Кинетика химических реакций (работа 2)
Содержание
Введение
Задачи химической кинетики
Химический процесс и его стадии
Открытые и замкнутые системы
Закон сохранения массы и энергии
Химические превращения и тепловые эффекты химических реакций
Теплота образования химических соединений
Закон Гесса и его следствие
Скорость химических реакций
Основные понятия
Зависимость скорости гомогенных реакций от концентрации (закон действующих масс)
Константа скорости химических реакций, ее зависимость от температуры.
Энергия активации
Явление катализа
Обратимые реакции
Химическое равновесие
Константа равновесия, степень превращения
Принцип Ле Шателье.
Смещение химического равновесия под действием температуры и давления
Гомогенные и гетерогенные реакции
Основные типы элементарных реакций
Окислительно-восстановительные реакции
Вывод
Литература
1. Введение
Кинетика химических реакций, учение о химических процессах — о законах их протекания во времени, скоростях и механизмах. При исследовании химических реакций, в частности, используемых в химической технологии, применяют как методы химической термодинамики, так и методы химической кинетики. Химическая термодинамика позволяет вычислить тепловой эффект данной реакции, а также предсказать, осуществима ли данная реакция и ее состояние равновесия, т. е. предел, до которого она может протекать. Для этого необходимо иметь данные о термодинамических параметрах всех компонентов только в начальном и конечном состояниях системы. Но для практики нужно знать не только возможность осуществления данной реакции, но и скорость ее протекания. Ответ на этот вопрос дает химическая кинетика. Для получения кинетических закономерностей должны быть известны не только начальное и конечное состояния системы, но и путь, по которому протекает реакция, а он обычно заранее неизвестен. Поэтому получить кинетические закономерности сложнее, чем термодинамические. Зная эти закономерности (математическую модель) изучаемой химической реакции и ее кинетические параметры, можно рассчитать ее скорость н оптимальные условия проведения в промышленном реакторе. С исследованиями кинетики химических реакций связаны важнейшие направления современной химии и химической промышленности: разработка рациональных принципов управления химическими процессами; стимулирование полезных и торможение и подавление нежелательных химических реакций; создание новых и усовершенствование существующих процессов и аппаратов в химической технологии; изучение поведения химических продуктов, материалов и изделий из них в различных условиях применения и эксплуатации.
Многие уравнения, описывающие протекание во времени химических реакций, пригодны и для описания ряда физических процессов (распад радиоактивных ядер, деление ядерного горючего), а также для количественной характеристики развития некоторых биохимических, в том числе ферментативных, и других биологических процессов (нормальный и злокачественный рост тканей, развитие лучевого поражения, кинетические критерии оценки эффективности лечения).
Отдельные работы в области кинетики химических реакций были выполнены ещё в середине 19 в. В 1850 немецкий химик Л. Вильгельми изучил скорость инверсии тростникового сахара, в 1862—63 М. Бертло — скорость реакций этерификации. В работах Н. А. Меншуткина получили развитие (1882—90) такие основные проблемы химии, как связь между строением веществ и их реакционной способностью, влияние среды на ход химического превращения. В 80-х гг. 19 в. Я. Вант-Гофф и С. Аррениус сформулировали основные законы, управляющие простыми химическими реакциями, и дали трактовку этих законов, исходя из молекулярно-кинетической теории. Дальнейшее развитие этих работ привело к созданию в 30-х гг. 20 в. Г. Эйрингом и М. Поляни на базе квантовой механики и статистической физики теории абсолютных скоростей реакций, открывающей перспективы расчёта скоростей простых (элементарных) реакций, исходя из свойств реагирующих частиц.
Параллельно развивались работы по изучению кинетики сложных реакций. Среди первых в этой области были исследования А. Н. Баха и Н. А. Шилова по реакциям окисления. Они включили в предмет химической кинетики представления о решающей роли промежуточных продуктов и промежуточных реакций в химическом превращении. Большую роль в разработке общих методов подхода к изучению сложных реакций сыграли работы М. Боденштейна. Выдающимся достижением теории сложных химических процессов явилась созданная в 30-х гг. Н. Н. Семеновым общая теория цепных реакций. Широкие исследования механизма сложных кинетических процессов, особенно цепных реакций, были выполнены С. Н. Хиншелвудом.
2. Задачи химической кинетики
Химическая кинетика трактует качественные и количественные изменения в ходе химического процесса, происходящие во времени. Обычно эту общую задачу подразделяют на две более конкретные:
1) выявление механизма реакции — установление элементарных стадий процесса и последовательности их протекания (качественные изменения);
2) количественное описание химической реакции — установление строгих соотношений, которые могли бы удовлетворительно предсказывать изменения количеств исходных реагентов и продуктов по мере протекания реакции.
Также в зависимости от необходимости нахождения концентрации веществ по схеме реакции либо восстановление схемы по известным концентрациям ставится задача прямая или обратная.
1) Под прямой задачей химической кинетики понимают задачу нахождения концентраций участвующих в реакции веществ в любой момент времени, исходя из известных начальных концентраций, схемы реакции и констант скоростей отдельных стадий.
2) Обратная задача химической кинетики — восстановление по известной зависимости концентрации веществ от времени схемы реакции и констант скорости.
