Показатели качества элементарных звеньев
Министерство образования и науки Российской Федерации
Отчет
по лабораторной работе № 1
«Показатели качества элементарных звеньев»
Вариант-2
Преподаватель
Студент гр.
Екатеринбург, 2008
Вид звена:
1. Безынерционное звено
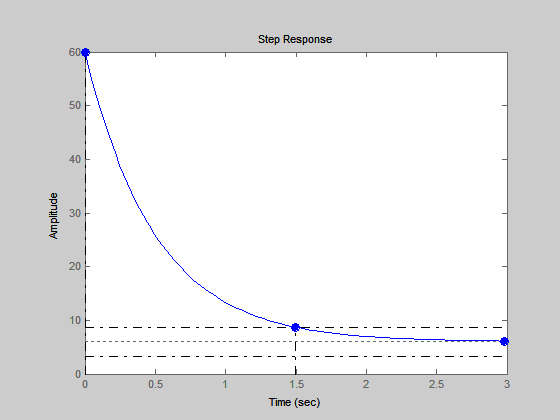
2. Апериодическое звено (Инерционное звено)
3. Реальное дифференцирующее звено
4. Колебательное звено
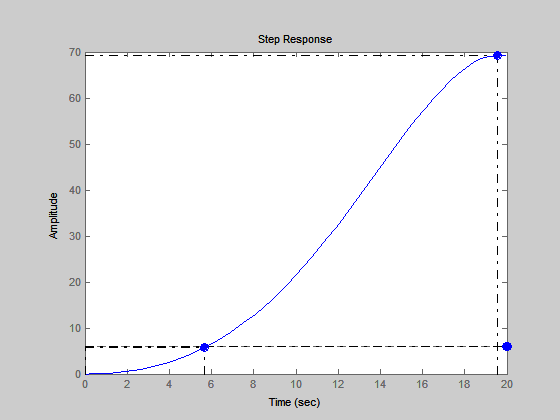
5. Интегрирующее звено
6. Неустойчивое звено первого порядка
7. Неустойчивое звено второго порядка
8. Интегро-диффиренцирующее звено
Установочные данные:
-
K
1; 6
T
0,5; 5
ξ
1,1
0,6
0,1
0
-0,1

Вычисление показателей качества:
Безынерционное звено
Уравнение динамики ->

Передаточная функция W(s) ->

a) k=1

Рис.1.а. Безынерционное звено (при k=1)
Значение показателей качества:
Время регулирования:

0
Перерегулирование:

0
Время нарастания [tн – время достижения в первый раз установившегося значения]: 0
Количество колебаний N за время регулирования tр:0
Статическая точность, установившаяся ошибка: 0
б) k=6

Рис.1.b. Безынерционное звено (при k=6)
Значение показателей качества:
Время регулирования:

0
Перерегулирование:

0
Время нарастания [tн – время достижения в первый раз установившегося значения]: 0
Количество колебаний N за время регулирования tр: 0
Статическая точность, установившаяся ошибка: 5
Апериодическое звено (Инерционное звено)
Уравнение динамики ->

Передаточная функция W(s) ->

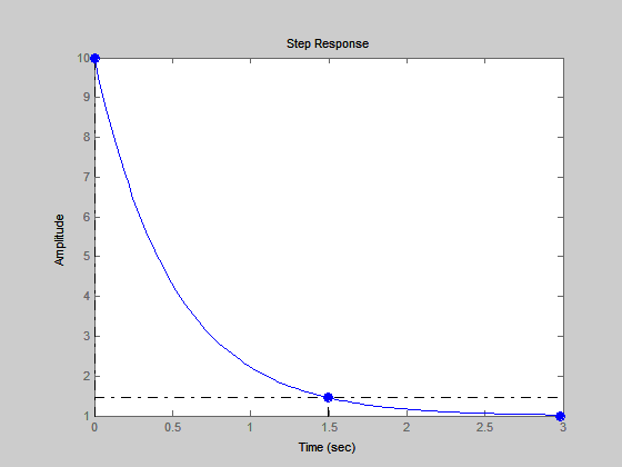
a) k=1, T=0.5

Рис.2.а. Апериодическое звено (при k=1, T=0.5)
Значение показателей качества:
Время регулирования:

1.5
Перерегулирование:

0
Время нарастания tн – время достижения в первый раз установившегося значения: 1.5
Количество колебаний N за время регулирования tр: 0
Статическая точность, установившаяся ошибка: 0.5
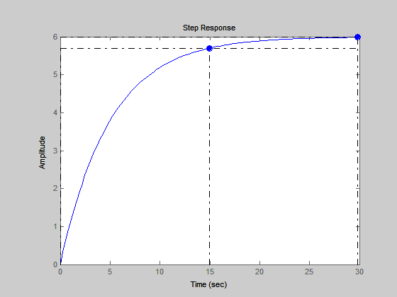
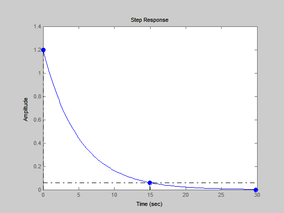
б) k=6, T=5

Рис.2.b. Апериодическое звено (при k=6, T=5)
Значение показателей качества:
Время регулирования:

15
Перерегулирование:

0
Время нарастания tн – время достижения в первый раз установившегося значения: 15
Количество колебаний N за время регулирования tр: 0
Статическая точность, установившаяся ошибка: 5
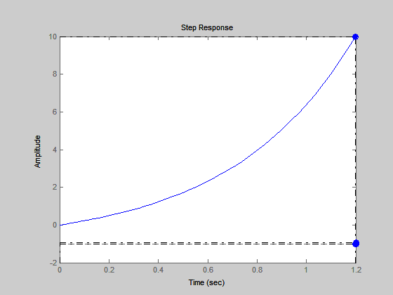
с) k=6, T=0.5

Рис.2.с. Апериодическое звено (при k=6, T=0.5)
Значение показателей качества:
Время регулирования:

1.5
Перерегулирование:

0
Время нарастания tн – время достижения в первый раз установившегося значения: 1.5
Количество колебаний N за время регулирования tр: 0
Статическая точность, установившаяся ошибка: 5
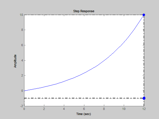
d) k=1, T=5

Рис.2.d. Апериодическое звено (при k=6, T=0.5)
Значение показателей качества:
Время регулирования:

15
Перерегулирование:

0
Время нарастания tн – время достижения в первый раз установившегося значения: 15
Количество колебаний N за время регулирования tр: 0
Статическая точность, установившаяся ошибка: 0
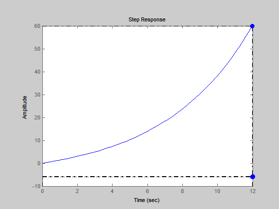
3 .Реальное дифференцирующее звено
Уравнение динамики ->

Передаточная функция W(s) ->

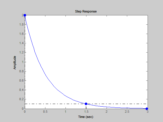
a) k=1, T=0.5

Рис.3.a. Реально дифференцирующее звено (при k=1, T=0.5)
Значение показателей качества:
Время регулирования:

1.5
Перерегулирование:

lnf
Время нарастания tн – время достижения в первый раз установившегося значения: 1.5
Количество колебаний N за время регулирования tр: 0
Статическая точность, установившаяся ошибка: -1
b) k=1, T=5

Рис.3.b. Реально дифференцирующее звено (при k=1, T=5)
Значение показателей качества:
Время регулирования:

1.5
Перерегулирование:

-7.21e+017
Время нарастания tн – время достижения в первый раз установившегося значения: 15
Количество колебаний N за время регулирования tр: 0
Статическая точность, установившаяся ошибка: (-2.78e-017)-1
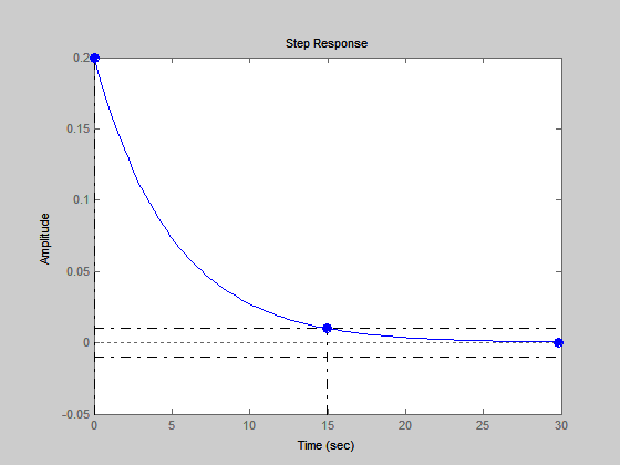
c) k=6, T=0.5

Рис.3.c. Реально дифференцирующее звено (при k=6, T=0.5)
Значение показателей качества:
Время регулирования:

1.5
Перерегулирование:

lnf
Время нарастания tн – время достижения в первый раз установившегося значения: 1.5
Количество колебаний N за время регулирования tр: 0
Статическая точность, установившаяся ошибка: -1
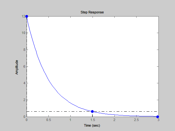
d) k=6, T=5

Рис.3.d. Реально дифференцирующее звено (при k=6, T=5)
Значение показателей качества:
Время регулирования:

15
Перерегулирование:

lnf
Время нарастания tн – время достижения в первый раз установившегося значения: 15
Количество колебаний N за время регулирования tр: 0
Статическая точность, установившаяся ошибка: -1
4. Колебательное звено:
Уравнение динамики ->

Передаточная функция W(s) ->

a) k=1, T=0.5,

Значение показателей качества
Время регулирования:

2.75

Рис.4.a. Колебательное звено (при
k=1, T=0.5
)
Перерегулирование:

0
Время нарастания tн – время достижения в первый раз установившегося значения: 2.75
Количество колебаний N за время регулирования tр: 0
Статическая точность, установившаяся ошибка: 0
b) k=1, T=0.5,

Значение показателей качества
Время регулирования:

2.61

Рис.4.b. Колебательное звено (при
k=1, T=0.5,
)
Перерегулирование:

9.47
Время нарастания tн – время достижения в первый раз установившегося значения: 1.27
Количество колебаний N за время регулирования tр: 0
Статическая точность, установившаяся ошибка: 0
c) k=1, T=0.5,

Значение показателей качества
Время регулирования:

14.5

Рис.4.c. Колебательное звено (при
k=1, T=0.5,
)
Перерегулирование:

72.9
Время нарастания tн – время достижения в первый раз установившегося значения: 0.81
Количество колебаний N за время регулирования tр: 4
Статическая точность, установившаяся ошибка: 0
d) k=1, T=0.5,

Значение показателей качества
Время регулирования:
>25
Перерегулирование:

100

Рис.4.d. Колебательное звено (при
k=1, T=0.5,
)
Время нарастания tн – время достижения в первый раз установившегося значения: 0.761
Количество колебаний N за время регулирования tр:
Установившийся режим не наступает
Статическая точность, установившаяся ошибка: 0
e) k=1, T=0.5,

Значение показателей качества
Время регулирования:
>12

Рис.4.e. Колебательное звено (при
k=1, T=0.5,
)
Перерегулирование:

912
Время нарастания tн – время достижения в первый раз установившегося значения: 0.717
Количество колебаний N за время регулирования tр:
Установившийся режим не наступает
Статическая точность, установившаяся ошибка: 0
f) k=1, T=5,

Значение показателей качества
Время регулирования:

27.5

Рис.4.f. Колебательное звено (при
k=1, T=5,
)
Перерегулирование:

0
Время нарастания tн – время достижения в первый раз установившегося значения: 27.5
Количество колебаний N за время регулирования tр: 0
Статическая точность, установившаяся ошибка: 0
g) k=1, T=5,

Значение показателей качества
Время регулирования:

26.1

Рис.4.g. Колебательное звено (при
k=1, T=5,
)
Перерегулирование:

9.47
Время нарастания tн – время достижения в первый раз установившегося значения: 12.7
Количество колебаний N за время регулирования tр: 0
Статическая точность, установившаяся ошибка: 0
h) k=1, T=5,

Значение показателей качества
Время регулирования:

145
Перерегулирование:

72.9

Рис.4.h. Колебательное звено (при
k=1, T=5,
)
Время нарастания tн – время достижения в первый раз установившегося значения: 8.1
Количество колебаний N за время регулирования tр: 4
Статическая точность, установившаяся ошибка: 0
i) k=1, T=5,

Значение показателей качества
Время регулирования:
>70

Рис.4.h. Колебательное звено (при
k=1, T=5,
)
Перерегулирование:

100
Время нарастания tн – время достижения в первый раз установившегося значения: 7.6
Количество колебаний N за время регулирования tр:
Установившийся режим не наступает
Статическая точность, установившаяся ошибка: 0
j) k=1, T=5,

Значение показателей качества
Время регулирования:
>120

Рис.4.j. Колебательное звено (при
k=1, T=5,
)
Перерегулирование:

912
Время нарастания tн – время достижения в первый раз установившегося значения: 7.17
Количество колебаний N за время регулирования tр: Установившийся режим не наступает
Статическая точность, установившаяся ошибка: 0
k) k=6, T=0.5,

