Мметодика розвитку швідкисно-силових якостей у бігунів на короткі дистанції
ДНІПРОПЕТРОВСЬКИЙ ДЕРЖАВНИЙ ІНСТИТУТ ФІЗИЧНОЇ КУЛЬТУРИ і СПОРТУ
ФАКУЛЬТЕТ ЗАОЧНОГО ВІДДІЛЕННЯ
Кафедра легкої атлетики
КУРСОВА РОБОТА
МЕТОДИКА РОЗВИТКУ ШВИДКІСНО-СИЛОВИХ ЯКОСТЕЙ У БІГУНІВ НА КОРОТКІ ДИСТАНЦІЇ (НА ПРИКЛАДІ ХЛОПЧИКІВ 13-14 років)
Дніпропетровськ 2008
Зміст
Введення …..3
Розділ 1. Стан питання по даним науково-методичної літератури……….….5
Основні засоби й методи розвитку швидкісно-силових якостей…….... 5
Розвиток швидкісно-силових якостей на різних етапах річного циклу тренування спринтерів. ..23
Деякі біохімічні аспекти харчування спортсменів при розвитку швидкісно-силових якостей………………………………………..…………..28
Розділ 2. Ціль, завдання, методи й організація дослідження .. 32
Мета й завдання .... 32
Методи дослідження .. 32
Аналіз науково-методичної літератури ..32
Педагогічні спостереження 32
Методи тестових завдань .... 33
Педагогічний експеримент …... 33
Метод математичної статистики ..33
2.3. Організація дослідження ...34
Розділ 3. Результати власних досліджень і їхнє обговорення ….36
Висновки ..42
Список літератури . ...43
ВВЕДЕННЯ
Аналіз світового досвіду показує, що в останні роки значно розширилася матеріально-технічна база бігових дисциплін. Побудовано закриті стадіони в більшості країн зі сніжні й холодної взимку, створені спеціально-тренувальні бази в регіонах з теплим кліматом і. гірських районах миру, де є всі умови для якісного виконання змагальних і тренувальних вимог у будь-який час року [22].
Ведеться безперервний пошук по вдосконалюванню спортивного взуття, покриттів бігових доріжок, створені тренажери, що дозволяють удосконалювати техніку перегони, розвивати фізичні якості й тестувати спортсменів. Однак, для досягнення результатів міжнародного класу необхідне завзята й правильно організоване тренування протягом багатьох років [12].
У нашій країні після досягнень В.Борзова не спостерігається більше високих результатів. Спринт практично перетворився в змагання між темношкірими спортсменами, які вже давно займають лідируючі місця в бігу на короткі дистанції.
Результативність виступів спортсмена в бігу на короткі дистанції багато в чому визначається швидкісно-силовим потенціалом м'язових груп, що здійснюють рух ніг [7]. Спостереження за швидкісно-силовою підготовкою спринтерів показали, що в бігунів є істотні розходження силових характеристик відштовхувальної і махової ноги.
Проблема організації тренувального процесу в бігу на короткі дистанції, незважаючи на зовнішню простоту самого змагального вправи, представляється досить складної й, мабуть, менш розробленої, чим в інших видах легкої атлетики [15].
Раніше вважалося, наприклад, що самим надійним способом підвищення спортивного результату є просте збільшення обсягу тренувальної роботи із всіх її параметрів. Цей шлях здавався єдино вірним, оскільки в такий спосіб домагалося успіхів більшість чемпіонів. Зараз обсяги навантажень досягли значних величин, і, видимо, подальше їхнє збільшення для спортсменів високого класу далеко не єдиний, а найчастіше й просто неефективний шлях до підвищення спортивного результату. Тому тренерові важливо розібратися у всьому складному механізмі тренувальної системи, щоб проводити підготовку своїх учнів на сучасному рівні [9].
Пошуки сретів швидкості тривають. Безсумнівно, що рекордні результати в спринті будуть обновлятися, оскільки в ньому таяться ще значні невикористані резерви.
Щороку тренери знаходять щось нове й збагачують загальну методологію підготовки бігунів на короткі дистанції. Однак, сучасний рівень розвитку спорту вимагає рекомендацій не про те, як готовити гарних спортсменів. А чому треба проводити підготовку саме так [4].
З огляду на вище сказане, можна говорити про те, що тема спортивного тренування в спринті є актуальною й має потребу в нових дослідженнях.
Розділ 1. Стан питання по даним науково-методичної літератури
1.1. Основні засоби й методи розвитку швидкісно-силових якостей
До спеціальної спринтерської підготовки доцільно приступати з 14-15 років. Спеціальна підготовка в бігу на короткі дистанції повинна проводитися поступово. Робота ведеться над удосконалюванням техніки спринтерського бігу, збільшенням обсягу й інтенсивності тренувальних навантажень. У цьому віці бігунові потрібно частіше виступати в контрольних прикидках і змаганнях. Причому ці виступи повинні проводитися в багатобор’ях, естафетах і бігу на короткі дистанції.
Багато або мало бігати? Відомі випадки, коли підлітки рано починали спеціалізуватися в бігу на короткі дистанції. Їхній тренувальний арсенал засобів складався з великого обсягу швидкої бігової роботи. Молоді 15-16 літні спортсмени пробігали 100 м за 11,2 - 11,3 с., що говорило про їхні більші здатності. Будучи дорослими, ті ж спортсмени показували результат на цій дистанції, рівний лише 10,9 -11,1 с.
Виявляється, готуючись до виступів, підлітки занадто багато займалися спринтерським бігом. Подібна одноманітна робота зупинила їхній прогрес.
Незважаючи на великий обсяг тренувальної роботи, у бігунів відбувається стабілізація швидкості. Стабілізація швидкості, очевидно, є основною причиною, що перешкоджає значному підвищенню швидкісних можливостей бігунів. Проявляється своєрідний "швидкісний бар'єр".
Одне з умов запобігання "бар'єра" - пізніше почати застосовувати великий відсоток перегони - особливо на високих швидкостях. У теорії й практиці рекомендуються три основних методи проти "швидкісного бар'єра".
Перший метод. Повторне застосування швидкісно-силових вправ (метод динамічних зусиль). Метод заснований на широкому застосуванні стрибків і стрибкових вправ. В основному ці вправи повинні відповідати структурі руху бігуна.
Гарною вправою є п’ятерний стрибок з мосту. Корелюючи велику кількість різних спеціальних легкоатлетичних вправ виховуючих швидкість, В.П. Сергєєв і В.Г. Семенов (1967 р.) встановив тісний зв'язок між показниками перегони (на 30, 60, 100 м) і стрибковими вправами (особливо з п’ятерним стрибком з місця). Дані кореляційного аналізу показали також тісний зв'язок між показниками перегони на короткі дистанції й стрибками.
Таким чином, стрибки п’ятерний і десятерий з місця можна вважати вправою "номер один".
Однак застосування тільки одних швидкісно-силових вправ не дозволяє істотно підвищити максимальний рівень м'язової сили, Сила у свою чергу, імітує ріст швидкості. Тому необхідні й інші способи по подоланню швидкісного бар'єра. [1]
Сила потрібна спринтерові. На етапі поглибленого тренування в бігу зростаюча увага приділяється розвитку сили. У цей час доцільно широко використовувати силові вправи, що розвивають м'язові групи всього рухового апарата. Одночасно потрібно включати вправи, що дозволяють вибірково впливати на окремі групи м'язів, від яких головним чином залежить потужність перегони. Із цією метою деякі тренери активно застосовують комплекси вправ на спеціальних тренажерах.
Для розвитку групи м'язів застосовують силові вправи, які підрозділяються на дві групи:
Властиво силові - наприклад, жим, поштовх і ривок штанги, присідання й т.д.
2. Швидкісно-силові, при виконанні яких, сила м'язів зростає завдяки збільшенню прискорення повідомлюваного вантажу.
Наприклад: метання набивних м'ячів, снарядів, вправи зі штангою невеликої ваги. Всі ці вправи повинні виконуватися у швидкому темпі.
На початковому етапі тренування великий ефект у розвитку сили дають вправи з малими вагами. Далі вага варто збільшувати, тому що мала вага дає всі менший ефект. Необхідно правильно застосовувати й дозувати вправи з обтяженнями.
У своїх дослідженнях Алабін В.Г. уточнив, що самі "дорогі" фактори, що визначає результат спринтера, - швидкість і швидкісна витривалість. На етапі поглибленого тренування й починається своєрідна підготовка до реалізації даних факторів. Методика поліпшення швидкісної витривалості побудована на застосуванні більше довгих бігових відрізків і інтервальні перегони. Інтервальний біг (особливо з невеликими інтервалами) на цьому етапі тренування ще застосовувати небезпечно. А от довгі відрізки в різних сполученнях варто включати в тренувальні програми у всіх періодах тренування. Найбільше ефективно пробігати відрізки від великого до малого (400, 300, 100,60).
Тренер Б. Жекас - дослідник з м. Каупаса пропонує серійно виконати повторні пробіжки для підвищення швидкісної витривалості юних спринтерів 15-16 років.
Суть серійного виконання повторних пробіжок полягає в тім, що кілька відрізків ( 3-5) пробігають із високою інтенсивністю й з високими інтервалами відпочинку, а після серії відрізків треба більше тривалий інтервал.[3]
За даними експериментальних досліджень, серійне виконання повторних пробіжок, у порівнянні з повторним методом дозволяє збільшити обсяг спринтерського бігу на 70-100 %. Подивитеся таблицю застосування серійного бігового навантаження, представлену Б. Жекасом.