3. Химический процесс и его стадии
Химическая реакция (процесс) состоит в превращении одного или нескольких химических веществ, называемых исходными веществами, в одно или несколько других химических веществ, называемых продуктами реакции. Химические реакции, как правило, являются сложными, т. е. протекают через ряд элементарных стадий. Элементарная стадия является наиболее простой составной частью сложной реакции: каждый акт элементарной стадии представляет собой результат непосредственного взаимодействия и превращения нескольких частиц. Совокупность реакций из элементарных стадий называется механизмом реакции. При протекании реакции по стадиям получаются и расходуются промежуточные вещества. Промежуточными веществами обычно являются активные частицы с не спаренными электронами, так называемые радикалы. Сложные реакции могут состоять из двусторонних, параллельных и последовательных элементарных стадий. Все элементарные стадии являются двусторонними (обратимыми), т. е. - состоят из двух взаимно противоположных элементарных реакций, которые одновременно протекают в прямом и обратном направлениях, но с разной скоростью. При параллельном протекании нескольких элементарных стадий данное вещество одновременно расходуется по нескольким путям с образованием разных продуктов. При последовательном протекании элементарных стадий промежуточное вещество, полученное в одной стадии, расходуется другой. Механизм большинства реакций точно не известен, так как промежуточные вещества обычно очень неустойчивы и доказать экспериментально их существование довольно сложно. Поэтому, как правило, у сложных реакций промежуточные вещества неизвестны, а известен только наиболее вероятный механизм, т. е. предполагаемый механизм протекания реакции по стадиям, на основе которого можно получить закономерность (математическую модель), адекватно отражающую основные черты реального процесса. Таким образом, элементарной стадией химической реакции называется сумма актов химического превращения при одновременном сближении (столкновении) нескольких (обычно двух) частиц; при этом энергия связей перераспределяется между атомами с образованием активированного комплекса с его последующим распадом и получением новых частиц. В случае мономолекулярного акта образование активированного комплекса происходит за счет перераспределения энергии между связями атомов внутри молекулы, как следствие ее активации в результате внешних воздействий.
4. Открытые и замкнутые системы
Системы, в которых происходит химическое превращение, могут быть замкнутыми или открытыми.
Замкнутой называется система, в которой отсутствует материальный обмен с окружающей средой. В замкнутую систему в начале процесса вводится некоторое количество исходных веществ, которые далее претерпевают ряд химических превращений – переходят в промежуточные вещества и продукты реакции, но все эти вещества до окончания процесса остаются в пределах рассматриваемой системы, т.е. не выводятся из реакционного сосуда.
С некоторой степенью) точности замкнутой системой можно считать каждый элемент объема в ламинарном потоке. Если струя газа или жидкости проходит через реакционный сосуд, в котором (например, достаточно высокая температура или присутствие необходимого катализатора), то при отсутствии конвекции и достаточно малой скорости диффузии вещества в направлении потока каждый объем реакционной смеси можно рассматривать как независимой от остальных, т. е. как перемещающуюся в пространстве замкнутую систему. Такой способ проведения химических реакций широк используется в научно-исследовательской работе и в промышленности. Соответствующие реакторы получили название реакторы идеального смешения.
С точки зрения химической кинетики важнейшей особенностью замкнутых систем является то обстоятельство, что изменение количества какого-либо химического соединении в таких системах происходит только в результате химического превращения. Поэтому суммарное число моделей каждого из элементов, присутствующих в системе, остается неизменным на протяжении всего химического процесса.
Наряду с этим в природе, технике и в научных исследованиях встречаются системы с непрерывном поступлением исходных веществ и уводов продуктов реакции за счет диффузии или других видов массопередачи. Системы, в которых имеет место материальный обмен с окружающей средой, называются открытыми системами.
Наиболее простым типом открытой системы является реактор идеального смешения, в который с определенной скоростью подаются исходные вещества и одновременно выводится такое же по объему количество реакционной смеси. При этом в пределах реактора за счет интенсивного перемешивания или энергичной циркуляции смеси через реактор (при проведении гетерогенно-каталитических реакций) обеспечивается однородный состав реакционной смеси.
5. Закон сохранения массы и энергии
Масса веществ, вступающих в реакцию равна массе веществ, образующихся в результате реакции.
Взаимосвязь массы и энергии выражается уравнением Энштейна: Е=mc2
где Е – энергия; m – масса; с – скорость света в вакууме. Закон сохранения массы дает материальную основу для составления уравнений химических реакций и проведения расчетов по ним.
Закон постоянства состава. Состав соединений молекулярной структуры, т. е. состоящих из молекул, является постоянным независимо от способа получения. Состав же соединений с немолекулярной структурой (с атомной, ионной и металлической решеткой) не является постоянным и зависит от условий получения.
6. Химические превращения и тепловые эффекты химических реакций
Наличие химических формул для всех веществ позволяет изображать химические реакции посредством химических уравнений. Наиболее характерными признаками химической реакции являются следующие внешние изменения реакционной среды: 1) выделение газа; 2) образование осадка; 3) изменение окраски; 4) выделение или поглощение теплоты.
Химическая реакция заключается в разрыве одних и образовании других связей, поэтому она сопровождается выделением или поглощением энергии в виде теплоты, света, работы расширения образовавшихся газов.
По признаку выделения или поглощения теплоты реакции делятся на экзотермические и эндотермические.
Количество теплоты, которое выделяется или поглощается в результате реакций между определенными количествами реагентов, называют тепловым эффектом химической реакции и обычно обозначают символом Q. Наряду с тепловым эффектом термохимические процессы очень часто характеризуют разностью энтальпий ∆ H продуктов реакции и исходных веществ.
