Исследование свойств чая
ВВЕДЕНИЕ
Чай — один из самых древних напитков, известных человечеству. Сегодня чай стал неотъемлемой частью многих культур, однако достоверно известно, что история чая берёт своё начало в Древнем Китае.
Появление чая окутано множеством легенд. По одному из преданий, открытие этого напитка принадлежит прославленному императору Шэнь Нуну — Божественному Земледельцу (ок. 2737-2697 гг. до н. э.), который в китайской традиции также является богом — покровителем медицины. Однажды, прогуливаясь по своим бескрайним владениям, Шэнь Нун долго плутал среди неприступных горных вершин. Истомившись от жажды, он присел отдохнуть возле небольшого деревца, листья которого источали чудесный аромат. Внезапно подул сильный ветер, и с ветви деревца сорвался молодой листочек, который плавно опустился прямо в чашу с чистой родниковой водой. Попробовав получившийся настой, император был восхищён его нежно-зелёным цветом, удивительным вкусом и необычайно приятным ароматом. Сделав несколько глотков, он сразу ощутил прилив сил.
В древних летописях также говорится, что император Шэнь Нун, обладавший телом из прозрачного нефрита, неоднократно проверял на себе действие различных лекарственных трав. И вот однажды он обнаружат, что настой чайных листьев можно использовать как противоядие: «Шэнь Нун пробовал сто трав, в день встречал семьдесят две ядовитых, принял чай и освободился от действия яда». Китайские историки полагают, что Шэнь Нун является собирательным образом первобытных людей эпохи неолита. А это значит, что история чал насчитывает около 5-6 тысячелетий.
Однако китайцы не только пили чай с незапамятных времен, но и культивировали его. Согласно историческим источникам более 3 тыс. лет назад жители княжеств Ба и Шу (современная провинция Сычуань) уже выращивали чай и подносили его как дар верховным правителям.
Именно в Китае были найдены первые достоверные письменные свидетельства о чае.
1. СОСТАВ ЧАЯ
Чай — полезный и любимый многими напиток. Слово «чай» произошло от китайского «ча» — чай (напиток) или «чау» — чай (в листьях). Существует два вида чая: китайский и индийский (ассаматский чай). О чае упоминается в древнекитайских рукописях за 2700 лет до н. э. Из Китая эта культура распространилась и в другие страны Востока, а позднее и Запада.
Чайный лист состоит из воды, сухих веществ, экстрактивных веществ, алкалоидов, фенольных соединений, углеводов, азотсодержащих веществ неалкалоидной природы, гликозидов, пигментов, органических кислот, минеральных веществ, эфирных масел, альдегидов, смол, витаминов и ферментов.
Вода — главная составная часть чайного листа и та среда, в которой происходит взаимодействие веществ. Высокое содержание воды способствует энергичному протеканию биохимических реакций, а её дефицит приводит к снижению активности ферментных систем и, следовательно, к замедлению скорости протекания реакций.
Сухие вещества можно условно разделить на растворимые в горячей воде и нерастворимые. К первой группе относятся вещества, положительно влияющие на качество чая: фенольные соединения (танин, катехины, флавоновые и антоциановые гликозиды, фенолкарбоновые кислоты и т. д.), эфирные масла и альдегиды, кофеин, теобромин и теофиллин, аминокислоты, витамины, ферменты, водорастворимые углеводы, гидропектин, микро- и макроэлементы и др. Ко второй группе относятся балластные вещества, т. е. отрицательно влияющие на качество чая: высокомолекулярные полимеры (целлюлоза, гемицеллюлоза, лигнин, протопектин, пектиновая кислота), хлорофиллы, нерастворимые белки и т. п.
При огрублении чайного сырья содержание веществ первой группы постепенно уменьшается, а второй — увеличивается. В грубом чайном листе высокое содержание сухого вещества обусловливается в основном возрастанием количества балластных веществ.
Экстрактивными веществами или экстрактом называют водорастворимую фракцию сухого вещества. Нерастворимую фракцию, состоящую из балластных веществ, которые остаются в чае после заваривания, называют разваркой. Чем больше экстрактивных веществ, тем выше качество и биологическая ценность чая.
Алкалоиды — азотсодержащие вещества, широко распространённые в растительном мире. В чайном листе содержатся также алкалоиды, которые принадлежат к гетероциклическим соединениям и представляют собой органические основания, поэтому они дают соли с кислотами (винной, яблочной, лимонной и др.). В виде солей алкалоиды растворимы в воде.
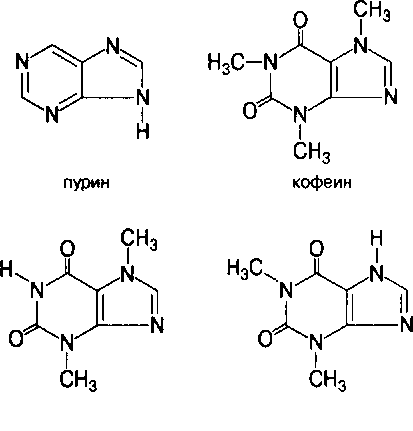
В зависимости от химической природы входящего в состав азотного гетероцикла они разделяются на производные пиридина, пурина, индола и др. В чайном листе находятся производные пурина — кофеин, теобромин и теофиллин:

