Расчет коэффициента эластичности и показателей корреляции и детерминации
МИНИСТЕРСТВО СЕЛЬСКОГО ХОЗЯЙСТВА РОССИЙСКОЙ ФЕДЕРАЦИИ
Ульяновская государственная сельскохозяйственная академия
Кафедра «Статистика и анализ хозяйственной деятельности»
Контрольная работа
по Эконометрики
Выполнил: студент 2 курса
заочного отделения «Экономического факультета»
по специальности «Финансы и кредит»
с сокращенным сроком обучения
Антонов Леонид Владимирович
Ульяновск, 2009
Задача 1
По территориям Волго-Вятского, Центрально–Черноземного и Поволжского районов известны данные о потребительских расходах в расчете на душу населения, о средней заработной плате и выплатах социального характера (табл. 1).
Таблица 1
Район |
Потребительские расходы в расчете на душу населения, руб., y |
Средняя заработная плата и выплаты социального характера, руб., x |
|
1 |
408 |
524 |
|
2 |
249 |
371 |
|
3 |
253 |
453 |
|
4 |
580 |
1006 |
|
5 |
651 |
997 |
|
6 |
322 |
486 |
|
7 |
899 |
1989 |
|
8 |
330 |
595 |
|
9 |
446 |
1550 |
|
10 |
642 |
937 |
Задание:
1. Постройте поле корреляции и сформулируйте гипотезу о форме связи.
2. Рассчитайте параметры уравнений линейной парной регрессии.
3. Оцените тесноту связи с помощью показателей корреляции и детерминации.
4. Дайте с помощью среднего (общего) коэффициента эластичности сравнительную оценку силы связи факторов с результатом.
5. Оцените с помощью средней ошибки аппроксимации качество уравнений.
6. Оцените с помощью F- критерия Фишера статистическую надежность результатов регрессионного моделирования. По значениям характеристик, рассчитанных в пп.4,5 и данном пункте, выберите лучшее уравнение регрессии и дайте его обоснование.
7. Рассчитайте прогнозное значение результата, если прогнозное значение фактора увеличится на 7 % от его среднего уровня. Определите доверительный интервал прогноза для уровня значимости, а = 0,05.
8. Оцените полученные результаты, выводы оформите в аналитической записке.
Решение:
1. Постройте поле корреляции и сформулируйте гипотезу о форме связи.

2. Рассчитайте параметры уравнений линейной парной регрессии.
|
|
y |
x |
yx |
x2 |
y2 |
ŷx |
y-ŷx |
Ai |
|
1 |
408 |
524 |
213792 |
274576 |
166464 |
356,96 |
51,04 |
12,5 |
|
2 |
249 |
371 |
92379 |
137641 |
62001 |
306,47 |
-57,47 |
23,1 |
|
3 |
253 |
453 |
114609 |
205209 |
64009 |
333,53 |
-80,53 |
31,8 |
|
4 |
580 |
1006 |
583480 |
1012036 |
336400 |
516,02 |
63,98 |
11,0 |
|
5 |
651 |
997 |
649047 |
994009 |
423801 |
513,05 |
137,95 |
21,2 |
|
6 |
322 |
486 |
156492 |
236196 |
103684 |
344,42 |
-22,42 |
7,0 |
|
7 |
899 |
1989 |
1788111 |
3956121 |
808201 |
840,41 |
58,59 |
6,5 |
|
8 |
330 |
595 |
196350 |
354025 |
108900 |
380,39 |
-50,39 |
15,3 |
|
9 |
446 |
1550 |
691300 |
2402500 |
198916 |
695,54 |
-249,54 |
56,0 |
|
10 |
642 |
937 |
601554 |
877969 |
412164 |
493,25 |
148,75 |
23,2 |
|
итого |
4780 |
8908 |
5087114 |
10450282 |
2684540 |
4780,04 |
-0,04 |
207,5 |
|
среднее значение |
478 |
890,8 |
508711,4 |
1045028,20 |
268454 |
x |
x |
20,7 |
|
σ |
199,92 |
501,50 |
x |
x |
x |
x |
x |
x |
|
σ2 |
39970,00 |
251503,56 |
x |
x |
x |
x |
x |
x |
;
.
Получено
уравнение регрессии:
.
С увеличением средняя заработная плата и выплаты социального характера на 1 руб., то потребительские расходы в расчете на душу населения возрастает в среднем на 0,33 руб.
3. Оцените тесноту связи с помощью показателей корреляции и детерминации.
Тесноту связи оценивают с помощью показателей корреляции и детерминации:
.
Коэффициент детерминации
Это означает, что 69% вариации потребительские расходы в расчете на душу населения объясняется вариацией факторов средняя заработная плата и выплаты социального характера.
4. Дайте с помощью среднего (общего) коэффициента эластичности сравнительную оценку силы связи факторов с результатом.
Коэффициент эластичности показывает, на сколько процентов измениться в среднем результат, если фактор изменится на 1%. Формула для расчета коэффициента эластичности имеет вид:
.