Энтальпия Н — это определенное свойство вещества, оно является мерой энергии, накапливаемой веществом при его образовании.
Процессы, протекающие при постоянном давлении, встречаются гораздо чаще, чем те, которые протекают при постоянном объеме, так как большинство из них проводится в открытых сосудах. Доказано, что в химических процессах, протекающих при постоянном давлении, выделившееся (или поглощенное) тепло есть мера уменьшения (или соответственно увеличения) энтальпии реакции ∆ H.
При экзотермических реакциях, когда тепло выделяется, ∆Н отрицательно. При эндотермических реакциях (тепло поглощается) и ∆H положительно.
7. Теплота образования химических соединений
Теплотой образования соединения называется количество теплоты, которое выделяется или поглощается при образовании одного моля химического соединения из простых веществ при стандартных условиях (р = 105 Па, T = 298 К). Она измеряется в кДж/моль. Согласно этому определению, теплота образования простого вещества при стандартных условиях равна 0.
Изменение энтальпии ∆Н зависит от давления и температуры. Поэтому для того, чтобы облегчить сравнение термохимических данных для различных реакций, были приняты определенные стандартные состояния (условия).
При написании термохимических уравнений твердое вещество, жидкость и газ обязательно обозначаются символами (тв), (ж) и (г) соответственно, поскольку изменение энтальпии зависит от агрегатного состояния реагирующих веществ и продуктов реакции. Стандартное состояние: для газа — состояние чистого газа при 105 Па; для жидкости — состояние чистой жидкости при 105 Па; для твердого вещества — наиболее устойчивое при давлении 105 Па кристаллическое состояние, например графит у углерода, ромбическая сера у серы и т. п. Стандартное состояние всегда относится к 298 К. Так, например, термохимическое уравнение образования воды из водорода и кислорода записывается следующим образом:
H>2(г)>+½O>2(г)>=H>2>O>(ж)> + 286кДж
Значение 286 кДж является теплотой образования воды в стандартных условиях и означает, что при образовании 1 моля воды выделяется 286 кДж теплоты:
∆Н>обр>(H>2>O>(ж)>)=-286кДж/моль.
Значение теплоты образования газообразной воды уже будет иным:
H>2(г)>+½O>2(г)>=H>2>O>(г)> + 242кДж
8. Закон Гесса и его следствия
Важнейшим законом, на котором основано большинство термохимических расчетов, является закон Гесса (его называют также законом суммы тепловых эффектов).
Тепловой эффект химической реакции зависит от состояния исходных веществ и продуктов реакции, но не зависит от промежуточных стадий реакций.
Пример: Тепловой эффект реакции окисления углерода в оксид углерода (IV) не зависит от того, проводится ли это окисление непосредственно:
С>(тв)> + О>2(г)> = СО>2(г) >(∆Н>1>)
или через промежуточную стадию образования оксида углерода (II):
С>(тв)> + ½О>2(г)> = СО>(г) >(∆Н>2>)
С>(тв)> + ½О>2(г)> = СО>2(г) >(∆Н>3>)
Из закона Гесса следует, что если известны общий тепловой эффект реакции и тепловой эффект одной из двух ее промежуточных стадий, то можно вычислить тепловой эффект (х) второй промежуточной стадии, т. е. если
∆Н>1>= ∆Н>2> + ∆Н>3>(∆Н>2> = х), то х=∆Н>1> - ∆Н>3>
Это положение очень важно, так как позволяет рассчитывать тепловые эффекты для реакций, не поддающихся непосредственному экспериментальному изучению.
Если теплота образования какого-либо вещества из простых веществ не измерена экспериментально, то для расчета можно воспользоваться значениями ∆Н ряда других соединений; комбинируя эти значения, можно получить ∆Н> обр> искомого соединения.
Особенно удобно проводить такие расчеты, используя следствия, непосредственно вытекающие из закона Гесса:
Тепловой эффект химической реакции равен разности суммы теплот образования продуктов реакции и суммы теплот образования исходных веществ (суммирование проводится с учетом числа молей веществ, участвующих в реакции, т. е. стехиометрических коэффициентов в уравнении протекающей реакции):
Q=∑n>i> Q>i> - ∑n>j>Q>j >,
Здесь Q>i>, Q>j> — теплоты образования продуктов реакции и исходных веществ соответственно; n>i>, и n>j> — стехиометрические коэффициенты в правой и левой частях термохимического уравнения соответственно.
Аналогичным образом можно записать:
∆Н =∑n>i>∆Н>i> - ∑n>j>∆Н>j >,
где ∆Н — изменение энтальпии соответствующей реакции, ∆Н>i>, ∆Н>j>— энтальпии образования продуктов реакции и исходных веществ соответственно.
9. Скорость химической реакции
9.1 Основное понятие
Основным понятием в химической кинетике является, понятие о скорости реакции:
Скорость химической реакции определяется количеством вещества, прореагировавшего в единицу времени в единице объема.
Если при неизменных объеме и температуре концентрация одного из реагирующих веществ уменьшилась от с>1> до с>2> за промежуток времени от t>1> до t>2>, то в соответствии с определением скорость реакции за данный промежуток времени равна:
v = -(c>2 >- c>1>)/(t>2 >- t>1>) = -∆c/∆t ,
Знак “-” в правой части уравнения появляется т. к. по мере протекания реакции (t>2>-t>1> > 0) концентрация реагентов убывает, следовательно, c>2>-c>1> < О, а так как скорость реакции всегда положительна, то перед дробью следует поставить знак “-”.
