63c8aa9f977c6e530838553b2c981ac6186fde72a54914aa67252f6a6d46a64978553ec23a770d2229848c2c849141394afb17f48618afc961a13893bc90002743ed11c8a956d2c47ea864609948fc65e53088188a37ede7a914255b5f5788eaafe73b4b8dc3d4671ca7fb4673583c32cbedb3cb66dd3fd092c6dee486139a09577f0bdec34cdba44fba4930fc4a9d3a9f19b784e77e33e81a74bbb70dd77749e43d1781ad5492fcefdfdbe9b3ff368a1d46b47f3b8c688cbe004771d784b3013b110000000049454e44ae426082000840010824000000180000000210c0db01000000030000000000000000000000000000001b40000040000000340000000100000002000000000000bf000000bf0000c2420000c84103000000000000b3000000b3ffffc142000000b3000000b3ffffc7412100000008000000620000000c00000001000000150000000c00000004000000150000000c0000000400000051000000bc0a00000000000000000000600000001800000000000000000000000000000000000000610000001900000050000000a8000000f8000000c4090000000000002000cc0061000000190000002800000061000000190000000100080000000000000000000000000000000000200000000000000000000000ffffff00bfffff0000007400df9c4800dfffff0000489c00bf740000489cdf0074000000ffffbf000074bf0074bfff0048000000ffdf9c00ffbf74009cdfff00000048009c480000ffffdf0048004800744848000048740048489c000048480074007400489c9c00bfffbf00dfdf9c0074bfbf0074489c007400480001010101010101010101010101010101010101010101010101010101010101010101010101010101010101010101010101010101010101010101010101010101010101010101010101010101010101010101010101010101010101010101010101ffffff01010101010101010101010101010101010101010101010101010101010101010101010101010101010101010101010101010101010101010101010101010101010101010101010101010101010101010101010101010101010101010101010101ffffff010101010101010101010101010101010101010101010101010101010101010101010101010101010101010101010101010101010101010101010101010101010101010101010101010101010101010101010101010101010101010101010101010000ff010101010101010101010101010101010101010101010101010101010101010101010101010101010101010101010101010101010101010101010101010101010101010101010101010101010101010101010101010101010101010101010101017400ff010101010110110401010101010101010101010101010101010101010101010101010101010101010101010101010101010101010101010101010101010101010101010101010110110f0101010101010101010101010101010108090a01010101ffdfff010101010b090a010101010101010101010101010101010101010101010101010101010101010101010101010101010101010101010101010101010101010101010101010101010108121301010101010101010101010101010101020304010101dfffff01010108090a01010101010101010101010101010101010101010101010101010101010101010101010101010101010101010101010101010101010101010101010101010101010110110f01010101010101010101010101010101010203040101ffbfff010110110f0101010105060000000000090a01010101010101010101010101010101010101010101010800000000000012130101010101010101020300090a0101010b0000121301010b121301010101010101010c00000007010101010c0d0e01ffffff01010b1213010101010101010c0004010101010101010101010101010101010101010101010101010102030f010101101f0a010101010101010101101f0a010101010506121301010110140e010101010101010c000701010c1213010102030401ffffff0102030701010101010101010c00040101010101010101010101010101010101010101010101010101010c090a0101051e0a01010101010101010102190a010b0701050612130101010506070101010101010506090a01010101010101010b1213ffffff0110110401010101010101010c0004010101010101010101010101010101010101010101010101010101010b12130101010101010101010101010102190a10110d0e05061213010101010c0d0e0101010101020312130101010101010101080d0effffff010c000f01010101010101010c0004010101010101010101010101010101010101010101010101010101010506070101010101010101010101010102190a08091d07050612130101010105060401010101010203070101010101010101010c0d0effffff010c000f01010101010101010c000401010101010101010b000000000000000000001213010101010101010102030401010101010101010101010102191b030405171c061213010101010108090a010101010506121301010101010101010c000fdfffff010c000f01010101010101010c000401010101010101010101010101010101010101010101010101010101010110110f010101010101010101010102191a090a010c070b1213010101010102030401010101010b090a01010101010101010c0d0ebf74ff0110110401010101010101010c000401010101010101010101010101010101010101010101010101010101010101080d0e0101010101010101010110151607010105171812130101010101010812130101010102030701010b1213010101080d0effbfff0102030701010101010101010c0004010101010101010101010101010101010101010101010101010101010101011011070101010101010101010203000d0e0101010c00001213010101010110110f0101010101020300000012130101010b1213ffffff01010b1213010101010101010c000401010101010101010101010101010101010101010101010101010101010101020312130101010101010101010101010101010101010101010101010101010b12130101010101010101010101010102030401ffffff010110110f010101010c0d0e0c0004010101010101010101010101010101010101010101010101010108070101011011121301010101010101010101010101010101010101010101010101010110140e010101010101010101010101010c0d0e01ffffff01010108090a010101010506000004010101010101010101010101010101010101010101010101010108000f01010b000401010101010101010101010101010101010101010101010101010101010b070101010101010101010101010203040101ffffff010101010b090a01010101010203040101010101010101010101010101010101010101010101010101010203000000040101010101010101010101010101010101010101010101010101010101010c0d0e0101010101010101010102030401010101010101010101010203040101010101010101010101010101010101010101010101010101010101010101010101010101010101010101010101010101010101010101010101010101010101010101010105060701010101010101010108090a01010101010101010101010101010101010101010101010101010101010101010101010101010101010101010101010101010101010101010101010101010101010101010101010101010101010101010101010101010101010101010101010101010101010101010101010101010101010101010101010101010101010101010101010101010101010101010101010101010101010101010101010101010101010101010101010101010101010101010101010101010101010101010101010101010101010101010101010101010101010101010101010101010101010101010101010101010101010101010101010101010101010101010101010101010101010101010101010101010101010101010101010101010101010101010101010101010101010101010101010101010101ffff0101010101010101010101010101010101010101010101010101010101010101010101010101010101010101010101010101010101010101010101010101010101010101010101010101010101010101010101010101010101010101010101010101ffff014c0000006400000000000000000000006000000018000000000000000000000061000000190000002900aa0000000000000000000000803f00000000000000000000803f0000000000000000000000000000000000000000000000000000000000000000220000000c000000ffffffff460000001c00000010000000454d462b024000000c000000000000000e000000140000000000000010000000140000000400000003010800050000000b0200000000050000000c0219006100030000001e000400000007010400040000000701040043050000410b2000cc00190061000000000019006100000000002800000061000000190000000100080000000000000000000000000000000000200000000000000000000000ffffff00bfffff0000007400df9c4800dfffff0000489c00bf740000489cdf0074000000ffffbf000074bf0074bfff0048000000ffdf9c00ffbf74009cdfff00000048009c480000ffffdf0048004800744848000048740048489c000048480074007400489c9c00bfffbf00dfdf9c0074bfbf0074489c007400480001010101010101010101010101010101010101010101010101010101010101010101010101010101010101010101010101010101010101010101010101010101010101010101010101010101010101010101010101010101010101010101010101ffffff01010101010101010101010101010101010101010101010101010101010101010101010101010101010101010101010101010101010101010101010101010101010101010101010101010101010101010101010101010101010101010101010101ffffff010101010101010101010101010101010101010101010101010101010101010101010101010101010101010101010101010101010101010101010101010101010101010101010101010101010101010101010101010101010101010101010101010000ff010101010101010101010101010101010101010101010101010101010101010101010101010101010101010101010101010101010101010101010101010101010101010101010101010101010101010101010101010101010101010101010101017400ff010101010110110401010101010101010101010101010101010101010101010101010101010101010101010101010101010101010101010101010101010101010101010101010110110f0101010101010101010101010101010108090a01010101ffdfff010101010b090a010101010101010101010101010101010101010101010101010101010101010101010101010101010101010101010101010101010101010101010101010101010108121301010101010101010101010101010101020304010101dfffff01010108090a01010101010101010101010101010101010101010101010101010101010101010101010101010101010101010101010101010101010101010101010101010101010110110f01010101010101010101010101010101010203040101ffbfff010110110f0101010105060000000000090a01010101010101010101010101010101010101010101010800000000000012130101010101010101020300090a0101010b0000121301010b121301010101010101010c00000007010101010c0d0e01ffffff01010b1213010101010101010c0004010101010101010101010101010101010101010101010101010102030f010101101f0a010101010101010101101f0a010101010506121301010110140e010101010101010c000701010c1213010102030401ffffff0102030701010101010101010c00040101010101010101010101010101010101010101010101010101010c090a0101051e0a01010101010101010102190a010b0701050612130101010506070101010101010506090a01010101010101010b1213ffffff0110110401010101010101010c0004010101010101010101010101010101010101010101010101010101010b12130101010101010101010101010102190a10110d0e05061213010101010c0d0e0101010101020312130101010101010101080d0effffff010c000f01010101010101010c0004010101010101010101010101010101010101010101010101010101010506070101010101010101010101010102190a08091d07050612130101010105060401010101010203070101010101010101010c0d0effffff010c000f01010101010101010c000401010101010101010b000000000000000000001213010101010101010102030401010101010101010101010102191b030405171c061213010101010108090a010101010506121301010101010101010c000fdfffff010c000f01010101010101010c000401010101010101010101010101010101010101010101010101010101010110110f010101010101010101010102191a090a010c070b1213010101010102030401010101010b090a01010101010101010c0d0ebf74ff0110110401010101010101010c000401010101010101010101010101010101010101010101010101010101010101080d0e0101010101010101010110151607010105171812130101010101010812130101010102030701010b1213010101080d0effbfff0102030701010101010101010c0004010101010101010101010101010101010101010101010101010101010101011011070101010101010101010203000d0e0101010c00001213010101010110110f0101010101020300000012130101010b1213ffffff01010b1213010101010101010c000401010101010101010101010101010101010101010101010101010101010101020312130101010101010101010101010101010101010101010101010101010b12130101010101010101010101010102030401ffffff010110110f010101010c0d0e0c0004010101010101010101010101010101010101010101010101010108070101011011121301010101010101010101010101010101010101010101010101010110140e010101010101010101010101010c0d0e01ffffff01010108090a010101010506000004010101010101010101010101010101010101010101010101010108000f01010b000401010101010101010101010101010101010101010101010101010101010b070101010101010101010101010203040101ffffff010101010b090a01010101010203040101010101010101010101010101010101010101010101010101010203000000040101010101010101010101010101010101010101010101010101010101010c0d0e0101010101010101010102030401010101010101010101010203040101010101010101010101010101010101010101010101010101010101010101010101010101010101010101010101010101010101010101010101010101010101010101010105060701010101010101010108090a01010101010101010101010101010101010101010101010101010101010101010101010101010101010101010101010101010101010101010101010101010101010101010101010101010101010101010101010101010101010101010101010101010101010101010101010101010101010101010101010101010101010101010101010101010101010101010101010101010101010101010101010101010101010101010101010101010101010101010101010101010101010101010101010101010101010101010101010101010101010101010101010101010101010101010101010101010101010101010101010101010101010101010101010101010101010101010101010101010101010101010101010101010101010101010101010101010101010101010101010101010101ffff0101010101010101010101010101010101010101010101010101010101010101010101010101010101010101010101010101010101010101010101010101010101010101010101010101010101010101010101010101010101010101010101010101ffff010c00000040092900aa000000000000001900610000000000040000002701ffff030000000000>.
Определение потерь напора в трубах.
Потери напора на трение определить по каждому участку: 1-2, 2-3 и т.д. по формуле:

где >>>
>
- длина участка в метрах;
>>>
>
- гидравлический уклон, м.
Потери напора
>010009000003800700000000c80400000000c804000026060f008609574d46430100000000000100f6560000000001000000640900000000000064090000010000006c0000000000000000000000290000001800000000000000000000004b0400008e02000020454d4600000100640900000c00000001000000000000000000000000000000900600001a040000b801000013010000000000000000000000000000c0b6060038320400460000002c00000020000000454d462b014001001c000000100000000210c0db01000000600000006000000046000000c4020000b8020000454d462b224004000c000000000000001e4009000c00000000000000244001000c000000000000003040020010000000040000000000803f214007000c000000000000000840000510020000040200000210c0db01000000000000000000000000000000000000000100000089504e470d0a1a0a0000000d494844520000002a000000190802000000c84f2b0f000000017352474200aece1ce9000000097048597300000ec400000ec401952b0e1b0000018b49444154484be596396e843014860d2701a5992287a0f49c2334515aa31c62d2a63337481f9a086e0237f1f8d9c6e00d0c044d319690002fdfffecb738618ca1c7b5f47168203f3bbeab92955675a79d508a8a5b4bc4f2a4e56e6836d5e3d287fa2a345febe19834c10b0ae829f6eae27316ba1c33823f90ea09090088675b94647f4f3c9d8df8851df0af06ba30ed37a07c4327bc1610b5e8481747002d6a96a3608edf22000e8b508a055568d8c537f1d102a4ab68227cfe0b5e0a585bca32777f10f8ac5f834b8993d7efa7cf3c7f43285b1b14b35f810899591f6d8435f0009de98ad7557989687f2bac24cad3ab955987bf9f06e14be6645b5e3da03ca82232560a959fad4fc8d8f04bee4ad0024f76b1c7ead0d7ded0128849e11dbc9310a21d65721afec6fb01bf10b6fb229ae35bb08893b17c53cae09f91295334d4ef65835053e69eba9b43d7eb8bbbd1eb75aef8a0e80b7d3aa769cc4c25fc8c96bdfd320b9e5d70537ecbeb4357814f1dac199ee93223ce1cc1b84de82b841890f0e70cd323d77ceeabe61de9cad387afb2c34e0000000049454e44ae42608200000840010824000000180000000210c0db01000000030000000000000000000000000000001b40000040000000340000000100000002000000000000bf000000bf000028420000c84103000000000000b3000000b3ffff2742000000b3000000b3ffffc7412100000008000000620000000c00000001000000150000000c00000004000000150000000c00000004000000510000003c05000000000000000000002900000018000000000000000000000000000000000000002a0000001900000050000000a0000000f00000004c040000000000002000cc002a00000019000000280000002a0000001900000001000800000000000000000000000000000000001e0000000000000000000000ffffff0074bfff0074000000ffffbf000074bf00bf740000bfffff0000007400489cdf0048000000ffdf9c00ffbf74009cdfff0074004800dfffff0000489c00df9c480048004800489c9c009c480000ffffdf000000480048489c007474bf0074489c0000747400bfffbf0048007400487474000101010101010101010101010101010101010101010101010101010101010101010101010101010101010101010101010101010101010101010101010101010101010101010101010101010101010101010101010101010101010101010101010101010101010101010101010101010101010101010101010101010101010101010101010101010101010101010101010101010101010101010101010101010200060101020003040102000006010101100000000000000000000003040101010101010101010101010101011804010101050c010d160c01021101010d1600000000000000000003040101010101010101010101010101011804090601050c01021415010101010101090a0b010101010101090a0b010101010101010101010101010101181b1c1d0c050c010214150101010101010105141501010101010d120b0101010708110101010900000c01011813060f191a0c0107080c01050c0101010107081101010101010f170b0101010f1014150101051415050c02000304010d160304010d1600000c01010101010d160c0101010101010101010101090304010105141501010101010101010101010101010101010a0b0101010109030401010101010101010101020a0b0101020a0b01010101010101010101010101010101010101010101010105141501010101010101010107080c01010d160c0101010101010101010101010101010101010101010101010708110101010101010101010f101415010f10060101010101010101010101010101010101010101010101010500141501010101010101010105001101010514150101010101010101010101010101010101010101010102000a0b01010101010101010101020313110f1014150101010101010101010101010101010101010101010708001101010101010101010101010d120b09000011010101010101010101010101010101010101010101010500060101010101010101010101010f10110101010101010101010101010101010101010101010101010102000304010101010d0e0401010101010105060101010101010101010101010101010101010101010101010708000c01010101010903040101010101010903040101010101010101010101010101010101010101010101050006010101010107080304010101010109000a0b010101010101010101010101010101010101010101010200000000000000000000030401010101010101010101010101010101010101010101010101010101010101010101010101010101010101010101010101010101010101010101010101010101010101010101010101ffff010101010101010101010101010101010101010101010101010101010101010101010101010101010101ffff010101010101010101010101010101010101010101010101010101010101010101010101010101010101ffff010101010101010101010101010101010101010101010101010101010101010101010101010101010101ffff4c000000640000000000000000000000290000001800000000000000000000002a000000190000002900aa0000000000000000000000803f00000000000000000000803f0000000000000000000000000000000000000000000000000000000000000000220000000c000000ffffffff460000001c00000010000000454d462b024000000c000000000000000e000000140000000000000010000000140000000400000003010800050000000b0200000000050000000c0219002a00030000001e000400000007010400040000000701040083020000410b2000cc0019002a000000000019002a0000000000280000002a0000001900000001000800000000000000000000000000000000001e0000000000000000000000ffffff0074bfff0074000000ffffbf000074bf00bf740000bfffff0000007400489cdf0048000000ffdf9c00ffbf74009cdfff0074004800dfffff0000489c00df9c480048004800489c9c009c480000ffffdf000000480048489c007474bf0074489c0000747400bfffbf0048007400487474000101010101010101010101010101010101010101010101010101010101010101010101010101010101010101010101010101010101010101010101010101010101010101010101010101010101010101010101010101010101010101010101010101010101010101010101010101010101010101010101010101010101010101010101010101010101010101010101010101010101010101010101010101010200060101020003040102000006010101100000000000000000000003040101010101010101010101010101011804010101050c010d160c01021101010d1600000000000000000003040101010101010101010101010101011804090601050c01021415010101010101090a0b010101010101090a0b010101010101010101010101010101181b1c1d0c050c010214150101010101010105141501010101010d120b0101010708110101010900000c01011813060f191a0c0107080c01050c0101010107081101010101010f170b0101010f1014150101051415050c02000304010d160304010d1600000c01010101010d160c0101010101010101010101090304010105141501010101010101010101010101010101010a0b0101010109030401010101010101010101020a0b0101020a0b01010101010101010101010101010101010101010101010105141501010101010101010107080c01010d160c0101010101010101010101010101010101010101010101010708110101010101010101010f101415010f10060101010101010101010101010101010101010101010101010500141501010101010101010105001101010514150101010101010101010101010101010101010101010102000a0b01010101010101010101020313110f1014150101010101010101010101010101010101010101010708001101010101010101010101010d120b09000011010101010101010101010101010101010101010101010500060101010101010101010101010f10110101010101010101010101010101010101010101010101010102000304010101010d0e0401010101010105060101010101010101010101010101010101010101010101010708000c01010101010903040101010101010903040101010101010101010101010101010101010101010101050006010101010107080304010101010109000a0b010101010101010101010101010101010101010101010200000000000000000000030401010101010101010101010101010101010101010101010101010101010101010101010101010101010101010101010101010101010101010101010101010101010101010101010101ffff010101010101010101010101010101010101010101010101010101010101010101010101010101010101ffff010101010101010101010101010101010101010101010101010101010101010101010101010101010101ffff010101010101010101010101010101010101010101010101010101010101010101010101010101010101ffff0c00000040092900aa0000000000000019002a0000000000040000002701ffff030000000000>
в местных сопротивлениях можно принять
равными 20% от суммарных потерь напора
>>>
>
на трение:

тогда общие гидравлические потери по всей сети составляет:

Подбор насоса.
Насос подобрать по величине суммарной
подачи >0100090000033a0400000000f60200000000f602000026060f00e205574d4643010000000000010000830000000001000000c005000000000000c0050000010000006c00000000000000000000000c000000180000000000000000000000530100008e02000020454d4600000100c00500000c00000001000000000000000000000000000000900600001a040000b801000013010000000000000000000000000000c0b6060038320400460000002c00000020000000454d462b014001001c000000100000000210c0db0100000060000000600000004600000008020000fc010000454d462b224004000c000000000000001e4009000c00000000000000244001000c000000000000003040020010000000040000000000803f214007000c000000000000000840000554010000480100000210c0db01000000000000000000000000000000000000000100000089504e470d0a1a0a0000000d494844520000000d00000019080200000065ce33a6000000017352474200aece1ce9000000097048597300000ec400000ec401952b0e1b000000d049444154384f63fcffff3f03118089083520258345dd83b99e8c08507a00ee7ca07f61e0fe1c0fa0b0c79cfb100108b7643f98c380431158787f095c214c1d58086e145433d8448820245c1eccedec015a519eac802b38c1ea1eec5db303a8ccdb014dd5831b40610800a9c3a9ecee15a0ac8e32d8129873d1dd86e65f78bc41b5216c46b50567fc1e989ab203e8d76c989b61018a6a2f389860610c0f67949087062fb222a4f8802885024c3f21e20d334a91621e297ea1a248f107b4029a0890d3015c37c40b4080623be320cf4700abf5498d978d840f0000000049454e44ae426082000840010824000000180000000210c0db01000000030000000000000000000000000000001b40000040000000340000000100000002000000000000bf000000bf000050410000c84103000000000080b3000080b3ffff4f41000080b3000080b3ffffc7412100000008000000620000000c00000001000000150000000c00000004000000150000000c00000004000000510000005402000000000000000000000c00000018000000000000000000000000000000000000000d000000190000005000000074000000c400000090010000000000002000cc000d00000019000000280000000d000000190000000100080000000000000000000000000000000000130000000000000000000000ffffff00489cdf0074000000ffffbf00dfffff0000489c0048000000ffdf9c0074bfff00ffbf7400df9c48009cdfff0000004800bf7400000074bf0074489c00bfffff0000007400010101010101010101010101010101010101010101010101010101010101010101010101010101010101010101010101010101010101010101010101010101010101010101111200070801010101010101010101010f07080510040101010101010101010c0d0e01010101010101010101010c0d000007080101010101010101010c0d0e010109000e010101010101010102070801010109000e010101010101010f0304010101010f07080101010101010f0304010101010c0d0e0101010101010f07080101010105060304010101010102000a010101010102000a01010101010c0d0e010101010109000b010101010105060304010101010c0d0b01011601010109000b010101010c0d0b0101150101010506070801010109000a01010e01010101050607080105060304010106010101010101020000000304010108000601010101010101010101010101010101010101010101010101010101010101010101010101010101010101010101010101010101010101010101010101010101010101010101010101010101010101014c0000006400000000000000000000000c0000001800000000000000000000000d000000190000002900aa0000000000000000000000803f00000000000000000000803f0000000000000000000000000000000000000000000000000000000000000000220000000c000000ffffffff460000001c00000010000000454d462b024000000c000000000000000e000000140000000000000010000000140000000400000003010800050000000b0200000000050000000c0219000d00030000001e00040000000701040004000000070104000f010000410b2000cc0019000d000000000019000d0000000000280000000d000000190000000100080000000000000000000000000000000000130000000000000000000000ffffff00489cdf0074000000ffffbf00dfffff0000489c0048000000ffdf9c0074bfff00ffbf7400df9c48009cdfff0000004800bf7400000074bf0074489c00bfffff0000007400010101010101010101010101010101010101010101010101010101010101010101010101010101010101010101010101010101010101010101010101010101010101010101111200070801010101010101010101010f07080510040101010101010101010c0d0e01010101010101010101010c0d000007080101010101010101010c0d0e010109000e010101010101010102070801010109000e010101010101010f0304010101010f07080101010101010f0304010101010c0d0e0101010101010f07080101010105060304010101010102000a010101010102000a01010101010c0d0e010101010109000b010101010105060304010101010c0d0b01011601010109000b010101010c0d0b0101150101010506070801010109000a01010e01010101050607080105060304010106010101010101020000000304010108000601010101010101010101010101010101010101010101010101010101010101010101010101010101010101010101010101010101010101010101010101010101010101010101010101010101010101010c00000040092900aa0000000000000019000d0000000000040000002701ffff030000000000>
и полного напора >>>
>:

где >>>
>
- число водоразборных кранов.

