Заходи щодо зменшення пестицидного навантаження на агроекосистеми
РЕФЕРАТ з агроекології
На тему: «Заходи щодо зменшення пестицидного навантаження на агроекосистеми»
Вступ
Еколого-технологічна, санітарно-гігієнічна характеристики та оцінка пестицидів. Збирання високих урожаїв сільськогосподарських культур у сучасних умовах неможливе без захисту рослин, який великою мірою визначає ефективність технологічних заходів. Є кілька методів захисту рослин: організаційно-господарський, агротехнічний, імунологічний, фізичний, механічний, біологічний, хімічний.
Провідне місце належить хімічному методу захисту, який для боротьби зі шкідливими організмами (шкідниками, інфекційними хворобами, бур'янами) передбачає застосування пестицидів.
1. Пестицидне агротехногенне навантаження
Пестициди - токсичні речовини, їх сполуки, суміші речовин хімічного чи біологічного походження, призначені для знищення, регуляції та припинення розвитку шкідливих організмів, внаслідок діяльності яких уражуються рослини, тварини, люди, завдається шкода матеріальним цінностям, а також гризунів, бур'янів, деревної, чагарникової рослинності, смітних видів риб.
За характером і механізмом дії пестициди поділяють на контактні та системні. Контактні призводять до загибелі шкідливого організму за безпосередної дії в місці нанесення (локально). Системні проникають у рослини, пересуваються по їх судинній системі і виявляють свою дію в усій рослині. Перевага їх полягає ще й у тому, що на відміну від контактних вони за правильного застосування не змиваються. Це усуває потребу повторної обробки після опадів і загалом зменшує потрапляння їх у навколишнє середовище.
Застосування пестицидів, які виявляють низку негативних властивостей, спричинює забруднення сільськогосподарської продукції, ґрун ту, водойм, загибель корисних організмів, погіршення здоров'я людини. Формування стійких популяцій шкідливих організмів знижує ефективність пестицидів, що потребує постійного їх вдосконалення.
Токсичність пестицидів - це їх здатність призводити до порушення життєдіяльності організмів людини і тварин (отруєння) або рослин (фітотоксичність).
Фітотоксичність виявляється у пригніченні рості, зміні темпів розвитку, зниженні продуктивності. Розрізняють гостру і хронічну форми фітотоксичності. За гострої спостерігаються некрози, опіки, деформації, засихання органів рослин через певний час після застосування препаратів. Хронічна зумовлена тривалою дією пестицидів, виявляється поступово, хоча й призводить до тих самих наслідків.
Розрізняють такі види отруєння:
гостре - спричинене одноразовим надходженням великої кількості отруйної речовини;
підгостре - зумовлюється надходженням меншої кількості отруйної речовини і відбувається менш інтенсивно;
хронічне - спричинене тривалим надходженням отруйної речовини в невеликих кількостях.
Для визначення ступеня небезпечності пестицидів беруть до уваги такі їх дози або концентрації:
підпорогова - максимальна кількість отруйної речовини, в разі надходження якої в живий організм не відбуваються зміни, що виходять за межі фізіологічних коливань;
порогова - мінімальна кількість отруйної речовини, що викликає зміни, які визначаються тестами, за відсутності зовнішніх ознак отруєння тварин;
токсична несмертельна - кількість отруйної речовини, яка викликає видимі ознаки отруєння, але не призводить до смерті;
токсична смертельна - кількість отруйної речовини, яка спричинює загибель тварин.
Пестициди зумовлюють й інші патогенні зміни в організмі людини та тварин:
утворення пухлин - бластомогенність (злоякісних - канце-рогенність);
мутації - мутагенність;
народження чи розвиток потвор - тератогенність;
порушення нормального розвитку зародка - ембріогенність;
алергії - алергенність.
ЛД50 (летальна доза) - середин кількість речовини в міліграмах на 1 кг живої маси, яка викликає загибель 50 % піддослідних тварин.
Критерій інгаляційної токсичності приймають за лімітуючий, якщо в разі застосування на практиці складаються умови для створення близької до розрахункової концентрації пари, рідких і твердих аерозолів препарату в повітрі робочої зони.