В чайном растении образуется и накапливается преимущественно кофеин, содержание которого может достигать 2-3%. Высокое содержание кофеина в чае указывает на его качество.
Кофеин широко применяется в медицине как стимулятор ЦНС, вызывает повышение жизнедеятельности всех тканей организма, усиливает обмен, дыхание и кровообращение, возбуждение корковых процессов, обладает также диуретическим действием. Субъективно общий эффект от физиологического воздействия кофеина на организм человека часто связывают с подъёмом активности, бессонницей и способностью сосредоточиться на утомительных работах. Такой эффект длится примерно 30 мин. Несмотря на то что кофеин в организме не накапливается, чрезмерное потребление чая (более 600 мг кофеина в день, что соответствует примерно 6 чашкам чая) может привести к своеобразному наркологическому заболеванию — «кофеизму» (беспокойство, сердцебиение, бессонница, головная боль и т. д.). Смертельная доза кофеина для человека составляет около 10 г (примерно 200 чашек чая). Поэтому отравления кофеином не происходит.
Как показывают последние исследования, кофеин и теофиллин способствуют уничтожению в организме энзима — вещества, которое может вызвать некоторые виды рака и образование тромбов.
Фенольные соединения. Эта группа составляет наиболее ценную часть зелёного чайного листа и представлена в основном катехинами (флавонол-3-олы) и их галловыми эфирами. Фенольные соединения включают в себя свыше 30 близких по природе соединений, их содержание достигает 25% сухой массы чайного листа. На катехины приходится 60-70% всех фенольных соединений. Они принимают участие в окислительно-восстановительных процессах, которые протекают при ферментации чайного листа, и тем самым влияют на вкус, цвет настоя и частично — аромат готового чая.
Кроме катехинов в чайном листе присутствуют гликозиды, а также простые полифенолы — фенолкарбоновые кислоты.
Галловая кислота в чайном растении содержится как в свободной, так и в связанной форме. Она легко выделяется при щелочном или ферментативном гидролизе сложных катехинов:

Эллаговая кислота в незначительном количестве содержится в японском чае:

Кофейная кислота обнаружена в индийском чайном листе ассамской разновидности:

В том же чае обнаружены хлорогеновая кислота — депсид, состоящий из связанных между собой хинной и кофейной кислот; м-дигалловая кислота и п-кумаровая кислота:

Углеводы — важная группа химических соединений, входящих в состав чайного растения.
Водорастворимые углеводы — глюкоза и фруктоза имеют одинаковую эмпирическую формулу С>6>H>12>О>6>. Они отличаются тем, что в глюкозе содержится альдегидная группа, а во фруктозе — кетонная:

При соединении одной молекулы глюкозы и одной молекулы фруктозы образуется дисахарид — сахароза:

Со временем в чайном листе увеличивается содержание моносахаридов и сахарозы.
Среди полисахаридов в чае обнаружены целлюлоза, гемицеллюлоза и крахмал. Целлюлоза — основной структурный полисахарид клеточной стенки растения. В зависимости от вегетационного периода содержание целлюлозы составляет от 6 до 10%. По мере старения листа её количество резко увеличивается. В производстве чая её считают балластным веществом, так как она не участвует в формировании качественных показателей продукции.
Азотсодержащие вещества неалкалоидной природы представляют собой белковые вещества, аминокислоты и амиды чая. Белки — сложные высокомолекулярные природные соединения (полипептиды), построенные из остатков а-аминокислот. Белки делятся на простые, или протеины, и сложные, или протеиды. Протеины состоят из остатков аминокислот, а протеиды — из протеинов, с которыми прочно связаны соединения небелковой природы (углеводы, липиды, нуклеиновые кислоты, металлы и т. д.).
Протеины по растворимости делятся на шесть групп: альбумины (водорастворимые), глобулины (растворимые в слабых растворах нейтральных солей), проламины (спирторастворимые), глютелины (щёлочно-растворимые), протамины и гистоны (растворимые в органических растворителях). В чайном листе встречаются главным образом протамины, альбумины, глютелины и глобулины. Содержание общего белка в нежных листьях достигает 30%.
Гликозиды рассматривают как сложные вещества, которые состоят из двух компонентов, соединённых гликозидным гидроксилом: одного - сахара, а другого - несахара, или агликона. В гликозидах сахарами могут быть глюкоза, фруктоза, рамноза, ру-тиноза и др. В качестве агликонов могут быть различные соединения: альдегиды, спирты, кетоны, фенолы, производные ксантина, флавона, антоцианиды и т. д. Чайный лист содержит в основном три группы гликозидов: флавонолы, антоцианы и лейкоантоцианы. Все они могут принимать определённое участие в формировании качественных показателей готового чая. Большинство из них окрашенные соединения (кроме лейкоантоцианов), кроме того, все они характеризуются вяжущим, горьковатым вкусом и в различной степени обладают Р-витаминными свойствами.
Флавонолы в чайном листе представлены моно-, ди- и тригликозидами трёх агликонов — кемпферола, кверцетина и мирице-тина: обусловливают целую гамму различной окраски

Антоцианы — пигменты, объединяющие группу красящих веществ растений, которые
окраски плодов, листьев, цветков и других органов растений. Они состоят из агликонов — антоцианидинов и углеводной части, которая в основном представлена глюкозой, рамнозой и галактозой.
Антоцианиды, входящие в состав антоцианов, обычно делят на три группы — пеларгонидина, цианидина и дельфинидина:

дельфинидин
Лейкоантоцианы — вещества, которые накапливаются в органах чайного растения в сравнительно меньшем количестве, чем другие гликозиды. Агликонами этих гликозидов являются лейкоцианидин и лейкодельфинидин:

К основным группам пигментов растительного происхождения, принимающих непосредственное участие в фотосинтезе, относятся хлорофиллы и каротиноиды.
В молекуле хлорофилла имеется четыре пиррольных кольца, соединённых друг с другом с помощью радикалов СН. Хлорофилл — сложный эфир двухосновной кислоты и двух спиртов — метилового и высокомолекулярного непредельного фитола. Соотношение хлорофиллов а и ft во всех элементах побега остаётся почти одинаковым и примерно составляет 2:1.
Каротиноиды — обязательный компонент фотосинтетического аппарата. Они подразделяются на две группы: каротины (ненасыщенные углеводороды) и ксантофиллы (лю-теин, виолаксантин, неоксантин и др.). Суммарное содержание каротиноидов в чайном листе составляет 0,07-0,08%.
Органические кислоты выполняют в жизни растения весьма важные и многообразные функции. В чае содержатся такие кислоты, как лимонная, яблочная, щавелевая, янтарная, а также уксусная, пировиноградная, ке-тоглутаровая, щавелево-уксусная и ряд кислот фенольной природы.
Минеральные вещества содержатся как в чайном листе, так и в готовой продукции. В состав минеральных веществ входят калий, фосфор, кальций, магний, сера, железо, марганец, фтор и др. Существует прямая корреляция между качеством чая и содержанием в нём растворимой части минеральных веществ.
Калий. Его содержание в чайном листе составляет 50-60% от массы минеральных веществ. Калий играет огромную роль в жизнедеятельности чайного растения. Ему отводится большое значение как в общем обмене веществ, так и в синтезе углеводов и белковых соединений.
Фосфор. Содержание фосфора в чайном листе составляет 15-20% от массы всех минеральных веществ. В почке и в первом листе этого элемента больше, чем в нижних и грубых листьях чайного побега.
Магний входит в состав молекулы хлорофилла.
Медь и железо. Несмотря на незначительное содержание этих элементов, они входят в состав некоторых физиологически важных органических соединений, таких, как ферменты ортодифенолоксидазы (медь) и пероксидазы (железо).
Марганец. Существенная роль в окислительно-восстановительных процессах принадлежит марганцу, содержание которого составляет 1-4% от общей массы минеральных веществ.
Один из важнейших показателей качества чая — аромат, который обусловлен наличием эфирного масла и смолистых веществ. Эфирное масло — сложная смесь веществ, относящихся к самым разнообразным классам соединений, растворимых в органических растворителях и обладающих способностью улетучиваться с водяным паром.
Вещества, входящие в состав эфирного масла, можно разделить на четыре основных класса соединений: кислоты, карбонильные соединения (альдегиды и кетоны), спирты и фенолы. Из класса веществ, входящих в состав эфирного масла, ведущая роль принадлежит спиртам терпенового и ароматического ряда. В эфирном масле чая обнаружены В- и у-гексанол, линалоол, фенилэтиловый спирт, цитронеллон, гераниол и др. Во фракции органических кислот эфирного масла чая идентифицированы уксусная, пропионовая, масляная, каприловая, капроновая, валериановая кислоты и др.
В образовании аромата чая существенную роль играют ароматические альдегиды. В составе эфирных масел содержатся ванилин, я-гидроксибензальдегид, сиреневый, корич-

Различные исследователи по-разному оценивали роль отдельных компонентов эфирного масла чая в формировании его ароматических свойств. Так, считается, что содержание в эфирном масле оксида линалоола, салицилового альдегида, метилбензоата, а-терпенилацетата, борнилацетата, фенилацетальдегида оказывает положительное влияние на аромат чая:

фенилацетальдегид
Отрицательное влияние оказывают капроновый альдегид (С>5>НцСНО), а также бензиловый спирт, линалоол, м- и п-крезолы:

Получено множество других данных о влиянии тех или иных компонентов эфирного масла на формирование ароматических свойств чая, причём многие результаты часто противоречат друг другу.
С учетом специфики потребления чая в виде водного экстракта особое внимание уделено водорастворимым витаминам в составе сырья и готовой продукции.
Витамины — это группы сравнительно низкомолекулярных органических соединений разнообразной химической природы. По растворимости они подразделяются на две большие группы: растворимые в жирах и растворимые в воде. К жирорастворимым относятся витамин А, отсутствие которого связывается с нарушением роста; витамин D — антирахитический фактор; витамин К, необходимый для нормального свёртывания крови; витамин Е (токоферолы) — антигеморрагический фактор. К водорастворимым относятся витамины группы В, витамины 33, 3 и С, биотин, инозит, я-аминобензойная и фолиевая кислоты, витамин U (метилметионин). С учётом того, что потребление чая осуществляется в виде водного экстракта, особое внимание уделено водорастворимым витаминам в составе чая.
Витамин С. Чайный лист богат витамином С (L-аскорбиновая кислота). Однако в процессе переработки чайного листа содержание этого витамина резко уменьшается, особенно при ферментации и сушке. Это происходит вследствие того, что витамин С принимает самое активное участие в окислительно-восстановительных процессах. Аскорбиновая кислота быстро теряет два атома водорода и переходит в дегидроформу, которая сразу разрушается:


Витамин Bi (тиамин, аневрин). Этот витамин содержит ядра пиримидина и тиазола. Он играет важную роль в процессах превращений углеводов, так как входит в состав пиуватдекарбоксилазы:

Содержание витамина В, в чае в среднем составляет 0,3-10 мг на 1 кг сухого сырья.
Витамин В>2> (рибофлавин, лактофлавин). Это азотистое основание жёлто-оранжевого цвета, которое содержит остаток пятиатомного спирта рибита:

Рибофлавин вместе с фосфорной кислотой входит в состав окислительно-восстановительных ферментов — оксиредуктаз. В процессе переработки чайного листа рибофлавин не разрушается и почти полностью переходит в готовый чай.
Витамин В>ъ> (пантотеновая кислота) Этот витамин принимает участие кофермента А. Отсутствие или недостаток этой кислоты замедляют синтез кс та А, что приводит к серьёзным на заболеваниям обмена веществ в живом организме. Пантотеновая кислота представляет собой гигроскопичную светло-жёлтую вязкую жидкость. По своему химическому cтpoeнию это соединение, состоящее из двух компонентов — диоксидиметилмасляной кис В-аланина:

Витами РР — кофермент окислительно-восстановительных ферментов:

Витамин РР синтезируется в растительных организмах из аминокислоты триптофана. В чайном растении содержится 10-15 мг на 100 г сухого материала витамина PP.
Следует обратить внимание на шесть самых важных групп или составных частей чая: дубильные вещества, эфирные масла, алкалоиды, аминокислоты, пигменты и витамины.
Дубильные вещества — один из существенных компонентов чая и чайного настоя. Они составляют 15-30% чая и представляют собой сложную смесь более трёх десятков полифенольных соединений, состоящую из танина и различных (по крайней мере семи) катехинов, полифенолов и их производных.
Ферменты, или энзимы, содержатся в чае в основном в нерастворимом, связанном состоянии. Это биологические катализаторы. С их помощью происходят все химические превращения как в живом чайном растении при его росте, так и в процессе фабричного приготовления чая. Основных ферментов чая три, а всего больше десяти. Главные из них — полифенолоксидаза, пероксидаза и катал аза.
Эфирные масла имеются как в зелёном листе, так и в готовом чае. Несмотря на их крайне незначительное содержание, они более других веществ привлекали внимание человека: именно им справедливо приписывали неповторимый чайный аромат. От них, следовательно, зависит и качество чаёв. Теперь установлено, что эфирных масел в зелёном листе чая содержится всего лишь 0,02%. Это значит, что для получения 100 г этих масел в чистом виде надо переработать больше полутонны чайного листа. Хотя при переработке чайного листа потеря эфирных масел достигает 70-80%, при этом происходит и другой процесс — появление новых эфирных масел.
Белковые вещества вместе со свободными аминокислотами составляют от 16 до 25% чая. Белки — важнейшая составная часть чайного листа. Белками являются все ферменты. Кроме того, белки служат источником тех аминокислот, которые появляются в процессе переработки чайного листа в готовый чай. По содержанию белков и их качеству, а следовательно, по питательности чайный лист не уступает бобовым культурам. Особенно богаты белками зелёные чаи (среди них более всего японские).
Органические кислоты (около 1%) образуют другую группу растворимых органических соединений в чае. В их состав входят щавелевая, лимонная, яблочная, янтарная, пировиноградная, фумаровая и ещё две-три кислоты. В составе чая они ещё слабо исследованы, но ясно, что в целом они повышают пищевую и диетическую ценность чая.
Углеводы в чае содержатся разнообразные — от простых Сахаров до сложных полисахаридов. Чем выше в чае процент содержания углеводов, тем ниже его сорт. Поэтому они являются своего рода бхтластом. К счастью, большинство из них нерастворимо. Причём нерастворимы как раз ненужные человеку полисахариды — крахмал, целлюлоза, гемицеллюлоза, составляющие от 10 до 12% чая. Зато полезные углеводы — сахароза, глюкоза, фруктоза, мальтоза (их в чае от 1 до 4%) — растворимы.
