Базовые концепции финансового менеджмента (работа 1)
Содержание
Введение
I. Сущность финансового менеджмента, его функции и принципы
1.1 Финансовый менеджмент как научное направление и практическая сфера деятельности
1.2 Функции и принципы финансового менеджмента
II. Базовые концепции финансового менеджмента
2.1 Концепция временной стоимости денег
2.2 Концепция учета фактора инфляции
2.3 Концепция учета фактора риска
2.4 Концепция идеальных рынков капитала
2.5 Гипотеза эффективности рынка
2.6 Анализ дисконтированного денежного потока
2.7 Соотношение между риском и доходностью
2.8 Теория структуры капитала Модильяни-Миллера
2.9 Теория дивидендов Модильяни-Миллера
2.10 Теория ценообразования опционов
2.11 Теория агентских отношений
2.12 Концепция асимметричной информации
Заключение
Список использованных источников
Введение
Финансовый менеджмент — вид профессиональной деятельности, направленной на управление финансово-хозяйственным функционированием фирмы на основе использования современных методов. Финансовый менеджмент является одним из ключевых элементов всей системы современного управления, имеющим особое, приоритетное значение для сегодняшних условий экономики России. Финансовый менеджмент включает в себя: разработку и реализацию финансовой политики фирмы с применением различных финансовых инструментов, принятие решений по финансовым вопросам, их конкретизацию и разработку методов реализации, информационное обеспечение посредством составления и анализа финансовой отчетности фирмы, оценку инвестиционных проектов и формирование портфеля инвестиций, оценку затрат на капитал, финансовое планирование и контроль, организацию аппарата управления финансово-хозяйственной деятельностью фирмы.
Методы финансового менеджмента позволяют оценить: риск и выгодность того или иного способа вложения денег, эффективность работы фирмы, скорость оборачиваемости капитала и его производительность.
Задачей финансового менеджмента является выработка и практическое применение методов, средств и инструментов для достижения целей деятельности фирмы в целом или ее отдельных производственно-хозяйственных звеньев — центров прибыли. Подобными целями могут быть: максимизация прибыли, достижение устойчивой нормы прибыли в плановом периоде, увеличение доходов руководящего состава и вкладчиков (или владельцев) фирмы, повышение курсовой стоимости акций фирмы и др. В конечном итоге все эти цели ориентированы на повышение доходов вкладчиков (акционеров) или владельцев (собственников капитала) фирмы. Финансовый менеджмент базируется на ряде взаимосвязанных фундаментальных концепций, развитых в рамках теории финансов. Концепция (от лат. conceptio — понимание, система) представляет собой определенный способ понимания и трактовки какого-либо явления. С помощью концепции или системы концепций выражается основная точка зрения на данное явление, задаются некоторые конструктивистские рамки, определяющие сущность и направления развития этого явления.
Целью данной курсовой работы является рассмотрение основных концепций финансового менеджмента, его функций и принципов
Объектом исследования является финансовый менеджмент, а предметом – концепции финансового менеджмента и его функции.
I. Финансовый менеджмент как научное направление и практическая сфера деятельности
Финансовый менеджмент как самостоятельное научное направление сформировался в начале 60-х годов XX века. Он возник для теоретического обоснования роли финансов на уровне фирмы.
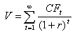
«Отдельные фундаментальные разработки по теории финансов велись еще до второй мировой войны; в частности, можно упомянуть об известной модели оценки стоимости финансового актива, предложенной Дж. Уильямсом в 1938 году и являющейся основой фундаментального подхода»1.

Согласно этой модели теоретическая стоимость актива зависит от 3 параметров: ожидаемых денежных поступлений (CF), продолжительности периода прогнозирования (t) и доходности (r). В отношении первого параметра существуют различные подходы и модели, например, для акций это – поток дивидендов, для облигаций – купоны и номинал. В зависимости от вида финансового актива параметр времени может иметь ограниченный (облигации) и неограниченный (акции) горизонт прогнозирования. Третий параметр - наиболее существенный, определяется инвестором исходя из доходности альтернативных вариантов вложения капитала. Например, может рассчитываться исходя из процента по государственным облигациям k>sb >и надбавки за риск k>r>.
Эта модель подразумевает капитализацию получаемых доходов. Например, оценка облигации по формуле будет верна, если регулярно получаемые проценты не используются на потребление, а немедленно инвестируются в те же облигации или другие ценные бумаги с той же доходностью и степенью риска.
Модификации этой модели используются для оценки стоимости акций и облигаций.
Своему созданию финансовый менеджмент обязан представителям англо-американской финансовой школы: Г. Марковицу, Ф. Модильяни, М. Миллеру, Ф. Блэку, М. Скоулзу, Ю. Фаме, У. Шарпу и другим ученым – основоположникам Современной теории финансов. Она базируется на 4 основных тезисах:
a) Экономическая мощь государства, а значит, и устойчивость его финансовой системы определяется экономической мощью частного сектора, ядро которого составляют крупные корпорации. Так, в США 90% всех доходов генерируют корпорации (corporation), количество которых не превышает 20% предпринимательского сектора. Под корпорацией понимается крупная коммерческая организация, принадлежащая держателям ее акций. Она характеризуется 3 важными признаками: юридическая самостоятельность по отношению к владельцам, ограниченная ответственность (т.е. акционеры компании лично не отвечают по ее долгам), отделение собственности от управления.
б) Вмешательство государства в деятельность частного сектора целесообразно минимизируется.
в) Из доступных источников финансирования, определяющих возможность развития крупных корпораций, основными являются прибыль и рынки капитала.
г) Интернационализация рынков приводит к тому, что общей тенденцией развития финансовых систем различных стран становится стремление к интеграции.
Принято считать, что начало финансовому менеджменту положили работы Гарри Марковица, автора теории портфеля. В них была изложена «методология принятия решений в области инвестирования в финансовые активы»2. Дальнейшее развитие портфельная теория получила в 60-е годы XX века благодаря Уильяму Шарпу, Дж. Линтнеру и Дж. Моссину, которые разработали модель оценки доходности финансовых активов – Capital Asset Pricing Model (CAPM), устанавливающую прямую зависимость доходности финансового актива (k>i>) от его рыночного риска (?>i>). Бета-коэффициент показывает уровень изменчивости доходности актива по отношению к движению рынка.

Доходность актива i включает 2 компонента: доходность безрискового актива (k>rf>) и премию за риск. Премия за риск зависит от:
1) премии за риск рыночного портфеля (k>m>- k>rf>);
2) значения b-коэффициента.
Эта модель до сих пор остается одним из самых весомых научных достижений в теории финансов. В 1990 году Гарри Марковиц и Уильям Шарп вместе с Мертоном Миллером были награждены Нобелевской премией за работы по теории финансов.
Дискуссии по CAPM продолжаются до настоящего времени, в качестве альтернативных подходов были предложены теория арбитражного ценообразования (APT), теория ценообразования опционов и другие.