Таблиця 1 Схема застосування бігового навантаження
|
Вік і |
Підготовчий період |
Змагальний період |
||
|
Навантаження в |
Інтервал |
Навантаження в |
Інтервал |
|
|
кваліфікація |
серії в їх |
(мін) після |
серії і їх |
після серії |
|
кіл-в. |
серії. |
кількість. |
(мін). |
|
|
6 (4*30м) |
5 |
5(4*30м) |
5 |
|
|
15-16 років |
5 (3*60м) |
7 |
4(3*60м) |
6 |
|
(третій |
3(3* 120м) |
10 |
3(3* 100м) |
10 |
|
розряд). |
2(3* 150м) 2(2*250м) |
12 15 |
2(2*200м) |
12 |
Примітка. У графі "навантаження" перша цифра означає кіл-у серій, другий і третя - кіл-в і довжину відрізків. Навантаження підготовчого періоду рекомендується проробляти при 90-95% максимальній інтенсивності, а змагального до 95% максимальної інтенсивності. Як і на попередніх етапах спортивної підготовки, що займається рекомендується проробляти швидкісні й швидкісно-силові вправи у вигляді комплексів. Для цих цілей приводиться комплекс вправ з гирею.
1. Напівприсід.
Піднімання гирі хватом зверху двома руками до підборіддя. Темп середній або повільний. Повторити 5-10 разів, 2 серії.
Вижимання гирі двома руками з вихідного положення сидячи. Тулуб пряме, темп повільний. Повторити Юр., 2 серії.
В.п. Напівприсід, ночі на ширині плечей. Обертання гирі двома руками. Руки розслаблені, спина пряма. Повторити по 5-10 обертань у кожну сторону 2 серії.
В.п. Лежачи на гімнастичному коні. Розгинання й згинання тулуба. Руки з вагою за головою. Повторити 5-7р., 2-3 серії.
В.п. Сивий руки за спиною втримують гирю. Устати темп повільний. Повторити 10р, 2 серії.
В.п. Напівприсід квантом зверху руки втримують гирю. Ривок гирі двома руками. Руки розслаблені, спина пряма. Темп середній або швидкий. Повторити Юр.
В.п. Упор у гімнастичної стінки. Піднімання гирі (носок стопи втримує гирю) стегном вверх з одночасним підніманням на носок опорної ноги. Темп середній. Повторити 10 разів, на кожну ногу по 3 серії.
В.п. глибокий присід.
Вистрибування з вихідного положення з гирею нагору. Тулуб пряме, руки прямі й розслаблені, тобто тільки втримують гирю. Темп середній і швидкий. Повторити 5-10 разів, 2-3 серії. (Комплекс узятий з кандидатської дисертації А.К. Стасюка).("2:6]
На етапі поглибленого тренування застосовуються наступні методи тренування: метод повторного виконання швидкісно-силових вправ (метод динамічних зусиль), при якому гранична силова напруга забезпечується шляхом переміщення відносно легені вантажу (обтяження) з максимальною швидкістю, метод повторного виконання швидкісних вправ в утруднених і полегшених умовах, метод повторного виконання максимального бігу й вправ у стандартних умовах.
Успішне застосування тренувальних засобів для рішення завдань швидкісної, швидкісно-силової й силової підготовленості залежить від біодинамічних характеристик бігових вправ, їхнього впливу безпосередньо на координаційну структуру перегони. Особливу цінність представляють вправи з оптимальними обтяженнями, що дозволяють при меншій швидкості формувати динамічну структуру, подібну зі структурою перегони з максимальною швидкістю.
Використання обтяжень дозволяє спортсменам перевищити границю "критичних" величин потужності зусиль, що розвиваються при роботі в звичайних умовах. Мистецтво педагога полягає в тому, що б визначити ці максимальні подразники індивідуально для кожного учня, не створюючи умов для перенапруг. Дослідження показали ефективність використання наступних видів обтяжень: пояс масою 4-8 % маси ноги, мішок масою 15-25 % від маси тіла.[7].
Розглянемо особливості окремих вправ.
При бігу з максимальною швидкістю з обтяженням на поясі відбувається збільшення динамічних характеристик у фазі опори. При цьому використання обтяження, що становлять 4 % від маси тіла, більшою мірою відбивається на силовому впливі на опорно-руховий апарат в одиницю часу - коефіцієнт реактивності (потужність) і трохи менше - на силовому впливі в плині всього часу силового впливу опорного періоду - імпульс сили (робота).
Використання ж обтяжень, що становлять 8 % від маси тіла, навпаки, більше відбивається на збільшення імпульсу сили й менше - на коефіцієнті реактивності.
Нижче приводимо формули розрахунку. Коефіцієнт реактивності

(показник відображауючий потужність):
де Fср - середня сила відштовхування, a TOTT - загальний час
відштовхування.
Імпульс сили - показник, значною мірою відображауючий роботу:
ВР — Fср * Tотт
Крім того, застосування обтяжень дозволяє значно підвищити активність основних м'язових груп у порівнянні зі швидкісним бігом у звичайних умовах, не викликаючи при цьому значних змін ритмових і структурних характеристик. Варто врахувати, що застосування обтяжень,
складових 8 % від маси тіла, більшою мірою впливає на розвиток силових показників. Тому оптимальною масою обтяження на пояс варто вважати: для юнаків 3-5 кг, для дівчин 2-3 кг.
Для силової підготовки спринтерів може бути рекомендований біг по похилій доріжці (4 30), біг по піску, по снігу, проти вітру. Використання обтяжень на гомілках, що становлять 4-8 % від маси ноги, робить у цілому позитивний вплив на систему рухів і розвиває специфічні якості спринтера. Дана вправа, крім того, може бути використано й у процесі технічного вдосконалювання бігунів. Біг у полегшених умовах долілиць по похилій доріжці, використання штучної тяги й ін. - особливо ефективний, тому що допомагає підвищити спортсменові свою найвищу швидкість і в багаторазових повтореннях "запам'ятати" її на новому рівні. Повторення "надшвидкого" прискорення викликає нові відчуття більшої частоти рухів і швидкості, які бігун потім може перенести на виконання перегони у звичайних умовах. [3]
Біг у полегшених умовах, зокрема, біг по похилій доріжці долілиць (4O 30), розвиває в бігуна здатність використовувати інерційні сили, удосконалює вміння переборювати більші зусилля в опорі, характерні для спринтерів-майстрів і може бути, крім того, рекомендований для застосування як засіб технічної підготовки бігунів на короткі дистанції.
При використанні перерахованих вище засобів тренування у зв'язку з більшим концентруванням зусиль і не великої діяльності їхньої дії є незначна ймовірність впливу на фізіологічний вплив сили м'язів. Тому в підготовці бігунів на короткі дистанції необхідно також застосовувати вправи, що викликають більше тривалий силовий вплив на опорно-руховий апарат. До таких вправ ставляться стрибковий біг (багато стрибків), виконуваний з максимальною інтенсивністю у звичайних умовах і з обтяженнями у вигляді поясів і мішком с. піском різної маси. Ці вправи по що розвивається потужності трохи уступають бігу з максимальною швидкістю, але по величині роботи значно його перевершують. Причому, найбільше збільшення динамічних характеристик при виконанні цієї вправи відбувається при застосуванні обтяжень у вигляді пояса масою, що становить 8 % від маси тіла спортсменів.
Біг з високим підніманням стегна проведений з максимальною частотою, дозволяє досягти більшої частоти кроків у порівнянні з бігцем з максимальною швидкістю. Однак це досягається за рахунок значного зменшення часу польоту й довжини кроків, а час опори при цьому навіть трохи збільшується. Відзначимо, що дана вправа по кутовим і ритмовим характеристиках багато в чому відрізняється від бігу, а по динамічних характеристиках значно уступає йому.
Виконання перегони з високим підніманням стегна із середньою частотою трохи зменшується його розходження по кутовим і ритмовим характеристиках і незначно збільшує динамічні характеристики. При застосуванні цієї вправи з обтяженнями у вигляді поясів, манжет на гомілках або тяги гумового амортизатора, відбувається збільшення динамічних характеристик у фазі опори. Однак, вони не досягають величин, зареєстрованих при бігу з максимальною швидкістю.
Дослідження показали, що збільшення маси обтяжень при проведенні перегони з високим підніманням стегна (за рахунок застосування у вигляді мішків з піском масою, що становить 5-25 % від маси тіла) дозволяє довести величину виконуваної роботи до значень, одержуваних у бігу з максимальною швидкістю. Разом з тим при цьому відбувається зменшення частоти кроків за рахунок значного збільшення часу опори.
Установлено, що вправи, проведені в полегшених умовах, невеликий ефект дають тоді, коли вони чергуються з виконанням цих же вправ у звичайних умовах. Так, біг у полегшених умовах повинен чергуватися з бігцем у звичайних і скрутних умовах в співвідношеннях: (1:1:2); (1:2:1); (2:1:1). Виконання вправ у скрутних умовах повинне чергуватися з виконанням цих же вправ у звичайних умовах у співвідношенні (2:1) і (1:1).[3; 13; 14; 20]
Пугач В.П. уважає, що бігуни на короткі дистанції повинні використовувати засоби загального характеру, при застосуванні яких, опорно-руховий апарат випробовує значні навантаження, що викликають великий фізіологічний вплив на розвиток сили м'язів. До таких вправ ставляться присідання, напівприсідання й підскіки зі штангою на плечах, які хоча й уступають бігу з максимальною швидкістю по розвивається потужність, що, зусиль, але по виконуваній роботі значно його перевершують (в 4-8 р).