СК5д (середньолетальна концентрація) - кількість пестициду, яка призводить до загибелі 50 % піддослідних тварин.
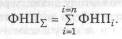
Небезпечність пестициду для людини визначають на основі порівняльної оцінки фактичної його дози (Дф), що надходить в організм людини протягом доби, та допустимої добової дози (ДДД):

де ФНП - фактичне навантаження пестициду, од.; Дф - фактична доза пестициду (формується з добових його кількостей, що надходять в організм людини з продуктами харчування, питною водою, атмосферним повітрям, середній внесок яких становить відповідно 0,7 - 0,9, 0,1 - 0,3 та 0, 03 - 0,10); ДДД - максимальна доза пестициду (мг/кг маси тіла людини), яка при щодобовому надходженні в організм людини не викликає захворювань чи порушення стану здоров'я, що виявляються сучасними методами досліджень, і не впливає негативно на наступні покоління.
Показником ДДД характеризують біологічну активність пестициду. Нижче наведено класифікацію пестицидів за значеннями ДДД:
Клас небезпечності ДДД, мг/кг маси тіла
I. Високонебезпечні До 0,002
II. Небезпечні 0,0021 - 0,005
III. Помірно небезпечні 0,0051 - 0,020
IV. Малонебезпечні Понад 0,020
Оскільки на людину одночасно може впливати кілька пестицидів, треба брати до уваги сумарну їх кількість ФНП>∑ >-:

За ФНП>∑> > 10 забруднення об'єктів навколишнього середовища високонебезпечне для людини, від 3 до 10 (включно) - небезпечне, від 1 до 3 (включно) - потенційно небезпечні;, менш як 1 – безпечне. За ФНП > 3 треба вносити зміни в систему захисту рослин, зокрема зменшувати кількість обробок, застосовувати менш небезпечні пестициди та ін.
Вміст залишкових кількостей пестицидів у продукції рослинного й тваринного походження нормують і контролюють. Для окремих пестицидів визначено максимально допустимі рівні (МДР, мг/кг продукту), щоб їх надходження в організм людини з продуктами харчування не перевищило ДДД.
На основі МДР встановлюють:
період чекання, тобто строк останньої обробки рослин пестицидами (у добах до збирання врожаю);
максимальне число обробок рослин пестицидом за сезон;
дозу препарату (кг/га, л/га).
Щоб запобігти перевищенню ДДД, встановлюють допустимі рівні вмісту пестицидів в об'єктах навколишнього середовища:
гранично допустимі концентрації пестицидів (ГДК) у повітрі робочої зони (для осіб, зайнятих роботами, пов'язаними із застосу ванням пестицидів, мг/м3), атмосферному повітрі (для всіх категорії! населення, мг/м3), воді, водойм санітарно-побутового та рибогоспо дарського призначення (мг/дм3), ґрунті (мг/кг);
до встановлення ГДК в експерименті - тимчасові розрахункові нормативи:
орієнтовно безпечні рівні впливу (ОБРВ) у повітрі робочої зони та атмосферному повітрі (мг/м3);
орієнтовно допустимі концентрації (ОДК) у воді (мг/дм3) та ґрунті (мг/кг).
Для обмеження надходження пестицидів в організм людини з повітрям та крізь шкіру встановлено строки виходу людей (діб) на оброблені пестицидами площі для виконання ручних і механізованих робіт із догляду за рослинами.
Сукупність вимог щодо зберігання, транспортування та застосування пестицидів називають регламентом. Усі відомості про регламенти і нормативи застосування окремих препаратів, які забезпечують необхідні ефективність та безпечність, наведені в «Переліку пестицидів і агрохімікатів, дозволених до використання в Україні».