Так, в частности, в основу разработанной Стивеном Россом концепции APT заложено утверждение о том, что фактическая доходность любой акции складывается из 2-х частей: нормальной, или ожидаемой, и рисковой, или неопределенной. Последний компонент определяется многими экономическими факторами, например, ростом ВВП, инфляцией, процентными ставками, валютным курсом и другими.

В конце 50-х годов появилась статья Юджина Фамы, в которой исследовалась взаимосвязь цены финансовых активов и информации, циркулирующей на рынке капитала. Согласно гипотезе эффективности фондового рынка при полном и свободном доступе участников рынка к информации цена акции на данный момент является лучшей оценкой ее реальной стоимости. В условиях эффективного рынка любая новая информация немедленно отражается на ценах финансовых активов. Но, понимая, что идеально эффективного рынка в реальности не существует, автор выделил 3 формы эффективности рынка капитала: сильную, умеренную и слабую.
В 1958 году Франко Модильяни и Мертон Миллер опубликовали работу, в которой доказали, что стоимость любой фирмы определяется исключительно ее будущими доходами и совершенно не зависит от структуры ее капитала. Этот вывод известный сегодня как теорема Модильяни-Миллера является краеугольным камнем современной теории корпоративных финансов. Поскольку их теория базировалась на ряде ограничений, дальнейшие исследования в этой области были посвящены изучению возможностей их ослабления. Так, в теорию были введены фактор налогообложения, издержек банкротства.
Из всех упомянутых новаций 2 направления – теория портфеля и теория структуры капитала – представляют собой основу финансового менеджмента, поскольку позволяют ответить на 2 принципиальных вопроса: откуда взять и куда вложить финансовые ресурсы.
«Финансовый менеджмент в практической плоскости – это система взаимоотношений, возникающих в корпорации по поводу привлечения и использования финансовых ресурсов»3.
Финансовый менеджмент имеет 3 крупные области.
1. Управление инвестиционной деятельностью. Куда вложить финансовые ресурсы с максимальной эффективностью?
2. Управление источниками финансовых ресурсов. Откуда взять требуемые финансовые ресурсы?
3. Общий финансовый анализ и планирование.
1.2 Функции и принципы финансового менеджмента
Объектами финансового менеджмента являются финансы и финансовые отношения. Финансовые отношения в части денежных потоков связывают организацию с другими организациями, учредителями, персоналом, государственными учреждениями. В целом функции финансового менеджмента заключаются в формировании денежных средств (формировании доходов), использовании денежных средств (осуществление расходов) и контроле за формированием и использованием денежных средств.
На практическом уровне функции финансового менеджмента представлены конкретными функциями субъектов финансового менеджмента в рамках управленческой деятельности. Теория финансового менеджмента, обобщая виды деятельности субъектов финансового менеджмента, выделяет следующие их функции: планирование, прогнозирование, организация, регулирование, координирование, стимулирование и контроль. В целом, данные функции относятся к общему менеджменту, но с учетом специфики объекта финансового менеджмента, данные функции рассматриваются в специфическом ракурсе.
В центре планирования в области финансового менеджмента лежит разработка финансовых планов, являющихся основным документом, предполагающем разработку комплекса мероприятий по разработке решений и внедрению их в жизнь. С учетом ключевой роли планирования в финансовом менеджменте большое внимание уделяется также разработке методологии составления финансовых планов. Прогнозирование в финансовом менеджменте является основой для планирования и представляет собой разработку предполагаемых изменений финансового состояния организации в долгосрочной перспективе. С учетом вариативности развития финансового состояния организации прогнозирование в финансовом менеджменте должно подразумевать разработку альтернативных финансовых показателей. Функции организации, координации и регулирования в финансовом менеджменте направлены на построение системы финансовых отношений, способствующих реализации финансовых планов.
Последняя группа функций финансового менеджмента направлена на организацию устойчивости работы финансовой системы с помощью стимулирования, то есть побуждения элементов системы к определенным действиям, и контроля, направленного на проверку состояния финансовой системы, ее работы, исполнения финансового плана. С учетом того факта, что контроль, как функция финансового менеджмента, подразумевает обязательный анализ результатов, он должен рассматриваться как составляющая финансового планирования в целом.
Цель финансового менеджмента - максимизация благосостояния собственников с помощью рациональной финансовой политики на основе:
долгосрочной максимизации прибыли;
максимизации рыночной стоимости фирмы;
Задачи финансового менеджмента.
обеспечение формирования объема финансовых ресурсов, необходимого для обеспечения намеченной деятельности
обеспечение наиболее эффективного использования финансовых ресурсов;
оптимизация денежного оборота;
оптимизации расходов;
обеспечение максимизации прибыли предприятия;
обеспечение минимизации уровня финансового риска;
обеспечение постоянного финансового равновесия предприятия.
обеспечение устойчивых темпов роста экономического потенциала;
оценка потенциальных финансовых возможностей предприятия на предстоящие периоды;
обеспечения целевой рентабельности;
избежания банкротства (антикризисное управление);
обеспечения текущей финансовой устойчивости организации.
Рассмотрю, как реализуются эти задачи финансового менеджмента.
1. Обеспечение формирования достаточного объема финансовых ресурсов в соответствии с задачами развития предприятия в предстоящем периоде. Эта задача реализуется путем определения общей потребности в финансовых ресурсах предприятия на предстоящий период, максимизации объема привлечения собственных финансовых ресурсов за счет внутренних источников, определения целесообразности формирования собственных финансовых ресурсов за счет внешних источников, управления привлечением заемных финансовых средств, оптимизации структуры источников формирования ресурсного финансового потенциала.
2. Обеспечение наиболее эффективного использования сформированного объема финансовых ресурсов в разрезе основных направлений деятельности предприятия.
Оптимизация распределения сформированного объема финансовых ресурсов предусматривает установление необходимой пропорциональности в их использовании на цели производственного и социального развития предприятия, выплаты необходимого уровня доходов на инвестированный капитал собственникам предприятия и т.п. В процессе производственного потребления сформированных финансовых ресурсов в разрезе основных направлений деятельности предприятия должны быть учтены стратегические цели его развития и возможный уровень отдачи вкладываемых средств.
3. Оптимизация денежного оборота.
Эта задача решается путем эффективного управления денежными потоками предприятия в процессе кругооборота его денежных средств, обеспечением синхронизации объемов поступления и расходования денежных средств по отдельным периодам, поддержанием необходимой ликвидности его оборотных активов. Одним из результатов такой оптимизации является минимизация среднего остатка свободных денежных активов, обеспечивающая снижение потерь от их неэффективного использования и инфляции.
4. Обеспечение максимизации прибыли предприятия при предусматриваемом уровне финансового риска.
