Проблеми ефективності виробництва та формування ринку зерна
ЗМІСТ
ВСТУП
I. ТЕОРЕТИЧНІ ОСНОВИ ЕКОНОМІЧНИХ ВІДНОСИН В АПК
1.1 Сутність механізму регулювання міжгалузевих відносин
1.2 Методичні засади дослідження економічних відносин в АПК5
II. СУЧАСНИЙ СТАН РЕГУЛЮВАННЯ ЕКОНОМІЧНИХ ВІДНОСИН У ЗЕРНОПРОДУКТОВОМУ ПІДКОМПЛЕКСІ АПК
2.1 Структура економічних відносин у зерноптродуктовому підкомплексі АПК
2.2 Організаційно-виробнича структура зернопродуктового підкомплексу АПК
2.3 Ефективність економічних відносин в сфері виробництва зерна
III. ШЛЯХИ УДОСКОНАЛЕННЯ МЕХАНІЗМУ ЕКОНОМІЧНИХ ВІДНОСИН У ЗЕРНОПРОДУКТОВОМУ ПІДКОМПЛЕКСІ
3.1 Підвищення ефективності використання виробничого потенціалу переробки зерна
3.2 Удосконалення системи ціноутворення на зерно
3.3 Удосконалення механізму міжгалузевих економічних зв'язків у зернопродуктовому підкомплексі АПК
3.4 Бізнес-план Тернопільського хлібокомбінату
ВИСНОВКИ
СПИСОК ВИКОРИСТАНИХ ДЖЕРЕЛ
ВСТУП
Актуальність теми. Зернове виробництво займає провідне місце в структурі аграрного сектора економіки України. Від рівня та ефективності його розвитку залежить добробут населення, гарантування національної продовольчої безпеки, експортні можливості країни.
Значне скорочення обсягів виробництва зерна протягом останніх років пояснюється негативним впливом комплексу організаційно-економічних та техніко-технологічних чинників. Низький рівень ефективності і конкурентоспроможності зерновиробництва як базової галузі сільського господарства створює перешкоди на шляху формування повнокровного внутрішнього ринку зерна та продуктів його переробки, унеможливлює розширення зовнішніх ринків.
Незважаючи на сприятливий природно-економічний потенціал Бiлогiрського району та зростаюче значення зернового господарства для економіки сільськогосподарських товаровиробників і регіону в цілому, галузь продовжує залишатися у стані стагнації як за кількісними, так і за якісними показниками розвитку. Через недостатню ефективність заходів державного регулювання ринкових процесів поглиблюються диспропорції у співвідношенні попиту і пропозиції на регіональному ринку зерна.
Науково-методологічні основи ефективності зернового виробництва, проблеми теорії й практики інтенсифікації галузі знайшли широке відображення в аграрній економічній літературі. До найбільш комплексних належать праці В.І. Бойка, О.А. Бугуцького, М.Г. Лобаса, І.І. Лукінова, В.П. Мертенса, О.М. Онищенка, П.М. Рибалкіна, П.Т. Саблука, А.І. Степанова, О.О. Сторожука, М.І. Щура та інших. Вагомий внесок у наукове розроблення питань організації й розвитку аграрного ринку, в тому числі формування ринку зерна, зробили В.І. Бойко, Б.Б. Губський, Ю.С. Коваленко, 3.П Піколаєва, П.Т. Саблук, В.П. Ситник, Л.М. Худолій, О.М. Шпичак та інші.
Проте якщо проблеми функціонування зернопродуктового підкомплексу на рівні держави досліджені достатньою мірою, то цілий ряд важливих аспектів підвищення ефективності виробництва та формування ринку зерна в природно-економічних зонах і областях потребують додаткового розгляду. Це стосується насамперед комплексного аналізу факторів, що впливають на рівень і динаміку показників економічної ефективності зерновиробництва, обґрунтування шляхів відновлення конкурентоспроможності галузі, визначення особливостей кон'юнктури регіонального зернового ринку та напрямків підвищення ефективності його функціонування. Отже, необхідність подальшого вирішення теоретичних і прикладних проблем ефективного розвитку зернового господарства удосконалення економічних відносин та функціонування ринку зерна в регіоні зумовила вибір теми магістерської роботи, визначила її мету, задачі та структурну побудову.