Пигменты, входящие в состав чая, играют также немаловажную роль. Способность чайного настоя принимать разную окраску, давая всевозможные оттенки от светло-зелёного до тёмно-оливкового и от желтоватого и розоватого до красно-коричневого и тёмно-бурого, давно была замечена людьми и связывалась с наличием в чае различных красителей.
Тщательные исследования последних лет показали, что цветность настоя связана главным образом с двумя группами красящих веществ — теарубигинами и теафлавинами. Первые, дающие красновато-коричневые тона, составляют 10% сухого чая, вторые, дающие золотисто-желтую гамму. — лишь 2%.
Пектиновые вещества — это коллоидные вещества со сложным составом. Содержание их в чае колеблется от 2 до 3%. В присутствии Сахаров и кислот они могут образовывать студенистые массы — желе. Пектины имеют немаловажное значение для сохранения качества чая: с ними связано такое физическое свойство чая, как его гигроскопичность. При недостатке в чае пектиновой кислоты его гигроскопичность резко повышается, а следовательно, чай портится быстрее. Дело в том, что пектиновая кислота покрывает каждую чаинку тонкой, слабопроницаемой для влаги желатиновой плёнкой и таким образом играет для чая роль своеобразного плаща.
В чае присутствуют почти все витамины. В нём имеется провитамин витамина А — каротин, важный для зрения, а также обширная группа витамина В. Имеется в нём и витамин С. В свежесорванном чайном листе его в 4 раза больше, чем в соке лимона и апельсина. Но основной витамин чая — это витамин Р. Витамин Р (или С>2>) в комплексе с витамином С резко усиливает эффективность аскорбиновой кислоты, способствует её накоплению и задержанию в организме.
ЧАЙ И ЗДОРОВЬЕ
С давних времён чай славился своими целебными свойствами. Недаром изначально его использовали исключительно в качестве лекарственного средства, позже — как ритуальный напиток, и лишь потом он вошёл в повседневное употребление. В древности люди называли чай снадобьем, избавляющим от десяти тысяч болезней. Лечебное действие чая подробно описывается во многих классических медицинских трактатах. Древние китайские мудрецы писали о том, что чай отгоняет сон, умиротворяет дух, проясняет зрение, снимает жар, очищает от яда и дарит долголетие. Поэтому не случайно первыми сторонниками употребления чая в Европе были именно врачи. Чай полезен для здоровья. Чудодейственный эликсир под названием «чай» восхваляли многие народы на протяжении веков.
Древние представления о пользе чая до сих пор не только не были опровергнуты, но и, наоборот, постоянно подтверждались и продолжают подтверждаться новыми научными открытиями. В наше время камелия китайская официально включена в реестр лекарственного растительного сырья. С каждым днём учёные узнают всё больше о лечебных и профилактических свойствах этого уникального растения, что открывает новые возможности для восстановления и поддержания здоровья человека.
Фармакологические свойства чая обусловлены его химическим составом. Чай — это богатейший природный комплекс, в котором содержится целый спектр витаминов, микроэлементов и нескольких сотен других биологически активных веществ. Перечислим лишь несколько наиболее важных лечебно-профилактических свойств чая.
Чай препятствует развитию сердечнососудистых заболеваний. Результаты научных исследований позволяют предположить, что потребление чая снижает риск развития сердечно-сосудистых заболеваний. В чём же причины такого воздействия? Во-первых, чай способствует нормализации кровяного давления. Слабоферментированные сорта, богатые полифенолами (природными соединениями, обладающими высокой биологической активностью), помогают снизить давление. Употребление же чёрного чая, особенно крепкого, повышает давление и приводит к расширению сосудов, облегчая процесс кровообращения. Во-вторых, чай обогащает кровь витаминами, делает стенки сосудов более упругими и эластичными и, кроме того, эффективно снижает уровень сахара и холестерина в крови. Регулируя углеводный и холестериновый обмен, этот напиток уменьшает риск развития атеросклероза — одного из наиболее распространённых заболеваний сердечно-сосудистой системы.
