Схема Бернуллі
Міністерство освіти і науки України
Приватний вищий навчальний заклад
Європейський університет
Запорізька філія
Контрольна робота
з дисципліни: Теорія ймовірності і математична статистика
Варіант № 5 - Схема Бернуллі
Виконав
Перевірив:
Запоріжжя,
2007р.
СХЕМА БЕРНУЛЛІ
У багатьох задачах теорії ймовірностей, статистики та повсякденної практики треба досліджувати послідовність (серію) п випробувань. Наприклад, випробування "кинуто 1000 однакових монет" можна розглядати як послідовність 1000 більш простих випробувань - "кинута одна монета". При киданні 1000 монет імовірність появи герба або надпису на одній монеті не залежить від того, що з'явиться на інших монетах. Тому можна казати, що у цьому випадку випробування повторюються 1000 разів незалежним чином.
Означення 1. Якщо усі п випробувань проводити в однакових умовах і імовірність появи події А в усіх випробуваннях однакова та не залежить від появи або непояви А в інших випробуваннях, то таку послідовність незалежних випробувань називають схемою Бернуллі.
Нехай випадкова подія А може з'явитись у кожному випробуванні з імовірністю Р(А) = р або не з'явитись з імовірністю q = Р{А) = 1 - р.
Поставимо задачу: знайти імовірність того, що при п випробуваннях подія А з'явиться т разів і не з'явиться п - т разів. Шукану імовірність позначимо Р>п>(т).
Спочатку розглянемо появу події А три рази в чотирьох випробуваннях. Можливі такі події

тобто їх
Якщо подія А з'явилася 2 рази в 4 випробуваннях, то можливі такі події


У загальному випадку, коли подія А з'являється т разів у п випробуваннях, таких складних подій буде

Обчислимо імовірність однієї складної події, наприклад,

Імовірність сумісної появи п незалежних подій дорівнює добутку ймовірностей цих подій згідно з теоремою множення ймовірностей, тобто

Кількість таких
складних
подій
і
вони несумісні.
Тому, згідно
з теоремою додавання ймовірностей
несумісних подій, маємо

Формулу (1) називають формулою Бернуллі. Вона дозволяє знаходити імовірність появи події А т разів при п випробуваннях, які утворюють схему Бернуллі.
Зауваження 1. Імовірність появи події Арп випробуваннях схеми Бернуллі менш т разів знаходять за формулою

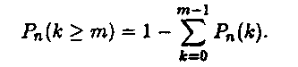
Імовірність появи події А не менше т разів можна знайти за формулою

або за формулою

Імовірність появи події А хоча б один раз у п випробуваннях доцільно знаходити за формулою

Зауваження 2. У багатьох випадках треба знаходити найбільш імовірне значення т>о> числа т появ події А. Це значення т визначається співвідношеннями

Число т>о> повинно бути цілим. Якщо (п + 1)р - ціле число, тоді найбільше значення імовірність має при двох числах

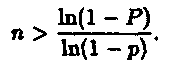
Зауваження 3. Якщо імовірність появи події А в кожному випробуванні дорівнює р, то кількість п випробувань, які необхідно здійснити, щоб з імовірністю Р можна було стверджувати, що подія А з'явиться хоча б один раз, знаходять за формулою,

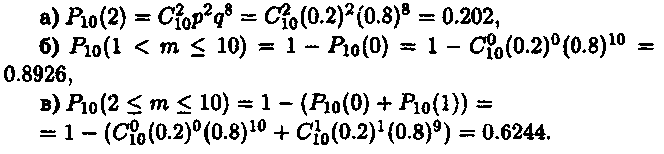
Приклад 1. Прилад складено з 10 блоків, надійність кожного з них 0.8. Блоки можуть виходити з ладу незалежно один від одного. Знайти імовірність того, що
а) відмовлять два блоки;
б) відмовить хоча б один блок;
в) відмовлять не менше двох блоків.
Розв'язання. Позначимо за подію А відмову блока. Тоді імовірність події А за умовою прикладу буде
Р(А) =р = 1-0.8 = 0.2, тому д = 1-р = 1-0.2=0.8.
Згідно з умовою задачі п = 10. Використовуючи формулу Бернуллі та Зауваження 1, одержимо

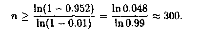
Приклад 2. За одну годину автомат виготовляє 20 деталей. За скільки годин імовірність виготовлення хоча б однієї бракованої деталі буде не менше 0.952, якщо імовірність браку будь-якої деталі дорівнює 0.01?
Розв'язання. Застосовуючи формулу (2), знайдемо спочатку таку кількість виготовлених деталей, щоб з імовірністю р = 0.952 можна було стверджувати про наявність хоча б однієї бракованої деталі, якщо імовірність браку за умовою р = 0.01


Отже, за час(годин) автомат з імовірністю 0.952 виготовить хоча б одну браковану деталь.
Приклад 3. При новому технологічному процесі 80 % усієї виготовленої продукції має найвищу якість. Знайти найбільш імовірне число виготовлених виробів найвищої якості серед 250 виготовлених виробів.
Розв'язання. Позначимо шукане число то-Згідно Зауваження
За умовою прикладу п = 250, р = 0.8, q — 0.2, тому


Але то повинно бути цілим числом, тому то = 200.
СПИСОК ВИКОРИСТАНОІ ЛІТЕРАТУРИ
Барковський В.В., Барковська Н.В., Лопатін О.К. теорія ймовірностей та математична статистика. – К.: ЦУЛ, 2002. – 448с.
Гмурман В.Е. Теория вероятностей и математическая статистика. – М.: Высшая школа, 1980.
Гмурман В.Е. Руководство к решению задач по теории вероятностей и математической статистике. – М.: Высшая школа, 1975.
Гнеденко Б.В. Курс теории вероятностей. – М.: наука, 1988.
Леоненко М.М., Мішура Ю.С. та ін. Теоретико-ймовірностні та статистичні методи в економетриці та фінансовій математиці. – К.: Інформтехніка, 1995.