Мета і задачі дослідження. Метою магістерської роботи є уточнення теоретичних положень і розроблення практичних пропозицій щодо удосконалення механізму економічних відносин в зернопродуктовому підкомплексі, комплексної оцінки та обґрунтування напрямків підвищення ефективності виробництва і функціонування ринку зерна в регіоні з урахуванням загальнодержавних тенденцій. Для досягнення поставленої мети забезпечувалося вирішення таких задач:
узагальнити й розвинути науково-теоретичні і методичні основи системної оцінки ефективності виробництва та формування ринку зерна;
дослідити сучасний стан і структурно-динамічні тенденції розвитку зернової галузі в регіоні;
провести економіко-статистичний аналіз факторів варіації показників економічної ефективності виробництва і реалізації зерна, обґрунтувати шляхи підвищення конкурентоспроможності продукції,
з'ясувати кількісні та якісні ознаки формування ринку зерна в умовах кризового стану галузі;
визначити напрямки удосконалення механізму економічних відносин, системи ціноутворення на зерно та формування інфраструктури зернового ринку.
Предметом дослідження є сукупність теоретичних, методичних і прикладних проблем ефективності виробництва та формування ринку зерна..
Об'єктом дослідження обрано підприємства зернопродуктового підкомплексу АПК Бiлогiрського району, зокрема, ЗАТ "Бiлогiрський КХП №1". Окремі розрахунки виконувалися на матеріалах усіх категорій господарств. Для порівняння регіональних особливостей із загальними закономірностями розвитку зернової галузі та функціонування ринку зерна використовувалася також інформація в цілому по Україні й областях зони Лісостепу. Інформаційну базу дослідження становлять матеріали Міністерства аграрної політики України, Державного комітету статистики України, Бiлогiрського районного управління статистики, річні звіти сільськогосподарських підприємств, літературні джерела.
Методи дослідження. Теоретичною і методологічною основою дослідження є діалектичний метод пізнання, системний підхід до вивчення економічних явищ і процесів, закони суспільного розвитку, наукові праці вчених-аграрників з проблем реформування агропродовольчого сектора економіки, ефективності виробництва та функціонування ринку зерна.
Поставлені в магістерській роботі задачі вирішувалися за допомогою таких методів дослідження: монографічного, статистико-економічного, детермінованого аналізу, графічного - оцінка стану і тенденцій розвитку зернової галузі, комплексний аналіз ефективності виробництва і реалізації зерна; абстрактно-логічного, розрахунково-конструктивного, балансового, експертних оцінок - вивчення існуючих ознак формування зернового ринку та обґрунтування напрямків підвищення ефективності його функціонування.
Наукова новизна одержаних результатів. Наукова новизна проведеного дослідження відображена в науково-практичних результатах, які виносяться на захист:
запропонована методична схема комплексного аналізу ефективності виробництва і функціонування ринку зерна;
доведена доцільність і обґрунтована послідовність аналізу факторів формування фінансових результатів від реалізації продукції, показників рентабельності і беззбитковості виробництва зерна;
запропоновані підходи до порівняльної оцінки стану та ефективності використання матеріально-технічної бази зернової галузі;
визначена сукупність кількісних та якісних особливостей формування ринку зерна в регіоні у порівнянні із загальнодержавними тенденціями;
обґрунтований механізм економічних відносин, оцінки ефективності системи ціноутворення на зерно.
Практичне значення одержаних результатів. Висновки і практичні рекомендації за результатами дослідження можуть слугувати основою при розробленні системи заходів по підвищенню ефективності виробництва зернових культур та удосконаленню економічного механізму функціонування ринку зерна в регіоні. Запропоновані методичні підходи щодо комплексної оцінки ефективності зерновиробництва, маржинального аналізу фінансових результатів, показників рентабельності і беззбитковості можуть бути використані в аналітичній роботі як сільськогосподарських підприємств різних організаційних форм, так і територіальних органів управління АПК.
І. ТЕОРЕТИЧНІ ОСНОВИ ЕКОНОМІЧНИХ ВІДНОСИН В АПК
1.1 Сутність механізму регулювання міжгалузевих відносин
Принципи побудови системи міжгалузевих відносин є основоположною характеристикою економічної організації агропромислового комплексу. Наявність невирішених проблем у цій сфері зумовлює необхідність певної зміни методологічного підходу до розгляду міжгалузевих відносин: від теоретичної інтерпретації явища необхідно перейти до свідомого проектування заходів, спрямованих на його усунення.
Необхідність реалізації таких заходів зумовлена тим, що еволюційне, поступове подолання проблеми нееквівалентності, можливе в рамках вдосконалення інституційних механізмів вертикальних відносин, є надто повільним і таким, що потребує великої кількості економічних, політичних, технологічних і соціальних передумов.