Максимизация прибыли достигается за счет эффективного управления активами предприятия, вовлечения в хозяйственный оборот заемных финансовых средств, выбора наиболее эффективных направлений операционной и финансовой деятельности. При этом, для достижения целей экономического развития предприятие должно стремиться максимизировать не балансовую, а чистую прибыль, остающуюся в его распоряжении, что требует осуществления эффективной налоговой, амортизационной и дивидендной политики. Решая эту задачу, необходимо иметь в виду, что максимизация уровня прибыли предприятия достигается, как правило, при существенном возрастании уровня финансовых рисков, так как между этими двумя показателями существует прямая связь. Поэтому максимизация прибыли должна обеспечиваться в пределах допустимого финансового риска, конкретный уровень которого устанавливается собственниками или менеджерами предприятия с учетом их финансового менталитета (отношения к степени допустимого риска при осуществлении хозяйственной деятельности). Но существуют и официальные нормативы (например, максимально допустимые соотношения между объемами собственных и привлеченных финансовых ресурсов коммерческих банков).
5. Обеспечение минимизации уровня финансового риска при предусматриваемом уровне прибыли.
Если уровень прибыли предприятия задан или спланирован заранее, важной задачей является снижение уровня финансового риска, обеспечивающего получение этой прибыли. Такая минимизация может быть обеспечена путем диверсификации видов операционной и финансовой деятельности, а также портфеля финансовых инвестиций; профилактикой и избежанием отдельных финансовых рисков, эффективными формами их внутреннего и внешнего страхования.
6. Обеспечение постоянного финансового равновесия предприятия в процессе его развития.
Такое равновесие характеризуется высоким уровнем финансовой устойчивости и платежеспособности предприятия на всех этапах его развития и обеспечивается формированием оптимальной структуры капитала и активов, эффективными пропорциями в объемах формирования финансовых ресурсов за счет различных источников, достаточным уровнем самофинансирования инвестиционных потребностей. Все рассмотренные задачи финансового менеджмента теснейшим образом взаимосвязаны, хотя отдельные из них и носят разнонаправленный характер (например, обеспечение максимизации суммы прибыли при минимизации уровня финансового риска; обеспечение формирования достаточного объема финансовых ресурсов и постоянного финансового равновесия предприятия в процессе его развития и т.п.).
Основные принципы финансового менеджмента:
финансовой самостоятельности предприятия;
самофинансирования,
материальной заинтересованности,
материальной ответственности,
обеспеченности рисков финансовыми резервами.
II. Базовые концепции финансового менеджмента
2.1 Концепция временной стоимости денег
Концепция изменения стоимости денег во времени играет центральную роль в практике финансовых вычислений и выражает необходимость учета фактора времени при осуществлении долговременных финансовых операций путем оценки и сравнения стоимости денег в начале финансирования проекта и при их возврате в виде будущих денежных поступлений.
Концепция временной стоимости денег заключается в том, что стоимость денег с течением времени изменяется с учетом нормы прибыли на финансовом рынке, в качестве которой обычно выступает норма ссудного процента. Таким образом, одна и та же сумма денег в разные периоды времени имеет разную стоимость. При этом стоимость денег в настоящее время всегда выше, чем в любом будущем периоде. Эта неравноценность определяется действием трех основных факторов: инфляцией, риском неполучения дохода при вложении капитала и особенностями денег, рассматриваемых как один из видов оборотных активов.
Как известно, инфляционные процессы, свойственные любой экономике, вызывают обесценение денег. Это означает, что денежная единица сегодня имеет большую стоимость, чем завтра. Эта ситуация определяет желание инвестировать денежные средства с целью, как минимум, получить доход, покрывающий инфляционные потери.
«В любой финансовой операции существует риск невозвращения инвестированных средств и (или) неполучения дохода»4. Этот риск вытекает из того, что любой договор, по которому получение денег ожидается в будущем, имеет вероятность быть неисполненным или исполненным не в полной мере. Каждый участник бизнеса вероятно может вспомнить конкретные примеры, связанные с ожидаемыми в будущем, но так и неполученными доходами. Например, знакомая многим ситуация: постоянный покупатель и партнер, которому была предоставлена значительная отсрочка платежа, не выполнил своих обязательств перед поставщиком вследствие того, что обанкротился, хотя в момент осуществления поставки ничто не предвещало такого результата.
Рассматривая денежные средства как один из видов активов, следует отметить их главную особенность — любой актив должен генерировать прибыль. Из этого следует, что сумма, предполагаемая к получению в будущем должна быть заведомо больше суммы, вложенной в настоящий момент времени.
Концепция временной стоимости денег имеет принципиальное значение в связи с тем, что решения финансового характера предполагают оценку и сравнение денежных потоков, осуществляемых в разные временные периоды. Методический инструментарий стоимости денег включает:
Расчет простых процентов
При оценке изменения стоимости денег во времени применяют следующие термины и понятия:.
Процент — это сумма дохода от предоставления капитала в долг или плата за пользование ссудным капиталом во всех его формах (кредитный процент, депозитный процент и пр.).
Простой процент — это сумма дохода, которая начисляется к основной сумме капитала и может быть выплачена в каждом интервале начисления, но не участвует в дальнейших расчетах в качестве расчетной базы в последующих периодах. Начисление простых процентов применяется, как правило, при краткосрочных финансовых операциях5.
Наращение стоимости (компаундинг) — это процесс приведения настоящей стоимости денег к будущей путем присоединения к их первоначальной сумме начисленной суммы процентов.
Будущая стоимость денег — сумма инвестированных в настоящий момент денежных средств, в которую они превратятся через определенный период времени с учетом процентной ставки.
Дисконтирование стоимости — это процесс приведения будущей стоимости денег к настоящей путем изъятия из их будущей стоимости суммы соответствующих процентов, называемых дисконтом.
При расчете суммы простого процента в процессе наращивания стоимости используется следующая формула:
I = Р * n * i,
где I — сумма процентов за установленный период времени в целом; Р — первоначальная (настоящая) стоимость денег; n — количество периодов, по которым осуществляется расчет процентных платежей; i — используемая процентная ставка, выраженная в долях единицы.
Будущая стоимость вклада (S) определяется по формуле:
S = P + I = P (l + n * i).
Пример. Рассчитать сумму простых процентов за год и будущую стоимость вклада при следующих условия:
первоначальная сумма вклада — 1000 руб.;
процентная ставка, начисляемая ежеквартально — 10 %.
Выполним необходимые вычисления:
I = 1000 * 4 * 0,1 =400;
S= 1000 + 400= 1400. В заданных условиях сумма простых процентов, начисленных за год, составит 400 руб., будущая стоимость вклада — 1400 руб. Для расчета суммы дисконта (D) при начислении простого процента используется следующая формула:
D = S — S / (1 + n * i)
Настоящая стоимость денег (Р) определяется:
P = S / (1 + n * i)
2. Расчет сложных процентов
Сложный процент — это сумма дохода, которая начисляется в каждом интервале и присоединяется к основной сумме капитала и участвует в качестве базы для начисления в последующих периодах. Начисление сложных процентов применяется, как правило, при долгосрочных финансовых операциях (например, инвестировании).