0100090000037400000002001c00000000000400000003010800050000000b0200000000050000000c02020b530d040000002e0118001c000000fb029cff0000000000009001000000cc0440001254696d6573204e657720526f6d616e0000000000000000000000000000000000040000002d0100000400000002010100050000000902000000020d000000320a560b000001000400000000005b0dfd0a20082d001c000000fb021000070000000000bc02000000cc0102022253797374656d000000000000000000001800000001000000f8515102e3040000040000002d010100030000000000
Рис. 1 - Переміщення пестицидів у біосфері
Поводження пестицидів у навколишньому середовищі. Негативні наслідки хімічного методу захисту рослин зумовлені певною стійкістю пестицидів, їх здатністю мігрувати в ґрунті, воді, повітрі, біологічними ланцюгами і в зв'язку з цим - виявляти свою дію далеко за межами території, де вони були застосовані (рис. 1).
Пестициди, потрапляючи в ґрунт, з часом розкладаються під впливом біологічних процесів, які в ньому відбуваються. Інтенсивність їх розкладання визначається вмістом гумусу в ґрунті, його гранулометричним складом, водно-тепловим режимом, реакцією ґрунтового розчину, іншими ґрунтово-кліматичними чинниками. Чим вони сприятливіші для мікробіологічної діяльності, тим швидше відбувається деструкція пестицидів. Найнебезпечнішими вважають персистентні (стійкі) пестициди зі строком розкладання в ґрунті на нетоксичні компоненти понад два роки. До таких, зокрема, належать хлорорганічні сполуки (ДДТ, гексахлоран тощо), використання яких заборонене. З трьох основних (за обсягом застосування) груп пестицидів найбільш згубними для мікроорганізмів є фунгіциди, найменш згубними - гербіциди. Інсектициди найнебезпечніші для ґрунтової фауни, а з мікроорганізмів - для бактерій.
Важливим чинником, який визначає поводження пестициду в ґрунті, є його адсорбційна здатність. За високого вмісту гумусу, важкого гранулометричного складу ґрунт утримує більше пестицидів, тим самим їх міграція уповільнюється.
Видаляються пестициди з ґрунту вимиванням у ґрунтові води або поверхневим змиванням, внаслідок вивітрювання, винесення рослинами.
Пестициди, що потрапили у водойми з ґрунту та атмосфери, руйнуються, мігрують, накопичуються у водяних організмах, мулі. Інтенсивність їх руйнування визначається в основному температурою та рН води. Найнебезпечніші пестициди здатні зберігатися понад 30 діб. Для водяної фауни найбільш токсичними є інсектициди, найменш токсичними - фунгіциди; гербіциди посідають проміжне місце.
В атмосферне повітря пестициди надходять внаслідок знесення їх під час хімічних обробок посівів або внаслідок випаровування з поверхні ґрунту й рослин, а видаляються з нього фотохімічним розкладанням та з опадами.
2. Толерантність території до пестицидного навантаження
Показники, які враховують небезпечність пестицидів для фауни екосистеми, покладено в основу їх екотоксикологічної класифікації.
Т50 - період піврозпаду, тобто час, протягом якого вміст пестициду в об'єкті дослідження знижується на 50 %:

(к - константа; t - час, доба; С>0>, С>t>, - вміст пестициду, мг/кг, відповідно в початковий момент часу і час t).
k – коефіцієнт накопичення
Отже, об'єктивнішу оцінку небезпечності пестициду отримують у разі врахування обох класифікацій - токсиколого-гігієнічної та екотоксикологічної і визначення інтегрального ступеня небезпечності:

де К>А> і К>Б> - класи небезпечності пестициду відповідно за категоріями А (за токсиколого-гігієнічною класифікацією) та Б (за екотоксикологічною класифікацією).
Пестициди 1-, 2-го ступенів - особливо небезпечні; 3-го - небезпечні; 4-, 5-го - помірнонебезпечні, 6-, 7-го - малонебезпечні. Пестициди 1 - 3-го ступенів небезпечності слід застосовувати з посиленим контролем, а за можливості утримуватися від їх використання.
Токсиколого-гігієнічну й екотоксикологічну характеристики пестицидів разом з їх кількісним навантаженням на територію та інтенсивністю розкладання використовують для розрахунку потенційного рівня інтегральної небезпечності забруднення пестицидами навколишнього середовища. Порядок розрахунку наведено нижче.
