Методика підготовки борців до змагань
Зміст
Вступ
1. З історії спортивної боротьби
2. Підготовка борців до змагань
2.1 Основні тенденції в методиці підготовки борців
2.2 Проблема відбору спортсменів
3. Методика тренування
3.1 Тренувальні засоби і спрямованість їх використання при вдосконаленні фізичних якостей
3.2 Основні фізичні якості борців і методика їхнього удосконалювання
4. Дослідження оптимізації тренувального процесу на підставі вивчення індивідуальних реакцій спортсменів на тренувальні навантаження
Висновки
Список літератури
Вступ
У формуванні гармонійної особистості важливе значення має фізичне виховання. Завдяки йому людина привчається свідомо впливати на стан свою здоров'я, а досягаючи успіхів у цьому, набуває ще більшої впевненості в своїх силах, стає більш активною й життєрадісною, сповнюється почуттям власної гідності.
Одним із засобів фізичного виховання є спортивна боротьба. Цей вид спорту в комплексі з іншими видами різнобічної діяльності ефективно впливає на фізичний розвиток молодої людини.
Аналіз спеціальної літератури показує, що питання, пов'язані з навчанням спортивної боротьби в загальноосвітній школі висвітлені в ній недостатньо, оскільки й сам цей навчальний предмет для неї відносно новий. У той же час організація та методика навчання й тренування, що описані у відомих навчально-методичних посібниках для дитячо-юнацьких спортивних шкіл і спеціалізованих дитячо-юнацьких шкіл олімпійського резерву, розраховані на багаторічний період підготовки юних борців з метою досягнення високої спортивної майстерності, і вони значно відрізняються від тих, що застосовуються в загальноосвітній школі на уроках фізичної культури та заняттях у борцівських секціях, основна мета яких — всебічний розвиток учнів. Шукати інші підходи змушує неоднаковість і мети занять, і програмних засобів. Хоч, звичайно, загальні риси методики навчання й виховання зберігаються.
Ріст популярності спортивної боротьби у всьому світі за останні роки не випадковий: він являється прекрасним засобом гармонійного фізичного розвитку людини і прикладної підготовки.
В даний час роль наукових та технічних досягнень в спорті настільки велика, що без процесу методики підготовки неможливі подальші успіхи в міжнародних турнірах.
Масовість олімпійських видів боротьби в нашій країні і невичерпне джерело поповнення збірних команд – національні види боротьби – дозволяють знаходити десятки висообдарованих спортсменів, які можуть піднятися до вершин спортивної майстерності. Але виховати олімпійських чемпіонів можуть тільки тренери, які наділені аналітичним розумом, невичерпною працелюбністю, які не тільки пізнали всі таємниці своєї професії, але і глибоко оволоділи останніми науковими досягненнями, можуть творчо їх осмислити і втілити в практику підготовки борців високого класу. Високі вимоги до сучасного тренера зумовлені тим, що в його роботі не може бути штампів і готових рішень, у кожній конкретній ситуації тренер на основі свого досвіду і знань приймає рішення, від яких залежить не тільки спортивний результат у найближчому змаганні, але нерідко і спортивне довголіття обдарованих молодих борців.
Узагальнений досвід підготовки кваліфікованих борців у нашій країні, а також зроблений аналіз наукових досліджень, дозволяють привести сучасну методику підготовки борців у відповідність з тими вимогами, що пред'являють міжнародні правила змагань до спортсменів. З огляду на те, що на сьогоднішній день тривалість двобоїв у всіх видах спортивної боротьби практично однакова (у дзюдо тривалість як попередніх, так і фінальних сутичок тепер складає 5 хв), подальше удосконалювання методики тренування повинне йти по шляху не збільшення обсягу підготовки, а інтенсифікації тренувальної діяльності і пошуку найбільш раціональних варіантів планування тренування.
Основна мета курсової роботи полягає у з`ясуванні особливостей методики підготовки борців до змагань, та виділенні практичних рекомендацій щодо вдосконалення методики.
Визначена мета дослідження зумовила постановку і розв’язання таких завдань:
узагальнити основні відомості щодо історичних аспектів виникнення та розвитку спортивної боротьби;
проаналізувати основні тенденції методики підготовки борців;
визначити критерії, які беруться до уваги при відборі спортсменів;
проаналізувати роль тренувальних засобів і спрямованість їх використання при вдосконаленні фізичних якостей;
проаналізувати основні фізичні якості борців;
провести дослідження оптимізації тренувального процесу.
Об’єктом дослідження є функції спортивної боротьби та значення її для здоров`я людини.
Предмет курсової роботи складає система підготовки борців до змагань.
Методологічною основою є наукові методи, що ґрунтуються на вимогах об’єктивного та всебічного аналізу фізичного виховання як складової здорового способу життя. В основу методології дослідження покладено загальнотеоретичні принципи та підходи щодо визначення функцій спортивної боротьби як одного з напрямків фізичного виховання.
З цією метою використовується ряд загальнонаукових методів діалектичного пізнання: методи аналізу і синтезу, індукції і дедукції, моделювання, абстрагування, прогнозування тощо.
У процесі розроблення проблеми використовувалися ретроспективний, формально-логічний, системного підходу, системно-функціональний, структурно-функціональний та інші методи дослідження.
Структура курсової роботи визначена метою і завданнями дослідження та включає в себе вступ, чотири розділів, висновки та список використаних джерел.
1. З історії спортивної боротьби
Спортивна боротьба як комплекс осмислених технічних і тактичних дій зародилася ще в прадавні часи й великого поширення набула вже в період рабовласницького ладу. Про це свідчать, зокрема, численні зображення сцен боротьбі на стінах єгипетської гробниці в селищі Бені - Гассан (2600 р. до н. е.), уважне вивчення яких дає змогу зробити висновок, що староєгипетська боротьба відігравала важливу прикладну роль у військовій справі й мала на озброєнні цілу систему прийомів, кінцева мета яких полягала у виконанні кидка й притискуванні суперника спиною до землі. Структура більшості прийомів, які застосовували єгиптяни, близька до складних дій сучасної спортивної боротьби.
Та все ж як засіб фізичного виховання і вид спорту боротьба особливого розвитку досягла в Стародавній Греції. Тут у палестрах - спеціальних школах фізичного виховання — підлітків і юнаків навчали боротьби досвідчені фахівці.
Надаючи великого значення боротьбі як виду спорту, її включали до системи фізичного виховання не тільки молодих, а й зрілих чоловіків, навіть досить похилого віку [4, 5].
Здобуваючи популярність, боротьба приваблювала все ширші верстви населення: від невідомих юнаків до найвидатніших філософів, поетів і державних діячів країни. Історичні джерела свідчать, наприклад, що Піфагор і Платон свого часу були відомі насамперед як прекрасні борці, переможці Олімпійських ігор. До речі, й сам той факт, що боротьба входила до програм Олімпійських ігор, свідчить про її значущість у системі фізичного виховання юнацтва в Греції.
У 648 р. до н. е. боротьба нарівні з бігом входила до програми Олімпійських ігор у вигляді панкратіона (поєднання елементів боротьби з кулачним боєм).
За тривалий період своєї еволюції грецька боротьба зазнала значних змін: від переважно силової (борці мали володіти неабиякою витривалістю, адже поєдинки були довгочасними й дозволялося діяти руками й ногами) вона прогресувала до більш технічної. Правила проведення двобою ставали конкретнішими й точнішими. Переможцем у грецькій боротьбі оголошувався той, хто більше разів кинув на землю суперника з трьох можливих спроб.
Підкреслимо ще одну особливість грецької боротьби: перед початком двобою борці змащувати тіло оливковим маслом і посипали його дрібним чистим піском. Є припущення, що тіло розтирали маслом для поліпшення еластичності й підвищення працездатності м'язів і зв'язок, а пісок застосовували для надання можливості захопити і втримати суперника.
У римлян боротьба стала одним з найбільш популярних циркових видовищ. Професіонали демонстрували її, так би мовити, в чистому вигляді, а також у поєднанні з кулачним і збройним боєм (у боях гладіаторів).
За феодального ладу в Європі, коли панівний клас германців віддавав перевагу формуванню у рицарів суто військових навичок і здібностей (уміння плавати, їздити верхи, стріляти, фехтувати), боротьба у багатьох народів стала не тільки улюбленою розвагою, а й оглядом сили та спритності. Так, жителі середньовічних міст, готуючись до вирішального двобою з рицарством, що їх постійно грабувало, включали боротьбу до програм міських турнірів, які відбувалися на площах при великій кількості глядачів. Учасників борцівських турнірів було дуже багато, і часом у колі одночасно боролися до десяти пар, які застосовували захвати руками, кидки, дії ногами — підніжки і підбивання.
У другій половині XVIII ст. в багатьох країнах Європи з метою поліпшення боєздатності армій розробляються і впроваджуються національні гімнастичні системи, до яких поряд з іншими видами фізичних вправ включається й боротьба, їй надається першорядного значення як засобу розвитку вольових і фізичних якостей.
Сучасна боротьба як вид спорту сформувалася в Європі наприкінці XVIII — на початку XIX ст. Законодавицею її основних положень стала Франція. Спочатку борці виступали поодинці, викликаючи помірятися силами бажаючих із загалу глядачів. Потім вони стали поєднуватися в пари — професіонал з професіоналом — і демонструвати свою майстерність і силу, роз'їжджаючи по провінціях. А згодом такі виступи зумовили й виникнення борцівських груп та проведення чемпіонатів міст Франції з професійної боротьби.
Ця обставина в свою чергу зумовила бурхливий розвиток у Франції любительської, суто спортивної боротьби. Збагачується її техніка, вдосконалюються правила змагань.
Чемпіонати Франції приваблюють борців з різних країн — Німеччини, Італії, Росії, Туреччини та інших — для ознайомлення з так званою французькою боротьбою А згодом іноземні борці стали проводити подібні турніри в своїх країнах, запрошуючи на них французьких колег. Таким чином, французька боротьба набула міжнародного визнання і стала поширюватися в багатьох країнах.
На Русі спортивна боротьба започаткована на основі самобутньої національної. Ще з сивої давнини вона була улюбленим і справді народним видом фізичних вправ. Про це свідчать, зокрема, історичні літописи X ст. її виникненню і розвитку сприяла життєва необхідність наших предків захищатися від набігів загарбників, відстоювати незалежність і цілісність своєї держави.
У ті часи борців вважали найкращими воїнами. Вони були основою війська. А іноді в безпосередньому поєдинку двох воїнів вирішувалася доля всієї війни. Згадаймо хоч би подію 933 p., коли печенізький князь запропонував князю Володимиру герць між двома воїнами, і перемогу своєму війську здобув молодий слов'янський селянин [4, 6].
Російській народній боротьбі були властиві способи поєдинків як "без захвату", так і "з захватом".
Борючись у перший спосіб, суперники захоплювали один одного рукою за комір і з цього положення кожен намагався здійснити кидок на землю, підбиваючи ногою ногу супротивника. При цьому способі боротьби застосовувалися й такі прийоми, як кидок через себе, через стегно, підсікання носком.
Боротьба "із захватом" велася при взаємному захоплюванні тулуба руками навхрест.
Існував на Русі і так званий московський спосіб боротьбі, при якому один суперник намагався нахилити іншого в правий бік і, підбивши носком правої його ліву ногу, звалити на землю.
Боротьбу із захватом навхрест можна вважати прообразом сучасної класичної боротьби, а без захвату — сучасної вільної. У процесі свого розвитку давньоруська народна боротьба збагачувалася такими прийомами, як: "забрати впоперек живота", "кинути з носка", "поставити на голівку", "зігнути кочергою", почати герць "колесом" тощо. Ці та інші самобутні прийоми багато в чому нагадували технічні засоби французької боротьби і тому сприяли її швидкому поширенню в Росії.
1895 р. став офіційною датою виникнення любительської спортивної боротьби в Росії. Першими нею захопилися спортсмени з петербурзького гуртка любителів важкоатлетичного спорту, організованого лікарем В. Ф. Краєвським.
