Когрентність другого порядку як об’єкт експериментального дослідження
Зміст
Вступ
1. Когерентність, сутність когерентності 2-го порядку
2. Вимірювання когерентності
2.1 Дослід Юнга( 1-го порядку)
2.2 Дослід Брауна-Твіса
2.3 Лічба фотонів
3. Явища в квантовій оптиці, які базуються на когерентності 2-го порядку
Висновок
Список літератури
Вступ
До 1981 року рівняння для функції когерентності другого порядку вирішувалося лише в безабераційном наближенні. Чисельне вирішення даного рівняння з використанням методу кінцевих різниць пов'язане з великими труднощами. У загальному випадку дане рівняння має п'ять незалежних змінних. Недостатня ефективність даних алгоритмів дозволила вирішити лише завдання з осьовою симетрією і для пучків у вигляді безконечної смуги, для яких число незалежних
Широке поширення для дослідження завдання поширення частково когерентного випромінювання отримало вирішення рівняння перенесення випромінювання (УПІ) Фур'є - зв'язаного рівняння для функції когерентності. Вперше для завдання нелінійного поширення випромінювання в атмосфері дане рівняння було отримане в роботах. Воно також як і рівняння для функції когерентності має п'ять незалежних змінних і його точне чисельне рішення є проблематичним. Для його вирішення авторами використовувалося безабераційне наближення і метод фазового екрану. Точне чисельне вирішення даного рівняння було отримане лише для завдання з осьовою симетрією. У зв'язку з цим встала необхідність розробки асімптотики точних методів рішення задачі. Дослідження в цій області привели до появи ряду наближених асимптотичних методів вирішення УПІ, що зводять рівняння похідних в п'ятимірному просторі до системи звичайних диференціальних рівнянь.
Таким чином, для дослідження завдання поширення частково когерентного випромінювання в неоднорідних середовищах виникає необхідність створення методів і алгоритмів, що дозволяють виконати теоретичне моделювання поширення випадкового хвилевого поля при взаємному впливі ефектів, супроводжуючих поширення випромінювання: дифракцію, рефракцію на неоднорідному розподілі показника заломлення, рефракцію на неоднорідному розподілі коефіцієнта поглинання (посилення), неоднорідність поглинання (посилення) енергії випромінювання в поперечному перетині пучка, турбулентне розширення пучка.
Метою курсової роботи є дослідження характеристик частково когерентного лазерного випромінювання, що поширюється в регулярно і випадково неоднорідних (лінійних і нелінійних) середовищах.
Для досягнення заданої мети передбачається вирішення наступних основних завдань:
- Дослідження теоретичних методів когерентності та когерентності другого порядку.
- Вживання даних методів і алгоритмів для дослідження поширення частково когерентного випромінювання.
- Дослідження залежності енергетичних і когерентних властивостей вихідного випромінювання, а також закономірностей поширення когерентного і частково когерентного лазерного випромінювання в неоднорідний поглинаючих (що підсилюють) середовищах від розподілів оптичних характеристик неоднорідного активного середовища.
1. Когерентність, сутність когерентності 2-го порядку
Когерентність (рос. когерентность, англ. coherence, нім. Kohärenz f) — це властивість хвилі зберігати свої частотні, поляризаційні й фазові характеристики.
Здатність до інтерференції, яку виявляють за певних умов хвилі, зокрема світлові. Умовою когерентності хвиль є незмінюваність у часі різниці між фазами коливань у них, що можливо лише тоді, коли хвилі мають однакову довжину (частоту).
Завдяки когерентності хвиль виникають інтерференційні явища.
Поняття плоскої монохроматичної хвилі, яке часто використовується в фізиці є абстракцією. Реальні хвилі, які випромінюються реальними джерелами, насправді є скінченими хвильовими пакетами. Кожне джерело випромінює свої особливі хвилі, які розрізняються настільки ж, наскільки різняться відбитки пальців людей. Однак, для спостереження інтерференції необхідно, щоб хвиля зберігала самоподібність. Така самоподібність хвилі описується терміном когерентність.
Наприклад, для отримання двох когерентних між собою променів у оптиці використовують розділення початкового променя світла. Один із способів зробити це - поставити на шляху променя плоскопаралельну пластинку. Частина світла буде відбиватися від пластинки, а частина проходити далі. Використовуючи лінзи та дзеркала можна спрямувати розділені промені так, щоб вони знову перетиналися, подолавши різний шлях. Тоді, внаслідок різниці ходу променів, виникає інтерференційна картина.
Термін когерентність використовується також для хвильових функцій у квантовій механіці.[2]
Під когерентністю розуміють узгоджене протікання в часі і в просторі декількох хвильових процесів, що проявляються при їх додаванні. Для когерентних світлових хвиль з постійною або зміною по певному закону різницею фаз виникає характерна інтерференційна картина. Якщо порівнювати фази однієї і тієї ж світлової хвилі в різні моменти часу які розділяються інтервалом τ то при достатньо великому значенню τ випадкове змінення фаз може перевищити π. Це означає, що через деякий час хвиля "втрачає свою пам`ять", тобто забуває значення початкової фази. Тобто вона стає не когерентною сама до себе. Для кількісної характеристики цього явища вводять функцію R(τ), яка має назву функція кореляції. В цьому випадку додавання двох хвиль, які затримані одна відносно одної і отримані від одного джерела через час τ можна представити у виразом:
Ер=
Де Е1 та Е2 – амплітуди хвиль; ω – середня частота коливання
Значення τ при якому функція
кореляції R(τ)=0,5 називається часом
когерентності, а відстань, яка визначається
l>ког>=сτ
називається довжиною когерентності. У
випадку, коли τ
відповідає
повній часовій когерентності.
КОГЕРЕНТНІСТЬ – погоджене протікання в просторі і в часі декількох коливальних або хвилевих процесів, при якому різниця їх фаз залишається постійною. Це означає, що хвилі (звук, світло, хвилі на поверхні води і ін.) поширюються синхронно, відстаючи одна від одної на сповна певну величину. При складанні когерентних коливань виникає інтерференція; амплітуду сумарних коливань визначає різниця фаз.
Гармонійні коливання описує вираження
A(t)= A0cos(wt + j)
де A0 – початкова амплітуда вагання, A(t) – амплітуда у момент часу t, w – частота вагання, j – його фаза.
Коливання когерентні, якщо їх фази j1, j2 ... міняються безладно, але їх різниця Dj = j1 – j2 ... залишається постійною. Якщо ж різниця фаз міняється, коливання залишаються когерентними, поки вона по величині не стане порівнянна з р.
Поширюючись від джерела коливань, хвиля через якийсь час t може "забути" первинне значення своєї фази і стати некогерентною самій собі. Зміна фази зазвичай відбувається поступово, і час t0, протягом якого величина Dj залишається менше p, називається тимчасовою когерентністю. Її величина безпосередньо пов'язана з надійністю джерела коливань: чим стабільніше він працює, тим більше тимчасова когерентність вагання.
За час t0 хвиля, рухаючись з швидкістю з, проходить відстань l = t0c, яке називається довжиною когерентності, або довжиною цугу, тобто відрізання хвилі, що має незмінну фазу. У реальній плоскій хвилі фаза коливань міняється не лише уздовж напряму поширення хвилі, але і в площині, перпендикулярній йому. В цьому випадку говорять про просторову когерентність хвилі.
Перше визначення когерентності дав Томас Юнг в 1801 при описі законів інтерференції світла, що проходить через дві щілини: "інтерферують дві частини одного і того ж світу". Суть цього визначення полягає в наступному.
Звичайні джерела оптичного випромінювання складаються з безлічі атомів, іонів або молекул, що мимоволі випускають фотони. Кожен акт випускання триває 10–5 – 10–8 секунд; слідують вони безладно і з випадково розподіленими фазами як в просторі, так і в часі. Таке випромінювання некогерентне, на освітленому їм екрані спостерігається усереднена сума всіх коливань, а картина інтерференції відсутня. Тому для здобуття інтерференції від звичайного джерела світла його промінь роздвоюють за допомогою пари щілин, біпризми або дзеркал, поставлених під невеликим кутом одне до іншого, а потім зводять разом обоє частини. Фактично тут йдеться про узгодженості, когерентності двох променів одного акту випромінювання, що відбувається випадковим чином. Когерентність лазерного випромінювання має іншу природу. Атоми (іони, молекули) активної речовини лазера випускають вимушене випромінювання, викликане прольотом стороннього фотона, "в такт", з однаковими фазами, рівними фазі випромінювача.
У найбільш широкому трактуванні під когерентністю сьогодні розуміють спільне протікання два або декількох випадкових процесів в квантовій механіці, акустиці, радіофізиці і ін.
Поняття когерентності тісно
пов’язують з іншим фундаментальним
явищем випромінювання — інтерференцією
— додаванням хвильових полів
із взаємним підсиленням або із взаємним
послабленням в залежності від координат
простору і часу. Якщо обидва джерела
мають однакову яскравість, то наявність
чітких інтерференційних смуг можливо
вважати ознакою доброї когерентності,
тоді як відсутність смуг відповідає
повній некогерентності. Якість
когерентності оцінюється по експерименту
інтерференційної картини. В цьому
визначенні якісна сторона ясна і
зрозуміла, але при оцінці кількісних
характеристик виникають певні труднощі.
Амплітуду и фазу по інтерференційній
картині безпосередньо визначити неможна.
Будь який приймач випромінювання дає
відклик тільки на інтенсивність —
сумарну або середню в заданому об'ємі
простору. Тому вимірною характеристикою
когерентності за період часу спостереження
Т є її інтенсивність:

Схема класичного експерименту Юнга для спостереження інтерференційної картини

А-джерело; Р>1.2>-положення
діафрагми діаметром О>1,2;>
q >1,2> -положення
точки на екрані або
>,>
де
—
квадрат модуля напруженості електричного
поля;
—
комплексно спряжена величина вектора
—
діелектрична проникність.
Припустимо, два пучка випромінювання,
виходячи з вказаних вище щілин,
перетинаються в заданому обємі простору.
Тоді, враховуючи принцип суперпозиції,
результуюче поле
рівне
сумі хвильових полів в кожному з пучків

де
и
вектори
напруженості електричного поля, які
залежать від координат и часу.
Так як поле є функція просторових координат и часу, прийнято розрізняти просторову і часову когерентність. Ці аспекти одного фізичного явища можна сформулювати наступним чином. Просторова когерентність в заданий момент часу пов’язана з кореляцією між фазами хвиль електромагнітного поля в різних точках простору.
Часова когерентність характеризує кореляцію між фазами електромагнітного поля в заданій точці простору в різні моменти часу.
Коли хвиля проходить через середовище, її когерентність поступово втрачається завдяки процесам розсіювання. Відстань, на якій когерентність зберігається, називають довжиною когерентності.
Кореляційна функція другого порядку відображає кореляцію між амплітудами світлового пучка в двох просторово-часових крапках. Когерентність другого порядку наочно просліджується в досвіді Юнга. Зв'язок теоретичного опису когерентності другого порядку з даними інтерференційних вимірів дає комплексна міра когерентності, нормована величина [1.1]
,
(1.1)
де
- кореляційні функції другого порядку,
- взаємна функція когерентності. Вимірюючи
повну інтенсивність і інтенсивність
окремих пучків світла, що пройшли через
кожен отвір, можна визначити функцію
.
Мірою контрастності інтерференційної
картини служить видимість в точці P
,
(1.2)
де Іmax, Іmin – максимальна і мінімальна інтенсивності в безпосередній околиці точки P. [4]
Для однакових по інтенсивності пучків світла в досвіді Юнга модуль комплексної міри когерентності дорівнює видимості інтерференційної картини, яку можна знайти експериментально. Для опису кореляції випромінювання з самим собою, тобто в одній і тій же точці простору, але в тих, що відрізняються на моменти часу, використовують поняття тимчасової когерентності. Атоми випромінюють з невизначеністю у величині частоти, і оптичне випромінювання складається з наборів цугів хвиль, затухаючих тим швидше, чим коротше P. За проміжок часу усереднювання інерційного фотодетектора коливання, що існували в початковий момент, поступаються місцем коливанням нового цугу хвиль з тією ж частотою, але з випадково зміненою фазою. Тому когерентність випромінювання з самим собою існує для затримки в часі, що не перевищує P. Стосовно двох оптичних коливань час когерентності означає, що їх різниця фаз не встигає змінитися на величину, порівнянну з 180 0, за проміжок часу P.
Міра тимчасової когерентності може бути виміряна за допомогою інтерферометра Майкельсона. Вимір міри просторової когерентності випромінювання при проходженні через кров проводився на експериментальній установці з використанням інтерференційної схеми Юнга. Випромінювання неонового для гелію лазера розширюється і колімірується за допомогою двох лінз Л1 і Л2, після чого прямує на екран Е. Отверстія О1 і О2 в екрані стають джерелами вторинних хвиль, які лінза Л3 зводить у фокальну площину, де розташована щілинна діафрагма Д.
2. Вимірювання когерентності
2.1 Дослід Юнга( 1-го порядку)
У досліді Юнга забезпечується когерентність (постійність різниці фаз коливань) двох джерел світла - паралельних щілин. Природно, при некогерентних джерелах інтерференційна картина спостерігатися не може. Але для успішності спостереження інтерференційної картини виявляється важливою і тимчасова когерентність. При цьому виявляється зручнішим говорити про довжину когерентності. Вона визначається як характерний час, протягом якого фаза коливань хвилі залишається постійною, помножений на швидкість світла у вакуумі.
Дійсно, при видаленні від центру екрану збільшується різниця ходу променів від джерел S’ і S". І якщо різниця ходу більше довжини когерентності, то ми знову-таки не зможемо спостерігати інтерференційну картину.
Зробимо таке (досить очевидне) твердження: "чисто" синусоїдальних хвиль в природі не буває. Щонайближче до такій хвилі випромінювання лазера, але і для нього довжина когерентності кінцева, хоча і вельми велика. Але будь-яка реальна хвиля є сумою більше або менше синусоїдальних хвиль, що відрізняються по частоті.
Інтенсивність випромінювання, таким чином, деяким чином розподілена по осі частот (або довжин хвиль). В зв'язку з цим говорять про ширину спектральної смуги, і в питанні про те, як зв'язана довжина когерентності з різницею довжин хвиль нам знов допоможе розгляд биття.
Передбачимо, що хвиля світла при спостереженні інтерференції в досвіді Юнга є сумою двох синусоїдальних хвиль. Як ми знаємо, амплітуда сумарних коливань змінюється згідно із законом
.
Отже, зміна фази відбувається через час яке визначається умовою
;
і довжина когерентності
.
З іншого боку ми маємо:
.
По сенсу довжина когерентності - величина позитивна. Беручи тому відповідні величини по модулю, маємо:
.
Підійдемо тепер до цього питання з іншого боку. Передбачимо, ми проводимо досвід Юнга з такою хвилею - сумою хвиль з близькими частотами. Для x різні:(них відстані між мінімумами
.
На таку величину інтерференційний максимум однієї довжини хвилі зрушений по відношенню до максимуму інший. Якщо узяти досить велике x і якщо він виявиться рівним(кількість максимумів n, то зрушення дорівнює n половині (середньою для цих хвиль) ширини інтерференційного максимуму, картинка "змаститься". Відмітивши, що для максимуму з номером n різниця ходу променів рівна, ми отримаємо:(n
;
Таким чином, довжина когерентності виявляється величиною порядку різниці ходу, при якій інтерференційна картина вже не спостерігається.
При спостереженні інтерференційної картини виникають деякі не цілком очевидні труднощі. Уявимо собі, що як джерела циліндрових хвиль ми спробували використовувати нитки двох електричних лампочок. Випромінювання розжарених ниток здійснюється прискореним рухом електронів в нитках, ніяк один з одним не зв'язаних. Такі хвилі, природно, не матимуть однакових початкових фаз, які при записі відповідних виразів ми просто вважали нульовими. І ці початкові фази не лише різні в даних двох хвиль, але і непостійні в часі, змінюються випадковим чином. Такі хвилі називають некогерентними.
В принципі нам не обов'язково потрібно, аби початкові фази коливань від двох джерел були рівні. Нам треба, аби постійною в часі була різниця фаз цих коливань. Якщо ця вимога виконується, то хвилі (або джерела) називають когерентними. Це визначення когерентності хвиль (джерел хвиль).
Таким чином, виникає проблема: як добитися того, аби джерела були когерентними?
Уявимо собі, що джерелом (приблизно) циліндрових хвиль є вертикально розташована розжарена смужка металу. Зрозуміло, що вона випромінюватиме світло по різних напрямах як у вертикальній, так і в горизонтальній площинах.
Ми зв'язали напрям випромінювання з похідної фази коливань по координаті. З величезного числа електронів, що коливаються, знайдуться і такі, які в даний момент вагаються з (приблизно) однаковою фазою. Їх випромінювання буде направлено по нормалі до смужки. Але знайдуться і електрони, які вагаються так, що для них похідна фази по напряму уздовж деякої прямої, "намальовано" на поверхні смужки, має відмінне від нуля значення. Їх випромінювання буде направлено під деяким кутом до випромінюючої поверхні.
Але хай якась група електронів випромінює хвилю приблизно по нормалі і вона потрапляє потім на екран. Проте, в наступний проміжок часу це будуть вже інші електрони, початкова фаза падаючої на екран хвилі буде іншою. Але, зрозуміло, протягом деякого часу вона все ж матиме якесь значення, буде (приблизно) постійною. Така постійність фази визначає тимчасову (з наголосом на ‘у’) когерентність.
При цьому хвиля не буде направлена строго по одному напряму, вона обов'язково поширюватиметься в деякому тілесному вугіллі. Означає в крапках на деяких відстанях в поперечному напрямі фаза коливань буде однаковою. І чим далі від джерела, тим ці відстані, природно, будуть більші. В такому разі говорять про просторову когерентність.
Тому можна, наприклад, освітити пару щілин досить видаленим джерелом електромагнітних коливань. Наприклад, вельми велика просторова когерентність в світла, яке приходить від зірок. Ось тільки сила світла при цьому виявляється дуже малою.

Простіше (при меншому видаленні від джерел і з більшою силою світла) освітити когерентним світлом одну вузьку щілину. Виділивши на ній поперечну смужку, ми можемо сподіватися, що в її межах вагання будуть когерентними. Така смужка може розглядатися як система безперервно розташованих точкових джерел, залежність амплітуди хвилі від кута ми з Вами раніше порахували:
.

Чим вже щілина, тим більше кут, в межах якого відбувається випромінювання. І в межах цього кута випромінювання буде когерентним.
Ця ідея реалізована в класичному досвіді Юнга. На екрані спостерігається інтерференція когерентних хвиль від двох щілин, які, у свою чергу, освітлюють циліндровою хвилею від одиночної щілини.
2.2 Дослід Брауна-Твісcа
У цьому досвіді була вивчена кореляція інтенсивності в світловому пучку. Світловий потік S (рис. 2.1) розділяється напівпрозорою пластиною А на дві частини, які прямують до фотоприймачів П1 і П2, проходячи різні довжини доріг.

Рис. 2.1 Дослідження Брауна і Твісса взаємозалежність кореляції інтенсивності від τ
Струм від приймачів, пропорційний світловому потоку, прямує в корелятор K, де у відповідних електричних ланцюгах виробляється струм, рівний твору сил струмів. Вимірюваною величиною є
(2.15) .
Оскільки
,
тут справа йде про кореляційну функцію
четвертого порядку відносно напруженості
поля. На рис. 2.1, була змальована залежність
,
знайдена в дослідах Брауна і Твісса,
При дуже малих т значення
близько до одиниці, при збільшенні т
воно зменшується. При більших т функція
практично постійна.
Для пояснення такої поведінки
необхідно прийняти до уваги флуктуації
інтенсивності світлового пучка. Якби
флуктуації не було, то при всіх значеннях
τ було б
= 1. Проте за наявності флуктуації ситуація
міняється. Для флуктуації можна визначити
характерний масштаб часу. Якщо τ менше
характерного часу флуктуації, то в
кореляторі весь час реєструються
приблизно однакові сили струмів і
близька до одиниці. При збільшенні τ
кореляція між силами струмів в кореляторі
порушується, максимуми ока в одному
каналі потрапляють на мінімуми в іншому
і т. д., внаслідок чого
зменшується. Коли τ перевершує характерний
для флуктуації час, його збільшення не
вносить вимірів до співвідношення
струмів в каналах і значення
залишається постійним. Функція
дає інформацію про статистичні властивості
випромінювання.
2.3 Лічба фотонів
Фото́н (грец. Φωτόνιο)— квант електромагнітного поля, елементарна частинка, що є носієм електромагнітної взаємодії.
Характеристики
Фотони не мають електричного
заряду і маси спокою. Їхні основні
характеристики: енергія, зв'язана з
частотою за допомогою формули
і
спін рівний одиниці. Фотон є
істинно-нейтральною частинкою, що
означає, що його античастинка є тим
самим фотоном.
Маса фотона може бути визначена з виразу для його енергії, або частоти
,
де c — швидкість світла у вакуумі. Завдяки цій масі фотон взаємодіє з гравітаційним полем.
Імпульс фотона визначають за формулою

Фотони видимого світла мають енергії в діапазоні від 1,7 до 3 еВ; вони появляються при переходах атомів і молекул із збуджених станів в стани з меншою енергією. Гамма-фотони появляються в результаті аналогічних процесів, що відбуваються в середині атомних ядер. При гальмуванні електронів високих енергій можуть бути отримані фотони дуже великих енергій — до 1000 МеВ, що майже в 2 000 разів перевищує власну енергію нерухомого електрона. Фотони високих енергій можуть перетворитися в пару заряджених частинок - електрон й позитрон. При цьому енергія фотона, що зникає, повинна бути більшою за суму власних енергій частинок, що з'явилися.
Зареєструвати один електрон, що вийшов з фотокатода, практично неможливо (1 фотоелектрон в секунду відповідає струму 1.6 • 10-19 А). Принциповим для техніки спостережень слабких оптичних імпульсів з'явився винахід фотоелектронного помножувача — прибору, посилення фотоструму катода, що володіє можливістю, в мільйони разів.
Кожен фотоелектрон викликає лавину електронів, що містить у момент приходу на анод ФЕУ в середньому П>ро> електронів (П>ро> - коефіцієнт посилення ФЕУ), із загальним зарядом еО (е - заряд електрона). Отже, 1) число лавини электронов або, інакше, імпульсів ФЕУ в одиницю часу п пропорційно потоку фотонів, 2) повний заряд, що приходить на анод в секунду (або анодний фототек), який, також пропорційний .
Ці дві обставини і визначають два основні методи реєстрації сигналу ФЕУ. Історично перший називається методом виміру постійного струму і полягає у вимірі середнього значення що протікає через навантаження RL струму.
Другий спосіб може бути реалізований при малих значеннях постійною часу tе вихідного ланцюга. В цьому випадку сигнал на опорі RL є послідовністю негативних імпульсів напруги тривалістю t з середньою амплітудою . Кожен такий імпульс може бути окремо виявлений, а значить, підраховано їх загальне число за одиницю часу. Цей спосіб реєстрації називається методом рахунку фотонів. Важливою особливістю цього методу є неминуча наявність критерію виявлення імпульсу. Звичайно це так звана дискримінація, тобто порівняння електричного сигналу з деяким пороговим рівнем Т, перевищення якого інтерпретується як наявність придатного для подальшої реєстрації імпульсу.
Метод рахунку фотонів володіє рядом переваг: лінійність у великому діапазоні вимірюваних інтенсивностей, висока точність (досяжна точність, при якій помилка виміру визначається лише статистичними флуктуаціями потоку фотонів, оскільки всі фотони "зважають" на однакову статистичну вагу), зручність для подальшої обробки і видачі інформації, можливість зменшення темнового струму за рахунок відбору темнових імпульсів по амплітуді.
Залежність вихідного сигналу ( швидкості рахунку n, імп/с ) від напруги живлення називається рахунковою характеристикою фото помножувача (рис. 2.1, а).
Інша важлива характеристика ФЕУ - амплітудний розподіл вихідних імпульсів п(А), де п — число імпульсів та виході ФЕУ з амплітудою від А до. На рис. 2.1, би приведені типові залежності п(А) для сигнальних і темнових імпульсів (криві 1 і 2 відповідно).
Поведінка функції від 0 до А1 визначається імпульсами, які виникають в результаті термоемісії електронів з дінодів. Для А > А1 залежність n(А) визначається в основному імпульсами, які виникають в результаті посилення катодних термоелектронів. В цьому випадку n(А) має вигляд розподілу Пуассона з серед їй амплітудою А2 . Якщо встановити на виході ФЕУ порогову схему (дискримінатор), яка не пропустить імпульси з амплітудою А < = А1, то можна позбавитися від імпульсів динодів. Амплітудний розподіл імпульсів п(А) є диференційною характеристикою, тобто, де N (А) — число імпульсів з амплітудою, меншою чим А.

Рис. 2.2. Рахункова характеристикам амплітудний розподіл вихідних імпульсів ФЕУ
Якщо виміряти на виході ФЕУ число
імпульсів, які пройшли порогову схему
з рівнем дискримінації
,
то, змінюючи, можна отримати, вельми
схоже по формі на дзеркальне віддзеркалення
рахункової характеристики. При цьому
точка Аі відповідатиме мінімуму похідної,
а точка А2 — максимуму.
Рахункову характеристику можна вважати аналогом амплітудного розподілу. Рахункова характеристика знімається при постійному рівні дискримінації, але при напрузі живлення, що змінюється, а амплітудні розподіли - навпаки: при, але при змінюються амплітуди імпульсів на виході ФЕУ визначаються середнім коефіцієнтом посилення Ку ФЕУ. По рахункових характеристиках (лінійна ділянка II) вибирається робоча напруга живлення ФЕУ ін.
3. Явища в квантовій оптиці які базуються на когерентності 2-го порядку
Інтерференція світла
Досі ми розглядали поширення в тій чи іншій частині простору однієї світлової хвилі. Та часто в одній і тій самій частині простору поширюються одночасно світлові хвилі від двох або кількох джерел світла. Наприклад, коли в кімнаті горить одночасно кілька ламп, то окремі світлові хвилі накладаються одна на одну. Що при цьому відбувається? Очевидно в кожній точці простору виникає складне електромагнітне коливання, яке е результатом додавання коливань кожної хвилі окремо.
Найпростіше з'ясувати, що відбувається при накладанні двох хвиль, на прикладі хвиль на поверхні води. Аналогічне явище спостерігатиметься і у випадку світлових хвиль.
Прикріпимо до коливної пластинки на певній відстані один від одного два стерженьки, які будуть одночасно ударяти по поверхні води у ванні, створюючи дві кругові хвилі однакової довжини. В результаті накладання цих хвиль ми побачимо. в деяких місцях вода спокійна, тобто накладання хвиль від двох джерел веде до ліквідації коливань її поверхні; в інших місцях поверхня води коливається сильніше, ніж у випадку одного джерела — тут накладання хвиль від двох джерел веде до збільшення амплітуди коливань. Звернути увагу, що місця підсилених і послаблених коливань розміщені на поверхні води не хаотично, а в певному порядку. Така картина чергування максимумів і мінімумів коливань називається інтерференційною картиною, а явище підсилення коливань в одних точках середовища, де поширюються хвилі, і послаблення в інших, яке є результатом накладання одна на одну хвиль однакової довжини, а, отже, однакової частоти, називається інтерференцією хвиль.
З'ясуємо походження інтерференційної картини — чому при накладанні хвиль в одних місцях виникає послаблення коливань, а в інших — посилення. Зійшовшись у кожній точці поверхні води, одна і друга хвилі викликають коливання частинок води, визначити які для кожного окремого випадку неважко. Результуюче зміщення частинки в будь-який момент часу дорівнює геометричній сумі зміщень, які дістає частинка, беручи участь у кожному із хвильових процесів, що додаються. Нехай в даний момент часу в якомусь місці зміщення поверхні води від однієї і другої хвилі спрямовані в один бік і максимальні — обидві хвилі приходять в цю точку в однаковій фазі. Якщо хвилі зійдуться гребенями, то вода в цій точці сильно підніметься. Через півперіода (1/2 Т) гребені зміняться западинами, причому в обох хвилях одночасно, оскільки вони мають однаковий період. Поверхня води сильно опуститься. Ще через півперіода поверхня води знову сильно підніметься і т. д. Таким чином, в даному місці коливання будуть підсилені. В тих місцях, де гребені однієї хвилі сходяться з западинами іншої, тобто куди хвилі приходять в протилежних фазах, коливання будуть максимально послаблювати одне одне. Тут коливання поверхні води будуть слабкими або їх зовсім не буде, якщо амплітуди коливань в обох хвилях однакові.
Ми розглянули випадки, коли коливання джерел хвиль відбуваються в однаковій фазі, тобто гребені (чи западини) виходять з обох джерел одночасно. Аналогічну інтерференційну картину дістанемо і тоді, коли коливання джерел хвиль зсунуті за фазою на певний кут, причому значення цього зсуву весь час залишається незмінним.
Якщо ж фаза коливань одного чи обох джерел змінюється довільно, тоді в кожній точці поверхні води фази коливань то співпадають, то протилежні, коливання то підсилюються, то послаблюються, і розміщення максимумів і мінімумів безперервно змінюються. В цьому випадку спостерігається хаотичне хвилювання поверхні — стійка інтерференційна картина не спостерігається. Так само не спостерігається стійка інтерференційна картина і тоді, коли частоти коливань (періоди або довжини хвиль) обох хвиль неоднакові. В цьому випадку в кожній точці поверхні підсилення коливань змінюється їх послабленням, потім знову підсиленням і т. д. Чим сильніше відрізняються частоти коливань, тим швидше змінюється розміщення максимумів і мінімумів, і стійка інтерференція не спостерігається. Таким чином, для спостереження інтерференційної картини необхідно, щоб хвилі мали однакову частоту (період або довжину хвилі) і незмінну різницю фаз в кожній точці простору, де вони накладаються одна на одну. Такі хвилі називають когерентними. Отже, стійка інтерференційна картина спостерігається лише під час накладання когерентних хвиль.
Постає питання: як створити умови, необхідні для виникнення інтерференції світлових хвиль? Інакше кажучи, яким чином можна дістати когерентні світлові хвилі?
З повсякденного досвіду ми добре знаємо, що вмикання двох джерел світла, наприклад двох лампочок в одній кімнаті, викликає підсилення світла у всіх точках простору, і інтерференція не спостерігається. Неважко зрозуміти, що будь-які два світних тіла не можуть бути когерентними джерелами світла. Справді, світло, випромінюване світним тілом (наприклад, ниткою електролампи), є сукупністю величезної кількості електромагнітних хвиль, які випромінюються окремими атомами чи молекулами. Умови випромінювання цих частинок дуже швидко і хаотично змінюються, а тому швидко й хаотично змінюється фаза коливань. Такі джерела світла некогерентні.
Для одержання когерентних джерел світла вдаються до штучного прийому: розділяють пучок світла від одного джерела на два чи кілька пучків, які йдуть у різних напрямах, а потім знову зводять і накладають один на одного. Якщо ці частини однієї хвилі пройдуть різну відстань, то між ними виникне різниця фаз, обумовлена різницею ходу хвиль, і при накладанні хвиль повинні виникнути інтерференційні явища. Це розділення пучка на два можна здійснити різними способами. Наприклад, за допомогою біпризми. Біпризма — це дві вузькі призми, складені малими основами.
Поставимо перед біпризмою джерело S монохроматичного випромінювання, тобто випромінювання з однією строго визначеною частотою коливань. Таке випромінювання можна дістати за допомогою світлофільтра, який пропускає світло одного кольору, точніше — однієї частоти коливань. На екрані Е виникне інтерференційна картина. Вона є чергуванням світлих і темних смуг, із світлою смугою посередині. Світлі смуги інтерференції мають колір світлофільтра, встановленого перед джерелом світла.
Пояснюється виникнення інтерференційної картини так. Усі промені, які падають на праву призму, після заломлення в ній ідуть так, ніби вони вийшли з точки S1, яка є уявним зображенням джерела світла S. Аналогічно промені після заломлення в лівій призмі йдуть так, ніби вони вийшли з точки S2. Таким чином, на всій поверхні екрана відбувається накладання когерентних променів, які ніби йдуть від двох уявних і когерентних джерел світла S1 і S2 У середині інтерференційної картини проти джерела світла видно світлу смугу, оскільки в цьому місці когерентні хвилі накладаються з однаковими фазами. При віддаленні від центральної світлої смуги на екрані різниця ходу променів зростає, і коли вона досягає (1/2 l), на екрані по обидва боки від центральної світлої виникають темні смуги. Коли різниця ходу променів досягає l, на екрані виникають світлі смуги, потім при різниці ходу променів 3/2 l, — темні смуги і т. д.
Якщо на біпризму спрямувати світло якогось іншого кольору, то спостерігатиметься аналогічна інтерференційна картина, але відстані між світлими і темними смугами будуть іншими. Наприклад, при освітленні біпризми червоним світлом відстані між смугами виявляються більшими, ніж при освітленні зеленим чи синім світлом.
А що спостерігатиметься на екрані, якщо біпризму освітити білим світлом? У цьому випадку теж спостерігатиметься інтерференційна картина: в центрі буде видно білу світлу смугу, а по обидва боки від неї — кольорові смуги, забарвлені всіма кольорами райдуги. Виникнення різнокольорових смуг легко пояснити. Припустимо, що для якоїсь точки А різниця ходу променів S1А — S2А дорівнює цілому числу довжин хвиль червоного світла, а для хвиль світла іншого забарвлення ця умова не виконується. Однак для іншої точки В екрана різниця ходу променів S1В— S2В дорівнює цілому числу довжин хвиль уже зеленого світла, а для світла іншого забарвлення (в тому числі й червоного) ця умова не виконується. Для точки С різниця ходу променів дорівнюватиме цілому числу довжин хвиль вже для фіолетового світла.
Дістати когерентні світлові пучки можна за допомогою дзеркал Френеля, які являють собою два плоскі дзеркала, розміщені під кутом майже 180° одне до. Якщо на ці дзеркала спрямувати пучок світла, то він роздвоюється дзеркалами і від кожного дзеркала світло поширюється розбіжним пучком. Після відбивання обидва пучки світла накладаються один на одного і інтерферують. На екрані виникає така сама інтерференційна картина, як коли б екран освітлювався когерентними джерелами S1 і S2, уявними зображеннями джерела світла S у дзеркалах.
Дисперсія світла
Під час вивчення заломлення світла було встановлено, що заломлення на межі розділу двох середовищ пояснюється різницею в швидкостях поширення світла в цих середовищах. Показник заломлення показує, у скільки разів швидкість світла в одному середовищі більша чи менша за швидкість світла в другому середовищі. З іншого боку, явища інтерференції і дифракції свідчать про те, що кожному кольору світлових променів відповідає певна довжина хвилі. Тоді з відомої формули l = u/n випливає, що швидкість поширення світла в речовині має залежати від частоти світла n. Спробуємо з'ясувати цю залежність на досліді.
Спрямуємо вузький пучок білого світла на одну з граней тригранної призми. Заломлюючись у призмі, пучок дає на екрані видовжене зображення щілини з яскравим райдужним чергуванням кольорів — спектр. Крайніми з боку заломлюючого ребра призми виявляються промені червоного світла. Поряд з ними будуть промені оранжеві, потім жовті, далі зелені, блакитні, сині і, нарешті, фіолетові (з боку основи призми).
Поставимо на шляху променів, які пройшли крізь першу призму, другу таку саму призму, розміщену паралельно першій, але з заломлюючим кутом, поверну тим у протилежний бік. Ми дістанемо знову пучок білого світла. Такі досліди були проведені у свій час Ісааком Ньютоном, який дійшов висновку, що біле світле має складну структуру і складається із світла різних кольорів. Ньютон умовно поділив суцільний спектр на сім ділянок різних кольорів: червоний, оранжевий, жовтий, зелений, блакитний, синій і фіолетовий. Другий важливий висновок Ньютона полягав у тому, що світле різного кольору характеризується різними показниками заломлення в даному середовищі. Найбільший показник заломлення в склі мають фіолетові промені, найменший — червоні. Відомо, що різниця в показниках заломлення обумовлена різницею в швидкостях поширення хвиль. Тому можна сказати, що світло різного кольору має різну швидкість поширення в даному середовищі.
Залежність показника заломлення (а, отже, і швидкості світла) від його кольору називають дисперсією світла.
Розкладанням білого світла на кольори внаслідок заломлення пояснюється виникнення райдуги. Нехай на завислу у повітрі краплю води падає сонячний промінь. На межі повітря — вода відбувається заломлення променів. При певному куті падіння на внутрішній поверхні краплі відбувається повне відбивання променів всередину краплі. Відбиті промені, заломлюючись повторно на межі вода — повітря, виходять з краплі. Оскільки фіолетові промені заломлюються сильніше, ніж червоні, то після виходу з краплі вони розходяться: червоні промені утворюють з падаючим променем кут близько 43°, а фіолетові — близько 41°.
Сонячні промені можна вважати паралельними. Тоді виходить, що від безлічі краплинок, які містяться на поверхні конуса з кутом при вершиш aч= 43°, в око спостерігача потраплятимуть червоні промені, а від крапель з поверхні конуса з кутом при вершині aф = 41° — фіолетові. Решта кольорів райдуги розміщаються між ними.
Знання складної структури білого світла дає можливість пояснити походження різноманітних барв у природі, кольори різних тіл. Колір непрозорого тіла визначається сумішшю променів тих кольорів, які воно відбиває. Якщо тіло рівномірно відбиває промені всіх кольорів, то при освітленні білим світлом воно здається білим. Червоне тіло з падаючого на нього білого світла відбиває головним чином червоні промені, а решту поглинає; голубе тіло відбиває голубі промені і т. д.
Колір прозорого тіла визначається складом того світла, яке проходить крізь нього. Якщо, наприклад, трава й листя дерев здаються нам зеленими тому, що з усіх падаючих на них сонячних променів вони відбивають лише зелені, то зелений колір скла обумовлений тим, що воно пропускає промені лише зеленого кольору, а решту поглинає.
Властивості когерентних хвиль 2-го порядку
При дослідженні когерентних властивостей одномодових електромагнітних полів Глаубером і Тітулаєром [3.1] були встановлені ряд нерівностей для мір когерентності довільного порядку gn полей0, що мають позитивно-певне Р-представлення оператора щільності:
[3.1]
Для загального квантового випадку Ченд [3.2] отримав нерівності у вигляді (у позначеннях Глаубера)
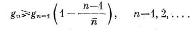
[3.2]
Слід звернути увагу на те, що в загальному випадку міри когерентності не обов'язково утворюють зростаючу послідовність; крім того, в нерівності (3.2) входять не лише міри когерентності, але і ще один параметр — середнє число фотонів в моді. Цей параметр грає істотну роль: якщо значення його менше п— 1, то всі нерівності починаючи з цього номера стають тривіальними і на відповідні gn жодних обмежень немає.
Покажемо, що для мір когерентності вищих порядків загалом квантовому випадку існують сильніші нерівності, ніж нерівності (3.2). На їх основі будуть встановлені точні нижні кордони значень gn. Відзначимо, що знак рівності в (3.2) має місце лише для полів із заданим числом фотонів. Як відомо, такі доля володіють найбільшим антикореляційним ефектом. З огляду на те, що до цих пір не ясно, яким чином можна генерувати поля із заданим числом фотонів, стає очевидною важливість знаходження точного нижнього кордону можливих значень мір когерентності вищих порядків в загальному випадку. Це тим більше необхідно при визначенні мір когерентності вищих порядків, оскільки вимір їх пов'язано із значними труднощами.
За визначенням
де а - оператор знищення фотонів.
Розгляд почнемо з міри когерентності другого порядку. Утворюємо вираження наступного вигляду:
[3.3]
де pj — діагональні матричні елементи оператора щільності р одне-модове поле в представленні чисел заповнення
до — довільне ціле число.
Знак нерівності у вираженні (3.3) виходить з позитивності кожного доданку. Співвідношення (3.3) можна переписати так:
[3.4]
За визначенням, тоді
[3.5]
Отримана нерівність справедлива при будь-якому до. Таким чином, міра когерентності другого порядку g2 повинна задовольняти цілій серії нетривіальних нерівностей (fe=l, 2,...), число яких визначається п. З них при заданому п потрібно вибрати таке, в якого права частина в (3.5) найбільша. Неважко показати, що для п, лежачого в інтервалі
[3.6]
саме права частина формули (3.5) буде найбільшою. Враховуючи цю обставину, нерівність (3.5) зручно записати у вигляді
[3.7]
де
—ціла частина п. З отриманого вираження
видно, що при Δ=0, 1 (середнє число фотонів
в моді рівно цілому числу) воно переходить
у відому нерівність (3.2) при п=2. Порівняння
отриманої нерівності (3.7) з відомим (3.2)
показує, що нижній кордон можливих
значень міри когерентності другого
порядку для випадку, коли п — не ціле
число, мається в своєму розпорядженні
вищим на величину
Тим самим встановлений точний нижній кордон значень для міри когерентності другого порядку:
[3.8]
У тому, що це є саме точний нижній кордон, можна переконатися таким чином. Поля, в яких, фізично не реалізовуються, бо інакше порушилося б співвідношення (3.3), яке повинне бути справедливым для всіх без виключення полів. В той же час поля з існують при будь-якому п. Наприклад, поле, в якого відмінні від нуля лише, є саме поле з мінімальною мірою когерентності другого порядку. Відзначимо, що при 0 і, отже, міра когерентності другого порядку може набувати будь-яких позитивних значень. На рис. 3.1 представлені нижній кордон можливих значень g2 згідно (3.2) і точний нижній кордон (3.8) (криві 1 і 2, відповідно).

Рисунок 3.1 Нижній кордон можливих значень g2
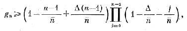
З позитивності форми вигляду
[3.9]
слідує нерівність для міри когерентності третього порядку:
[3.10]
Оскільки до довільно, то можна показати аналогічно тому, як це було зроблено при виводі (3.7), що максимальне значення правої частини нерівності (3.10) досягається для к==E(g2n+l). При цьому отримуємо нерівність для g3 у вигляді
[3.11]
де . У класичній межі (п>1) (3.11) переходить в одну з нерівностей (3.1). Нескладно переконатися, що отримана нерівність (3.11) для g3 сильніша, ніж нерівність (3.2) при п=3. Відзначимо, що нерівність (3.11) не лише сильніше раніше відомого, але і встановлює нижній кордон для g3 в тих областях n де відома нерівність виявлялася тривіальною. Права частина (3.11) дає нам точний нижній кордон значень міри когерентності g3 як: функцію g2 і п. На рис. 3.2 приведені нижній кордон значень g3 згідно (2) і точний нижній кордон, розрахований по (11) (криві 1 і 2, відповідно) для полів, в яких g2—2.

Рисунок 3.2 Нижній кордон значень g3
Для міри когерентності довільного порядку виходять наступні нерівності:
[3.12]
де
— біномінальні коефіцієнти. У зв'язку
з високою мірою цілочисельного параметра
до в загальному вигляді не представляється
можливим вибрати таке, для якого права
частина в (3.12) найбільша. Це можна зробити,
лише задаючи чисельно всі менші по
порядку міри когерентності і п.
При завданні лише одного параметра п нерівність для міри когерентності довільного порядку gn виглядає так:
[3.13]
При Δ=0 або 1 (п — ціле число) (3.13) зводиться до відомої нерівності. Для п<п—1+Δ права частина в (3.13) перетворюється на нуль і відповідні gn можуть набувати будь-яких позитивних значень.
Висновок
Когерентність – погоджене протікання в просторі і в часі декількох коливальних або хвилевих процесів, при якому різниця їх фаз залишається постійною. Це означає, що хвилі (звук, світло, хвилі на поверхні води і ін.) поширюються синхронно, відстаючи одна від одної на сповна певну величину. При складанні когерентних коливань виникає інтерференція; амплітуду сумарних коливань визначає різниця фаз.
В роботі досліджувалась вплив неоднорідного в поперечному перетині пучка поглинання. Основна увага приділена дослідженню поширення когерентного і частково когерентного випромінювання 2-го порядку. Досліджені особливості прояву даного ефекту для когерентного і частково когерентного випромінювання має дуже високу актуальність.
Виконано дослідження поширення випромінювання в середовищах з непараболічним розподілом комплексної діелектричної проникності чисельними методами. Отримано рівняння для траєкторії реального геометрооптичного світла з системи променевих рівнянь для середовищ з неоднорідним розподілом уявної частини діелектричної проникності, також в дослідженні проведений аналіз отриманого рівняння. Визначені кордони застосовності наближення геометричної оптики для сильно поглинаючих неоднорідних середовищ. А також досліджується можливість застосовності методів, які не враховують додаткової рефракції випромінювання, обумовленою неоднорідністю поглинання.
Список літератури
Д.Н.Клышко. Физические основы квантовой электроники. М.:Наука, 1986.
П.В.Елютин. Теоретические основы квантовой радиофизики. М.:МГУ, 1982
Р.Лоудон. Квантовая теория света. М.:Мир, 1976.
Р.Глаубер. В сб. Квантовая оптика и радиофизика. М.:Мир, 1966.
У.Люиселл. Излучение и шумы в квантовой электронике. М.:Наука, 1972.
Д.Клаудер, Э.Сударшан. Основы квантовой оптики. М.:Мир, 1970.
Я.Перина. Когерентность света. М.: Мир,1974.
Д.Н.Клышко. Неклассический свет. УФН, т.166, №6, с.613, 1996.
Иродов И.Е. Волновые процессы. Основные законы : учебное пособие для вузов. – М., 1999.
Перина Я. Когерентность света. – М., 1974.
Л.Мандель, Э.Вольф. Оптическая когерентность и квантовая оптика. М.:Физматлит, 2000.
М.О.Скалли, М.С.Зубайри. Квантовая оптика. М.:Физматлит, 2003.
Ландсберг Г.С. Оптика - М.: Наука, 1976. - 928с.
Ландсберг Г.С. Элементарный учебник физики. - М.: Наука, 1986. - Т.3. - 656с.
Прохоров А.М. Большая советская энциклопедия. - М.: Советская энциклопедия, 1974. - Т.18. - 632с.
Сивухин Д.В. Общий курс физики: Оптика - М.: Наука, 1980. - 751с.