При расчете суммы будущей стоимости (Sc) применяется формула:
Sc = P * ( 1 + i)n.
Соответственно, сумма сложного процента определяется:
Ic = Sc — P,
где Ic — сумма сложных процентов за установленный период времени; Р — первоначальная стоимость денег; n — количество периодов, по которым осуществляется расчет процентных платежей; i — используемая процентная ставка, выраженная в долях единицы.
Формулы расчета сложных процентов являются базовыми в финансовых вычислениях. Экономический смысл множителя (1 + i )nсостоит в том, что он показывает, чему будет равен один рубль через nпериодов при заданной процентной ставке i. Для упрощения процедуры расчетов разработаны специальные финансовые таблицы для расчета сложных процентов, которые позволяют определить будущую и настоящую стоимость денег.
Настоящая стоимость денег (Рс) при начислении сложных процентов равна:
Рс = Sc / (1 + i)n
Сумма дисконта (Dc) определяется:
D c = Sc — Рс.
При расчете временной стоимости денег в условиях применения сложных процентов необходимо иметь в виду, что на результаты оценки влияет не только процентная ставка, но и число интервалов выплат в течение всего платежного периода, что приводит к тому, что в ряде случаев более выгодно инвестировать деньги под меньшую ставку, но с большим количеством выплат в течение платежного периода.
2.2 Концепция учета фактора инфляции
Концепция учета фактора инфляции заключается «в необходимости реального отражения стоимости активов и денежных потоков и обеспечения возмещения потерь доходов, вызываемых инфляционными процессами, при осуществлении долговременных финансовых операций»6.
Инфляция — процесс постоянного превышения темпов роста денежной массы над товарной (включая стоимость работ и услуг), в результате чего происходит переполнение каналов обращения деньгами, что приводит к их обесценению и росту цен на товары.
Рассмотрим наиболее важные термины и понятия, применяемые при оценке инфляционных процессов.
Номинальная процентная ставка — это ставка, устанавливаемая без учета изменения покупательной стоимости денег в связи с инфляцией.
Реальная процентная ставка — это ставка, устанавливаемая с учетом изменения покупательной стоимости денег в связи с инфляцией.
Инфляционная премия — это дополнительный доход, выплачиваемый (или предусмотренный к выплате) кредитору или инвестору с целью возмещения потерь от обесценения денег, связанного с инфляцией.
Для прогнозирования годового темпа инфляции используется формула:
ТИ>г> = (1 + ТИ>м>)12 — 1,
где ТИ>г> — прогнозируемый годовой темп инфляции, в долях единицы; ТИ>м> — ожидаемый среднемесячный темп инфляции в предстоящем периоде, в долях единицы.
Для оценки будущей стоимости денег с учетом фактора инфляции используется формула, построенная на основе модели Фишера:
S = P x [(l + Ip) x ( 1 + T)]n — 1,
где S — номинальная будущая стоимость вклада с учетом фактора инфляции; Р — первоначальная стоимость вклада; Iр — процентная ставка, в долях единицы; Т — прогнозируемый темп инфляции, в долях единицы; n — количество интервалов, по которым осуществляется начисление процентов.
Модель Фишера имеет вид:
I = i + а + i * а,
где I — реальная процентная премия; i — номинальная процентная ставка; а — темп инфляции.
Эта модель предполагает, что для оценки целесообразности инвестиций в условиях инфляции недостаточно просто сложить номинальную процентную ставку и прогнозируемый темп инфляции, необходимо к ним добавить сумму, представляющую собой их произведение i * а.
Необходимо отметить, что прогнозирование темпов инфляции является достаточно сложным и трудоемким процессом, результаты которого имеют вероятностный характер и подвержены существенному влиянию субъективных факторов. На практике для упрощения расчетов и избежания необходимости учета инфляции расчеты выполняются в твердых валютах.
2.3 Концепция учета фактора риска
Риск — это «возможность изменения предполагаемого результата, преимущественно в виде потерь, вследствие реализации одного из множества существующих вариантов сочетаний условий и факторов, оказывающих влияние на анализируемый объект»7. Конечно, можно предположить, что реализация рискового события приведет к положительному финансовому результату. Например, в результате стихийного бедствия погибла часть имущества предприятия, однако сумма возмещения ущерба, полученная от страховой компании по заключенному ранее договору, не только компенсировала понесенные потери, но и позволила получить некоторый доход. Но все-таки, обычно в первую очередь под риском понимается возможность наступления неблагоприятных событий, вызывающих потери, в том числе и финансовые.
Концепция учета фактора риска состоит в оценке его уровня с целью обеспечения формирования необходимого уровня доходности финансово-хозяйственных операций и разработки системы мероприятий, позволяющих минимизировать его негативные финансовые последствия. Под доходностью понимают отношение дохода, создаваемого определенным активом, к величине инвестиций в этот актив.
Предпринимательская деятельность всегда сопряжена с риском. В то же время между риском и доходностью этой деятельности обычно прослеживается четкая зависимость: чем выше требуемая или предполагаемая доходность (т.е. отдача на вложенный капитал), тем выше степень риска, связанная с возможностью неполучения этой доходности, и наоборот. При принятии управленческих решений могут ставиться различные задачи, в том числе: максимизации доходности или минимизации риска, но, как правило, чаще речь идет о достижении разумного соотношения между риском и доходностью. В рамках финансового менеджмента категория риска имеет важное значение при принятии решений по структуре капитала, формированию инвестиционного портфеля, обоснованию дивидендной политики и др.
Для оценки риска применяются качественные и количественные методы, в том числе: анализ чувствительности, анализ сценариев, метод Монте-Карло и др.
Для оценки уровня финансового риска (УР), показателя, характеризующего вероятность возникновения определенного вида риска и размер возможных финансовых потерь при его реализации, применяется формула:
УР = ВР х РП,
где ВР — вероятность возникновения данного финансового риска; РП— размер возможных финансовых потерь при реализации данного риска.
Оценка рисков необходима для определения премии за риск:
R Pn = (R n — An) x β
где R Pn — уровень премии за риск по конкретному проекту; R n — средняя норма доходности на финансовом рынке; А n — безрисковая норма доходности на финансовом рынке (в западной практике по государственным долговым обязательствам); β — бэта-коэффициент, характеризующий уровень систематического риска по конкретному проекту.