Через рік борець-професіонал В. Питлясинський видав перший посібник з французької боротьби російською мовою.
Невдовзі гуртки любителів французької боротьби виникли і в Москві, Києві, Ризі та інших містах.
Подальшій популяризації французької боротьби значною мірою сприяв перший всеросійський любительський чемпіонат борців, що відбувся 1897 р. З того часу такі чемпіонати стали традиційними. Й нерідко до їхніх програм включали також зустрічі російських борців з іноземними.
У дореволюційній Росії боротьба була поширена більше, ніж інші види спорту. Значну роль у цьому відіграли виступи професіоналів.
Перший чемпіонат професіональних борців Росії відбувся в Петербурзі 1904 р. Найбільш відомими борцями-професіоналами стали три Івани: Піддубний, Заїкін, Шем'якін.
На міжнародній арені російські борці вперше досягли значного успіху, виборовши два других місця (в легкій і важкій вагових категоріях) на IV Олімпійських іграх у Лондоні 1908 р.
З 1910 р. боротьба входить до циркових програм, і майже 30 цирків стають місцем одночасного розиграшу звань чемпіона світу, Європи, Росії, Півдня Росії, Сибіру і Кавказу. Віртуозами боротьби того часу були Г. Лурих, Г. Гаккеншмідт, І. Піддубний, І. Заїкін, І. Шем'якін.
У 1912 р. Росія офіційно взяла участь в Олімпійських іграх у Стокгольмі, але десять борців, що входили до олімпійської збірної, виступили в них невдало. Лише М. Клейн посів друге місце.
У перші роки Радянської влади заняття із спортивної боротьби проводилися в клубах всевобучу. І918 р. у Петрограді був відкритий перший борцівський клуб.
У 1922 р. відбулися змагання борців класичного стилю Москви, Петрограда і міст України. А через два роки на першому чемпіонаті СРСР з класичної боротьби в Києві вже змагалися 40 борців у п'яти вагових категоріях.
З 1925 р. радянські атлети почали мірятися силами на килимі із зарубіжними борцями. На чемпіонаті СРСР 1928 p., у якому взяли участь 38 зарубіжних спортсменів, вони довели свою перевагу, вигравши загальнокомандну першість.
У тридцяті роки в спортивному товаристві "Крила Рад" (Москва) було відкрито першу секцію боротьби вільного стилю. Про цей вид боротьби було відомо лише те, що правилами спортсменам дозволялося захоплювати один одного нижче пояса і застосовувати дії ногами.
Зважаючи на схожість цього виду боротьби з деякими національними видами, поширеними в республіках Середньої Азії та Закавказзя, радянські тренери творчо розробили й класифікували технічні прийоми, створили правила змагань.
У 1937 р. було проведено першу товариську зустріч між борцями вільного стилю Москви і Ленінграда, а наступного року відбувся матч команд уже з п'яти міст країни.
Численні змагання з вільної боротьби сприяли вдосконаленню майстерності спортсменів. У передвоєнні роки молоді борці — фундатори радянської вільної боротьби С. Спиридонов і А. Ялтирян неодноразово отримували призи за високу спортивну майстерність.
У роки Великої Вітчизняної війни радянські борці мужньо билися з фашистськими загарбниками. За доблесть і героїзм багато з них удостоєні високих урядових нагород. Смертю хоробрих полягли відомі спортсмени Микола Суслов, Іван Михайловський, Григорій Пильнов, Олексій Желнін та багато інших.
У 1947 р. радянські борці стають членами Міжнародної любительської федерації боротьби (ФІЛА). І з цього часу борці класичного та вільного стилів постійно беруть участь у чемпіонатах Європи, світу, в Олімпійських іграх, успішні виступи яких піднесли популярність класичної і вільної боротьби в країні. Для об'єднання усіх осередків любителів спортивної боротьби 1959 р. було створено Федерацію боротьби СРСР.
Видатних успіхів досягли збірні команди країни на XXI і XXII Олімпійських іграх. Так, виступаючи в усіх десяти вагових категоріях на XXI Олімпіаді в Монреалі, радянські борці класичного стилю здобули сім золотих, дві срібні й одну бронзову медалі, а представники вільної боротьби привезли на Батьківщину п'ять золотих і три срібні нагороди. Таких успіхів на той час не досягла жодна команда світу з усіх існуючих видів боротьби [4, 8].
Через чотири роки в Москві, на іграх XXII Олімпіади, наші спортсмени знову підтвердили свою відмінну підготовку: борці -"класики" стали володарями п`яти золотих, двох срібних і однієї бронзової медалей, а борці вільного стилю — семи золотих, срібної і бронзової нагород.
Відомими спортсменами стають найбільш сміливі, настирливі й завзяті. Що ж спонукає хлопців оволодівати борцівськими прийомами, вступати до секцій боротьби? Насамперед природне бажання помірятися силами, виявити найспритнішого. А як це краще зробити? Звичайно, під час борцівськнх поєдинків.
Іноді доводиться спостерігати таку картину: не знаючи ані правил, ані прийомів боротьби, підлітки самотужки оволодівають окремими технічними діями, борються, як вміють.
Прагнення молодої людини до пізнання, самоствердження і самовдосконалення слід всіляко підтримувати й заохочувати, і допомогти в цьому має вчитель фізичної культури під час реалізації відповідного розділу комплексної програми Фізичного виховання як на уроках, так і під час позакласної робот.
Учні мають усвідомити, що спортивна боротьба справляє на них неабиякий вплив. Так, у герці на килимі доводиться долати опір суперника, який прагне перемогти. Але хіба можна побороти його, якщо немає сили? Боротьба розвиває цю фізичну якість. Зустрівшись із фізично сильним суперником, однією силою з ним не впоратися. Потрібна неабияка спритність. Боротьба вдосконалює й цю якість. Залежно від віку борців кожен спортивний двобій триває лише 4—6 хв (звичайно, якщо жодному з них не вдається достроково покласти суперника на лопатки). Під час поєдинку необхідно весь час атакувати, стримувати натиск суперника, долати опір. Напруження, що виникає під час двобою, може витримати лише витривалий, отож, розвивається й витривалість На розгадування задуму суперника, оцінювання обставин і прийняття необхідного рішення в поєдинку, який протікає бурхливо, у борця є лише частка секунди. Отже, йому потрібні миттєва реакція й неабияка кмітливість. Боротьба розвиває і швидкість реакції, і точність мислення.
Мінливі обставини двобою удосконалюють не тільки фізичні, а й морально-вольові якості: боягуз не зможе досягти успіху в поєдинку на борцівському килимі. Активні дії під час борцівського герцю сприяють також вихованню цілеспрямованості, наполегливості в досягненні поставленої мети, сили волі, "чоловічого характеру" і благородства [4, 10].
Навіть короткий перелік фізичних і морально-вольових якостей, умінь і навичок, розвиткові яких сприяє спортивна боротьба, свідчить про її корисність для виховання майбутнього воїна, якому, щоб оволодіти складною військовою технікою, потрібні і сила, і спритність, і витривалість, і працелюбність, і кмітливість, і вміння, не розгублюючись, знаходити правильне рішення у складній обстановці сучасного бою.
2. Підготовка борців до змагань
2.1 Основні тенденції в методиці підготовки борців
Методика підготовки спортсменів повинна цілком відповідати вимогам змагань. Змінюються правила змагань - настільки ж оперативно повинні вноситися корективи й у методику підготовки до них.
У боротьбі вільної і класичний за 30 років тривалість сутички скоротилася з 20 до 6 хв. При цьому сутичка була розбита на два періоди по 3 хв із хвилинним відпочинком, що ще більш підвищило її напруженість. У дзюдо усього лише за десятиліття тривалість фінальної сутички скоротилася з 10 до 5 хв.
Вимоги до підвищення показовості й активності спортсменів у двобоях знайшли відображення в правилах змагань з боротьби вільної, класичної і самбо. При цьому в обов'язки суддів входить активізація боротьби в сутичці. При недостатньо енергійному втіленні в життя цього пункту правил арбітр може бути відсторонений від подальшого суддівства.
Неодноразово обговорювалася проблема скорочення тривалості міжнародних турнірів з боротьби вільної, класичної з 3 днів для кожної вагової категорії (на Олімпійських іграх — 4 дні) до 1—2. Однак такі нововведення торкаються всіх сторін підготовки, тому більшість фахівців вважають їх несвоєчасними.
Сучасні правила міжнародних змагань спрямовані на інтенсифікацію змагальної діяльності. Більшість тренерів і ведучих борців світу не змогли за короткий час вирішити проблему сполучення високого темпу сутички і збереження при цьому результативності технічних дій і їхньої розмаїтості.
Найбільше успішно в нових умовах виступали спортсмени, що домоглися скорочення тривалості тактичної підготовки до виконання прийомів, а також фаз підходу, відриву (збивання). Це дозволило їм більш гнучко будувати тактику проведення сутички, тому що скорочення часу виконання ведучих фаз улюблених прийомів дає можливість ефективно виконувати їх не тільки в перші хвилини бою, але і наприкінці її, коли стомлення сповільнює відповідні дії суперника.
Іншим аспектом проблеми інтенсифікації сутички є необхідність у дуже короткий час оцінити ситуацію, "пробити" захист суперника й успішно провести улюблений прийом. Усе це вимагає рішення багатьох питань у тактику реалізації "коронних" прийомів, а також висуває необхідність розробки методики тренування, яка повною мірою відповідає новим вимогам правил змагань.
Ці тенденції були викликані не стільки правилами змагань (вони саме призивали до різнобічної техніки і видовищної боротьби), скільки голим раціоналізмом тренерів: замість творчих пошуків можливостей скоротити час підготовки складних прийомів вони попросту виключили їх з арсеналу. Але це був не кращий шлях вирішення проблеми проведення складних прийомів у рамках ліміту часу на їх підготовку. Збідніння арсеналу дозволило підвищити надійність вузького кола простих технічних прийомів, але призвело до зниження здатності вести комбінаційну боротьбу, а це утруднило реалізацію прийомів у сутичках з досвідченими суперниками.
Як бачимо, прогресивні правила міжнародних змагань пред'явили до тренерів високі і різнобічні вимоги, на які ні вони, ні вчені не змогли швидко дати правильну відповідь. За короткий час не удалося розробити вичерпних рекомендацій зі зміни методики тренування відповідно до принципово нових вимог змагань. Фахівці не припускали, що скорочення часу сутички з 9 до 6 хв потребуватиме настільки істотної перебудови методики тренування.
Треба було кілька років для того, щоб переосмислити використовувану в практиці методику тренування, внести в неї необхідні зміни, переглянути критерії добору для участі у відповідальних внутрішньосоюзних і міжнародних турнірах [12, 5].
Чемпіонат світу 1985 р. у цьому плані став поворотним пунктом. Він показав, що спортсмени і тренери серйозно зайнялися пошуком резервів проведення прийомів, високо оцінюваних суддями (3—4 бали). Усе більше число спортсменів у класичній боротьбі демонстрували кидки прогином і через спину в стійці, кидки прогином захватом тулуба ззаду чи зворотнім захопленням тулуба в партері. У вільній боротьбі все частіше в стійці проводилися кидки через плече (млин), кидки через спину, неодноразово робилися спроби виконання кидка прогином захопленням руки і тулуба. У партері, крім перевороту накатом, спортсмени всі частіше прибігали до інших різноманітних переворотів — захопленням руки на ключ, перехресним захопленням гомілок, захопленням стегна і шиї і т.п. І це не надбання окремих спортсменів, а масове явище, що дозволяє сподіватися, що ліміт часу при підготовці прийомів в сутичці вже не сковує творчість, не звужує технічний арсенал до примітивізму.
Таким чином, у рішенні принципів активності і показовості в класичній і вільній боротьбі намітилася визначена позитивна тенденція, що може бути реалізована.
М. Ерциган (1986) вважає, що для підвищення майстерності ведучих борців національних збірних команд (ефективне проведення прийомів у змаганнях у високому темпі) необхідно переглянути роботу насамперед з юнаками і молоддю, скорочуючи при навчанні час підготовки кидків. Це можливо лише при вивченні і вдосконаленню складних технічних дій у сполученні з декількома варіантами підготовчих дій, а також при включенні цих прийомів до комбінації з помилковими атаками й іншими прийомами.
