Источники радиации (работа 2)
Реферат
Тема: Источники радиации
План:
1. Естественные источники радиации
1.1 Космические лучи
1.2 Земная радиация
2. Искусственные источники радиации
2.1 Излучение в медицине
2.2 Ядерные взрывы
2.3 Энергетика
3. Альтернативные источники энергии
Литература
1. Естественные источники радиации
Естественными радиоактивными веществами принято считать вещества, которые образовались и воздействуют на человека без его участия.
Земная кора, вода, воздух всегда содержат радиоактивные элементы. Человек, как обитатель этой среды, также немного радиоактивен, так как основную часть облучения он получает от естественных источников радиации. Избежать облучения от естественных источников радиации совершенно невозможно. На протяжении всей истории существования Земли, излучения из космоса, облучают земную цивилизацию, которая адекватно адаптировалась к ней.
1.1 Космические лучи
Радиационный фон, от космических лучей, ответственен за половину всего облучения, получаемого населением от естественных источников радиации.
Космические лучи представлены высокоэнергетическими потоками (примерно 90%), альфа-частицами (около 9%), нейтронами, фотонами, электронами и ядрами легких элементов (1%). Однако планета Земля, входящая в Солнечную систему, имеет свои защитные механизмы от радиационных воздействий, иначе жизнь на Земле была бы невозможна.
На расстоянии от одного до восьми земных радиусов космические частицы отклоняются магнитным полем Земли. Магнитное поле Земли создаёт мощную защиту для человека от космической радиации, хотя и не абсолютную. Часть высокоэнергетических частиц прорывается через магнитное поле и достигает верхних слоев атмосферы. Немногие из них проникают через всю атмосферу и достигают поверхности Земли. Большинство же, сталкиваясь с атомами азота, кислорода, углерода атмосферы, взаимодействуют с ядрами этих атомов, разбивая их, рождая множество новых частиц протонов, нейтронов, мезонов, мезонов, образующих вторичное космическое излучение.
Защититься от этого невидимого "космического душа" невозможно. Но одни участки земной поверхности более подвержены его действию, чем другие. Северный и Южный полюсы получают больше космической радиации, чем экваториальные области, так как влияние магнитного поля Земли здесь меньше. Уровень облучения существенно растет с высотой, так как уменьшается слой воздуха, играющего защитную роль Космические лучи, проходя сквозь атмосферу, вызывают появление космогенных радионуклидов, которых сегодня насчитывается около 20. Однако более значительными из них являются изотоп водорода — тритий и углерод-14.
Заряженные частицы, попадая в магнитное поле Земли, образуют так называемые радиационные пояса Земли. Выходу заряженных частиц из радиационных поясов Земли мешает особая конфигурация направлений линий магнитной напряженности, создающих магнитную ловушку. Радиационные пояса Земли были открыты американским ученым Дж. Ван Алленом и русскими физиками С.Н. Верновым и А.Е. Чудановым.
Заряженные частицы в магнитном поле движутся по-разному в зависимости от соотношения плотностей магнитной кинетической энергии. Примерно на расстоянии 10-ти земных радиусов поток заряженных частиц встречает сильное магнитное поле и под действием силы Лоренца изменяется направление их движения. Движение потока заряженных частиц можно представить, как колебательное движение но спиральной траектории вдоль силовых линий магнитного поля из Северного в Южное полушарие и обратно.
Одно колебание вдоль силовой линии из Северного в Южное полушарие протон с энергией 100 МэВ совершает приблизительно за 3 секунды, а время его нахождения в магнитном поле составляет около 100 лет. При этом совершается до 1010 колебаний. В зависимости от энергии и заряда, частицы совершают полный оборот вокруг Земли за время от нескольких минут до суток, двигаясь в западном и восточном направлениях.
Радиационные пояса Земли можно подразделить на внутренний и внешний. Во внутреннем радиационном поясе находятся протоны высоких энергий и электроны. На нижней границе внутреннего пояса на расстоянии 200-300 км от поверхности Земли заряженные частицы испытывают столкновения с атомами и молекулами атмосферы и меняют свою энергию, поглощаясь атмосферой. Во внешнем радиационном поясе находятся электроны с энергией до 100 КэВ и временем «жизни» 105-107 с.
Пояс протонов малых энергий (до 10 МэВ) находится между внутренним и внешним поясами Земли. Зона квазизахвата расположена за внешним поясом и имеет сложную конфигурацию, зависимую от плотности потока космических лучей солнечного ветра.
В годы активного солнца плотность потока энергии солнечного ветра усиливается, граница радиационных поясов отодвигается дальше и становится большим препятствием для космических лучей.
В результате этого, с временной задержкой около года происходит возрастание интенсивности космических лучей на Земле. Время задержки определяется расстоянием, которое проходит солнечный ветер до границ магнитосферы. Радиационные пояса Земли представляют серьезную опасность для экипажей космических кораблей при длительных полетах в околоземном пространстве, если их орбита проходит через область радиационных поясов. Длительное пребывание космических кораблей в радиационном поясе приводит к переоблучению экипажей, выходу из строя оптических приборов и солнечных батарей, находящихся на корабле. В связи с этим проводятся интенсивные исследования при помощи спутников, специальных зондов по определению координат радиационных поясов Земли, а также рассчитываются орбиты космических кораблей для снижения действия радиационного фактора.
1.2 Земная радиация
Как описано выше, земная радиация была открыта более 100 лет назад.
В основном, ответственность за естественную земную радиацию несут три семейства радиоактивных элемента — уран, торий и актиний. Указанные радиоактивные элементы нестабильны и, в результате физических превращений, переход в стабильное состояние, сопровождается выделением энергии или ионизирующим излучением.
Главными источниками земной радиации являются радиоактивные элементы, содержащиеся в горных породах, которые образовались в результате геофизических процессов. Наибольшее содержание радиоактивных элементов содержится в гранитных породах и вулканических образованиях. Средняя концентрация радиоактивных изотопов калия-40, Ra-226, Th-232 колеблется у них от 102 до 103 Бк/кг. В течение эволюционных процессов радиоизотопы мигрируют, участвуя в метрологических и геохимических формированиях окружающей среды. В результате соединения со стабильными элементами они участвуют в обменных реакциях живых организмов, тем самым создавая естественную радиоактивность обитателей Земли. К наиболее значимым элементам, обеспечивающим жизнедеятельность живой материи относятся изотопы калия, углерода и трития, а всего в биосфере находится значительно больше радиоактивных элементов, что обуславливает общую радиоактивность человека.
Основную роль в радиоактивность человека вносит калий-40 — около 20 • 103 Бк или 0,2% от общей массы человека, углерод-14 — около 30 • 102 Бк или 18% от общей массы человека, которые поступают в организм человека в основном по пищевой цепочке.
Основные радиоактивные изотопы, встречающиеся в Земной коре — калий-40, рубидий-87 и члены двух радиоактивных семейств, берущих начало соответственно от урана-238 и тория-232.
Уровни земной радиации неодинаковы и зависят от концентрации радионуклидов в том или ином участке земной коры. В местах проживания основной массы населения мощность дозы облучения в среднем составляет 0,3-0,6 микрозиверта в год.
Основной естественный радиоактивный элемент на территории Белорусского Полесья с периодом полураспада 1,32 х 109 лет, как дозообразующий фактор — это калий-40, который находится в почвах в виде солей и в живых организмах.
К-40 — слаборадиоактивный элемент, экологически мало опасен, он усваивается организмом вместе с нерадиоактивными изотопами калия, необходимыми для жизнедеятельности. В среднем человек получает около 180 мкЗв в год от К-40.
В малых концентрациях естественные источники радиоактивности содержатся в любой почве. Однако, в зависимости от структуры почвы, их больше в гранитных породах, глиноземах и меньше в песчаных и известковых почвах.
Половину годовой индивидуальной эффективной эквивалентной дозы облучения от земных источников радиации человек получает от невидимого, не имеющего вкуса и запаха тяжёлого газа радона. В природе радон встречается в двух основных формах: радон-222, член радиоактивного ряда, образуемого продуктами распада урана-238, и радон-220, члена радиоактивного ряда тория-232.
Радон в 7,5 раза тяжелее воздуха и является альфа-радиоактивным с периодом полураспада 3,8 суток. После альфа-распада ядро радона превращается в ядро полония. Это также альфа-радиоактивный изотоп с периодом полураспада 3 минуты и наличием дополнительного электрического заряда. Следующие элементы этой цепочки радиоактивных распадов имеют такие же характеристики. Заканчивается ряд стабильным изотопом свинца. Концентрация радона в различных точках земного шара неодинакова.
Основную часть дозы облучения от радона человек получает, находясь в закрытом, непроветриваемом помещении, где повышена его концентрация
Радон может проникать сквозь трещины в фундаменте, через пол из поверхности Земли и накапливается в основном на нижних этажах жилых помещений, создавая там повышенную радиацию. Одним из источников радоновой радиации могут быть конструкционные материалы, используемые в строительном производстве. К ним в первую очередь относятся материалы с повышенной радиоактивностью — гранит, пемза, глинозём, фос-фогипс.
Зависимость концентрации радона от вида строительных материалов и от качества вентиляции можно проследить по таблице 2.3 (Холл).
Вода, используемая для бытовых и пищевых целей, обычно содержит мало радона, однако глубоко залегающие водяные пласты могут иметь повышенную его концентрацию. Высокая концентрация радона образуется в ванных комнатах, где радон, испаряясь из горячей воды при принятии душа или ванны, попадает в организм с вдыхаемым воздухом
Основными мероприятиями по устранению влияния радона, уменьшению его концентрации и снижению дозообразующего фактора являются: заделывание швов, трещин в фундаментах зданий, отказ от строительных материалов, содержащих радон, оклейка, окраска покрытий стен пластиковыми материалами, кипячение воды для пищевых нужд, особенно из глубоких артезианских скважин и колодцев, частое проветривание помещений на нижних этажах, ванных комнат.
В процессе развития материального производства, технологий, человек может локально изменить распределение естественных источников радиации, что приводит к повышенному облучению. Такими примерами являются полеты на самолетах, применение материалов с повышенной концентрацией радионуклидов, использование каменного угля и природного газа. Наблюдаемые при этом повышенные уровни излучения называются технологически повышенным естественным радиационным фоном (ТПЕРФ).
Вклад в общую дозу от естественной радиации вносит уголь, сжигаемый как на тепловых электростанциях, так и для обычных бытовых нужд. В 1 кг угля содержится до 50 Бк урана, около 300 Бк тория, 70 Бк калия-40 и других радиоактивных элементов. Если уголь содержит небольшое количество радионуклидов, то в угольных шлаках может быть высокая их концентрация. В связи с этим, нецелесообразно использовать шлаки угля как наполнители к цементам и бетонам, а золу — для улучшения почв. Поэтому тепловые электростанции являются серьезным источником внешнего и внутреннего облучения населения, проживающего на прилегающих территориях.
Другой
источник ТПЕРФ — промышленное
использование продуктов переработки
фосфоритов. Залежи фосфоритов содержат,
как правило, продукты распада U-238
в
сравнительно высоких концентрациях.
При этом следует учесть, что добыча
фосфорной руды в мире очень велика и из
года в год возрастает. Процесс переработки
фосфорной руды экологически небезопасен,
так как отходы руды содержат радионуклиды.
Применение фосфорных удобрений в
сельском хозяйстве, стимулирует усвоение
естественных радионуклидов растениями
из почвы. Использование отходов фосфорного
производства в качестве стройматериалов
(гипса) также является возможным
дополнительным источником облучения.
Так, в частности, в жилом доме, при
строительстве которого вместо обычных
материалов использовались гипсовые
отходы, дополнительная годовая доза
облучения жильцов составит
мГр
(Холл).
Увеличение радиационности почв могут дать фосфорные удобрения, особенно вносимые в жидком виде. В данном случае очень важно соблюдение сроков, по истечению которых можно использовать под выпасы сельскохозяйственные угодья после агрохимии фосфором.
Человечество во всем мире все шире для бытовых нужд использует большое количество потребительских товаров, содержащих естественные радионуклиды. К таким товарам можно отнести часы со светящимся циферблатом, содержащим радий, специальные оптические приборы, аппаратуру, применяемую в аэропортах и таможенном досмотре и т.д.
Нельзя
недооценивать ионизирующее излучение
от телевизоров и, в особенности, от
дисплеев компьютеров. Это излучение, в
некоторых случаях, может превышать
естественные фоновые уровни. В связи с
этим не рекомендуется слишком близко
смотреть телепередачи или продолжительное
время находится у дисплея компьютера,
особенно детям. Показано, что среднегодовая
доза, обусловленная использованием
изделий, содержащих радионуклиды,
составляет менее
мЗв
(1 мбэр).
Дополнительное облучение от естественных источников радиации составляет около 1% коллективной дозы, хотя в некоторых случаях для отдельных групп людей этот вклад может стать существенным по сравнению с естественным фоном.
2. Искусственные источники радиации
Открытие радиоактивности послужило толчком для прикладного использования этого физического явления.
В результате хозяйственной деятельности за последние несколько десятилетий человек создал искусственные источники радиоактивного излучения и научился использовать энергию атома в самых разных целях: медицине, для производства энергии и атомного оружия, для поиска полезных ископаемых и обнаружения пожаров. Мирный атом применяется в сельском хозяйстве и археологии. С каждым годом увеличивается количество искусственных источников излучения, используемых в сфере деятельности человека, которые дают дополнительную дозовую нагрузку.
Дозы, полученные каждым отдельным человеком от искусственных источников радиации очень разнятся. В большинстве случаев они невелики, но иногда техногенное облучение оказывается весьма значительным, хотя и его гораздо легче контролировать.
Совершенно иная ситуация сложилась на территориях, пострадавших от Чернобыльской катастрофы, между искусственными и естественными источниками облучения, о чем подробнее остановимся ниже.
2.1 Излучение в медицине
Медицинские процедуры и методы лечения, которые связаны с применением радиоактивного излучения вносят основной вклад среди техногенных источников радиации. Различают три самостоятельных направления применения радиации в медицине.
1. Использование излучения в диагностических целях. Наиболее распространенным из них являются рентгеновские лучи. Принцип рентгенографии основан на способности рентгеновских лучей проходить сквозь человеческий организм. Как правило, они легче проходят сквозь мягкие ткани и труднее сквозь кости. Результат фиксируется на фотопленке или мониторе компьютера.
В развитых странах в среднем каждый человек раз в два года проходит рентгеновские обследования, не считая рентгенологических обследований зубов и массовой флюорографии. В большинстве стран около половины обследований приходится на долю грудной клетки, но по мере уменьшения заболева-ния туберкулезом интенсивность массовых обследований снижается.
Развитие компьютерной техники позволило совместить рентгеноскопию с современными методами обработки информации. Компьютерная томография находит все более широкое применение. Такая методика при обследовании почек позволила уменьшить дозы облучения кожи в 5 раз, а яичников — в 25 раз по сравнению с обычными методами.
В настоящее время разработан новый метод диагностики на основе ядерно-магнитного резонанса. В таких установках используют не рентгеновское излучение, а очень интенсивное магнитное поле и электромагнитные волны радиочастотного диапазона, этот вид диагностики особенно важен в условиях чернобыльского фактора, так как не дает дополнительной дозовой нагрузки.
2. Введение радиоактивных изотопов в организм человека. Метод основан на регистрации излучения снаружи организма после того, как изотопы сконцентрируются в определенном органе, расположенном в глубине тела.
Область использования радиоактивных веществ для диагностики или лечения называют радиоизотопной медициной. Величину излучения оценивают с помощью счетчиков и определяют локализацию, количество и характер распределения введенного изотопа. Такая информация очень важна для диагностики ряда медицинских нарушений. Благодаря высокой чувствительности счетчиков, определяющих излучение, в организме человека вводят очень небольшое количество радиоактивных веществ, что не нарушает нормального равновесия веществ.
Годовая эффективная эквивалентная доза от данных видов исследований по мнению японских ученых составляет 20 мкЗв на человека.
3. В настоящее время ионизирующие излучения используют для борьбы со злокачественными болезнями. Лучевая терапия основана на способности рентгеновских лучей (или других видов ионизирующих излучений) воздействовать на клетки биологической ткани посредством устранения их способности к делению и размножению. Успешное лечение зависит от точного направления луча и обеспечения строгого режима облучения дозами, распределенными в течение длительного периода времени
В мире насчитывается несколько тысяч радиотерапевтических установок, которые используются для лечения рака. Суммарные дозы для каждого человека довольно велики, однако их получает небольшое число людей. Поэтому их вклад в коллективную дозу незначителен.
Средняя эффективная эквивалентная доза, получаемая от всех источников облучения в медицине в промышленно разви-тых странах около 1 мЗв на каждого жителя, т.е. примерно половина средней дозы от естественных источников. Этот показатель неодинаков в различных странах и определяется уровнем социального развития страны, доступностью медицинской помощи и охвата населения медицинскими мероприятиями, материально-технической базой рентгенологической службы, т.е. качеством и конструктивными особенностями рентгеновской аппаратуры.
2.2 Ядерные взрывы
Любое научное открытие, как показал исторический опыт, может быть использовано во благо или во вред человеческой цивилизации. Одним из примеров этого является разработка и применение ядерного оружия.
Испытания ядерного оружия в атмосфере, начатые после второй мировой войны, являются дополнительным источником облучения населения Земли. Наибольшее количество испытаний было проведено в 1954-1958 и 1961-1962 годах. С 1963 года проводятся в основном подземные испытания, которые обычно не сопровождаются образованием радиоактивных осадков. На рис. 2.9 приведены данные о количестве испытаний в атмосфере различными государствами в период 1954-1962г.г.
В результате взрывов на планете образовалось огромное количество радионуклидов. Часть радиоактивного материала выпала неподалеку от места взрыва (локальные осадки). Тропосферные осадки выпали на расстоянии нескольких сотен тысяч километров в течение месяца после взрыва. Их распространение зависит от погодных условий на данной широте. Большая часть радиоактивного материала сосредоточилась в стратосфере (10-50 км от поверхности Земли), обуславливая глобальное радиоактивное загрязнение окружающей среды в течение многих лет. Радиоактивные осадки состоят из нескольких сотен различных радионуклидов, но наибольшее значение для формирования доз облучения населения Земли имеют следующие: углерод-14, цезий-137, церий-144, стронций-90, рутений-106, цирконий-95, тритий и иод-131. Дозы облучения от этих и других радионуклидов неодинаковы в различные периоды времени после взрыва, так как различна скорость их распада.
2.3 Энергетика
Атомная электростанция (АЭС) — новый современный тип предприятий по производству электроэнергии. В основе ее производства лежат цепные реакции деления тяжелых ядер.
Ядерным
горючим служат изотопы урана
-235
и
-238,_
Ри-239,
Th-232,
но
для большинства АЭС используется только
U-235,
238,
получаемые из урановой руды.
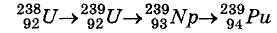
При распаде этих элементов выделяется значительная энергия и, что особенно важно, освобождаются два-три ней-' трона, обладающих кинетической энергией порядка нескольких МэВ; их называют "быстрыми", в отличие от "медленных" нейтронов (Е < 1 МэВ) и "тепловых" нейтронов (Е < 0,01 эВ). Ядерная реакция распада урана-235 выглядит следующим образом

Испускание
при делении ядер
-235,
239
и £/-233 нескольких нейтронов делает
возможным осуществление цепной
реакции. Каждый
из нейтронов, образовавшихся при одном
акте деления, если он будет захвачен
ядром, вызовет появление новых нейтронов,
способных, в свою очередь, вызвать
реакции деления и т.д. Таким образом
будет происходить лавинообразное
нарастание нейтронов деления и развивается
цепочка делящихся ядер (цепная реакция).
В действительности, эта картина не
всегда имеет место: часть вторичных
нейтронов попадает в ядра атомов тех
веществ, которые присутствуют в объеме,
где развивается реакция, но не являются
делящимися, другая часть может просто
выйти за пределы активной зоны —
пространства, где идет реакция.
Условием, необходимым для возникновения цепной реакции, является размножение вторичных нейтронов. Коэффициентом размножения нейтронов называют отношение числа нейтронов в данном поколении к числу нейтронов в предыдущем поколении. Величина этого коэффициента определяется значением среднего числа нейтронов, образующихся при одном акте деления, вероятностями различных процессов взаимодействия нейтронов с ядрами делящегося вещества и примесей, а так же размерами системы, в которой происходит реакция.
Выше описанный процесс может иметь практическое значение, если удастся осуществить цепную реакцию и сделать ее управляемой, т.е. вызвать быстрое нарастание процесса, остановку нарастания и создание стационарного процесса, уровень которого может устанавливаться экспериментатором.
В этом плане
наиболее приемлем изотоп
-235,
т.к. он делится как быстрыми, так и
медленными нейтронами, причем вероятность
деления после захвата нейтрона гораздо
больше, чем у
238,
способного делиться только под действием
быстрых нейтронов. В естественном уране,
содержащем более 99% ядер
-238
и всего 0,72%
235,
цепная реакция самопроизвольно не
возникает. Поэтому в ядерных реакторах
(устройствах, в которых осуществляется
цепные ядерные реакции), работающих на
необогащенном, природном уране, главная
роль отводится редкому изотопу
235.
Первый ядерный реактор был построен в декабре 1942 года в США под руководством Э. Ферми. Первый европейский ядерный реактор создан в СССР в Москве под руководством М.В. Курчатова.
Некоторые из, так называемых, гетерогенных реакторов представляют систему графитовых блоков, в которые вставлены в определенном порядке урановые стержни. Между последними помещены управляющие стержни, содержащие кадмий. Уран является ядерным горючим; графит — замедлитель быстрых нейтронов; кадмий, хорошо поглощающий нейтроны, — поглотитель. Благодаря именно кадмию можно регулировать интенсивность процесса деления: для ослабления реакции управляющие стержни вдвигают в реактор, для ускорения — выдвигают из него. Область, где происходит реакция, окружена слоем бериллия, отражающего нейтроны, и бетонным слоем, поглощающим вредные для человека излучения.
На территории бывшего Советского Союза используются гетерогенные реакторы двух типов — ВВЭР и РБМК. Это реакторы" на тепловых нейтронах.
Аббревиатура ВВЭР расшифровывается как водо-водяной энергетический реактор. В данном случае это означает, что теп-' доносителем и замедлителем является вода.
РБМК — реактор большой мощности канальный (или кипящий). В реакторах этого типа замедлителем служит графит, а теплоносителем — вода.
Основные характеристики РБМК следующие. Активная зона реактора — вертикальный цилиндр эквивалентным диаметром 11,8 м, высотой 7 м. Боковой отражатель толщиной 1 м, торцо- _ вые отражатели — 0,5 м.
В качестве
исходного топлива в реакторах РБМК
используется обогащенный уран, т.е.
содержание
-235
составляет 2%.
Реактор РБМК использовался и на Чернобыльской АЭС.
Ядерный реактор заменяет топку котла. В остальном же АЭС содержит все элементы обычной электростанции. Ток газа, например гелия, передает тепло, освобождающееся в результате деления, в теплообменник. Там же образуется пар, направляющийся на турбину, к которой подключен генератор переменного тока.
АЭС имеет ряд преимуществ перед тепловыми электростанциями, работающими на угле или нефтепродуктах:
10 грамм необогащенного урана заменяет 0,43 м3 нефти, что позволяет экономить природные энергоресурсы.
Поскольку самого процесса сжигания как такового не происходит, выхлопные газы отсутствуют и, следовательно, нет загрязнения окружающей среды двуокисью серы или углерода.
АЭС требует обслуживающего персонала в 2-3 раза меньше, чем тепловые электростанции.
Кроме
электроэнергии указанный тип реакторов,
использующий смесь изотопов урана
-235
и
-238,
производит Ри-239 — радиоактивный элемент,
практически не встречающийся в природе:

Плутоний альфа-активен, период полураспада — 24400 лет. Этот изотоп применяется, главным образом, в военной промышленности. Иначе его называют оружейный плутоний.
Одним из факторов облучения человека, особенно после аварий на атомных электростанциях, является техногенный радиационный фон атомной энергетики, который при нормальной работе ядерной установки невелик.
После аварии на Чернобыльской АЭС в экологическом аспекте возникло резко негативное отношение к перспективам развития ядерной энергетики, хотя и в процессе сжигания угля, с целью получения электроэнергии и отопления помещений, происходит радиоактивное загрязнение окружающей среды. Следует отметить, что в одном килограмме угля содержится около 70 Бк калия-40, 300 Бк тория и до 500 Бк урана. При сжигании радионуклиды концентрируются в золе. Из сказанного следует, что тепловые электростанции являются серьезным источником облучения населения на прилегающих к станциям территориях. Радиоактивные выбросы ТЭС в сопоставимых расстояниях формируют в десятки — сотни раз большую эффективную эквивалентную дозу, чем технологические выбросы нормально работающей атомной станции. Кроме того, в выбросах ТЭС опасны технические канцерогены, особенно бензопи-рен, сернистый газ, окислы азота, ртуть, свинец. Средние индивидуальные дозы облучения в районе расположения ТЭС в зависимости от мощности и степени очистки выбросов золы, по данным Холла, колеблются в пределах 6-60 мкЗв/год, тогда как выбросы АЭС в зависимости от типа реактора от 0,004 до 0,13 мкЗв/год, что значительно ниже (рис. 2.11).
По данным МАГАТЭ к 1993 г. в 29 странах мира действовало 424 энергоблока АЭС. Их мощность составляла около 20% суммарной мощности всех источников электроэнергии. По количеству действующих реакторов государства распределились следующим образом: США — 109 блоков, Франция — 56, Япония — 44, Великобритания — 37, Россия — 28, Германия и Канада — 21, Украина — 15, Швеция — 12 и еще 20 государств имеют от 1 до 9 блоков (рис. 2.12).
Как видно АЭС размещены в достаточно высокоразвитых странах. К особой группе можно отнести ряд стран центральной и восточной Европы. Это Болгария — 6 блоков, Венгрия — 4, Литва — 2, Словакия — 4, Словения — 1, Чехия — 4.
Ядерный топливный цикл включает в себя добычу урановой руды и извлечение из нее урана, переработку сырья в готовое ядерное топливо, транспортировку и химическую регенерацию отработанного топлива, очистку последнего от радиоактивных отходов и примесей, а затем захоронение отходов.
Отходы являются главным долгоживущим источником облучения населения, связанным с развитием ядерной энергетики.
Половину от общего количества урановой руды добывают открытым способом. Затем ее обогащают на фабрике, обычно расположенной неподалеку. Фабрики и создают проблему долговременного загрязнения, образуя огромное количество отходов, которые будут радиоактивны миллионы лет.
По оценкам различных авторов к 2000 году в мире накопится 200 тысяч тонн урана, в тоже время мощности по переработке отходов рассчитаны лишь на 50 тысяч тонн.
В результате переработки образуются газообразные и жидкие радиоактивные отходы, но они дают относительно небольшой вклад в дозы облучения по сравнению с другими этапами топливного цикла.
После обогащения ядерное топливо готово для сжигания. Величина радиоактивных выбросов при этом зависит от типа реактора и колеблется в широких пределах.
Выбросы могут существенно различаться при работе одного и того же реактора в различные годы в зависимости от текущих ремонтных работ, во время которых и происходит большая часть' выбросов.
Часть отработанного ядерного топлива направляется на переработку. В настоящее время это 10% использованного ядерного топлива.
Последний этап топливного ядерного цикла - захоронение высокоактивных отходов, которые представляют наибольшую опасность для экологии. Цикл захоронения требует огромных средств, нуждается в совершенстве технологии утилизации отходов.
В качестве ядерных отходов следует рассматривать и сами ядерные электростанции отслужившие свой срок. В настоящее время ряд блоков в Западной и Восточной Европе подходят к критическим срокам своего существования, поэтому этот вопрос сегодня также актуален, так как демонтировать АЭС сложнее, чем ее построить, и технология демонтажа еще не отработана.
Годовая коллективная эффективная доза облучения от всего ядерного цикла в 1980 году составила 500 чел.-Зв. Ожидается что к 2100 году она возрастет до 200000 чел.-Зв. Эта оценка основана на предположении, что нынешний уровень выбросов сохранится. Но даже и в этом случае, средние дозы будут малы по сравнению с дозами, получаемыми от внешних источников, в 2100 году они составят лишь 1% от естественного фона, хотя с учетом техногенных катастроф на атомных станциях и, в особенности, на Чернобыльской АЭС это соотношение существенно изменится.
На сегодняшний день в разрушенном 4-ом блоке Чернобыльской АЭС находится 50 т урана. Уран находится в застывшей лаве селикатного вещества при температуре 50-100°С, которая расплавила два железобетонных перекрытия. По оценкам специалистов 120 т урана находится между разрушенным 4 блоком и саркофагом. Около 40 т высокорадиоактивной смеси из уранового топлива, графита, бетона находится в шахте разрушенного реактора.
Сам саркофаг находится в аварийном состоянии и срок его > службы по предварительным оценкам — около 5 лет. Бетонное укрытие вокруг 4-го блока имеет трещины около 1000 м2. Верхнее бетонное перекрытие нарушено и в случае экстремальной ситуации 40 т радиоактивной пыли поднимается вверх.
В связи с этим необходимо проводить ежедневный радиационный мониторинг за состоянием окружающей среды, исследовать изотопный состав радионуклидов, динамику их перемещения и своевременно информировать население, чтобы не повторился второй Чернобыль.
В 1993 году состоялся международный конгресс по разработке нового укрытия и созданию экологически безопасной системы. Было представлено около 400 проектов из разных стран мира. В прошлом году состоялось обсуждение первого этапа проекта стоимостью около 300 млн. долларов, рассчитанного на 5 лет. Главным выводом этапа является подтверждение аварийного состояния саркофага. Следует отметить, что работающие 2-ой и 3-ий энергоблоки Чернобыльской АЭС не соответствуют международным нормам радиационной безопасности. В 1991 г. Верховный Совет Украины принял решение о закрытии Чернобыльской АЭС, однако в 1993 г. свое решение отменил. В 1994 г. 7 стран Европейского сообщества предложили Украине 200 млн. долларов для закрытия Чернобыльской АЭС.
По расчетам дирекции Чернобыльской АЭС Украина уже израсходовала 300 млн. долларов на повышение безопасности станции, а также добивается от мирового сообщества финансирования затрат на закрытие Чернобыльской АЭС и компенсации выработки электроэнергии за счет введения новых блоков на других станциях (стоимость около 4,5 млрд. долларов).
Сегодня можно однозначно заключить, что Чернобыльская катастрофа носит глобальный характер. Республика Беларусь нанесет невосполнимый ущерб и ее территория стала зоной экологического бедствия. Пока существуют атомные станции, атомное оружие, необходимо объединить усилия всех людей для выработки эффективных мер от ядерных аварий и преодоления последствий Чернобыльской катастрофы.