2.4 Концепция идеальных рынков капитала
Большинство ранних теорий финансов основано на допущении существования идеальных рынков капитала (perfect capital markets). Идеальный рынок капитала – это рынок, на котором не существует никаких затруднений, вследствие чего обмен ценных бумаг и денег совершается легко и не сопряжен с какими-либо затратами. Идеальный рынок капитала имеет следующие характеристики:
отсутствуют трансакционные затраты;
отсутствуют налоги;
имеется большое количество покупателей и продавцов, и ни один из них не может повлиять на рыночную цену финансовых активов;
существует равный доступ на рынок для всех инвесторов;
все субъекты рынка имеют одинаковый объем информации;
все субъекты рынка имеют одинаковые ожидания;
отсутствуют затраты, связанные с финансовыми затруднениями (угроза банкротства).
2.5 Гипотеза эффективности рынка
Принятие решений на рынке капитала тесно связаны с концепцией эффективности рынка. Логика подобных операций такова. Объем сделок по покупке или продаже ценных бумаг зависит от того, насколько точно текущие цены соответствуют внутренним стоимостям. Цена зависит от многих факторов, в том числе и от информации. Предположим, что на рынке, находящемся в состоянии равновесия, появилась новая информация о том, что цена акций некоторой компании занижена. Это приведет к повышению спроса на акции и последующему росту цены до уровня, соответствующего внутренней стоимости этих акций. Насколько быстро информация отражается на ценах, характеризуется уровнем эффективности рынка. В приложении к рынку капитала термин «эффективность» понимается в информационном плане, т.е. степень эффективности рынка характеризуется уровнем его информационной насыщенности и доступности информации участникам рынка. В научной литературе рассматриваемая концепция известна как гипотеза эффективности рынка «Efficient Market Hypothesis»8.
У гипотезы много соавторов, наиболее известна работа Юджина Фамы «Efficient Capital Markets: A Review of Theory and Empirical Work», 1970.
Согласно этой гипотезе при полном и свободном доступе участников рынка к информации цена акции на данный момент является лучшей оценкой ее реальной стоимости. В условиях эффективного рынка любая новая информация немедленно отражается на ценах финансовых активов. Более того, эта информация поступает на рынок случайным образом. Эффективность рынка обеспечивается выполнением 4 условий:
информация становится доступной всем субъектам рынка одновременно, и ее получение не связано с какими-либо затратами;
отсутствуют трансакционные затраты, налоги и другие факторы, препятствующие заключению сделок;
сделки, совершаемые отдельным физическим или юридическим лицом, не могут повлиять на общий уровень цен;
все субъекты рынка действуют рационально, стремясь максимизировать ожидаемую выгоду.
Очевидно, что все эти 4 условия не соблюдаются ни на одном реальном рынке. Поэтому в теорию вводятся более слабые предпосылки об информационной эффективности. Выделяют 3 формы эффективности: слабую, умеренную и сильную.
В условиях слабой формы эффективности текущие рыночные цены полностью отражают динамику цен предшествующих периодов. Потенциальный инвестор не может извлечь для себя дополнительных выгод, анализируя тренды, т.е. нельзя спрогнозировать цену на основе прошлых данных о динамике цен.
Были проведены исследования с целью измерения корреляции между доходностью ценных бумаг на протяжении определенного периода времени. В целом исследования показали наличие слабой тенденции к позитивной корреляции доходности краткосрочных ценных бумаг. Однако, когда доходы корректируются с учетом риска и трансакционных затрат, эта корреляция исчезает.
Второй способ эмпирической проверки заключался в исследовании различных методик совершения сделок на рынке с целью определения, приводит ли та или иная тактика к получению сверхдоходов. В целом результаты свидетельствуют о том, что использование каких-либо методик не гарантирует сверхдоходов.
Умеренная форма эффективности (semistrong form) предполагает, что текущие рыночные цены отражают не только изменение цен в прошлом, но также и всю остальную общедоступную информацию. Таким образом, аналитику не имеет смысла изучать статистику цен, отчетность эмитентов, новости финансового мира, т.к. любая общедоступная информация немедленно отражается на ценах акций до того как можно использовать ее в своей практике.
С целью эмпирического подтверждения были проведены 2 вида исследований:
изучение реакции цен на поступление новой информации;
оценка показателей доходности инвестиций у профессионалов фондового рынка.
В ходе исследования изучалась реакция цен на сообщения о дроблении акций, об увеличении дивидендов, слияниях фирм, инвестициях, эмиссии акций. Эмпирические исследования в целом подтвердили логику умеренной формы эффективности. Например, рассмотрим, как реагируют цены акций на информацию о поглощении компании. В большинстве случаев компания-покупатель готова заплатить за приобретаемую компанию премию сверх текущей рыночной цены; как только информация о поглощении становится доступной рынку, цена акций компании-цели повышается в преддверии такой премии. За один день новая цена вбирает в себя всю премию за поглощение.
Были проведены исследования, способны ли профессиональные участники рынка ценных бумаг обеспечить получение сверхдоходов по управляемым ими портфелям. Результаты этих исследований стали веским доказательством правильности гипотезы об умеренной эффективности. Как правило, финансовые аналитики обладают общедоступной информацией. В отдельные годы некоторые из них добиваются относительно лучших, другие - относительно худших результатов. Однако в среднем эти специалисты не могут «переиграть» рынок.
Хотя многочисленные исследования подтверждают наличие умеренной формы эффективности, однако отдельные аналитические работы опровергают эту концепцию. Например, бихейвористская теория рыночного ценообразования утверждает, что большинство людей, как правило, чрезмерно сильно реагируют на драматические события. Тем самым плохие новости обычно снижают курсы акций сильнее, чем должны были бы. Противоположное относится к хорошим новостям. Если эта теория верна, то сверхдоходы могут быть получены путем покупки ценных бумаг, цены на которые только что упали ввиду получения негативной информации.
В научных кругах нет единого мнения по поводу существования умеренной формы эффективности. Но в целом общая позиция сводится к тому, что при фундаментальном анализе возможно обнаружить завышенную или заниженную стоимость ценных бумаг, может иметь место чрезмерная реакция на новую информацию, однако курсы ценных бумаг все же отражают всю общедоступную информацию. Биржевики в большинстве своем не верят в умеренную форму эффективности, а многие из них не верят даже в существование слабой формы эффективности. Финансовый аналитик, занимающийся фундаментальным и техническим анализом, является значимой фигурой для биржевых контор, инвестиционных фондов. Для менеджера, управляющего большими капиталами, получение преимущества с помощью фундаментального анализа оправдывает затраты на оплату работы хорошего аналитика.
Сильная форма эффективности означает, что текущие рыночные цены отражают всю информацию и общедоступную, и доступную лишь отдельным лицам. Если эта гипотеза верна, то никто не может получить сверхдоходы, даже так называемые инсайдеры (лица, работающие в компании и/или в силу своего положения имеющие доступ к конфиденциальной информации, способной принести им выгоду). Почти никто не верит в справедливость такого предположения. Исследования подтвердили, что посвященные получают прибыли выше обычных, используя информацию, не оглашаемую публично.
В целом имеющиеся доказательства указывают на то, что рынки ценных бумаг являются эффективными, но не идеально эффективными.