1. Визначають середньовиважений інтегральний ступінь небезпечності застосовуваних пестицидів С:

де С>и1>, ..., С>и>>n> - інтегральний ступінь небезпечності окремого пестициду; m - маса окремого пестициду, кг; М - сумарна маса пестицидів, кг (М і m - розраховують за препаратом, для гранульованих - за діючою речовиною); n - кількість пестицидів.
2. Знаходять усереднене навантаження пестицидів на територію - екотоксикологічну дозу Дект, кг/га
3. Обчислюють індекс самоочищення території (ICO), який характеризує її толерантність до пестицидного навантаження.
Розподіл території України на зони ілюструє рис. 2. Зональні значення індексів ICO наведено нижче.
1. Поліська лона дерново-підзолистих типових і оглеених грунтів0,5
2. Лісостепова зона чорноземів типових і сірих лісових опідзолених ґрунтів
2.1. Західна, центральна, лівобережна низинні провінції 0,6
2.2. Лівобережна висока провінція
2.2.1. Північно-західна підпровінція 0,7
2.2.2. Східна підпровінція 0,55
3. Степова зона чорноземів звичайних і південних
3.1. Дністровсько-Дніпровська провінція 0,5
3.2. Дніпровсько-Донецька провінція 0,3
3.3. Донецька провінція 0,4
3.4. Азово-Причорноморська провінція 0,3
3.5. Кримська провінція 0,3
4. Сухостепова зона темно-каштанових і каштанових ґрунтів 0,2
5. Зона буроземних ґрунтів Українських Карпат
5.1. Передгірна провінція бурувато-підзолистих поверхнево оглеених ґрунтів 0,75
5.2. Закарпатська низинна провінція лучно-буроземних оглеених ґрунтів 0,78
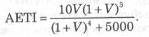
4. Визначають інтегральний показник V:

5. Розраховують агроекотоксикологічний індекс (АЕТІ):

За значення АЕТІ до 1 забруднення навколишнього середовища пестицидами малонебезпечне, від 1 до 4 - середньонебезпечне, від 4 до 7 - підвищено небезпечне, від 7 до 10 - високонебезпечне. Планувати застосування пестицидів треба так, щоб значення АЕТІ
не перевищувало 1. За АЕТІ > 1 обов'язково проводять контроль вмісту залишкових кількостей пестицидів у продукції, ґрунті, воді.
Агроекологічну оцінку пестицидів можна встановлювати й за такими показниками:
1) коефіцієнтом вибірковості дії (КВД):

(ЛД50 - мг/кг, Д - кг/га діючої речовини);
2) коефіцієнтом екологічного навантаження (КЕН):

Чим більші значення КНД і менше КЕН, тим прийнятніше пестициди.
3. Заходи щодо зменшення пестицидного навантаження на агроекосистеми
Небезпечні наслідки застосування хімічного методу захисту рослин можна знизити раціональним поєднанням з іншими методами. Сучасний підхід передбачає насамперед керування чисельністю популяцій шкідливих організмів, а не їх і нищення.
Інтегрований захист рослин - це комплексне застосування методів Для довгострокового регулювання розвитку й поширення шкідливих організмів до невідчутного господарського рівня на основі прогнозу економічного порогу шкодочинності, дії корисних організмів, енергозберігаючих і природоохоронних технологій, які забезпечать надійний захист рослин та екологічну рівновагу довкілля.
Головні принципи інтегрованого захисту рослин
1. Вжиття винищувальних заходів проти шкідливих організмів лише в разі перевищення ними чисельності економічного порогу шкодочинності (ЕІ1Ш), під яким розуміють щільність популяції шкідника чи ступінь забур'яненості посівів, за якого витрати на боротьбу з ними скуповуються збереженим урожаєм.
2. Урахування чисельності природних стримувальних чинників (корисних організмів).
3. Урахування просторового розподілу шкідливих організмів.
4. Висока агротехніка вирощування сортів сільськогосподарських культур, стійких до хвороб і шкідників.
Хімічний метод захисту рослин треба застосовувати згідно з цими принципами.
