Исследование динамических свойств моделей типовых звеньев систем автоматического управления (работа 1)
Лабораторная работа
«Исследование динамических свойств моделей типовых звеньев систем автоматического управления по их частотным характеристикам»
Введение
Цель работы – изучение экспериментального метода и аппаратных средств определения амплитудно-фазовых частотных и динамических характеристик типовых звеньев.
1. Теоретические сведения
Для сложного объекта автоматического регулирования не всегда удается произвести исследование с помощью аналитических методов ввиду того, что заранее неизвестны математические модели, параметры объекта или существуют значительные нелинейности в объекте. В этом случае применим экспериментальный метод построения частотных характеристик исследуемого объекта, базирующийся на том, что если на его вход подать сигнал синусоидальной формы с частотой и амплитудой, равной единице, то на выходе в установившемся режиме получится тоже синусоидальный сигнал с той же частотой но с другими амплитудой и фазой.
Синусоидальные функции могут выражаться в векторной форме показательными функциями с мнимым аргументом:

Величина W(j) называется комплексным коэффициентом передачи или усиления, представляющим комплексное число, модуль которого равен отношению амплитуд выходного и входного сигналов при неизменной частоте входного сигнала. Если положить =0, то получается коэффициент усиления или коэффициент передачи системы или звена.
Процесс регулирования Y(t) складывается из двух частей: переходного процесса Y>ПП>(t) и установившегося процесса Y>УСТ>(t):
Y(t) = Y>ПП>(t) + Y>УСТ>(t).
Математически переходный процесс определяется общим решением однородного уравнения (1.1), при Х(t)=0, а установившийся процесс – частным решением уравнения неоднородного уравнения (1.1), при заданной правой части Х(t). С точки зрения теоретической механики переходный процесс есть свободное движение системы, а установившийся процесс – вынужденное движение. С точки зрения теории колебаний первое есть собственные колебания, а второе – вынужденные колебания, но это ни в коем случае не означает, что переходный и установившийся процессы всегда по форме будут колебательными. Для получения переходной характеристики подают мгновенно скачком на вход звена некоторое постоянное значение вида:
>
>
и наблюдают переходный процесс (свободные колебания) на выходе звена. На коммутационном поле АВМ эта модель входного воздействия реализуется на масштабном операционном усилителе с изменяемым согласно варианта задания коэффициентом усиления:
>
>
Такое идеальное звено не обладает инерционностью и мгновенно дает на выходе величину:
>
>
(1.2)
Если на вход звена или системы подать сигнал синусоидальной формы с частотой ω вида:
>
>
(1.3)
то на выходе в установившемся режиме получится тоже синусоидальный сигнал с той же частотой ω, но с другими амплитудой и фазой (наблюдение вынужденных колебаний звена).
2 Экспериментальная часть
Составим таблицу значений 2.1
Построим график апериодического звена второго порядка, рисунок 2.1 и с помощью данного графика получим значение T>2.>

Рисунок 2.1 – график апериодического звена второго порядка
Вычислив А(ω) и φ(ω), построим годограф, рисунок 2.2.