Значение показателей качества
Время регулирования:

2.75

Рис.4.k. Колебательное звено (при
k=6, T=0.5,
)
Перерегулирование:

0
Время нарастания tн – время достижения в первый раз установившегося значения: 2.75
Количество колебаний N за время регулирования tр: 0
Статическая точность, установившаяся ошибка: 5
l) k=6, T=0.5,

Значение показателей качества
Время регулирования:

2.61
Перерегулирование:

9.47
Время нарастания tн – время достижения в первый раз установившегося значения: 1.27
Количество колебаний N за время регулирования tр:0
Статическая точность, установившаяся ошибка: 5

Рис.4.l. Колебательное звено (при
k=6, T=0.5,
)
m) k=6, T=0.5,


Рис.4.m. Колебательное звено (при
k=6, T=0.5,
)
Значение показателей качества
Время регулирования:

14.5
Перерегулирование:

72.9
Время нарастания tн – время достижения в первый раз установившегося значения: 0.81
Количество колебаний N за время регулирования tр: 4
Статическая точность, установившаяся ошибка: 5
n) k=6, T=0.5,


Рис.4.n. Колебательное звено (при
k=6, T=0.5,
)
Значение показателей качества
Время регулирования:
>25
Перерегулирование:

100
Время нарастания tн – время достижения в первый раз установившегося значения: 0.761
Количество колебаний N за время регулирования tр:
Установившийся режим не наступает
Статическая точность, установившаяся ошибка: 5
o) k=6, T=0.5,


Рис.4.o. Колебательное звено (при
k=6, T=0.5,
)
Значение показателей качества
Время регулирования:
>12
Перерегулирование:

912
Время нарастания tн – время достижения в первый раз установившегося значения: 0.717
Количество колебаний N за время регулирования tр:
Установившийся режим не наступает
Статическая точность, установившаяся ошибка: 5
p) k=6, T=5,


Рис.4.p. Колебательное звено (при
k=6, T=5,
)
Значение показателей качества
Время регулирования:

27.5
Перерегулирование:

0
Время нарастания tн – время достижения в первый раз установившегося значения: 27.5
Количество колебаний N за время регулирования tр: 0
Статическая точность, установившаяся ошибка: 5
q) k=6, T=5,


Рис.4.q. Колебательное звено (при
k=6, T=5,
)
Значение показателей качества
Время регулирования:

26.1
Перерегулирование:

9.47
Время нарастания tн – время достижения в первый раз установившегося значения: 12.7
Количество колебаний N за время регулирования tр: 0
Статическая точность, установившаяся ошибка: 5
r) k=6, T=5,


Рис.4.r. Колебательное звено (при
k=6, T=5,
)
Значение показателей качества
Время регулирования:

145
Перерегулирование:

72.9
Время нарастания tн – время достижения в первый раз установившегося значения: 12.7
Количество колебаний N за время регулирования tр: 4
Статическая точность, установившаяся ошибка: 5
s) k=6, T=5,


Рис.4.s. Колебательное звено (при
k=6, T=5,
)
Значение показателей качества
Время регулирования:
>70
Перерегулирование:

100
Время нарастания tн – время достижения в первый раз установившегося значения: 7.6
Количество колебаний N за время регулирования tр:
Установившийся режим не наступает
Статическая точность, установившаяся ошибка: 5
t) k=6, T=5,


Рис.4.t. Колебательное звено (при
k=6, T=5,
)
Значение показателей качества
Время регулирования:
>120
Перерегулирование:

912
Время нарастания tн – время достижения в первый раз установившегося значения: 7.17
Количество колебаний N за время регулирования tр:
Установившийся режим не наступает
Статическая точность, установившаяся ошибка: 5
Интегрирующее звено
Уравнение динамики ->

Передаточная функция W(s) ->

a) k=1

Рис.5.a. Интегрирующее звено (при k=1)
Значение показателей качества:
Время регулирования:

0
Перерегулирование:

Lnf(unstable)
Время нарастания tн – время достижения в первый раз установившегося значения: 0
Количество колебаний N за время регулирования tр: 0
Статическая точность, установившаяся ошибка: 0
b) k=6

Рис.5.b. Интегрирующее звено (при k=6)
Значение показателей качества:
Время регулирования:

0
Перерегулирование:

Lnf(unstable)
Время нарастания tн – время достижения в первый раз установившегося значения: 0
Количество колебаний N за время регулирования tр:0
Статическая точность, установившаяся ошибка: 0
Неустойчивое звено первого порядка
Уравнение динамики ->