Додатково можна виділити й інші принципи і напрями підвищення безпечності хімічного методу захисту рослин, зменшення пестицидного навантаження на агроекосистему.
1. Удосконалення асортименту пестицидів і застосування тих, які характеризуються:
невисокою токсичністю для людини, теплокровних тварин, корисних організмів;
відсутністю різко виражених кумулятивних властивостей, канцерогенності, мутагенності, ембріогенності, тератогенності, алергенності;
низькою стійкістю (персистентністю) в об'єктах навколишнього середовища;
високою ефективністю проти шкідливих організмів, системною дією.
2. Вибір оптимальних способів застосування пестицидів:
протруєння насіння і садивного матеріалу;
пневмомеханічне розпилювання (зниження дози до 50 %);
обприскування полімерними препаратами (зниження дози до 20 - 50 %);
малооб'ємне (МО) та ультрамалооб'ємне (УМО) обприскування; норми витрат робочої рідини за МО становлять: для польових культур із застосуванням штангових обприскувачів - 80-135 л/га, вентиляторних - 5-50 л/га; ягідників і винограду - 200 л/га; садів - 250 - 500 л/га; за УМО норма витрати робочої рідини 0,5 - 2 л/га;
смугове і стрічкове внесення.
Проти комах і кліщів доцільно чергувати препарати з різним механізмом дії, щоб запобігти виведенню стійких популяцій і необхідності додаткових обробок.
3. Суворе дотримання регламентів (сукупності вимог) зберігання, транспортування та застосування пестицидів.
Пестициди потребуючі, спеціальних умов транспортування, виконання навантажувально-розвантажувальних робіт і зберігання. Особливість цих процесів визначається належністю пестицидів до одного з класів речовин:
1) легкозаймисті рідини (ЛЗР);
2) легкозаймисті речовини та матеріали (ЛЗМ);
3) речовини, що окислюються (ОР) й органічні пероксиди (ОП);
4) токсичні речовини (ТР), їдкі та корозійні речовини (ЇР), інші небезпечні речовини.
Зберігати пестициди можна тільки в спеціально призначених для цього складах, що відповідають СНіП 11-108-78 «Склады сухих минеральных удобрений и химических средств защиты растений» та «Нормам технологического проектирования складов твердых минеральных удобрений и пестицидов для хозяйств и пунктов химизации» (1981 р.).
Склади бувають базовими (приколійні, пришосейні, районні, міжгосподарські) та витратними (господарств, тваринницьких і птахівницьких комплексів та ін.). На базових складах для зберігання пестицидів обладнують ізольовані приміщення.
Залежно від місткості базових складів встановлено таку ширину санітарно-захисних зон, м: до 20 т - 200, від 20 до 50 т - 300, від 50 до 100 т - 400, від 100 до 300 т - 500, від 300 до 500 т - 700, понад 500 т - 1000. Ширина санітарно-захисних зон витратних складів має бути не меншою за 200 м. Майданчик для будівництва базового складу повинен мати відносно рівну поверхню з невеликим нахилом для відведення поверхневого стоку й запобігання забрудненню поверхневих і підземних вод. Глибина залягання ґрунтових вод на такій ділянці має бути не меншою за 1,5 м.
На витратних складах пестицидів мінеральні добрива слід зберігати в окремих приміщеннях. В них передбачається влаштування розчинозаправного вузла, майданчиків для протруювання насіння, знезараження тари, апаратури, засобів механізації, призначених для обробки тваринницьких і птахівницьких комплексів. Майданчики повинні мати асфальтове або бетонне покриття. Відстань між складом пестицидів, майданчиком для протруювання насіння, приміщенням для зберігання протруєного насіння, розчинозаправним вузлом, будівлями адміністративного і побутового призначення має бути не меншою як 50 м.
Зберігати пестициди на складі можна тільки після огляду приміщень органами санітарно-епідеміологічної служби та охорони навколишнього середовища і складання паспорта. Такі перевірки проводять щорічно.