Варто враховувати, що для освоєння комбінаційного стилю потрібно 3—4 роки, у той час як освоєння переводів і переворотів накатом у класичній боротьбі, переводів захопленням однієї чи двох ніг у стійці і 1—2 перевороти у партері у вільної досить для відносно швидкого досягнення успіхів у групі юнаків і молоді. Але перебудувати виступ таких борців на використання комбінаційного стилю в групі дорослих практично неможливо, тому що вони не мають "школи", тобто необхідного набору технічних дій, що дозволяє комбінувати їх у сутичці. Таким чином, легкість досягнення високих результатів у юнацькі роки потім обертається невиправними втратами в групі дорослих.
Якщо у вільній і класичній боротьбі недоліки в технічній підготовленості якоюсь мірою можуть бути заповнені високою спеціальною фізичною підготовленістю, то в дзюдо це практично неможливо. Таким чином, відставання в розмаїтості й ефективності технічного арсеналу дзюдоїстів не дозволяє розраховувати на переконливі перемоги в командному заліку на чемпіонатах світу і на завоювання золотих медалей на Олімпійських іграх.
Досвід роботи ведучих тренерів країни свідчить, що в підготовці обдарованих дзюдоїстів не слід копіювати техніку кращих японських спортсменів. Необхідно освоювати арсенал прийомів, біомеханічна структура яких цілком відповідає індивідуальним особливостям борців.
Це дозволяє створювати еталонну техніку виконання окремих прийомів. У відповідності з цим принципом формувався технічний арсенал чемпіона світу 1975 р. і Олімпіади 1976 р. В. Невзорова, чемпіона світу 1985 р. Ю. Соколова.
Якщо до 1976 р. основним резервом росту майстерності борців було підвищення обсягу тренувального навантаження, то в даний час цей показник втратив ведуче значення.
У видах спорту з циклічною структурою (легка атлетика, плавання й ін.) даний процес завершився вже в 70-і роки, тому що подальший механічний ріст обсягу не приводив до підвищення результатів.
Перехід більшості ведучих борців країни до кінця 80-х років на триразові тренування протягом дня практично вичерпав резерви подальшого підвищення обсягу навантаження. Крім того, до цього часу стали очевидні і деякі негативні сторони використання великого обсягу тренувальної роботи: уповільнення темпів росту швидкісно-силової підготовленості, підвищення небезпеки перенапруги серцево-судинної і нервово-м'язової систем, травми опорно-рухового апарата. Усе це веде до скорочення термінів збереження вищих спортивних досягнень у результаті вичерпання адаптаційних можливостей організму.
Акцент у підготовці змістився на інтенсивність. Про цьому дуже точно сказав відомий фахівець з легкої атлетики Тоні Нетт: "Убиває не дистанція, а темп". Сам по собі обсяг формує лише першу, базову, ступінь підготовки, після чого потрібно використання тренувальних режимів, близьких по інтенсивності і структурі засобів до змагальної діяльності. Інтенсифікація підготовки відбулася не тільки в боротьбі, але й в інших видах спорту.
До кінця 80-х років у теорії спортивної боротьби нагромадилася настільки велика кількість фактичного матеріалу, що осмислити його без застосування методів теорії керування виявилося нерозв'язною задачею. Тому на кафедрі боротьби ГЦОЛІФК під керівництвом Г. С. Туманяна й у відділі спортивних єдиноборств ВНІІФК. під керівництвом А. А. Новикова почалися інтенсивні розробки питань навчання і тренування з використанням сучасних методів, а також створення діагностичних комплексів і тренажерних стендів, що дозволяють оцінити основні сторони підготовленості борців у процесі змагальної і тренувальної діяльності. Особливо пильна увага зверталася на оцінку адаптаційних резервів ведучих борців при підготовці до відповідальних змагань і розробку модельних характеристик підготовленості з метою своєчасної корекції тренувального процесу.
Це дозволило переглянути окремі положення теорії і методики тренування в зв'язку з інтенсифікацією змагальної діяльності. Більшість фахівців прийшли до висновку про необхідність розробки системи управління підготовкою висококваліфікованих борців. Основою розроблювальної системи є усунення неузгодженостей між модельними показниками і поточними характеристиками на рівні змазань, різних сторін підготовленості і психофізіологічного стану. Були зроблені лише перші кроки в створенні трирівневої функціональної системи керування [12, 8].
Можна припустити, що формування стилю боротьби, на основі генетично обумовленої схильності до розвитку окремих фізичних якостей і функціональних можливостей, дозволить спрямовано впливати на учбово-тренувальний процес.
Саме розвиток ведучих якостей робить спортсмена яскравою особистістю в спорті. Тому необхідно прагнути до індивідуалізації підготовки юних борців уже на 2— 3 -му році навчання, розділяючи їх по схильності до згасання активності суперника за допомогою техніки, швидкісно-вольових якостей чи темпу. Це дозволяє вибірково впливати на окремі сторони підготовленості таким чином, щоб поряд з "школою" забезпечити формування стилю боротьби, який найбільш відповідає здібностям спортсмена. В ідеальному випадку результатом такої підготовки може бути формування борців, що сполучать ефективну і різноманітну техніку з високим рівнем витривалості.
При переході в групу юніорів індивідуалізація підготовки повинна проводитися ще більш цілеспрямовано, тому що нав'язування навіть дуже обдарованому спортсмену стилю певного виду діяльності, не властивого його схильності, приводить до виховання пересічного борця, не здатного до високих досягнень.
У фізичній підготовці борців вищих розрядів в останні роки все більша увага приділяється удосконалюванню швидкісно-силових якостей і спеціальної витривалості. При цьому ведуча роль належить спеціально підготовчим вправам і засобам власне боротьби, серед яких виділяються тренувальні сутички різного характеру. На етапах передзмагальної підготовки загально розвиваючі засоби використовуються переважно з метою переключення й активного відпочинку, практично втрачаючи розвиваючий характер. Їхнє значення достатнє велике лише на підготовчому періоді й у тренуванні юних борців.
Розробка тренажерів, що дозволяють удосконалювати ведучі ланки улюблених прийомів, що визначають результативність спортсмена в турнірі, у боротьбі почата відносно недавно. Але вже перші результати, отримані на тренажері конструкції В. А. Мороза, показують їх велику перспективність. Подібні установки дозволяють сполучати швидкісно-силову підготовку з розвитком силової витривалості в специфічних умовах. Тим самим досягнутий рівень швидкісно-силової підготовленості найбільш повно реалізується при проведенні прийомів, чого неможливо домогтися при використанні традиційних вправ зі штангою і гирями.
На початку 80-х років у теорії спортивного тренування були переосмислені багато положень, що вважалися раніше непорушними. Установлено, що традиційний підхід до виборчого розвитку окремих якостей у висококваліфікованих спортсменів засобами загальнофізичної підготовки зручний лише для теоретичного аналізу. На практиці тренери зіткнулися з великими труднощами при реалізації досягнутого приросту швидкості, сили чи витривалості в специфічних умовах. Так, після 2—3-місячні підготовки з обтяженнями метальникам був потрібно тривалий час, щоб поліпшити результати у вправах.
Вивчення цих факторів дозволило прийти до наступного висновку: чим вище рівень підготовленості спортсменів, тим більше спеціалізованою повинна бути їхня підготовка. При цьому в окремих випадках прогрес у видах спорту, що вимагають високої витривалості, залежить від швидкісно-силової підготовленості. Було встановлено, що рівень максимального споживання кисню (МСК) у найсильніших бігунів 30-х років і сучасних спортсменів відрізняється незначно, у той час як результати в сучасних бігунів незрівнянно вищі.
Аналіз підготовки видатних спортсменів світу дозволив зробити висновок, що на визначеному етапі роботи над витривалістю прогрес результатів залежить від ефективності швидкісно-силової роботи, тому що підняти рівень споживання кисню значно вище досягнутого рівня практично неможливо.
У боротьбі, як і в інших видах спорту, на передзмагальних етапах найбільш ефективна централізована підготовка в умовах конкуренції близьких за рівнем майстерності спортсменів. У цьому випадку в сутичках змагального характеру великі фізичні навантаження сполучаються зі значною емоційною напругою, що приводить до більш занчного стомлення, стимулюючи адаптаційні процеси в період відновлення працездатності.
На заключних етапах передзмагальної підготовки ведучим борцям потрібно виконати великий обсяг роботи з удосконалювання технічних дій в умовах, наближених до змагальних. З цією метою підбираються спаринги-партнери, здатні відтворити манеру боротьби і технічний арсенал основних суперників [12, 11].
Позитивний ефект приносять і міжнародні учбово-тренувальні збори. Постійне підвищення вимог до спеціальної витривалості борців вищих розрядів привело до значного росту тренувальних навантажень у їхній підготовці. Практичний досвід показує, що недостатній облік особливостей адаптації окремих обдарованих борців до навантажень різної спрямованості не дозволяє цілком реалізувати їхні потенційні можливості в змаганнях. При підготовці борців високого класу недостатньо враховувати загальні закономірності побудови навантажень на етапах передзмагальної підготовки. Необхідна індивідуалізація окремих параметрів навантажень у річному циклі і при плануванні багаторічної підготовки. Доводиться рахуватися з тим, що до результатів чемпіонату світу, Олімпійських ігор спортсмени приходять різними, найбільш прийнятними саме для них шляхами. Використання в роботі з талановитими борцями стандартних, устояних форм організації і методів підготовки в кращому випадку затримує їх спортивний ріст, але найчастіше приводить до передчасного зниження результатів.
Борцям з високими координаційними здібностями, що має на озброєнні велику кількість складних технічних дій, не слід планувати великі обсяги тренувальної роботи, спрямовані на розвиток витривалості. Як правило, це не сприяє досягненню рекордних для них показників витривалості, але негативно впливає на технічну майстерність і швидкісно-силову підготовленість. У результаті виявляється, що спортсмен після тривалої напруженої підготовки не в змозі приборкати активність суперників високим темпом (у нього і не було необхідних задатків до формування цього стилю боротьби), до того ж утрачає здатність вигравати за рахунок різноманітної техніки.
Іноді намагаються борця, що перемагає за рахунок високого темпу проведення сутичок, але який не володіє простими технічними діями, змусити змінити стиль своєї діяльності, використовуючи великий обсяг засобів швидкісно-силової підготовки й удосконалюючи складні в координаційному відношенні прийоми. Як правило, нав'язаний спортсмену стиль діяльності, до якого в нього немає схильності, не дозволяє цілком розкрити його потенційні можливості. Спроби переробки стилю борців пов'язані також з несприятливими змінами функціонального стану й імунітету [50]. У майстрів спорту і майстрів міжнародного класу можна підвищити рівень розвитку відстаючих фізичних якостей до оптимального, якщо це відставання заважає реалізації технічного потенціалу спортсмена. Але основна установка в підготовці борців вищих розрядів — акцентоване удосконалювання ведучих сторін підготовленості і фізичних якостей, що забезпечують їх реалізації. Тільки в такий спосіб можна виховати яскраву індивідуальність, здатну саме в силу своїх особливостей вигравати в самих відповідальних змаганнях.
При аналізі результатів участі борців у змаганнях, особливо невдалих, основна увага часто приділяється недолікам у морально-вольовій підготовці. Таке трактування усуває детальний аналіз передзмагальної підготовки і річного циклу в цілому. Тим часом існують об'єктивні критерії, за якими можна пердбачити імовірність і умови досягнення успіху. Це, насамперед, надійність тактико-технічних дій у сутичках, обумовлена відношенням кількості оцінених прийомів до суми оцінених прийомів і реальних спроб до їхнього проведення. Це інтегральний показник готовності до реалізації тактико-технічного потенціалу, тому що він відбиває рівень спеціальної працездатності і техніко-тактичної підготовленості.
З факторів, які недостатньо обговорені у спортивній літературі, на думку Б. А. Вяткіна [14], варто виділити силу нервової системи по збудженню, а також порушення в гормональному статусі організму у відповідь на ситуацію змагань.