Передаточная функция W(s) ->

a) k=1, T=0.5

Рис.6.a. Неустойчивое звено первого порядка (при k=1, T=0.5)
Значение показателей качества:
Время регулирования:
>1.2
Перерегулирование:

-1.1e+003
Время нарастания tн – время достижения в первый раз установившегося значения: >1.2
Количество колебаний N за время регулирования tр: 0
Статическая точность, установившаяся ошибка: -2
b) k=1, T=5

Рис.6.b. Неустойчивое звено первого порядка (при k=1, T=5)
Значение показателей качества:
Время регулирования:
>12
Перерегулирование:

-1.1e+003
Время нарастания tн – время достижения в первый раз установившегося значения: >12
Количество колебаний N за время регулирования tр: 0
Статическая точность, установившаяся ошибка: -2
c) k=6, T=0.5

Рис.6.c. Неустойчивое звено первого порядка (при k=6, T=0.5)
Значение показателей качества:
Время регулирования:
>1.2
Перерегулирование:

-1.1e+003
Время нарастания tн – время достижения в первый раз установившегося значения: >1.2
Количество колебаний N за время регулирования tр: 0
Статическая точность, установившаяся ошибка: -7
d) k=6, T=5

Рис.6.d. Неустойчивое звено первого порядка (при k=6, T=5)
Значение показателей качества:
Время регулирования:
>12
Перерегулирование:

-1.1e+003
Время нарастания tн – время достижения в первый раз установившегося значения: >12
Количество колебаний N за время регулирования tр: 0
Статическая точность, установившаяся ошибка: -7
Неустойчивое звено второго порядка
Уравнение динамики ->

Передаточная функция W(s) ->

a) k=1, T=0.5,


Рис.7.a. Неустойчивое звено второго
порядка (при k=1, T=0.5
)
Значение показателей качества
Время регулирования:

0.475
Перерегулирование:

368
Время нарастания tн – время достижения в первый раз установившегося значения: 0.475
Количество колебаний N за время регулирования tр: 0
Статическая точность, установившаяся ошибка: 0
b) k=1, T=0.5,


Рис.7.b. Неустойчивое звено второго
порядка (при k=1, T=0.5,
)
Значение показателей качества
Время регулирования:

2.61
Перерегулирование:

1.05e+003
Время нарастания tн – время достижения в первый раз установившегося значения: 0.567
Количество колебаний N за время регулирования tр: 0
Статическая точность, установившаяся ошибка: 0
c) k=1, T=0.5,


Рис.7.c. Неустойчивое звено второго
порядка (при k=1, T=0.5,
)
Значение показателей качества
Время регулирования:
>12
Перерегулирование:

912
Время нарастания tн – время достижения в первый раз установившегося значения: 0.717
Количество колебаний N за время регулирования tр:
Установившийся режим не наступает.
Статическая точность, установившаяся ошибка:0
d) k=1, T=0.5,


Рис.7.d. Неустойчивое звено второго
порядка (при k=1, T=0.5,
)
Значение показателей качества
Время регулирования:
>25
Перерегулирование:

100
Время нарастания tн – время достижения в первый раз установившегося значения: 0.761
Количество колебаний N за время регулирования tр:
Установившийся режим не наступает.
Статическая точность, установившаяся ошибка: 0
e) k=1, T=0.5,


Рис.7.e. Неустойчивое звено второго
порядка (при k=1, T=0.5,
)
Значение показателей качества
Время регулирования:

14.5
Перерегулирование:

72.9
Время нарастания tн – время достижения в первый раз установившегося значения: 0.81
Количество колебаний N за время регулирования tр: 4
Статическая точность, установившаяся ошибка: 0
f) k=1, T=5,


Рис.7.f. Неустойчивое звено второго
порядка (при k=1, T=5,
)
Значение показателей качества
Время регулирования:
>8
Перерегулирование:

368
Время нарастания tн – время достижения в первый раз установившегося значения: 4.75
Количество колебаний N за время регулирования tр:
Установившийся режим не наступает.
Статическая точность, установившаяся ошибка: 0
g) k=1, T=5,


Рис.7.g. Неустойчивое звено второго
порядка (при k=1, T=5,
)
Значение показателей качества
Время регулирования:
>20
Перерегулирование:

1.05e+003
Время нарастания tн – время достижения в первый раз установившегося значения: 5.67
Количество колебаний N за время регулирования tр:
Установившийся режим не наступает.
Статическая точность, установившаяся ошибка: 0
h) k=1, T=5,