Рисунок 2.2. – Годограф А(ω)φ(ω)
Зная значение = 14 В, а = 15 В, можно рассчитать 010009000003540400000000fa0200000000fa02000026060f00ea05574d464301000000000001001be00000000001000000c805000000000000c8050000010000006c000000000000000000000010000000150000000000000000000000f10100008402000020454d4600000100c80500000c0000000100000000000000000000000000000000040000000300002c010000e1000000000000000000000000000000e0930400e86e0300460000002c00000020000000454d462b014001001c000000100000000210c0db01000000600000006000000046000000e4010000d8010000454d462b224004000c000000000000001e4009000c00000000000000244001000c000000000000003040020010000000040000000000803f214007000c000000000000000840000530010000240100000210c0db01000000000000000000000000000000000000000100000089504e470d0a1a0a0000000d494844520000001100000016080300000011b68770000000017352474200aece1ce9000000097048597300000ec400000ec401952b0e1b0000003c504c544500000000004800007400489c0074bf480000489cdf74000074bfff9c48009cdfffbf7400bfffffdf9c48dfffffffbf74ffdf9cffffbfffffdfffffffc2324b64000000634944415428cfad90490e80300c035de80ea1dbffff4a0015b53937520e19d996153439584708f04243db29c8b15f33a9c18a9c6c3c2fba9549529175bf135f0ce9c155839e92d08a03d83790049fcda4e17e432e93f72215a9cb509c7d2ac1aefed80d6f5918d10409c9020000000049454e44ae42608200000840010824000000180000000210c0db01000000030000000000000000000000000000001b40000040000000340000000100000002000000000000bf000000bf000088410000b04103000000000000b3000000b3ffff8741000000b3000000b3ffffaf412100000008000000620000000c00000001000000150000000c00000004000000150000000c000000040000005100000080020000000000000000000010000000150000000000000000000000000000000000000011000000160000005000000078000000c8000000b8010000000000002000cc0011000000160000002800000011000000160000000100080000000000000000000000000000000000140000000000000000000000ffffff00489cdf00ffbf740074000000ffffbf000074bf009c480000ffffdf00dfffff0000489c00df9c48009cdfff000000480074bfff0048000000ffdf9c00bf740000bfffff000000740001010101010101010101010101010101010f0e0701010101010101010101010101010101010d0c000101010101010101010101010101010101000000010101010101010101010101010101010100000012130b01010c0d000b0101010101010101080f07090a070801020f10020b0101010101010100000001020405090a0708010101010101010101000000010e00030c0d0b010101010101010101011ffffc01121300000f100101010101010101010100000001090a11090a0b01010101010101010101f00007010106070801021101010101010101010100000001010e0f1001090a07080101010101010180000101010c0d03010c0d0004050101010101010000000101090a0b0101010101010101010101010000000101010607080101010101010101010101000000010101020405010101010101010101010100000001010200000301010101010101010101010000000101010101010101010101010101010101c0001f010101010101010101010101010101010100000001010101010101010101010101010101017ffff8010101010101010101010101010101010100000001010101010101010101010101010101010101814c0000006400000000000000000000001000000015000000000000000000000011000000160000002900aa0000000000000000000000803f00000000000000000000803f0000000000000000000000000000000000000000000000000000000000000000220000000c000000ffffffff460000001c00000010000000454d462b024000000c000000000000000e000000140000000000000010000000140000000400000003010800050000000b0200000000050000000c0216001100030000001e000400000007010400040000000701040025010000410b2000cc00160011000000000016001100000000002800000011000000160000000100080000000000000000000000000000000000140000000000000000000000ffffff00489cdf00ffbf740074000000ffffbf000074bf009c480000ffffdf00dfffff0000489c00df9c48009cdfff000000480074bfff0048000000ffdf9c00bf740000bfffff000000740001010101010101010101010101010101010f0e0701010101010101010101010101010101010d0c000101010101010101010101010101010101000000010101010101010101010101010101010100000012130b01010c0d000b0101010101010101080f07090a070801020f10020b0101010101010100000001020405090a0708010101010101010101000000010e00030c0d0b010101010101010101011ffffc01121300000f100101010101010101010100000001090a11090a0b01010101010101010101f00007010106070801021101010101010101010100000001010e0f1001090a07080101010101010180000101010c0d03010c0d0004050101010101010000000101090a0b0101010101010101010101010000000101010607080101010101010101010101000000010101020405010101010101010101010100000001010200000301010101010101010101010000000101010101010101010101010101010101c0001f010101010101010101010101010101010100000001010101010101010101010101010101017ffff8010101010101010101010101010101010100000001010101010101010101010101010101010101810c00000040092900aa000000000000001600110000000000040000002701ffff030000000000.
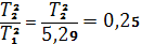