Таким образом, изменение средней заработной платы и выплат социального характера на 1 % приведет к увеличению потребительских расходов в расчете на душу населения на 0,615 %.
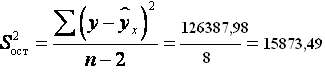
5. Оцените с помощью средней ошибки аппроксимации качество уравнений.
Качество уравнений оцените с помощью средней ошибки аппроксимации:

= 20,7%
Качество построенной модели оценивается как плохое, так как превышает 8 – 10 %.
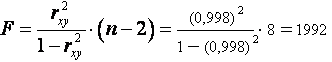
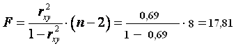
6. Оцените с помощью F- критерия Фишера статистическую надежность результатов регрессионного моделирования. По значениям характеристик, рассчитанных в пп.4,5 и данном пункте, выберите лучшее уравнение регрессии и дайте его обоснование.
Оценим
качество уравнения регрессии в целом
с помощью
-критерия
Фишера. Сосчитаем фактическое значение
-
критерия:
.
Табличное
значение (k>1>=1,
k>2>=8
)
F>табл.>=5,32.
Так как
,
то признается статистическая значимость
уравнения в целом.
Для
оценки статистической значимости
коэффициентов регрессии и корреляции
рассчитаем
-
критерий Стьюдента и доверительные
интервалы каждого из показателей.
Рассчитаем случайные ошибки параметров
линейной регрессии и коэффициента
корреляции
:
,
,
.
Фактические
значения
-
статистик:


.
Табличное
значение
-
критерия Стьюдента при
и t>табл.>=2,306.
Так как
,
t>a>
< t>табл.>
и
.
Рассчитаем
доверительные интервалы для параметров
регрессии
и
:
и
.
Получим, что и
.
7. Рассчитайте прогнозное значение результата, если прогнозное значение фактора увеличится на 7 % от его среднего уровня. Определите доверительный интервал прогноза для уровня значимости, а = 0,05.
Найдем
прогнозное значение результативного
фактора
при значении признака-фактора, составляющем
107% от среднего уровня
,
т.е. найдем потребительские расходы в
расчете на душу населения, если средняя
заработная плата и выплаты социального
характера составят 953,15 тыс. руб.
(тыс.
руб.)
Значит, если средняя заработная плата и выплаты социального характера составят 953,15 тыс. руб., то потребительские расходы в расчете на душу населения будут 498,58 тыс. руб.
Найдем доверительный интервал прогноза. Ошибка прогноза
,
а
доверительный интервал (
):
.
Т.е. прогноз является статистически не точным.
8. Оцените полученные результаты, выводы оформите в аналитической записке.
Из полученных результатов я вижу, что с увеличением средняя заработная плата и выплаты социального характера на 1 руб., то потребительские расходы в расчете на душу населения возрастает в среднем на 0,33 руб. При оценки тесноты связи с помощью показателя детерминации я выявил, что 69% вариации потребительские расходы в расчете на душу населения объясняется вариацией факторов средняя заработная плата и выплаты социального характера. С помощью коэффициент эластичности я определил, что изменение средней заработной платы и выплат социального характера на 1 % приведет к увеличению потребительских расходов в расчете на душу населения на 0,615 %. С увеличится на 7 % заработной платы и выплаты социального характера, потребительские расходы в расчете на душу населения будут равны 498,58 тыс. руб., но этот прогноз является статистически не точным.
Задача 8
По группе 10 заводов, производящих однородную продукцию, получено уравнение регрессии себестоимости единицы продукции у (тыс. руб.) от уровня технической оснащенности х (тыс. руб.):
у
= 20 +
.
Доля остаточной дисперсии в общей
составила 0,19
Задание:
Определите:
а) коэффициент эластичности, предполагая, что стоимость активных производственных фондов составляет 200 тыс. руб.
б) индекс корреляции;
в) F- критерий Фишера. Сделайте выводы.
Решение:
а) коэффициент эластичности, предполагая, что стоимость активных производственных фондов составляет 200 тыс. руб.
>х >>= 200 тыс. руб.>
.

