Проектирование жилого здания (работа 1)
Проектирование жилого здания
1. Жилая среда как объект проектирования
В современной проектной практике прочное место занимают представления о жилище как о иерархически построенной системе, простирающейся от мира вещей в семейном быту до поселения в целом. Утверждение этих представлений в реальных и футурологических проектах, в теории и в постройках составляет характерную особенность новейшей истории создания жилища. Еще в 20-е годы многие архитекторы стремились раздвинуть границы проектирования жилья до разработки мебели и оборудования. Известно немало проектов того и более позднего времени, в которых моделируется социально-бытовое обслуживание в жилом доме и вне его, обозначаются зоны индивидуальной и общественной деятельности. Все более активное выражение в жилищной проблематике получал градостроительный аспект. Таким образом, понятие "жилище" было значительно расширено, а в 60 - 70-е годы получило распространение еще одно более точное определение этой системы как жилой среды.
На каждом своем уровне - от квартиры до системы расселения - жилая среда обладает определенной структурой. Так, в масштабе поселения, жилого района или комплекса, она представляет собой совокупность элементов природного ландшафта, жилых зданий, объектов культурно-бытового назначения, транспортных и пешеходных путей, элементов благоустройства и озеленения и т.п. .
Сочетания этих элементов могут быть самыми различными, но каждый раз они образуют целостную систему, в которой развертывается значительная часть жизнедеятельных процессов. Возникающая в рамках такой системы жилая среда, обладает организованным пространством. Из нее удалено производство и другие функции, несвойственные селитебным зонам.
В пределах одного здания жилая среда формируется квартирами, элементами инженерно-коммуникационного обеспечения, а в ряде случаев и помещениями общественного назначения и т.д.
Качество жилой среды определяется ее функционально-планировочными, гигиеническими, техническими и эстетическими характеристиками, которые в равной степени важны и для квартиры, и для селитебных зон. Наличие этих характеристик обеспечивает комфорт проживания, а следовательно, и социальную эффективность жилой среды. Достижение комфорта составляет главную цель проектирования. Для ее реализации приходится решать целый ряд специфических задач.
В городе и в селе организация жилой среды начинается с размещения селитебных зон относительно мест трудовой деятельности населения, элементов природного ландшафта и центров обслуживания. Намечается сеть пешеходно-транспортных коммуникаций и система озеленения. Ответственной задачей является функциональное зонирование территорий и пространственная организация застройки.
Будь то планировочный или жилой район, микрорайон, межмагистральная территория, или группа домов - всюду должно быть предусмотрено оснащение территорий зонами отдыха, детскими и спортивными площадками, автостоянками и другими функциональными элементами необходимыми для повседневного использования населением.
Чрезвычайно остро сегодня стоят экологические задачи. Их решение требует всестороннего учета природно-климатических данных, в частности направления господствующих ветров и характера рельефа, а также бережного отношения ко всем природным ресурсам. Только так можно устранить или снизить загрязнение воздушного бассейна в пределах селитебных зон. Актуальной остается защита жилья от повышенного шумового фона. Эффективным средством создания нормальной экологической обстановки в жилой среде служат правильно выбранные планировочные приемы для застройки и типы жилых домов.
Проектируя жилую среду на всех ее уровнях, необходимо четко представлять себе образ жизни населения, его демографическую структуру, потребности людей в сфере быта и досуга. Следует помнить, что сформированная человеком жилая среда сама воздействует на человека и во многом определяет его образ жизни.


2. Основные типы жилых зданий



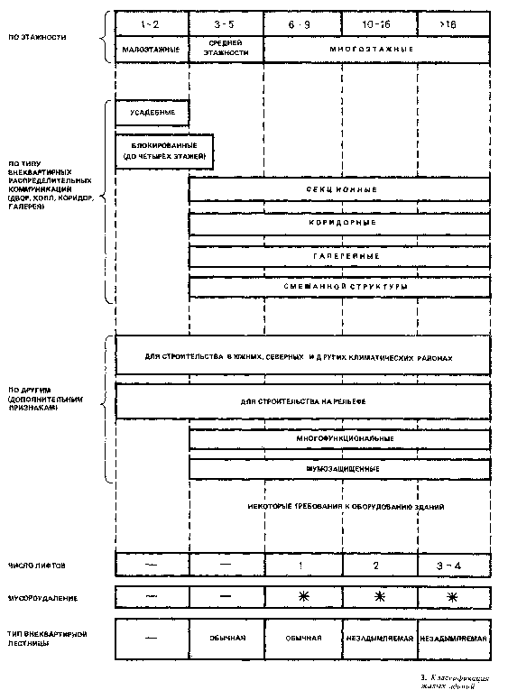
Современная типология жилых зданий отличается значительным разнообразием и имеет глубокие исторические корни. Она охватывает как традиционный опыт в создании жилья, так и разработки последних лет. Поскольку жилищное строительство - одна из самых динамичных сфер архитектурной практики, то процесс совершенствования и развития форм жилья происходит непрерывно. Само понятие "тип жилого дома" получило довольно широкое толкование. Это нашло отражение в разного рода классификациях жилых зданий, которые встречаются в литературе. Основанием для выделения типов жилых зданий служат самые различные свойства домов. Однако наиболее устойчивыми и распространенными признаками для определения типа дома считаются: этажность; вид коммуникаций, обеспечивающих доступ в жилые ячейки и связь с уровнем земли.
Отсюда возникает самое общее, принципиальное деление зданий по типам. Оно дано в схематическом виде. Что касается этажности, то различают две большие группы: безлифтовые и лифтовые жилые дома. Внутри этих больших групп имеются более мелкие группы, отличающиеся устройством лестниц, числом лифтов и другими характеристиками.
В зависимости от вида внеквартирных коммуникаций жилые дома делятся на усадебные и блокированные, на секционные, коридорные, галерейные и смешанной структуры с разной этажностью.
Принятая классификация жилых зданий по этажности не случайна. Она определяет наиболее целесообразное число этажей в каждой из названных групп домов с учетом условий проживания, требований к инженерному оборудованию и пожарной безопасности, а также по конструктивным и экономическим соображениям. В частности, усадебный дом выше двух этажей неудобен в функциональном отношении, а его конструктивная основа существенно отличается от зданий другого типа. Если число этажей в доме превышает пять, то необходимы лифты: до девяти этажей-один, с 10 до 16-два.
Границы групп зависят также от нормируемого вида внеквартирной лестницы: в зданиях выше девяти этажей она должна быть незадымляемой. К зданиям выше 16 этажей предъявляют дополнительные конструктивные требования по устойчивости и прочности.
В отечественной практике под воздействием экономических факторов учитывается главным образом верхний предел этажности в каждой группе. Так в группе безлифтовых домов средней этажности преобладают пятиэтажные, допустимые по нормам, но малокомфортабельные. В первой группе лифтовых домов массовое распространение получили только девятиэтажные, поскольку в них лифт используется максимально и т.д.
За рубежом таких тенденций не наблюдается, вследствие чего этажность жилой застройки более разнообразна.
Фактически каждый жилой дом обладает не одним, а суммой типологических признаков, которые могут встречаться в разных комбинациях. К указанным признакам часто добавляются еще и особенности объемно-планировочного решения, принадлежность к определенной конструктивной системе и т.д. Более подробно эти вопросы будут рассмотрены в специальных главах данного учебника. Здесь же отметим свойства лишь основных типов.
Для секционного дома характерно объединение на каждом этаже нескольких квартир вокруг лестницы или лестнично-лифтового узла с распределительным холлом. Объемно-планировочный элемент, возникающий на основе одного такого узла, обычно называют секцией. Соединение нескольких секций дает многосекционный дом. Наряду с ним в застройке применяют и односекционные здания.
Жилые дома секционного типа самые распространенные в городской застройке благодаря разнообразию планировочных структур, хорошим технико-экономическим показателям и градостроительной маневренности.
В коридорных домах доступ в квартиры обеспечивается коридорами, ведущими к лестнице и лифтам. Число квартир вдоль коридора может быть практически любым, важно лишь соблюдать нормативные расстояния между лестницами. Этажность таких домов может быть любой.
Большое распространение коридорный дом имел в эпоху становления капиталистического производства, когда в массовом порядке строилось дешевое жилье для рабочих. В конце XIX-начале XX вв. этот тип нередко встречается среди доходных домов. В это время он стал синонимом скученности и неудобств. В самом деле, при поэтажном размещении коридора все квартиры неизбежно имеют одностороннюю ориентацию, становится невозможным сквозное проветривание.
Позднее коридорный дом был существенно усовершенствован, в частности, в проектах Ле Корбюзье, развивавших идею построения квартир в двух уровнях и размещения коридоров через этаж. Однако, массового применения коридорный дом так и не получил несмотря на ряд интересных интерпретаций этой системы в постройках 60-х-начала 70-х годов, осуществленных в различных странах.
Коридорная система планировки остается доминирующей в гостиницах и общежитиях.
Галерейный дом по коммуникационной структуре аналогичен коридорному. Различие между ними состоит в том, что галерея располагается вдоль протяженной стороны здания, остается открытой и получает естественное освещение. Через галерею можно обеспечить сквозное проветривание квартир.
Недостаток галерейного дома при поэтажном расположении галерей заключен в меньшей, в сравнении с секционным и коридорным типом дома, ширине корпуса, что снижает его теплотехнические качества. В связи с этим основной зоной его распространения остаются районы с теплым климатом.
В жилищном строительстве нередко применяют смешанные варианты коммуникационного обеспечения квартир, что приводит к появлению коридорно-секционных, галерейно-секционных и других систем.
Дом усадебного типа предназначен главным образом для строительства в сельской местности и в малых городах. Вход в него устраивается с уровня земли, что обеспечивает необходимую в этом случае связь с участком и придомовыми хозяйственными помещениями. Размер участка 600 - 1200 м2. Он рассчитан на ведение развитого подсобного хозяйства одной семьей.
В блокированном доме каждая квартира, как и в предыдущем случае имеет отдельный вход с уровня земли. В отличие от усадебного блокированный дом может иметь до четырех этажей, если в нем предусмотрены расположенные друг над другом двухуровневые квартиры. Вход в верхние квартиры обеспечивается наружными лестницами. В связи с уменьшением приквартирных участков до 150 - 200 м блокированные дома дают довольно высокую плотность застройки и пригодны для городского строительства.
Для многофункциональных жилых зданий характерно сочетание жилых этажей со встроенными или пристроенными учреждениями другого назначения. Дома такого типа могут быть любой этажности.
Многофункциональное жилое здание имеет множество исторических прототипов и в городской и сельской застройке. Из глубокой древности дошел до нас, например, дом, у которого первый этаж занят торговым помещением. Этот компоновочный прием широко применялся в эпоху средневековья и позднее. В России типичным примером тому был купеческий дом. В XIX в. под магазины стали отводиться первые этажи многоэтажных жилых зданий. Помимо торговли с жильем соединяли также ремесленные мастерские, рестораны и прочие предприятия питания.
В современной городской застройке можно встретить практически любые сочетания жилья с общественными учреждениями в структуре одного дома. Разнообразнее стала планировочная структура многофункциональных зданий. Проектируются и строятся дома с обслуживанием, а также многофункциональные жилые комплексы.
Специализированное жилище разнообразно по своему назначению. Сюда относятся: дома для престарелых, где развита структура бытового и медицинского обслуживания; жилье для временного проживания; интернаты. В практике последних лет обозначился и такой новый тип коллективного жилища как МЖК, предназначенный для заселения молодыми семьями и располагающий определенными видами культурно-бытового обслуживания.
Проектирование специализированного жилища ведется с учетом специальных норм и правил.

В заключение отметим, что сегодня исчезает резкое различие по уровню комфорта и оборудованию между городским и сельским жилищем. Однако застройка ведется разными типами домов. В селе доминирующим видом жилья вновь становится индивидуальный усадебный дом. В городах же возводят любые виды зданий, за исключением усадебных, которые сохраняют свое значение лишь в малых населенных местах.