Недостатня зрілість цих передумов в сучасних умовах і тривалість періоду, потрібного для істотного вдосконалення вертикальної координації навіть при їх наявності, зумовлюють доцільність свідомого втручання у функціонування економічного механізму міжгалузевих відносин.
Існує свідома участь суб'єктів у процесах як поглиблення нееквівалентності міжгалузевих відносин, так і розвитку вертикальної координації як засобу її подолання. Всі відповідні дії обов'язково мотивовані, тобто проходять через свідомість людей. Але для таких дій характерний агрегований характер, що зумовлює формування усередненого результату, який, як правило, не входив до складу мотивів індивідуальних суб'єктів. Зокрема, нееквівалентність міжгалузевих відносин як проблема національного масштабу навряд чи є метою діяльності навіть тих структур, які виграють від неї, не говорячи про дії товаровиробників.
Усвідомленість дій, у зв'язку з їх агрегованим характером, можна вважати опосередкованою в тому аспекті, що вони мають стратегічні наслідки, які не були усвідомлені на рівні мотивів індивідуальної поведінки. Класичним прикладом опосередкованої усвідомленості є принцип невидимої руки А.Сміта; але в даному випадку непередбачувані розв'язки є позитивними, і свідоме втручання в рамках цієї моделі не потрібне. В той же час очевидно, що не існує апріорної гарантії, що всі непередбачувані наслідки поведінки індивідуальних агентів повинні бути позитивними.
З точки зору системного підходу, агрегований характер дій індивідуальних агентів методологічно пов'язаний з двома аспектами внутрішньосистемних взаємовідносин: множинністю складових системи і відносинами взаємного заперечення серед них. Дії індивідуального економічного агента методологічно еквівалентні поведінці складової системи, в той час як функціонування централізованого органу відповідає поведінці системи як цілого. Таке розрізнення, яке з певної (феноменологічної) точки зору може видатися тривіальним, дозволить дати важливі пояснення стосовно природи регулятивного процесу як особливого типу взаємодії між системою та її складовою. Всі відмінності, що існують між поведінкою системи в цілому і окремої складової, можна узагальнити через категорію організаційного рівня поведінки, що виражається, зокрема, в організаційному рівні її усвідомлення.
Три аспекти поведінки системи в цілому відносно своїх складових -підвищена цілісність, конфліктна обумовленість і примусовий характер -відповідають сутності регулювання, в тому числі регулювання міжгалузевих відносин. Регулювання виступає як додаток до безпосереднього інтересу економічного агента; воно спонукає його до дій, до яких б він не вдався, виходячи з наявних індивідуальних інтересів.
Можна вважати, що застосування регулюючих засобів означає додавання до безпосереднього індивідуального інтересу агента певного додаткового інтересу, що зумовлює модифікацію його поведінки (поведінка розуміється як функція від інтересу).
Методологічний підхід до розгляду регулювання, яке розуміється як застосування засобів для досягнення результату згідно з метою, можна вважати гносеологічним. Сутність підходу полягає в протиріччі між фактичним і бажаним, об'єктивним і суб'єктивним. Там, де економічний агент відчуває цю різницю, він діє з метою її усунення. В цьому плані будь-яка економічна (і не тільки) поведінка містить регулюючі елементи. Пропонований нами підхід, який дозволяє трактувати регулювання у вужчому значенні, можна вважати онтологічним. Згідно з ним, об'єктивною основою регулятивного процесу є невідповідність індивідуальної та системної визначеності предмета (процесу, індивіда). Регулювання повинно існувати настільки, наскільки існує ця різниця.
Якщо з точки зору загальносистемного добробуту, враховуючи однакову функціональну необхідність сільськогосподарських і несільськогосподарських галузей, слід визнати виправданість єдиної норми прибутку в народногосподарському, або, принаймні, в міжгалузевому комплексі, то це є системною характеристикою складових даного комплексу. Індивідуальні характеристики не включають врахування функціональних взаємозв'язків і спрямовані передусім на задоволення власних інтересів. Прагнучи до задоволення власного (безпосереднього) інтересу, економічний агент у випадку міжгалузевих відносин (мається на увазі несільськогосподарський бізнес) діє собі на шкоду. Величину цієї шкоди визначає відхилення індивідуальної і системної визначеності, наявність якого зумовлює необхідність свідомого втручання (регулювання). Неминучість примусового характеру регулювання зумовлена невідповідністю оптимальної з загально-системної точки зору поведінки безпосереднім інтересам агентів. Слід зазначити, що поєднання у випадку державного регулювання безпосереднього й опосередкованого iнтересів може бути не-аддитивним, тобто мати непередбачувані мотиваційні наслідки.