Пестициди, які входять до переліку небезпечних вантажів, транспортують з урахуванням їх належності до відповідних груп:
високого ступеня небезпечності (група пакування 1) - вантажі в сталевих барабанах, бочках, спеціальних контейнерах;
середнього ступеня небезпечності (група пакування 2) - вантажі в тарі з полімерних матеріалів, дерев'яних ящиках;
низького ступеня небезпечності (група пакування 3) - вантажі в паперових мішках, картонних ящиках.
Пестициди перевозять тільки спеціально призначеними для цих цілей транспортними засобами. Вони мають бути упаковані в заводську або спеціальну міцну і добре закриту тару. Перевозити пестициди з іншими вантажами забороняється. Знезаражують транспортні засоби після перевезення пестицидів на спеціальних пунктах, і лише після цього ними можна перевозити інші вантажі крім харчових продуктів, фуражу і питної води.
Автомобільний транспорт для перевезення пестицидів підлягає паспортизації санітарно-епідеміологічною службою, він має бути справним і знезараженим, мати сигнальне забарвлення кузова і бортовий напис «Отрута». Швидкість руху транспортного засобу, що перевозить пестициди, не повинна перевищувати 40 км/год, а в разі дощу, туману чи снігопаду - 20 км/год. Забороняється перевозити пестициди за видимості до 300 м.
Застосування пестицидів
Населення, санітарно-епідеміологічна, ветеринарна служби, органи рибоохорони мають бути завчасно проінформовані про проведення хімічних обробок.
У період виконання робіт у радіусі 200 м від меж ділянок, які обробляються, мають бути попереджувальні написи. Тимчасово зберігати пестициди дозволено на спеціально виділених ділянках, які охороняються. Заборонено влаштовувати заправні майданчики, місця очищення техніки у водоохоронній зоні рибогосподарських водойм і ближче як за 200 м від місць проживання людей, тваринницьких ферм, водних джерел, місць концентрування тварин, бджіл.
Машини й апарати, призначені для застосування пестицидів, мають знаходитись у спеціально відведених місцях під накриттям або в приміщеннях. Виготовляти розчини і заправляти апаратуру треба в стаціонарних розчинових вузлах або пунктах, які мають тверде покриття і спеціальні бетоновані резервуари для збирання забрудненої води. Готувати розчини пестицидів безпосередньо в полі без засобів механізації заборонено. Забруднені пестицидами ґрунт, машини, апаратура, тара з-під пестицидів і протруєного насіння, невикористані робочі розчини, стічні води і засоби індивідуального захисту підлягають знезараженню.
Авіаційна обробка рослин пестицидами здійснюється на робочій висоті 3 - 4 м у ранкові та вечірні години за швидкості вітру не більш як 3 м/с (дрібнокраплинне обприскування) і 4 м/с (велико-краплинне) й температури повітря не вище за +22 °С. Наземне обприскування з використанням вентиляторних обприскувачів обмежується такими ж швидкостями вітру, штангових - при дрібно- і великокраплинному обприскуванні - 3 м/с. Відстань від населених пунктів, тваринницьких комплексів, місць виконання ручних робіт на посівах сільськогосподарських культур, водойм і місць відпочинку в разі застосування вентиляторних обприскувачів має бути не меншою як 600 м, штангових - не меншою як 300 м. За аерозольного способу застосування пестицидів ширина санітарно-захисної зони визначається дисперсністю крапель, а обробка посівів у цій зоні допускається за напрямку вітру від об'єкта, для якого вона встановлена. Для тепличних господарств ширина санітарно-захисної зони становить 300 м.
Вносити пестициди в ґрунт треба тільки за допомогою спеціальної апаратури. Для внесення гранульованих пестицидів заборонено використовувати туковисівні пристрої.
Обробляти пестицидами овочеві культури, продукція яких споживається у сирому вигляді, не дозволяється; дозволяється обробка їх насіння та ґрунту до появи сходів.
Навколо обробленої ділянки встановлюють попереджувальні знаки. Пасіки відвозять на відстань не менш як 5 км або ізолюють на регламентований термін.