3. Виды жилой застройки
Жилая застройка проектируется и осуществляется в самых различных природно-климатических и градостроительных условиях, и это отражается на ее пространственной организации, на выборе типов домов и композиционных приемов. Можно выделить несколько основных видов застройки, отличающихся по характеру образуемых пространств и по рисунку плана. Они встречаются в проектной практике для самых различных населенных мест: от крупного города до села.

Периметральная
застройка
составляется из протяженных жилых домов
любого типа: многосекционных, коридорных,
галерейных, блокированных. Для нее
характерно образование дворового
пространства в группе домов, полностью
замкнутого или частично раскрытого.
Минимальные размеры двора устанавливают
с учетом инсоляционных разрывов между
домами, стоящими напротив друг друга.
Однако периметральная застройка может
охватывать и участок значительного
размера.
Предшественник современной периметральной застройки - традиционный городской квартал, определявший планировочную структуру всех исторически сложившихся городов. На рубеже XIX-XX вв. и позже квартальная планировка и возникающая вместе с ней сплошная фронтальная застройка улиц подверглись резкой критике в новых градостроительных концепциях. Однако в 70-е годы жилой квартал, более свободный, чем исторические прототипы, озелененный и благоустроенный вновь стал элементом градостроительных планов, причем не только в зонах реконструкции, но и на свободных территориях. Возрождается и традиционная улица.
Строчная застройка возникла как альтернатива старым городским кварталам и долгое время считалась символом современного градостроительства, принципы которого были изложены, в частности, в Афинской хартии. В советских городах получила массовое распространение с 20-х годов и применяется до сих пор. За рубежом была характерна главным образом до 70-х годов. Строчная застройка в отличие от периметральной открыта для аэрации территории, пронизана зеленью. Однако из-за того, что жилые здания располагаются преимущественно торцом к магистралям и улицам защита территорий от транспортных шумов оказывается недостаточной. Массовое применение строчной застройки стало кроме того одной из причин потери индивидуального облика городов, утраты улиц как архитектурно-планировочных элементов, однообразия пространств и перерасхода территорий. В настоящее время строчная застройка заметно уплотняется, трансформируется в более замкнутые планировочные образования. В ее формировании так же, как и в предыдущем случае участвуют дома разных типов.
Групповая застройка в отечественной практике возникла в 70-х годах, в период укрупнения микрорайонных территорий, когда периметральная застройка уже не могла дать необходимой плотности. При этом приеме протяженные жилые дома группируются в виде разнообразных геометрических фигур, образующих дворы различной формы и глубины, часто в сочетании с односекционными домами большей этажности. Такие группы, одинаковые или несколько отличающиеся друг от друга, размещенные вдоль красных линий микрорайонов, представляют значительные по протяженности, самостоятельные ансамбли.
"Сетчатая" застройка компонуется на геометрической сетке разного рисунка. Для ее формирования используются многоквартирные жилые дома от одного до четырех этажей блокированного, секционного, коридорного, галерейного или смешанного типов. Внутренние дворы служат рекреацией для группы квартир.
"Ковровая" застройка образуется из одно-двухэтажных блок-квартир с внутренними двориками. В тех случаях, когда блок-квартиры имеют правильную геометрическую форму "ковровая" застройка напоминает "сетчатую".
Однако "ковровая" застройка всегда сохраняет свой существенный признак - внутренний двор принадлежит одной квартире. В практике можно найти немало примеров использования сложных по конфигурации исходных блок-квартир, что освобождает рисунок плана от строгой геометричности и сообщает ему больше свободы и живописности.
Таковы основные и наиболее распространенные виды застройки, различающиеся по типологическому признаку. Кроме них можно назвать еще несколько.
Для сельских населенных пунктов и малых городов характерна усадебная застройка. Сегодня она особенно актуальна в связи с программой развития сел и поощрения жителей к ведению развитого подсобного хозяйства. В основе ее дом усадебного типа.