2.6 Анализ дисконтированного денежного потока
«Выбор варианта инвестирования основывается на количественной оценке денежного потока, связанного с проектом как совокупности генерируемых этим проектом притоков и оттоков денежных средств в разрезе выделенных временных периодов»9. Процесс оценки будущих денежных потоков называется анализом дисконтированного денежного потока. Концепция анализа была разработана Джоном Бэрром Уильямсом. Майрон Гордон впоследствии применил этот метод для управления финансами корпораций, а также использовал в исследованиях цены капитала. Анализ проводится в 4 этапа:
I - расчет прогнозируемых денежных потоков. Например, для облигаций прогнозируемый денежный поток будет определяться обязательствами эмитента по выплате купонов и номинала;
II – оценка степени риска для денежных потоков;
III – включение оценки риска в анализ. Применяют один из двух методов учета степени риска: метод безрискового эквивалента и скорректированной на риск ставки дисконтирования. При использовании первого метода непосредственно корректируются ожидаемые денежные потоки – чем выше риск, тем ниже значение элементов денежного потока. Второй метод предполагает корректировку ставки дисконтирования, т.е. чем выше риск, тем выше ставка;
IV – определение текущей стоимости денежного потока. Техника расчета основана на временной ценности денег.
Временная ценность денег является объективно существующей характеристикой денежных ресурсов, смысл ее состоит в том, что денежная единица, имеющаяся сегодня, и денежная единица, ожидаемая к получению через какое-то время не равноценны. Эта неравноценность объясняется действием 3 основных причин: инфляцией, риском неполучения ожидаемой суммы и оборачиваемостью капитала. Происходящее в условиях инфляции обесценение денег вызывает, с одной стороны, естественное желание их вложить, а с другой стороны, объясняет, почему различаются деньги, имеющиеся в наличии и ожидаемые к получению.
Поскольку в экономике практически не бывает безрисковых ситуаций, всегда существует ненулевая вероятность того, что по каким-либо причинам ожидаемая к получению сумма не будет получена.
Оборачиваемость заключается в том, что денежные средства должны генерировать доход по ставке, которая представляется приемлемой владельцу этих средств. Сумма, имеющаяся в наличии в данный момент, может быть немедленно пущена в оборот и тем самым принесет дополнительный доход.
Важную роль в анализе играет концепция альтернативных затрат. Предположим, что кто-то неожиданно выиграл в лотерею 100000 рублей, затем он оценивает несколько альтернативных вариантов инвестирования этой суммы. Могут ли эти 100000 рублей рассматриваться как бесплатный капитал? Нет. Инвестируя 100000 рублей в один из проектов, он лишаетесь возможности вложить во все другие проекты. Таким образом, стоимость инвестированного капитала принимается в размере альтернативных затрат. Следовательно, ставка дисконтирования должна отражать доход, который мог бы быть получен при инвестировании средств в наилучший из возможных альтернативных проектов, имеющих одинаковую степень риска. Если текущая стоимость рассчитывается на основе ставки дисконтирования, равной стоимости капитала фирмы, то можно говорить, что в этом случае применяется концепция альтернативных затрат. Так как вместо инвестирования средств в данный проект фирма могла бы вложить их в ценные бумаги, имеющие ту же степень риска, что и проект, и получить доход, соответствующий цене капитала фирмы. Ставка дисконтирования учитывает 3 фактора: степень риска конкретного денежного потока, т.е. чем выше риск, тем выше ставка; превалирующий уровень доходности (ставка должна отражать среднюю доходность, сложившуюся в экономике); периодичность денежных потоков.
2.7 Соотношение между риском и доходностью
Концепция компромисса между риском и доходностью состоит в том, что получение любого дохода сопряжено с риском, причем связь прямо пропорциональная: чем выше ожидаемая доходность, тем выше степень риска, связанная с возможным неполучением этой доходности. Доходность и риск, как известно, являются взаимосвязанными категориями. Наиболее общими закономерностями, отражающими взаимную связь между принимаемым риском и ожидаемой доходностью деятельности инвестора, являются следующие:
• более рискованным вложениям, как правило, присуща более высокая доходность;
• при росте дохода уменьшается вероятность его получения, в то время как определенный минимально гарантированный доход может быть получен практически без риска.
Оптимальность соотношения дохода и риска означает достижение максимума для комбинации "доходность - риск" или минимума для комбинации "риск - доходность". При этом должны одновременно выполняться два условия: 1) ни одно другое соотношение доходности и риска не может обеспечить большей доходности при данном или меньшем уровне риска;
2) ни одно другое соотношение доходности и риска не может обеспечить меньшего риска при данном или большем уровне доходности.
Однако поскольку на практике «инвестиционная деятельность связана с множественными рисками и использованием различных ресурсных источников, количество оптимальных соотношений возрастает»10. В связи с этим для достижения равновесия между риском и доходом необходимо использовать пошаговый метод решения путем последовательных приближений. Осуществление инвестиционной деятельности предполагает не только принятие известного риска, но и обеспечение определенного дохода. Если предположить, что минимальному риску соответствует минимальный необходимый доход, то можно выделить несколько секторов, характеризующихся определенной комбинацией дохода и риска: А, В, С.
Сектор А, вложения в котором не обеспечивают минимального необходимого дохода, может рассматриваться как область недостаточной доходности. Функционирование в секторе С связано с высокими рисками, снижающими возможность получения ожидаемых высоких доходов, поэтому сектор С может быть определен как область повышенного риска. Осуществление вложений в секторе В обеспечивает инвестору достижение дохода при допустимом риске, следовательно, сектор В является областью оптимальных значений соотношения доходности и риска.
Категория риска в финансовым менеджменте рассматривается в различных аспектах: при оценке инвестиционных проектов, формировании инвестиционного портфеля, выборе финансовых инструментов, принятии решений по структуре капитала, обосновании дивидендной политики.
Теория портфеля. Автором этой теории является Гарри Марковиц “A Portrfolio Selection”, 1952.
Основные выводы теории Марковица:
для минимизации риска инвесторам следует объединять рисковые активы в портфель;
уровень риска по каждому отдельному виду активов следует измерять неизолированно от остальных активов, а с точки зрения его влияния на общий уровень риска диверсифицированного портфеля инвестиций.
При этом теория портфеля не конкретизирует взаимосвязь между риском и доходностью. Данную взаимосвязь учитывает модель оценки доходности финансовых активов, разработанная У. Шарпом, Дж. Моссином и Дж. Линтнером. Согласно этой модели требуемая доходность для любого вида рисковых активов представляет собой функцию 3 переменных: безрисковой доходности, средней доходности на рынке и индекса колеблемости доходности данного финансового актива по отношению к доходности на рынке в среднем.