Обычно для реакций, протекающих в газах или растворах, концентрации реагентов выражают в моль/л, а скорость реакции — в моль/(л* с).
Скорость каждой химической реакции зависит как от природы реагирующих веществ, так и от условий, в которых реакция протекает. Важнейшими из этих условий являются: концентрация, температура и присутствие катализатора. Природа реагирующих веществ оказывает решающее влияние на скорость химической реакции. Так, например, водород с фтором реагирует очень энергично уже при комнатной температуре, тогда как с бромом значительно медленнее даже при нагревании.
9.2 Зависимость скорости гомогенных реакций от концентрации (закон действующих масс)
Влияние концентрации реагирующих веществ может быть объяснено из представлений, согласно которым химическое взаимодействие является результатом столкновения частиц. Увеличение числа частиц в заданном объеме приводит к более частым их столкновениям, т. е. к увеличению скорости реакции.
Количественно зависимость между скоростью реакции и молярными концентрациями реагирующих веществ описывается основным законом химической кинетики — законом действующих масс.
Скорость химической реакции при постоянной температуре прямо пропорциональна произведению концентраций реагирующих веществ.
Для мономолекулярной реакции скорость реакции определяется концентрацией молекул вещества А:
v = k*[A]
где k — коэффициент пропорциональности, который называется константой скорости реакции; [А] — молярная концентрация вещества А.
В случае бимолекулярной реакции, ее скорость определяется концентрацией молекул не только вещества А, но и вещества В:
v = k*[A]*[B]
В случае тримолекулярной реакции, скорость реакции выражается уравнением:
v = k*[A]2*[B]
В общем случае, если в реакцию вступают одновременно т молекул вещества А и n молекул вещества В, т. е.
тА + пВ = С,
уравнение скорости реакции имеет вид:
v = k*[A]m*[B]n
Это уравнение есть математическое выражение закона действующих масс в общем виде.
Чтобы понять физический смысл константы скорости реакции, надо принять в написанных выше уравнениях, что [А] = 1 моль/л и [В] = 1 моль/л (либо приравнять единице их произведение), и тогда v = k. Отсюда ясно, что константа скорости k численно равна скорости реакции, когда концентрации реагирующих веществ (или их произведение в уравнениях скорости) равны единице.
Общее выражение для скорости химической реакции получено для данной, фиксированной температуры. В общем же случае, поскольку скорость реакции зависит от температуры, закон действующих масс записывается как
v(T) = k(T) *[A]m*[B]n
где v и k являются функциями температуры.
9.3 Константа скорости химической реакции, ее зависимость от температуры
Многочисленные опыты показывают, что при повышении температуры скорость большинства химических реакций существенно увеличивается, причем для реакций в гомогенных системах при нагревании на каждые десять градусов скорость реакции возрастает в 2—4 раза (правило Вант-Гоффа).
Это правило связано с понятием температурного коэффициента скорости реакции γ и определяется соотношением
γ = k>Т+10 >/ k>Т>
Значение температурного коэффициента γ дает возможность рассчитать изменение скорости реакции при увеличении температуры на некоторое число градусов от Т>1> до Т>2> по формуле
v(Т>1>)/v(Т>2>) = γ(Т>2>-Т>1>)/10
Очевидно, что при повышении температуры в арифметической прогрессии скорость реакции возрастает в геометрической.
10. Энергия активации
С. Аррениус впервые показал, что влияние температуры сводится к увеличению числа активных молекул, т. е. таких молекул, которые в момент столкновения обладают энергией, не меньше определенной для данной реакции величины, называемой энергией активации химической реакции.
Энергия активации — это некоторое избыточное количество энергии (по сравнению со средней), необходимое для вступления молекул в реакцию.
Согласно Аррениусу, константа скорости химической реакции зависит от температуры экспоненциально:
k = A*e-E/(RT)
Здесь Е — энергия активации (Дж/моль), R — универсальная газовая постоянная, T — температура в К,
А — константа.
11. Явление катализа
Одно из наиболее сильных средств воздействия на скорость химических реакций — использование катализаторов.
Катализатором называется вещество, изменяющее скорость химической реакции, но остающееся неизменным после того, как химическая реакция заканчивается.
Влияние катализаторов на скорость реакции называется катализом. Когда взаимодействующие вещества и катализатор находятся в одном агрегатном состоянии, говорят о гомогенном катализе. При гетерогенном катализе реагирующие вещества и катализатор находятся в различных агрегатных состояниях: обычно катализатор — в твердом, а реагирующие вещества — в жидком или газообразном (пример: в случае окисления SO>2> в SO>3> в присутствии платины или оксида ванадия (V) происходит гетерогенный катализ).
12. Обратимые реакции
В химических реакциях исходные вещества не всегда полностью превращаются в продукты реакции. Это происходит потому, что по мере накопления продуктов реакции могут создаваться условия для протекания обратимой реакции в противоположном направлении.
Например, если смешать пары иода с водородом при температуре 200°С, то произойдет реакция:

Однако известно, что йодистый водород уже при нагревании до 180 °С начинает разлагаться на иод и водород:

Понятно, что в этих условиях не произойдет ни полного разложения НI, так как продукты реакции способны вновь реагировать между собой, ни полного образования йодистого водорода. Химические реакции, которые при одних и тех же условиях могут идти в противоположных направлениях. называются обратимыми.