Поряд з іншими засобами загального характеру в тренуванні юних спринтерів з успіхом можуть використовуватися вправи типу " зстрибування-вистрибування", які як по потужності зусиль, так і по виробленій роботі підвищують аналогічні показники перегони з максимальною швидкістю. Як показали дослідження п практика багаторічної роботи, вході тренувального заняття вправи на силу доцільно чергувати із вправами швидкісно-силового характеру. Нижче приводимо кілька швидкісно-силових вправ і методичні умови їхнього виконання.
Таблиця 2 Комплекс швидкісно-силових вправ
|
Завдання |
Дозування |
Методичні вказівки |
|
|
1 |
2 |
3 |
|
|
1. Стрибки на місці |
10-25 стрибків, 3-4 повтори, відпочинок 1.5-2 мін |
Звертати увагу на пружний, швидкий відскік |
|
|
2. Стрибки із 3. Стрибки
через набивні |
20м х 8р, відпочинок 1.5-2 мін 10-12 м'ячів. ( 6-8 повторень відпочинок 1.5-2 мін |
Ставити ногу на всю стопу рухом, що загрібає, не нахилятися вперед, не напружуватися. Не квапитися, виконувати ритмічно |
|
|
4. Стрибки через гімнастичну ослін з просуванням уперед |
10-12 Перестрибувань, повторити 4-6 разів. Відпочинок 1.5-2 мін |
Звертати увагу на рух рук. |
|
|
5. Опорний стрибок через козла |
10-14 стрибків |
Намагатися:
а) устояти на ногах у б) пробігти швидко уперед; |
|
|
6. Біг по сходам через два щаблі |
4-6 спроб із пробігом 20 сходів |
Не розгойдуватися зі сторони убік |
На етапі поглибленого тренування особлива увагу варто приділяти силовим вправам, що дозволяють вибірково впливати на м'язові групи, що визначають результативність у спринтерському бігу -підошовні згиначі стопи, розгиначи й згиначі гомілки, розгиначи й згиначі стегна.
Відзначимо, що характер виконання силових і швидкісно-силових вправ міняється залежно від поставлених завдань. Більші обтяження ( 3-5 повільних повторень) сприяють абсолютному розвитку сили м'язів, обтяження рівні 40-50 % від максимальної маси й різкий початок руху ( 8-10 разів у серії) - розвитку вибухової й стартової сили м'язів. Обтяження, що становлять 10-15 % від максимуму з повторним виконанням у темпі ( 15-20 разів) удосконалюють спеціальну силову витривалість бігуна.
При використанні вправи варто враховувати, що кількість повторень, швидкість або інтенсивність виконання й ступінь утруднення повинні підбиратися індивідуально для кожного що займається. Сигналом для припинення вправи повинне бути помітна зміна його структури або часу виконання вправи.
У плині року не слід застосовувати одні й теже вправ - це може привести до стабілізації пристосувальних зрушень в організмі. Всі тренувальні засоби необхідно розподілити по етапах підготовки відповідно до завдань, які зважуються на цих етапах і застосовувати їх комплексно, доповнюючи один одного.[23; 24; 25]
У практиці підготовки спринтерів при рішенні завдань розвитку швидкості й швидкісної витривалості основна увага, як правило, обертають один в один відповідних фізичних вправ, не надаючи достатнього значення їхній кількості, тривалості й чергуванню вправ з відпочинком. Тому тренувальні уроки не завжди бувають ефективними, навіть у тих випадках, коли тренувальні засоби підібрані правильно.
Професор В.В. Петровський і заслужений тренер УРСР Б.М. Юшко рекомендують для розвитку швидкості перегони й швидкісної витривалості в бігунів на короткі дистанції (починаючи із другого спортивного розряду й вище) моделі тренувальних уроків з обліком зазначених вище фактор.
Найкращі для розвитку швидкісної витривалості умови чергування вправи й відпочинку в тренувальному занятті ті, при яких кожна наступна вправа виконується в стадії відновлення працездатності. Оптимальною умовою знаходження зазначеного режиму є повторне виконання вправ наприкінці фази швидкого зниження ЧСС ( 120-135 ударів у хв). Середня тривалість часу відпочинку при повторному бігу на відрізках: 60м - 2.5-змін; 100м - 3-5мін; 300-400м - 6-10мін; 500м - 8-20мін.
Для розвитку швидкісної витривалості бігуна на 100-200м можуть застосовуватися відрізки від 60 до 300м і кросовий біг.
Відомо, що інтенсивність бігу на відрізках залежить від тривалості виконання вправ і їхньої кількості. Оптимальна кількість вправ у занятті може бути в межах: для відрізків 60м - 7-12 разів (або по 4-6 разів у серії), для 100м - 4-10 разів (або 3-5 разів у серії), для 300м - 3-5 разів (або по 2-3 рази в серії в підготовчому періоді, 1-2 рази в змагальному). Загальний метраж пробігання відрізків у такому режимі- 400-1200м. [17;26]
Успіх у тренуванні може бути досягнуть лише при оптимальному співвідношенні обсягів різних по спрямованості навантажень. Проведені експерименти й практичний досвід показали, що при виконанні цих обсягів немаловажне значення має послідовність розподілу тренувальних програм, присвячених розвитку швидкості, сили, швидкісно-силових якостей і витривалості, по днях тижневого циклу.
У результаті досліджень Г.Н. Максименко були розроблені схеми побудови мікроциклів на етапі поглибленого тренування. Підсумки експерименту підтвердили думку В.В. Петровського про те, що принципова структура тижневого циклу спринтерів і для підготовчого й для змагального періодів може бути однакової, коректується відповідно до завдань періоду лише обсяг і інтенсивність тренувальних програм, а не їхня спрямованість.
Для спортсменів з підготовкою на рівні другого розряду може бути рекомендований наступний мікроцикл:
1-й день: розвиток швидкості й швидкісно-силових якостей;
2-й день: удосконалювання сили й швидкісної витривалості;
3-й день: відпочинок;
4-й день: розвиток швидкості й швидкісно-силових якостей;
5-й день: підвищення загальної фізичної підготовки,
удосконалювання в техніку перегони й загальної витривалості;
6-й і 7-й день: відпочинок.
Якщо основний змагальної дистанцією в спринтера буде 200м, то на 6-й день варто проводити додаткове заняття зі спрямованістю на розвиток силової й швидкісної витривалості спринтера.
Спортсмени із кваліфікацією на рівні другого розряду, що мають можливість тренуватися два рази в день (в умовах зборів або навчання в школі-інтернаті спортивного профілю) можуть користуватися такою схемою:
1-й день: розвиток швидкості й швидкісно-силових якостей;
2-й день: удосконалювання сили й швидкісної витривалості;
3-й день: підвищення загальної фізичної підготовки,
удосконалювання в техніку перегони й загальної витривалості;
4-й день: відпочинок;
5-й день: розвиток швидкості й швидкісно-силових якостей;
6-й день: удосконалювання сили й швидкісної витривалості;
7-й день: відпочинок.
Зазначена спрямованість повинна зберігатися як у ранкові так і у вечірніх тренуваннях.[13]
Першорозрядникам можна рекомендувати наступну схему тижневого циклу:
1-й день: розвиток швидкості й швидкісно-силових якостей;
2-й день: удосконалювання сили й швидкісної витривалості;
3-й день: підвищення загальної фізичної підготовки,
удосконалювання в техніку перегони й загальної витривалості;
4-й день: розвиток сили й швидкісно-силових якостей;
5-й день: удосконалювання швидкості й швидкісно-силових якостей;
6-й день: розвиток сили й швидкісної витривалості;
7-й день: відпочинок.
У випадку підготовки переважно до бігу на 200м варто підвищити обсяг роботи на швидкісну витривалість.
Як відомо, особливе значення має правильна побудова мікроциклу за кілька днів до старту. Дослідження показали можливість використання такого предзмагального тижневого циклу: .
1-й день: удосконалювання швидкості й швидкісно-силових якостей
(навантаження середня);
2-й день: розвиток сили й швидкісної витривалості;
3-й день: підвищення загальної фізичної підготовки,
удосконалювання перегони в техніку й загальній витривалості (навантаження
середня);
4-й день: розвиток сили й швидкісно-силових якостей (навантаження
мала);
5-й день: удосконалювання швидкості й швидкісно-силових якостей
(навантаження середня);
6-й день: розвиток сили й швидкісної витривалості (навантаження мала);
7-й день: розминка;
8-й день: змагання.[9]
Зразковий план тренування для спортсменів другого розряду.
Підготовчий період:
1-й день: повільний біг. загальрозвиваючі вправи. Біг з високим підніманням стегна 2x30м, дрібочущий біг 2x30м, прискорення -2x80м. Удосконалювання техніки низького старту - 5x20м. Біг по команді або пострілу - 2x20м. Стрибковий біг сходу на час 2x20м, 2x30м. Десятикратний стрибок у довжину "жабою" - 5-8 разів. Вправи на зміцнення м'язів живота - 3-5р. Вправа на розслаблення - 2-3 підходи. Заключний біг.