2.8 Теория структуры капитала Модильяни-Миллера
Ключевой вопрос финансового менеджера: формирование капитала фирмы. В 1958 году Франко Модильяни и Мертон Миллер опубликовали работу «The Cost of Сapital, Corporation Finance, and the Theory of Investment»11, ставшую настоящим открытием в теории финансов. Они пришли к выводу, что стоимость любой фирмы определяется исключительно ее будущими доходами и не зависит от структуры капитала. При доказательстве теоремы они исходили из наличия идеального рынка капитала. Существо доказательства состоит в следующем: если финансирование деятельности фирмы более выгодно за счет заемного капитала, то владельцы акций финансово независимой фирмы предпочтут продать свои акции, использовав вырученные средства на покупку акций и облигаций финансово зависимой компании в той же пропорции, что и структура капитала этой фирмы.
И наоборот, если финансирование фирмы оказывается более выгодным при использовании собственного капитала, то акционеры финансово зависимой фирмы продадут свои акции и купят на вырученные средства акции финансово независимой фирмы и, взяв в банке под залог этих акций заем, купят дополнительное количество акций той же фирмы. Доход нового пакета акций инвестора после вычета процентов за кредит окажется выше прежнего дохода. Тогда продажа пакета акций финансово зависимой фирмы приведет к снижению ее стоимости, а больший доход, получаемый акционерами финансово независимой фирмы, приведет к увеличению ее стоимости. Таким образом, арбитражные операции с заменой ценных бумаг более дорогой фирмы ценными бумагами более дешевой принесут дополнительный доход частным инвесторам, что приведет в конечном счете к выравниванию стоимости всех фирм одного класса с одинаковым доходом.
В 1963 году Модильяни-Миллер опубликовали вторую работу по структуре капитала, в которой ввели в первоначальную модель фактор налогообложения корпораций. С учетом наличия налогов было доказано, что цена акций фирмы непосредственно связана с использованием заемного финансирования: чем выше доля заемного капитала, тем выше цена акций. Такой вывод обусловлен налогообложением доходов корпораций в США. Проценты по кредитам выплачиваются из прибыли до уплаты налогов, что уменьшает размер налогооблагаемой базы и величину налогов. Часть налогов перекладывается с корпорации на ее кредиторов, а финансово независимой фирме приходится самой нести все бремя налогов. Таким образом, при увеличении доли заемного капитала увеличивается доля чистого дохода фирмы, остающаяся в распоряжении акционеров. Позднее различные исследователи путем смягчения первоначальных предпосылок теории пытались адаптировать ее к реальным условиям. Таким образом, было установлено, что с определенного момента (когда достигнута оптимальная структура капитала) при увеличении доли заемного капитала стоимость фирмы начинает снижаться, т.к. экономия на налогах перекрывается ростом затрат вследствие необходимости поддержания более рисковой структуры источников средств. Модифицированная теория полагает:
наличие определенной доли заемного капитала идет на пользу фирме;
чрезмерное использование заемного капитала приносит фирме вред;
для каждой фирмы существует своя оптимальная доля заемного капитала.
2.9Теория дивидендов Модильяни-Миллера
Данная теория доказывает, что политика выплаты дивидендов не влияет на стоимость фирмы. Также как и предыдущая она базируется на ряде предпосылок. Суть теории в том, что каждый доллар, выплаченный сегодня в виде дивидендов, уменьшает нераспределенную прибыль, которая могла бы быть инвестирована в новые активы, и данное уменьшение должно быть компенсировано за счет эмиссии акций. Новым акционерам необходимо будет выплачивать дивиденды, и эти выплаты снижают текущую стоимость ожидаемых дивидендов для предыдущих акционеров на величину, равную сумме дивидендов, полученных в текущем году. Таким образом, каждый доллар полученных дивидендов, лишает акционеров будущих дивидендов на эквивалентную величину. Поэтому акционерам будет безразлично: получить дивиденд на сумму 1 доллар сегодня или получить дивиденд в будущем, текущая стоимость которого составляет 1 доллар. Следовательно, политика выплаты дивидендов не влияет на цену акций.
2.10 Теория ценообразования опционов
Опцион представляет собой право купить или продать определенные активы по заранее установленной цене в течение заданного периода времени. Формализованная модель ценообразования опционов появилась в 1973 году, когда Фишер Блэк и Майрон Скоулз опубликовали работу, в которой излагалась получившая широкую известность модель ценообразования опционов Блэка-Скоулза. До недавнего времени теория ценообразования опционов не считалась важным разделом финансового менеджмента. Однако некоторые решения финансового менеджмента могут быть приняты на основании этой теории. Например, при прекращении арендных соглашений, отказа от реализации проектов.
2.11 Теория агентских отношений
Известно, что целью фирмы является максимизация богатства ее акционеров, что сводится к максимизации стоимости фирмы. Однако интересы владельцев компании и ее управленческого персонала могут не совпадать. Цели управленческого персонала – максимизация жалованья, приобретение связей, максимизация привилегий. Тот факт, что владельцы фирмы предоставляют менеджерам право принятия решений, создает потенциальный конфликт интересов, который рассматривается в рамках теории агентских отношений. Доверителями являются акционеры, а менеджеры – это их агенты. Основоположниками концепции агентских отношений, сформулированной в рамках финансового менеджмента, являются Майкл Дженсен и Уильям Меклинг.
Агентские отношения возникают в тех случаях, когда собственники нанимают управленческий персонал и наделяют его полномочиями по принятию решений. Один из таких конфликтов связан с решением: получить сиюминутную прибыль или инвестировать ее в перспективный проект. В контексте финансового менеджмента различают агентские отношения между: акционерами и менеджерами; кредиторами и акционерами. Чтобы нивелировать возможные противоречия между целевыми установками конфликтующих групп и, в частности, ограничить возможность нежелательных действий менеджеров исходя из собственных интересов, владельцы компании вынуждены нести агентские издержки.
Существуют 3 категории агентских затрат:
1. Расходы на осуществление контроля за деятельностью менеджеров. Например, затраты на проведение аудиторских проверок.
2. Расходы на создание организационной структуры, ограничивающей возможность нежелательного поведения менеджеров. Например, введение в состав правления внешних инвесторов.
3. Альтернативные затраты, возникающие в тех случаях, когда условия, установленные акционерами, ограничивают действия менеджеров, противоречащих интересам владельцев. Например, голосование по определенным вопросам на общем собрании.
Агентские затраты могут увеличиваться, пока каждый доллар их прироста обеспечивает увеличение богатства акционеров более, чем на 1 доллар.
Механизмы, побуждающие менеджеров действовать в интересах акционеров:
1. Система стимулирования на основе показателя деятельности фирмы.
2. Непосредственное вмешательство акционеров.
3. Угроза увольнения.
4. Угроза скупки контрольного пакета акций фирмы.
2.12 Концепция асимметричной информации
Теория асимметричности информации тесно связана с концепцией эффективности рынка капитала. Смысл ее состоит в том, что отдельные категории лиц могут владеть информацией, недоступной другим участникам рынка. В этом случае говорят о наличии асимметричной информации.