Рис.7.h. Неустойчивое звено второго
порядка (при k=1, T=5,
)
Значение показателей качества
Время регулирования:
>120
Перерегулирование:

912
Время нарастания tн – время достижения в первый раз установившегося значения: 7.17
Количество колебаний N за время регулирования tр:
Установившийся режим не наступает.
Статическая точность, установившаяся ошибка: 0
i) k=1, T=5,


Рис.7.i. Неустойчивое звено второго
порядка (при k=1, T=5,
)
Значение показателей качества
Время регулирования:
>70
Перерегулирование:

100
Время нарастания tн – время достижения в первый раз установившегося значения: 7.6
Количество колебаний N за время регулирования tр:
Установившийся режим не наступает.
Статическая точность, установившаяся ошибка: 0
j) k=1, T=5,


Рис.7.j. Неустойчивое звено второго
порядка (при k=1, T=5,
)
Значение показателей качества
Время регулирования:

145
Перерегулирование:

72.9
Время нарастания tн – время достижения в первый раз установившегося значения: 8.1
Количество колебаний N за время регулирования tр: 4
Статическая точность, установившаяся ошибка: 0
k) k=6, T=0.5,


Рис.7.k. Неустойчивое звено второго
порядка (при k=6, T=0.5,
)
Значение показателей качества
Время регулирования:
>0.8
Перерегулирование:

368
Время нарастания tн – время достижения в первый раз установившегося значения: 0.475
Количество колебаний N за время регулирования tр:
Установившийся режим не наступает.
Статическая точность, установившаяся ошибка:5
l) k=6, T=0.5,


Рис.7.l. Неустойчивое звено второго
порядка звено (при k=6, T=0.5,
)
Значение показателей качества
Время регулирования:
>2
Перерегулирование:

1.05e+003
Время нарастания tн – время достижения в первый раз установившегося значения: 0.567
Количество колебаний N за время регулирования tр:
Установившийся режим не наступает.
Статическая точность, установившаяся ошибка: 5
m) k=6, T=0.5,


Рис.7.m. Неустойчивое звено второго
порядка (при k=6, T=0.5,
)
Значение показателей качества
Время регулирования:
>12
Перерегулирование:

912
Время нарастания tн – время достижения в первый раз установившегося значения: 0.717
Количество колебаний N за время регулирования tр:
Установившийся режим не наступает.
Статическая точность, установившаяся ошибка: 5
n) k=6, T=0.5,


Рис.7.n. Неустойчивое звено второго
порядка (при k=6, T=0.5,
)
Значение показателей качества
Время регулирования:
>25
Перерегулирование:

100
Время нарастания tн – время достижения в первый раз установившегося значения: 0.761
Количество колебаний N за время регулирования tр:
Установившийся режим не наступает.
Статическая точность, установившаяся ошибка: 5
o) k=6, T=0.5,


Рис.7.o. Неустойчивое звено второго
порядка (при k=6, T=0.5,
)
Значение показателей качества
Время регулирования:

14.5
Перерегулирование:

72.9
Время нарастания tн – время достижения в первый раз установившегося значения: 0.81
Количество колебаний N за время регулирования tр: 4
Статическая точность, установившаяся ошибка: 5
p) k=6, T=5,


Рис.7.p. Неустойчивое звено второго
порядка (при k=6, T=5,
)
Значение показателей качества
Время регулирования:
>8
Перерегулирование:

368
Время нарастания tн – время достижения в первый раз установившегося значения: 4.75
Количество колебаний N за время регулирования tр:
Установившийся режим не наступает.
Статическая точность, установившаяся ошибка: 5
q) k=6, T=5,


Рис.7.q. Неустойчивое звено второго
порядка (при k=6, T=5,
)
Значение показателей качества
Время регулирования:
>20
Перерегулирование:

1.05e+003
Время нарастания tн – время достижения в первый раз установившегося значения: 5.67
Количество колебаний N за время регулирования tр:
Установившийся режим не наступает.
Статическая точность, установившаяся ошибка: 5
r) k=6, T=5,


Рис.7.r. Неустойчивое звено второго
порядка (при k=6, T=5,
)
Значение показателей качества
Время регулирования:
>120
Перерегулирование:

912
Время нарастания tн – время достижения в первый раз установившегося значения: 7.17
Количество колебаний N за время регулирования tр:
Установившийся режим не наступает.
Статическая точность, установившаяся ошибка: 5
s) k=6, T=5,