Важливим методологічним аспектом, що відрізняє звичайну поведінку
економічних агентів від регулювання, є спрямованість від майбутнього у теперішнє. Йдеться про те, що регулювання, як правило, спрямовується на попередження певних негативних розв'язків (або, що в даному випадку те саме, на досягнення позитивних результатів).
Важливим аспектом регулятивного процесу є його спрямованість на інтерналізацію зовнішніх ефектів (екстерналій). Так, у теорії суспільного добробуту екстерналіями можуть виступати, зокрема, викиди промисловим підприємством екологічно небезпечних речовин, що забруднюють середовище. Але витрати, пов'язані з викидами, несуть люди, що живуть в даній місцевості, а не саме підприємство. За теорією А. Пігу, невідповідність індивідуальних і соціальних витрат, що лежить в основі екстерналії, зумовлює необхідність державного регулювання. Р. Коуз заперечував доцільність державного регулювання, вважаючи, що за умов нульових трансакційних витрат і чітко визначених прав власності всі сторони, що мають відношення до відповідних трансакцій, домовляться між собою таким чином, що суспільний добробут буде максимізовано.
Слід підкреслити, що розвиток міжгалузевих відносин в АПК здійснюється за напрямками, закладених в розробках обох дослідників. Державне регулювання сільськогосподарського виробництва об'єктивно необхідне, оскільки без нього наявність екстерналій призведе до руйнівних розходжень між індивідуальними і соціальними витратами. Водночас ринок може автономно вирішити проблему нееквівалентності за рахунок поглиблення вертикальних відносин між товаровиробниками і несільськогосподарськими суб'єктами. Очевидно, що державне регулюванню виглядає як вимушений захід, оскільки воно спрямоване більше на попередження негативних наслідків, ніж на закладання умов для довгострокового прогресу.
У системі нееквівалентних міжгалузевих відносин екстерналією є втрати товаровиробників внаслідок диспаритету цін. Отже, виправленням цієї ситуації, як і у випадку будь-якої екстерналії, є її інтерналізація, тобто формування такого економічного механізму, який би перетворював зовнішні витрати (тобто не існуючі для підприємства) у внутрішні. Тобто у точному значенні слова інтерналізація втрат від нееквівалентності означає міжгалузевий перерозподіл коштів, оскільки для несільськогосподарських галузей, які отримують зиск від нееквівалентності, відповідні витрати є зовнішніми. Інтерналізація витрат означає зменшення їх доходів на певну частину і передачу останньої товаровиробникам, тому що останні повинні інтерналізувати зиск від пропорцій обміну, що склалися.
Узагальнення характеристик економічної поведінки індивідуальних економічних агентів і держави в процесі формування міжгалузевих відносин представлено в табл. 1.1.
У таблиці 1.1. вертикальна координація займає проміжне місце між звичайними діями (тобто господарською діяльністю товаровиробників) і державним регулюванням, оскільки вона одночасно є ініціативним і регулятивним (з точки зору забезпечення еквівалентних міжгалузевих відносин) процесом. Проміжна позиція вертикальної координації між спрямованістю від майбутнього у теперішнє і від теперішнього до майбутнього полягає в зміні економічних критеріїв розрізнення цих часових горизонтів.
Таблиця 1.1
Концептуальні ознаки економічної поведінки в процесі формування міжгалузевих відносин
|
Звичайні дії |
Вертикальна координація |
Державне регулювання |
|
Частина опосередковано впливає на ціле |
Межа між частиною і цілим поступово зникає |
Ціле безпосередньо впливає на частину |
|
Спряпованість від теперішнього в майбутнє |
Теперішнє трансформує структуру майбутніх доходів |
Спрямованість від майбутнього в теперішнє |
|
Формування зовнішніх ефектів (екстерналії) |
Внутрішня ініціатива (екстерналізація) |
Зовнішня (вимушена) інтерналізація |
|
Добровільний характер поведінки |
Добровільне взяття на себе обмежуючих обов'язків |
Існує елемент примусовост (в разі міжгалузевого перерозподілу коштів) |
Якщо для звичайних дій товаровиробників теперішнє характеризується їх зусиллями щодо організації виробництва продукції, то майбутнє пов'язане з взаємовідносинами з ринковими агентами, в процесі яких реалізується економічний результат виробництва.