Для спортсменів зі слабкою нервовою системою (за силою збудження) фізичне навантаження в процесі змагань виявляється меншим за силою стресором, чим психічне. Якщо установка тренера на досягнення результату в конкретному змаганні істотно розходиться з реальними можливостями спортсмена, то борець виявляється нездатним мобілізуватися для досягнення завищеного результату. В цьому випадку вірогідна оцінка спортсменом неможливості виконання поставленої задачі є основною причиною стресу, що практично виключає досягнення навіть реального на даному етапі результату.
Зниження результатів у спортсменів зі слабкою нервовою системою в умовах змагань, у порівнянні з тренувальними, Б. А. Вяткін пояснює неузгодженістю функцій під впливом стресу і погіршенням у результаті цього керування нервово-м'язовою системою. У той же час у "сильних" спортсменів в умовах змагань здатність до диференціювання м'язових скорочень поліпшується, що приводить до підвищення якості виконання технічних дій.
Детальні дослідження впливу умов змагань на успіх діяльності показали, що в кожного спортсмена єіндивідуальний поріг стресу, вище якого досягнення погіршуються незалежно від типу нервової діяльності. У сприятливих умовах високих результатів можуть домогтися і борці зі слабкою по збудженню нервовою системою.
Комплексне вивчення ступеня психічної напруги у відповідальних змаганнях дозволяє розробити конкретні рекомендації з психорегуляції передстартового стану і прогнозувати поведінку борця у відповідальних зустрічах, а не відсівати борців зі слабкою нервовою системою як нездатних до досягнення високих результатів. При обліку в підготовці індивідуальних особливостей "слабких" вони здатні перемагати в турнірах найвищого рангу. Тому тренер повинен добре представляти типологічні особливості спортсменів і вміло керувати поведінкою борців у змаганнях [12, 16].
До підготовки ведучих борців варто залучати фахівців в області психодіагностики і психорегуляції. Прийомами останньої повинні володіти тренери і спортсмени. Це дозволить легко справлятися з виконанням самих напружених тренувальних програм і буде сприяти збереженню нервової енергії в умовах змагань.
Необхідним елементом багаторічної підготовки борців є організація ефективних відновних заходів. Тому що більшість спеціалізованих спортивних баз має добре обладнані відбудовні центри, тренер повинний разом з лікарем планувати для своїх учнів засоби педагогічного і медико-біологічного впливу, знати індивідуальні показання для їхнього застосування.
У підготовці борців вищих розрядів беруть участь фахівці різного профілю. Але керувати цією роботою і поєднувати їх зусилля повинен тренер, відповідальний за всі аспекти підготовки. Якщо він здатний плідно використовувати у своїй роботі не тільки нові організаційні форми, але й останні науково-технічні досягнення, то кращі його учні будуть перемагати на міжнародних змаганнях.
2.2 Проблема відбору спортсменів
Характерною рисою сучасного спорту є не уклонний ріст спортивних досягнень і значне його омолодження. Це вимагає від фахівців пошуку нових шляхів підвищення ефективності багаторічної підготовки. Одним з факторів, що визначають якість учбово-тренувального процесу, є відбір і спортивна орієнтація. Незважаючи на увагу, що приділяється цій проблемі, що існують у даний час форми і методи відбору і спортивної орієнтації далекі від досконалості. Тому ще не рідкі, на жаль, помилки, чреваті негативними наслідками не тільки спортивного, але й економічного, етичного і виховного характеру.
Саме в процесі відбору, на думку Р. Е. Мотилянської (1966), можна виявити ті відстаючі ланки в загальній характеристиці спортсмена, що навіть при безсумнівних задатках моторної обдарованості можуть у майбутньому перешкоджати досягненню високих спортивних результатів, якщо їх вчасно не усунути шляхом відповідних педагогічних чи медичних впливів.
Спортивний відбір повинен ґрунтуватися на вимогах конкретного виду спорту, пропонованих для спортсменів.
Аналіз тренувальної діяльності борців дозволяє стверджувати, що спортивна боротьба вимагає від спортсменів насамперед високих координаційних здібностей і схильності до розвитку основних фізичних якостей — витривалості, швидкості і сили. У той же час рівень гнучкості не визначає процес спортивних результатів борців.
Фізична якість швидкість ефективно розвивається лише до 15 років. В наступні роки удосконалювання технічної майстерності борців швидкість виконання прийомів підвищується в основному за рахунок освоєння раціональної техніки і збільшення абсолютної сили.
Ріст спеціальної витривалості обмежений генетично обумовленою продуктивністю дихання: максимальне споживання кисню, на думку більшості дослідників, зростає лише на 15—20 %, тому основний резерв зростання витривалості борців полягає в удосконалюванні техніки і підвищенні периферичного кровотоку, а також більш ефективному використанні кисню в тканинах.
У той же час при доборі дітей для занять спортивною боротьбою ідеальним, на думку Г. С. Туманяна, є вивчення не показників, що проявляються зовні (сила, швидкість і т.п.), а реальних характеристик і механізмів, що визначають конституційні дані і рухові можливості.
Тому велике значення при відборі для занять боротьбою приділяється комплексу психофізіологічних якостей, які тренери характеризують як бійцівський характер: безстрашність у сутичках з більш сильними суперниками, здатність боротися за перемогу до останніх секунд сутички. Саме спортсмени, що володіють бійцівським характером, домагаються найбільш високих результатів у єдиноборствах, навіть якщо вихідний рівень їхньої фізичної підготовленості недостатньо високий.
У боротьбі критерії добору, на думку Г. С. Туманяна, повинні застосовуватися на наступних етапах: при відборі юнаків у секції; при відборі кандидатів у збірні команди країни, при відборі ведучих спортсменів для участі в міжнародних турнірах.
Як показує практичний досвід, у секції боротьби необхідно приймати всіх бажаючих, що не мають відхилень у здоров'ї і фізичному розвитку. Вік підлітків повинний бути. у межах 10 - 12 років, у виключних випадках 9 років. Різниця у віці в одній групі не повинна перевищувати 2 роки [12, 182].
Протягом 3 - 4 місяців спостерігається найбільше відсівання — до 40 - 50 % всіх бажаючих. Обумовлено це тим, що підлітки стикаються з труднощами, до яких вони не звикли в повсякденному житті. Крім того, до кінця 3-го місяця занять зростає тренувальне навантаження і з'являються елементи змагальної діяльності, що підвищує вимоги до психіки спортсменів. Слід зазначити, що першими, як правило, залишають килим хлопці зі слабким типом нервової системи, хоча саме вони найбільш здатні до оволодіння складними технічними прийомами. Потім ідуть фізично слабкі хлопчики, для яких тренувальне навантаження виявляється надмірно великою. І останніми перестають тренуватися хлопці, нервова система яких не справляється із навантаженням.
Тому очевидна шкода планомірному відбору наносить передчасне використання напружених тренувань і участь у змаганнях недостатньо підготовлених підлітків, для яких сутички є надмірним психічним навантаженням.
Спортивний талант у ранньому віці відшукати украй важко, оскільки необхідно враховувати особливості перетворення дитини в дорослу людину. Нерідко акселератів помилково приймають за більш здатних і зараховують у навчальні групи, а підлітків з уповільненим розвитком – ретардантів – не приймають взагалі. Варто також враховувати, що швидкий ріст спортивних досягнень на початкових етапах тренування не гарантує високих результатів на етапах спортивного удосконалювання і високої спортивної майстерності.
Прогнозування спортивних досягнень підлітків у боротьбі ускладнюється спотвореннями, які характерні для періоду статевого дозрівання (випередження чи відставання фізичного розвитку від паспортного віку), а також динамікою мотивації до напружених тренувань і змагань під впливом біологічних, духовних і соціальних факторів. Тому на першому етапі відбору практично нема рації намагатися прогнозувати результати спортсмена при переході його в групу дорослих.
Щоб уникнути грубих помилок доцільно приймати в секцію навіть підлітків, що не відрізняються фізичною підготовленістю. Цілеспрямованість і працьовитість у тренуванні нерідко дозволяють їм визначити недостатньо старанних, хоча і більш обдарованих однолітків.
Узагальнивши досвід роботи ведучих тренерів по відбору дітей для занять боротьбою і результати експериментальних даних, Г. С. Туманян рекомендує при організації початкового відбору враховувати наступні фактори: 1) наявність загостреного почуття честі і самолюбства; 2) близькість розташування місця проживання від основної тренувальної бази; 3) високий рівень витривалості; 4) координаційна обдарованість; 5) оптимальне співвідношення росту і маси тіла; 6) приналежність до спортивної родини.
При відборі на етапах заглибленої спеціалізації необхідно виявити спортсменів, здатних до досягнення високих спортивних результатів, ефективному спортивному удосконалюванню на наступних етапах багаторічної підготовки. Вирішувати цю задачу можна лише на основі комплексного аналізу морфологічних, функціональних і психічних особливостей спортсменів, їхніх адаптаційних можливостей, реакції на підвищені тренувальні і тривалі та інтенсивні навантаження. Особливе місце при цьому потрібно відводити вивченню здібностей і задатків, що дозволяють досягти майстерності, а також мотивації спортивної діяльності й умов проведення учбово-тренувального процесу. До здібностей варто віднести індивідуальні особливості борця, обумовлені спадковістю і вихованням.
Задатки спортсмена визначають спадково обумовлені риси і природна обдарованість.
Мотивація спортивної діяльності визначається свідомими вольовими зусиллями, в основі яких лежать чіткі усвідомлені представлення.
Зазначені передумови є основними для виконання борцями нормативів майстра спорту міжнародного класу.
Не менш складним є відбір для участі в складі збірної команди країни для участі у міжнародних змаганнях, де спортсмен повинний реалізувати свої улюблені тактико-технічні дії в умовах активної протидії суперника. При цьому борці високого класу не тільки прагнуть реалізувати стихійно виникаючі в сутичках ситуації для проведення своїх улюблених прийомів, але і здатні активно їх прогнозувати і створювати [12, 185].
У боротьбі перевагу завжди віддають борцям, що володіють широким діапазоном атакуючих прийомів і контратакуючих дій і надійним захистом. На жаль, число таких спортсменів дуже обмежене.
Більш часто зустрічаються борці з обмеженим діапазоном атакуючих дій і надійним захистом. Ці спортсмени здатні домагатися видатних, але недостатньо стабільних результатів, тому що суперники швидко до них пристосовуються. Борці з різноманітним і багатим арсеналом технічних дій, але ненадійним захистом відносно рідко домагаються високих результатів, тому при відборі в команду їх кандидатури розглядаються останніми.
Аналіз досвіду підготовки борців високого класу показує, що у великому спорті надзвичайно важлива впевненість у своїх силах і честолюбство, що допомагають протягом багатьох років переносити виснажливу щоденну працю. У той же час необхідно зважати на індивідуальні особливості і рівень мотивації не тільки починаючих спортсменів, але і майстрів високого класу.
Дуже важливо при відборі для участі в міжнародних турнірах виявити борців, здатних здобувати перемоги на змаганнях будь-якого рангу.
3. Методика тренування
3.1 Тренувальні засоби і спрямованість їх використання при вдосконаленні фізичних якостей
В процесі підготовки борців застосовується система засобів, які поділяються на загально підготовчі, спеціально підготовчі, основні і змагальні. Крім того, для посилення тренувальної взаємодії і регуляції процесів відновлення застосовуються засоби фізіотерапії, психорегуляції і фармакологічні.
До загальнопідготовчих відносяться численні і різноманітні вправи з інших видів спорту, загально розвиваючі, рухливі і спортивні ігри. Найбільший обсяг цих засобів використовується на початкових ступенях підготовки юних і молодих борців. Практика показує, що в міру росту кваліфікації борців загальнопідготовчі вправи по напрямку і величині зусиль повинні усе більше наближатися до основних вправ.