2-й день: повільний біг, що загальрозвиваючи вправи, біг із закиданням гомілки назад - 2x30м, прижковий біг 2x20м. Прискорення -2x60м. Біг (30м швидко + 30м підтюпцем) - 4 рази по 4 серії. Відпочинок між серіями до повного відновлення. Перші дві серії виконуються з обтяженнями на поясі, другі без обтяження. Поштовх штанги масою 50 кг - 3 підходи по 3 серії. Піднімання поперемінно правого й лівого стегна з подоланням опору гумового амортизатора 4 підходи-15 разів (для кожної ноги). Підлоги присіди зі штангою масою 70-75кг - 3x10р. Вправи на розслаблення - 2-3 підходи.- Заминальний біг.
3-й день - відпочинок.
4-й день - повільний біг,загальнорозвиваючи вправи. Спеціальні вправи - біг з високим підніманням стегна - 2x20м, дрібочучий біг 2x20м, прискорення 2x60м. Удосконалювання техніки перегони з низького старту - 4-5х20м. Біг по команді або пострілу - 4x30м ( 1-й раз за допомогою гумового бинта, 2-й раз у звичайних умовах, 3-й і 4-й рази - з обтяженнями на гомілці). Біг з ходу - 4*30м. Стрибки в довжину з місця, потрійний, п’ятерний, десятерний по 4 рази.
Вистрибування з напівприсяду зі штангою масою 20кг на плечах -3*10р. Вправа на гнучкість, 2-3 підходи. Заминальний біг.
5-й день. Повільний біг загальрозвиваючи вправи, прискорення -2*60м. Стрибки в довжину з розбігу 10-12разів. Біг - 3*300по 46-48з. Під час пробіжок виправляти помилки в техніку перегони. Метання різними способами - знизу вперед, через голову назад, з - за голів уперед, через голову назад із просуванні по інерції, поштовх двома руками від грудей , метання диска(правий і лівої), поштовх правою й лівою рукою - усе по 3 спроби. Біг поштовхами - 200м.
Заминальний біг.
6-й день. Відпочинок або заняття за схемою 20-го дня.
7-й день - відпочинок.
Змагальний період.
1-й день. Повільний біг загальрозвиваючи вправи. Біг із закиданням гомілки назад 2x30м; дріботний біг 2x2Ом; прискорення -2x60м. Удосконалювання техніки низького старту 3x20м. Біг:2х80 ( 1-й раз із гірки, 2-й раз у звичайних умовах). Біг по команді або пострілу в гору -2x50м. Біг по команді або пострілу - 2x30м. Стрибки в довжину з місця з обтяженнями на поясі - подвійний, потрійний, п’ятерний - по 3 спроби.
вправи на зміцнення м'язів спини 3x6р. Вправа на гнучкість 2-3 підходи. Заминальний біг.
2-й день - повільний біг, що загальрозвиваючи вправи, біг з високим підніманням стегна 3x30м, прискорення - 2x60м. Біг: 160м (80м швидко +80м підтюпцем) х2р. Ривок штанги масою 45-50кгхзх10р. Напівприсід зі штангою масою 60кг-2х8р. Біг поштовхами - 200м. Вправа на розслаблення 2-3 підходи. Заминальний біг.
3-й день - відпочинок.
4-й день - повільний біг загальрозвиваючи вправи, біг з високим підніманням стегна 2x30м, прискорення - 2x60м. Удосконалювання техніки низького старту 3x20м. Біг з ходу - 80м (з гірки),2х60м ( 1-й раз у звичайних умовах, 2-й раз - у гору). Біг по команді - 3x40м. Стрибки в довжину з місця
на одній нозі (поперемінно лівої й правої), п’ятерний, десятерний -по 4 стрибки. У перервах відпочинку - вправи на розслаблення - 2-3 підходи. Заминальний біг.
5-й день - повільний біг, що загальрозвиваючи вправи - 3x70м, біг з бар'єрами - атака 4 бар'єрів, 8-10р. Біг 300м - за 40з,2рх100м за 12,6хв. Заминальний біг.
6-й день - відпочинок або за схемою 2-го дні.
7-й день - відпочинок. Якщо на сьомий день планується участь у змаганнях, то на 5-й день відрізки 300 і 100м пробігаються відповідно за 48 хв і 13 хв.
[12:16:21] Зразковий план тренувань для спортсменів першого розряду.
Підготовчий період.
1-й день - повільний біг, що загальрозвиваючи вправи, біг із закиданням гомілки назад, леногоскопи - 2x30м, прискорення - 2x60м. Старти з різних вихідних положень: лежачи, коштуючи на колінах - по 2р.
Удосконалювання техніки низького старту 4x20м. Біг:3х20м, біг по команді - 3x30м. Пр-Ки ч/з 10 бар'єрів по 8-10 разів. Вправа на зміцнення м'язів стопи "гусениця" - 3-4 підходи. Заминальний біг.
2-й день. Повільний біг, що загальрозвиваючи вправу, прискорення -2x60м. Біг (20м з високим підніманням стегна+20м підтюпцем+Зом стрибками) по 2р, 2 серії. Біг (40м швидко+40м підтюпцем) 4р, 2 серії. У кожній серії пробіжки чергуються - у гору,, з гори. Ривок штанги масою 45-50 кг, 3x8р. Вправа для розгинаючих м'язів гомілок - 4-5х8р. Напівприсід зі штангою масою 70-80кг, 4х10р.Заминальний біг.
3-й день. Повільний біг, що загальрозвиваючи вправу, прискорення -2x70м, вправи на зміцнення м'язів спини й живота по 4-5 підходів х2хз повторення, заминальний біг, вистрибування зі штангою масою 14-20кг на плечах 4х10р, вправа на розвитку гнучкості.
4-й день. Повільний біг, що загальрозвиваючи вправу, прискорення -2x70м. Бар'єрний біг - 4 бар'єри х 7 разів. Метання ядра різними способами. Біг:3х300 (43хв), 1x400м (60хв). Біг поштовхами - 300м, Заминальний біг.
5-й день. Повільний біг, загальрозвиваючи вправу, прискорення -2x70м, біг з високим підніманням стегна 2x20м, дрібочучий біг: 2x30м, удосконалювання техніки низького старту: 5x20м, біг зі старту: 3x40м, з ходу: 4x30м. Прийом і передача естафети - Зр, стрибки в довжину з місця -потрійний, п’ятерний - 4-5р. Заминальний.
6-й день. Повільний біг,загальрозвиваючи вправи,прискорення -2x70м. Біг (30м із закиданням гомілки назад+30м підтюпцем+30м стрибковий біг) 2х20р.Біг : 2x100 (12.6хв - 12.8хв), біг (40м швидко +40м підтюпцем)) .Поштовх штанги вагою 10кг 4x8р., вправа для зміцнення м'язів згиначів і розгиначи стегна й гомілки по 5 підходів х 7 повторень. Стрибковийковий біг - 300м. Заминальний біг.
7-й відпочинок. [5; 18]
Змагальний період
1-й день. Повільний біг, що загальрозвиваючи вправу, прискорення -2x70м,
удосконалювання техніки низького старту 5x20м, біг з низького старту - 80м з обтяженням на гомілках, 80м - у звичайних умовах, 80м з гірки. Біг по пострілі - 50м з гірки,50м - звичайних умовах, біг з ходу -30м. Стрибки в довжину з місця трійний, п’ятерний - 5р,вправа на гнучкість і розтягування - 2 підходи. Заминальний біг.
2-й день. Повільний біг, що загальрозвиваючи вправу,, біг з високим підніманням стегна, біг із закиданням гомілки назад - 2x3 0м, прискорення:2х70м. Біг: 180м (20.1 хв); 150м (16.9хв); 80м (9.2хв)+40м підтюпцем+40м (5.2хв). Вправа на гімнастичній стінці з партнером для зміцнення м'язів стопи 5x30р., вправа на розвиток гнучкості. Заминальний біг.
3-й день. Повільний біг, загальрозвиваючи вправу, прискорення -2x70м,стрибки в довжину з розбігу 8р. Бепзоом - (37хв); 2x200м (25хв); метання ядра різними способами. Заминальний біг.
4-й день. Повільний біг, загальрозвиваючи вправу, прискорення -2х70м,вправа на зміцнення м'язів згиначів стегна розгинання гомілки 4x15р., вистрибування зі штангою масою 20кг - 4x15р., вправа на розвиток гнучкості. Заминальний біг.
5-й день - Повільний біг, загальрозвиваючи вправу, прискорення -2x70м
удосконалювання техніки низького старту 3x20м. Біг: 80м - з гірки, 80м у звичайних умовах, прийом і передача естафети 3 чоловік х 60м х 3 рази, біг по пострілі 3 х 30м стрибкові вправи - 80-100м відштовхування, вправи на розслаблення - 2 підходи. Заминальний біг.
6-й день - повільний біг, загальрозвиваючи вправу, прискорення -2x70м, біг (100м (11.4хв) + 80м підтюпцем + 80м (9.3хв) + 40м підтюпцем +
40м (5.3хв))'х 2 серії, відпочинок між серіями 8х10хв. Вправа на розслаблення, заминальний біг:
7-й день - відпочинок.
Якщо на сьомий день планується участь у змаганнях, то на 6-й день планують відпочинок, а на 5-й день знижують обсяг тренувальних навантажень.
Наведені вище плани є орієнтовними, їхнє використання жадає від тренерів творчого підходу й обліку індивідуальних здатностей учнів[13].