Рис.7.s. Неустойчивое звено второго
порядка (при k=6, T=5,
)
Значение показателей качества
Время регулирования:
>70
Перерегулирование:

100
Время нарастания tн – время достижения в первый раз установившегося значения: 7.6
Количество колебаний N за время регулирования tр:
Установившийся режим не наступает.
Статическая точность, установившаяся ошибка: 5
t) k=6, T=5,


Рис.7.t. Неустойчивое звено второго
порядка (при k=6, T=5,
)
Значение показателей качества
Время регулирования:

145
Перерегулирование:

72.9
Время нарастания tн – время достижения в первый раз установившегося значения: 8.1
Количество колебаний N за время регулирования tр: 4
Статическая точность, установившаяся ошибка: 5
Интегро-диффиренцирующее
Уравнение динамики ->

Передаточная функция W(s) ->

a) T1=0.5; T2=5; k=1

Рис.8.a. Неустойчивое звено второго порядка (при T1=0.5; T2=5; k=1)
Значение показателей качества:
Время регулирования:

1.5
Перерегулирование:

900
Время нарастания tн – время достижения в первый раз установившегося значения: 1.5
Количество колебаний N за время регулирования tр: 0
Статическая точность, установившаяся ошибка: 0
b) T1=0.5; T2=5; k=6

Рис.8.b. Неустойчивое звено второго порядка (при T1=0.5; T2=5; k=6)
Значение показателей качества:
Время регулирования:

1.5
Перерегулирование:

900
Время нарастания tн – время достижения в первый раз установившегося значения: 1.5
Количество колебаний N за время регулирования tр: 0
Статическая точность, установившаяся ошибка: 5
c) T1=5; T2=0.5; k=1

Рис.8.c. Неустойчивое звено второго порядка (при T1=5; T2=0.5; k=1)
Значение показателей качества:
Время регулирования:

15
Перерегулирование:

0
Время нарастания tн – время достижения в первый раз установившегося значения: 15
Количество колебаний N за время регулирования tр: 0
Статическая точность, установившаяся ошибка: 0
d) T1=5; T2=0.5; k=6

Рис.8.d. Неустойчивое звено второго порядка (при T1=5; T2=0.5; k=6)
Значение показателей качества:
Время регулирования:

15
Перерегулирование:

0
Время нарастания tн – время достижения в первый раз установившегося значения: 15
Количество колебаний N за время регулирования tр: 0
Статическая точность, установившаяся ошибка: 5
Итоговая таблица:
-
Значения коэффициентов\показатели качества
Время регулирования, tp (сек)
Перерегулирование, σ (%)
Время нарастания, tн (сек)
Количество колебаний N за время регулирования tр
Установившаяся ошибка
Безынерционное звено
k=1
0
0
0
0
0
k=6
0
0
0
0
5
Вывод: С увеличением коэффициента передачи (k) возрастает установившаяся ошибка.
Апериодическое звено (Инерционное звено)
k=1, T=0.5
1.5
0
1.5
0
0.5
k=1, T=5
15
0
15
0
0
k=6, T=0.5
1.5
0
1.5
0
5
k=6, T=5
15
0
15
0
5
Вывод: С увеличением коэффициента передачи (k) увеличивается установившаяся ошибка. С ростом постоянной времени (Т) возрастает время регулирования, время нарастания.
Реальное дифференцирующее звено
k=1, T=0.5
1.5
1.5
0
-1
k=1, T=5
1.5
(-7.21e+017)
15
0
(-2.78e-017)-1
k=6, T=0.5
1.5
1.5
0
-1
k=6, T=5
15
15
0
-1
Вывод: Увеличение коэффициента передачи (k) и постоянной времени влияет на: 1. время регулирования (при k=1 и k=6 при Т=0.5 – остается неизменным; при k=1 и k=6 при Т=5 – увеличивается). 2. время нарастания (при k=1 и k=6 при Т=0.5 – остается неизменным; при k=1 и k=6 при Т=5 – не изменяется). 3. перерегулирование изменяется при увеличение постоянной времени. 4. установившаяся ошибка постоянна, за исключением значений k=1 и Т=5.
Колебательное звено
k=1, T=0.5