Борці вищих розрядів (КМС, МС) при роботі зі значними навантаженннями повинні не прагнути до підвищення особистих досягнень у поштовху, ривку і т.д., а розробляти комплекси швидкісно-силових вправ, тісно зв'язаних зі структурою найбільше часто виконуваних ними прийомів. Так, для підвищення ефективності кидка через груди використовують кидки гирі різної маси назад на відкритій площадці; для збільшення тяги при виконанні кидка через спину різні вправи з амортизаторами і блоковими пристроями; при недостатній швидкості виконання задньої підніжки значний ефект приносить виконання декількох серій стрибків через бар'єри, включення в кожне заняття стрибків у довжину (з козла) з наступним стрибком на підвищення 50— 70 см. Гарний ефект для розвитку стрибків дає виконання вправ на гойдалці з перемінним обтяженням, широко застосовуваних у тренуванні легкоатлетів. Така орієнтація швидкісно-силових вправ дозволяє перевести їх у групу спеціальнопідготовчих засобів.
Ряд прийомів (передній і бічний переворот у дзюдо, кидки з захопленням ніг — у вільній боротьбі, кидок прогином, зворотним і заднім поясом — у класичній боротьбі) вимагає значних погоджених вправ ніг і тулуба.
Одним з ефективних вправ для удосконалювання сили в умовах, близьких до виконання цих кидків, є вистрибування з гирею (24—32 кг) з вихідного положення стоячи в напівприсіді на двох підставках чи гімнастичних ослонах з наступним підйомом гирі на рівень голови.
Варто пам'ятати, що при сполученому удосконалюванні техніки і силовій-швидкісно-силової підготовленості маса партнера не повинна перевищувати масу борця більш ніж на 10 %. При великих зусиллях технічні дії закріплюються з уповільненим виконанням основних фаз прийому, що не сприяє їхньої реалізації в умовах змагань [16, 90 ].
Для запобігання травматизму під час падінь борцям усіх розрядів рекомендується освоювати акробатичні стрибки на килимі і батуті. Як показує практика, борці вищих розрядів освоюють сальто назад і вперед зігнувшись на батуті за одне заняття, а при наявності досвідченого фахівця з акробатики вони можуть протягом 2 тижнів освоїти сальто вперед та назад прогнувшись.
Акробатика дозволяє підвищити тренованість вестибулярного аналізатора настільки, що небезпечні падіння будуть практично виключені. У повсякденному тренуванні борці високої кваліфікації не одержують такого навантаження на вестибулярний апарат, тому що виконують порівняно мало прийомів (переважно кидки).
Крім того, акробатична підготовка на доріжці (різні стрибки і зв'язування) не тільки тренує м'язи ніг, але і дозволяє істотно підвищити швидкість атакуючих дій, за рахунок збільшення вибухової сили у фазі відштовхування.
При використанні акробатики стрибків необхідно враховувати, що велике навантаження на м'язи ніг при виконанні стрибків на батуті і на акробатичній доріжці знижує ефективність удосконалювання техніки. Тому акробатику в заняттях варто використовувати після удосконалювання техніки чи ж виділяти для цієї мети окремі тренування.
На жаль, у тренуванні борців мало використовуються стрибки зі скакалкою, прискорення (спурти) у гору, що роблять позитивний ефект на рівень спеціальної працездатності.
До спеціальнопідготовчих засобів відносяться вправи на мосту (забігання, перевороти і т.д.), імітаційні вправи, кидки манекена, виконання окремих елементів складних прийомів (як правило, що визначають ефективність кидків) у розминці й у ранковому занятті, виведення з рівноваги (збивання на носки, скручування) на тренажерних пристроях, комі в дзюдо. При удосконалюванні всіх технічних дій робиться акцент на відрив-підбив партнера.
До цієї групи необхідно віднести і вправи на розтягування м'язів — подовжній і поперечний шпагати, що повинні постійно включатися в розминку. Недостатня гнучкість у тазостегнових суглобах — основна причина травм м'язів стегна, що виникають, у борців вищих розрядів. Варто врахувати, що поперечний шпагат – обов'язковий елемент "школи" усіх японських борців, у тому числі і великовагових.
До основних вправ відноситься змагальна діяльність і всі засоби удосконалювання техніко-тактичної майстерності. По ступені відповідності специфіці змагальній діяльності варто виділити насамперед різні сутички (змагального характеру, контрольні, сутички, проведені інтервально-коловим методом, тренувальні, учбово-тренувальні і навчальні).
Незважаючи на те що контрольні сутички найбільше відповідають специфіці змагальної діяльності, вони проводяться тільки при необхідності моделювати умови турніру чи ж для добору команди. Психічна напруга, властива сутичкам з основними суперниками, не дозволяє використовувати цей ефективний засіб занадто часто.
Нерідко в ході тренування потрібно закріпити комбінації й окремі прийоми в умовах, наближених до змагальних, не створюючи при цьому значної емоційної напруги. У таких випадках проводять тренувальні сутички інтервально-коловим методом, що дозволяє досягти інтенсивності змагань без властивої контрольним сутичкам психічної напруги.
Турнірні і матчеві змагання можуть бути не тільки метою підготовки, але і її засобом. Для цього вони не повинні впливати на положення борця в команді, перед спортсменом не ставиться мета завоювати призове місце. Якщо для участі в змаганні необхідно знижувати більш 3 кг маси, можна навіть виступати в наступній ваговій категорії.
Основна мета таких контрольних змагань — підвищення функціональних можливостей і удосконалювання техніки в специфічних умовах змагань. У цьому відношенні вони значно ефективніше тренувальних. Незважаючи на всі старання тренерів створити в процесі підготовки в сутичках атмосферу турніру, це вдається лише на рівні збірних команд країни, де конкурують дійсно рівні по класу борці. Тому значимість таких змагальних сутичок важко переоцінити, їх бажано проводити при тривалій підготовці до основних змагань для перевірки ефективності тренування і корекції окремих параметрів [16, 95].
Факторний аналіз показників, що характеризують основні фізичні якості дзюдоїстів (МС і МСМК), виконаний Г. Б. Венглярским (1979), свідчить про те, що ведучим серед них є спеціальна витривалість, що має найбільш високий кореляційний зв'язок зі спортивним результатом чи рангом борця в команді.
Велика значимість швидкісно-силової підготовленості в міру зниження спортивної кваліфікації, очевидно, може бути пояснена тим, що рухові навички в першорозрядників закріплені недостатньо міцно. Крім того, цілий ряд таких координаційно складних прийомів, як підхоплення, кидки через груди, посадки і т.п. вимагає високої силової підготовленості при їхньому вивченні й удосконалюванні.
Таким чином, можна констатувати, що в борців, менш підготовлених, загальна витривалість має значно більше значення, чим спеціальна, у структурі фізичної підготовленості більш кваліфікованих спортсменів.
3.2 Основні фізичні якості борців і методика їхнього удосконалювання
В останні роки намітилася тенденція до перегляду спрямованості фізичної підготовки в тренуванні спортсменів вищих розрядів. Зокрема, необхідність комплексного розвитку основних фізичних якостей в останні роки усе більш зазнає критики. Викликано це тим, що в кваліфікованих спортсменів у більшості видів спорту існують ведучі і відстаючі від модельних характеристик якості. На етапі вищої спортивної майстерності підтягування відстаючих сторін до рівня модельних характеристик здатні сформувати лише пересічну посередність. Заняття кожного перспективного спортсмена, починаючи з першорозрядників, повинні бути спрямовані на виховання яскравої індивідуальності. Фронтальний метод тренування борців високої кваліфікації допустимо лише на коротких відрізках часу, при базовій підготовці. Але навіть у цьому випадку бажано підбирати найбільш прийнятну структуру і спрямованість засобів. З цього погляду на етапах безпосередньої передзмагальної підготовки варто дуже обережно використовувати сполучений метод удосконалювання техніки і фізичної підготовленості. На думку Ю. В. Верхошанського, це обумовлено тим, що об'ємні комплексні навантаження неминуче приводять до загального функціонального стомлення організму і негативно впливають на якість регуляції зусиль при виконанні специфічної діяльності. У зв'язку з цим у циклах змагань усе більша увага приділяється акцентованому розвитку ведучих фізичних якостей, відповідно до яких формується і структура засобів.
Усебічна фізична підготовка є основною передумовою навчання й тренування в будь-якому виді спорту. Отже, особливо секційні заняття з боротьби також не повинні зводитися лише до спеціальних вправ. Інструктор повинен дбати насамперед про гармонійний розвиток кожного борця, а він можливий лише завдяки загальній фізичній підготовці, яка передбачає розвиток швидкості, сили, спритності, гнучкості, витривалості й багатьох інших життєво необхідних рухових якостей всіма можливими засобами фізичної культури і спорту.
Головна мета спеціальної фізичної підготовки на секційних заняттях з боротьби — вдосконалення тих якостей, які потрібні учням для успішного проведення навчальних поєдинків, передбачених комплексною програмою фізичного виховання. Отже, засобами виховання спеціальних якостей борця в школі треба вважати вправи, що сприяють формуванню і вдосконаленню навичок у виконанні тих елементів боротьби. Здебільшого це — окремі елементи техніки або цілі прийоми, які учень виконує самостійно (імітуючи боротьбу) або з партнером, навчальні та змагальні двобої різної спрямованості; рухливі ігри з елементами боротьби тощо. Підвищуючи рівень загальної та спеціальної фізичної підготовки учнів на уроках і заняттях в секціях боротьби, слід пам'ятати, що людський організм — єдине ціле, і всі властиві йому фізичні якості взаємно пов'язані. Розвиток однієї позитивно впливає на вдосконалення інших. Рівень розвитку рухових якостей значною мірою визначає тактико-технічну підготовку учня, стиль і характер борцівського поєдинку.
Через обмежену кількість програмного матеріалу для секційних занять із спортивної боротьби рекомендуємо в планах роботи секції збільшувати обсяг засобів для розвитку рухових якостей, використовуючи вправи та ігри, наведені в цьому розділі.
Розвиток сили. У спортивній боротьбі постійно доводиться долати опір суперника, тому сила м'язів відіграє велику роль. До того ж вона значною мірою визначає швидкість рухів і витривалість. Сила виявляється в напруженні м'язів та швидкості їх скорочень. Отже, силові вправи умовно поділяються на власне силові та швидкісно-силові. До власне силових вправ належать ізометричні (статичні) вправи. Це загальнорозвиваючі та спеціальні вправи з великими та граничними навантаженнями. До швидкісно-силових вправ належать такі, під час виконання яких сила досягає найбільшого [4, 56].
Загальні вправи для розвитку сили
Вправи зі штангою: піднімання штанги масою 30 - 40 кг до колін, грудей повільно і ривком; згинання і розгинання рук у ліктьових суглобах зі штангою масою 15 - 20 кг (плечі притиснуті до тулуба); присідання, нахили вперед, повороти й нахили вбік зі штангою масою 15 - 20 кг на плечах; вижимання штанги масою 20 - 30 кг з різних вихідних положень (стоячи, сидячи, лежачи).
Вправи 8 гирями: піднімання гирі на груди двома та однією рукою; вижимання гирі від грудей (двома та однією рукою); ривок гирі однією рукою; жонглювання переворотом гирі вперед; те саме вбік; викидання гирі вгору на випрямлену руку по черзі кожною рукою. Те саме, але двох гир двома руками; викидання гирі вгору й утримування її за ручку або дном на долоні; вставання з присіду з гирею, що стоїть позаду на підлозі; вижимання гир однією та двома руками.
Масу гир учитель вибирає залежно від віку і фізичної підготовленості учнів. Звичайно використовують гирі масою 16, 20 і 24 кг. Лазіння по канату розвиває переважно силу м’язів плечового пояса і кистей рук. Застосовують такі його способи: в три й два прийоми; з допомогою ніг (опускання без їх допомоги); без допомоги ніг (опускання також без їх допомоги); з допомогою ніг (опускання, тримаючи ноги під прямим кутом); тримаючи ноги під прямим кутом (опускання таким же чином); з положення сидячи (лежачи) на підлозі без допомоги ніг (опускання, тримаючи ноги під прямим кутом); так само, але ноги під прямим кутом. Дозування—індивідуальне.
Вправи на кільцях: підтягування у висі; підйом силою з вису в упор й опускання у вис; вис прогнувшись (силою).
Дозування—індивідуальне.
-