При написании уравнений обратимых реакций вместо знака равенства ставят две противоположно направленные стрелки. Уравнение рассмотренной выше обратимой реакции запишется следующим образом:

Реакцию, протекающую слева направо называют прямой (константа скорости прямой реакции k>1>), справа налево — обратной (константа скорости обратной реакции k>2>).
13. Химическое равновесие
В обратимых реакциях скорость прямой реакции вначале имеет максимальное значение, а затем уменьшается вследствие уменьшения концентрации исходных веществ, расходуемых на образование продуктов реакции. И наоборот, обратная реация в начальный момент имеет минимальную скорость, которая увеличивается по мере увеличения концентрации продуктов реакции. Следовательно, скорость прямой реакции уменьшается, а обратной — увеличивается. Наконец, наступает такой момент, когда скорости прямой и обратной реакций становятся равными.
Состояние, в котором скорость обратной реакции становится равной скорости прямой реакции, называется химическим равновесием.
13.1 Константа равновесия, степень превращения
Состояние химического равновесия обратимых процессов количественно характеризуется константой равновесия. Так, для обратимой реакции, которую в общем виде можно записать как

согласно закону действующих масс, скорости прямой реакции v>1> и обратной v>2> соответственно запишутся следующим образом:

В момент достижения состояния химического равновесия скорости прямой и обратной реакций равны:

где К — константа равновесия, представляющая собой отношение констант скорости прямой и обратной реакций.
В правой части первого уравнения стоят те концентрации взаимодействующих веществ, которые устанавливаются при равновесии, — равновесные концентрации.
Второе уравнение представляет собой математическое выражение закона действующих масс при химическом равновесии.
Этот закон является одним из наиболее важных в химии. Исходя из кинетического уравнения любой химической реакции, можно сразу же записать отношение, связывающее равновесные концентрации реагирующих веществ и продуктов реакции. Если определить константу К экспериментально, измеряя равновесные концентрации всех веществ при данной температуре, то полученное значение можно использовать в расчетах для других случаев равновесия при той же температуре.
Численное значение константы равновесия характеризует тенденцию к осуществлению реакции или, другими словами, характеризует выход данной реакции. Так, при К >> 1 выход реакции велик, так как при этом

Понятно, что при К << 1 выход реакции мал.
13.2 Принцип Ле Шателье
Состояние химического равновесия при неизменных внешних условиях может сохраняться сколь угодно долго. В действительности же реальные системы обычно испытывают различные воздействия (изменение температуры, давления или концентрации реагентов), выводящие систему из состояния равновесия. Как только в системе нарушается равновесие, скорости прямой и обратной становятся неодинаковыми и в системе преимущественно протекает процесс, который приводит ее к состоянию равновесия, но уже отвечающему новым условиям. Изменения, происходящие в системе в результате внешних воздействий, определяются принципом подвижного равновесия — принципом Ле Шателье.
Внешнее воздействие на систему, находящуюся в состоянии равновесия, приводит к смещению этого равновесия в направлении, при котором эффект произведенного воздействия ослабляется.
Внешнее воздействие на систему изменяет соотношение между скоростями прямого и обратного процесса, благоприятствуя тому из них, который противодействует внешнему влиянию.
Принцип Ле Шателье универсален, так как применим не только к чисто химическим процессам, но и к физико-химическим явлениям, таким, как кристаллизация, растворение, кипение, фазовые превращения в твердых телах.
13.3 Смещение химического равновесия под действием температуры и давления (концентрации)
Концентрация. Увеличение концентрации одного из реагирующих веществ сначала приводит к увеличению числа молекул этого вещества. Поскольку число столкновений с участием этих молекул увеличивается, реакция, для которой они являются реагентами, ускоряется. Это приводит к увеличению концентраций реагентов у противоположной реакции и т. д. В результате изменяется концентрация всех веществ, участвующих в химической реакции.
Можно сделать вывод, что при увеличении концентрации одного из реагирующих веществ равновесие смещается в сторону расхода этого вещества, при уменьшении концентрации равновесие смещается в сторону образования этого вещества.
Давление. Влияние давления очень напоминает эффект изменения концентраций реагирующих веществ, но сказывается оно практически только на газовых системах. При повышении давления увеличивается число молекул в единице объема газовой системы. Прямая или обратная реакция, в которой участвует большее количество газообразных веществ, протекает при этом с большей скоростью. В результате этой реакции образуется больше молекул тех веществ, которые участвуют в обратной реакции. Произойдет изменение скорости обратной реакции, и в конце концов будет достигнуто новое состояние равновесия.
При увеличении давления равновесие смещается в сторону уменьшения числа молекул газообразных веществ, т. е. в сторону понижения давления: при уменьшении давления равновесие смещается в сторону возрастания числа молекул газообразных веществ, т. е. в сторону увеличения давления. Если реакция протекает без изменения числа молекул газообразных веществ, то давление не влияет на положение равновесия в этой системе.
Температура. Повышение температуры увеличивает кинетическую энергию всех молекул, участвующих в реакции. Но молекулы, вступающие в реакцию, при которой происходит поглощение энергии (эндотермическая реакция), начинают взаимодействовать между собой быстрее. Это увеличивает концентрацию молекул, участвующих в обратной реакции, и ускоряет ее. В результате достигается новое состояние равновесия с повышенным содержанием продуктов реакции, протекающей с поглощением энергии. При повышении температуры равновесие смещается в сторону эндотермической реакции, при понижении температуры — в сторону экзотермической реакции.