При проведенні тренувань варто дотримуватися принципу прогресування (Л.П.Матвєєв), що припускає поступове збільшення навантажень. Відомо, що в тренуванні спринтерів підвищувати навантаження краще хвилеподібним способом, коли за хвилею підвищення ( 2-4 тижневих циклів) треба зниження навантаження.
Різні органи й системи адаптуються з неоднаковою швидкістю. не синхронно, безперервне підвищення навантаження може привести до перса томлінню деяких з них. Коротко тимчасове зниження навантаження дозволить їм відновиться [15].
1.2.Розвиток швидкісно-силових якостей на різних етапах річного циклу тренування спринтерів
У процесі багаторічного тренування спортсмени досягають досить високого рівня спеціальної фізичної підготовки й подальше його підвищення стає досить складним завданням. Механічне нарощування обсягу тренувального навантаження саме по собі не гарантує відповідного рівня поліпшення фізичної підготовки й спортивних результатів подальший прогрес результатів багато в чому залежить від раціонального розподілу тренувального навантаження в більших, середніх і малих циклах. Відповідно до зроблених подань про раціональну структуру тренувального процесу кваліфіковані спринтери на етапі поглибленої спеціалізації використовують подвійний варіант періодизації річного циклу двома піврічними циклами: осінньо-зимовий і весняно-літніми ( перехідний період між першими й другим піврічними циклами, як правило, не планується). Така організація тренувального процесу передбачає зосередження навантаження різної переважної спрямованості на певних етапах підготовки. При цьому:
Специфічне бігове навантаження гліколетичной анаеробной спрямованості для вдосконалювання швидкісної витривалості (біг на відрізках понад 100м зі швидкістю 100-91%) виконується переважно в другому піврічному циклі (більшою мірою це зауваження ставиться юнакам), максимум навантаження цієї спрямованості доводиться на квітень - травень (близько 18% від загального обсягу тренувального навантаження за рік і 20% у юнаків). Слід зазначити, що в першому піврічному циклі дівчини виконують у середньому більший обсяг навантаження для підвищення спеціальної витривалості, починаючи такі тренування з листопада (юнака із грудня).
Силовий-силову-силове-силова-швидкісно-силові стрибкові вправи використовуються в значних обсягах на і спеціально-підготовчих етапах. У першому піврічному циклі основний обсяг стрибкових вправ дівчини виконують у листопаді ( 20-7%), юнака в листопаді-грудні (12-15%). У другому циклі основний обсяг вправ юнака виконують у квітні, дівчини у квітні-травні. У змагальном періоді обсяг стрибкових вправ становить у середньому 6-8% на місяць від річного обсягу.
Силовий^-силові-швидкісно-силові вправи з обтяженнями спринтери у великому обсязі використовують у першому піврічному циклі, а найбільш високими параметрами навантаження в листопаді-грудні (18-22% на місяць).
У бігунок обсяг вправ з обтяженням розподілений більш рівномірно, основний відсоток навантаження доводиться на другий піврічний цикл із найбільш високими параметрами в березні-квітні (12-17%) на місяць.
Як і в розглянутому вище випадку із стрибковими вправами, у змагальном періоді обсяг вправ з обтяженням істотно знижує й не перевищує 10% на місяць від річного обсягу.
Такий розподіл засобів швидкісно-силової підготовки в бігунок з акцентом на стрибкові вправи в першому піврічному циклі, на нашу думку, пов'язане з морфофункціональним особливостями організму. [7; 11]
На етапі поглибленої
спеціалізації, тренування у всіх
періодах
річного циклу носять
комплексний характер, що забезпечує
ріст
технічної майстерності й
підвищення спеціальної фізичної
підготовленості спортсменів. Однак, оскільки на кожному етапі річного циклу в тренуванні увага акцентується на рішенні певних завдань, те характерною рисою динаміки навантаження є нерівномірне розподілу приватних обсягів основних тренувальних засобів по етапах. Такий хвилеподібний розподіл обсягів засобів різної спрямованості дозволяє цілеспрямовано впливати на певні фізичні якості й здатності з урахуванням біологічних особливостей адаптації організму в процесі технічного-спортивно-технічного вдосконалювання.
Більші обсяги навантаження швидкісно-силової спрямованості мають тугіше динаміку, що й навантаження аеробної спрямованості, які виконуються на першому, другому й шостому тижнях, але швидкісно-силові вправи на першому тижні виконуються в середньому обсязі.
Осінньо-зимовий спеціально-підготовчий етап.
Тренування на даному етапі спрямовані безпосередньо на становлення спортивної форми. Основне завдання цього етапу - удосконалювання спортивних здатностей і технічної майстерності спортсменів. Тривалість цього етапу становить 5-6 тижнів. На цьому
етапі зростає питома вага вправ спеціальної фізичної підготовки, що виражається в домінуванні бігового навантаження анаеробної направності.
Досягнутий на попередньому етапі рівень силовій підготовці підтримується за рахунок виконання стрибкових вправ з обтяженням. Найбільший обсяг вправ швидкісно-силової спрямованості виконується в середині етапу.
Бігову роботу алактатно-анаеробной і гліколетичной спрямованості доцільно проводити в часі, тому що паралельне використання навантажень із більшими обсягами бігового навантаження, спрямованої на вдосконалюванні швидкості й швидкісної витривалості, не дозволяє якісно виконувати першу з них (швидкісну). Робота над швидкісною витривалістю приводить до значного нагромадження молочної кислоти в організмі, вимагає напруга енергетичних ресурсів і в остаточному підсумку вступає в конкурентні відносини із програмою підвищення швидкості.
Зимовий змагальний етап складається як правило, з 6-8 мікроциклів. Основними завданнями змагального етапу є збереження й подальше підвищення рівня спеціальної підготовленості й можливо більш повно його використання в змаганнях
Срибкові вправи з обтяженнями виконуються в невеликому обсязі протягом усього змагального мезоцикла.
Весняно-літній спеціально підготовчий етап.
Із цього етапу починається другий цикл підготовчий до літніх стартів. Тривалість його становить 4-6 тижнів. Як і на осінньо-зимовому общепідготовчому етапі, велика увага приділяється повішенню рівня швидкісно-силової підготовленості й удосконалюванню загального рівня функціональних можливостей організму.
На зимовім-весняно спеціально підготовчому етапі домінує бігове навантаження аеробної спрямованості, але в порівнянні із зимовим спеціально підготовчим етапам потрібна трохи інша стратегія, по якій більші обсяги навантаження аеробної й змішаної спрямованості розводяться в часі.
Весняно-літній -спеціально-підготовчий етап.
При підготовці до літніх стартів спортсмени планують цей етап тривалістю 6-7 тижнів.
Зміст тренувального процесу передбачає також удосконалювання швидкісної витривалості, крім того, на цьому етапі підвищується максимальна швидкість перегони, поліпшення часу перегони в стартовому прискоренні. Домінує бігове навантаження анаеробной спрямованості. Стратегія організації бігового навантаження на етапі передбачає розведення в часі більших обсягів навантаження, алактатно-анаеробной і гліколитичной спрямованості. Акцентоване вдосконалювання спеціальної витривалості здійснюється на початку й кінці спеціально-підготовчого етапу. Швидкісно-силова підготовка ведеться в підтримуючому режимі, великий обсяг швидкісно-силових вправ виконується в середині етапу.
Літній Змагальний період.
Період основних літніх змагань у спринтерів становить до 12-15 тижнів, організованих у вигляді три-трьох-три-двох-трьох послідовно повторюваних змагальних мезоциклов. Кожний такий мезоцикл складається з 4-6 тижнів, остання з яких є відбудовною. У мезоциклах домінує бігове навантаження алактатно-анаеробной і гліколической спрямованості. Великий обсяг перегони із гліколической спрямованістю рекомендується виконувати в другий тиждень мезоцикла.
Швидкісно-силове навантаження виконується в невеликому обсязі в плині всього мезоцикла (крім відбудовних мікроциклів).
У кожному мезоциклі бігуни беруть участь у двох-трьох змаганнях, головні старти сезону доводяться на кінець змагального періоду.
1.3. Деякі біохімічні аспекти харчування спортсменів
Харчування ставиться до числа найбільш древніх зв'язків між живими організмами й навколишнім середовищем.
Харчування спортсмена, крім забезпечення організму джерелами харчування, енергії, пластичними матеріалами, вітамінами, солями й водою, переслідує й спеціальні завдання, які полягають у підвищенні фізичної працездатності і прискоренні відбудовного періоду після більших фізичних навантажень. Виконуються ці завдання шляхом оптимізації харчових раціонів спортсменів, застосування вітамінів, низькомолекулярних з'єднань вуглеводних, білкових, ліпідних препаратів і спеціальних продуктів підвищеної біологічної цінності.
Досягнення високих спортивних результатів у цей час сполучено із впливом більших фізичних і нервово-психологічних навантажень, які викликають підвищення потреби організму спортсмена в джерелах енергії, пластичних матеріалах, мінеральних з'єднаннях, вітамінах і інших незамінних факторах харчування.
Сучасне спортивне тренування супроводжується значними адаптаційними змінами в обмінних процесах, що визначають рівень фізичної працездатності спортсмена й тривалість відбудовного періоду. Ефективність спортивного тренування можна підвищити, використовуючи біохімічні закономірності й практичні рекомендації, що випливають із них.