Мал. 1. Вправа з партнером на плечах: присідання і вставання

Мал. 2. Вправа з партнером на плечах: нахил вперед і випрямляння
Вправи з партнером: В. п.— партнер на плечах у положенні захвату за руку й стегно ("млин"). Ходьба; біг; присідання; нахили вперед і в сторони (мал. 1).
В. п.— зворотний захват тулуба партнера, що стоїть боком. Переворот назад і вперед з ніг на ноги (мал. 2).
Та сама вправа, але партнер стоїть зігнувшись (мал. 3).
В. п.— перший партнер в упорі лежачи, другий тримає ноги першого під пахвами. Стрибки на руках на місці і з просуванням уперед (партнер іде кроком). Вправу виконувати, міняючись ролями. В. п.— перший партнер у стойці на одній нозі, іншу ногу, підняту вперед, тримає другий двома руками за ступню. Той, хто тримає ногу, прагне поворотами вбік звалити партнера. Вправу виконувати міняючись ролями.
-

Мал. 3. Переворот партнера назад і вперед з ніг на ноги в положенні зворотного захвату тулуба

Мал. 4. Переворот партнера назад і вперед з ніг на ноги в положенні зворотного захвату тулуба, коли він стоїть зігнувшись
В. п. — перший партнер лежить на грудях між ногами другого, який, зігнувши ноги і нахилившись уперед, обхоплює першого руками на рівні пояса. Випрямляючи ноги й тулуб і притискуючи руками партнера до себе, другий піднімає його на груди й опускає у в. п. (мал. 5). Закінчувати піднімання закиданням голови назад і прогинанням у попереку.
Вправу виконувати, міняючись ролями
В. п. — стоячи спинами один до одного: руки вгору, взаємний захват кистями. Нахиляючись уперед і тягнучи партнера руками, перекинути його через спину на ноги (нахиляючись, ноги і руки не згинати). Вправу виконувати, міняючись ролями [4, 58].
В.п. — стоячи обличчям один до одного: перший нахиляється вперед, другий, нахилившись уперед, лягає грудьми на спину першого, обхоплює його тулуб зверху, з'єднуючи руки в гачок біля живота першого. Перший захоплює обидва зап'ястя другого і притискує їх до свого тулуба. Випрямляючись, по черзі піднімати один одного.
-

Мал. 5. Піднімання партнера з положення лежачи на грудях з відведенням голови назад і прогинанням

Мал. 6. Перекидання партнера через себе прогинаючись з опусканням його на ноги із взаємного захвату тулуба спереду назад
В. п.— партнери стоять один за одним на відстані одного кроку. Перший прогинається, другий нахиляється над ним, партнери притискуються грудьми один до одного, взаємно обхоплюючи тулуби спереду зверху і з'єднуючи пальці в гачок. Прогинаючись, другий перекидає першого через себе, опускаючи його на ноги (мал. 6). Потім те саме робить перший.
Спеціальні вправи для розвитку сила,
До них належать вправи з партнером (у стойці та в партері), в яких учні, вдосконалюючи силу, виконують окремі елементи техніки боротьби. Вправи виконуються з опором партнера в півсили.
Вправи в стойці: В.п.— бойова стойка (висока). Завдання: виконати захват на зап'ястя (мал. 7).
В. п. — те саме. Завдання: захопити руки партнера вверху (мал. 8).
В. п. — те саме. Завдання: в зручний момент швидко захопити партнера за тулуб і підняти його.
В. п. — взаємний захват за тулуб з рукою. Завдання: відірвати партнера від килима.
Вправи в партері: В. п. — положення борців у партері перед свистком судді (один у партері, другий — позаду збоку, руки на спині партнера). Завдання: верхньому — будь-яким способом взяти руку нижнього в захват за передпліччя зсередини й іншою рукою за тулуб або в захват за передпліччя двома руками під тулубом; нижньому — опиратися захватові.
В. п. — те саме. Завдання: верхньому — перейти вліво (вправо) й з'єднати руки в зворотному захваті за тулуб збоку; нижньому — захищаючись, не дати змогу верхньому з'єднати руки.
В. п. — один — у партері, другий однією рукою утримує передпліччя нижнього зсередини, а іншою — тулуб або двома руками — передпліччя під тулубом. Завдання: верхньому — будь-яким способом перевернути нижнього; нижньому — чинити опір.
В. п. — верхній утримує нижнього в положенні напівмосту (будь-яким із можливих захватів): за руку й шию; за руку й тулуб; за однойменну руку й зап'ястя. Завдання: верхньому — змусити нижнього лягти на лопатки; нижньому — захиститися вільною рукою й вийти наверх або перевернутись на живіт.
-

Мал. 7. Боротьба за захват зап`ястка партнера

Мал. 8. Боротьба за захват рук партнера зверху
Розвиток швидкісних якостей. Головна особливість швидкісних якостей полягає в тому, що найкраще вони розвиваються в умовах змагань і великою мірою залежать від стану нервової системи, сили та еластичності м'язів, амплітуди рухів у суглобах, досконалості спортивної техніки, а під час тривалого виконання вправ — і від витривалості. Поліпшенню швидкісних якостей борця значною мірою сприяють вправи на розвиток сили та швидкості реакції, удосконалення техніки виконання прийомів, захистів і контрприйомів, вправи для загального розвитку.
Вправи для розвитку швидкісних якостей, як правило, виконують у першій половині уроку (заняття), тобто до відчуття втоми. Підскоки й стрибки краще застосовувати у підготовчій частині.
Для тренування вестибулярного апарату дуже корисні будь-які стрибки із заплющеними очима. Проте, включаючи їх у комплекси вправ, починати краще з найпростіших. Дозування вправ — індивідуальне.
Загальні вправи для розвитку швидкості
Максимально швидко прореагувати на сигнал "Руш!", що його подає вчитель змахом руки. (Після команди пробігти 6 - 10 м.)
Максимально швидко пробігти 15 - 20 м.
Максимально швидко пробігти 30, 60 чи 100 м.
Стрибки в довжину та висоту (з місця й з розбігу).
Потрійний стрибок з місця й з розбігу.
Метання диска, списа, гранати, штовхання ядра.
Гра в баскетбол за спрощеними правилами.
Біг зі зміною ритму, витримуючи його певний чає.
Біг з прискоренням у визначеній частині залу.
Різні повороти, перекиди і стрибки за умовним (бажано зоровим) сигналом з поступовим збільшенням їх кількості.
Стрибки на одній і двох ногах.
Пересування боком вправо і вліво (виконувати дрібними, але частими стрибками).
Пересування "ялинкою" вправо та вліво (в колі, поклавши руки один одному на плечі й збільшуючи швидкість пересування до межі).
Біг із стрибками через партнерів — "суха лоза".
Підскоки з поворотом таза вправо-вліво з максимальним прискоренням частоти поворотів.
Стрибки на місці (кожний четвертий— якомога вище).
Та сама вправа, але з двома-трьома поворотами таза в повітрі.
Та сама вправа, але з двома змінами положень випрямлених ніг уперед-назад у повітрі.
Та сама вправа, але з поворотом на 360 ° і більше.
В.п.— упор лежачи. Відштовхнутись від килима двома руками, зробити два оплески в долоні до приземлення (торкнутись руками стегон, сплеснути в долоні за спиною).
В.п. — широкий випад. Підскок поштовхом двох нір з подвійною зміною їхнього положення до приземлення [4, 66].
Спеціальні вправа для розвитку швидкісних якостей
1. Імітаційні вправи:
а) імітація вивчених прийомів у стойці та партері;
б) імітація повороту спиною до партнера для кидків через спину (без нахилу) в різних варіантах положення ніг під час повороту (мал. 9);
в) та сама вправа, але з нахилом уперед (без падіння); г) імітація кидків через спину з падінням;
д) виконання всіх описаних вправ (з сильним згинанням ніг на початку повороту та швидким їх випрямленням під час нахилу і падання (для кидків з низької стойки або проти суперника, невеликого на зріст);
е) в. п.— ноги на ширині плечей, руки на поясі, голова й плечі— опущені.
Різко прогнутися, закидаючи голову назад (мал. 10).
-

