Исследование электрической цепи переменного тока с активным и индуктивным сопротивлением
Исследование электрической цепи переменного тока с активным и индуктивным сопротивлением
Цель работы: Изучить неразветвлённую цепь переменного тока, научиться строить векторные диаграммы, научится определять фазовый сдвиг векторов напряжения на активном и индуктивном сопротивлении.
Ход работы:
1. Собрал схему

Рисунок 1 – Схема неразветвленной цепи
где РА-прибор комбинированный 43101;
PV-прибор комбинированный Ц 4342;
R>1> - резистор, 200 Ом;
L>1> - катушка индуктивности.
2. Подключил схему к генератору трёхфазного напряжения и подал синусоидальное напряжение ~24В.
3. Измерил силу тока I в цепи I= 0,004 А
4. Измерил напряжение на входе схемы U и напряжение на активном U>a>=U>R> и индуктивном U>K> сопротивлениях.
U = 4,88 В
U>a>> >= U>R>> >= 3,69 В
5. Вычислил полное сопротивление электрической цепи по формуле:

Z=4,88/0,004=1220(0м).
6. Вычислил полное сопротивление катушки индуктивности по формуле

Z>K> =3,69/0,004=922,5 (Om).
7. Измерил активное сопротивление катушки с помощью комбинированного прибора 43101.
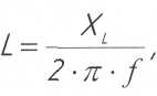
8. Вычислил индуктивное сопротивление катушки по формуле:

(Ом)
9. Рассчитал индуктивное сопротивление катушки по формуле

R>a>=3,16/0,004=790(Oм).
10. Рассчитал индуктивность катушки по формуле

L =920,1/2 ·3,14 ·50 = 2,93 (Гн).
11. Определил активное напряжение катушки по формуле

U>Rk> =0,004 ·67=0,268(В).
12. Нашёл индуктивное напряжение катушки по формуле

U>L> =0,004 ·920,1 = 3,68 (В).
13. Вычислил активную мощность, потребляемую в электрической цепи по формуле

Р>а> =0,0042 (790+67)=0,013712 (Вт).
14. Рассчитал реактивную мощность цепи по формуле

Q=0,0042 ·920,1 = 0,014722 (ВАр).
15. Нашёл полную мощность цепи по формуле

(ВА).
16. Определил угол сдвига фаз в цепи по формуле

Р>а> /S=0,013712/0,020118=0,682

17. Данные расчётов и измерений, записал в таблицу.
Таблица 1 - протокол испытаний:

18. По результатам измерений и расчётов, построил Векторную диаграмму и треугольники сопротивлений и мощностей:

Рисунок 2 - векторные диаграммы
где а) векторная диаграмма напряжений;
б) треугольник сопротивлений;
в) треугольник мощностей.
Вывод
Научился рассчитывать электрические цепи переменного тока с активным и индуктивным сопротивлениями, и определять сдвиг фаз в такой цепи.