В останні роки запропоновані додаткові фактори харчування й фармакологічні препарати застосування яких дозволяє більше ефективно компенсувати енерговитрати, здійснювати цілеспрямовану регуляцію біосинтезу білків-ферментів і скорочувальних білків, стимулювати жировий обмін, заповнювати потреби організму у вітамінах і мінеральних солях. Адаптивний синтез ключових ферментів окремих метаболічних, циклів і посилення синтезу скорочувальних білків є основними критеріями ефективності пластичного обміну кістякових м'язів при їхній систематичній функції.
Завдання цілеспрямованого регулювання адаптивного протеїносинтезу в процесі спортивного тренування вирішується різними шляхами, з яких досить перспективними є наступні:
розробка спеціалізованих продуктів підвищеної біологічної цінності з відносно високим змістом білка;
пошук низькомолекулярних з'єднань, введення яких робить регулюючого впливу на біосинтез білка;
Для рішення цього завдання стором харчування АНІІФК, іншими лабораторіями в нашій країні й за рубежем запропоновані спеціалізовані продукти підвищеної біологічної цінності й фармакологічні засоби. Вони можуть бути розділені наступні групи:
1. Продукти з підвищеним змістом білка : білковий бісквіт, білково-глюкозний шоколад "Спорт", білкове печиво "Олімп" (цукрове),(солоне), білковий мармелад. Білкове печиво "Олімп" -спеціалізований продукт підвищеної біологічної цінності для спортсменів. Найважливішою особливістю печива є високий зміст у ньому повноцінного легкозасвоєного білка доходить до 37%. У середньому 100г печива містить: білків - 37%, жирів - 14%, вуглеців - 39%, Na - 760мг, ДО - 360мг, Са - 570мг, Р - 560мг, Fe -0,5мг. Висока повноцінність печива робить доцільним його
використання як додаткове харчування під час полуденка, другого або першого сніданку по 50-100г у день із урахуванням його калорійності: 100г-450ккал.
Попередники пуринових і пуримідінових нуклеотидів їхні похідні: інозин, оротат калію, 4-метілурація й інші.
Окремі амінокислоти: тирозин, глютамінова, аспарагінова й кислоти (панангін) і інші, а також збалансовані суміші амінокислот.
До теперішнього часу накопичений позитивний досвід застосування більшості із зазначених вище з'єднань і продуктів у процесі спортивного тренування.
Необхідно брати до уваги, що діалектика біологічного регулювання ще не досить пізнана й тому спроби активної його корекції можуть бути сполучені й з негативними наслідками. Надмірне посилення одного з метаболічних процесів шляхом введення невиправдано високих доз біологічно активної речовини може погано корелювати з іншими обмінними реакціями й викликати порушення метаболічної гармонії про організм. Тому застосування препаратів, що регулюють обмін білків і нуклеінових кислот, а також і всіх інших препаратів, повинне бути строго регламентовано.
Кількість води в харчовому раціоні повинне становити біля 2-2,5л з обліком сподіваючись, молока, кава, супів, а також води, що втримується в різних блюдах, фруктах і овочах.
При тренуванні з більшими навантаженнями й змаганнях підвищується потреба у воді. Однак випивати відразу велика кількість рідини не треба. Почуття сухості в роті, що спричиняється спрагу, пояснюється, насамперед, гальмуванням слиновиділення при виконанні інтенсивної м'язової діяльності.
Посиленню слиновиділення сприяє різні органічні кислоти (яблучна, лимонна, бурштинова) можна рекомендувати мінеральні води.
При більших фізичних навантаженнях супроводжуються рясним потовідділенням, збільшується потреба в окремих мінеральних речовинах і насамперед у калії, Na, P, Са.
Для ефективної регуляції водно-сольового обміну в ЛНЛІФК створені спеціалізовані напої, зокрема мінеральній-мінеральні-вуглеводно-мінеральні напої "Вікторія", "Олімпія".
Мінеральний^-мінеральний-вуглеводно-мінеральний напій "Олімпія" може бути використаний як додаткове харчування і як засіб для відновлення солей. Потрібно пам'ятати, що 100г сухого напою - це приблизно 350ккал.
У випадку самостійного готування подібного препарату варто знати, що з наведеної нижче рецептури не можна виключати який-небудь компонент, особливо сольовий.
Таблиця 3
Рецептура вуглеводно-мінерального напою "Олімпія"
|
Компоненти |
На 1 кг сухій суміші напою |
|
Цукровий пісок |
285г |
|
Глюкоза |
500г |
|
Подварка чорносмородинова |
170,7г |
|
Лимонна кислота |
14,75г |
|
Натрій хлористий |
2,5г |
|
Калій фосфорнокислий двузамещенний |
3,5г |
|
Магній хлористий |
4,25г |
|
Глюкоза |
500г |
|
Подварка чорносмородинова |
170,7г |
|
Лимонна кислота |
14,75г |
|
Натрій хлористий |
2,5г |
|
Калій фосфорнокислий двузамещенний |
3,5г |
|
Магній хлористий |
4,25г |
|
Глюкоза |
500г |
|
Подварка чорносмородинова |
170,7г |
|
Лимонна кислота |
14,75г |
|
Натрій хлористий |
2,5г |
|
Калій фосфорнокислий двузамещенний |
3,5г |
|
Магній хлористий |
4,25 г |
Розділ 2. Ціль, завдання, методи й організація дослідження.
2.1 Ціль дослідження.
Визначити найбільш ефективні засоби для розвитку
швидкісно-силових якостей у бігу на короткі дистанції на етапі початкової спеціалізації.
Завдання дослідження:
1. Вивчити стан питання за даними
науково-методичної
літератури.
2. Визначити групу засобів для розвитку швидкісно-силових якостей.
3. Виявити залежність
між спортивним результатом у бігу на
60м
і рівнем розвитку швидкісно-силових
якостей.
2.2. Методи дослідження.
Аналіз науково-методичної літератури.
Педагогічне спостереження.
Методи тестових завдань.
Педагогічні експерименти.
Методи математичної статистики.
2.2.1. Аналіз науково-методичної літератури.
У результаті проведеної роботи проаналізовано 33 літературних джерела, у даній роботі використано27.
При вивченні літературних джерел розглядалися питання засобів і методів розвитку швидкісно-силових якостей на різних етапах спортивного тренування й річного циклу тренування спринтерів. Також приділялася увага висвітленню питання раціонального харчування для легкоатлетів-спринтерів.
2.2.2. Педагогічні спостереження.
Перевірено 20 вибіркових спостережень за тренувальними заняттями спортсменів. Деякі з них проходили із прийомом контрольних нормативів.
2.2.3. Методи тестових завдань.
Для визначення рівня швидкісно-силових якостей використовувалися наступні тестові завдання.
а) біг на 30м і 60м з низького старту - виміру вироблялися за допомогою електронного секундоміра з точністю до 0,01 с;
б) метання м'яча (2кг) двома руками з низу - виміру вироблялися за допомогою рулетки;
в) стрибок у довжину й у висоту з місця, поштовхом двох ніг - показники вимірялися сантиметровою рулеткою з точністю до 0,001м;
г) станова сила - вимірялася механічним динамометром з точністю до 0,5кг;
2.2.4. Педагогічний експеримент.
Проводився із січня по травень 2002р. РЗ ході експерименту визначалася ефективність запропонованої нами групи засобів для розвитку швидкісно-силових якостей спринтерів.
Були визначені контрольна й експериментальна групи по 12 чоловік.
Наприкінці експерименту ми провели порівняння отриманих даних у цих групах.
2.2.5. Метод математичної статистики.
Результати отримані в ході й по закінченню педагогічного експерименту оброблялися за допомогою методів математичної статистики.
Нами були розраховані:

середнє арифметичне значення
коефіцієнт кореляції Браве-Пірсона

2.3. Організація дослідження.
Аналіз науково-методичної літератури проводився із січня по травень 2001р.
Педагогічний експеримент проводився на базі СДЮШОР № 3 м.Дніпропетровська. В експерименті взяло участь 24 чоловік спеціалізуючих в бігу на короткі дистанції.
Загальні відомості про випробувані представлені в табл. 2.1. Обробка отриманих даних і оформлення курсової роботи проводилося з вересня по грудень 2002р.