Мал. 9. Імітація повороту спиною до партнера для кидків через спину


Мал. 10. Прогинання, закидаючи голову назад
Розвиток спритності. Спритність — комплексна рухова якість, наслідок високорозвинених можливостей центральної нервової системи та наявного запасу рухів. Основою розвитку спритності є постійне оволодіння все більш новими і більш складними щодо координації рухами.
Техніка спортивної боротьби, що вивчається й удосконалюється з партнером, - основний засіб розвитку борцівської спритності. Однак використання додаткових засобів — різних загальнорозвиваючих вправ — прискорює розвиток цієї якості, а тому й вони рекомендуються для застосування в процесі уроків і секційних занять (у підготовчій частині і в кінці основної).
Загальні вправи для розвитку спритності
З-поміж цих вправ особливо корисні акробатичні, зокрема такі, як: перекиди вперед, назад, убік (управо, вліво), стрибком; перекид стрибком через партнера або згорнуту мату; переворот уперед; те саме кілька разів підряд; перевороти в сторону; сальто вперед з розбігу.
Значно сприяють розвиткові спритності також спортивні ігри (баскетбол, футбол, гандбол, настільний теніс) і вправи зі скакалкою (стрибки на одній, двох ногах з подвійним обертанням скакалки при одному стрибку, зі схрещенням рук тощо) та з набивним м'ячем, зокрема, передача м'яча в парах і трійках двома та однією рукою; ловіння м'яча, що летить у різних напрямках (передавати й ловити м'яч можна з в. п. стоячи, сидячи або лежачи на спині чи на грудях).
Дозування навантажень при виконанні цих вправ має залежати від індивідуальних особливостей учнів.
Розвиток гнучкості. Гнучкість — це рухомість у суглобах, тобто здатність суглобових зв'язок і м'язів, що оточують суглоб, розтягуватись. Гнучкість залежить від еластичності м'язів, зв'язок і сухожиль та форм суглобових поверхонь. Для гнучкості має значення й тонус м'язів — їхня напруженість у спокійному стані. При підвищеному тонусі зв'язки й м'язи завжди дещо укорочені, тобто погано розслаблені, і під час руху розтягуються недостатньо. Гнучкість безпосередньо впливає на техніку і тактику боротьби, на силу і швидкість. Добре розвинена гнучкість розширює діапазон техніки і тактики, сприяє розвитку сили та швидкості, і навпаки, погано розвинена гнучкість збіднює арсенал технічних і тактичних дій [16, 188]. Розвиток гнучкості відбувається дуже повільно, бо не можна застосовувати багато вправ на одному у році. Зв'язки швидко втомлюються, настає відчуття болю. Отже, для розвитку гнучкості рекомендується виконувати невелику кількість вправ, але при частому їх повторенні. Вправи на гнучкість слід систематично повторювати, бо ця якість швидко втрачається. Кожну вправу на гнучкість треба повторювати кілька разів до відчуття втоми.
Загальні вправи для розвитку гнучкості
Для розвитку рухомості в суглобах у розминку включають деякі вільні вправи з великою амплітудою рухів і так звані розминочні, що застосовуються в підготовчій частині уроку. Можна порекомендувати, зокрема, такі: колові рухи тазом при фіксованих плечах (руки в різних положеннях); колові рухи тулубом (голова між піднятими вгору руками); розтягування в положенні випаду або шпагату (уздовж і впоперек); прогин у положенні лежачи на грудях, захопивши руками однойменні ступні ("жабка"), а потім — перевороти вліво і вправо кілька разів підряд (мал. 11); прогинання, стоячи на крок від стіни (спиною до неї), опираючись руками в стіну і переставляючи їх до підлоги та в зворотному напрямку; схрещення ніг управо-вліво поштовхом з положення партеру (мал. 12); стоячи на колінах, нахилитися назад до торкання головою килима (прогнутися в попереку); стоячи на колінах, перекат уперед з переворотом через груди в положення мосту (мал. 13); те саме з положення стоячи; заведення ступні за голову за допомогою рук (поперемінно правої та лівої ніг); згинання і розгинання рук, стоячи в положенні гімнастичного мосту.
-

Мал. 11. Положення "жабка": перевороти в сторони

Мал. 12. Схрещення ніг управо-вліво з положення партеру

Мал. 13. Переворот через груди з положення стоячи на колінах
Спеціальні вправи для розвитку гнучкості
До цих вправ у спортивній боротьбі належать вправи для опанування борцівського мосту: розкачування на мосту вперед ї назад; те саме з поворотом голови вправо і вліво; забігання довкола голови вліво і вправо.
Розвиток витривалості.
Витривалість — це здатність виконувати вправу довгий час, тобто довго протистояти втомі. Щоб розвинути витривалість, слід виконувати роботу до граничної втоми. На кожному уроці навантаження поступово підвищують, але важливо, щоб навантаження відповідали підготовленості учнів.
Загальні вправи для розвитку витривалості
Загальна витривалість сприяє розвитку спеціальної (за принципом переносу якостей). Отже, і для розвитку спеціальної витривалості корисні спортивні ігри (баскетбол, футбол, хокей, ручний м'яч); біг на середині дистанції та кроси в перемінному темпі і короткими спуртами (ривками); пересування на лижах по пересічній місцевості або на рівнині зі зміною темпу і короткочасними прискореннями; "Борцівське регбі" (пересування на колінах з боротьбою за набивний м'яч).
Вправи для розвитку спеціальної витривалості.
Спеціальну витривалість удосконалюють за рахунок навантаження, що учень одержує під час навчально-тренувального двобою, а також при закріпленні техніки боротьби (з відповідною інтенсивністю й обсягом) [12, 79]. Розвиткові спеціальної витривалості сприяє застосування рівномірного, повторного, інтервального та змінного методів. Останні два методи використовують у тій частині уроку чи заняття, де навантаження найбільш інтенсивні. Після 3—5 хв інтенсивної роботи роблять 1—2-хвилинний відпочинок або знижують інтенсивність.
Ефективні також переходи під час навчально-тренувального або вільного двобою від спокійного темпу до максимального (5—10-секундні прискорення атакуючих дій, що йдуть одна за одною, завдяки яким борець прагне досягти успіху).
4. Дослідження оптимізації тренувального процесу на підставі вивчення індивідуальних реакцій спортсменів на тренувальні навантаження
Результати, які було отримано з використанням тренувального комплексу контрольних показників, дозволили виявити залежність між виконуваними тренувальними навантаженнями та змінами стану тренувальної працездатності борців протягом передзмагального мікроциклу тренування (табл. 1 ), підтвердили літературні дані про наявність таких взаємозв'язків та дозволили розширити отримані уявлення про побудову тренувального процесу у мікроциклах безпосередньої підготовки до змагань.
Таблиця 1. Зміст тренувального процесу на етапі підготовки до змагань (двотижневий цикл)
|
День тижня |
Спрямованість тренування |
Навантаження |
Зміст окремого заняття |
|
|
1-е заняття |
2-е заняття |
|||
|
Понеділок |
Вдосконалення у техніці і тактиці |
Середнє |
Крос – 35 хв. Спеціальні вправи – 40 хв. |
Килим: вдосконалення техніко-тактичної майстерності: - стійка – 5 хв * 8, - партер – навчально-тренувальний бій – 5 хв. * 2 |
|
Вівторок |
Швидкісно-силова, техніко-тактична |
Максимальне |
Килим: вдосконалення техніко-тактичної майстерності: - партер – навчально-тренувальний бій – (5 хв. * 2) * 4 |
Килим: вдосконалення техніко-тактичної майстерності: - стійка – 10 хв.*8, - навчально-тренувальний бій – 8 хв. * 2 |
|
Середа |
Відновлювальна |
Мале |
Парна баня, масаж |
Прогулянка на місцевості – 90 хв. |
|
Четвер |
Швидкісно-силова, техніко-тактична |
Велике |
Килим: вдосконалення техніко-тактичної майстерності: - партер – навчально-тренувальний бій – (5 хв. * 2) * 4 - бій - (30 с. *2)*4 |
Килим: вдосконалення техніко-тактичної майстерності: - стійка – 5 хв.*8, - навчально-тренувальний бій – 8 хв. * 2 |
|
П`ятниця |
Вдосконалення у техніці і тактиці |
Максимальне |
Килим: вдосконалення техніко-тактичної майстерності: - стійка – 5 хв * 8, - партер – навчально-тренувальний бій – 5 хв. * 2 |
Килим: вдосконалення техніко-тактичної майстерності: - партер – (5 хв * 2) * 2 - бій - (30 с. *2)*4 стійка – 8 хв., - навчально-тренувальний бій – 5 хв. * 2 |
|
Субота |
Відновлювальна |
Мале |
Парна баня, масаж |
Прогулянка на місцевості – 90 хв. |
|
Неділя |
Активний відпочинок |
мале |
Спортивні ігри – 60 хв. |
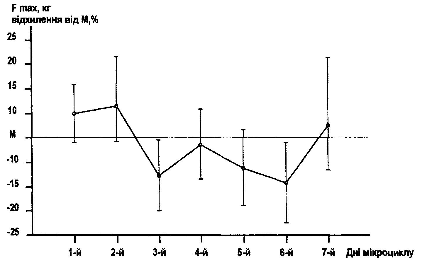
Виявлено, що реакції різних спортсменів на однакову тренувальну програму не співпадали (мал. 14.) Для одних спортсменів характерне зменшення швидкісно-силових показників на четвертий та шостий день мікроциклу, а зростання стану працездатності виявлялося на третій та п'ятий день мікроциклу. У інших борців пік працездатності приходився на четвертий та сьомий день мікроциклу. Це підтверджує думку про те, що процес підготовки борців високої кваліфікації має здійснюватися суворо індивідуально, особливо у структурних утвореннях тренувального процесу на етапах безпосередньої підготовки до змагань.