Носителями конфиденциальной информации чаще всего выступают менеджеры и отдельные владельцы компании. Существуют различные степени асимметрии. Слабая асимметрия, когда разница в информированности руководства фирмы и посторонних наблюдателей о деятельности компании слишком мала, чтобы дать преимущества менеджерам. Сильная асимметрия имеет место, когда менеджеры компании обладают конфиденциальной информацией, которая после ее обнародования значительно изменит котировку ценных бумаг фирмы. В большинстве случаев степень асимметрии находится посередине между двумя этими крайностями.
Влияние асимметричной информации на рынке исследовал Джордж Акерлоф. Дж. Акерлоф рассмотрел явление асимметричности информации на примере рынка подержанных автомобилей. На этом рынке продавцы знают о качестве машин гораздо больше, чем покупатели. Покупатели резонно задаются вопросом, почему продавцы избавляются от своих автомобилей. Выделим основные причины: одни каждые два года меняют модели автомобилей, другим необходима более вместительная машина, однако многие подержанные автомобили абсолютно негодные машины («лимоны»). Средний покупатель не может отличить хорошую машину от «лимона», поэтому он не хочет платить максимальную цену. Вероятность купить лимон равна 50%, соответственно покупатели согласны заплатить за любую подержанную машину 50% от стоимости хорошей подержанной машины. Поскольку покупатели снижают цену из-за неспособности отличить хорошую машину от «лимона», владельцы хороших машин не хотят их продавать. Следовательно, вероятность покупки «лимона» повысится и соответственно снизится цена. В конце концов, на продажу будут предлагаться только «лимоны» и рынок рухнет. Очевидно, что для улучшения работы рынка подержанных автомобилей необходимо уменьшить информационную асимметрию. Покупатель может научиться сам отличать хорошую машину от «лимона», может показать ее эксперту. Оба этих метода требуют дополнительных затрат, кроме того нельзя гарантировать, что эксперт даст объективную оценку. Со своей стороны, продавец автомобиля может рассказать о состоянии своей машины (метод «вешать лапшу на уши»). Он не требует затрат, но покупатель не может оценить истинность заверений продавца. Поэтому приемлемый способ для продавца совершить какое-либо действие, доказывающее хорошее состояние машины. Например, гарантия от поломки на 90 дней. Такое действие именуетсясигналом. Совершая его, продавец дает покупателю сигнал, что он продает хорошую машину. При этом представляют ценность только правдивые сигналы, которые не могут быть имитированы недобросовестными продавцами.
Асимметричность информации является неотъемлемой частью рынка капитала, который очень чувствителен к новой информации. Поскольку главная цель менеджера состоит в максимизации богатства акционеров, то он заинтересован в том, чтобы максимально быстро довести до общего сведения благоприятную информацию. Например, с помощью организации пресс-конференции или выпуска пресс-релиза. Однако эта форма сигнализации имеет ограниченную ценность, так как нельзя оценить ее истинность. Классическим примером распространения благоприятной информации является объявление о выплате дивидендов, опубликование финансовой отчетности в соответствии с международными
Заключение
Финансовый менеджмент, или управление финансовыми ресурсами и отношениями, охватывает систему принципов, методов, форм и приёмов регулирования рыночного механизма в области финансов с целью повышения конкурентоспособности хозяйствующего субъекта. При малом бизнесе для управления финансами достаточна квалификация бухгалтера или экономиста, так как финансовые операции не выходят за рамки обычных безналичных расчётов, основой которых является денежный оборот. Совершенно иная картина с финансами большого бизнеса. В большом бизнесе действует закон перехода количества в качество. Большому бизнесу требуется большой поток капитала и соответственно большой поток потребителей продукции (работ, услуг). При среднем и большом бизнесе, объём и размах деятельности которого измеряются значительными суммами, преобладают финансовые операции, связанные с инвестициями, движением и преумножением капитала. Для управления финансами большого бизнеса уже необходимы профессионалы со специальной подготовкой в области финансового бизнеса - финансовые менеджеры (финансовые директора). Зная теорию финансов, основы менеджмента, финансовый менеджер, приобретая опыт, вырабатывая у себя интуицию и чутьё рынка, становится ключевой фигурой бизнеса. В Кыргызстане происходят глубокие экономические перемены, обусловленные возвращением страны в русло общих экономических процессов мирового развития. Идет коренная перестройка прежнего механизма управления экономикой, его замена рыночными методами хозяйствования.
Рыночная экономика, при всем разнообразии ее моделей, известных мировой практике, характеризуется тем, что представляет собой социально ориентированное хозяйство, дополняемое государственным регулированием. Огромную роль, как в самой структуре рыночных отношений, так и в механизме их регулирования со стороны государства играют финансы. Они - неотъемлемая часть рыночных отношений и одновременно важный инструмент реализации государственной политики. Вот почему сегодня как никогда важна работа финансового менеджера.
В данной курсовой работе были рассмотрены основные концепции финансового менеджмента, изучение которых позволяет осуществлять расчеты и принимать обоснованные управленческие решения.
Список использованных источников
1.Бланк И. В. «Финансовый менеджмент»- М.: «Дело» - 2005
2.Бочаров В.В. Финансовый менеджмент – СПб.: «Питер» - 2007
3.Ковалев В. В. «Введение в финансовый менеджмент» - М.: «Финансы и статистика» - 2004
4.Овсийчук М.Ф. «Финансовый менеджмент »-М.: «Финансы и статистика» - 2003
5.Лытнев О.А. Основы финансового менеджмента. Учебное пособие. - Калининград: Изд-во КГУ - 2005
6. Финансовый менеджмент/ Учебник под редакцией Н.Ф. Самсонова – М.: ЮНИТИ - 2001
7.www.elitarium.ru
1 Бланк И. В. «Финансовый менеджмент»- М.: «Дело» - 2005
2 Ковалев В. В. «Введение в финансовый менеджмент» - М.: «Финансы и статистика» - 2004
3 Ковалев В. В. «Введение в финансовый менеджмент» - М.: «Финансы и статистика» - 2004
4 Лытнев О.А. Основы финансового менеджмента. Учебное пособие. - Калининград: Изд-во КГУ- 2005
5 Финансовый менеджмент/ Учебник под редакцией Н.Ф. Самсонова – М.: ЮНИТИ - 2001
6 Лытнев О.А. Основы финансового менеджмента. Учебное пособие. - Калининград: Изд-во КГУ - 2005
7 Поляк Г.Б. «Финансовый менеджмент»- М.: «Дело» - 2004
8 www.elitarium.ru
9 Бочаров В.В. Финансовый менеджмент – СПб.: «Питер» - 2007
10 Овсийчук М.Ф. «Финансовый менеджмент »-М.: «Финансы и статистика» - 2003
11 www.elitarium.ru