Чай снижает вероятность развития онкологических заболеваний. С 70-х гг. XX в. учёные исследовали антираковое действие чая. Результаты исследований показали, что любители чая гораздо реже страдают раковыми заболеваниями, чем люди, практически не употребляющие этот напиток. Это уникальное свойство чая напрямую связано с высоким содержанием в нём полифенольных веществ. Чайные полифенолы подавляют процесс перерождения здоровых клеток и превращения их в злокачественные. В зелёном чае содержание чайных полифенолов значительно выше, чем в более ферментированных сортах. Так, японцы, для которых зелёный чай уже давно стал национальным напитком, болеют раком гораздо реже, чем жители других стран. 3. Чай стимулирует процессы пищеварения и способствует похудению. Чайный напиток можно назвать превосходным дижестивом, поскольку он облегчает пищеварение и способствует лучшему усвоению пищи. Не случайно у многих народов обильные трапезы традиционно завершаются чаепитием. Например, жители Тибета всегда употребляли много тяжёлой мясной и жирной пищи, поэтому чай стал неотъемлемой частью их рациона.
Чай усиливает активность пищеварительного тракта и нормализует микрофлору кишечника. Крепкий чайный настой очищает органы пищеварения — желудок, почки и печень — от различных вредных веществ. Многие сорта чая благотворно влияют на слизистые оболочки пищевода и желудка, обволакивая их и создавая своеобразный защитный слой. Например, чай пуэр значительно снижает риск развития гастритов, язв и других заболеваний желудка. Многие сорта чая активизируют обменные процессы, способствуют расщеплению жиров и выведению их из организма. Особенно эффективны в этом отношении зелёный чай, улуны и пуэр. Кроме того, чайный напиток, практически не содержащий калорий, достаточно питателен — в его состав входят белки и необходимые человеку витамины. Вот почему чай — неотъемлемая часть большинства диет: он помогает организму поддерживать работоспособность даже при скудном питании.
4. Чай замедляет старение организма. С давних времён люди считали чай омолаживающим средством. Современной науке известно, что старение связано с влиянием особых «молекул-разрушителей», которые повреждают клетки организма и угнетают их жизнедеятельность. Чай (в частности, зелёный), богатый витаминами С, Е и полифенолами, позволяет нейтрализовать вредоносное воздействие этих молекул и тем самым замедляет старение организма. Болезни нередко наносят организму непоправимый вред и как следствие способствуют преждевременному старению. В состав многих сортов чая (как чёрного, так и зелёного) входит особый вид веществ, которые повышают иммунитет — защитные функции организма и его сопротивляемость различным инфекциям. Полифенолы зелёного чая активно воздействуют даже на вирусы гриппа. Усилить целебный эффект чая могут травы, бальзамы и мёд.
5. Чай оказывает на организм тонизирующее воздействие. Его по праву называют эликсиром бодрости. Благодаря содержанию кофеина и некоторых других полезных веществ чай активизирует деятельность центральной нервной системы, в частности головного мозга. Чайный напиток бодрит, поднимает настроение, повышает работоспособность и снимает усталость. Научные исследования показали, что чай способствует улучшению умственных способностей, внимания и памяти. Многие ароматизированные цветочные чаи, например с жасмином или с лепестками розы, обладают антистрессовым и расслабляющим действием. Благодаря содержанию целого ряда витаминов и микроэлементов чай оказывает на организм комплексное оздоравливающее действие, укрепляет зубы и улучшает зрение. Безусловно, чай не стоит считать панацеей от всех болезней, однако многовековой опыт и современные исследования доказывают его эффективность как натурального оздоровительного средства.