где >>>
>
- геометрическая высота подъема воды
от уровня >0100090000039a04000000002003000000002003000026060f003606574d46430100000000000100b9100000000001000000140600000000000014060000010000006c000000000000000000000012000000180000000000000000000000f10100008e02000020454d4600000100140600000c00000001000000000000000000000000000000900600001a040000b801000013010000000000000000000000000000c0b6060038320400460000002c00000020000000454d462b014001001c000000100000000210c0db01000000600000006000000046000000f0010000e4010000454d462b224004000c000000000000001e4009000c00000000000000244001000c000000000000003040020010000000040000000000803f214007000c00000000000000084000053c010000300100000210c0db01000000000000000000000000000000000000000100000089504e470d0a1a0a0000000d49484452000000130000001908020000005ca982fd000000017352474200aece1ce9000000097048597300000ec400000ec401952b0e1b000000b949444154384fd594d11985200885f54e57fb344ecdd228b50981029f06a9b7b77c4af2f7c0118d00105e8ddf2b8aa06f92e736476fccdbf9e4047a4b635f4298d6836700c73a215146f4177f04052db7ecf7d5e59cc96a49d66b73d805665bcabbcf593271adf254a9d61ce72acdb1f2ace69f9c6a1a5b30d03137d569caa3047a3621e972722e3999a49febd1030b3c35cda9b9167913ab71af87eae66055d95ac9a19b2dab25dfb4cb10e9dfb3d67510db5d87e2a7debe0b92949bd7fa4b59770000000049454e44ae4260820840010824000000180000000210c0db01000000030000000000000000000000000000001b40000040000000340000000100000002000000000000bf000000bf000098410000c84103000000000000b3000000b3ffff9741000000b3000000b3ffffc7412100000008000000620000000c00000001000000150000000c00000004000000150000000c0000000400000051000000c002000000000000000000001200000018000000000000000000000000000000000000001300000019000000500000007c000000cc000000f4010000000000002000cc0013000000190000002800000013000000190000000100080000000000000000000000000000000000150000000000000000000000ffffff009cdfff00000048009c480000ffffdf0074bfff0048000000ffdf9c00dfffff0000489c000074bf00df9c4800489cdf00ffbf7400bf740000bfffff000000740074000000ffffbf007400740001010101010101010101010101010101010101010101010101010101010101010101010101010101010101010101010101010101010101010101010101010101010101010101060012130d001213010101010101010101010101010b0e01090a0e01010c01010101010101010101010b0e01090a0e01010101010101010101010101010b000000000e0101010a000000000000000e01010b0e01090a0e01010110110405010102030f01060012130d00121301010106000c0101010d04050101010101010101010101010b000e0101101413010101010101010101010101090a1213010101010101010101010101010101010102030f01010101010101010101010101010101010106000c0101010101010101010101010101010101010b0708010101010101010101010101010101010110111213010101010101010101010101010101010102030f010101010101010101010101010b0c0101010d000e0101010101010101010101010607080101090a07080101010101010101010101020300000000000004050101010101010101010101010101010101010101010101010101010101010101010101010101010101010101010101010101010101010101010101010101010101010101010101010101010101010101010101010101010101010101010101010101010101010101010101014c0000006400000000000000000000001200000018000000000000000000000013000000190000002900aa0000000000000000000000803f00000000000000000000803f0000000000000000000000000000000000000000000000000000000000000000220000000c000000ffffffff460000001c00000010000000454d462b024000000c000000000000000e000000140000000000000010000000140000000400000003010800050000000b0200000000050000000c0219001300030000001e000400000007010400040000000701040045010000410b2000cc00190013000000000019001300000000002800000013000000190000000100080000000000000000000000000000000000150000000000000000000000ffffff009cdfff00000048009c480000ffffdf0074bfff0048000000ffdf9c00dfffff0000489c000074bf00df9c4800489cdf00ffbf7400bf740000bfffff000000740074000000ffffbf007400740001010101010101010101010101010101010101010101010101010101010101010101010101010101010101010101010101010101010101010101010101010101010101010101060012130d001213010101010101010101010101010b0e01090a0e01010c01010101010101010101010b0e01090a0e01010101010101010101010101010b000000000e0101010a000000000000000e01010b0e01090a0e01010110110405010102030f01060012130d00121301010106000c0101010d04050101010101010101010101010b000e0101101413010101010101010101010101090a1213010101010101010101010101010101010102030f01010101010101010101010101010101010106000c0101010101010101010101010101010101010b0708010101010101010101010101010101010110111213010101010101010101010101010101010102030f010101010101010101010101010b0c0101010d000e0101010101010101010101010607080101090a07080101010101010101010101020300000000000004050101010101010101010101010101010101010101010101010101010101010101010101010101010101010101010101010101010101010101010101010101010101010101010101010101010101010101010101010101010101010101010101010101010101010101010101010c00000040092900aa000000000000001900130000000000040000002701ffff030000000000>
оси насоса до уровня наивысшей точки
водоразбора >010009000003a804000000002c03000000002c03000026060f004e06574d46430100000000000100671a00000000010000002c060000000000002c060000010000006c000000000000000000000011000000180000000000000000000000d60100008e02000020454d46000001002c0600000c00000001000000000000000000000000000000900600001a040000b801000013010000000000000000000000000000c0b6060038320400460000002c00000020000000454d462b014001001c000000100000000210c0db0100000060000000600000004600000004020000f8010000454d462b224004000c000000000000001e4009000c00000000000000244001000c000000000000003040020010000000040000000000803f214007000c000000000000000840000550010000440100000210c0db01000000000000000000000000000000000000000100000089504e470d0a1a0a0000000d4948445200000012000000190802000000b36be9c3000000017352474200aece1ce9000000097048597300000ec400000ec401952b0e1b000000ca49444154384fd5944d1283200c85434fe2b247c1e975ec6df4185ddb43b8ede84d52c24f2003222ccd0a84cfbc97000a11a13f1efd0811b7c28e6554a51897a3e8de5492629d00f4bcfb19e23e6bb33dfdc24b3400a672685ac5d674e231b1ee325520ce966024f702ca310b9d5ae2bf4b918d90c8d66029cfd603a50d907530726ba5b4de324b94ba5a178315a1d002d70e8ea0006c6b0bc112a35c330a124aa7441ea9982f31db744dfdfed747a9f7d72a6bc2bc87e1a961fbb98b747ac8e3858aceb9baea0e2fd71fa0027832af087db00000000049454e44ae4260820000000840010824000000180000000210c0db01000000030000000000000000000000000000001b40000040000000340000000100000002000000000000bf000000bf000090410000c84103000000000080b3000080b3ffff8f41000080b3000080b3ffffc7412100000008000000620000000c00000001000000150000000c00000004000000150000000c0000000400000051000000c4020000000000000000000011000000180000000000000000000000000000000000000012000000190000005000000080000000d0000000f4010000000000002000cc0012000000190000002800000012000000190000000100080000000000000000000000000000000000160000000000000000000000ffffff009cdfff00000048009c480000ffffdf0074bfff0048000000ffdf9c00dfffff0000489c000074bf00df9c4800489cdf00ffbf7400bf740000bfffff000000740074000000ffffbf0074007400480048000101010101010101010101010101010101010101010101010101010101010101010101010101010101010101010101010101010101010101010101010101010101010101010106000000000c0101010101010101010101010101010b0e0102150801010c01010101010101010101010b0e0106121301010101010101010101010101010b00000f01010101010a000000000000000e01010b0e0106040501010110110405010102030f0106000000000f010101010106000c0101010d04050101010101010101010101010b000e0101101413010101010101010101010101090a1213010101010101010101010101010101010102030f01010101010101010101010101010101010106000c0101010101010101010101010101010101010b0708010101010101010101010101010101010110111213010101010101010101010101010101010102030f010101010101010101010101010b0c0101010d000e0101010101010101010101010607080101090a07080101010101010101010101020300000000000004050101010101010101010101010101010101010101010101010101010101010101010101010101010101010101010101010101010101010101010101010101010101010101010101010101010101010101010101010101010101010101010101010101010101010101010101014c0000006400000000000000000000001100000018000000000000000000000012000000190000002900aa0000000000000000000000803f00000000000000000000803f0000000000000000000000000000000000000000000000000000000000000000220000000c000000ffffffff460000001c00000010000000454d462b024000000c000000000000000e000000140000000000000010000000140000000400000003010800050000000b0200000000050000000c0219001200030000001e000400000007010400040000000701040047010000410b2000cc00190012000000000019001200000000002800000012000000190000000100080000000000000000000000000000000000160000000000000000000000ffffff009cdfff00000048009c480000ffffdf0074bfff0048000000ffdf9c00dfffff0000489c000074bf00df9c4800489cdf00ffbf7400bf740000bfffff000000740074000000ffffbf0074007400480048000101010101010101010101010101010101010101010101010101010101010101010101010101010101010101010101010101010101010101010101010101010101010101010106000000000c0101010101010101010101010101010b0e0102150801010c01010101010101010101010b0e0106121301010101010101010101010101010b00000f01010101010a000000000000000e01010b0e0106040501010110110405010102030f0106000000000f010101010106000c0101010d04050101010101010101010101010b000e0101101413010101010101010101010101090a1213010101010101010101010101010101010102030f01010101010101010101010101010101010106000c0101010101010101010101010101010101010b0708010101010101010101010101010101010110111213010101010101010101010101010101010102030f010101010101010101010101010b0c0101010d000e0101010101010101010101010607080101090a07080101010101010101010101020300000000000004050101010101010101010101010101010101010101010101010101010101010101010101010101010101010101010101010101010101010101010101010101010101010101010101010101010101010101010101010101010101010101010101010101010101010101010101010c00000040092900aa000000000000001900120000000000040000002701ffff030000000000>.
Геометрическая высота подъема будет ровна:

где >>>
>
- сумма гидравлических потерь на трение
и местные сопротивления на всей линии
от точки 1 до точки >010009000003ba0300000000a60200000000a602000026060f004205574d464301000000000001005df70000000001000000200500000000000020050000010000006c00000000000000000000000a0000001800000000000000000000001f0100008e02000020454d4600000100200500000c00000001000000000000000000000000000000900600001a040000b801000013010000000000000000000000000000c0b6060038320400460000002c00000020000000454d462b014001001c000000100000000210c0db01000000600000006000000046000000c8010000bc010000454d462b224004000c000000000000001e4009000c00000000000000244001000c000000000000003040020010000000040000000000803f214007000c000000000000000840000514010000080100000210c0db01000000000000000000000000000000000000000100000089504e470d0a1a0a0000000d494844520000000b00000019080200000068d043e1000000017352474200aece1ce9000000097048597300000ec400000ec401952b0e1b0000009149444154384f63fcffff3f035ec0845f1a283bf2541c28650483d203a0c081f13ce73e8084d51c0f8692fdffffef2f6160f098b31fca0373c1e2c010071140001602aab98fe04239d0307d70f70a487e7ab202d86030574719c201ebb90f341d61002a17a202e20aa80d685cb02d07b6f6200c45e78254401ca101b1150ac05ca0c78121806907cc6350ef328ea8340600b24f8d794b0564750000000049454e44ae4260820840010824000000180000000210c0db01000000030000000000000000000000000000001b40000040000000340000000100000002000000000000bf000000bf000030410000c84103000000000000b3000000b3ffff2f41000000b3000000b3ffffc7412100000008000000620000000c00000001000000150000000c00000004000000150000000c0000000400000051000000f401000000000000000000000a00000018000000000000000000000000000000000000000b000000190000005000000078000000c80000002c010000000000002000cc000b00000019000000280000000b000000190000000100080000000000000000000000000000000000140000000000000000000000ffffff000074bf0074000000ffffbf00bfffff00000074009c480000ffffdf0000489c00ffbf740074bfff00480000009cbf9c0074004800ffdf9c00489cdf00dfffff00df9c4800bf7400000101010101010101010101ff0101010101010101010101ff0101010101010101010101ff0101010101010101010101ff0101010101010101010101ff0101010101010101010101ff0101010101010101010101ff0102070801010506001301ff01100c0f01010b0c0f0b13ff010b000a01010b000a0101ff0105061201010506120101ff0111090708011109070801ff0101100c0f010110030401ff01010b000708010b0c0f01ff090a0b0c0d0e040b000a01ff0102000304050600070801ff0101010101010101010101ff0101010101010101010101ff0101010101010101010101ff0101010101010101010101ff0101010101010101010101ff0101010101010101010101ff0101010101010101010101ff0101010101010101010101ff0101010101010101010101ff4c0000006400000000000000000000000a0000001800000000000000000000000b000000190000002900aa0000000000000000000000803f00000000000000000000803f0000000000000000000000000000000000000000000000000000000000000000220000000c000000ffffffff460000001c00000010000000454d462b024000000c000000000000000e000000140000000000000010000000140000000400000003010800050000000b0200000000050000000c0219000b00030000001e0004000000070104000400000007010400df000000410b2000cc0019000b000000000019000b0000000000280000000b000000190000000100080000000000000000000000000000000000140000000000000000000000ffffff000074bf0074000000ffffbf00bfffff00000074009c480000ffffdf0000489c00ffbf740074bfff00480000009cbf9c0074004800ffdf9c00489cdf00dfffff00df9c4800bf7400000101010101010101010101ff0101010101010101010101ff0101010101010101010101ff0101010101010101010101ff0101010101010101010101ff0101010101010101010101ff0101010101010101010101ff0102070801010506001301ff01100c0f01010b0c0f0b13ff010b000a01010b000a0101ff0105061201010506120101ff0111090708011109070801ff0101100c0f010110030401ff01010b000708010b0c0f01ff090a0b0c0d0e040b000a01ff0102000304050600070801ff0101010101010101010101ff0101010101010101010101ff0101010101010101010101ff0101010101010101010101ff0101010101010101010101ff0101010101010101010101ff0101010101010101010101ff0101010101010101010101ff0101010101010101010101ff0c00000040092900aa0000000000000019000b0000000000040000002701ffff030000000000>;
>>>
>
- величина остаточного напора у
водоразборного крана;
>>>
>
- величина, свободного напора в наружной
магистрали.
Исходные данные:
Расход воды на один водопроводный кран >0100090000032a1100000000fc0900000000fc09000026060f00ee13574d46430100000000000100ba6b0000000001000000cc13000000000000cc130000010000006c0000000000000000000000840000001800000000000000000000009a0d00008e02000020454d4600000100cc1300000c00000001000000000000000000000000000000900600001a040000b801000013010000000000000000000000000000c0b6060038320400460000002c00000020000000454d462b014001001c000000100000000210c0db010000006000000060000000460000004004000034040000454d462b224004000c000000000000001e4009000c00000000000000244001000c000000000000003040020010000000040000000000803f214007000c00000000000000084000058c030000800300000210c0db01000000000000000000000000000000000000000100000089504e470d0a1a0a0000000d4948445200000085000000190802000000901c7a53000000017352474200aece1ce9000000097048597300000ec400000ec401952b0e1b00000308494441546843ed593d52eb301056de49ccd05070883034615ecb0d9226436b0f677893b474e406b40c6e18fb1014340cbe89df6a2dcbb2ac5fcbd82663558e2dad76f7dbfd76a5accab224cb988d07fecc46934511ea81058f79c5c182878c4771ba5bd5e3ee548c0cd78287e4f0e2fd853c7f43552dcb2c4e77fba11141b8935c0b33ee3cfec8624236ccee90dd4d72be9f37dcec38f3df85ae1f424771679bddc45fcdc0158d97c26cb5c8a1861386023ed73f5cd5a7f2fba068944f35310a1d170f1e1de8a1fe7858e52058827c69bf0a20797047f1cf03e3e19070e3e2c16327100f9b1c198eb24a264ff7e222cf35a6ecb071155d2bd473a1b180be224f4c5567e4aec377bbe23325e4fa32e2eba2cb6b78fef8b2b74b60b76b570553d9c01582ff54f5ba38fd3b92f871db28c5b46bc480b43a3f5a01db8b6f5d7999b52e417c65c90f4536b82788d8055819550a7943da6bb84a2c73d0d055e74140f606b0cbde1878d11565dfab0e922a4079af2e3eb846983eeeaba031f485be29e33c3fdabe71b86b87b82e46c78979c917e64fbb74737f2bb9344fd0ef8775356f7d40be82963b85e2f7c0de32194ab1f5324b32f8dad1b1b7f8faa0ef8eafb9ab2ba69b97bebcdb6850c35568653bee018f0a0e013b7c11ff6dc333aebd15dff75582adeea8ac4ff9bed6ad0fc031e9ee8291c3c50eea5677508776e29d26825ce6f0fe4a7e5be1a3652b425a05e887f80a5217469dc8beee42de68556f85e9be42d5f32b45d9106b4f335dcd55f5f77693d1b92f294e7b0ab29ead90e67e9aaf027d850922f248fe7aec9d6d81ba68fb2a42306cd24f91ed000f3198f2644feee9197252b60af400ad8c0f7076e0b74fe8121561846fd4968059d80e781d57d185d1f6117c7dbce16d4b9e60bfdba4199c7e5c4e2db6fcd07e5726748f23978b9cd0eb2b5f2385fd1a8becde14ef0ae2ac733e1ffa50ea6bd559cdf777a65c3f66d05b0d4d22d3c933719546ab0e1ec080c3b785d3b964c29db133525d9098745a013f08dfa195851323dea2f5ed3527f4c0196c2de1710616fd6e1396ff6be785df82c7bcf0f80f7f41dba1782b6ba30000000049454e44ae426082000840010824000000180000000210c0db01000000030000000000000000000000000000001b40000040000000340000000100000002000000000000bf000000bf000005430000c84103000000000080b3000080b3ffff0443000080b3000080b3ffffc7412100000008000000620000000c00000001000000150000000c00000004000000150000000c0000000400000051000000280e0000000000000000000084000000180000000000000000000000000000000000000085000000190000005000000090000000e0000000480d0000000000002000cc00850000001900000028000000850000001900000001000800000000000000000000000000000000001a0000000000000000000000ffffff00489cdf00df9c4800dfffff0048489c00ffdf9c0074bfff004800000000489c00bf740000bfffff0000007400ffbf74009cdfff00480048000074bf0074000000ffffbf00000048009c480000ffffdf00480074009c48740000749c00bfffbf0001010101010101010101010101010101010101010101010101010101010101010101010101010101010101010101010101010101010101010101010101010101010101010101010101010101010101010101010101010101010101010101010101010101010101010101010101010101010101010101010101010101010101010101010101ffffff01010101010101010101010101010101010101010101010101010101010101010101010101010101010101010101010101010101010101010101010101010101010101010101010101010101010101010101010101010101010101010101010101010101010101010101010101010101010101010101010101010101010101010101010101ffffff01010101010101010101010101010101010101010101010101010101010101010101010101010101010101010101010101010101010101010101010101010101010101010101010101010101010101010101010101010101010101010101010101010101010101010101010101010101010101010101010101010101010101010101010101ffffff010101010b0c000a0101010101010101010101010101010101010101010101010101010101010101010101010101010101010101010101010101010101010101010101010101010101010101010101010101010101010101010101010101010101010101010101010101010101010101010101010101010101010101010101010101010101ffffff010101010110141501010101010101010101010101010101010101010101010101010101010101010101010101010101010101010101010101010101010101010101010101010101010101010101010101010101010101010101010101010101010101010101010101010101010101010101010e130d010101010101010101010101010101ffffff01010101010211120101010101010101010101010101010101010101010101010101010101010101010101010101010101010101010101010101010101010101010101010101010101010101010101010101010101010101010101010101010101010101010101010101010101010101010101010214150101010101010101010101010101ffffff01010101010e130d0101010101010101010101010101010101010101010101010101010101010101010101010101010101010101010101010101010101010101010101010101010101010101010101010101010101010101010101010101010101010101010101010101010101010101010101010e130d0101010101010101010101010101ffffff010e130011190c03010101010101010101010101010101010101010101010101010101010409000000000011120101010101010101010101010101010409000000000011120101010409000011120101010101010101010101010101010101010101010101010101010101010101020000111201011014150101010101010101070000000affffff040914150b17180a010101010101010101010101010101010101010101010101010101010101010700030101010101010101010101010101010101010101010700030101010101040908060102080601010101010101010101010101010101010101010101010101010101010101011008060101010e0f060101010101010107000a010107ffffff0b0c0a01010e131112010101010101010101010101010101010101010101010101010101010101070003010101010101010101010101010101010101010101070003010101010107000301010b0c0a010101010101010101010101010101010101010101010101010101010101010102111201010104090a01010101010104091112010101ffffff0b0c0a0101010208060101010101010101100000000000000000000014150101010101010101010700030101010101010101010101010101010101010101010700030101010101020806010101101112010101010101010101010101010101010101010101010101010101010101010211120101010107080601010101010b0c1415010101ffffff0409141501010e130d010101010101010101010101010101010101010101010101010101010101070003010101010101010107000a01010101010101010101070003010101010110111201010102080601010101010101010101010101010101010101010101010101010b0c0000000011120101010104090301010101010b0c0a01010101ffffff01020806010104090a010101010101010101010101010101010101010101010101010101010101070003010101010101010102001112010101010101010101070003010101010409111201010102000d01010101010101010101010101010101010101010101010101011008060101021112010101010102111201010101040914150101010000ff010e130a0101040914150101010101010110000000000000000000001415010101010101010101070003010101010101010107000a01010101010101010101070003010101010409111201010102000d0101010101010101010101010101010101010101010101010101101415010102111201010101010b0c030101010101101112010101ffffff0101070003010b0c11120101010101010101010101010101010101010101010101010101010101070003010101010101010101010101010101010101010101070003010101010409111201010102000d01010101010101010101010200000003010101010101010101011014150101100806010101010101021415010101010b0c0a0101100048ff0101010e13000003100d01010101010101010101010101010101010101010101010101010101010700030101010101010101010101010101010101010101010700030101010101101112010101100806010101010101010101010b1606010e130d01010101010101011000001415020000111201010101010e130d01010101010b0c0000000000ff010101010101010101010101010101010101010101010101010101010101010101010101010101070003010101010101010101010101010101010101010101070003010101010102080601010409111201010101010101010101010101010e130d0101010101010101010101010101010101010101010101011014150101010101010101014800ff01010101010101010101010101010101010101010101010101010101010101010101010107080607000301010101010101010101010101010101010107080607000301010101010e130301010b0c1415010b0c0000000000000d01011000000d010101010101010101010101010101010101010101010101010e0f06010101010101010101ffffff0101010101010101010101010101010101010101010101010101010101010101010101010104090000030101010101010101010101010101010101010104090000030101010101011011120110000d010101010101010101010101010104090d0101010101010101010101010101010101010101010101010101100a010101010101010101ffffff0101010101010101010101010101010101010101010101010101010101010101010101010101010b0c030101010101010101010101010101010101010101010b0c0301010101010101020000000d010101010101010101010101010101010e0f060101010101010101010101010101010101010101010101010107080601010101010101017400ff010101010101010101010101010101010101010101010101010101010101010101010101010101010101010101010101010101010101010101010101010101010101010101010101010101010101010101010101010101010101040506010708060101010101010101010101010101010101010101010101010104090a0101010101010101ffffff01010101010101010101010101010101010101010101010101010101010101010101010101010101010101010101010101010101010101010101010101010101010101010101010101010101010101010101010101010101010101020000000301010101010101010101010101010101010101010101010101010101010101010101010101ffffff0101010101010101010101010101010101010101010101010101010101010101010101010101010101010101010101010101010101010101010101010101010101010101010101010101010101010101010101010101010101010101010101010101010101010101010101010101010101010101010101010101010101010101010101010100000001010101010101010101010101010101010101010101010101010101010101010101010101010101010101010101010101010101010101010101010101010101010101010101010101010101010101010101010101010101010101010101010101010101010101010101010101010101010101010101010101010101010101010101010101000000010101010101010101010101010101010101010101010101010101010101010101010101010101010101010101010101010101010101010101010101010101010101010101010101010101010101010101010101010101010101010101010101010101010101010101010101010101010101010101010101010101010101010101010101010000004c0000006400000000000000000000008400000018000000000000000000000085000000190000002900aa0000000000000000000000803f00000000000000000000803f0000000000000000000000000000000000000000000000000000000000000000220000000c000000ffffffff460000001c00000010000000454d462b024000000c000000000000000e000000140000000000000010000000140000000400000003010800050000000b0200000000050000000c0219008500030000001e0004000000070104000400000007010400f9060000410b2000cc001900850000000000190085000000000028000000850000001900000001000800000000000000000000000000000000001a0000000000000000000000ffffff00489cdf00df9c4800dfffff0048489c00ffdf9c0074bfff004800000000489c00bf740000bfffff0000007400ffbf74009cdfff00480048000074bf0074000000ffffbf00000048009c480000ffffdf00480074009c48740000749c00bfffbf0001010101010101010101010101010101010101010101010101010101010101010101010101010101010101010101010101010101010101010101010101010101010101010101010101010101010101010101010101010101010101010101010101010101010101010101010101010101010101010101010101010101010101010101010101ffffff01010101010101010101010101010101010101010101010101010101010101010101010101010101010101010101010101010101010101010101010101010101010101010101010101010101010101010101010101010101010101010101010101010101010101010101010101010101010101010101010101010101010101010101010101ffffff01010101010101010101010101010101010101010101010101010101010101010101010101010101010101010101010101010101010101010101010101010101010101010101010101010101010101010101010101010101010101010101010101010101010101010101010101010101010101010101010101010101010101010101010101ffffff010101010b0c000a0101010101010101010101010101010101010101010101010101010101010101010101010101010101010101010101010101010101010101010101010101010101010101010101010101010101010101010101010101010101010101010101010101010101010101010101010101010101010101010101010101010101ffffff010101010110141501010101010101010101010101010101010101010101010101010101010101010101010101010101010101010101010101010101010101010101010101010101010101010101010101010101010101010101010101010101010101010101010101010101010101010101010e130d010101010101010101010101010101ffffff01010101010211120101010101010101010101010101010101010101010101010101010101010101010101010101010101010101010101010101010101010101010101010101010101010101010101010101010101010101010101010101010101010101010101010101010101010101010101010214150101010101010101010101010101ffffff01010101010e130d0101010101010101010101010101010101010101010101010101010101010101010101010101010101010101010101010101010101010101010101010101010101010101010101010101010101010101010101010101010101010101010101010101010101010101010101010e130d0101010101010101010101010101ffffff010e130011190c03010101010101010101010101010101010101010101010101010101010409000000000011120101010101010101010101010101010409000000000011120101010409000011120101010101010101010101010101010101010101010101010101010101010101020000111201011014150101010101010101070000000affffff040914150b17180a010101010101010101010101010101010101010101010101010101010101010700030101010101010101010101010101010101010101010700030101010101040908060102080601010101010101010101010101010101010101010101010101010101010101011008060101010e0f060101010101010107000a010107ffffff0b0c0a01010e131112010101010101010101010101010101010101010101010101010101010101070003010101010101010101010101010101010101010101070003010101010107000301010b0c0a010101010101010101010101010101010101010101010101010101010101010102111201010104090a01010101010104091112010101ffffff0b0c0a0101010208060101010101010101100000000000000000000014150101010101010101010700030101010101010101010101010101010101010101010700030101010101020806010101101112010101010101010101010101010101010101010101010101010101010101010211120101010107080601010101010b0c1415010101ffffff0409141501010e130d010101010101010101010101010101010101010101010101010101010101070003010101010101010107000a01010101010101010101070003010101010110111201010102080601010101010101010101010101010101010101010101010101010b0c0000000011120101010104090301010101010b0c0a01010101ffffff01020806010104090a010101010101010101010101010101010101010101010101010101010101070003010101010101010102001112010101010101010101070003010101010409111201010102000d01010101010101010101010101010101010101010101010101011008060101021112010101010102111201010101040914150101010000ff010e130a0101040914150101010101010110000000000000000000001415010101010101010101070003010101010101010107000a01010101010101010101070003010101010409111201010102000d0101010101010101010101010101010101010101010101010101101415010102111201010101010b0c030101010101101112010101ffffff0101070003010b0c11120101010101010101010101010101010101010101010101010101010101070003010101010101010101010101010101010101010101070003010101010409111201010102000d01010101010101010101010200000003010101010101010101011014150101100806010101010101021415010101010b0c0a0101100048ff0101010e13000003100d01010101010101010101010101010101010101010101010101010101010700030101010101010101010101010101010101010101010700030101010101101112010101100806010101010101010101010b1606010e130d01010101010101011000001415020000111201010101010e130d01010101010b0c0000000000ff010101010101010101010101010101010101010101010101010101010101010101010101010101070003010101010101010101010101010101010101010101070003010101010102080601010409111201010101010101010101010101010e130d0101010101010101010101010101010101010101010101011014150101010101010101014800ff01010101010101010101010101010101010101010101010101010101010101010101010107080607000301010101010101010101010101010101010107080607000301010101010e130301010b0c1415010b0c0000000000000d01011000000d010101010101010101010101010101010101010101010101010e0f06010101010101010101ffffff0101010101010101010101010101010101010101010101010101010101010101010101010104090000030101010101010101010101010101010101010104090000030101010101011011120110000d010101010101010101010101010104090d0101010101010101010101010101010101010101010101010101100a010101010101010101ffffff0101010101010101010101010101010101010101010101010101010101010101010101010101010b0c030101010101010101010101010101010101010101010b0c0301010101010101020000000d010101010101010101010101010101010e0f060101010101010101010101010101010101010101010101010107080601010101010101017400ff010101010101010101010101010101010101010101010101010101010101010101010101010101010101010101010101010101010101010101010101010101010101010101010101010101010101010101010101010101010101040506010708060101010101010101010101010101010101010101010101010104090a0101010101010101ffffff01010101010101010101010101010101010101010101010101010101010101010101010101010101010101010101010101010101010101010101010101010101010101010101010101010101010101010101010101010101010101020000000301010101010101010101010101010101010101010101010101010101010101010101010101ffffff0101010101010101010101010101010101010101010101010101010101010101010101010101010101010101010101010101010101010101010101010101010101010101010101010101010101010101010101010101010101010101010101010101010101010101010101010101010101010101010101010101010101010101010101010100000001010101010101010101010101010101010101010101010101010101010101010101010101010101010101010101010101010101010101010101010101010101010101010101010101010101010101010101010101010101010101010101010101010101010101010101010101010101010101010101010101010101010101010101010101000000010101010101010101010101010101010101010101010101010101010101010101010101010101010101010101010101010101010101010101010101010101010101010101010101010101010101010101010101010101010101010101010101010101010101010101010101010101010101010101010101010101010101010101010101010000000c00000040092900aa000000000000001900850000000000040000002701ffff030000000000>.
Располагаемый
напор в сети наружного водопровода у
ввода >>>
>
Остаточный напор у дальнего водоразборного крана >010009000003360d00000000ec0700000000ec07000026060f00ce0f574d4643010000000000010087950000000001000000ac0f000000000000ac0f0000010000006c00000000000000000000005c000000180000000000000000000000830900008e02000020454d4600000100ac0f00000c00000001000000000000000000000000000000900600001a040000b801000013010000000000000000000000000000c0b6060038320400460000002c00000020000000454d462b014001001c000000100000000210c0db01000000600000006000000046000000e8030000dc030000454d462b224004000c000000000000001e4009000c00000000000000244001000c000000000000003040020010000000040000000000803f214007000c000000000000000840000534030000280300000210c0db01000000000000000000000000000000000000000100000089504e470d0a1a0a0000000d494844520000005d000000190802000000dcdab5ee000000017352474200aece1ce9000000097048597300000ec400000ec401952b0e1b000002af494441545847ed583d6eea40105ede49fc4443c1218cd26c943637808e76116788421ba53137a08de226c287a04813c537e1cdccfecdda0b38b6794291b7c15e7697996fbef96696d1f17814c3a821f067c0248ac0804b9c18032e032e3f910cc397727b3fc271bf2d7fb2fb3fafb55692a9715bf99255d1c13ea8477a7c675208b577ef37f640e679fbf60a7d96d9373793268d0b7a416b7f843b170f6a7dccf541445cb879159c6c601952844c05b9c6763add2dbf0e424e920eccbbeed664fe7e7c4ecffc46f9b1cb857cbc732e24136058fed94e182c2e782a1eeaf2f3b695466814b2a547aafccc85988e7d6493f114603c7c458029565aa22a1ac5a66d1e5116659924de1147db32b03155db2f8c65483dafb41b27b401be934a058a8a53d23a6ef852bc6d84d8ecc4ebfb1c00d7485f65b8909880d53fce11d5b07906c6761ce0622e268f526cde4cd52a5e16d3f5da3aae7141710182bc2228f69553b2a3116c7bfa7c89261499130345c616cf7cf177d4a9120b319eaf95d83c616f526e9f0ed932411c68185c2037d5da1a44b9ab1ed2fed0e8fd2400089349fb44e314c7cfd7927499c97cf152105978400817cc22b61f15ec5aa5a95b1e717cabe586de0395ad2971243cc91de6d26c0664097880b85016f9b4219458bdeb35d8adf308000d9587bc66e123c2e4bb0f4b208af665da27984b2c59acb7f5ea8304a562040fa693d2ca4ec3f756e1a4ee2ff9e8b749acd4a058add173a68e5ea8a9d53691f5fc7400d4698703bf1070085827ec1f83278060af6c89af607a49671b7fcfe280d645fb08bee64c5c5c1083353eb432f3f78093f6c1726f837d0926d9566c02c24b4b63bf6f6ae1f0ff4b5c3e1be0923e282c65b41fb58c141ad4df4fae6efcd2d0a67234622fcf3c77b38f24a99dea57721b99d8f3a2119cd706cedfbea7411efd7608a2fe0db8c4c3fe0fec4a7a0eb11d5b7a0000000049454e44ae42608200000840010824000000180000000210c0db01000000030000000000000000000000000000001b40000040000000340000000100000002000000000000bf000000bf0000ba420000c84103000000000000b3000000b3ffffb942000000b3000000b3ffffc7412100000008000000620000000c00000001000000150000000c00000004000000150000000c0000000400000051000000600a000000000000000000005c00000018000000000000000000000000000000000000005d0000001900000050000000b00000000001000060090000000000002000cc005d00000019000000280000005d000000190000000100080000000000000000000000000000000000220000000000000000000000ffffff00489cdf0048000000ffdf9c009cdfff0000004800df9c4800ffbf740074000000ffffbf000074bf00bf740000bfffff00000074009c480000ffffdf00dfffff0000489c004800480074bfff00489c9c00744848000048740048489c000048480074007400bfffbf00dfdf9c0074bfbf00740048004874bf009c48480048007400010101010101010101010101010101010101010101010101010101010101010101010101010101010101010101010101010101010101010101010101010101010101010101010101010101010101010101010101010101010101010101010101010101010101010101010101010101010101010101010101010101010101010101010101010101010101010101010101010101010101010101010101010101010101010101010101010101010101010101010101010101010101010101010101010101010101010101010101010101010101010101010101010101010101010101010101010101010101010101010101010101010101010101010101010101010101010101010101010101010101010101010101010101010101010101010101010101010101010101010101140000030401011400000c01010d0e000c0101010101010101010101010101010101010101010101010101010101010101010101010101010101010101010101010101010101010101010101010101010101010101010101010101010101010d0e080114090a0506080114070101052010010101010101010101010101010101010101010101010101010101010101010101010101010101010101010101010101010101010101010101010101010101010c01010101010101010101010101140f10010d2104140f100101010101052010010101010101010101010101010101010101010101010101010101010101010101010101010101010101010101010101010101010101010101010101010101010101010101010101010101010101140f10010d2104140f100101010101052010010101010101010101010101010101010101010101010101010101010101010101010101010101010101010101010101010101010101010101010101010101010101010d0e0701010102000008010d0e080114090a0d0e08010b081f040520100b080101010101010101010101010101010101010101010101010111120000000304010101010111120000090a010101010101010d0e00090a0101010b00000f01120311120f1001010b0f100b08010506000008010105060000080b000000000008010101010101010101010101010101010101010101010101010b03040101020008010101111203040102030401010101010101051e0a0101010111120f100101010102090a01010b0f1001010101010101010101010101010101010101010101010101010101010101010101010101010101010101010101010b070101010d0e0f10010114000701010d0e0c010101010101010d1a0a010b0c0111120f10010101011403040101140304010101010101010101010101010101010101010101010101010101010b000000000000000000000f1001010101010101010101011112090a01010203040101010b090a0101010101010d1a0a0506030411120f101a1408010d0e080101050608010101010101010101010101010101010101010101010101010101010101010101010101010101010101010101010101010101010d0e0f1001010b090a0101010203040101010101010d1a0a02091d0c11120f100101010111120f100111120c0101010101010101010101010101010101010101010101010101010101010101010101010101010101010101010101010101011112000801011112090a0101010200080101010101010d1a1b0e0711181c120f1001010101010b000701010b0f100101010101010101010101010101010101010101010101010101010b000000000000000000000f10010101010101011112000003040101011112090a0101010200080101010101010d1a15090a01140c0b0f10020c0101011409150711120f1001010101010101010101010101010101010101010101010101010101010101010101010101010101010101010101010101010b03040101011112090a0101010200080101010101010516170c01011118190f10010101010105130402000007010101010101010101010101010101010101010101010101010101010101010101010101010101010101010101010101010101010203040101010b090a0101010b030401010101010d0e0003040101011400000f0101010101111207010101010101010101010101010101010101010101010101010101010101010101010101010101010101010101010101010101010101010105060c01010102030401011112090a01010101010101010101010101010101010101010101010b0c010101010101010101010101010101010101010101010101010101010101010101010101010101010101010101010101010101020c01010105060c01010105060701010d0e0f10010101010101010101010101010101010101010101010102090a010101010101010101010101010101010101010101010101010101010101010101010101010101010101010101010101010102000801010b0007010101010b090a010b00080101010101010101010101010101010101010101ff01010200030401010101010101010101010101010101010101010101010101010101010101010101010101010101010101010101010101010105060000000701010101010102000000080101010101010101010101010101010101010104ab04010101010101010101010101010101010101010101010101010101010101010101010101010101010101010101010101010101010101010101010101010101010101010101010101010101010101010101010101010101010101010101df9cff010101010101010101010101010101010101010101010101010101010101010101010101010101010101010101010101010101010101010101010101010101010101010101010101010101010101010101010101010101010101010101ffffff010101010101010101010101010101010101010101010101010101010101010101010101010101010101010101010101010101010101010101010101010101010101010101010101010101010101010101010101010101010101010101ffffff010101010101010101010101010101010101010101010101010101010101010101010101010101010101010101010101010101010101010101010101010101010101010101010101010101010101010101010101010101010101010101ffffff010101010101010101010101010101010101010101010101010101010101010101010101010101010101010101010101010101010101010101010101010101010101010101010101010101010101010101010101010101010101010101ffffff4c0000006400000000000000000000005c0000001800000000000000000000005d000000190000002900aa0000000000000000000000803f00000000000000000000803f0000000000000000000000000000000000000000000000000000000000000000220000000c000000ffffffff460000001c00000010000000454d462b024000000c000000000000000e000000140000000000000010000000140000000400000003010800050000000b0200000000050000000c0219005d00030000001e000400000007010400040000000701040015050000410b2000cc0019005d000000000019005d0000000000280000005d000000190000000100080000000000000000000000000000000000220000000000000000000000ffffff00489cdf0048000000ffdf9c009cdfff0000004800df9c4800ffbf740074000000ffffbf000074bf00bf740000bfffff00000074009c480000ffffdf00dfffff0000489c004800480074bfff00489c9c00744848000048740048489c000048480074007400bfffbf00dfdf9c0074bfbf00740048004874bf009c48480048007400010101010101010101010101010101010101010101010101010101010101010101010101010101010101010101010101010101010101010101010101010101010101010101010101010101010101010101010101010101010101010101010101010101010101010101010101010101010101010101010101010101010101010101010101010101010101010101010101010101010101010101010101010101010101010101010101010101010101010101010101010101010101010101010101010101010101010101010101010101010101010101010101010101010101010101010101010101010101010101010101010101010101010101010101010101010101010101010101010101010101010101010101010101010101010101010101010101010101010101010101140000030401011400000c01010d0e000c0101010101010101010101010101010101010101010101010101010101010101010101010101010101010101010101010101010101010101010101010101010101010101010101010101010101010d0e080114090a0506080114070101052010010101010101010101010101010101010101010101010101010101010101010101010101010101010101010101010101010101010101010101010101010101010c01010101010101010101010101140f10010d2104140f100101010101052010010101010101010101010101010101010101010101010101010101010101010101010101010101010101010101010101010101010101010101010101010101010101010101010101010101010101140f10010d2104140f100101010101052010010101010101010101010101010101010101010101010101010101010101010101010101010101010101010101010101010101010101010101010101010101010101010d0e0701010102000008010d0e080114090a0d0e08010b081f040520100b080101010101010101010101010101010101010101010101010111120000000304010101010111120000090a010101010101010d0e00090a0101010b00000f01120311120f1001010b0f100b08010506000008010105060000080b000000000008010101010101010101010101010101010101010101010101010b03040101020008010101111203040102030401010101010101051e0a0101010111120f100101010102090a01010b0f1001010101010101010101010101010101010101010101010101010101010101010101010101010101010101010101010b070101010d0e0f10010114000701010d0e0c010101010101010d1a0a010b0c0111120f10010101011403040101140304010101010101010101010101010101010101010101010101010101010b000000000000000000000f1001010101010101010101011112090a01010203040101010b090a0101010101010d1a0a0506030411120f101a1408010d0e080101050608010101010101010101010101010101010101010101010101010101010101010101010101010101010101010101010101010101010d0e0f1001010b090a0101010203040101010101010d1a0a02091d0c11120f100101010111120f100111120c0101010101010101010101010101010101010101010101010101010101010101010101010101010101010101010101010101011112000801011112090a0101010200080101010101010d1a1b0e0711181c120f1001010101010b000701010b0f100101010101010101010101010101010101010101010101010101010b000000000000000000000f10010101010101011112000003040101011112090a0101010200080101010101010d1a15090a01140c0b0f10020c0101011409150711120f1001010101010101010101010101010101010101010101010101010101010101010101010101010101010101010101010101010b03040101011112090a0101010200080101010101010516170c01011118190f10010101010105130402000007010101010101010101010101010101010101010101010101010101010101010101010101010101010101010101010101010101010203040101010b090a0101010b030401010101010d0e0003040101011400000f0101010101111207010101010101010101010101010101010101010101010101010101010101010101010101010101010101010101010101010101010101010105060c01010102030401011112090a01010101010101010101010101010101010101010101010b0c010101010101010101010101010101010101010101010101010101010101010101010101010101010101010101010101010101020c01010105060c01010105060701010d0e0f10010101010101010101010101010101010101010101010102090a010101010101010101010101010101010101010101010101010101010101010101010101010101010101010101010101010102000801010b0007010101010b090a010b00080101010101010101010101010101010101010101ff01010200030401010101010101010101010101010101010101010101010101010101010101010101010101010101010101010101010101010105060000000701010101010102000000080101010101010101010101010101010101010104ab04010101010101010101010101010101010101010101010101010101010101010101010101010101010101010101010101010101010101010101010101010101010101010101010101010101010101010101010101010101010101010101df9cff010101010101010101010101010101010101010101010101010101010101010101010101010101010101010101010101010101010101010101010101010101010101010101010101010101010101010101010101010101010101010101ffffff010101010101010101010101010101010101010101010101010101010101010101010101010101010101010101010101010101010101010101010101010101010101010101010101010101010101010101010101010101010101010101ffffff010101010101010101010101010101010101010101010101010101010101010101010101010101010101010101010101010101010101010101010101010101010101010101010101010101010101010101010101010101010101010101ffffff010101010101010101010101010101010101010101010101010101010101010101010101010101010101010101010101010101010101010101010101010101010101010101010101010101010101010101010101010101010101010101ffffff0c00000040092900aa0000000000000019005d0000000000040000002701ffff030000000000>
Расчет: определение диаметров труб, задаёмся скоростью движения и расчетным расходом воды: на участке 6-7 v=0.8 м/с, q>7>=0.001 м3/с

на участке 5-6 v=0.9 м/с, q=q>7>+q>6>=0.001+0.001=0.002 м3/с

на участке 4-5 v=1 м/с, q=q>7>+q>5>+q>6>=0.003 м3/с,

на участке 3-4 v=1.1 м/с, q=q>7>+q>4>+q>5>+q>6>=0.004 м3/с

на участке 2-3 v=1.2 м/с, q=q>7>+q>3>+q>4>+q>5>+q>6>=0.0005 м3/с

на участке 1-2 v=1.3 м/с, q=q>2>+q>3>+q>4>+q>5>+q>6 >+q>7>=0.006 м3/с

Принимаем трубопровод стандартного диаметра.
|
№ расчетных участков |
Длина участка l, м |
Расчетный расход воды на участке q>n>, м3/ч |
Диаметр трубы, d, м |
Гидравлический уклон i, м/1п. м. |
Скорость течения воды в трубе V, м/с |
Потери напора на трение на участке h>тр>=i·l, м/1п. м. |
|
|
расчетный |
стандартный |
||||||
|
1-2 |
12 |
0.006 |
0.068 |
0.080 |
0.042 |
1.21 |
0.504 |
|
2-3 |
12 |
0.005 |
0.065 |
0.070 |
0.072 |
1.42 |
0.864 |
|
3-4 |
12 |
0.004 |
0.060 |
0.070 |
0.047 |
1.13 |
0.564 |
|
4-5 |
12 |
0.003 |
0.054 |
0.050 |
0.100 |
1.41 |
1.2 |
|
5-6 |
12 |
0.002 |
0.047 |
0.050 |
0.046 |
0.94 |
0.552 |
|
6-7 |
12 |
0.001 |
0.036 |
0.040 |
0.047 |
0.8 |
0.564 |
Определяем потери напора в трубах. При движении по трубам возникают потери двух видов: на трение и местное сопротивление. Потери напора на трение определить по каждому участку.