Таблиця 2.1
Загальні відомості про учасників експерименту
|
№ п/п |
Ф.И. |
Вік (років) |
Ріст (см) |
Вага (кг) |
Спортивний розряд |
Кращий результат в бігу на 60м (сік) |
|
|
1 |
2 |
3 |
4 |
5 |
6 |
7 |
|
|
Експериментальна група |
|||||||
|
1 |
Г - м С. |
14 |
157 |
44.8 |
III юний. ! 8.9 |
||
|
2 |
С - до Д. |
14 |
155 |
41.3 |
II юний. |
8.3 |
|
|
3 |
П-Кар. |
14 |
151 |
41.1 |
III |
7.7 |
|
|
4 |
З-Мс. |
14 |
159 |
42.0 |
1юний. |
8.2 |
|
|
5 |
Б-Ий Л. |
14 |
150 |
41.2 |
III юний. |
8.8 |
|
|
6 |
А-Нк. |
14 |
158 |
43.1 |
III |
7.9 |
|
|
7 |
Т-Ка. |
14 |
156 |
41.7 |
III юний. |
8.9 |
|
|
8 |
Про-Км. |
13 |
156 |
42.1 |
- |
9.0 |
|
|
9 |
З-До. |
13 |
146 |
38.6 |
- |
9.0 |
|
|
10 |
В-Хс. |
13 |
140 |
34.3' |
- |
9.1 |
|
|
11 |
3-вд. |
14 |
168 |
55.1 |
III |
7.8 |
|
|
12 |
До-Ва. |
14 |
159 |
43.0 |
I юний. |
8.0 |
|
|
X |
13,75 |
154,58 |
42,4 |
8,37 |
|||
|
±а |
0,45 |
7,14 |
4,8 |
0,67 |
|||
|
Контрольна група |
|||||||
|
1 |
Б-Йа. |
14 |
155 |
41.4 |
III юний. |
9,0 |
|
|
2 |
Б-Кк. |
14 |
151 |
41.5 |
II ЮНИЙ. |
8.4 |
|
|
3 |
В-До З. |
14 |
154 |
40.4 |
I ЮНИЙ. |
8.2 |
|
|
4 |
Г-В В. |
14 |
156 |
42.5 |
III ЮНИЙ. |
8.9 |
|
|
5 |
Л-Ка Л. |
14 |
148 |
40.2 |
II юний. |
8.5 |
|
|
6 |
Л-Ка М. |
14 |
159 |
45.8 |
II юний. |
8.5 |
|
|
1 |
2 |
3 |
4 |
5 |
6 |
7 |
|
|
7 |
Н-Чс. |
13 |
145 |
38.4 |
- |
9.2 |
|
|
8 |
М-Й А. |
13 |
148 |
37.0 |
- |
9.1 |
|
|
9 |
М-Й Р. |
13 |
150 |
39.5 |
II юний. |
8.4 |
|
|
10 |
М-Й ДО. |
14 |
162 |
49.4 |
III юний. |
8.8 |
|
|
11 |
П-Ка. |
14 |
159 |
47.7 |
II юний. |
8.6 |
|
|
12 |
Р-Ов. |
14 |
160 |
52.2 |
III юний. |
8.8 |
|
|
X |
13,75 |
153,9 |
43 |
8,42 |
|||
|
±о |
0,45 |
5,50 |
4,72 |
0,55 |
Розділ 3. Результати власних досліджень і їх обговорення
За допомогою проведення педагогічного експерименту ми почали спробу визначити ефективність використання запропонованої нами групи тренувальних вправ:
Для здійснення цієї мети ми відібрали дві групи випробуваних. В експериментальну групу ввійшли 12 хлопчиків 13-14 років, що займаються в групі початкової підготовки 1-го року навчання. Контрольну групу склали 12 хлопчиків 13-14 років не займаються легкою атлетикою.
Група запропонованих нами тренувальних засобів була спрямована на підвищення рівня розвитку швидкісно-силових якостей і являла собою комплекс вправ з набивними м'ячами, куди входили наступні вправи:
1. Кидки набивного м'яча з напівприсіда:
а) особою вперед - на дальність і у верх; б)спиною вперед - на дальність;
Стрибки на двох на місці з передачами м'яча від грудей.
Кидки набивного м'яча з напівприсіда на дальність із виконанням прискорення, відразу після випускання м'яча з рук.
Кидки м'яча по черзі правим і лівим стегном під час виконання неглибоких випадів.
Кидки м'яча по черзі правою й лівою ногою, піддягаючи м'яч носком знизу.
Тренувальні заняття будувалися в такий спосіб: понеділок і п'ятниця - виконання вправ з набивними м'ячами в різних сполученнях, у середовище - рухливі й спортивні ігри. Крім цього, приділялася увага виконанню перегони на коротких відрізках (до 8% тренувального часу); загальній фізичній підготовці (близько 15 % тренувального часу).
Групи випробуваних були підібрані з урахуванням вікових критеріїв і фізичного розвитку.
Для визначення вихідного рівня розвитку швидкісно-силових якостей на початку педагогічного експерименту ми протестували обидві групи. Дані про результати тестування представлені в таблиці 3.1.
Виміри проводилися в 3 дні. У перший день вимірялися результати в бігу на 30м і 60м з низького старту, у другий день - стрибки в довжину й нагору з місця й у третій день - метання набивного м'яча (2кг) з місця на дальність і станову силу.
Таблиця 3.1
Вихідний рівень розвитку швидкісно-силових якостей
|
№ і/і |
Ф.И. |
Біг 30м с н/с (с) |
Біг 60м з н/з (с) |
Стрибок у довжину с місця (см) |
Стрибок нагору з місця (см) |
Станова сила (кг) |
Метання набивно го м'яча с місця (м) |
|
|
1 |
2 |
3 | 4 |
5 |
6 |
7 |
8 |
||
|
Експериментальна група |
||||||||
|
1 |
Г-Мс. |
5.1 |
8.9 |
215 |
47 |
75 |
8.26 |
|
|
2 |
З-До Д. |
4.7 |
8.3 |
235 |
52 |
95 |
9.08 |
|
|
3 |
П-Ка Р. |
4.3 |
7.7 |
245 |
55 |
111.3 |
10.06 |
|
|
4 |
З-Ун З. |
4.3 |
8.2 |
240 |
52 |
102.5 |
9.15 |
|
|
5 |
Б-Йл. |
4.9 |
8.8 |
213 |
43 |
79.4 |
8.54 |
|
|
6 |
А-Нк. |
4.2 |
7.9 |
260 |
57 |
114.3 |
10.50 |
|
|
7 |
Т-Ка. |
4.7 |
8.9 |
212 |
41 |
80.0 |
8.96 |
|
|
8 |
Про-Й Д. |
4.8 |
9.0 |
211 |
40 |
81.2 |
8.85 |
|
|
9 |
З-До. |
4.9 |
9.0 |
213 |
44 |
82.1 |
8.90 |
|
|
10 |
В-Хс. |
5.0 |
9.1 |
-210 |
43 |
79.5 |
8.40 |
|
|
11 |
3-й Д. |
4.3 |
7.8 |
250 |
56 |
105.4 |
10.3 |
|
|
12 |
До-Ва. |
4.2 |
8.0 |
242 |
50 |
101.6 |
9.45 |
|
|
X |
4,83 |
8,47 |
228,83 |
48,33 |
85,04 |
9,20 |
||
|
±G |
0,38 |
0,53 |
18,25 |
6,09 |
14,14 |
0,74 |
||
|
Контрольна група |
||||||||
|
1 |
Б-Й А. |
5.2 |
9,0 |
244 |
55 |
95 |
10.5 |
|
|
2 |
Б-Нк. |
4.9 |
8.4 |
233 |
54 |
88 |
9.70 |
|
|
3 |
В-До З. |
4.3 |
8.2 |
230 |
52 |
94 |
9.90 |
|
|
4 |
Г-Вв. |
4.8 |
8.9 |
244 |
57 |
105 |
10.30 |
|
|
5 |
Л-Ка Л. |
5.0 |
8.5 |
241 |
51 |
87 |
9.40 |
|
|
6 |
Л-Ка В. |
4.8 |
8.5 |
227 |
51 |
89 |
9.55 |
|
|
7 |
Н-Чс. |
5.4 |
9.2 |
215 |
46 |
80 |
9.05 |
|
|
8 |
Н-Йа. |
5.5 |
9.1 |
218 |
49 |
81 |
9.16 |
|
|
9 |
М-Вр. |
5.0 |
8.4 |
219 |
50 |
86 |
9.12 |
|
|
10 |
М-Йк. |
4.8 |
8.8 |
248 |
52 |
93 |
10.5 |
|
|
11 |
П-Ка. |
4.5 |
8.6 |
226 |
54. |
98 |
9.80 |
|
|
12 |
Р-Ов. |
4.9 |
8.8 |
232 |
53 |
97 |
9.74 |
|
|
X |
4,93 |
8,80 |
223,92 |
52,02 |
91,08 |
9,67 |
||
|
±о |
0,28 |
0,31 |
15,14 |
3,97 |
7,3 |
0,43 |
У таблиці 3.1. можна бачити, що в експериментальній групі лише 3 чоловік перевищують за всіма показниками учасників контрольної групи, але в теж час потрібно відзначити, що якщо взяти середні величини, те контрольна група показала результати вище, ніж експериментальна, особливо в становій силі, де перевага контрольної групи склало близько 6 кг. В інших тестах середні результати виглядають так:
у бігу на 30м: контрольна група - 4,87± 0,28; експериментальна - 4,83± 0,38; різниця склала - 0.04 с
у бігу на 60м: контрольна група - 8,7± 0,31; експериментальна - 8,47± 0,53; Це єдиний показник, де експериментальна група виглядала краще й різниця рівнялася - 0.23 с.
У стрибках у довжину з місця: контрольна група - 223,92±15,14;
експериментальна група-228,83±18,25.
У метанні набивного м'яча: контрольна група - 9,67±0,43;
. експериментальна група - 9,20±0,74
Після п'яти місяців тренувань по запропонованій нами методиці, було проведено повторне тестування, що і повинне було вказати на сильні й слабкі сторони висунутої нами гіпотези.
Дані відображають рівень розвитку швидкісно-силових якостей по закінченню педагогічного експерименту представлені в табл. 3.2. Виміри проводилися за такою схемою як і в першому випадку. Отримані в результаті останнього тестування дані, дозволили зробити ряд висновків. Експериментальна група досить сильно додала у швидкісно-силовій підготовці й перевершувала контрольну групу у всіх показниках, крім станової сили. Середні величини приросту показників склали:
у бігу на 30м: контрольна група - 0.05з;
експериментальна трупа ---і 0.32з;
у бігу на 60м: контрольна група - 0.04з;
експериментальна група - 0.22з;
у стрибках у довжину з місця: контрольна група - 4.5див;
експериментальна група - 9.80див;
у стрибках нагору з місця: контрольна група - 0.23див;
експериментальна група - 5.44див;
у становій силі: контрольна група - 2 кг;
експериментальна група - 12.66 кг.