Все перечисленные свойства относятся только к качественному и правильно заваренному чаю, который употреблён в нужное время и в должной мере. Не следует пить недоброкачественный чай. полученный в результате неправильной обработки или подвергавшийся неправильному хранению. Кроме того, не рекомендуется пить слишком крепкий и обжигающе горячий чай, а также злоупотреблять чайным напитком (4-5 чашек не очень крепкого свежезаваренного чая в день вполне достаточно для здорового взрослого человека).
Содержание в чае важнейших биологически активных веществ, а следовательно, и полезные свойства напитка зависят от многих факторов. Только качественный чай, собранный и обработанный по всем правилам чайного искусства, а затем хранившийся при оптимальных условиях, поможет укрепить здоровье и подарит заряд жизненной энергии.
Качественная реакция на кофеин
На фарфоровую пластину учащиеся помещали 0,1 г чая, добавляли 2-3 капли концентрированной азотной кислоты. Смесь осторожно выпаривали досуха. В результате окисления кофеина образуется тетраметилаллоксантин оранжевого цвета. При реакции с концентрированным раствором аммиака это вещество превращается в пурпурат аммония.
Данные анализа сравнивали с эталоном, полученным из таблетки цитрамона, содержащего 43% кофеина.
Определение витамина С в чае
Это определение учащиеся проводили с помощью иодометрического метода.
Они помещали в колбу 2 мл чая и добавляли воду до объёма 10 мл, а затем немного раствора крахмала. Далее учащиеся по каплям добавляли раствор иода до появления устойчивого синего окрашивания, не исчезающего 10-15 с.
Техника определения основана на том, что молекулы аскорбиновой кислоты легко окисляются иодом. Как только иод окислит всю аскорбиновую кислоту, следующая же капля, прореагировав с иодом, окрасит иод в синий цвет.
Определение кислотно-щелочного баланса
В пробирку с чаем учащиеся опускали индикаторную бумажку для определения рН, а затем сравнивали её с эталоном.
Определение глюкозы
В пробирку помещали 1 мл чая и каплю реактива Фелинга (щелочной раствор медного алкоголята сегнетовой соли). Держа пробирку наклонно, осторожно нагревали верхнюю часть раствора. При этом нагретая часть раствора окрашивалась в оранжево-жёлтый цвет вследствие образования гидроксида меди(1) СиОН, который в дальнейшем переходит в красный осадок оксида меди(1).
Определение танина в чае
К 1 мл раствора чая добавляли 1-2 капли хлорида железа(Ш). При наличии танина в чае наблюдали появление тёмно-фиолетового окрашивания.
Содержание танина в чае определяли визуально-колориметрическим методом.
Выводы
В результате исследования учащиеся обнаружили много интересного и сделали следующие выводы.
Танин и кофеин содержатся и в чёрном, и в зелёном чае.
Танина в чаях больше, чем кофеина.
Зелёный чай содержит танина больше, чем чёрный.
Чёрный чай содержит кофеина больше, чем зелёный.
Витамина С много и в зелёном, и в чёрном чае, но в зелёном его больше.
Углеводы имеются и в том и в другом чае в небольшом количестве.
У чая слабощелочная реакция среды.
Простота проведения эксперимента и доступность реактивов, выбранных для исследования, позволяют проводить данные опыты и в домашних условиях. Таким образом, учащиеся получают удобный метод познания, а не готовые результаты.
ЛИТЕРАТУРА
Коробкина 3. В. Товароведение и экспертиза вкусовых товаров. — М.: КолосС, 2003.
Ольхин О. Опыты без взрывов. — М.: Химия, 1986.
Смоляр В. И. Рациональное питание. — Киев: Наукова думка, 1991.
Стёпин Б. Д., Аликберова Л. Ю. Занимательные задания и эффектные опыты по химии. — М.: Дрофа, 2002.
Тюкавкина Н. А. Органическая химия. — М: Дрофа, 2008.
Цоциашвили И. И. Химия и технология чая. — М.: Агропромиздат, 1989.