Мал. 14. Динаміка показників максимальної сили борців у мікроциклі безпосередньої підготовки до змагань
З практичної точки зору, отримані результати цікаві тим, що показують неможливість оцінки повсякденної динаміки коливань стану спеціальної працездатності борців за допомогою одного, навіть найінформативнішого показника Для цього необхідна роздільна комплексна оцінка стану різних фізичних якостей, функцій та систем організму спортсменів.
У процесі досліджень не вдалося знайти пояснюваних закономірностей про реакції борців різних вагових категорій на тренувальні навантаження, які використовувалися. Так, борці вагових категорій 54 - 63 кг виявилися найбільш стабільними у реакціях на заплановані тренувальні навантаження за показниками максимальної сили. Коливання показників сили, які реєструвалися, у різних спортсменів складали 11,4 % В той же час за показником індексу витривалості ці ж борці відрізнялися один від одного більшою мірою, ніж двох інших груп у вагових категоріях 69 - 85 кг та 97 - 130 кг (32 %).
У наших дослідженнях, не дивлячись на яскраво виражений індивідуальний характер реакцій окремих борців на тренувальну програму циклу безпосередньої підготовки до змагань, простежується певна загальна закономірність зміни працездатності у різні дні мікроциклу (мал. 15).

Мал. 15. Динаміка показника максимальної сили загальної групи борців у мікроциклі безпосередньої підготовки до змагань.
Привертає увагу те, що найбільш високі показники працездатності борців виявлялися на другий та сьомий день мікроциклу. Разом з цим, на другий день мікроциклу середні показники групи ставали дещо вищими, а дисперсія показників сили нижчою, ніж на сьомий день. Якщо розглядати цей факт з точки зору підготовки спортсменів до змагання, яке умовно планувалося на кінець тижня, тобто на сьомий день, то можна зробити висновок про те, що такий план побудови тренувань недостатньо досконалий, оскільки група борців, як єдине ціле, на другий день мікроциклу була у кращому стані — 89 % борців у цей день демонстрували найбільш високі показники відносно індивідуальних середніх за тиждень. В той час, як до умовного дня змагань вищої працездатності досягло лише 63 % спортсменів.
Разом з тим, аналіз індивідуальних реакцій спортсменів на окремі тренувальні навантаження, які використовувалися кожного дня у мікроциклі, дозволив зробити висновок про те, що у загальній групі борців виділилося дві категорії спортсменів. Одні з них у межах плану підготовки до умовного дня змагань вийшли на високий рівень спеціальної працездатності, який перевищує рівень попередніх днів мікроциклу. Для цієї категорії спортсменів запропонований план підготовки виявився адекватним і дозволив розв’язати задачі підготовки до головного змагання у стані підвищеної працездатності.
Для другої категорії борців така побудова тренування призвела до негативного ефекту — низької працездатності до дня змагань.
Ця обставина викликала необхідність індивідуального аналізу та класифікації борців за типом реагування на заплановані тренувальні завдання (табл. 2). Такий підхід дозволив виділити дві групи борців.
До групи А увійшли спортсмени, які адекватно реагували на тренувальну програму і до кінця циклу (умовного дня початку змагань) демонстрували відносно високі показники спеціальної працездатності, які перевищують середньотижневий рівень.
До групи Б увійшли борці, у яких тренувальні навантаження попередніх занять у тижневому циклі до умовного дня початку змагань призвели до негативного результату — зменшення показників спеціальної працездатності.
Результати цієї серії досліджень свідчать про те, що методика підготовки спортсменів до змагань повинна передбачати вивчення індивідуальних реакцій та характер протікання відновлювальних процесів у борців після навантажень, які типові для загальної системи тренування.
Таблиця 2 Роздільна характеристика варіативності показників спеціальної працездатності борців групи А (числівник) та групи Б (знаменник) у мікроциклі безпосередньої підготовки до змагань (V %)
-
Контрольні показники
Дні циклу тренування
1-й
2-й
3-й
4-й
5-й
6-й
7-й
Fmax
11,3/13,1
6.9/8.6
10,9/12,8
5,6/11,4
9,9/10,3
8,9/9,7
7,3/9,0
50% від Fmax
16,8/14,5
27,1/26,8
17,5/19,7
15,3/17,1
28,1/28,4
14,6/15,6
13,9/14,1
ІВ
14,7/13,9
19,0/21,2
18,3/19,6
20,2/18,5
20,6/19,8
18,9/20,1
18,0/19,5
Примітка: група А – борці, які досягли високої працездатності до дня змагань (n = 19); група Б – борці, які не досягли високої працездатності до дня змагань (n = 13)
Враховуючи вище описані особливості реакцій організму борців на тренувальні навантаження у мікроциклах підготовки до змагань, які характеризувалися низькою відтворюваністю реакцій одного і того ж спортсмена на окремі тренувальні навантаження, які повторюються у суміжних мікроциклах, та суттєвим неспівпаданням реакцій різних борців на одну й ту ж тренувальну програму, ми визнали можливим і, природньо, доцільним використання методу індивідуальної повсякденної корекції тренувальних навантажень залежно від того, у якому стані знаходився борець безпосередньо до початку чергового тренувального заняття.
Разом з цим, загальна схема побудови тренувальних навантажень у циклі безпосередньої підготовки до змагань залишалась принципово незміненою. Однак, кількісні характеристики основних засобів тренування передбачали їх варіативність залежно від індивідуальних особливостей борців і, зокрема, від показників поточного контролю, які об'єктивно характеризують стан спортсмена до початку чергового тренувального заняття.
Найбільш цінними для практики спорту можна вважати наші результати, які розкривають специфічні особливості реакцій організму борців на загально прийняті тренувальні навантаження у мікроциклах тренування, та рекомендації, які звідси випливають, з індивідуального нормування тренувальних програм, зокрема, на етапі безпосередньої підготовки до змагань.
Висновки
Спортивна боротьба як комплекс осмислених технічних і тактичних дій зародилася ще в прадавні часи й великого поширення набула вже в період рабовласницького ладу. Та все ж як засіб фізичного виховання і вид спорту боротьба особливого розвитку досягла в Стародавній Греції. Тут у палестрах - спеціальних школах фізичного виховання — підлітків і юнаків навчали боротьби досвідчені фахівці.
Надаючи великого значення боротьбі як виду спорту, її включали до системи фізичного виховання не тільки молодих, а й зрілих чоловіків, навіть досить похилого віку.
Методика підготовки спортсменів повинна цілком відповідати вимогам змагань. Змінюються правила змагань - настільки ж оперативно повинні вноситися корективи й у методику підготовки до них.
Сучасні правила міжнародних змагань спрямовані на інтенсифікацію змагальної діяльності. Більшість тренерів і ведучих борців світу не змогли за короткий час вирішити проблему сполучення високого темпу бою і збереження при цьому результативності технічних дій і їх розмаїтості.
Характерною рисою сучасного спорту є не неухильний ріст спортивних досягнень. Це вимагає від фахівців пошуку нових шляхів підвищення ефективності багаторічної підготовки.
Саме в процесі відбору, можна виявити ті відстаючі ланки в загальній характеристиці спортсмена, що навіть при безсумнівних задатках обдарованості можуть у майбутньому перешкоджати досягненню високих спортивних результатів, якщо їх вчасно не усунути шляхом відповідних педагогічних чи медичних впливів.
Спортивний відбір повинен ґрунтуватися на вимогах конкретного виду спорту, пропонованих для спортсменів.
В процесі підготовки борців застосовується система засобів, які поділяються на загально підготовчі, спеціально підготовчі, основні і змагальні. Найбільший обсяг цих засобів використовується на початкових ступенях підготовки юних і молодих борців. Практика показує, що в міру росту кваліфікації борців загальнопідготовчі вправи в напрямку збільшення величини навантажень повинні усе більше наближатися до основних вправ.
Всебічна фізична підготовка є основною передумовою навчання й тренування в будь-якому виді спорту. Головна мета спеціальної фізичної підготовки на секційних заняттях з боротьби — вдосконалення тих якостей, які потрібні для успішного проведення навчальних поєдинків, передбачених комплексною програмою підготовки до змагань. Отже, засобами виховання спеціальних якостей борця треба вважати вправи, що сприяють формуванню і вдосконаленню навичок у виконанні елементів боротьби. Рівень розвитку рухових якостей значною мірою визначає тактико-технічну підготовку борця, стиль і характер борцівського поєдинку.
Список літератури
Алиханов И. И. Про становлення техніко-тактичної майстерності//Спортивна боротьба: Щорічник.-М.: Фізкультура і спорт, 1982-З. 7 - 10.
Аракелян В. Н., Мартиросов Э. Г., Ширковец Е. А. Зміна деяких показників газообміну і температури тіла в борців при форсованому зниженні ваги тіла // Теорія і практика фіз. культури.— 1978— № 1— С. 19—23.
Бальсевич В. Д. Методичні принципи досліджень по проблемі добору і спортивної орієнтації// Теорія і практика фіз. культури.— 1980. - № 1. - С. 31 - 33.
Богдан І.Г., Дубовис М.С. Спортивна боротьба в школі: Посібник для вчителя. – К.: Рад. школа, 1990. – 108 с.
Бурдин И. Ф., Нелюбин В. В. Керування розвитком спеціальної витривалості борців // Планування і керування спортивним тренуванням единоборцев.—М.: Усесоюз. науч.-исслед. інститут фіз. культури, 1975— С. 88—95.
Верхошанский Ю. В. Основи спеціальної силової підготовки в спорті.-М.: Фізкультура і спорт, 1977.—216 с.
Верхошанский Ю. В. Програмування й організація тренувального процесу.-М.: Фізкультура і спорт, 1985.—176 с.
Волков В. М., Філін В. Н. Спортивний добір.-М.: Фізкультура і спорт, 1983.— 172 с.
Воловик А. Б. Начальное обучение классической борьбе. – М.: Физкультура и спорт, 1970. – 220 с.
Геселевич В. А. Медико-біологічні особливості підготовки борців//Братерство богатирів.—М.: Фізкультура і спорт, 1976.— С. 103—115.
Годик М. А. Контроль тренувальних і змагальних навантажень.-М.: Фізкультура і спорт, 1980.— 136 с.
Дахновский В.С., Лещенко С.С. Подготовка борцов высокого класса. – К.: Здоровья, 1989. – 192 с.
Жаров В.С. Класична боротьба. – К.: Здоров`я, 1968. – 94 с.
Преображенский С.А. Борьба – занятие мужское. – М.: Физкультура и спорт, 1983. – 280 с.
Удосконалювання системи підготовки борців високого класу.-М.: Фізкультура і спорт, 1976. - С. 32—36.
Станков А.Г. Индивидуализация подготовки борцов / Станков А.Г., Климин В.П., Письменский И.А. – М.: Физкультура и спорт, 1984. – 240 с.