у метанні набивного м'яча: контрольна група - 0.2м;
експериментальна група - 1.9м;
Таблиця 3.2 Рівень розвитку швидкісно-силових якостей по закінченню
педагогічного експерименту.
|
№ п/п |
Ф.И. |
Біг 30м з н/з (с) |
Біг 60м з м/з (сік) |
. Стрибок у довжину с/м (див) |
Стрибок нагору с/м (див) |
Станова сила (кг) |
Метання набивного м'яча с/м (м) |
|
Експериментальна група |
|||||||
|
1 |
П-Шс. |
4.87 |
8.6 |
225 |
54 |
84 |
10.15 |
|
2 |
З-До Д. |
4.27 |
7.9 |
238 |
56 |
100 |
11.24 |
|
3 |
П-Ка Р. |
4.0 |
7.59 |
272 |
58 |
115 |
12.7 |
|
4 |
З-Нс. |
4.25 |
8.05 |
260 |
55 |
108 |
11.4 |
|
5 |
Б-Йл. |
4.85 |
8.54 |
220 |
47 |
85 |
10.10 |
|
6 |
А-Нл. |
3.95 |
7.5 |
275 |
63 |
118 |
13.04 |
|
7 |
Г-До А. |
4.50 |
8.7 |
224 |
48 |
87 |
10.03 |
|
8 |
Про-Й Д. |
4.64 |
8.84 |
218 |
45 |
87 |
9.98 |
|
9 |
З-До. |
4.83 |
8.80 |
218 |
49 |
90 |
10.12 |
|
10 |
В-Х З. |
4.80 |
8.85 |
216 |
49 |
84 |
9.80 |
|
11 |
3-й Д. |
4.0 |
7.58 |
270 |
61 |
110 |
12.90 |
|
12 |
До-Ва. |
4.0 |
7.67 |
255 |
60 |
104 |
11.18 |
|
X |
4.51 |
8.25 |
238.6 |
53.75 |
97.7 |
11.1 |
|
|
±с |
0.39 |
0.66 |
26.3 |
6.05 |
12.9 |
1.2 _ |
|
|
Контрольна група |
|||||||
|
1 |
Б-Й А. |
5.1 |
8.9 |
250 |
55 |
97 |
11.00 |
|
2 |
Б-Нк. |
4.8 |
8.3 |
238 |
54 |
90 |
9.85 |
|
3 |
В-До З. |
4.3 |
8.2 |
235 |
53 |
95 |
10.05 |
|
4 |
Г-Вв. |
4.7 |
8.7 |
247 |
58 |
107 |
10.40 |
|
5 |
Л-Ка Л. |
4.8 |
8.4 |
245 |
50 |
88 |
9.45 |
|
6 |
Л-Ка В. |
4.6 |
8.5 |
235 |
52 |
92 |
9.70 |
|
7 |
Н-Чс. |
5.3 |
9.3 |
220 |
45 |
81 |
9.08 |
|
8 |
Н-Йа. |
5.5 |
9.1 |
223 |
48 |
83 |
9.25 |
|
9 |
М-Вр. |
4.8 |
8.4 |
222 |
52 |
86 |
9.15 |
|
10 |
М-Й ДО. |
4.7 |
8.7 |
252 |
52 |
95 |
10.70 |
|
11 |
П-Ка. |
4.4 |
8.5 |
230 |
53 |
103 |
9.90 |
|
12 |
Р-Ов. |
4.8 |
8.8 |
'240 |
55 |
100 |
9.95 |
|
X |
4.82 |
8.74 |
228.4 |
52,25 |
93.08 |
9.87 |
|
|
±о |
0.29 |
0.52 |
10.9 |
3,41 |
7.96 |
0.60 |
Шість чоловік в експериментальній групі мають результат у бігу на 60м вище, ніж у контрольній. Приріст результатів у спортсменів
експериментальної групи значно перевищує ці показники в контрольній групі.
Вищевикладене може свідчити про правильність і ефективність нашій методиці в тренуванні спринтерів.
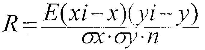
За допомогою математичної обробки статистичних даних нами був установлений ступінь взаємозв'язку спортивного результату з рівнем розвитку швидкісно-силових якостей, шляхом визначення коефіцієнта кореляції Браве-Пірсона (рис. З.1., 3.2.)

Рис. 3.1. Взаємозв'язок спортивного результату з рівнем розвитку швидкісно-силових якостей в експериментальній групі.

Рис. 3.2. Взаємозв'язок спортивного результату з рівнем розвитку швидкісно-силових якостей у контрольній групі.
Висновки
На підставі вивчення даних науково-методичної літератури виявлено, що в 14-літньому віці починається підготовка юних бігунів на короткі дистанції. Основним завданням тренувального процесу є досягнення різнобічної фізичної підготовленості й сприяння розвитку спеціальних фізичних якостей. На цьому етапі рівень фізичної підготовленості бігунів на короткі дистанції можна оцінювати за результатами: біг 30 м, 60 м, стрибки з місця в довжину й нагору поштовхом двох, становий динамометрії.
Визначена досить оригінальна група засобів для розвитку швидкісно-силових якостей і апробована на юних спортсменах.
Виявлено залежність між рівнем розвитку швидкісно-силових якостей і спортивним результатом у бігу на 60 м. Так, коефіцієнт кореляції з бігцем на 30 м з низького старту склав 0.93, негативна, але високий ступінь взаємозв'язку виявлений зі стрибком у довжину з місця - 0.70 ; стрибком нагору з місця - 0.75 становий силон ---0.64;метанням набивного м'яча двома руками з низу - г = - 0.86.
Враховуючи результати дослідження, можна затверджувати про ефективність запропонованої нами методики й рекомендувати її застосування при тренуванні юних спринтерів.
Список літератури
Алабин В.Г., Зверник В. И. "Спринт" - Минск: Беларусь, 1977 г.
Алабин В. Г., Юшкевич Г. П., Масловский Е. А. "Учись бегать, прыгать, плавать"-Минск : Беларусь, 1974 г.
Алабин В. Г., Крупенко В. П. "Специальные упражнения для юных легкоатлетов"-Минск (1970 г.)
Аракелян Е. Е., Левченко А. В., Вовк С. И. "Физическая подготовка спринтеров", Учебное пособие для студентов ГЦОЛИФКа- 1991 г.
Вайце'ховский С. М. "Книга тренера"-Минск : Физкультура и спорт, 1971 г.
Валик Б. В. "Тренерам юных легкоатлетов"-Минск : Физкультура и спорт, 1974 г.
Верхошанский Ю. В. "Основы специальной физической подготовки спортсменов"-Минск : Физкультура и спорт, 1984 г.
Залесский М. В. "Питание легкоатлетов"-Минск : Физкультура и спорт, 1978 г.
Зациорский В. М. "Физические качества спортсмена"-Минск : Физкультура и спорт, 1970 г.
Калинский М. И., Рогозкин В. А. "Биохимия мышечной деятельности"-Киев : Здоровье, 1989 г.
Коробков В. Г. "Книга легкоатлета"-Минск : Физкультура и спорт, 19/1 г.
Лутковский Е. М., Филипов А. А. "Легкая атлетика"-Минск : Физкультура и спорт, 1970 г.
Максименко Г. Н., Табачник Б. И. "Тренировка бегунов на короткие дистанции"-Минск : Физкультура и спорт, 1978 г.
Максименко Г. Н. "Управление тренировочным процессом юных бегунов"-Киев : Здоровье, 1978 г.
Матвеев Л. П. "Основы спортивной тренировки"-Минск : Физкультура и спорт, 1977 г.
Озолин Н. Г., Марков Д. П. "Легкая атлетика"-Минск : Физкультура и спорт, 1972 г.
Петровский В. В. "Бег на короткие дистанции"-Минск : Физкультура и спорт, 1978 г.
Петровский В. В. "Организация спортивной тренировки"-Киев : Здоровье, 1978 г.
Рыжков Б. В. "Подготовка бегунов на 400 м"-Учебное пособие-Челябинск, 1989 г.
Садовский В. А. "Библиотечка легкоатлета"-Минск : Физкультура и спорт, 1973 г.
Синицкий 3. П., Озолин Н. Г., Юшко Б. Н. "Легкая атлетика"-Киев : Здоровье, 1978 г.
Суслов Ф. П., Максименко Г. Н., Никитушкин В. Г., Брейзер В. Г., Тихонов С. А. "Подготовка сильнейших бегунов мира"-Киев: Здоровье, 1990г.
Филин В. П. "Бег на короткие дистанции"-Минск : Физкультура и спорт, 1964 г.
Филин В. П. "Скоростно-силовая подготовка юных спортсменов"-Минск : Физкультура и спорт, 1968 г.
Карре Д. "Учение о тренировке"-Минск : Физкультура и спорт, 1971 г.
Юшко Н. Г. "Легкая атлетика"-Киев : Здоровье, 1978 г.
27. Лаптев А. П., Полиевский С. А. "Гигиена"-Минск : Физкультура и спорт, 1990 г.