Суммарные
потери на трение Σ>>>
>
по всей сети определяем как сумму величин
графы 8 таблицы 8. Потери напора Σ>010009000003ec0500000000ea0300000000ea03000026060f00ca07574d46430100000000000100ba4c0000000001000000a807000000000000a8070000010000006c000000000000000000000019000000180000000000000000000000a80200008e02000020454d4600000100a80700000c00000001000000000000000000000000000000900600001a040000b801000013010000000000000000000000000000c0b6060038320400460000002c00000020000000454d462b014001001c000000100000000210c0db010000006000000060000000460000007402000068020000454d462b224004000c000000000000001e4009000c00000000000000244001000c000000000000003040020010000000040000000000803f214007000c0000000000000008400005c0010000b40100000210c0db01000000000000000000000000000000000000000100000089504e470d0a1a0a0000000d494844520000001a000000190802000000a0bca937000000017352474200aece1ce9000000097048597300000ec400000ec401952b0e1b0000013a49444154484be5553b6e8340101d729248695cf810916816b9f50d5c456e8743444a6bb9811bd0467283964350b841ec4dc87c6081c4b29dc59da7dad9659fdebc99b7445dd7c1e3e2e571508cf48c702e4f228e2477cbc4a4ce6ab4990140ebf3a0c5d80a773e016ede9791f370aea9c1ac5e97a1014c4a3559ab257370f2ff18d871a96b28930f38aa8ca7a20ce98a32b03863c469103d65c7c2d1fde34eb59374fd1622a42737cec882911176d5f7d7b4abac63609319ee576d02be8d434ae517c595c56536551aa59568a9161c1d48277d42ab993bb5abd336fad19b3ace66c6f41fc9b9ace9a6ee59eccf8631be31b19602c5d16d868882dc6fcc6edef77c52c96a66971f60b3aa81a425c5ff5afc2eb801adfe3cc03e6e0a4603ea7fdd8871aa7454f57a95aaa38848faa0f5a6a6ad4b1a47cff427fb0139df1b0e847169600000000049454e44ae4260820000000840010824000000180000000210c0db01000000030000000000000000000000000000001b40000040000000340000000100000002000000000000bf000000bf0000d0410000c84103000000000080b3000080b3ffffcf41000080b3000080b3ffffc7412100000008000000620000000c00000001000000150000000c00000004000000150000000c0000000400000051000000d003000000000000000000001900000018000000000000000000000000000000000000001a0000001900000050000000c400000014010000bc020000000000002000cc001a00000019000000280000001a000000190000000100080000000000000000000000000000000000270000000000000000000000ffffff00489cdf0048000000ffdf9c0074000000ffffbf000074bf00bf740000dfffff0000489c00df9c48009cdfff004800480074bfff00489c9c009c480000ffffdf00bfffff0000007400ffbf74000000480048007400489cbf009c4848004874bf00bfbfbf0074007400749cdf0048747400bfbfff00bfffbf009cdfbf00bf9c740048489c009c7448009cdfdf0074487400ffdfbf00010101010101010101010101010101010101010101010101010101ff010101010101010101010101010101010101010101010101010101ff010101010101010101010101010101010101010101010101010101ff010101010101010101010200141225260200080c15000801010101ff0101010101010101010101011a121623241811070b010e0b010101ff0101010101010101010101011e1f1b202122040214010101010101ff010101010101010101010101121a1b061c1d0b0e08010101010101ff12130b01010102000014010101171811090a1011070b0119040101ff090a1011010107101107140102001011011216040107000304010cff010205060101071011010101010101010101010101010101010101ff010e030401010e0304010101010101010101010101010101010101ff0112131401010c1514010101010101010101010101010101010101ff01090a101101090a08010101010101010101010101010101010101ff010107000b01010710110101010101010101010101010101010101ff01010e050f0b090a10110101010101010101010101010101010101ff01010c0d040200000b010101010101010101010101010101010101ff0101090a0b01010101010101010101010101010101010101010101ff010101070801010101010101010101010101010101010101010101ff010101020506010101010101010101010101010101010101010101ff010102000304010101010101010101010101010101010101010101ff010101010101010101010101010101010101010101010101010101ff010101010101010101010101010101010101010101010101010101ff010101010101010101010101010101010101010101010101010101ff010101010101010101010101010101010101010101010101010101ff010101010101010101010101010101010101010101010101010101ff4c000000640000000000000000000000190000001800000000000000000000001a000000190000002900aa0000000000000000000000803f00000000000000000000803f0000000000000000000000000000000000000000000000000000000000000000220000000c000000ffffffff460000001c00000010000000454d462b024000000c000000000000000e000000140000000000000010000000140000000400000003010800050000000b0200000000050000000c0219001a00030000001e0004000000070104000400000007010400cd010000410b2000cc0019001a000000000019001a0000000000280000001a000000190000000100080000000000000000000000000000000000270000000000000000000000ffffff00489cdf0048000000ffdf9c0074000000ffffbf000074bf00bf740000dfffff0000489c00df9c48009cdfff004800480074bfff00489c9c009c480000ffffdf00bfffff0000007400ffbf74000000480048007400489cbf009c4848004874bf00bfbfbf0074007400749cdf0048747400bfbfff00bfffbf009cdfbf00bf9c740048489c009c7448009cdfdf0074487400ffdfbf00010101010101010101010101010101010101010101010101010101ff010101010101010101010101010101010101010101010101010101ff010101010101010101010101010101010101010101010101010101ff010101010101010101010200141225260200080c15000801010101ff0101010101010101010101011a121623241811070b010e0b010101ff0101010101010101010101011e1f1b202122040214010101010101ff010101010101010101010101121a1b061c1d0b0e08010101010101ff12130b01010102000014010101171811090a1011070b0119040101ff090a1011010107101107140102001011011216040107000304010cff010205060101071011010101010101010101010101010101010101ff010e030401010e0304010101010101010101010101010101010101ff0112131401010c1514010101010101010101010101010101010101ff01090a101101090a08010101010101010101010101010101010101ff010107000b01010710110101010101010101010101010101010101ff01010e050f0b090a10110101010101010101010101010101010101ff01010c0d040200000b010101010101010101010101010101010101ff0101090a0b01010101010101010101010101010101010101010101ff010101070801010101010101010101010101010101010101010101ff010101020506010101010101010101010101010101010101010101ff010102000304010101010101010101010101010101010101010101ff010101010101010101010101010101010101010101010101010101ff010101010101010101010101010101010101010101010101010101ff010101010101010101010101010101010101010101010101010101ff010101010101010101010101010101010101010101010101010101ff010101010101010101010101010101010101010101010101010101ff0c00000040092900aa0000000000000019001a0000000000040000002701ffff030000000000>
в местных сопротивлениях можно принять
равным 20% от суммы потерь напора Σ>>>
>
на трение, т.е. Σ>010009000003241e000000001610000000001610000026060f002220574d46430100000000000100f3130000000002000000002000002402000024220000010000006c0000000000000000000000f4000000180000000000000000000000101900008e02000020454d4600000100242200000c00000001000000000000000000000000000000900600001a040000b801000013010000000000000000000000000000c0b6060038320400460000002c00000020000000454d462b014001001c000000100000000210c0db01000000600000006000000046000000280700001c070000454d462b224004000c000000000000001e4009000c00000000000000244001000c000000000000003040020010000000040000000000803f214007000c000000000000000840000574060000680600000210c0db01000000000000000000000000000000000000000100000089504e470d0a1a0a0000000d49484452000000f50000001908020000006655ffcb000000017352474200aece1ce9000000097048597300000ec400000ec401952b0e1b000005ef49444154785eed5a3b6eea4c149efc2b21a2a16011a0348968ef0ea089688db28628b4511ad8012d0a4d642f82e23608ef84ff9c79bf3ce3070ebec8ae20cc8ccff9ce37e79987cbe542faa747e04e11f8ef4ef5ead5ea1140047a7ef73cb867047a7edfb3757bdd7a7ef71cd010c8b72fabec9e10e1fc06bd1ef079d9e6ddd24e0886c2c590cf565407f634d1a4b36848dbd486c5c4c5400c517b5c1cae667f94d1b102beb189692a4b07fd13f69c37cf8424a9fcde810f6902ea7091e8e742f9a8f0ea57b6f87973b69460cbfc8fb9ba8368485dcac3c28caa70e1fa4b2be3492e4ad7b1bc7db6c2bead37fae426066a9da2370544c3829ab5001b5cab0bcfc0f42d66d4772e4a9a988b7159a7d030fd504958f49ba07931a9598bfc360094ef09d9f03ad7ca3a45e6dff9e9489e4783cafebfb50df9cfee409eff3c49910623e0ece1af37811accbf2f1f1325cb60382e106cf241b9bf9e9a5172b2fc43b4933b8786ca4c2ac0825a584f3130573564be7d5f9364262c32f9b85cbee7b72097e037b209c92413bb5f4d927cd8e67f21151c0f1528cc34c79397e0d609ccb2fa6e8dfbf36f742387c5a39ed00fe673753fba8786e27705583c885160eaf9319aac5bb4a07471eb22ea9b14bdab5c1d5112f043391f836c0c0926f90db08dc9cfcb2bf962a9f861f75386485544afb4d6e77b020edc3c9bf9fecd52f3e8c682c9070d94eb6941c98a77ab5368287a7b5c72312c93255a72f19989fdd9271490c99be14a77afd1a29cb26cba760cc88e936e5afc4edd4331fa411ea0ab07e3d02b08c4453ec2d782b04da282717e677b107ebd235f348a5c33883925bad6e368dee9f042956f5f1787240d06c48234859dd71e1afc7cbdd1e3e0d1b4fba3638279db79739c8a974c09341054228729df61fc26537388695e4fc98ed92426d1b21552de0d06c87a3db1ace4d738fce321d9beec6798d5783c9d3c312a18e3378b5a9b2f7eafe9577f70af2a2bc1fb187eae9c9865abc705d99cf56cdc2bf460fe8635a5e7ed2da2c124f93d4cd0bf3d2ec6a22bc6a8ae288cf490741fccbf2c6f6fe0960f874bb80e323fcc56fb11ac77898cdea129bd13b207cf4d6d18cd758282717e433c56512b7a626592d7d8501443c2b923d873ba8eb86ee943f733ffd5c2eca463682887555038fb6161f9432aef7a84c2a10a273b9d06f83bcf14f2ed69b62490053a6e10e96d654095cc4fbdcbfa3892ce16ac11327a5830ca6f7ae354ef04ed5baf04f128523b3fa1ed12a39a742a4efb75655d37a66def23cbc5e7db151b6e85d1d0272b32b5e069bca56be13caa3626205d1558689e655ab24491ee0ddc3919aa4e16e0f7499e26d40f58c9b7d538a9c46c964ab0d249b09b5943eba2d927c60473273b2d364563a98af1bbdd2b759bb9e67176cb1aaa647f07dbee75d36360375b6d4d766c34c43ad971870fb21b8d7f145fdaeaa05780c59aee083d45671fcb38630456dc9d3ea729ceca987ee926c16d3e9ec4c662f1feb775aa8ea88f3d31c160bee39ba350bd4d93ebe312850c1f97b43205338634b6940c5f736469d0d91ef9707484c0ae6761b68ea3410fd2704f137d1e2819d316bff94c92bfc78185e9272432bf71ccf41ba819ce5eabd189b3c8d8cf113833b2b327ea1aa3fcf6d01b9461107b048c0a06fcb6859283549d2e29782907524973af47ace4ac0b16eb0375db19ebfcf60fde9df965683ecf2d5d0a0d9dde9ae41aa5638eac193801581c12583a1b285a97bdf01f1af40065dc0e73465c4c6f2ff09ee86abb6b2e205ba9abc60f8c0aa6e6f341c45378580087fb9a2494ead2bd37b355eddd516751fbe4f84627b40b9faec24237a7fb71d5eaaf682d62d517e952eeff6333e869b1ec1f0a8bd9e84870d2793ad69b5055af39bc3b9ad6e94dc4c0773b65189b6ac8581d6d503611a0837b1b5796ade8548adf82dec7f74fb27c3aed90de04aa67deddc856bf3fcc87d9028c2a6ec4216c6139775bccf45b3153f70fed4453d90353d8f76b1538e4d80914d13cf181e8ebcdd31b84927f65abb7a41660fce6ff7e7609b05b268b211c1ee0c7ee3b875ec21e817a0894ca4fea1dddefea11b839023dbf6f6e825e801611f81f25db9dd041d630cf0000000049454e44ae42608200000840010824000000180000000210c0db01000000030000000000000000000000000000001b40000040000000340000000100000002000000000000bf000000bf000075430000c84103000000000000b3000000b3ffff7443000000b3000000b3ffffc7412100000008000000620000000c00000001000000150000000c00000004000000150000000c0000000400000051000000981900000000000000000000f40000001800000000000000000000000000000000000000f50000001900000050000000100100006001000038180000000000002000cc00f50000001900000028000000f50000001900000001000800000000000000000000000000000000003a0000000000000000000000ffffff009cdfff00bf744800489cdf0048000000ffdf9c00ffbf7400bfffff0000007400df9c48009c480000ffffdf00bf740000dfffff0000489c0074000000ffffbf000074bf000000480074bfff009c4874009c9cdf0048004800489c9c00484848004800740074749c00dfbf740074489c00bfbfff009cdfbf009c74740048747400740074009c9cbf00bfffdf0048489c00df9c7400dfbfbf004874bf00bfdfff00ffdfbf00bf9c48009c749c0074004800bfbfdf00749cdf00bfbf7400bf747400489cbf009c484800bfbfbf00bfffbf00bf9c74009c7448009cdfdf00744874000101010101010101010101010101010101010101010101010101010101010101010101010101010101010101010101010101010101010101010101010101010101010101010101010101010101010101010101010101010101010101010101010101010101010101010101010101010101010101010101010101010101010101010101010101010101010101010101010101010101010101010101010101010101010101010101010101010101010101010101010101010101010101010101010101010101010101010101010101010101010101010101010101010101010101010101010101010101010101010101010101010101ffffff0101010101010101010101010101010101010101010101010101010101010101010101010101010101010101010101010101010101010101010101010101010101010101010101010101010101010101010101010101010101010101010101010101010101010101010101010101010101010101010101010101010101010101010101010101010101010101010101010101010101010101010101010101010101010101010101010101010101010101010101010101010101010101010101010101010101010101010101010101010101010101010101010101010101010101010101010101010101010101010101010101010101ffffff0101010101010101010101010101010101010101010101010101010101010101010101010101010101010101010101010101010101010101010101010101010101010101010101010101010101010101010101010101010101010101010101010101010101010101010101010101010101010101010101010101010101010101010101010101010101010101010101010101010101010101010101010101010101010101010101010101010101010101010101010101010101010101010101010101010101010101010101010101010101010101010101010101010101010101010101010101010101010101010101010101010101ffffff0101010101010101010104000708392a04000d0213000d010101010101010101010101010101010101010101010101010101010101010101010101010101010101010101010101010101010101010101010101010101010101010101010101010101010101011200050601010104000506010101010101010101010101010101010101010101010101010101010101010101010101010101010101010101010101010101010101010101010101010101010101010101010101010101010101010101140506010101010101010101010101010101010101010101010101010101010101010101010101010101010101010101010101ffffff01010101010101010101010134081a3738330c120a01140a0101010101010101010101010101010101010101010101010101010101010101010101010112070101010101010101010101010101010101010101010101010101010101010101010101010101010e0f07010101010e0f0a010101010101010101010101010101010101010101010101010101010101010101010101010101010101010101010101010101010101010101010101010101010101010101010101010101010101010101010e0f0d010101010101010101010101010101010101010101010101010101010101010101010101010101010101010101010101ffffff0101010101010101010101011e35221f362506040701010101010101010101010101010101010101010101010101010101010101010101010101010101080907010101010101010101010101010101010101010101010101010101010101010101010101010101120d0101010101040b0c010101010101010101010101010101010101010101010101010101010101010101010101010101010101010101010101010101010101010101010101010101010101010101010101010101010101010101010410110101010101010101010101010101010101010101010101010101010101010101010101010101010101010101010101ffffff010101010101010101010101083422112f210a140d0101010101010101010101010101010101010101010101010101010101010101010101010101010101120b0c0101010101010101010101010101010101010101010101010101010101010101010101010101140b0c01010101021300000007010101010101010101010101010101010101010101010101010101010101010101010101010101010101010101010101010101010101010101010101010101010101010101010101010101010101010809070101010101010101010101010101010101010101010101010101010101010101010101010101010101010101010101ffbfff08090a0101010400000701010132330c0e0f0b0c120a0128060101010101010101010101010101010101010101010101010101010e0f000010110101010112101101040000000000000b0c01010101040000000000000000050608090a010101040000070101010217060101010108090701021307010101010101010101010101010101010101010101010101010101010e0f0000101101010108091011010102130000000d01010108090000000506010101010e0f000a0101040a010809000a010101120b0c01010101010e0f000000000010110101010101040b0c010114001011080910110e0f000a0101040a010809000a019c48ff0e0f0b0c0101120b0c12070104000b0c01081a06011200050601010101010101010101010101010101010101010101010101010e0f05060104050601010112101101080907010101022d110101010101120000000000000005060e0f0b0c0101120b0c120701010e0f0a0114070101120a0101120d0101010101010101010101010101010101010101010101010101010e0f0506010405060101080910110114000d010108090b0c0112050601011200070101010101012e0c011205060e0f0a2f060101140506010101010101010114000a0101010101010101140506010102133031080910110101012e0c011205060e0f0a2f06ffffff010410110101120b0c01010101010101010101010101010101010101010101010101010101010101010101010101010101010114000a010108090d010101010101010114101101010e1d11010101010101280601010101011207010410110101120b0c0101140d01040d01040a0101040b0c01120d01010101010101010101010101010101010101010101010101010114000a010108090d0101010101010e0f101101010114000701120a01010108090b0c0101010101292a0e0f2b2c0c120b0c0101010e0f0d010101010101010114000a010101010101010108090a01010e0f0a0101010101010101292a0e0f2b2c0c120b0c01ffffff011405060101140506010101010101010101010101010101010101010101010112000000000000000000000b0c0101010101010405060101011210110101010101010101120b0c010101010101010101010e25060101010102260114050601011405060101021300000000000d01080900000010110101010101010112000000000000000000000b0c01010101010101040506010101121011010101010108090b0c01010114000a0101010101010112101101010101010e270809070226141011010101010410110101010101010114000a01010101010101010e0f0b0c0101120b0c010101010101010e27080907022614101101ffffff01080907010102130701010101010101010101010101010101010101010101010101010101010101010101010101010101010112101101010104050601010101010101010e0f0d01010101010101010101010822110101010101010809070101021307010101010101010101010101010101010101010101010101010101010101010101010101010101010101010101121011010101040506010101010101121011010101040007010101010101011205060101010101012324090701161f1307010101010809070101010101010114000a01010101010101010104000a010114050601010101010101012324090701161f130701ffffff010e0f0b0c010e0f0d01010101010101010101010101010101010101010101010101010101010101010101010101010101010e0f101101010104000701010101010101010108090a010101010101010101010108150c01010101010e0f0b0c010e0f0d01010101010101010101010101010101010101010101010101010101010101010101010101010101010101010e0f101101010104000701010101010102130d010102130b0c0101010101010e0f10110101010101011e1f17060108200f0a0101010101120b0c01010101010114000a010101010101010101141021060102130701010101010101011e1f17060108200f0a01ffffff010112000a0101120b0c0101010101010101010101010101010101010101010112000000000000000000000b0c01010101010e0f1011010101040007010101010101010101010213070101010101010101010104000b0c010101010112000a0101120b0c01010101010101010101010101010101010101010101010112000000000000000000000b0c0101010101010e0f1011010101040007010101010101010e0f000000070101010e0f0d010104000a01010101010101021b1011010114000b0c0101010114050601010101010114000a01010101010101010108091c1d110e0f0d0101010101010101021b1011010114000b0cffffff01011410180a0e0f0b0c010101010101010101010101010101010101010101010101010101010101010101010101010101010e0f101101010104000701010101010101010101010405060101010101010101140010110101010101011410180a0e0f0b0c010101010101010101010101010101010101010101010101010101010101010101010101010101010101010e0f101101010104000701010101010102130d010108090d01010809190000000a010101010101010400000b0c010101121011010101010e0f0a01010101010114000a01010101010101010101120a081a06120d010101010101010400000b0c010101121011ffffff01010217060400000a010101010101010101010101010101010101010101010101010101010101010101010101010101010101121011010101120506010101010101010101010102130d0101010101010108090007010101010101010217060400000a0101010101010101010101010101010101010101010101010101010101010101010101010101010101010101011210110101011205060101010101011205060101010405060108090a01010101010101010101010108090b0c0101010213070101010101041011010101010114000a01010101010101010809000d010e0f000a010101010101010108090b0c010101021307ffffff01010e0f0a0101010101010101010101010101010101010101010101010101010101010101010101010101010101010101010104050601010e0f1011010101010101010101010108090b0c01010101010e0f000a01010101161101010e0f0a0101010101010101010101010101010101010101010101010101010101010101010101010101010101010101010101010104050601010e0f101101010101010e0f10110101011400070108090a010101010101010101010101010101010101010101010101010101021307010101010114000a0101010101010101010101010101010101010101010101010101010101010101010101ffffff010101120d0101010101010101010101010101010101010101010101010101010101010101010101010101010101010101010102130a010108090b0c010101010101040d01010102130b0c010101010112000d0101010108150c010101120d0101010101010101010101010101010101010101010101010101010101010101010101010101010101010101010101010102130a010108090b0c0101010101011210110101010400070108090a01010101010101010101010101010101010101010101010101010101120d010114050614000a0101010101010101010101010101010101010101010101010101010101010101010101ffffff010101041011010101010101010101010101010101010101010101010101010101010101010101010101010101010101010101011210110112000701010101010101040007010112000a01010101010400000000000000000b0c01010104101101010101010101010101010101010101010101010101010101010101010101010101010101010101010101010101010101121011011200070101010101010102130d0101021310110108090a0101010101010101010101010101010101010101010101010101010114050601010e0f00000a0101010101010101010101010101010101010101010101010101010101010101010101ffffff0101040005060101010101010101010101010101010101010101010101010101010101010101010101010101010101010101010101040000000701010101010101010108090000000a01010101010101010101010101010101010101040005060101010101010101010101010101010101010101010101010101010101010101010101010101010101010101010101010101040000000701010101010101010108090000000b0c0101080900000000000d01010101010101010101010101010101010101010101010e0f0a0101010108090a0101010101010101010101010101010101010101010101010101010101010101010101ffffff0101010101010101010101010101010101010101010101010101010101010101010101010101010101010101010101010101010101010101010101010101010101010101010101010101010101010101010101010101010101010101010101010101010101010101010101010101010101010101010101010101010101010101010101010101010101010101010101010101010101010101010101010101010101010101010101010101010101010102030101010101010101010101010101010101010101010101010101010101010101010101010101010101010101010101010101010101010101010101010101010101010101ffffff0101010101010101010101010101010101010101010101010101010101010101010101010101010101010101010101010101010101010101010101010101010101010101010101010101010101010101010101010101010101010101010101010101010101010101010101010101010101010101010101010101010101010101010101010101010101010101010101010101010101010101010101010101010101010101010101010101010101010101010101010101010101010101010101010101010101010101010101010101010101010101010101010101010101010101010101010101010101010101010101010101010101ffffff0101010101010101010101010101010101010101010101010101010101010101010101010101010101010101010101010101010101010101010101010101010101010101010101010101010101010101010101010101010101010101010101010101010101010101010101010101010101010101010101010101010101010101010101010101010101010101010101010101010101010101010101010101010101010101010101010101010101010101010101010101010101010101010101010101010101010101010101010101010101010101010101010101010101010101010101010101010101010101010101010101010101ffffff0101010101010101010101010101010101010101010101010101010101010101010101010101010101010101010101010101010101010101010101010101010101010101010101010101010101010101010101010101010101010101010101010101010101010101010101012801000026060f004602574d46430100000000000100000000000000020000002402000000000000242200000101010101010101010101010101010101010101010101010101010101010101010101010101010101010101010101010101010101010101010101010101010101010101010101010101010101010101010101010101010101010101010101010101010101010101010101010101010101010101010101010101010101010101010101010101010101ffffff0101010101010101010101010101010101010101010101010101010101010101010101010101010101010101010101010101010101010101010101010101010101010101010101010101010101010101010101010101010101010101010101010101010101010101010101010101010101010101010101010101010101010101010101010101010101010101010101010101010101010101010101010101010101010101010101010101010101010101010101010101010101010101010101010101010101010101010101010101010101010101010101010101010101010101010101010101010101010101010101010101010101ffffff4c000000640000000000000000000000f4000000180000000000000000000000f5000000190000002900aa0000000000000000000000803f00000000000000000000803f0000000000000000000000000000000000000000000000000000000000000000220000000c000000ffffffff460000001c00000010000000454d462b024000000c000000000000000e000000140000000000000010000000140000000400000003010800050000000b0200000000050000000c021900f500030000001e0004000000070104000400000007010400b10c0000410b2000cc001900f500000000001900f5000000000028000000f50000001900000001000800000000000000000000000000000000003a0000000000000000000000ffffff009cdfff00bf744800489cdf0048000000ffdf9c00ffbf7400bfffff0000007400df9c48009c480000ffffdf00bf740000dfffff0000489c0074000000ffffbf000074bf000000480074bfff009c4874009c9cdf0048004800489c9c00484848004800740074749c00dfbf740074489c00bfbfff009cdfbf009c74740048747400740074009c9cbf00bfffdf0048489c00df9c7400dfbfbf004874bf00bfdfff00ffdfbf00bf9c48009c749c0074004800bfbfdf00749cdf00bfbf7400bf747400489cbf009c484800bfbfbf00bfffbf00bf9c74009c7448009cdfdf00744874000101010101010101010101010101010101010101010101010101010101010101010101010101010101010101010101010101010101010101010101010101010101010101010101010101010101010101010101010101010101010101010101010101010101010101010101010101010101010101010101010101010101010101010101010101010101010101010101010101010101010101010101010101010101010101010101010101010101010101010101010101010101010101010101010101010101010101010101010101010101010101010101010101010101010101010101010101010101010101010101010101010101ffffff0101010101010101010101010101010101010101010101010101010101010101010101010101010101010101010101010101010101010101010101010101010101010101010101010101010101010101010101010101010101010101010101010101010101010101010101010101010101010101010101010101010101010101010101010101010101010101010101010101010101010101010101010101010101010101010101010101010101010101010101010101010101010101010101010101010101010101010101010101010101010101010101010101010101010101010101010101010101010101010101010101010101ffffff0101010101010101010101010101010101010101010101010101010101010101010101010101010101010101010101010101010101010101010101010101010101010101010101010101010101010101010101010101010101010101010101010101010101010101010101010101010101010101010101010101010101010101010101010101010101010101010101010101010101010101010101010101010101010101010101010101010101010101010101010101010101010101010101010101010101010101010101010101010101010101010101010101010101010101010101010101010101010101010101010101010101ffffff0101010101010101010104000708392a04000d0213000d010101010101010101010101010101010101010101010101010101010101010101010101010101010101010101010101010101010101010101010101010101010101010101010101010101010101011200050601010104000506010101010101010101010101010101010101010101010101010101010101010101010101010101010101010101010101010101010101010101010101010101010101010101010101010101010101010101140506010101010101010101010101010101010101010101010101010101010101010101010101010101010101010101010101ffffff01010101010101010101010134081a3738330c120a01140a0101010101010101010101010101010101010101010101010101010101010101010101010112070101010101010101010101010101010101010101010101010101010101010101010101010101010e0f07010101010e0f0a010101010101010101010101010101010101010101010101010101010101010101010101010101010101010101010101010101010101010101010101010101010101010101010101010101010101010101010e0f0d010101010101010101010101010101010101010101010101010101010101010101010101010101010101010101010101ffffff0101010101010101010101011e35221f362506040701010101010101010101010101010101010101010101010101010101010101010101010101010101080907010101010101010101010101010101010101010101010101010101010101010101010101010101120d0101010101040b0c010101010101010101010101010101010101010101010101010101010101010101010101010101010101010101010101010101010101010101010101010101010101010101010101010101010101010101010410110101010101010101010101010101010101010101010101010101010101010101010101010101010101010101010101ffffff010101010101010101010101083422112f210a140d0101010101010101010101010101010101010101010101010101010101010101010101010101010101120b0c0101010101010101010101010101010101010101010101010101010101010101010101010101140b0c01010101021300000007010101010101010101010101010101010101010101010101010101010101010101010101010101010101010101010101010101010101010101010101010101010101010101010101010101010101010809070101010101010101010101010101010101010101010101010101010101010101010101010101010101010101010101ffbfff08090a0101010400000701010132330c0e0f0b0c120a0128060101010101010101010101010101010101010101010101010101010e0f000010110101010112101101040000000000000b0c01010101040000000000000000050608090a010101040000070101010217060101010108090701021307010101010101010101010101010101010101010101010101010101010e0f0000101101010108091011010102130000000d01010108090000000506010101010e0f000a0101040a010809000a010101120b0c01010101010e0f000000000010110101010101040b0c010114001011080910110e0f000a0101040a010809000a019c48ff0e0f0b0c0101120b0c12070104000b0c01081a06011200050601010101010101010101010101010101010101010101010101010e0f05060104050601010112101101080907010101022d110101010101120000000000000005060e0f0b0c0101120b0c120701010e0f0a0114070101120a0101120d0101010101010101010101010101010101010101010101010101010e0f0506010405060101080910110114000d010108090b0c0112050601011200070101010101012e0c011205060e0f0a2f060101140506010101010101010114000a0101010101010101140506010102133031080910110101012e0c011205060e0f0a2f06ffffff010410110101120b0c01010101010101010101010101010101010101010101010101010101010101010101010101010101010114000a010108090d010101010101010114101101010e1d11010101010101280601010101011207010410110101120b0c0101140d01040d01040a0101040b0c01120d01010101010101010101010101010101010101010101010101010114000a010108090d0101010101010e0f101101010114000701120a01010108090b0c0101010101292a0e0f2b2c0c120b0c0101010e0f0d010101010101010114000a010101010101010108090a01010e0f0a0101010101010101292a0e0f2b2c0c120b0c01ffffff011405060101140506010101010101010101010101010101010101010101010112000000000000000000000b0c0101010101010405060101011210110101010101010101120b0c010101010101010101010e25060101010102260114050601011405060101021300000000000d01080900000010110101010101010112000000000000000000000b0c01010101010101040506010101121011010101010108090b0c01010114000a0101010101010112101101010101010e270809070226141011010101010410110101010101010114000a01010101010101010e0f0b0c0101120b0c010101010101010e27080907022614101101ffffff01080907010102130701010101010101010101010101010101010101010101010101010101010101010101010101010101010112101101010104050601010101010101010e0f0d01010101010101010101010822110101010101010809070101021307010101010101010101010101010101010101010101010101010101010101010101010101010101010101010101121011010101040506010101010101121011010101040007010101010101011205060101010101012324090701161f1307010101010809070101010101010114000a01010101010101010104000a010114050601010101010101012324090701161f130701ffffff010e0f0b0c010e0f0d01010101010101010101010101010101010101010101010101010101010101010101010101010101010e0f101101010104000701010101010101010108090a010101010101010101010108150c01010101010e0f0b0c010e0f0d01010101010101010101010101010101010101010101010101010101010101010101010101010101010101010e0f101101010104000701010101010102130d010102130b0c0101010101010e0f10110101010101011e1f17060108200f0a0101010101120b0c01010101010114000a010101010101010101141021060102130701010101010101011e1f17060108200f0a01ffffff010112000a0101120b0c0101010101010101010101010101010101010101010112000000000000000000000b0c01010101010e0f1011010101040007010101010101010101010213070101010101010101010104000b0c010101010112000a0101120b0c01010101010101010101010101010101010101010101010112000000000000000000000b0c0101010101010e0f1011010101040007010101010101010e0f000000070101010e0f0d010104000a01010101010101021b1011010114000b0c0101010114050601010101010114000a01010101010101010108091c1d110e0f0d0101010101010101021b1011010114000b0cffffff01011410180a0e0f0b0c010101010101010101010101010101010101010101010101010101010101010101010101010101010e0f101101010104000701010101010101010101010405060101010101010101140010110101010101011410180a0e0f0b0c010101010101010101010101010101010101010101010101010101010101010101010101010101010101010e0f101101010104000701010101010102130d010108090d01010809190000000a010101010101010400000b0c010101121011010101010e0f0a01010101010114000a01010101010101010101120a081a06120d010101010101010400000b0c010101121011ffffff01010217060400000a010101010101010101010101010101010101010101010101010101010101010101010101010101010101121011010101120506010101010101010101010102130d0101010101010108090007010101010101010217060400000a0101010101010101010101010101010101010101010101010101010101010101010101010101010101010101011210110101011205060101010101011205060101010405060108090a01010101010101010101010108090b0c0101010213070101010101041011010101010114000a01010101010101010809000d010e0f000a010101010101010108090b0c010101021307ffffff01010e0f0a0101010101010101010101010101010101010101010101010101010101010101010101010101010101010101010104050601010e0f1011010101010101010101010108090b0c01010101010e0f000a01010101161101010e0f0a0101010101010101010101010101010101010101010101010101010101010101010101010101010101010101010101010104050601010e0f101101010101010e0f10110101011400070108090a010101010101010101010101010101010101010101010101010101021307010101010114000a0101010101010101010101010101010101010101010101010101010101010101010101ffffff010101120d0101010101010101010101010101010101010101010101010101010101010101010101010101010101010101010102130a010108090b0c010101010101040d01010102130b0c010101010112000d0101010108150c010101120d0101010101010101010101010101010101010101010101010101010101010101010101010101010101010101010101010102130a010108090b0c0101010101011210110101010400070108090a01010101010101010101010101010101010101010101010101010101120d010114050614000a0101010101010101010101010101010101010101010101010101010101010101010101ffffff010101041011010101010101010101010101010101010101010101010101010101010101010101010101010101010101010101011210110112000701010101010101040007010112000a01010101010400000000000000000b0c01010104101101010101010101010101010101010101010101010101010101010101010101010101010101010101010101010101010101121011011200070101010101010102130d0101021310110108090a0101010101010101010101010101010101010101010101010101010114050601010e0f00000a0101010101010101010101010101010101010101010101010101010101010101010101ffffff0101040005060101010101010101010101010101010101010101010101010101010101010101010101010101010101010101010101040000000701010101010101010108090000000a01010101010101010101010101010101010101040005060101010101010101010101010101010101010101010101010101010101010101010101010101010101010101010101010101040000000701010101010101010108090000000b0c0101080900000000000d01010101010101010101010101010101010101010101010e0f0a0101010108090a0101010101010101010101010101010101010101010101010101010101010101010101ffffff0101010101010101010101010101010101010101010101010101010101010101010101010101010101010101010101010101010101010101010101010101010101010101010101010101010101010101010101010101010101010101010101010101010101010101010101010101010101010101010101010101010101010101010101010101010101010101010101010101010101010101010101010101010101010101010101010101010101010102030101010101010101010101010101010101010101010101010101010101010101010101010101010101010101010101010101010101010101010101010101010101010101ffffff0101010101010101010101010101010101010101010101010101010101010101010101010101010101010101010101010101010101010101010101010101010101010101010101010101010101010101010101010101010101010101010101010101010101010101010101010101010101010101010101010101010101010101010101010101010101010101010101010101010101010101010101010101010101010101010101010101010101010101010101010101010101010101010101010101010101010101010101010101010101010101010101010101010101010101010101010101010101010101010101010101010101ffffff0101010101010101010101010101010101010101010101010101010101010101010101010101010101010101010101010101010101010101010101010101010101010101010101010101010101010101010101010101010101010101010101010101010101010101010101010101010101010101010101010101010101010101010101010101010101010101010101010101010101010101010101010101010101010101010101010101010101010101010101010101010101010101010101010101010101010101010101010101010101010101010101010101010101010101010101010101010101010101010101010101010101ffffff0101010101010101010101010101010101010101010101010101010101010101010101010101010101010101010101010101010101010101010101010101010101010101010101010101010101010101010101010101010101010101010101010101010101010101010101010101010101010101010101010101010101010101010101010101010101010101010101010101010101010101010101010101010101010101010101010101010101010101010101010101010101010101010101010101010101010101010101010101010101010101010101010101010101010101010101010101010101010101010101010101010101ffffff0101010101010101010101010101010101010101010101010101010101010101010101010101010101010101010101010101010101010101010101010101010101010101010101010101010101010101010101010101010101010101010101010101010101010101010101010101010101010101010101010101010101010101010101010101010101010101010101010101010101010101010101010101010101010101010101010101010101010101010101010101010101010101010101010101010101010101010101010101010101010101010101010101010101010101010101010101010101010101010101010101010101ffffff0c00000040092900aa000000000000001900f50000000000040000002701ffff030000000000>,
тогда общие гидравлические потери по
всей сети составят:
Σ>010009000003082e000000002f14000000001610000026060f002220574d464301000000000001005a46000000000200000000200000f0120000f0320000010000006c0000000000000000000000920100001800000000000000000000003a2900008e02000020454d4600000100f03200000c00000001000000000000000000000000000000900600001a040000b801000013010000000000000000000000000000c0b6060038320400460000002c00000020000000454d462b014001001c000000100000000210c0db01000000600000006000000046000000f8080000ec080000454d462b224004000c000000000000001e4009000c00000000000000244001000c000000000000003040020010000000040000000000803f214007000c000000000000000840000544080000380800000210c0db01000000000000000000000000000000000000000100000089504e470d0a1a0a0000000d49484452000001930000001908020000007b22543c000000017352474200aece1ce9000000097048597300000ec400000ec401952b0e1b000007bf49444154785eed5c3d721b3b0c5ebf932893c6850e214d1a79dce60676e371bb1a9dc163b51937f20ddc7aacc6231d42459a8c75133d827f0bfe83abdd959450552c93c0878f20480074ae0e8743553e8581c24061e0a218f8efa2d016b08581c2406100182891abf84161a03070790c94c875796b561017060a032572151ff8e719d8bfdeccb7fdb230808a7e0d383be932723162afe073f3baef0de276ce55783e5aeb103072ed23c06622cf1139b694e34badae616a70705094c9544a59ee3a2886c17f5271268ec459d16ff7eb5c3489f1d92a52d619021df37b651ea0398b091abb5ee1cc3560bd45f1f95acdaaaadee89f7bf8c7a60670860efed56cf535248c5ccb28b087213017b9b1b626cf9628befacdd20893f1ba244459f3c58fddb913c7231dc7b31cd898341210e033ad2dbb9e79792a12d6991659f6897ddb30dd35f307db14a920e01e1d72981055e9df03c27e031753e57a1d1081dd6810182858935c380d5bdad63b816d3c0328aeebf876e563d0b125fcd32127240aef3d7410261cca5efb90711c0cc2e21c77682201495e5869c3b8b3dd634252d6391619b18a606f2b0bd424633f6ae6622b70943afa645de7daffd955b3eb51e68d2d77f8e4196c5e4e9bfbeee8eee3f071a7f50e03a373d8902f0e42602e72c8631feec79bc7eb5d742a2cc3f3a41932fa3e76c7074581edd6c72b201f3dccd87fbeadabd9cf1fda4946d72c92ad7fef3de2fa45d20e7f7c56cabaedfb925d296ef1dafcf8c9ecdffd01fb7bb677fffab444ca27cf07bc59fba0832c53452ee00f9c43e7db7d25b16eecc25807834126480e8cc396db6b1002f3908b608363126dbed811e3ef3a5aa810e81525c294d84bf2c305747314ee7fb3321486e251a7d4f68b84c65ddea81cebb06411b9b3ecd5e530737307be5667861135c9b6d1cac38db86c6c3a7231ef18579f370fd58b2879addf3e7d671a197978602c08c0320e0423d79244ec3a4be410b7aad5233aaf89568b8b009e191735790497b9ffb555f2b7bf58d5bb5e349769a262cf30dfb5227ce9a222797bd0ada2be0e69920a9a75c6a1607044b517264d9ed9ce9ed5f50caf14bb56ed66221b47b90fd7c1ef116ddc87eb12a5a1a604a1b2625b8b3027179b7a89caafa4cbb7ea858b4ddcf4c3e1543943c2174410f07cb260b4df0b2d6706613379fd216fcfb608362ff9d10326aeeb0d4ee253a220dbfc5aeda6ca03a6152b9ae55ff55aae0c9e964602c9e67abcd0f5b8f5fd37afc3b667bea2aa20d82b43d383eefa6fe7462f346d2f52c276f6baba66c9e6f25d1e32ec88192f169ed200f36976fae0249d00f6982159d89822be7e5691b0ef3663a80adf3b8c40c0447cc70af691e641efc8e9954bdc046cac69006eea4453c22d609b9574af286f87cb51d48a7fbb99a6fc3550fea721417c7ae4e7b31d9f115141b2cee0adde18f5f13c7bd954760bd24b0c77b0d597dd2310c6c41a19a40a7de0ce15a42a031b93212297b9277b0e5ce10030280cb90148bd4597238bfea191a7b7562448c44cf6ad3d4154bb0e17b1b71810ee37a30512d2364c331e1b115191659d7bcfc8b4574407f5040aff64d31939a7e51b81d4d66917b928d880065ee78254071553a16413abad1e718b66bae6d36520774ec2c0cff5749542b6292d50a9b78ab9d7da08ec7c02b394b7641bda40f6c542ba9abfd0c01d812522d5eacbcaf2d2a278ae6cba4ca48a9e653e1bcc5b8966f9dfaed96b91ad9118cd0821ae25f341f33c2a32ade3a28d66644b7b47d09e5c4ea7bb5015cb6a2ae62ed931e393d88470885cbc48d8d0ca0308ea413b282c4ff69c35c1bd210280517a61e1485419d2305848e5053ffdf8082ebbf225072f07a8536053e38717c7d0a87c380c9b84fc080847b09da915160757b7e87fb1127ca6e0dfac99b87810c41d23f7a180969846c2e291d55a73c3ae10d79a79ba0a885c19d6f1780ad527bd85d2f6fac91edd2de0fd66a885c2a363bba662e6e27a8627b0a9194e91abc96fe55df2b87b329eedcb9c71caed3c37e491c88181928c4dad7b176c98bebe466fba0da28c6cc5779756dff99e1262e432db52484561425769e48ff8abee18d7923ca50c010bf367568ef4f960c1f156452c61a2af944a2788fc4b1755e21cfda6ee14120b993dbc0bee532a2c9dc2032459fe9a9344e5039bb2d7b97abbafa5bd8c46178fb4bc916cd16788dfdf7c9b8bfb29ab73d9f1446fa56e1f84a31d6ac759ae880cc3efef285891eb74949d93824d42ce02ec4a3e5267f2e03dbbe2b681ddf939614668c9b9fd125d01f19be97a2f1a67ffd21241f01e0affca0a2cdd12ed6c8304127992282f4cc5d736b12caec2ddb711eb847aebf433315199d7a8dc3fc0e36434294be8d4f1ba8977a51103bab02618072d2e0339d8b8d35e310e8ebfdf0d2a81ddc59faeedb7272cb341bd6266d9493af2211eb6f379f57cfb7ef554b1abc8ed07fbd7fb2d47e8b56550368bb2c280c500734a78d472563b484304703b787a7679ffcb0d14399cf2897833c7524bf1394bd25925ae5a568bb3c456766f61403270c2da3c610d60f78beadcc5452ea8e33ba543f5474304d34f38c4fedb4006851558f57be6edbcafc7dc27b4b9a8be30064e5a9b4f71c57a48cd65b04d167fba392a1b366a132af9eea360d185a99e52385b225ce9e22b46280c7581a6c8280c8419b0abcde7cbd505d6b95281b9fcbe305018f8eb19b8b86cf1af5f91626061a0309066a044ae3447654461a030706e0cfc0ffa9d2e276290feea0000000049454e44ae42608200000840010824000000180000000210c0db01000000030000000000000000000000000000001b40000040000000340000000100000002000000000000bf000000bf0080c9430000c84103000000000000b3000000b3ff7fc943000000b3000000b3ffffc7412100000008000000620000000c00000001000000150000000c00000004000000150000000c0000000400000051000000942800000000000000000000920100001800000000000000000000000000000000000000930100001900000050000000d00000002001000074270000000000002000cc00930100001900000028000000930100001900000001000800000000000000000000000000000000002a0000000000000000000000ffffff009cdfff00bf744800489cdf0048000000ffdf9c0074bfff00df9c480000004800bfffff00000074009c480000ffffdf00ffbf7400bf740000dfffff0000489c0074000000ffffbf000074bf0074740000740048009cdfbf0048004800489c9c0048484800744848000048740048489c0000484800740074009c487400bfffbf00dfdf9c0074bfbf0074489c007474bf0000747400bfffdf0048007400487474000101010101010101010101010101010101010101010101010101010101010101010101010101010101010101010101010101010101010101010101010101010101010101010101010101010101010101010101010101010101010101010101010101010101010101010101010101010101010101010101010101010101010101010101010101010101010101010101010101010101010101010101010101010101010101010101010101010101010101010101010101010101010101010101010101010101010101010101010101010101010101010101010101010101010101010101010101010101010101010101010101010101010101010101010101010101010101010101010101010101010101010101010101010101010101010101010101010101010101010101010101010101010101010101010101010101010101010101010101010101010101010101010101010101010101010101010101010101010101010101010101010101010101010101010101010101010101010101010101010101010101010101010101010101010100010101010101010101010101010101010101010101010101010101010101010101010101010101010101010101010101010101010101010101010101010101010101010101010101010101010101010101010101010101010101010101010101010101010101010101010101010101010101010101010101010101010101010101010101010101010101010101010101010101010101010101010101010101010101010101010101010101010101010101010101010101010101010101010101010101010101010101010101010101010101010101010101010101010101010101010101010101010101010101010101010101010101010101010101010101010101010101010101010101010101010101010101010101010101010101010101010101010101010101010101010101010101010101010101010101010101010101010101010101010101010101010101010101010101010101010101010101010101010101010101010101010101010101010101010101010101010101010101010101010101010101010101010101010101010001010101010101010101010101010101010101010101010101010101010101010101010101010101010101010101010101010101010101010101010101010101010101010101010101010101010101010101010101010101010101010101010101010101010101010101010101010101010101010101010101010101010101010101010101010101010101010101010101010101010101010101010101010101010101010101010101010101010101010101010101010101010101010101010101010101010101010101010101010101010101010101010101010101010101010101010101010101010101010101010101010101010101010101010101010101010101010101010101010101010101010101010101010101010101010101010101010101010101010101010101010101010101010101010101010101010101010101010101010101010101010101010101010101010101010101010101010101010101010101010101010101010101010101010101010101010101010101010101010101010101010101010101010101010101000101010101010101010101010101010101010101010101010101010101010101010101010101010101010101010101010101010101010101010114000506010101040005060101010101010101010101010101010101010101010101010101010101010101010101010101010101010101010101010107000f010107001213010700000f01010101010101010101010101010101010101010101010101010101010101010101010101010101010101010101010101010101010101010101010101010101010101010101010101010101010101010101010101010101010101010101010101010101010101010101010101010101010101010101010101010101010101010101010101010101010101010101010101010101010101010101010101010101010101010101010101010101010101010101010101010101010101010101010101010101010101010101010101010101010101010101070506010101010101010101010101010101010101010101010101010101010101010101010101010101010101010101010101010101010101000101010101010101010101010101010101010101010101010101010101010101010101010101010101010101010101010101010101010101010110110e010101011011080101010101010101010101010101010101010101010101010101010101010101010101010101010101010101010101010101012513010101140e0102090e01070801010101010101010101010101010101010101010101010101010101010101010101010101010101010101010101010101010101010101010101010101010101010101010101010101010101010101010101010101010101010101010101010101010101010101010101010101010101010101010101010101010101010101010101010101010101010101010101010101010101010101010101010101010101010101010101010101010101010101010101010101010101010101010101010101010101010101010101010101010101010101010110110f0101010101010101010101010101010101010101010101010101010101010101010101010101010101010101010101010101140e0101000101010101010101010101010101010101010101010101010101010101010101010101010101010101010101010101010101010101010101010101140f0101010101040c0d01010101010101010101010101010101010101010101010101010101010101010101010101010101010101010101010101012513040f01140e01070c0d01010101010101010101010101010101010101010101010101010101010101010101010101010101010101010101010101010101010101010101010101010101010101010101010101010101010101010101010101010101010101010101010101010101010101010101010101010101010101010101010101010101010101010101010101010101010101010101010101010101010101010101010101010101010101010101010101010101010101010101010101010101010101010101010101010101010101010101010101010101010101010101010101041213010101010101010101010101010101010101010101010101010101010101010101010101010101010101010101010101010a0b0e01000101010101010101010101010101010101010101010101010101010101010101010101010101010101010101010101010101010101010101010101070c0d0101010102090000000e0101010101010101010101010101010101010101010101010101010101010101010101010101010101010101010101252128290e140e01070c0d010101010101010101010101010101010101010101010101010101010101010101010101010101010101010101010101010101010101010101010101010101010101010101010101010101010101010101010101010101010101010101010101010101010101010101010101010101010101010101010101010101010101010101010101010101010101010101010101010101010101010101010101010101010101010101010101010101010101010101010101010101010101010101010101010101010101010101010101010101010101010101010101010a0b0e0101010101010101010101010101010101010101010101010101010101010101010101010101010101010101010101010101140c0d000a0b080101010400000e010101010101010101010101010101010101010101010101010400000000000000000e0a0b080101010400000e01010101021806010101010a0b0e0102090e0101010101010101010101040c0d0101010101010101010400000000000000000e010a0b080101010400000e010125190f1024260e010a0b0e01140e01010101010101010101010101010101010101010101010101010101020900000801010a0b121301040000000000000c0d0101010102090000080101010102090000000f0101010101010101010101040c0d01010101010101010101011011000012130101010a0b1213010102090000000f010101010a0b000000050601010101010101010101010101010101010101010101010101010a0b00000005060101010a0b1213010110110000121301010101010a0b000e01010101010102090000000f010101010101010a0b0012130101011400000c0d01140c0d010101010110110000000000121301010101010a0b00000f101100000c270b121301010a0b0012130101011400000c0d011412130010110c0d0101140c0d140e01010101010101010101010101010101010101010101010101140c0d0101010a0b0810110c0d0101140c0d140e01010110110801070e010114080101140f0101010101010101010101040c0d01010101010101010101140c0d0101010a0b080110110c0d0101140c0d140e07001213010209121301020900000e01010101010101010101010101010101010101010101010101010101010209080101010a0b1213010a0b0e01010102161301010101010209080101010107000f01010a0b0c0d010101010101010101040c0d01010101010101010101101105060104050601010a0b12130107000f01010a0b0c0d0101140506010114000e01010101010101010101010101010101010101010101010101140506010114000e01010a0b12130110110506010405060101010101010a0b121301010107000f01010a0b0c0d0101010101010216130101010110110c0d010107050601010101010101010700080101010101010101010a0b0f010110110c0d0a0b12130101010216130101010110110c0d010114121300010412130101140c0d0101010101010101010101010101010101010101010101010101010a0b08010101010408010412130101140c0d010101070f01040f0104080101040c0d01140f0101010101010101010101040c0d010101010101010101010a0b0801010101040801010412130101140c0d01010101010101010101010101010101010101010101010101010101010101010101010101010101010101010101020908010101010101010101071213010110241301010101010209080101011011121301010107000e010101010101010101040c0d0101010101010101010107000801010a0b0f0101010101011011121301010107000e010114080101010a0b0c0d01010101010101010101010101010101010101010101010114080101010a0b0c0d01010101010107000801010a0b0f0101010101010101140c0d011011121301010107000e0101010101010a1f1301140f0110110c0d010110110f01010101010101010700080101010101010101010a0b0f010110110c0d010101010101010a1f1301140f0110110c0d010101010100010705060101070506010101010101010114000000000000000000000c0d010101010101010705060101010101010705060101070506010101020900000000000f010a0b00000012130101010101010101010101040c0d0101010101010101010101070506010101010101010705060101070506010101010101010101010101010101010101010101010114000000000000000000000c0d0101010101010101010102090801010101010101010101140c0d0101010101010101010209080101010a0b0c0d010101070008010101010101010101040c0d0101010101010101010104050601010114121301010101010a0b0c0d0101010700080101010101010101141213010101010114000000000000000000000c0d01010101010101010101010114121301010101010104050601010114121301010101010101020908010a0b0c0d0101010700080101010101010a1f130209050610110c0d010101041213010101010101010700080101010101010101010a0b0f010110110c0d010101010101010a1f130209050610110c0d010101010100010a0b0e010102090e0101010101010101010101010101010101010101010101010101010101140f0101010101010a0b0e010102090e010101010101010101010101010101010101010101010101010101010101040c0d010101010101010101010101140f010101010101010a0b0e010102090e01010101010101010101010101010101010101010101010101010101010101010101010101010101010700000000000000000c0d0101010101010110110f010101010700000000000000000c0d0114121301010104000e010101010101010101040c0d0101010101010101010114121301010104050601010101010114121301010104000e01010101010101011405060101010101010101010101010101010101010101010101010101010101011405060101010101011412130101010405060101010101010110110c0d0114121301010104000e0101010101010a1f130412230f10110c0d0101010a0b0e010101010101010700080101010101010101010a0b0f010110110c0d010101010101010a1f130412230f10110c0d0101010101000110110c0d0110110f01010101010101010101010101010101010101010101010101010101010a0b0e010101010110110c0d0110110f0101010101010101010101010101010101010101010101010114000000000000000000000c0d010101010101010a0b0e01010101010110110c0d0110110f010101010101010101010101010101010101010101010101010101010101010101010101010101010110110801010209080a200d01010101010101010a0b0801010110110801010209080a200d0102090f010102090c0d0101010114000000000000000000000c0d010101011011121301010104000e01010101010102090f010102090c0d010101010101011011121301010101010101010101010101010101010101010101010101010101011011121301010101011011121301010104000e010101140000000f1405060102090f010102090c0d0101010101010a1f210b08101d22110c0d01010101140c0d0101010101010700080101010101010101010a0b0f010110110c0d010101010101010a1f210b08101d22110c0d01010101010001011400080101140c0d0101010101010114000000000000000000000c0d01010101010101010107121301010101011400080101140c0d0101010101010101010101010101010101010101010101010101010101040c0d010101010101010101010101010712130101010101011400080101140c0d0101010101010101010101010101010101010101010114000000000000000000000c0d01010101010102188e09000026060f001213574d4643010000000000010000000000000002000000f012000000000000f0320000060102090801010101010101010101010102090e01010102180601020908010101010110110000000e0101010101010101010101040c0d0101010101010101011011121301010104000e0101010101010110110000000e0101010110110f010104000801010101010114000000000000000000000c0d01010101010110110f01010400080101010101011011121301010104000e010104000801010700000e010110110000000e01010101010101010a1f19121301070f140c0d010101010705060101010101010700080101010101010101010a0b0f010110110c0d010101010101010a1f19121301070f140c0d01010101010001010712190810110c0d010101010101010101010101010101010101010101010101010101010a0b121301010101010712190810110c0d0101010101010101010101010101010101010101010101010101010101040c0d0101010101010101010101010a0b12130101010101010712190810110c0d010101010101010101010101010101010101010101010101010101010101010101010101010101010101040c0d02090801010101010101010101010101040506010101040c0d0209080101010102090f01010a0b0f01010101010101010101040c0d0101010101010101011011121301010104000e01010101010102090f01010a0b0f0101010a0b1a0000000801010101010101010101010101010101010101010101010101010a0b1a00000008010101010101011011121301010104000e010a0b0c0d01010104000e0102090f01010a0b0f01010101010101021b1c0f0101101d1e0c0d010101011011080101010101010700080101010101010101010a0b0f010110110c0d01010101010101021b1c0f0101101d1e0c0d010101010100010102180604000008010101010101010101010101010101010101010101010101010101010114000e01010101010102180604000008010101010101010101010101010101010101010101010101010101010101040c0d01010101010101010101010114000e01010101010101021806040000080101010101010101010101010101010101010101010101010101010101010101010101010101010101010110110e0209080101010101010101010101010102090f01010110110e02090801010101140506010101040506010101010101010101040c0d0101010101010101010114121301010114050601010101010114050601010104050601010a0b080101010101010101010101010101010101010101010101010101010101010a0b08010101010101010101010101141213010101140506010a0b0f0101010104000e0114050601010104050601010101010a0b0005060101010700000c0d01010101041213010101010107000801010101010101010a0b000000000000000c0d01010101010a0b0005060101010700000c0d01010101000101101108010101010101010101010101010101010101010101010101010101010101010107000f0101010101010110110801010101010101010101010101010101010101010101010101010101010101010101040c0d010101010101010101010107000f01010101010101011011080101010101010101010101010101010101010101010101010101010101010101010101010101010101010101010101010216170908010101010101010101010101010a0b0c0d01010102161709080101011011121301010107000e010101010101010101040c0d0101010101010101010104050601011011121301010101011011121301010107000e01010a0b080101010101010101010101010101010101010101010101010101010101010a0b08010101010101010101010101040506010110111213010a0b0f010101010405061011121301010107000e0101010101010101010101010101010101010101010102090e0101010101070008010101010101010101010101010101010101010101010101010101010101010101010101010101010100010101140f010101010101010101010101010101010101010101010101010101010101010a0b12130101101108010101140f01010101010101010101010101010101010101010101010101010101010101010101040c0d010101010101010101010a0b1213010110110801010101140f0101010101010101010101010101010101010101010101010101010101010101010101010101010101010101010101010104150b080101010101010101040f01010102090c0d0101010104150b080101010114121301010104000e010101010101010101040c0d0101010101010101010102090801010a0b0c0d01010101010114121301010104000e01010a0b080101010101010101010101010101010101010101010101010101010101010a0b0801010101010101010101010102090801010a0b0c0d01011412130101101112130114121301010104000e0101010101010101010101010101010101010101010101140f010107050607000801010101010101010101010101010101010101010101010101010101010101010101010101010101010001010104121301010101010101010101010101010101010101010101010101010101010114000e0101010700080101010412130101010101010101010101010101010101010101010101010101010101010101010101010101010101010101010114000e0101010700080101010104121301010101010101010101010101010101010101010101010101010101010101010101010101010101010101010101010110110008010101010101010104000e01011400080101010101101100080101010102090f01010209121301010101010101010101010101010101010101010101011412130114000e0101010101010102090f01010209121301010a0b080101010101010101010101010101010101010101010101010101010101010a0b08010101010101010101010101011412130114000e01010102090f010104000e010102090f0101020912130101010101010101010101010101010101010101010101070506010110110000080101010101010101010101010101010101010101010101010101010101010101010101010101010101000101040005060101010101010101010101010101010101010101010101010101010101070000000000000000080101040005060101010101010101010101010101010101010101010101010101010101010101010101010101010101010101010700000000000000000801010104000506010101010101010101010101010101010101010101010101010101010101010101010101010101010101010101010101010209080101010101010101010a0b000000080101010101010102090801010101010a0b0000000c0d01010101010101010101010101010101010101010101010101040000000e0101010101010101010a0b0000000c0d0101010a0b00000000000f010101010101010101010101010101010101010101010101010a0b00000000000f010101010101010101040000000e01010101010a0b0000000e010101010a0b0000000c0d010101010101010101010101010101010101010101010101101108010101010a0b08010101010101010101010101010101010101010101010101010101010101010101010101010101010100010101010101010101010101010101010101010101010101010101010101010101010101010101010101010101010101010101010101010101010101010101010101010101010101010101010101010101010101010101010101010101010101010101010101010101010101010101010101010101010101010101010101010101010101010101010101010101010101010101010101010101010101010101010101010101010101010101010101010101010101010101010101010101010101010101010101010101010101010101010101010101010101010101010101010101010101010101010101010101010101010101010101010101010101010101010102030101010101010101010101010101010101010101010101010101010101010102030101010101010101010101010101010101010101010101010101010101010101010101010101010101010101010101010101010101010101010101010101010101010101010101010101010101010101010101010101010101010101010101010101010101010101010101010101010001010101010101010101010101010101010101010101010101010101010101010101010101010101010101010101010101010101010101010101010101010101010101010101010101010101010101010101010101010101010101010101010101010101010101010101010101010101010101010101010101010101010101010101010101010101010101010101010101010101010101010101010101010101010101010101010101010101010101010101010101010101010101010101010101010101010101010101010101010101010101010101010101010101010101010101010101010101010101010101010101010101010101010101010101010101010101010101010101010101010101010101010101010101010101010101010101010101010101010101010101010101010101010101010101010101010101010101010101010101010101010101010101010101010101010101010101010101010101010101010101010101010101010101010101010101010101010101010101010101010101010101010101010101010101000101010101010101010101010101010101010101010101010101010101010101010101010101010101010101010101010101010101010101010101010101010101010101010101010101010101010101010101010101010101010101010101010101010101010101010101010101010101010101010101010101010101010101010101010101010101010101010101010101010101010101010101010101010101010101010101010101010101010101010101010101010101010101010101010101010101010101010101010101010101010101010101010101010101010101010101010101010101010101010101010101010101010101010101010101010101010101010101010101010101010101010101010101010101010101010101010101010101010101010101010101010101010101010101010101010101010101010101010101010101010101010101010101010101010101010101010101010101010101010101010101010101010101010101010101010101010101010101010101010101010101010101010101010101010100010101010101010101010101010101010101010101010101010101010101010101010101010101010101010101010101010101010101010101010101010101010101010101010101010101010101010101010101010101010101010101010101010101010101010101010101010101010101010101010101010101010101010101010101010101010101010101010101010101010101010101010101010101010101010101010101010101010101010101010101010101010101010101010101010101010101010101010101010101010101010101010101010101010101010101010101010101010101010101010101010101010101010101010101010101010101010101010101010101010101010101010101010101010101010101010101010101010101010101010101010101010101010101010101010101010101010101010101010101010101010101010101010101010101010101010101010101010101010101010101010101010101010101010101010101010101010101010101010101010101010101010101010101010101010001010101010101010101010101010101010101010101010101010101010101010101010101010101010101010101010101010101010101010101010101010101010101010101010101010101010101010101010101010101010101010101010101010101010101010101010101010101010101010101010101010101010101010101010101010101010101010101010101010101010101010101010101010101010101010101010101010101010101010101010101010101010101010101010101010101010101010101010101010101010101010101010101010101010101010101010101010101010101010101010101010101010101010101010101010101010101010101010101010101010101010101010101010101010101010101010101010101010101010101010101010101010101010101010101010101010101010101010101010101010101010101010101010101010101010101010101010101010101010101010101010101010101010101010101010101010101010101010101010101010101010101010101010101010101004c0000006400000000000000000000009201000018000000000000000000000093010000190000002900aa0000000000000000000000803f00000000000000000000803f0000000000000000000000000000000000000000000000000000000000000000220000000c000000ffffffff460000001c00000010000000454d462b024000000c000000000000000e000000140000000000000010000000140000000400000003010800050000000b0200000000050000000c0219009301030000001e00040000000701040004000000070104002f140000410b2000cc001900930100000000190093010000000028000000930100001900000001000800000000000000000000000000000000002a0000000000000000000000ffffff009cdfff00bf744800489cdf0048000000ffdf9c0074bfff00df9c480000004800bfffff00000074009c480000ffffdf00ffbf7400bf740000dfffff0000489c0074000000ffffbf000074bf0074740000740048009cdfbf0048004800489c9c0048484800744848000048740048489c0000484800740074009c487400bfffbf00dfdf9c0074bfbf0074489c007474bf0000747400bfffdf0048007400487474000101010101010101010101010101010101010101010101010101010101010101010101010101010101010101010101010101010101010101010101010101010101010101010101010101010101010101010101010101010101010101010101010101010101010101010101010101010101010101010101010101010101010101010101010101010101010101010101010101010101010101010101010101010101010101010101010101010101010101010101010101010101010101010101010101010101010101010101010101010101010101010101010101010101010101010101010101010101010101010101010101010101010101010101010101010101010101010101010101010101010101010101010101010101010101010101010101010101010101010101010101010101010101010101010101010101010101010101010101010101010101010101010101010101010101010101010101010101010101010101010101010101010101010101010101010101010101010101010101010101010101010101010101010101010100010101010101010101010101010101010101010101010101010101010101010101010101010101010101010101010101010101010101010101010101010101010101010101010101010101010101010101010101010101010101010101010101010101010101010101010101010101010101010101010101010101010101010101010101010101010101010101010101010101010101010101010101010101010101010101010101010101010101010101010101010101010101010101010101010101010101010101010101010101010101010101010101010101010101010101010101010101010101010101010101010101010101010101010101010101010101010101010101010101010101010101010101010101010101010101010101010101010101010101010101010101010101010101010101010101010101010101010101010101010101010101010101010101010101010101010101010101010101010101010101010101010101010101010101010101010101010101010101010101010101010101010101010101010101010001010101010101010101010101010101010101010101010101010101010101010101010101010101010101010101010101010101010101010101010101010101010101010101010101010101010101010101010101010101010101010101010101010101010101010101010101010101010101010101010101010101010101010101010101010101010101010101010101010101010101010101010101010101010101010101010101010101010101010101010101010101010101010101010101010101010101010101010101010101010101010101010101010101010101010101010101010101010101010101010101010101010101010101010101010101010101010101010101010101010101010101010101010101010101010101010101010101010101010101010101010101010101010101010101010101010101010101010101010101010101010101010101010101010101010101010101010101010101010101010101010101010101010101010101010101010101010101010101010101010101010101010101010101010101000101010101010101010101010101010101010101010101010101010101010101010101010101010101010101010101010101010101010101010114000506010101040005060101010101010101010101010101010101010101010101010101010101010101010101010101010101010101010101010107000f010107001213010700000f01010101010101010101010101010101010101010101010101010101010101010101010101010101010101010101010101010101010101010101010101010101010101010101010101010101010101010101010101010101010101010101010101010101010101010101010101010101010101010101010101010101010101010101010101010101010101010101010101010101010101010101010101010101010101010101010101010101010101010101010101010101010101010101010101010101010101010101010101010101010101010101070506010101010101010101010101010101010101010101010101010101010101010101010101010101010101010101010101010101010101000101010101010101010101010101010101010101010101010101010101010101010101010101010101010101010101010101010101010101010110110e010101011011080101010101010101010101010101010101010101010101010101010101010101010101010101010101010101010101010101012513010101140e0102090e01070801010101010101010101010101010101010101010101010101010101010101010101010101010101010101010101010101010101010101010101010101010101010101010101010101010101010101010101010101010101010101010101010101010101010101010101010101010101010101010101010101010101010101010101010101010101010101010101010101010101010101010101010101010101010101010101010101010101010101010101010101010101010101010101010101010101010101010101010101010101010101010110110f0101010101010101010101010101010101010101010101010101010101010101010101010101010101010101010101010101140e0101000101010101010101010101010101010101010101010101010101010101010101010101010101010101010101010101010101010101010101010101140f0101010101040c0d01010101010101010101010101010101010101010101010101010101010101010101010101010101010101010101010101012513040f01140e01070c0d01010101010101010101010101010101010101010101010101010101010101010101010101010101010101010101010101010101010101010101010101010101010101010101010101010101010101010101010101010101010101010101010101010101010101010101010101010101010101010101010101010101010101010101010101010101010101010101010101010101010101010101010101010101010101010101010101010101010101010101010101010101010101010101010101010101010101010101010101010101010101010101010101041213010101010101010101010101010101010101010101010101010101010101010101010101010101010101010101010101010a0b0e01000101010101010101010101010101010101010101010101010101010101010101010101010101010101010101010101010101010101010101010101070c0d0101010102090000000e0101010101010101010101010101010101010101010101010101010101010101010101010101010101010101010101252128290e140e01070c0d010101010101010101010101010101010101010101010101010101010101010101010101010101010101010101010101010101010101010101010101010101010101010101010101010101010101010101010101010101010101010101010101010101010101010101010101010101010101010101010101010101010101010101010101010101010101010101010101010101010101010101010101010101010101010101010101010101010101010101010101010101010101010101010101010101010101010101010101010101010101010101010101010a0b0e0101010101010101010101010101010101010101010101010101010101010101010101010101010101010101010101010101140c0d000a0b080101010400000e010101010101010101010101010101010101010101010101010400000000000000000e0a0b080101010400000e01010101021806010101010a0b0e0102090e0101010101010101010101040c0d0101010101010101010400000000000000000e010a0b080101010400000e010125190f1024260e010a0b0e01140e01010101010101010101010101010101010101010101010101010101020900000801010a0b121301040000000000000c0d0101010102090000080101010102090000000f0101010101010101010101040c0d01010101010101010101011011000012130101010a0b1213010102090000000f010101010a0b000000050601010101010101010101010101010101010101010101010101010a0b00000005060101010a0b1213010110110000121301010101010a0b000e01010101010102090000000f010101010101010a0b0012130101011400000c0d01140c0d010101010110110000000000121301010101010a0b00000f101100000c270b121301010a0b0012130101011400000c0d011412130010110c0d0101140c0d140e01010101010101010101010101010101010101010101010101140c0d0101010a0b0810110c0d0101140c0d140e01010110110801070e010114080101140f0101010101010101010101040c0d01010101010101010101140c0d0101010a0b080110110c0d0101140c0d140e07001213010209121301020900000e01010101010101010101010101010101010101010101010101010101010209080101010a0b1213010a0b0e01010102161301010101010209080101010107000f01010a0b0c0d010101010101010101040c0d01010101010101010101101105060104050601010a0b12130107000f01010a0b0c0d0101140506010114000e01010101010101010101010101010101010101010101010101140506010114000e01010a0b12130110110506010405060101010101010a0b121301010107000f01010a0b0c0d0101010101010216130101010110110c0d010107050601010101010101010700080101010101010101010a0b0f010110110c0d0a0b12130101010216130101010110110c0d010114121300010412130101140c0d0101010101010101010101010101010101010101010101010101010a0b08010101010408010412130101140c0d010101070f01040f0104080101040c0d01140f0101010101010101010101040c0d010101010101010101010a0b0801010101040801010412130101140c0d01010101010101010101010101010101010101010101010101010101010101010101010101010101010101010101020908010101010101010101071213010110241301010101010209080101011011121301010107000e010101010101010101040c0d0101010101010101010107000801010a0b0f0101010101011011121301010107000e010114080101010a0b0c0d01010101010101010101010101010101010101010101010114080101010a0b0c0d01010101010107000801010a0b0f0101010101010101140c0d011011121301010107000e0101010101010a1f1301140f0110110c0d010110110f01010101010101010700080101010101010101010a0b0f010110110c0d010101010101010a1f1301140f0110110c0d010101010100010705060101070506010101010101010114000000000000000000000c0d010101010101010705060101010101010705060101070506010101020900000000000f010a0b00000012130101010101010101010101040c0d0101010101010101010101070506010101010101010705060101070506010101010101010101010101010101010101010101010114000000000000000000000c0d0101010101010101010102090801010101010101010101140c0d0101010101010101010209080101010a0b0c0d010101070008010101010101010101040c0d0101010101010101010104050601010114121301010101010a0b0c0d0101010700080101010101010101141213010101010114000000000000000000000c0d01010101010101010101010114121301010101010104050601010114121301010101010101020908010a0b0c0d0101010700080101010101010a1f130209050610110c0d010101041213010101010101010700080101010101010101010a0b0f010110110c0d010101010101010a1f130209050610110c0d010101010100010a0b0e010102090e0101010101010101010101010101010101010101010101010101010101140f0101010101010a0b0e010102090e010101010101010101010101010101010101010101010101010101010101040c0d010101010101010101010101140f010101010101010a0b0e010102090e01010101010101010101010101010101010101010101010101010101010101010101010101010101010700000000000000000c0d0101010101010110110f010101010700000000000000000c0d0114121301010104000e010101010101010101040c0d0101010101010101010114121301010104050601010101010114121301010104000e01010101010101011405060101010101010101010101010101010101010101010101010101010101011405060101010101011412130101010405060101010101010110110c0d0114121301010104000e0101010101010a1f130412230f10110c0d0101010a0b0e010101010101010700080101010101010101010a0b0f010110110c0d010101010101010a1f130412230f10110c0d0101010101000110110c0d0110110f01010101010101010101010101010101010101010101010101010101010a0b0e010101010110110c0d0110110f0101010101010101010101010101010101010101010101010114000000000000000000000c0d010101010101010a0b0e01010101010110110c0d0110110f010101010101010101010101010101010101010101010101010101010101010101010101010101010110110801010209080a200d01010101010101010a0b0801010110110801010209080a200d0102090f010102090c0d0101010114000000000000000000000c0d010101011011121301010104000e01010101010102090f010102090c0d010101010101011011121301010101010101010101010101010101010101010101010101010101011011121301010101011011121301010104000e010101140000000f1405060102090f010102090c0d0101010101010a1f210b08101d22110c0d01010101140c0d0101010101010700080101010101010101010a0b0f010110110c0d010101010101010a1f210b08101d22110c0d01010101010001011400080101140c0d0101010101010114000000000000000000000c0d01010101010101010107121301010101011400080101140c0d0101010101010101010101010101010101010101010101010101010101040c0d010101010101010101010101010712130101010101011400080101140c0d0101010101010101010101010101010101010101010114000000000000000000000c0d0101010101010218060102090801010101010101010101010102090e01010102180601020908010101010110110000000e0101010101010101010101040c0d0101010101010101011011121301010104000e0101010101010110110000000e0101010110110f010104000801010101010114000000000000000000000c0d01010101010110110f01010400080101010101011011121301010104000e010104000801010700000e010110110000000e01010101010101010a1f19121301070f140c0d010101010705060101010101010700080101010101010101010a0b0f010110110c0d010101010101010a1f19121301070f140c0d01010101010001010712190810110c0d010101010101010101010101010101010101010101010101010101010a0b121301010101010712190810110c0d0101010101010101010101010101010101010101010101010101010101040c0d0101010101010101010101010a0b12130101010101010712190810110c0d010101010101010101010101010101010101010101010101010101010101010101010101010101010101040c0d02090801010101010101010101010101040506010101040c0d0209080101010102090f01010a0b0f01010101010101010101040c0d0101010101010101011011121301010104000e01010101010102090f01010a0b0f0101010a0b1a0000000801010101010101010101010101010101010101010101010101010a0b1a00000008010101010101011011121301010104000e010a0b0c0d01010104000e0102090f01010a0b0f01010101010101021b1c0f0101101d1e0c0d010101011011080101010101010700080101010101010101010a0b0f010110110c0d01010101010101021b1c0f0101101d1e0c0d010101010100010102180604000008010101010101010101010101010101010101010101010101010101010114000e01010101010102180604000008010101010101010101010101010101010101010101010101010101010101040c0d01010101010101010101010114000e01010101010101021806040000080101010101010101010101010101010101010101010101010101010101010101010101010101010101010110110e0209080101010101010101010101010102090f01010110110e02090801010101140506010101040506010101010101010101040c0d0101010101010101010114121301010114050601010101010114050601010104050601010a0b080101010101010101010101010101010101010101010101010101010101010a0b08010101010101010101010101141213010101140506010a0b0f0101010104000e0114050601010104050601010101010a0b0005060101010700000c0d01010101041213010101010107000801010101010101010a0b000000000000000c0d01010101010a0b0005060101010700000c0d01010101000101101108010101010101010101010101010101010101010101010101010101010101010107000f0101010101010110110801010101010101010101010101010101010101010101010101010101010101010101040c0d010101010101010101010107000f01010101010101011011080101010101010101010101010101010101010101010101010101010101010101010101010101010101010101010101010216170908010101010101010101010101010a0b0c0d01010102161709080101011011121301010107000e010101010101010101040c0d0101010101010101010104050601011011121301010101011011121301010107000e01010a0b080101010101010101010101010101010101010101010101010101010101010a0b08010101010101010101010101040506010110111213010a0b0f010101010405061011121301010107000e0101010101010101010101010101010101010101010102090e0101010101070008010101010101010101010101010101010101010101010101010101010101010101010101010101010100010101140f010101010101010101010101010101010101010101010101010101010101010a0b12130101101108010101140f01010101010101010101010101010101010101010101010101010101010101010101040c0d010101010101010101010a0b1213010110110801010101140f0101010101010101010101010101010101010101010101010101010101010101010101010101010101010101010101010104150b080101010101010101040f01010102090c0d0101010104150b080101010114121301010104000e010101010101010101040c0d0101010101010101010102090801010a0b0c0d01010101010114121301010104000e01010a0b080101010101010101010101010101010101010101010101010101010101010a0b0801010101010101010101010102090801010a0b0c0d01011412130101101112130114121301010104000e0101010101010101010101010101010101010101010101140f010107050607000801010101010101010101010101010101010101010101010101010101010101010101010101010101010001010104121301010101010101010101010101010101010101010101010101010101010114000e0101010700080101010412130101010101010101010101010101010101010101010101010101010101010101010101010101010101010101010114000e0101010700080101010104121301010101010101010101010101010101010101010101010101010101010101010101010101010101010101010101010110110008010101010101010104000e01011400080101010101101100080101010102090f01010209121301010101010101010101010101010101010101010101011412130114000e0101010101010102090f01010209121301010a0b080101010101010101010101010101010101010101010101010101010101010a0b08010101010101010101010101011412130114000e01010102090f010104000e010102090f0101020912130101010101010101010101010101010101010101010101070506010110110000080101010101010101010101010101010101010101010101010101010101010101010101010101010101000101040005060101010101010101010101010101010101010101010101010101010101070000000000000000080101040005060101010101010101010101010101010101010101010101010101010101010101010101010101010101010101010700000000000000000801010104000506010101010101010101010101010101010101010101010101010101010101010101010101010101010101010101010101010209080101010101010101010a0b000000080101010101010102090801010101010a0b0000000c0d01010101010101010101010101010101010101010101010101040000000e0101010101010101010a0b0000000c0d0101010a0b00000000000f010101010101010101010101010101010101010101010101010a0b00000000000f010101010101010101040000000e01010101010a0b0000000e010101010a0b0000000c0d010101010101010101010101010101010101010101010101101108010101010a0b08010101010101010101010101010101010101010101010101010101010101010101010101010101010100010101010101010101010101010101010101010101010101010101010101010101010101010101010101010101010101010101010101010101010101010101010101010101010101010101010101010101010101010101010101010101010101010101010101010101010101010101010101010101010101010101010101010101010101010101010101010101010101010101010101010101010101010101010101010101010101010101010101010101010101010101010101010101010101010101010101010101010101010101010101010101010101010101010101010101010101010101010101010101010101010101010101010101010101010101010102030101010101010101010101010101010101010101010101010101010101010102030101010101010101010101010101010101010101010101010101010101010101010101010101010101010101010101010101010101010101010101010101010101010101010101010101010101010101010101010101010101010101010101010101010101010101010101010101010001010101010101010101010101010101010101010101010101010101010101010101010101010101010101010101010101010101010101010101010101010101010101010101010101010101010101010101010101010101010101010101010101010101010101010101010101010101010101010101010101010101010101010101010101010101010101010101010101010101010101010101010101010101010101010101010101010101010101010101010101010101010101010101010101010101010101010101010101010101010101010101010101010101010101010101010101010101010101010101010101010101010101010101010101010101010101010101010101010101010101010101010101010101010101010101010101010101010101010101010101010101010101010101010101010101010101010101010101010101010101010101010101010101010101010101010101010101010101010101010101010101010101010101010101010101010101010101010101010101010101010101010101010101010101000101010101010101010101010101010101010101010101010101010101010101010101010101010101010101010101010101010101010101010101010101010101010101010101010101010101010101010101010101010101010101010101010101010101010101010101010101010101010101010101010101010101010101010101010101010101010101010101010101010101010101010101010101010101010101010101010101010101010101010101010101010101010101010101010101010101010101010101010101010101010101010101010101010101010101010101010101010101010101010101010101010101010101010101010101010101010101010101010101010101010101010101010101010101010101010101010101010101010101010101010101010101010101010101010101010101010101010101010101010101010101010101010101010101010101010101010101010101010101010101010101010101010101010101010101010101010101010101010101010101010101010101010101010101010100010101010101010101010101010101010101010101010101010101010101010101010101010101010101010101010101010101010101010101010101010101010101010101010101010101010101010101010101010101010101010101010101010101010101010101010101010101010101010101010101010101010101010101010101010101010101010101010101010101010101010101010101010101010101010101010101010101010101010101010101010101010101010101010101010101010101010101010101010101010101010101010101010101010101010101010101010101010101010101010101010101010101010101010101010101010101010101010101010101010101010101010101010101010101010101010101010101010101010101010101010101010101010101010101010101010101010101010101010101010101010101010101010101010101010101010101010101010101010101010101010101010101010101010101010101010101010101010101010101010101010101010101010101010101010001010101010101010101010101010101010101010101010101010101010101010101010101010101010101010101010101010101010101010101010101010101010101010101010101010101010101010101010101010101010101010101010101010101010101010101010101010101010101010101010101010101010101010101010101010101010101010101010101010101010101010101010101010101010101010101010101010101010101010101010101010101010101010101010101010101010101010101010101010101010101010101010101010101010101010101010101010101010101010101010101010101010101010101010101010101010101010101010101010101010101010101010101010101010101010101010101010101010101010101010101010101010101010101010101010101010101010101010101010101010101010101010101010101010101010101010101010101010101010101010101010101010101010101010101010101010101010101010101010101010101010101010101010101010101000c00000040092900aa000000000000001900930100000000040000002701ffff030000000000>
Подбираем насос по величине суммарной подачи