Таким образом, изменение технической оснащенности на 1% приведет к снижению себестоимости единицы продукции на 0,149 %.
б) индекс корреляции:

Уравнение регрессии:

=
23,5/10 = 2,35




Это означает, что 99,6 % вариации себестоимости единицы продукции объясняется вариацией уровня технической оснащенности на долю прочих факторов приходится лишь 0,40%.
в) F- критерий Фишера. Сделайте выводы.

F>табл. >= 4,46
F>табл. >< F>факт>; Этот результат можно объяснить сравнительно невысокой теснотой выявленной зависимости и небольшим числом наблюдений.
Задача 13
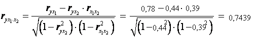
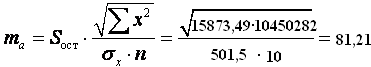
По заводам, выпускающим продукцию А, изучается зависимость потребления электроэнергии У (тыс. кВт. Ч) от производства продукции - Х>1> (тыс.ед.) и уровня механизации труда – Х>2 >(%). Данные приведены в табл.4.2.
Задание
1. Постройте уравнение множественной регрессии в стандартизованном и натуральном масштабах.
2. Определите показатели частной и множественной корреляции.
3.Найдите частные коэффициенты эластичности и сравните их с Бэтта коэффициентами.
4. Рассчитайте общие и частные F – критерии Фишера.
|
Признак |
Среднее значение |
Среднее квадратическое отклонение |
Парный коэффициент корреляции |
|
|
Y |
1050 |
28 |
r>yx1> |
0.78 |
|
X>1> |
425 |
44 |
r>yx2> |
0.44 |
|
X>2> |
42.0 |
19 |
r>x1x2> |
0.39 |
Решение:
1. Постройте уравнение множественной регрессии в стандартизованном и натуральном масштабах.
Линейное уравнение множественной регрессии у от х>1> и х>2> имеет вид:
.
Для расчета его параметров применим метод стандартизации переменных, построим искомое уравнение в стандартизованном масштабе:

Расчет - коэффициентов выполним по формулам:


Т.е. уравнение будет выглядеть следующим образом:
.
Для построения уравнения в естественной форме рассчитаем b>1> и b>2>, используя формулы для перехода от к b.


Значение a определим из соотношения:


2. Определите показатели частной и множественной корреляции.
Линейные коэффициенты частной корреляции здесь рассчитываются по рекуррентной формуле:



Если сравнить значения коэффициентов парной и частной корреляции, то приходим к выводу, что из-за слабой межфакторной связи (r>x>>1>>x>>2>=0,39) коэффициенты парной и частной корреляции отличаются значительно.
Растет
линейного коэффициента множественной
корреляции выполним с использованием
коэффициентов и
:

Зависимость у от х>1> и х>2 >характеризуется как тесная, в которой 63 % вариации потребления электроэнергии определяется вариацией учетных в модели факторов: производства продукции и уровня механизации труда. Прочие факторы, не включенные в модель, составляют соответственно 37 % от общей вариации y.
3.Найдите частные коэффициенты эластичности и сравните их с Бэтта коэффициентами.
Для характеристики относительной силы влияния х>1> и х>2> на y рассчитаем средние коэффициенты эластичности:


С увеличением производства продукции на 1 % от его среднего потребления электроэнергии возрастает на 0,29 % от своего среднего уровня; при повышении среднего уровня механизации труда на 1 % среднее потребления электроэнергии увеличивается на 0,006% от своего среднего уровня. Очевидно, что сила влияния производства продукции на среднее потребление электроэнергии оказалась больше, чем сила влияния среднего уровня механизации труда.
4. Рассчитайте общие и частные F – критерии Фишера.
Общий F-критерий проверяет гипотезу H>0> о статистической значимости уравнения регрессии и показателя тесноты связи (R2 = 0):