Охорона поверхневих і підземних вод від забруднення пестицидами. Для запобігання забрудненню поверхневих вод, які використовують для централізованого господарсько-питного водопостачання, встановлюють зони санітарної охорони. В них, а також у прибережних водоохоронних зонах і на затоплюваних територіях, згідно з ГОСТ 17.1.3.04-82, не допускається:
зберігання і поховання пестицидів і забрудненої ними тари;
спорудження приміщень для миття та очищення тари, спецодягу, машин і обладнання, забруднених пестицидами;
зливання й очищення стічних вод, які містять пестициди;
зберігання і ремонт обладнання для застосування пестицидів;
влаштування й експлуатація злітно-посадкових смуг і майданчиків для заправляння обладнання пестицидами.
Транспортувати пестициди від місця зберігання до місця застосування дозволяється лише при безпосередньому їх використанні, у спеціально обладнаному транспорті. Після закінчення обробки рештки пестицидів треба вивезти для зберігання або ліквідації.
Не допускається застосування пестицидів, яке перешкоджає чи обмежує всі види водокористування, а також шкідливо впливає на навколишню флору і фауну. Внаслідок сільськогосподарського зрошення в поверхневі води не повинні потрапляти зворотні води, концентрація пестицидів у яких перевищує норму.
У прибережній водоохоронній зоні не допускається застосування пестицидів, небезпечних для гідробіонтів. Забороняється внесення пестицидів у перший смузі зони санітарної охорони джерел централізованого господарсько-питного водопостачання
Авіарозпилення пестицидів не допускається у внутрішній і проміжній смугах зони санітарної охорони джерел централізованого господарсько-питного водопостачання й обмежується в прибережних водоохоронних зонах і на затоплюваних територіях.
Неприпустимо скидати у водні об'єкти пестициди, їх рештки і відходи, пакувальні матеріали і стічні води, забруднені пестицидами, мити забруднені пестицидами тару, спецодяг, машини і обладнання в поверхневих водах, набирати воду забрудненим обладнанням.
Санітарно-захисну зону узгоджують з водоохоронною зоною.
У разі наземного обприскування посівів пестицидами ширина санітарно-захисної зони (від меж оброблюваних ділянок до водних джерел) має становити 600 м, за авіаобприскування - 1000 м (до рибогосподарських водойм - 2000 м), за внесення гранульованих препаратів - 300 м. За потреби органи санітарно-епідеміологічної служби можуть збільшувати санітарно-захисну зону у 2 - 3 рази. Ширина прибережної водоохоронної смуги малих річок - від 20 до 100 м; застосування пестицидів у ній забороняється.
5. Охорона атмосферного повітря
Відповідно до «Методичних рекомендацій по санітарній охороні атмосферного повітря від забруднення пестицидами» (МОЗ України, 1998) заборонено:
звичайне авіаційне обприскування ближче як 1000 м від житлової зони, а ультрамалооб'ємне авіаобприскування - ближче як 2000 м;
одночасна обробка посівів однотипними препаратами у межах району чи області.
Застосування пестицидів, стійких у ґрунті понад 1 міс, а у воді - 5 діб, слід обмежувати на територіях великих господарств. Великі масиви культур, які обробляють багаторазово, рекомендується розміщувати з урахуванням рози вітрів на відстані не менш як 1000 м від населених пунктів, а поблизу них вирощувати на невеликих площах культури, які не потребують багаторазових обробок. Доцільним є використання різних добавок у робочі розчини для зменшення випаровування й розпилення, гранул, мікрокапсул, урізноманітнення асортименту препаратів.
6. Охорона ґрунту
Заборонена фумігація ґрунту пестицидами І і II класів небезпечності, виливання решток робочих розчинів, промивних вод після обробки тари, спецодягу, апаратури і приміщень складів без попереднього очищення, використання більш як 2 рази протягом одного сезону пестицидів зі стійкістю в ґрунті менш як 6 міс, а пестицидів, стійких понад 6 міс, - за наявності їхніх решток після попередніх обробок. Рекомендовані способи застосування пестицидів - малооб'ємне та ультрамалооб'ємне обприскування, протруювання насіння.