И полного напора
>>>
>=
35,1 м = 351 кПа
Выбираем консольный насос К-45/30, имеющий производительность 30-50 м3/ч, давление 270 кПа, КПД 62-72%, частоту вращения 2900 мин-1, мощность электродвигателя 7,5 кВт.
>6. Расчет канализационной сети>
Количество
сточных вод >>>
>,
отводимых одним трапом внутренней
производственной канализации, принять
равным расходу воды одного водозаборного
крана.
Уклон трубопровода >0100090000035a03000000007802000000007802000026060f00e604574d46430100000000000100c6340000000001000000c404000000000000c4040000010000006c000000000000000000000006000000180000000000000000000000b60000008e02000020454d4600000100c40400000c00000001000000000000000000000000000000900600001a040000b801000013010000000000000000000000000000c0b6060038320400460000002c00000020000000454d462b014001001c000000100000000210c0db01000000600000006000000046000000d0010000c4010000454d462b224004000c000000000000001e4009000c00000000000000244001000c000000000000003040020010000000040000000000803f214007000c00000000000000084000051c010000100100000210c0db01000000000000000000000000000000000000000100000089504e470d0a1a0a0000000d494844520000000700000019080200000072eca36f000000017352474200aece1ce9000000097048597300000ec400000ec401952b0e1b0000009749444154285363fcffff3f030660c214028a502eca00b40d0cf697c06d28d90f17fdfffffe1c0fa084c79cfbffffa3dbe611e2ac80e286073776304004915c76606b0f03838e32481021fae0ee15a0a11a60412451847e8428b27eb8288a7e8428503fcc2a90c1088f95ec87f913e20b34fd501340ee47d60f36011c3048fa81b1834df03f0338a4c001850460618722f89f91e238060013bb8f0720819f520000000049454e44ae42608200000840010824000000180000000210c0db01000000030000000000000000000000000000001b40000040000000340000000100000002000000000000bf000000bf0000e0400000c84103000000000000b3000000b3ffffdf40000000b3000000b3ffffc7412100000008000000620000000c00000001000000150000000c00000004000000150000000c000000040000005100000090010000000000000000000006000000180000000000000000000000000000000000000007000000190000005000000078000000c8000000c8000000000000002000cc0007000000190000002800000007000000190000000100080000000000000000000000000000000000140000000000000000000000ffffff00bfffff0000007400bf7400009cdfff00000048009c480000ffffdf00df9c480074bfff0048000000ffdf9c000074bf0074000000ffffbf00dfffff0000489c00ffbf7400489cdf000101010101010100010101010101010001010101010101000b0c010101010100130b0c01010101000203040101010108010d0e0f01010109010a0012010101000105060901010100010203040101010001010d0e0f0101000101130b0c01010001010a0012010111010102030901012e01011011070801000101010d0e0f01000101010a0b0c0100010101050609014001010105060708400101020300000400010101010101010001010101010101000101010101010100010101010101010001010101010101004c0000006400000000000000000000000600000018000000000000000000000007000000190000002900aa0000000000000000000000803f00000000000000000000803f0000000000000000000000000000000000000000000000000000000000000000220000000c000000ffffffff460000001c00000010000000454d462b024000000c000000000000000e000000140000000000000010000000140000000400000003010800050000000b0200000000050000000c0219000700030000001e0004000000070104000400000007010400ad000000410b2000cc00190007000000000019000700000000002800000007000000190000000100080000000000000000000000000000000000140000000000000000000000ffffff00bfffff0000007400bf7400009cdfff00000048009c480000ffffdf00df9c480074bfff0048000000ffdf9c000074bf0074000000ffffbf00dfffff0000489c00ffbf7400489cdf000101010101010100010101010101010001010101010101000b0c010101010100130b0c01010101000203040101010108010d0e0f01010109010a0012010101000105060901010100010203040101010001010d0e0f0101000101130b0c01010001010a0012010111010102030901012e01011011070801000101010d0e0f01000101010a0b0c0100010101050609014001010105060708400101020300000400010101010101010001010101010101000101010101010100010101010101010001010101010101000c00000040092900aa000000000000001900070000000000040000002701ffff030000000000> следует выбирать в зависимости от полученного диаметра.
Схема канализационной сети. За основу принять типовую схему, показанную на рисунке 13 (методичка). Стоки по трубопроводу, уложенному подполом, попадают в канализационный колодец КК и далее трубопровод дворовой канализации. Трапы расположить через 12 м.
Определим диаметр канализационных труб.
Определить диаметры труб для всех участков канализационной сети по формуле:

где >>>
>
- расчетный расход воды на n-ом
участке, >>>
>;
>>>
>
- скорость движения воды в трубах >010009000003ea1000000000e00900000000e009000026060f00b613574d4643010000000000010000c40000000001000000941300000000000094130000010000006c000000000000000000000080000000180000000000000000000000320d00008e02000020454d4600000100941300000c00000001000000000000000000000000000000900600001a040000b801000013010000000000000000000000000000c0b6060038320400460000002c00000020000000454d462b014001001c000000100000000210c0db010000006000000060000000460000005004000044040000454d462b224004000c000000000000001e4009000c00000000000000244001000c000000000000003040020010000000040000000000803f214007000c00000000000000084000059c030000900300000210c0db01000000000000000000000000000000000000000100000089504e470d0a1a0a0000000d494844520000008100000019080200000099f7da29000000017352474200aece1ce9000000097048597300000ec400000ec401952b0e1b00000318494441546843ed58316eeb300c55fe49fc91a5430e91a08b8aaebd41b3145915f40c41bd167f716ed0f5e37b29ec4364e852c437c91725471665c95262bb6e616b4a245a24dfa3484ab3d3e944a6312802bf06d53e290704260e868f838983efc841be9dcdeef60521f0a31ce23f8c627fa726b7793fe62b03fad85e73aa74b35b2d009042abbeb5c0af061cafc96a648c7fc532fc9fd0e4581332277581eb7f1f135a9a6de8bc7e4bed4bb9bb724f38dbb51fb0a9d7765388282385891a01b06092729ef3aab91c346598d0d983821338a8fb2739e95413d86e40684702d170e6c0c6808d0390ebd4ec9a8dbd71d0bb263b868e70d458286b72feba4e69b259fa92239723c99fc7c827f713d68bcf03377331b739a3ca06ceed8ee9b256bebfa584dd230c51f941856279cf48faf62eeaaca0c99673605e305b857df051bb3c151945a9dfa3269419be9926f365ca184acf30451120fa47f50c8150ad570a352338709a8316cc7c6a035a16baa6e145f76b72913f6f703b58a2d74898c89c45b7b6e08a6b5c80010e918b8a8fd47e28a3f9e28c67b17fe269c897ad962fbe23f0af8344864fb86a96b51f0ded2138946f7f73678e2fbedc3b7f7c6624de41675eec7787641389fc6519f9df98d087db2aaf894c476f1ab2b60237f48ef6ad0a413ba6798fbe8a5916160ccb4d42d3f56bcefd5f3cbbc307286068dd19d798c0f4a30879abe0623c0862acc2916e5a47a82f95b55e0f3d026745d1ed0325f16ac50f81f3d4003c663516df1f3e45cd6d187052c439886e78a5b1cacb95ddd37a91790f2eecd42e425b03ecdd20dfe223c0cf84efba1f413e32821ceb292c0d91c414a2dc39645fc687e400d2be5b3e4d0319f04230b08064400b26819e7d288464603544a0bdaf97d4c52b45314f11b84a41b6922544d65057b9f73470be027cc97af550a1811274e90cd46255e0b870aafe0e1950757d5a77d7f43ca1b789a62bd577cdf7e440efc62c76ed9d49a3aef9bd68cce006f9eebf665cf05ed4785d0e32678c42d751e07e372d31fcc20af0e3590b7aa9465e5a499b719181bb95d1ab0fbd278f1ea81e019838e811dcc0ad270e0281ea51ec3f12c6b9fd23a8af3c0000000049454e44ae426082000840010824000000180000000210c0db01000000030000000000000000000000000000001b40000040000000340000000100000002000000000000bf000000bf000001430000c84103000000000000b3000000b3ffff0043000000b3000000b3ffffc7412100000008000000620000000c00000001000000150000000c00000004000000150000000c0000000400000051000000e00d00000000000000000000800000001800000000000000000000000000000000000000810000001900000050000000ac000000fc000000e40c0000000000002000cc0081000000190000002800000081000000190000000100080000000000000000000000000000000000210000000000000000000000ffffff00bfffff0000007400df9c48009c480000ffffdf009cdfff0000004800bf740000dfffff0000489c00489cdf0074000000ffffbf000074bf0074bfff00ffbf740048000000ffdf9c00744848000048740048489c000048480074007400489c9c0048004800bfffbf00dfdf9c0074bfbf009cdfbf007400480074489c00010101010101010101010101010101010101010101010101010101010101010101010101010101010101010101010101010101010101010101010101010101010101010101010101010101010101010101010101010101010101010101010101010101010101010101010101010101010101010101010101010101010101010101ffffff01010101010101010101010101010101010101010101010101010101010101010101010101010101010101010101010101010101010101010101010101010101010101010101010101010101010101010101010101010101010101010101010101010101010101010101010101010101010101010101010101010101010101010101010101010101010101010101010101010101010101010101010101010101010101010101010101010101010101010101010101010101010101010101010101010101010101010101010101010101010101010101010101010101010101010101010101010101010101010101010101010101010101010101010101010101010101010101010101010101010101010101010101010101010101010101010101010101010101010101010101010101010101010101010101010101010101010101010101010101010101010101010101010101010101010101010101010101010101010101010101010101010101010101010101010101010101010101010101010101010101010101010101010101010708040101010101010101010101010101010101010101010101010101010101010101010101010101010101010101010101010101010101010101010101010101010101010101010101010101010101010101010101010101010101010101010101010110121301010101010101010101010101010c0d0e01010101010101010101010f0d0e01010101010101010101010101010101010101010101010101010101010101010101010101010101010101010101010101010101010101010101010101010101010101010101010101010101010101010101010101010101010101010101010101010a0b090101010101010101010101010101010203040101010101010101010c0d0e010101010101010101010101010101010101010101010101010101010101010101010101010101010101010101010101010101010101010101010101010101010101010101010101010101010101010101010101010101010101010101010101010101010c0d0e010101010101010101010101010101020304010101010101010708110101010101010101010101010101010101010101010101010101010101010101010101010101010101010101010101010101010101010101010101010101010101010101010101010101010101010101010101010101010101010101010101010101010101020311010101010101010101010101010101011012130101010101010f050601010101010c121301010101010101010101010101010101010101010101010101010101010101010a0b00000000000d0e0101010101010101010101010101010101010101010101010c000000000000050601010101010203000d0e0101010f0000050601010f050601010101010110000000090101010102030401010101010203090101010101010c00090101010101010101010101010101010101010101010101010101010101010101010101100004010101010101010101010101010101010101010101010101010101020311010101071f0e010101010101071f0e010101010a0b0506010101101213010101010110000901011005060101010f0506010c00010708040101010101010c1217110101010101010101010101010101010101010101010101010101010101010101010110000401010101010101010101010101010101010101010101010101010101100d0e01010a200e01010101010102180e010f09010a0b05060101010a0b09010101010a0b0d0e01010101010101010c1213010203011000110101010101010f0d1e1f0e01010101010101010101010f00000000000000000000050601010101010101010110000401010101010101010101010101010101010101010101010101010101010f05060101010101010101010102180e070812130a0b0506010101010c0d0e010101020305060101010101010101101213010110011000110101010101010f05060f0401010101010101010101010101010101010101010101010101010101010101010110000401010101010101010101010101010101010101010101010101010101010a0b090101010101010101010102180e0c0d1d090a0b050601010101020311010101020309010101010101010101100011010101011000110101010101010f0506071a1301010101010101010101010101010101010101010101010101010101010101011000040101010101010101010f000000000000000000000506010101010101010102030401010101010101010102181b03040a161c0b050601010101010f050601010a0b050601010101010101011012130101010107080401010101010a0b0506010c09010101010101010101010f0000000000000000000005060101010101010101011000040101010101010101010101010101010101010101010101010101010101010107081101010101010101010218190d0e0110090f050601010101011012130101010f0d0e01010101010101010c12130101010102030901010101010a0b0506010203110101010101010101010101010101010101010101010101010101010101010110000401010101010101010101010101010101010101010101010101010101010101010c1213010101010101010714150901010a1617050601010101010a0b0401010102030901010f05060101010f050601010101010f05060101010102030901010110050601010101010101010101010101010101010101010101010101010101010110000401010101010101010101010101010101010101010101010101010101010101010708090101010101010203001213010101100000050601010101010c0d0e010101020300000005060101020304010101010101070811010101010203090101010a0b040101010101010101010101010101010101010101010101010101010101011000040101010101010101010101010101010101010101010101010101010101010101020305060101010101010101010101010101010101010101010101070811010101010101010101010101101213010101010101010c0d0e0101010203090101010110121301010101010101010101010101010101010101010101010101011012131000040101010101010101010101010101010101010101010101010101010c09010101070805060101010101010101010101010101010101010101010101010f0901010101010101010101010203040101010101010101010f0d0e0101100005060101011000050601010101010101010101010101010101010101010101010101010a0b0000040101010101010101010101010101010101010101010101010101010c001101010f000401010101010101010101010101010101010101010101010101101213010101010101010101020304010101010c090101010101020304020300000506010708000009010101010101010101010101010101010101010101010101010101010203040101010101010101010101010101010101010101010101010101010102030000000401010101010101010101010101010101010101010101010101010a0b0401010101010101010c0d0e01010101010c000101010101010101010101010101010101010101010101010101010101010101010101010101010101010101010101010101010101010101010101010101010101010101010101010101010101010101010101010101010101010101010101010101010101010101010101010101010101010101010101010101010101010101010101020101010101010101010101010101010101010101010101010101010101010101010101010101010101010101010101010101010101010101010101010101010101010101010101010101010101010101010101010101010101010101010101010101010101010101010101010101010101010101010101010101010101010101010101010101010101010101010101010101010101010101010101010101010101010101010101010101010101010101010101010101010101010101010101010101010101010101010101010101010101010101010101010101010101010101010101010101010101010101010101010101010101010101010101010101010101010101010101010101010101010101010101010101010101010101010101010101010101010101010101010101010101010101010101010101010101010101010101010101010101010101010101010101010101010101010101010101010101010101010101010101010101010101010101010101010101010101010101010101010101010101010101014c0000006400000000000000000000008000000018000000000000000000000081000000190000002900aa0000000000000000000000803f00000000000000000000803f0000000000000000000000000000000000000000000000000000000000000000220000000c000000ffffffff460000001c00000010000000454d462b024000000c000000000000000e000000140000000000000010000000140000000400000003010800050000000b0200000000050000000c0219008100030000001e0004000000070104000400000007010400d5060000410b2000cc00190081000000000019008100000000002800000081000000190000000100080000000000000000000000000000000000210000000000000000000000ffffff00bfffff0000007400df9c48009c480000ffffdf009cdfff0000004800bf740000dfffff0000489c00489cdf0074000000ffffbf000074bf0074bfff00ffbf740048000000ffdf9c00744848000048740048489c000048480074007400489c9c0048004800bfffbf00dfdf9c0074bfbf009cdfbf007400480074489c00010101010101010101010101010101010101010101010101010101010101010101010101010101010101010101010101010101010101010101010101010101010101010101010101010101010101010101010101010101010101010101010101010101010101010101010101010101010101010101010101010101010101010101ffffff01010101010101010101010101010101010101010101010101010101010101010101010101010101010101010101010101010101010101010101010101010101010101010101010101010101010101010101010101010101010101010101010101010101010101010101010101010101010101010101010101010101010101010101010101010101010101010101010101010101010101010101010101010101010101010101010101010101010101010101010101010101010101010101010101010101010101010101010101010101010101010101010101010101010101010101010101010101010101010101010101010101010101010101010101010101010101010101010101010101010101010101010101010101010101010101010101010101010101010101010101010101010101010101010101010101010101010101010101010101010101010101010101010101010101010101010101010101010101010101010101010101010101010101010101010101010101010101010101010101010101010101010101010101010708040101010101010101010101010101010101010101010101010101010101010101010101010101010101010101010101010101010101010101010101010101010101010101010101010101010101010101010101010101010101010101010101010110121301010101010101010101010101010c0d0e01010101010101010101010f0d0e01010101010101010101010101010101010101010101010101010101010101010101010101010101010101010101010101010101010101010101010101010101010101010101010101010101010101010101010101010101010101010101010101010a0b090101010101010101010101010101010203040101010101010101010c0d0e010101010101010101010101010101010101010101010101010101010101010101010101010101010101010101010101010101010101010101010101010101010101010101010101010101010101010101010101010101010101010101010101010101010c0d0e010101010101010101010101010101020304010101010101010708110101010101010101010101010101010101010101010101010101010101010101010101010101010101010101010101010101010101010101010101010101010101010101010101010101010101010101010101010101010101010101010101010101010101020311010101010101010101010101010101011012130101010101010f050601010101010c121301010101010101010101010101010101010101010101010101010101010101010a0b00000000000d0e0101010101010101010101010101010101010101010101010c000000000000050601010101010203000d0e0101010f0000050601010f050601010101010110000000090101010102030401010101010203090101010101010c00090101010101010101010101010101010101010101010101010101010101010101010101100004010101010101010101010101010101010101010101010101010101020311010101071f0e010101010101071f0e010101010a0b0506010101101213010101010110000901011005060101010f0506010c00010708040101010101010c1217110101010101010101010101010101010101010101010101010101010101010101010110000401010101010101010101010101010101010101010101010101010101100d0e01010a200e01010101010102180e010f09010a0b05060101010a0b09010101010a0b0d0e01010101010101010c1213010203011000110101010101010f0d1e1f0e01010101010101010101010f00000000000000000000050601010101010101010110000401010101010101010101010101010101010101010101010101010101010f05060101010101010101010102180e070812130a0b0506010101010c0d0e010101020305060101010101010101101213010110011000110101010101010f05060f0401010101010101010101010101010101010101010101010101010101010101010110000401010101010101010101010101010101010101010101010101010101010a0b090101010101010101010102180e0c0d1d090a0b050601010101020311010101020309010101010101010101100011010101011000110101010101010f0506071a1301010101010101010101010101010101010101010101010101010101010101011000040101010101010101010f000000000000000000000506010101010101010102030401010101010101010102181b03040a161c0b050601010101010f050601010a0b050601010101010101011012130101010107080401010101010a0b0506010c09010101010101010101010f0000000000000000000005060101010101010101011000040101010101010101010101010101010101010101010101010101010101010107081101010101010101010218190d0e0110090f050601010101011012130101010f0d0e01010101010101010c12130101010102030901010101010a0b0506010203110101010101010101010101010101010101010101010101010101010101010110000401010101010101010101010101010101010101010101010101010101010101010c1213010101010101010714150901010a1617050601010101010a0b0401010102030901010f05060101010f050601010101010f05060101010102030901010110050601010101010101010101010101010101010101010101010101010101010110000401010101010101010101010101010101010101010101010101010101010101010708090101010101010203001213010101100000050601010101010c0d0e010101020300000005060101020304010101010101070811010101010203090101010a0b040101010101010101010101010101010101010101010101010101010101011000040101010101010101010101010101010101010101010101010101010101010101020305060101010101010101010101010101010101010101010101070811010101010101010101010101101213010101010101010c0d0e0101010203090101010110121301010101010101010101010101010101010101010101010101011012131000040101010101010101010101010101010101010101010101010101010c09010101070805060101010101010101010101010101010101010101010101010f0901010101010101010101010203040101010101010101010f0d0e0101100005060101011000050601010101010101010101010101010101010101010101010101010a0b0000040101010101010101010101010101010101010101010101010101010c001101010f000401010101010101010101010101010101010101010101010101101213010101010101010101020304010101010c090101010101020304020300000506010708000009010101010101010101010101010101010101010101010101010101010203040101010101010101010101010101010101010101010101010101010102030000000401010101010101010101010101010101010101010101010101010a0b0401010101010101010c0d0e01010101010c000101010101010101010101010101010101010101010101010101010101010101010101010101010101010101010101010101010101010101010101010101010101010101010101010101010101010101010101010101010101010101010101010101010101010101010101010101010101010101010101010101010101010101010101020101010101010101010101010101010101010101010101010101010101010101010101010101010101010101010101010101010101010101010101010101010101010101010101010101010101010101010101010101010101010101010101010101010101010101010101010101010101010101010101010101010101010101010101010101010101010101010101010101010101010101010101010101010101010101010101010101010101010101010101010101010101010101010101010101010101010101010101010101010101010101010101010101010101010101010101010101010101010101010101010101010101010101010101010101010101010101010101010101010101010101010101010101010101010101010101010101010101010101010101010101010101010101010101010101010101010101010101010101010101010101010101010101010101010101010101010101010101010101010101010101010101010101010101010101010101010101010101010101010101010101010101010c00000040092900aa000000000000001900810000000000040000002701ffff030000000000>.
По найденному значению диаметров труб подобрать ближайший стандартный диаметр чугунных канализационных труб. Диаметр вытяжного канализационного стока ВКС принять равным 0,1 м. Все расчетные данные записать в таблицу. Проверка скорости воды.
Проверку скорости воды произвести на одном из участков трубопровода:

где >010009000003d40300000000c00200000000c002000026060f007605574d46430100000000000100e6620000000001000000540500000000000054050000010000006c00000000000000000000000b000000180000000000000000000000390100008e02000020454d4600000100540500000c00000001000000000000000000000000000000900600001a040000b801000013010000000000000000000000000000c0b6060038320400460000002c00000020000000454d462b014001001c000000100000000210c0db01000000600000006000000046000000fc010000f0010000454d462b224004000c000000000000001e4009000c00000000000000244001000c000000000000003040020010000000040000000000803f214007000c0000000000000008400005480100003c0100000210c0db01000000000000000000000000000000000000000100000089504e470d0a1a0a0000000d494844520000000c0000001908020000008a0c5898000000017352474200aece1ce9000000097048597300000ec400000ec401952b0e1b000000c449444154384f63fcffff3f0321c0444801489ece8a18800e0781fb733c305de731e73e5812a608c8dc5f02540613876903f3d11daea3ac00355121b91ca86bc78d07c8be7b70f70a034389b703b63081ba09e228846530eb4bf623bb09e42224356007328095201c8ee13ba83c5811d4e10ff6aed90137086ca806cc032013216e029b0ed78cca839974606b0fb2cf1434809eb87217e87908005b07f63d92050aca3ad0104228023b0805808dead97a002688ec2d848f60a29040611caa29937a190100dc1dc93ce6441baf0000000049454e44ae426082000840010824000000180000000210c0db01000000030000000000000000000000000000001b40000040000000340000000100000002000000000000bf000000bf000040410000c84103000000000000b3000000b3ffff3f41000000b3000000b3ffffc7412100000008000000620000000c00000001000000150000000c00000004000000150000000c0000000400000051000000f401000000000000000000000b00000018000000000000000000000000000000000000000c000000190000005000000078000000c80000002c010000000000002000cc000c00000019000000280000000c000000190000000100080000000000000000000000000000000000140000000000000000000000ffffff009cdfff00000048009c480000ffffdf0074bfff00df9c4800ffbf74000074bf0074000000ffffbf00489cdf00dfffff0000489c00bfffff0000007400bf74000048000000ffdf9c000101010101010101010101010101010101010101010101010101010101010101010101010101010101010101010101010101010101010101010101010101010101010101010101010101010101010101010101010c0000000801010203000701010c00070101010c0008010101020307010101090a0b0101010f101101010d0e040501010101090a0b010f101101010101010c12130106121301010101010203000000000801010101010f100701010f100a0b0101010d0e040501010f1011010101010c0a0b010101090a0b010101060008010101090a0b0101010600070101020304050101020300000000000405010101010101010101010101010101010101010101010101010101010101010101010101010101010101010101010101010101010101010101010101014c0000006400000000000000000000000b0000001800000000000000000000000c000000190000002900aa0000000000000000000000803f00000000000000000000803f0000000000000000000000000000000000000000000000000000000000000000220000000c000000ffffffff460000001c00000010000000454d462b024000000c000000000000000e000000140000000000000010000000140000000400000003010800050000000b0200000000050000000c0219000c00030000001e0004000000070104000400000007010400df000000410b2000cc0019000c000000000019000c0000000000280000000c000000190000000100080000000000000000000000000000000000140000000000000000000000ffffff009cdfff00000048009c480000ffffdf0074bfff00df9c4800ffbf74000074bf0074000000ffffbf00489cdf00dfffff0000489c00bfffff0000007400bf74000048000000ffdf9c000101010101010101010101010101010101010101010101010101010101010101010101010101010101010101010101010101010101010101010101010101010101010101010101010101010101010101010101010c0000000801010203000701010c00070101010c0008010101020307010101090a0b0101010f101101010d0e040501010101090a0b010f101101010101010c12130106121301010101010203000000000801010101010f100701010f100a0b0101010d0e040501010f1011010101010c0a0b010101090a0b010101060008010101090a0b0101010600070101020304050101020300000000000405010101010101010101010101010101010101010101010101010101010101010101010101010101010101010101010101010101010101010101010101010c00000040092900aa0000000000000019000c0000000000040000002701ffff030000000000>
- гидравлический радиус, характеризующий
отношение площади живого сечения потока
>>>
>
к смоченному периметру >>>
>
потока, м:

>0100090000035a03000000007802000000007802000026060f00e604574d46430100000000000100c6340000000001000000c404000000000000c4040000010000006c000000000000000000000006000000180000000000000000000000b60000008e02000020454d4600000100c40400000c00000001000000000000000000000000000000900600001a040000b801000013010000000000000000000000000000c0b6060038320400460000002c00000020000000454d462b014001001c000000100000000210c0db01000000600000006000000046000000d0010000c4010000454d462b224004000c000000000000001e4009000c00000000000000244001000c000000000000003040020010000000040000000000803f214007000c00000000000000084000051c010000100100000210c0db01000000000000000000000000000000000000000100000089504e470d0a1a0a0000000d494844520000000700000019080200000072eca36f000000017352474200aece1ce9000000097048597300000ec400000ec401952b0e1b0000009749444154285363fcffff3f030660c214028a502eca00b40d0cf697c06d28d90f17fdfffffe1c0fa084c79cfbffffa3dbe611e2ac80e286073776304004915c76606b0f03838e32481021fae0ee15a0a11a60412451847e8428b27eb8288a7e8428503fcc2a90c1088f95ec87f913e20b34fd501340ee47d60f36011c3048fa81b1834df03f0338a4c001850460618722f89f91e238060013bb8f0720819f520000000049454e44ae42608200000840010824000000180000000210c0db01000000030000000000000000000000000000001b40000040000000340000000100000002000000000000bf000000bf0000e0400000c84103000000000000b3000000b3ffffdf40000000b3000000b3ffffc7412100000008000000620000000c00000001000000150000000c00000004000000150000000c000000040000005100000090010000000000000000000006000000180000000000000000000000000000000000000007000000190000005000000078000000c8000000c8000000000000002000cc0007000000190000002800000007000000190000000100080000000000000000000000000000000000140000000000000000000000ffffff00bfffff0000007400bf7400009cdfff00000048009c480000ffffdf00df9c480074bfff0048000000ffdf9c000074bf0074000000ffffbf00dfffff0000489c00ffbf7400489cdf000101010101010100010101010101010001010101010101000b0c010101010100130b0c01010101000203040101010108010d0e0f01010109010a0012010101000105060901010100010203040101010001010d0e0f0101000101130b0c01010001010a0012010111010102030901012e01011011070801000101010d0e0f01000101010a0b0c0100010101050609014001010105060708400101020300000400010101010101010001010101010101000101010101010100010101010101010001010101010101004c0000006400000000000000000000000600000018000000000000000000000007000000190000002900aa0000000000000000000000803f00000000000000000000803f0000000000000000000000000000000000000000000000000000000000000000220000000c000000ffffffff460000001c00000010000000454d462b024000000c000000000000000e000000140000000000000010000000140000000400000003010800050000000b0200000000050000000c0219000700030000001e0004000000070104000400000007010400ad000000410b2000cc00190007000000000019000700000000002800000007000000190000000100080000000000000000000000000000000000140000000000000000000000ffffff00bfffff0000007400bf7400009cdfff00000048009c480000ffffdf00df9c480074bfff0048000000ffdf9c000074bf0074000000ffffbf00dfffff0000489c00ffbf7400489cdf000101010101010100010101010101010001010101010101000b0c010101010100130b0c01010101000203040101010108010d0e0f01010109010a0012010101000105060901010100010203040101010001010d0e0f0101000101130b0c01010001010a0012010111010102030901012e01011011070801000101010d0e0f01000101010a0b0c0100010101050609014001010105060708400101020300000400010101010101010001010101010101000101010101010100010101010101010001010101010101000c00000040092900aa000000000000001900070000000000040000002701ffff030000000000>>
>
- геометрический уклон трубопровода;
>>>
>
- скоростной коэффициент, учитывающий
шероховатость стенок трубы и величину
гидравлического радиуса:

где >>>
>
- коэффициент шероховатости, >010009000003dc0a00000000a20600000000a206000026060f003a0d574d46430100000000000100900e0000000001000000180d000000000000180d0000010000006c00000000000000000000004a000000180000000000000000000000ab0700008e02000020454d4600000100180d00000c00000001000000000000000000000000000000900600001a040000b801000013010000000000000000000000000000c0b6060038320400460000002c00000020000000454d462b014001001c000000100000000210c0db010000006000000060000000460000007403000068030000454d462b224004000c000000000000001e4009000c00000000000000244001000c000000000000003040020010000000040000000000803f214007000c0000000000000008400005c0020000b40200000210c0db01000000000000000000000000000000000000000100000089504e470d0a1a0a0000000d494844520000004b000000190802000000f66a4441000000017352474200aece1ce9000000097048597300000ec400000ec401952b0e1b0000023a494441545847ed573b8ec23010753849100d058760b54d10edde8074dbc22110b42b9a70035a441a440e414183c84db233fe248e3f8961435810ae623cf6cc9b373fbc2ccbc84bafce4ba343706f84cf4ff19bc33b7098ae479e58b3c4454132f3bcd13a3588ca6fd964a096b6b90e53b0737aa02ae9b7d8988db84401c715441745849df1b7c46bba1869135e468d928ca01875a3984d7848cf2c52f8588e0fe415c40258ab7998ee373109be3e7d116f7e1f10c72753fc11325c64d96e92cb6a31ea4f76d962581be58810c31c174b0ab133077eed835502e9292664d02b8cf67b03903f9ecd10afd3c5dc177dab983b90f6db318b84e339e13bdcc6e18f531970b7233d1f55e14a12dd5f465aba21892e05e7ac06014d1d89ea389c9355417cd0b744886039af88dac71df8b7c0e5c5f463697507cf43eade205af1b0a75b399c4af73141aa5755fa5cc18c832826235d5067e2b0cb330d2eb203308421544a00dbda2874d06b166159a7af46340122ccb4e55ced9b1c219400a9c66145904b9e62d4cd514ab3ae5457b4da73b3fb90366365a608932d84711194ca56537a73945212e3cd3e2f9d54d374ac963f3798e0e872be5377e901215aa5d28745ab955b6a5df6399cb3aecc75a9fd9ff7764da5a5e32b3fab0d5f4c4f38d3e4c38330918d53350395031ea3483188e90ae4994e0c290aa1fa14930b948723e18076a7b63aaf68beaebb50712e73f887679abd8a46359516f95bff8843b0a92978d81d45cc7ac0825be97a56a956ff5b3cc4496f840f717ba34a7f014d284a31da3474870000000049454e44ae4260820000000840010824000000180000000210c0db01000000030000000000000000000000000000001b40000040000000340000000100000002000000000000bf000000bf000096420000c84103000000000080b3000080b3ffff9542000080b3000080b3ffffc7412100000008000000620000000c00000001000000150000000c00000004000000150000000c00000004000000510000004008000000000000000000004a00000018000000000000000000000000000000000000004b000000190000005000000084000000d40000006c070000000000002000cc004b00000019000000280000004b000000190000000100080000000000000000000000000000000000170000000000000000000000ffffff00489cdf00ffbf7400bfffff0000007400df9c48009cdfff00000048000074bf0074000000ffffbf00dfffff0000489c009c480000ffffdf0074bfff0048000000ffdf9c00bf7400009cbf9c00740048009c48480001010101010101010101010101010101010101010101010101010101010101010101010101010101010101010101010101010101010101010101010101010101010101010101010101010100010101010101010101010101010101010101010101010101010101010101010101010101010101010101010101010101010101010101010101010101010101010101010101010101010101000101010101010101010101010101010101010101010101010101010101010101010101010101010101010101010101010101010101010101010101010101010101010101010101010101010001010101010101010101010101010101010101010101010101010101010101010101010101010101010101010101010101010101010101010101010101010101010101010101010101010100010101010101010101010101010101010101010101010101010101010101010101010101010101010101010101010903010101010101010101010101010101010101010101010107160f01ff010101010101010101010101010101010101010101010101010101010101010101010101010101010101010101010405030101010101010101010101010101010101010101010101091301df0101010101010101010101010101010101010101010101010101010101010101010101010101010101010101010101090e0f01010101010101010101010101010101010101010101100003b501090e0f0101040500130101010101010101010101010101010101010101010101010101010c0d00000a0b01010101090a0b010c0d00000000000a0b01010c0d0000001112010101100006740102111201011011121013010101010101010101010101010101010101010101010101010c0d111201021112010101090a0b01010101100006010101010109111201010200030101100003000110000301011000030101010101010101010101010101010101010101010101010101011000060101040513010101010101010101011000060101010101090601010104050e0f0101010100010405060101040506010101010101010109000000000000000000000e0f010101010101021112010101090a0b010101010101010101100006010101010101010101010c0d0a0b0101010100010c0d0e0f010c0d0e0f0101010101010101010101010101010101010101010101010101090a0b0101010211120101010101010101011000060101010101010101010104050e0f010101010001010211120101020a0b010101010101010101010101010101010101010101010101010c0d0a0b0101010200030101010101010101011000060101010101010101010c0d0003010101010100010110000e0f011011120101010101010109000000000000000000000e0f01010101010c0d0a0b0101010200030101010101010101011000060101010101010c0d00001112010101020006000d03101114150b100003010101010101010101010101010101010101010101010101010c0d0a0b010101020003010101010101010101100006010101010101010101091112010101020006000109000a0b0405000e0f0101010101010101010101010101010101010101010101010101090a0b0101010911120101010101010101011000060101010101010101010102111201010101010001010101010101010101010101010101010101010101010101010101010101010101010102111201010c0d0a0b01010101010101010110000601010101010101010101070813010101010100010101010101010101010101010101010101010101010101010101010101010101010101070806010104050e0f0101010101011011121000060101010101021301010107081301010101010001010101010101010101010101010101010101010101010101010101010101010101010101090a0b0109000301010101010101010c0d000006010101010102000301010900060101010101000101010101010101010101010101010101010101010101010101010101010101010101010101020000000301010101010101010101010405060101010101010708000000060101010101010001010101010101010101010101010101010101010101010101010101010101010101010101010101010101010101010101010101010101010101010101010101010101010101010101010100010101010101010101010101010101010101010101010101010101010101010101010101010101010101010101010101010101010101010101010101010101010101010101010101010101000101010101010101010101010101010101010101010101010101010101010101010101010101010101010101010101010101010101010101010101010101010101010101010101010101010001010101010101010101010101010101010101010101010101010101010101010101010101010101010101010101010101010101010101010101010101010101010101010101010101010100010101010101010101010101010101010101010101010101010101010101010101010101010101010101010101010101010101010101010101010101010101010101010101010101010101004c0000006400000000000000000000004a0000001800000000000000000000004b000000190000002900aa0000000000000000000000803f00000000000000000000803f0000000000000000000000000000000000000000000000000000000000000000220000000c000000ffffffff460000001c00000010000000454d462b024000000c000000000000000e000000140000000000000010000000140000000400000003010800050000000b0200000000050000000c0219004b00030000001e000400000007010400040000000701040005040000410b2000cc0019004b000000000019004b0000000000280000004b000000190000000100080000000000000000000000000000000000170000000000000000000000ffffff00489cdf00ffbf7400bfffff0000007400df9c48009cdfff00000048000074bf0074000000ffffbf00dfffff0000489c009c480000ffffdf0074bfff0048000000ffdf9c00bf7400009cbf9c00740048009c48480001010101010101010101010101010101010101010101010101010101010101010101010101010101010101010101010101010101010101010101010101010101010101010101010101010100010101010101010101010101010101010101010101010101010101010101010101010101010101010101010101010101010101010101010101010101010101010101010101010101010101000101010101010101010101010101010101010101010101010101010101010101010101010101010101010101010101010101010101010101010101010101010101010101010101010101010001010101010101010101010101010101010101010101010101010101010101010101010101010101010101010101010101010101010101010101010101010101010101010101010101010100010101010101010101010101010101010101010101010101010101010101010101010101010101010101010101010903010101010101010101010101010101010101010101010107160f01ff010101010101010101010101010101010101010101010101010101010101010101010101010101010101010101010405030101010101010101010101010101010101010101010101091301df0101010101010101010101010101010101010101010101010101010101010101010101010101010101010101010101090e0f01010101010101010101010101010101010101010101100003b501090e0f0101040500130101010101010101010101010101010101010101010101010101010c0d00000a0b01010101090a0b010c0d00000000000a0b01010c0d0000001112010101100006740102111201011011121013010101010101010101010101010101010101010101010101010c0d111201021112010101090a0b01010101100006010101010109111201010200030101100003000110000301011000030101010101010101010101010101010101010101010101010101011000060101040513010101010101010101011000060101010101090601010104050e0f0101010100010405060101040506010101010101010109000000000000000000000e0f010101010101021112010101090a0b010101010101010101100006010101010101010101010c0d0a0b0101010100010c0d0e0f010c0d0e0f0101010101010101010101010101010101010101010101010101090a0b0101010211120101010101010101011000060101010101010101010104050e0f010101010001010211120101020a0b010101010101010101010101010101010101010101010101010c0d0a0b0101010200030101010101010101011000060101010101010101010c0d0003010101010100010110000e0f011011120101010101010109000000000000000000000e0f01010101010c0d0a0b0101010200030101010101010101011000060101010101010c0d00001112010101020006000d03101114150b100003010101010101010101010101010101010101010101010101010c0d0a0b010101020003010101010101010101100006010101010101010101091112010101020006000109000a0b0405000e0f0101010101010101010101010101010101010101010101010101090a0b0101010911120101010101010101011000060101010101010101010102111201010101010001010101010101010101010101010101010101010101010101010101010101010101010102111201010c0d0a0b01010101010101010110000601010101010101010101070813010101010100010101010101010101010101010101010101010101010101010101010101010101010101070806010104050e0f0101010101011011121000060101010101021301010107081301010101010001010101010101010101010101010101010101010101010101010101010101010101010101090a0b0109000301010101010101010c0d000006010101010102000301010900060101010101000101010101010101010101010101010101010101010101010101010101010101010101010101020000000301010101010101010101010405060101010101010708000000060101010101010001010101010101010101010101010101010101010101010101010101010101010101010101010101010101010101010101010101010101010101010101010101010101010101010101010100010101010101010101010101010101010101010101010101010101010101010101010101010101010101010101010101010101010101010101010101010101010101010101010101010101000101010101010101010101010101010101010101010101010101010101010101010101010101010101010101010101010101010101010101010101010101010101010101010101010101010001010101010101010101010101010101010101010101010101010101010101010101010101010101010101010101010101010101010101010101010101010101010101010101010101010100010101010101010101010101010101010101010101010101010101010101010101010101010101010101010101010101010101010101010101010101010101010101010101010101010101000c00000040092900aa0000000000000019004b0000000000040000002701ffff030000000000>
Расчетное наполнение канализационных труб принять равным до половины их диаметра.
Если вычисленное значение скорости отличается от принятого, более чем на 15%, то расчет необходимо повторить, изменив уклон.
Расчет:
Исходные данные:
Водоотведение сточных вод через один трап
>>>
>
Типовая схема внутренней канализации приведена на рис.13 (методичка).
Определение диаметров труб на всех участках канализационной сети:
За основу принять типовую схему, показанную на рисунке 13 (методичка). Стоки по трубопроводу, уложенному подполом, попадают в канализационный колодец КК и далее трубопровод дворовой канализации. Трапы расположить через 12 м.
Определим диаметр канализационных труб.






|
№ расчетных участков |
Длина участка, м |
Расчетный расход воды на участке, м3/с |
Скорость течения воды в трубе, м/с |
Диаметр труб, м |
|
|
расчетный |
стандартный |
||||
|
1-2 |
12 |
0.0065 |
1.7 |
0.1 |
0.1 |
|
2-3 |
12 |
0.0055 |
1 |
0.12 |
0.125 |
|
3-4 |
12 |
0.0045 |
1 |
0.11 |
0.125 |
|
4-5 |
12 |
0.0035 |
1 |
0.094 |
0.1 |
|
5-6 |
12 |
0.0025 |
1 |
0.08 |
0.08 |
|
6-7 |
12 |
0.0015 |
1 |
0.062 |
0.07 |
По найденному значению диаметров труб подобрать ближайший стандартный диаметр чугунных канализационных труб. Диаметр вытяжного канализационного стока ВКС принять равным 0,1 м.
Проверка скорости воды. Проверку скорости воды произвести на одном из участков трубопроводов:


Расчетное наполнение канализационных труб принять равным до половины их диаметра. Если вычисленное значение скорости отличается от принятого более чем на 15%, то расчет необходимо повторить, изменив уклон.
>Список используемой литературы>
Виноградов Ю.Н., Косой В.Д., Новик О.Ю. "Проектирование предприятий мясомолочной отрасли и рыбоперерабатывающих производств" - СПб.: ГИОРД, 2005.
Голубева Л.В., Глаголева Л.Э., Степанова В.М., Тихомирова В.Н. "Проектирование предприятий молочной отрасли с основами строительства" - СПб.: ГИОРД, 2006.
Кучурин Ю.А. "Основы проектирования и строительства перерабатывающих предприятий", - Брянск. Издательство Брянской ГСХА, 2006.
Виноградов Ю.Н., Косой В.Д., Новик О.Ю. "Проектирование предприятий молочной отрасли. Архитектурно-строительный и сантехнический разделы дипломного проекта". - М.: МГУПБ, 1998.
СНиП 2.09.02-85. "Производственные здания промышленных предприятий" М.: Стройиздат, 1998.
СНиП 11-89-80. "Генеральные планы промышленных предприятий" М.: Стройиздат, 1998.
СНиП 2.09.02-85. "Административные здания" М.: Стройиздат, 1997.
СНиП 2.04.05-86. "Отопление, вентиляция кондиционирование воздуха" М.: Стройиздат, 1998.
СНиП П-3-79. "Строительная теплотехника" М.: Стройиздат, 1998.
Буренин В.А., "Основы промышленного строительства". - М.: Высшая школа, 1984.