F>табл. >= 9,55
Сравнивая F>табл. >и F>факт.>, приходим к выводу о необходимости не отклонять гипотезу H>0> и признается статистическая незначимость, ненадежность уравнения регрессии.
Частные F-критерий – F>х1. >и F>х2> оценивают статистическую значимость присутствия факторов х>1> и х>2> в уравнении множественной регрессии, оценивают целесообразность включения в уравнение одного фактора после другого фактора, т.е. F>х1> оценивает целесообразность включения в уравнение фактора х>1 >после того, как в него был включен фактор х>2>. Соответственно F>х2 >указывает на целесообразность включения в модель фактора х>2> после фактора х>1.>
>
>

Низкое значение F>х2 >(меньше 1) свидетельствует о статистической незначимости прироста r2>yx>>1> за счет включения в модель фактора х>2 >после фактора х>1. следовательно, >подтверждается нулевая гипотеза H>0 >о нецелесообразности включения в модель фактора х>2.>
Задача 21
Модель денежного и товарного рынков:
R>t> = a>1> + b>12>Y>t> + b>14>M>t> + e>1>, (функция денежного рынка);
Y>t> = a>2> + b>21>R>t> + b>23>I>t> + b>25>G>t> + e>2> ( функция товарного рынка);
I>t> = a>3> + b>31>R>t>> >+ e>3> (функция инвестиций),
где R - процентные ставки;
Y - реальный ВВП;
M - денежная масса;
I - внутренние инвестиции;
G - реальные государственные расходы.
Решение:
R>t>
= a>1>
+ b>12>Y>t>
+ b>14>M>t>
+ e>1>,
Y>t> = a>2> + b>21>R>t> + b>23>I>t> + b>25>G>t> + e>2>
I>t> = a>3> + b>31>R>t >+ e>3>
С>t> = Y>t >+ I>t >+ G>t>
Модель представляет собой систему одновременных уравнений. Проверим каждое ее уравнение на идентификацию.
Модель
включает четыре эндогенные переменные
(R>t>,
Y>t>,
I>t>,
С>t>)
и две предопределенные переменные (
и
).
Проверим необходимое условие идентификации для каждого из уравнений модели.
Первое уравнение:
R>t> = a>1> + b>12>Y>t> + b>14>M>t> + e>1>.
Это
уравнение содержит две эндогенные
переменные
и
и одну предопределенную переменную
.
Таким образом,
,
т.е.
выполняется условие
.
Уравнение сверхидентифицируемо.
Второе уравнение:
Y>t> = a>2> + b>21>R>t> + b>23>I>t> + b>25>G>t> + e>2>.
Оно включает три эндогенные переменные Y>t>, I>t> и R>t> и одну предопределенную переменную G>t>. Выполняется условие
.
Уравнение идентифицируемо.
Третье уравнение:
I>t> = a>3> + b>31>R>t>> >+ e>3>.
Оно включает две эндогенные переменные I>t>> >и R>t>. Выполняется условие
.
Уравнение идентифицируемо.
Четвертое уравнение:
С>t> = Y>t>> >+ I>t>> >+ G>t>.
Оно представляет собой тождество, параметры которого известны. Необходимости в идентификации нет.
Проверим для каждого уравнения достаточное условие идентификации. Для этого составим матрицу коэффициентов при переменных модели.
|
|
|
R>t> |
|
|
|
|
|
I уравнение |
0 |
0 |
–1 |
b>12> |
b>14> |
0 |
|
II уравнение |
0 |
b>23> |
|
–1 |
0 |
b>25> |
|
III уравнение |
0 |
–1 |
b>31> |
0 |
0 |
0 |
|
Тождество |
–1 |
1 |
0 |
1 |
0 |
1 |
В соответствии с достаточным условием идентификации ранг матрицы коэффициентов при переменных, не входящих в исследуемое уравнение, должен быть равен числу эндогенных переменных модели без одного.
Первое уравнение. Матрица коэффициентов при переменных, не входящих в уравнение, имеет вид
|
|
R>t> |
|
|
|
|
II уравнение |
b>23> |
|
–1 |
b>25> |
|
III уравнение |
–1 |
b>31> |
0 |
0 |
|
Тождество |
1 |
0 |
1 |
1 |
Ранг
данной матрицы равен трем, так как
определитель квадратной подматрицы
не
равен нулю:
.
Достаточное условие идентификации для данного уравнения выполняется.
Второе уравнение. Матрица коэффициентов при переменных, не входящих в уравнение, имеет вид
|
|
|
R>t> |
|
|
|
|
|
I уравнение |
0 |
>0> |
–1 |
b>12> |
b>14> |
0 |
|
III уравнение |
0 |
>-1> |
b>31> |
0 |
0 |
0 |
|
Тождество |
–1 |
1 |
0 |
1 |
0 |
1 |
Ранг
данной матрицы равен трем, так как
определитель квадратной подматрицы
не
равен нулю:
.
Достаточное условие идентификации для данного уравнения выполняется.
Третье уравнение. Матрица коэффициентов при переменных, не входящих в уравнение, имеет вид
|
|
|
R>t> |
|
|
|
|
|
I уравнение |
0 |
0 |
–1 |
b>12> |
b>14> |
0 |
|
II уравнение |
0 |
b>23> |
|
–1 |
0 |
b>25> |
|
Тождество |
-1 |
1 |
0 |
1 |
0 |
1 |
Ранг
данной матрицы равен трем, так как
определитель квадратной подматрицы
не равен нулю:

Достаточное условие идентификации для данного уравнения выполняется.
Таким образом, все уравнения модели сверхидентифицируемы. Приведенная форма модели в общем виде будет выглядеть следующим образом:
R>t> = a>1> + b>11>Y>t> + b>13>M>t> + b>15>G>t> + b>16>G>t> + u>1>
Y>t> = a>2> + b>21>R>t> + b>23>I>t> + b>25>G>t> + b>26>G>t> + u> 2>
I>t> = a>3> + b>31>R>t >+ b>33>I>t> + b>35>G>t> + b>36>G>t> + u> 3>
С>t> = a>4> + b>41>R>t >+ b>43>I>t> + b>45>G>t> + b>46>G>t> + u> 4>
Задача 26
Имеются данные об урожайности культур в хозяйствах области:
|
Варианты |
Показатели |
Год |
|||||||
|
1 |
2 |
3 |
4 |
5 |
6 |
7 |
8 |
||
|
4 |
Урожайность картофеля, ц/га |
63 |
64 |
69 |
81 |
84 |
96 |
106 |
109 |
Задание:
1. Обоснуйте выбор типа уравнения тренда.
2. Рассчитайте параметры уравнения тренда.
3.Дайте прогноз урожайности культур на следующий год.
Решение:
1. Обоснуйте выбор типа уравнения тренда.

Построение аналитической функции для моделирования тенденции (тренда) временного ряда называют аналитическим выравнивание временного ряда. Для этого применяют следующие функции:
линейная

гипербола

экспонента

степенная
функция

парабола
второго и более высоких порядков

Параметры
трендов определяются обычными МНК, в
качестве независимой переменной
выступает время t=1,2,…,n,
а в качестве зависимой переменной –
фактические уровни временного ряда y>t>.
Критерием отбора наилучшей формы тренда
является наибольшее значение
скорректированного коэффициента
детерминации
.





Сравним значения R2 по разным уровням трендов:
Полиномиальный 6-й степени - R2 = 0,994
Экспоненциальный - R2 = 0,975
Линейный - R2 = 0,970
Степенной - R2 = 0,864
Логарифмический - R2 = 0,829
Исходный данные лучше всего описывает полином 6-й степени. Следовательно, для расчета прогнозных значений следует использовать полиномиальное уравнение.
2. Рассчитайте параметры уравнения тренда.

y = - 0,012*531441 + 0,292*59049 – 2,573*6561 +10,34*729 – 17,17*81 + 9,936*9 + 62,25 =
= - 6377,292 + 17242,308 – 16881,453 + 7537,86 - 1390,77 + 89,424 + 62,25 = 282,327
3.Дайте прогноз урожайности культур на следующий год.
Урожайность
картофеля, ц/га в 9-ом году приблизительно
будет 282 ц/га.