Исходя их графика для определения постоянных времени апериодического звена второго порядка, рисунок 2.3, найдём значение 0100090000036a04000000000e03000000000e03000026060f001206574d4643010000000000010077130000000001000000f005000000000000f0050000010000006c000000000000000000000014000000110000000000000000000000660200000e02000020454d4600000100f00500000c0000000100000000000000000000000000000000040000000300002c010000e1000000000000000000000000000000e0930400e86e0300460000002c00000020000000454d462b014001001c000000100000000210c0db0100000060000000600000004600000008020000fc010000454d462b224004000c000000000000001e4009000c00000000000000244001000c000000000000003040020010000000040000000000803f214007000c000000000000000840000554010000480100000210c0db01000000000000000000000000000000000000000100000089504e470d0a1a0a0000000d494844520000001500000012080300000083cc651c000000017352474200aece1ce9000000097048597300000ec400000ec401952b0e1b00000045504c544500000000004800007400489c0074bf48000048489c489cdf74000074bfff9c48009c9c9c9cdfffbf7400bf9c9cbfffffdf9c48dfffffffbf74ffdf9cffffbfffffdfffffff67ae9983000000804944415428cf6d900b0e80200c43aba2e007053fbbff51950913d42684e565741da03fe19f1e03a21affd0dd68da8d22b22aebdd3a4f5bab2f1a0e502fc977454ff7ad2d974c2d37b0e6d1477a0c32c8ddaf0265db08210ec9f62a32eaaae9bb5b669b51de81a3c4b44c57a8326da061842ed2befecca5302820c4412469894e34301a0a486836bc0000000049454e44ae4260820840010824000000180000000210c0db01000000030000000000000000000000000000001b40000040000000340000000100000002000000000000bf000000bf0000a8410000904103000000000000b3000000b3ffffa741000000b3000000b3ffff8f412100000008000000620000000c00000001000000150000000c00000004000000150000000c000000040000005100000084020000000000000000000014000000110000000000000000000000000000000000000015000000120000005000000084000000d4000000b0010000000000002000cc0015000000120000002800000015000000120000000100080000000000000000000000000000000000170000000000000000000000ffffff00dfffff0000489c009c480000ffffdf00bfffff0000007400df9c4800bf7400000074bf009cdfff009c4848000000480074000000ffffbf0074bfff00ffbf74009c9cbf009c9c9c00489cdf0048000000ffdf9c000101010101010101010110000000001101010101011f1f1f0101010101010101010101140000001101010101011f1f1f0101010101010101010101011400110101010101011f1f1f0110000000080101010101010112130501010101011f1f1f010110000901010101011000080a001101010101011f1f1f01010607090101010101010a00000e0f01010101011f1f1f0101020304050101010101010101010101010101011f1f1f0101011415160101010101010101010101010101011f1f1f0101011000110101010101011000000000110101011f1f1f0101010b0d080101010101010114000000110101011f1f1f0101010203040501010101010101140011010101011f1f1f010101010a0e0f01010101010101011213050101011f1f1f0101010110001101010101011000080a00110101011f1f1f0b0c05010b0d0801010a0801010a00000e0f0101011f1f1f0607080106070901010a09010101010101010101011f1f1f0203000000000000000004050101010101010101011f1f1f0101010101010101010101010101010101010101011f1f1f0101010101010101010101010101010101010101011f1f1f4c0000006400000000000000000000001400000011000000000000000000000015000000120000002900aa0000000000000000000000803f00000000000000000000803f0000000000000000000000000000000000000000000000000000000000000000220000000c000000ffffffff460000001c00000010000000454d462b024000000c000000000000000e000000140000000000000010000000140000000400000003010800050000000b0200000000050000000c0212001500030000001e000400000007010400040000000701040027010000410b2000cc00120015000000000012001500000000002800000015000000120000000100080000000000000000000000000000000000170000000000000000000000ffffff00dfffff0000489c009c480000ffffdf00bfffff0000007400df9c4800bf7400000074bf009cdfff009c4848000000480074000000ffffbf0074bfff00ffbf74009c9cbf009c9c9c00489cdf0048000000ffdf9c000101010101010101010110000000001101010101011f1f1f0101010101010101010101140000001101010101011f1f1f0101010101010101010101011400110101010101011f1f1f0110000000080101010101010112130501010101011f1f1f010110000901010101011000080a001101010101011f1f1f01010607090101010101010a00000e0f01010101011f1f1f0101020304050101010101010101010101010101011f1f1f0101011415160101010101010101010101010101011f1f1f0101011000110101010101011000000000110101011f1f1f0101010b0d080101010101010114000000110101011f1f1f0101010203040501010101010101140011010101011f1f1f010101010a0e0f01010101010101011213050101011f1f1f0101010110001101010101011000080a00110101011f1f1f0b0c05010b0d0801010a0801010a00000e0f0101011f1f1f0607080106070901010a09010101010101010101011f1f1f0203000000000000000004050101010101010101011f1f1f0101010101010101010101010101010101010101011f1f1f0101010101010101010101010101010101010101011f1f1f0c00000040092900aa000000000000001200150000000000040000002701ffff030000000000.


Рисунок 2.3 – График для определения постоянных времени апериодического звена второго порядка
Следует можем найти 0100090000036a04000000000e03000000000e03000026060f001206574d4643010000000000010077130000000001000000f005000000000000f0050000010000006c000000000000000000000014000000110000000000000000000000660200000e02000020454d4600000100f00500000c0000000100000000000000000000000000000000040000000300002c010000e1000000000000000000000000000000e0930400e86e0300460000002c00000020000000454d462b014001001c000000100000000210c0db0100000060000000600000004600000008020000fc010000454d462b224004000c000000000000001e4009000c00000000000000244001000c000000000000003040020010000000040000000000803f214007000c000000000000000840000554010000480100000210c0db01000000000000000000000000000000000000000100000089504e470d0a1a0a0000000d494844520000001500000012080300000083cc651c000000017352474200aece1ce9000000097048597300000ec400000ec401952b0e1b00000045504c544500000000004800007400489c0074bf48000048489c489cdf74000074bfff9c48009c9c9c9cdfffbf7400bf9c9cbfffffdf9c48dfffffffbf74ffdf9cffffbfffffdfffffff67ae9983000000804944415428cf6d900b0e80200c43aba2e007053fbbff51950913d42684e565741da03fe19f1e03a21affd0dd68da8d22b22aebdd3a4f5bab2f1a0e502fc977454ff7ad2d974c2d37b0e6d1477a0c32c8ddaf0265db08210ec9f62a32eaaae9bb5b669b51de81a3c4b44c57a8326da061842ed2befecca5302820c4412469894e34301a0a486836bc0000000049454e44ae4260820840010824000000180000000210c0db01000000030000000000000000000000000000001b40000040000000340000000100000002000000000000bf000000bf0000a8410000904103000000000000b3000000b3ffffa741000000b3000000b3ffff8f412100000008000000620000000c00000001000000150000000c00000004000000150000000c000000040000005100000084020000000000000000000014000000110000000000000000000000000000000000000015000000120000005000000084000000d4000000b0010000000000002000cc0015000000120000002800000015000000120000000100080000000000000000000000000000000000170000000000000000000000ffffff00dfffff0000489c009c480000ffffdf00bfffff0000007400df9c4800bf7400000074bf009cdfff009c4848000000480074000000ffffbf0074bfff00ffbf74009c9cbf009c9c9c00489cdf0048000000ffdf9c000101010101010101010110000000001101010101011f1f1f0101010101010101010101140000001101010101011f1f1f0101010101010101010101011400110101010101011f1f1f0110000000080101010101010112130501010101011f1f1f010110000901010101011000080a001101010101011f1f1f01010607090101010101010a00000e0f01010101011f1f1f0101020304050101010101010101010101010101011f1f1f0101011415160101010101010101010101010101011f1f1f0101011000110101010101011000000000110101011f1f1f0101010b0d080101010101010114000000110101011f1f1f0101010203040501010101010101140011010101011f1f1f010101010a0e0f01010101010101011213050101011f1f1f0101010110001101010101011000080a00110101011f1f1f0b0c05010b0d0801010a0801010a00000e0f0101011f1f1f0607080106070901010a09010101010101010101011f1f1f0203000000000000000004050101010101010101011f1f1f0101010101010101010101010101010101010101011f1f1f0101010101010101010101010101010101010101011f1f1f4c0000006400000000000000000000001400000011000000000000000000000015000000120000002900aa0000000000000000000000803f00000000000000000000803f0000000000000000000000000000000000000000000000000000000000000000220000000c000000ffffffff460000001c00000010000000454d462b024000000c000000000000000e000000140000000000000010000000140000000400000003010800050000000b0200000000050000000c0212001500030000001e000400000007010400040000000701040027010000410b2000cc00120015000000000012001500000000002800000015000000120000000100080000000000000000000000000000000000170000000000000000000000ffffff00dfffff0000489c009c480000ffffdf00bfffff0000007400df9c4800bf7400000074bf009cdfff009c4848000000480074000000ffffbf0074bfff00ffbf74009c9cbf009c9c9c00489cdf0048000000ffdf9c000101010101010101010110000000001101010101011f1f1f0101010101010101010101140000001101010101011f1f1f0101010101010101010101011400110101010101011f1f1f0110000000080101010101010112130501010101011f1f1f010110000901010101011000080a001101010101011f1f1f01010607090101010101010a00000e0f01010101011f1f1f0101020304050101010101010101010101010101011f1f1f0101011415160101010101010101010101010101011f1f1f0101011000110101010101011000000000110101011f1f1f0101010b0d080101010101010114000000110101011f1f1f0101010203040501010101010101140011010101011f1f1f010101010a0e0f01010101010101011213050101011f1f1f0101010110001101010101011000080a00110101011f1f1f0b0c05010b0d0801010a0801010a00000e0f0101011f1f1f0607080106070901010a09010101010101010101011f1f1f0203000000000000000004050101010101010101011f1f1f0101010101010101010101010101010101010101011f1f1f0101010101010101010101010101010101010101011f1f1f0c00000040092900aa000000000000001200150000000000040000002701ffff030000000000:


Воспользовавшись программой MatLab, построим графики характеристик: ФЧХ, АЧХ, ВЧХ, МЧХ, КЧХ, ЛАЧХ и ЛФЧХ.
В окна команд запишем:
>> m=[0.93333]
m = 0.9333
>> n=[1.3225 1.15 1]
n = 1.3225 1.1500 1.0000
>> tf (m, n)
Transfer function:
0.9333
1.323 s^2 + 1.15 s + 1
>> [h, w]=freqs (m, n, 600);
>> ampl=abs(h);
>> phi=angle(h);
>> phi=unwrap(phi);
>> plot (w, phi, 'k'); grid on
>> plot (w, ampl, 'k'); grid on
>> vchhar=ampl.*cos(phi);
>> plot (w, vchhar, 'k'); grid on
>> mchhar=ampl.*sin(phi);
>> plot (w, mchhar, 'k'); grid on
>> plot (vchhar, mchhar, 'k'); grid on
График ФЧХ представлен на рисунке 2.4.

Рисунок 2.4 – График фазочастотной характеристики
График АЧХ представлен на рисунке 2.5.


Рисунок
2.5 – График амплитудо-частотной
характеристики
График ВЧХ представлен на рисунке 2.6.

Рисунок 2.6 – График вещественной частотной характеристики
График МЧХ представлен на рисунке 2.7.

Рисунок
2.7 – График мнимой частотной характеристики
График КЧХ представлен на рисунке 2.8.

Рисунок 2.8 – График комплексной частотной характеристики
Для построения ЛАЧХ и ЛФЧХ составим структурную схему представленную на рисунке 2.9.

Рисунок 2.9 – Структурная схема для построения ЛАЧХ и ЛФЧХ



Рисунок
2.9 – Графики ЛАЧХ и ЛФЧХ