14. Гомогенные и гетерогенные реакции
Химическая реакция, протекающая в пределах одной фазы, называется гомогенной химической реакцией. Химическая реакция, протекающая на границе раздела фаз, называется гетерогенной химической реакцией. Сложная химическая реакция, в которой одни стадии являются гомогенными, а другие гетерогенными, называется гомогенно-гетерогенными.
Примером гомогенных реакций может служить любая реакция в растворе, примером гетерогенной реакции - любая реакции, идущая на поверхности твердою катализатора (гетерогенная каталитическая реакция), примерами гомогенно-гетерогенных реакций - некоторые реакции между газами, отдельные стадии которых протекают на стенках реакционного сосуда. Понятия «гомогенный» и «гетерогенный» применимы как к реакции а целом, так и к любой ее отдельной стадии. Гомогенно-гетерогенным может быть только сложный процесс, включающий несколько стадий. Следует отметить, что в гетерогенном процессе исходные вещества и продукты реакции могут находиться в одной фазе. Так, гидрирование этилена в присутствии металлического никеля
С>2>Н>4 >+ 4Н>2 >→ С>2>Н>6>
идет на поверхности металла, но оба исходных вещества - этилен и молекулярный водород - к продукт реакции этан образуют одну фазу.
Возможны и такие случаи, когда реагирующие вещества находятся в разных фазах, но реакция между ними является гомогенной. В качестве примера можно привести окисление углеводорода в жидкой фазе молекулярным кислородом. Исходные вещества - кислород и углеводород - находятся в разных фазах, но реакция между ними является гомогенной, так как в химическую реакцию вступает растворенный в углеводороде кислород. Гетерогенной в рассматриваемом случае является не химическая реакция, а предшествующая ей нехимическая стадия растворения кислорода.
В зависимости от того, одну или несколько фаз образуют исходные вещества и продукты реакции, химические процессы могут быть гомофазными и гегерофазными.
Гомофазным называется процесс, в котором исходные вещества, стабильные стабильные промежуточные вещества и продукты реакции находятся в пределах одной фазы.
Гетерофазным называться процесс, в котором входные вещества, стабильные промежуточные вещества и продукты реакции образуют более чем одну фазу.
Понятия гомо- и гетерофазности совершенно независимы от понятия гомо- и гетерогенности. Так, нейтрализация кислоты щелочью валяется гомогенным гомофазным процессом, рассмотренное выше гидрирование этилена - гомофазным гетерогенным процессом. Окисление углеводорода в жидкой фазе газообразным кислородом представляет собой гомогенный гетерофазный процесс. Наконец, гашение извести
СаО + Н>2>О→Са(ОН)>2>
когда все три компонента образуют отдельные фазы и процесс идет на границе раздела воды и СаО, является гетерогенным процессом.
15. Основные типы элементарных реакций.
Общие кинетические закономерности протекания элементарных реакций не зависят от того, какие именно частицы — молекулы, свободные радикалы, ноны или комплексы — принимают участие в элементарном акте, каким образом и сколько связей разрывается или образуется в результате элементарного акта. Все эти факторы, однако, существенным образом определяют значения констант скорости или, точнее, энергий активации и предэкспоненциальных множителей, а также характер влияния среды, в которой происходит реакция, на значение кинетических параметров реакции.
В любой химической реакции происходит разрыв одних и образование других химических связей. Исключением являются лишь некоторые простейшие случаи реакции переноса электрона между частицами, например окислительно-восстановительные превращения ионов металлов:
Me>1> n+ + Me>2>m+→Me>1>(n-1)+ + Me>2>(m+1)+ (6.1)
Формально не сопровождается разрывом химических связей взаимопревращение пространственных изомеров, например цистрансизомеризация замещенных этил снов. Фактически же при этом в ходе элементарного акта должен произойти разрыв π-связи между атомами, образующими кратную связь, чтобы обеспечить возможность поворота вокруг сохраняющейся σ-связн.
Разрыв и образование двухэлектронных связей может осуществляться по двум различным механизмам—с разрывом и без разрыва электронных пар.
Химические процессы, сопровождающиеся разрывом некоторых из существующих или образованием новых электронных пар, называются гомолитическими. Примером может служить реакция атома водорода с молекулой хлора
Ĥ + С1:С1→Н:С1 + С1 (6.2)
Химические процессы, в которых образование и (или) разрушение двухэлектронных связей идет без образования и разрыва электронных пар, называются гетеролитическими.
В качестве иллюстрации можно привести гидролиз йодистого метила:
СН>3>:I + :ОН- → СH>3>:ОН + I- (6.3)
В этом случае электронная пара, с участием которой была образована разрываемая связь С—I, остается у атома иода, превращающегося в ион I-, а новая связь С—О образуется с участием неподеленной пары электронов атома О, входящего в состав иона ОН-.
Общим для гомолитических и гетеролитических реакции является взаимопревращение атомных и молекулярных орбиталей. В реакции атома водорода с молекулой хлора молекулярная σ-орбиталь, образованная Зр-орбиталями атомов CI, и атомная ls-орбиталь атома Н превращаются в молекулярную σ-орбиталь молекулы HCI и атомную Зр-орбиталь атома CI. В реакции гидролиза йодистого метила атомная орбиталь, на которой находится неподеленная пара электронов в ионе ОН- и молекулярная σ-орбиталь, образованная из р-орбитали атома I и одной из sp3-гибридных орбиталей атома С, превращаются в атомную орбиталь иона I- с неподеленной парой электронов и новую σ-орбиталь, образующую связь С—О. Фактически эти реакции классифицированы соответственно как гомолитическая и гетеролитическая потому, что в первом случае на атомной орбитали, участвующей во взаимопревращениях орбиталей, находился неспаренный электрон, а во втором — неподеленная пара электронов.
Наряду с этим возможны реакции, в которых происходит синхронное превращение нескольких молекулярных орбиталей в несколько новых молекулярных орбиталей. Такие реакции получили название согласованных реакций.
Примером такой реакции может служить распад бромистого этила на этилен и бромистый водород:
CH>5>Br → CH>4> + HBr (6.4)
В ходе этой реакции молекулярные орбитали, образовывавшие σ-связн С—Н и С -Вr в исходном бромистом этиле, переходят в новые молекулярные орбитали — π-орбиталь этилена и σ- орбиталь молекулы НВr. В этом случае четыре электрона переходят со старых орбиталей на новые, но нет никаких оснований говорить ни о разрыве, ни о сохранении электронных пар и тем самым классифицировать процесс как гомолитический или гетеролитический.
При образовании активированного комплекса в той или иной мере затрагивается большое число атомов и химических связей в реагирующих частицах, а в случае реакций в растворах — и окружающих молекул растворителя. Например, в реакции гидролиза йодистого метила разрывается связь С—I и образуется связь С—О. Однако, помимо этого, при образовании активированного комплекса изменяется тип гибридизации молекулярных орбиталей связей С—Н, изменяется полярность связи О—Н и, существенной перестройке подвергаются сольватные оболочки вокруг реагирующих частиц. Тем не менее основными участниками химического превращения в этой реакции являются атомы С, I и О, и совокупность этих атомов можно рассматривать как реакционный центр активированного комплекса (можно изобразить этот реакционный центр в виде I***C***O. Реакционные центры различаются по числу формирующих их атомов. В зависимости от этого активированный комплекс называют двухцентровым, трехцентровьш и т. п. Связи между атомами в реакционном центре могут образовывать незамкнутую или замкнутую линию. В зависимости от этого активированный комплекс называют линейным или циклическим. В рассмотренном выше примере реакция гидролиза йодистого метила идет через линейный трехцентровый активированный комплекс.
В реакции распада бромистого этила на этилен и бромистый водород основными участниками химического превращения являются атомы С, один из атомов Н и атом Вг, и реакционный центр активированного комплекса можно изобразить в виде

Это пример четырехцентрового циклического активированного комплекса.
Реакциями, идущими через активированный комплекс с двухатомным реакционным центром, являются реакция диссоциации частицы на две или обратная ей реакция рекомбинации частиц. Общая схема такой реакции может быть записана в виде
А—В↔А…B↔A + B (6.5)
Простейшим типом реакций, идущих через трехцентровый линейный активированный комплекс, являются реакции типа
А—В + С↔А – В…С↔А + В—С (6.6)
Такие реакции обычно называют реакциями замещения при соответствующем атоме во фрагменте В. Примером такой реакции является реакция гидролиза йодистого метила, которая представляет собой реакцию замещения при углеродном атоме радикала СН>3>. В случае если В является атомом, а не радикалом, то обычно говорят о реакции отрыва атома. Например, реакция
СН>4> + С1→СН>3> + НС1 (6.7)
является реакцией отрыва атома Н от молекулы метана атомом CL К этому же типу реакций относятся реакции переноса протона
В + НА → ВН+ +А- (6.8)
лежащие в основе всех кислотно-основных равновесий.
Если в (6.6) связь между А и В кратная, то образуются не две, а одна частица:
А=В +С ↔ А — В…С↔А—В—С (6.9)
В этом случае говорят о присоединении частицы С по двойной связи А=В. Обратную реакцию — отщепление С от ABC с образованием π-связи — называют элиминированием.
В реакционном центре линейного активированного комплекса может принимать участие и большее число атомов. Так, через четырехцентровый активированный комплекс идут реакции образования свободных радикалов при взаимодействии двух валентно-насыщенных молекул по общей схеме
А—В+С—D↔A...В...С…D→ A + B-C+D' (6.10)
или в случае, когда одна из разрываемых связен двойная, по схеме
A—B + C=D↔A…В…С…D↔A+B—С—D (6.11)
По схеме, обратной (6.11), идут реакции диспропорционирования свободных радикалов, например:

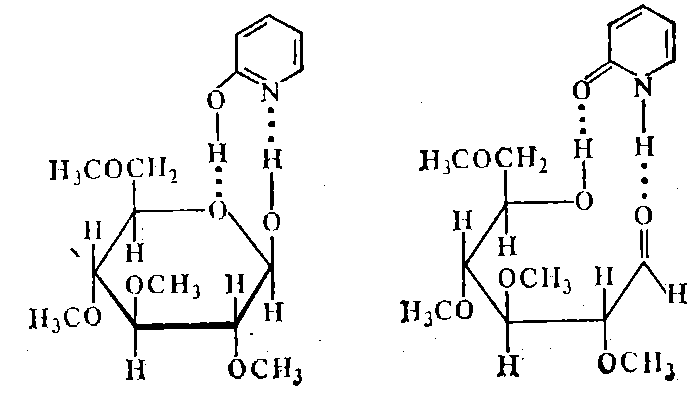
В циклическом активированном комплексе может также участвовать большое число атомов. Например, в комплексе глюкозы с α-оксипиридином

при переходе глюкозы из пиранозной формы в нециклическую синхронно разрываются четыре связи и образуются четыре новые связи. В результате этой реакции проходит мутаротация глюкозы, г. е. обращение конфигурации у первого углеродного атома. Этим объясняется сильное каталитическое действие α-оксипиридина в реакции.
Активированный комплекс одного и того же типа может реализоваться в случае как гомолитического, так и гетеролитического процесса. Например, реакции (6.3) и (6.7) идут через линейный трехцентровый активированный комплекс по типу (6.6). Однако первый процесс является гетеролитическим - связь С—I разрывается с переходом пары электрона на атом I, а новая связь С—О завязывается с участием неподеленной пары электронов ОН-. Второй процесс, наоборот, является гомолитическим — двухэлектронная связь Н—С1 образуется с участием неспаренного электрона атома Сl и одного из 1S-электронов атома Н, участвующего в образовании связи С—Н. Электронная пара, образующая эту связь, при этом разрывается и второй электрон остаётся в виде неспаренного электрона на атоме С свободного метила.
16. Окислительно - восстановительные реакции
Окислительно-восстановительные процессы принадлежат к числу наиболее распространенных химических реакций и имеют огромное значение в теории и практике. Окисление-восстановление — один из важнейших процессов природы.
Дыхание, усвоение углекислого газа растениями с выделением кислорода, обмен веществ и ряд других химических процессов в основе своей являются окислительно-восстановительными реакциями. Сжигание топлива в топках паровых котлов и двигателях внутреннего сгорания, электролитическое осаждение металлов, процессы, происходящие в гальванических элементах и аккумуляторах, включают реакции окисления-восстановления.
Получение элементарных веществ (железа, хрома, марганца, золота, серебра, серы, хлора, йода и т.д.) и ценных химических продуктов (аммиака, щёлочей, азотной, серной и других кислот) основана на окислительно-восстановительных реакциях.
Инертные газы лишь в исключительных случаях способны вступать в окислительно-восстановительные реакции.
Все окислительно-восстановительные реакции можно разделить на следующие типы:
1.Реакции межатомного и межмолекулярного окисления-восстановления -обмен электронами происходит между различными атомами, молекулами или ионами. Например, простейшие реакции соединения и замещения:
2Ca+O2 = 2CaO
2Hl+Br2 = 2HBr + I2
2Al + 3CuSO4 =Al2( SO4)3 +3Cu
Реакции диспропорционирования (самоокисления-самовосстановления ) харакктерны для соединений или простых веществ, отвечающих одному из промежуточных значений степени окисления данного элемента, например:
Cl2+2NaOH ----- NaCl +NaClO
P + H3 ----- PH3 + H3PO3
Реакции внутримолекулярного окисления-восстановления. В этих реакциях одна составная часть молекулы выполняет функцию окислителя, а другая восстановителя. Простейшими примерами таких реакций могут служить процессы термического разложения сложного вещества на более простые составные части, например
2NO2 ----- NO2 + O2 4KСlO3 ----- KСlO4 + KCl
2KСlO3 ------ 3O2 + 2KCl 2AgNO3 ----- 2Ag + 2No2 + O2
Вывод
Российскими и зарубежными учёными успешно разрабатываются и многие другие актуальные проблемы химической кинетики например, применение квантовой механики к анализу элементарного акта реакции; установление связей между строением веществ и кинетическими параметрами, характеризующими их реакционную способность; изучение кинетики и механизма конкретных сложных химических реакций с применением новейших физических экспериментальных методов и современной вычислительной техники; использование кинетических констант в инженерных расчётах в химической и нефтехимической промышленности.
Литература
Эмануэль Н.М., Кнорре Д.Г. Курс химической кинетики: Учебник для хим. фак. тов. —4-е изд., перераб. и доп. —М.>:> Высш. шк., 1984 463 с, ил.Стромберг А.Г., Семченко Д.П.
Стромберг А.Г., Семченко Д.П. Физическая химия: Учеб. для хим. спец. вузов/Под ред. А.Г.Стром-берга. - 4-е изд., испр. - М.: Высш.шк., 2001. - 527 с: ил.
Глесстон С, Лейдлер К.» Эйринг Г. Теория абсолютных скоростей реакций — М.: ИЛ, 1948, 576 с.
Бенсон С. Основы химической кинетики. — М.; Мир» 1964, 603 с.
Воеводский В. В. Физика и химия элементарных химических процессов — М.: Наука, 1969, 414 с.
Кондратьев В. Н. Константы скорости газофазных реакций. — М: Наука 1970, 351 с.
Денисов Е. Т. Константы скорости гомолитических жидкофазных реакций — М.: Наука, 1971, 711 с.
Бучаченко А. Л. Химическая поляризация электронов и ядер. — М: Наука 1974, 244 с.
Дженкс В. П. Катализ в химии и энзимологии. — М.: Мир, 1972, 467 с. Ашмор П. Катализ и ингибирование химических реакций, — М.: Мир, 1966 507 с.