2.75
0
2.75
0
0
k=1, T=0.5

2.61
947
1.27
0
0
k=1, T=0.5

14.5
72.9
0.81
4
0
k=1, T=0.5

>25
100
0.761
∞
0
k=1, T=0.5

>12
912
0.717
∞
0
k=1, T=5

27.5
0
27.5
0
0
k=1, T=5

26.1
9.47
12.7
0
0
k=1, T=5

145
72.9
8.1
4
0
k=1, T=5

>70
100
7.6
∞
0
k=1, T=5

>120
912
7.17
∞
0
k=6, T=0.5

2.75
0
2.75
0
5
k=6, T=0.5

2.61
9.47
1.27
0
5
k=6, T=0.5

14.5
72.9
0.81
4
5
k=6, T=0.5

>25
100
0.761
∞
5
k=6, T=0.5

>12
912
0.717
∞
5
k=6, T=5

27.5
0
27.5
0
5
k=6, T=5

26.1
9.47
12.7
0
5
k=6, T=5

145
72.9
12.7
4
5
k=6, T=5

>70
100
7.6
∞
5
k=6, T=5

>120
912
7.17
∞
5
Вывод: В случае, когда k=1, Т=0.5, а
увеличивается – время регулирования
увеличивается до
,
а потом уменьшается. Заметно влияние
на перерегулирование. Время нарастания
уменьшается. Количество колебаний
за время регулирования увеличивается.k=1, Т=5, а
увеличивается – время регулирования
уменьшается до
,
дальше увеличивается. Перерегулирование
заметно возрастает. Время нарастания
уменьшается. Количество колебаний
за время регулирования увеличивается.k=6, T=0.5 и
увеличивается – время регулирования
уменьшается до
,
дальше увеличивается. Перерегулирование
заметно возрастает. Время нарастания
уменьшается. Количество колебаний
за время регулирования увеличивается.k=6, T=5 и
увеличивается - время регулирования
уменьшается до
,
дальше увеличивается. Перерегулирование
заметно возрастает. Время нарастания
уменьшается. Количество колебаний
за время регулирования увеличивается.При увеличении коэффициента передачи увеличивается установившаяся ошибка, время нарастания и перерегулирование остается неизменным. При увеличении постоянной времени увеличивается время нарастания, время регулирования, колебания остаются неизменными.
Интегрирующее звено
k=1
0
Lnf(unstable)
0
0
0
k=6
0
Lnf(unstable)
0
0
0
Вывод: При увеличении коэффициента передачи все значения показателей качества остаются неизменными.
Неустойчивое звено первого порядка
k=1, T=0.5
>1.2
-1.1e+003
>1.2
0
-2
k=1, T=5
>12
-1.1e+003
>12
0
-2
k=6, T=0.5
>1.2
-1.1e+003
>1.2
0
-7
k=6, T=5
>12
-1.1e+003
>12
0
-7
Вывод: При увеличении постоянной времени (Т) увеличивается время регулирования, время нарастания и перерегулирование остается постоянным.
Увеличение коэффициента передачи влияет на количество колебаний пропорционально, остальные показатели качества остаются неизменными.
Неустойчивое звено второго порядка
k=1, T=0.5

0.475
368
0.475
0
0
k=1, T=0.5

2.61
1.05e+003
0.567
0
0
k=1, T=0.5

>12
912
0.717
∞
0
k=1, T=0.5

>25
100
0.761
∞
0
k=1, T=0.5

14.5
72.9
0.81
4
0
k=1, T=5

>8
368
4.75
∞
0
k=1, T=5

>20
1.05e+003
5.67
∞
0
k=1, T=5

>120
912
7.17
∞
0
k=1, T=5

>70
100
7.6
∞
0
k=1, T=5

145
72.9
8.1
4
0
k=6, T=0.5

>0.8
368
0.475
∞
5
k=6, T=0.5

>2
1.05e+003
0.567
∞
5
k=6, T=0.5

>12
912
0.717
∞
5
k=6, T=0.5

>25
100
0.761
∞
5
k=6, T=0.5

14.5
72.9
0.81
4
5
k=6, T=5

>8
368
4.75
∞
5
k=6, T=5

>20
1.05e+003
5.67
∞
5
k=6, T=5

>120
912
7.17
∞
5
k=6, T=5

>70
100
7.6
∞
5
k=6, T=5

145
72.9
8.1
4
5
Вывод:
Интегро-диффиренцирующее звено
T1=0.5; T2=5; k=1
1.5
900
1.5
0
0
T1=0.5; T2=5; k=6
1.5
900
1.5
0
5
T1=5; T2=0.5; k=1
15
0
15
0
0
T1=5; T2=0.5; k=6
15
0
15
0
5
Вывод: