Магниторезистивный эффект
Магниторезистивный эффект
(Научно – исследовательская работа)
Содержание
Введение
Магниторезистивный эффект
Качественное объяснение эффекта
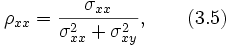
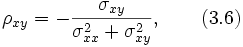
Тензор проводимости
Отрицательное магнетосопротивление
Вывод
Литература
Введение
В 2004 группа исследователей из Университета Айовы обнаружила необычный магнитный эффект, проявляемый пленками органических полупроводников. При приложении слабого магнитного поля к пленке ее электрическое сопротивление понижалось примерно на 10%. Эта необычная чувствительность к магнитным полям, известная как магниторезистивность, ранее проявлялась только для ферромагнитных материалов, как, например, железа. Причина наблюдаемого явления тогда, три года назад, не была выяснена.

Сейчас исследователи сделали шаг вперед к пониманию проявления эффекта. Изучение пленок многочисленных органических полупроводников позволило определить, что уменьшение проводимости под действием магнитного поля происходит только при совместном присутствии в органических материалах тяжелых атомов переходных металлов (платина или иридий) и водорода.
На атомном уровне электрические и магнитные свойства атомов сильно связаны. Тяжелые атомы и водород совместно оказывают легкое влияние на энергетическое распределение электронов в пленке, в результате чего и проявляется магниторезистивность.
Маркус Вольгенаннт (Markus Wohlgenannt), возглавляющий исследование, отмечает, что результаты научных поисков уже сейчас могут быть использованы на практике, в органических светодиодных дисплеях, позволяющих сенсорный ввод информации с помощью магнитного стило.
Главное преимущество технологии, предлагаемой американскими исследователями в сравнении с существующими – понижение стоимости оборудования за счет изготовления дисплеев и магнитных ручек к ним из одного и того же материала.
Магниторезистивный эффект
Магниторезистивный эффект (магнетосопротивление) — изменение электрического сопротивления материала в магнитном поле. Впервые эффект был обнаружен в 1856 Уильямом Томсоном. В общем случае можно говорить о любом изменении тока через образец при том же приложенном напряжении и изменении магнитного поля. Все вещества в той или иной мере обладают магнетосопротивление. Для сверхпроводников, способных без сопротивления проводить электрический ток, существует критическое магнитное поле, которое разрушает этот эффект и вещество переходит в нормальное состояние, в котором наблюдается сопротивление. В нормальных металлах эффект магнетосопротивления выражен слабее. В полупроводниках относительное изменение сопротивления может быть в 100—10 000 раз больше, чем в металлах, и может достигать сотен тысяч процентов.
Магнетосопротивление вещества зависит и от ориентации образца относительно магнитного поля. Это связано с тем, что магнитное поле не изменяет проекцию скорости частиц на направление магнитного поля, но благодаря силе Лоренца закручивает траектории в плоскости перпендикулярной магнитному полю. Это объясняет, почему поперечное поле действует сильнее продольного. Здесь речь пойдёт в основном о поперечном магнетосопротивлении двумерных систем, когда магнитное поле ориентировано перпендикулярно к плоскости движения частиц.
На основе магниторезистивного эффекта создают датчики магнитного поля.
Качественное объяснение эффекта
Качественно понять это явление можно, если рассмотреть траектории положительно заряженных частиц (например, дырок) в магнитном поле. Пусть через образец проходит ток j вдоль оси X. Частицы обладают тепловой скоростью или если дырочный газ вырожден, то средняя скорость частиц равна фермиевской скорости (скорости частиц на уровне Ферми), которые должны быть много больше скорости их направленного движения (дрейфа). Без магнитного поля носители заряда движутся прямолинейно между двумя столкновениями.
Во внешнем магнитном поле B (перпендикулярного току) траектория будет представлять собой в неограниченном образце участок циклоиды длиной l (длина свободного пробега), и за время свободного пробега (время между двумя столкновениями) вдоль поля E частица пройдет путь меньший, чем l, а именно

Поскольку за время свободного пробега τ частица проходит меньший путь вдоль поля E, то это равносильно уменьшению дрейфовой скорости, или подвижности, а тем самым и проводимости дырочного газа, то есть сопротивление должно возрастать. Разницу между сопротивлением при конечном магнитном поле и сопротивлением в отсутствие магнитного поля принято называть магнетосопротивлением.
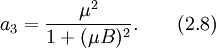
Также удобно рассматривать не изменение полного сопротивления, а локальную характеристику проводника — удельное сопротивление в магнитном поле ρ(B) и без магнитного поля ρ (0). При учете статистического разброса времен (и длин) свободного пробега, получим

где μ —
подвижность заряженных частиц, а
магнитное поле предполагается малым
.
Это приводит к положительному
магнетосопротивлению. В трёхмерных
ограниченных образцах на боковых гранях
возникает разность потенциалов, благодаря
эффекту Холла в результате чего носители
заряда движутся прямолинейно, поэтому
магнетосопротивление с этой точки
зрения должно отсутствовать. На самом
деле оно имеет место и в этом случае,
поскольку холлово поле компенсирует
действие магнитного поля лишь в среднем,
как если бы все носители заряда двигались
с одной и той же (дрейфовой) скоростью.
Однако скорости электронов могут быть
различны, поэтому на частицы, движущиеся
со скоростями, большими средней скорости,
сильнее действует магнитное поле, чем
холлово. Наоборот, более медленные
частицы отклоняются под действием
превалирующего холлова поля. В результате
разброса частиц по скоростям уменьшается
вклад в проводимость быстрых и медленных
носителей заряда, что приводит к
увеличению сопротивления, но в значительно
меньшей степени, чем в неограниченном
образце.
Тензор проводимости
Выражение (2.11) существенно упрощается если рассматривать двумерный дырочный газ (в плоскости XY) помещённый в поперечное магнитное поле. То есть магнитное поле направлено по оси Z

и магнитное поле и электрическое ортогональны между собой

Тогда выражение (2.11) записанное в матричной форме примет вид

где тензор σ называют тензором проводимости двумерного дырочного газа в магнитном поле.
Если рассмотреть достаточно длинный образец прямоугольной формы, такой, что линии тока вдали от контактов параллельны боковым сторонам образца, то в этой системе отсутствует ток j>y>. Можно записать связь между компонентами электрического поля (E>y> называют холловским полем)

которая приводит к выражению для тока j>x>

не зависящему от магнитного поля, то есть к отсутствию магнетосопротивления.
Обратная матрица к матрице проводимости называется тензором сопротивлений

и в общем случае для обращения нужно использовать формулы


где вместо компонент тензора проводимости следует использовать компоненты в уравнении (3.3).
Для двумерного электронного газа используются формулы (3.3), где изменён знак на противоположный перед подвижностью в тензоре проводимости (или просто транспонированная матрица проводимости).
Геометрическое магнетосопротивление

Рис. 1. Распределение потенциала (красный цвет соответствует максимуму, а синий — минимуму) в однородном квадратном образце с двумерным дырочным газом в поперечном магнитном поле (μB=1). Белыми линиями показаны искривлённые в магнитном поле линии тока.

Рис. 2. Распределение потенциала в однородном прямоугольном образце с двумерным дырочным газом в поперечном магнитном поле (μB=1). Белыми линиями показаны линии тока, которые в середине образца практически параллельны боковым сторонам.
Если рассмотреть прямоугольный образец (длиной L и шириной d) с двумерным электронным газом (магнитное поле направлено перпендикулярно плоскости образца), то в образце наблюдается магнитосопротивление связанное с перераспределением токов в магнитном поле:

где

Отрицательное магнетосопротивление
Среди эффектов, которые приводят к магнетосопротивлению можно выделить слабую локализацию, как наиболее известный эффект приводящий к отрицательному магнетосопротивлению, то есть наблюдается увеличение проводимости при приложении магнитного поля. Это одноэлектронный квантовый интерфененционный эффект приводящий к дополнительному рассеянию носителей, что уменьшает проводимость.
Вывод
В модели Друде уравнение для
дрейфовой скорости v>d>
частицы (для простоты рассмотрим дырку)
в электрическом
и
магнитных полях
имеет
вид:

где m — эффективная масса дырки, e — элементарный заряд, τ — время релаксации по импульсам (время между столкновениями, когда происходит существенное изменение импульса). Решение этого уравнения можно искать в виде суммы трёх векторов, которые определяют базис трёхмерного пространства.

Здесь a>i> — искомые коэффициенты. Если подставить это выражение в исходное (2.1) получим

Используя формулу двойного векторного произведения

п
риведём
выражение (2.3) к следующему виду:
собрав коэффициенты при базисных векторах. Приравняв коэффициенты при базисных векторах нулю найдём значения:



Ток и дрейфовая скорость связана соотношением:

где n — концентрация электронов
учавствующих в проводимости. Выразим
проводимость через подвижность


Теперь, зная дрейфовую скорость, запишем общее выражение для плотности тока:

Двумерный электронный газ. В ограниченном образце с двумерным электронным газом в поперечном магнитном поле холловское поле компенсирует действие магнитного поля, когда выполняются следующие условия:
Двумерный электронный газ вырожден, то есть температура достаточно низка по сравнению с энергией Ферми и нет энергетического разброса носителей, то есть они обладают одинаковой фермиевской скоростью.
Существует только один тип носителей, поскольку холловское поле не может скомпенсировать дрейф носителей с разными подвижностями или зарядом. Система также должна быть однородна по распределению концентрации носителей, поскольку разная концентрация соответствует различным энергиям и скоростям частиц.
Поле не может быть квантующим, то есть когда наблюдается эффект Шубникова — де Гааза.
Эффект магнетосопротивления оказывается чувствительным к форме образца. Длина образца прямоугольной формы должна быть много больше его ширины, поскольку вблизи токовых контактов наблюдается искажение линий токов. Соответственно все измерения должны производиться в четырёхконтактной схеме при постоянном токе.
Ещё одно ограничение существует на размер образца. Он должен быть макроскопическим. Транспорт в нём должен быть диффузионным и длина фазовой когерентности (длина сбоя фазы) должна быть много меньше размера образца.
Собственно говоря, выполнение этих условий является необходимым условием отсутствия положительного магнетосопротивления. Но существуют эффекты как классические, так и квантовые (слабая локализация) и многочастичные (электрон-электронные взаимодействия в Ферми жидкости), которые могут приводить к магнетосопротивлению в двумерной системе.
Неограниченный образец можно моделировать в виде диска (диск Корбино). Так как ток имеет радиальный характер, то отклонение носителей заряда под действием магнитного поля происходит в перпендикулярном к радиусу направлении, поэтому не происходит разделения и накопления зарядов, и холлово поле не возникает. В геометрии дика Корбино эффект магнетосопротивления максимален.
Если магнитное поле направлено вдоль тока j, то в этом случае изменения сопротивления не должно было бы быть. Однако в ряде веществ магнетосопротивление наблюдается, что объясняется сложной формой поверхности Ферми.
Литература
P. S. Kireev Semiconductor physics, 2nd ed.. — Moscow: Mir Publishers, 1978. — С. 696.
B. M. Askerov Electron Transport Phenomena in Semiconductors, 5-е изд.. — Singapore: World Scientific, 1994. — С. 416.
Vorob’ev V. N. and Sokolov Yu. F. «Determination of the mobility in small sample of gallium arsenide from magnetoresistive effects» Sov. Phys. Semiconductors 5, 616 (1971).