Для заполнения небольших свободных участков и замены ветхих зданий в зонах реконструкции используют дома-"вставки". Застройка ими ведется выборочно, что позволяет полнее сохранить облик ценной городской среды и архитектурно-историческое наследие.
При освоении участков с большим уклоном предпочтение нередко отдается застройке из террасных домов, что позволяет использовать территории, относящиеся к категории неудобных.
Одной из современных форм ведения жилищного строительства являются многофункциональные комплексы. Они основаны на интеграции жилья с различными учреждениями и применяются как при реконструкции центральных районов, так и на периферии города.
В профессиональном лексиконе архитекторов заметное место занимает еще и такое понятие как "малоэтажная застройка повышенной плотности". Обычно это понятие связывают с застройкой, которая, не превышая двух-трех этажей, дает плотность жилого фонда, достигаемую обычно при использовании пяти-шестиэтажных домов.
Малоэтажная застройка повышенной плотности обладает достаточной градостроительной маневренностью, создает уютную и разнообразную среду, служит хорошим дополнением к многоэтажным домам, органично вписывается в реконструируемые районы. Благодаря этим качествам она стала распространенной во многих странах, причем как в больших городах, так и в малых населенных пунктах. С ней связывают надежды на возвращение в новые жилые районы человеческого масштаба, архитектурного разнообразия и интенсивного использования территорий.
Все перечисленные формы жилой застройки составляют ряд основных морфотипов, встречающихся в структуре городов, поселков и сел. Нередко они используются в сочетании друг с другом, благодаря чему повышается эстетический уровень жилой среды.
Среди других важных характеристик застройки следует назвать размещение жилых зданий относительно пешеходно-транспортных коммуникаций, учреждений обслуживания, зон отдыха и других элементов селитебной зоны. Оно регулируется специальными нормами. Так, например, жилые здания должны располагаться с отступом от красной линии магистральных улиц не менее 6 м. Радиус доступности остановок общественного транспорта не должен превышать 500 м. Расстояние до школ должно быть в пределах 500 м, а до детских садов-300 м. Эти и другие нормы даны в СНиП 2.07.01-89.
Б
ольшое
значение для оценки планировочных
решений имеет такой показатель, как
плотность жилого фонда, т.е. суммарная
общая площадь квартир, приходящаяся на
1 га территории. Она характеризует
интенсивность использования территории,
компактность размещения жилых зданий,
и следовательно, служит исходным условием
для рациональной организации системы
обслуживания, инженерных сетей и дорог.
Плотность жилого фонда зависит от
планировочной структуры застройки,
этажности зданий и климатической зоны.
Влияние на нее оказывают инсоляционные
и пожарные разрывы между зданиями.
Дополнительным показателем плотности застройки служит число жителей на 1 га территории, которое связано с нормой общей площади на человека.
Одна из существенных характеристик жилой застройки - ее этажность. Числом этажей регулируется не только плотность жилого фонда, но и силуэт застройки. Высота зданий определяет размеры дворовых пространств, условия зрительного восприятия окружающей среды, характер затенения придомовых территорий и многое другое. В современной зарубежной практике преобладает ориентация на строительство жилых зданий до трех-четырех этажей. Такое жилье в большинстве стран считается наиболее комфортабельным.
В СССР, начиная с 50-х годов, этажность застройки постоянно наращивалась. В 70-80-е годы строительство домов ниже девяти этажей в крупных городах требовало особого разрешения. В последние годы обозначился поворот к застройке смешанной этажности с применением домов разного типа. Плотность жилого фонда при этом устанавливается по этажности средней для проектируемого жилого образования, но не ниже нормативной.
В композиции планов жилой застройки можно обнаружить влияние ряда объективных факторов.
Кроме того в проектах жилой застройки могут найти отражение творческие предпочтения автора, его приверженность к той или иной градостроительной концепции.
Жилая застройка проектируется как главный элемент жилой среды и этим определяется необходимость учета не только вышеназванных факторов, но и тех, о которых речь пойдет в следующей главе.