В зависимости от характера аварии на атомной электростанции, радиоактивные вещества, выброшенные в атмосферу в результате взрыва или нештатной ситуации, попадают в окружающую среду и переносятся воздушными потоками, в зависимости от погодных условий, на различные расстояния от эпицентра аварии. Вся среда обитания, флора, фауна, находящаяся в зоне взрыва, будет подвергаться облучению. Концентрация и качественный состав радионуклидов, находящихся в радиоактивном облаке, зависят от характера взрыва. Если выброс радиоактивных элементов произошел в результате взрыва активной зоны реактора, то радиоактивные вещества поднимаются достаточно высоко в атмосферу и возможно их перемещение с воздушными массами воздуха на большие расстояния. Важным фактором выброса является температура и состояние реактора в момент аварии. Если реактор в момент аварии находился не в рабочем состоянии, то выброс короткоживущих радионуклидов мало вероятен, и наоборот, авария в момент ядерной реакции сопровождается образованием и выбросом короткоживущих элементов. Наряду с выбросом газообразной фракции радионуклидов из активной зоны реактора Чернобыльской АЭС были выброшены осколки топлива, графит, элементы конструкции и другие материалы с более высокой температурой плавления. Радиоактивное облако, распространяющееся на большие расстояния от места аварии, осаждается на землю с дождевыми осадками, абсорбируется на взвешенных пылинках воздуха, изменяет свою концентрацию и состав. В начальный период аварии короткоживущие радионуклиды, переносящиеся воздушными потоками, являются основными дозообразующими факторами внешнего облучения. В дальнейшем основной вклад в интегральную дозу облучения вносят долгоживущие радионуклиды цезий-134 и -137, церий-134, стронций-90 и другие, которые осаждаясь на землю, растения, водоемы, здания и обладая большими периодами полураспада, являются источниками гамма-излучения. В таблице 2.4 представлен состав радионуклидов в воздухе у поверхности земли на 28 апреля 1986 года в Нурмиярви (Финляндия).
Концентрация радионуклидов в воздухе
|
Нуклид |
Период полураспада Т 1/2 |
Концентрация раионуклидов в воздухе мВк / м |
|
Цирконий-9 |
64,00 дня |
390 |
|
Ниобий-95 |
35,00 дней |
450 |
|
Молибден-99 |
2,75 дня |
2450 |
|
Кадмий-115 |
2,23 дня |
770 |
|
Олово-127 |
3,84 дня |
1200 |
|
Рутений-106 |
373,00 дня |
2400 |
|
Теллур-129 |
33,40 дня |
6600 |
|
Теллур-131 |
1,35 дня |
1120 |
|
Теллур-132 |
3,26 дня |
35000 |
|
Йод-131 |
8,04 дня |
205000 |
|
Йод-133 |
0,87 дня |
55000 |
|
Цезий-134 |
2,10 года |
6470 |
|
Цезий-136 |
13,10 дня |
2700 |
|
Цезий-137 |
30,20 года |
11200 |
|
Барий-140 |
12,80 дня |
5350 |
|
Церий-141 |
32,50 дня |
510 |
|
Церий-144 |
285,00 дней |
370 |
|
Нептуний-239 |
2,35 дня |
3270 |
В непосредственной близости к реактору (на расстоянии 100 км) концентрация вышеперечисленных радионуклидов была намного выше. В послеаварийные годы спектрометрические анализы приземного воздуха показали, что в атмосфере присутствуют в определенной концентрации радионуклиды цезия-137, цезия-134, берилия-7, стонция-90, церия-144, рубидия-106, актиния-228.
На рис.2.13, а, б представлен спектрометрический анализ проб на цезий-137 и Ве-7 за 1989-1993 гг. в г. Мозыре находящемся на расстоянии 90 км от Чернобыльской АЭС.
По оценкам различных авторов, увеличение гонадной дозы составляет около 10 мБэр в год. Эта дополнительная техническая доза также увеличивает риск получения пороков развития у детей, который составляет 1 случай на 8000. Во втором и третьем поколениях это состояние будет расти.
Из выше изложенного можно рассчитать количество наследственных пороков развития, которые возникают от Чернобыльской аварии. Расчет, предложенный Дж. Гофманом, учитывает многие факторы, в том числе, дозовые нагрузки от радиации. Считается, что 48% всей коллективной дозы население Земли получило за первое десятилетие после Чернобыльской катастрофы, 69% — в течении первых 30 лет и 75% — в течении 40 лет после аварии. Оставшиеся 25% будут получены в последующие годы.
Для популяции людей 42 млн. мужчин и женщин, каждый из которых получили среднюю дозу 1 рад, будет наблюдаться 21000 случаев пороков развития новорожденных с ростом в последующих поколениях. Общее количество случаев аномального развития от коллективной дозы 42 млн. человека-рад составит 210000 случаев.
В заключении следует отметить, что методика и расчеты Дж. Гофмана исходят из предельных оценок риска, что, на наш взгляд, оправдано для населения, пострадавшего от Чернобыльской катастрофы, так как здоровье людей, наследственность — важнейший фактор развития общества.
3. Альтернативные источники энергии
В настоящее время перспективными с экологической точки зрения является разработка альтернативных источников энергии, таких как солнечные и ветряные электростанции.
В Беларуси, хотя она и не южная республика, есть определенные возможности использования энергии солнца. Продолжительность солнечных дней для нашей республики составляет около ста в год, что составляет в 1 кКал на 1 м2. Эта энергия может быть использована как непосредственно для тепловых нужд, так и для преобразования в электрическую энергию на солнечных электростанциях.
Невостребованной сегодня является также энергия ветра. По оценкам доктора В.И. Русана Республика Беларусь располагает значительными ресурсами энергии ветра. При условии использования ветроагрегатов 3000 часов годовая выработка энергии составит около 20 млрд. кВт. ч, а экономия органического топлива 11—12 млн. т.
Перспективным источником энергии особенно для сельской местности являются гидроресурсы. По Беларуси протекает 6 крупных рек; их среднегодовой водоток в 854,6 тыс. кВт. Использование энергии воды может внести весомый вклад в производство энергии республики.
Не следует забывать и про тепло горячих горных пород. Общие ресурсы внутриземного тепла в РБ около 17 триллионов тонн условного топлива. Беларусь имеет возможность эффективного использования термальной воды для сельскохозяйственных, бытовых и промышленных объектов.
Практически не используются в республике твердые бытовые отходы (ТБО), а также биомасса. При использовании прогрессивных технологий по переработке их потенциальная энергия эквивалентна 630 тыс. тонн удельного топлива.
Профессор Б.П. Савицкий в докладе "Беларусь и атомная энергия" отмечает, что "энергетика в Республике Беларусь должна развиваться в соответствии с Декларацией о безъядерном статусе". Автор отмечает:
За 1993 г. электростанции РБ, работающие на газе и мазуте, выработали 33,4 млрд. кВт. ч. электроэнергии. В 1994 году потребность республики в электроэнергии составила около 38,5 млрд. кВт. ч. Если учесть, что из-за пределов страны получено 7,4 млрд. кВт. ч., то это означает, что острый дефицит энергии, необходимой для жизнеобеспечения хозяйства республики (бытовые нужды, транспорт, освещение и т.п.) не наблюдается.
В бывшем СССР сложились отношения к электроэнергии как к чему-то бесплатному. Это не могло не отразиться и на экономике Беларуси. Средняя энергоемкость промышленности в 2,3 раза выше, чем в развитых странах. Отсутствует культура экономии электроэнергии в быту, на транспорте, при освещении городов и населенных пунктов. В этом отношении следует ориентироваться на развитые страны — ФРГ, США и др., где борьба за экономию и рациональное использование энергии возведены в ранг национальных программ.
Необходимо также снизить потребление энергии за счет внедрения на производстве современных энергосберегающих технологий. В противном случае нельзя добиться модернизации экономики страны. Средства же, вложенные в атомную энергетику, могут стимулировать дальнейшее технологическое отставание народного хозяйства. Здесь следует еще учитывать, что РБ не имеет собственного ядерного топлива, нет мест для переработки и захоронения отходов. Следовательно, считает Савицкий, довод в пользу ядерной энергетики не имеет под собой основания.
Однако на наш взгляд главную опасность для экологии представляют аварии на атомных станциях. Многие считают, что озвучена была лишь самая крупная атомная катастрофа на Чернобыльской АЭС, которая являлась следствием многих, даже невероятных факторов. Вместе с тем аварии на атомных электростанциях случаются регулярно. Только за последние четыре десятилетия зарегистрированы около 150 атомных аварий в странах с высокоразвитой технологией, высокой технической культурой обслуживающего персонала. Хотя масштабы аварии несравнимы с Чернобыльской катастрофой, приведем хронологию наиболее значимых из них.
1957 г. — пожар в реакторе ядерного завода в Селлавиле (Англия). Результат аварии — радиоактивное загрязнение территории Англии и Западной Европы.
1957 г. — взрыв хранилища радиоактивных отходов в городе Кыштым Челябинской области. Переселено в другие места 10 тыс. человек.
1961 г. — авария на ядерном реакторе в штате Айдахо (США).
1966 г. — расплавление сердечника реактора Энрико Ферми в штате Мичиган (США).
1969 г. — авария в системе охлаждения подземного реактора в Швейцарии. Выброс радиоактивных изотопов, загрязнение территории.
1971 г. — авария на реакторе в штате Миннесота (США). В реку Миссисипи попало около 200 тыс. литров радиоактивной воды, часть ее затем — в систему водоснабжения города Сан-Пауло.
1975 г. — пожар на реакторе в штате Алабама (США) повлек за собой ущерб 10 млн. долларов.
1979 г. — авария на реакторе "Тримайл-Айленд". Ликвидация последствий аварии длилась до 1994 года. Затраты составили 5 млрд. долларов. Это крупнейшая ядерная авария в американской ядерной энергетике.
1981 г. — загрязнение территории радиоактивной водой в объеме 454 тыс. литров на заводе в штате Теннесси (США).
1981 г. — авария на атомной станции в Цуруге (Япония).
1983 г. — авария на реакторе вблизи Торонто (Канада).
1986 г. — радиоактивный выброс на реакторе в Северный Рейн-Вестфалия (ФРГ).
1988 г. — пожар на АЭС в Фатуба (Япония).
Многие руководители западных государств, осознавая опасность, все чаще отказываются от строительства новых атомных электростанций. Так в США, Германии, Франции, Англии и других западноевропейских странах заморожено проектирование новых атомных блоков. Закрываются действующие, не удовлетворяющие безопасности атомные станции. По оценкам специалистов к концу нашего века будут закрыты около 40 действующих атомных электростанций.
Суммируя вышеизложенное можно сделать вывод, что человечество стоит перед очень сложной проблемой в поисках энергетических источников, которые должны обеспечить развитие цивилизации в 21 веке.
Литература:
Савенко В.С. Радиоэкология. — Мн.: Дизайн ПРО, 1997.
М.М. Ткаченко, “Радіологія (променева діагностика та променева терапія)”
А.В. Шумаков Краткое пособие по радиационной медицинеЛуганск -2006
Бекман И.Н. Лекции по ядерной медицине
Л.Д. Линденбратен, Л.Б. Наумов Медицинская рентгенология. М. Медицина 1984
П.Д. Хазов, М.Ю. Петрова. Основы медицинской радиологии. Рязань,2005
П.Д. Хазов. Лучевая диагностика. Цикл лекций. Рязань. 2006