Втрати від нееквівалентності являють собою суму, на яку середні соціальні витрати відрізняються від індивідуальних витрат товаровиробників. Уведення категорій середніх і індивідуальних витрат дозволяє продемонструвати проблему нееквівалентності з погляду співвідношення середніх і граничних величин. Слід зазначити, що існування середніх витрат по міжгалузевому комплексу, незважаючи на всю умовність усередненості в даному випадку, має об'єктивні підстави настільки, наскільки цей комплекс виступає як цілісність. Саме як цілісність він взаємодіє з іншими галузями економіки, і ті суми, що витрачаються всередині нього, можуть мати два системні виміри - валовий і середній. Індивідуальні витрати - це не системний, а індивідуальний вимір. Отже, при порівнянні середніх і індивідуальних витрат можна скласти уявлення про розміри втрат від нееквівалентності.
За умов статичної інституційної структури обміну є всі підстави очікувати збільшення розмірів втрат від нееквівалентності у міру зростання обсягів трансакцій (обсягів продукції). З теорії граничного аналізу відомо, що збільшення граничної величини передбачає і зростання середньої величини, але з меншою інтенсивністю. Звідси випливає висновок, що збільшення обсягів виробництва при даній інституційній структурі призводить до збільшення середніх витрат у міжгалузевому комплексі (витрати зростають швидше, ніж економічні результати). Цей висновок є логічним, якщо врахувати зростаючу граничну корисність кожної наступної гривні, що втрачається товаровиробниками внаслідок нееквівалентності.
Якщо взяти до уваги, що агропромисловий комплекс у процесі взаємодії з іншими комплексами виступає як єдине ціле, то середні по комплексу витрати набувають змісту узагальнюючої характеристики. При цьому їх обрахування як таке непотрібно: вони слугують орієнтиром для визначення обсягів виробничої діяльності в комплексі на основі порівняння витрат з ресурсними можливостями економіки. Ресурсні можливості при цьому розуміються широко: до їх складу входить насамперед попит, що зумовлює доцільність виробничої діяльності. Низький рівень попиту свідчить про низький рівень ресурсних можливостей економіки. Ці теоретичні положення графічно представлені на рис. 1.1.

Рис. 1.1. Ілюстрація втрат від нееквівалентності обміну
Узагальнюючи сутність розвитку регулятивного процесу як особливого
типу взаємодії системи з своїми складовими, можна виділити кілька його логічних етапів. Першим з них, безумовно, має бути такий стан зазначеної взаємодії, коли протиріччя між частиною і цілим ще не реалізувалось належною мірою. Прикладом такого "прихованого" протиріччя може бути функціонування ринкового механізму в умовах досконалої конкуренції. В цих умовах максимально реалізується принцип "невидимої руки", коли безпосередні мотиви поведінки індивідів збігаються з забезпеченням загальносистемного добробуту. Можна вважати, що якби ринки сільськогосподарської і несільськогосподарської продукції, які задіються в міжгалузевому обміні, характеризувались ідентичною структурою (в аспекті концентрації ринкової влади), то, вірогідно, проблема нееквівалентності не виникла б.
Особливістю другого етапу, якого можна вважати логічним запереченням першого, є загострення протиріччя між функціонуванням цілого і частини. Очевидно, що для міжгалузевих відносин це виражається в загостренні нееквівалентності обміну. Внаслідок незбалансованості процесу взаємодії складових частин, загальний добробут системи зменшується.
Третій етап, що являє собою заперечення заперечення, передбачає застосування регулятивних механізмів з метою такої модифікації інтересів індивідуальних агентів, щоб їх поведінка узгоджувалась із загальноси-стемними цілями. Цей етап міг би бути остаточним, але будь-які регулятивні механізми, які зовнішнім чином накладаються на правила поведінки індивідуальних агентів, викликають їх природний опір.
Враховуючи методологічну незавершеність "зовнішнього" регулювання, яке у випадку міжгалузевих відносин набуває форми державного, необхідним є додатковий етап заперечення, що полягає у формуванні протидії регулюючим механізмам. Ця протидія може набувати різноманітних форм, і зумовлена недостатньою інтерналізацією загальносистемних цілей в рамках свідомості індивідуального агента. Так, до її проявів можна віднести: негативні мотиваційні наслідки програм підтримки доходів товаровиробників (необгрунтоване розширення виробництва); відсутність політичного консенсусу щодо доцільності ізоляції сільського господарства від сфери вільних ринкових відносин (в окремих розвинутих країнах це зумовлює орієнтацію аграрної політики на обмеження регулюючих програм); можливий опір несільськогосподарських суб'єктів, якщо регулювання здійснюватиметься в напрямі міжгалузевого перерозподілу коштів. Можливі акти протидії зумовлюють необхідність наступного логічного етапу (додаткового заперечення заперечення), в рамках якого вказані конфліктні ситуації розв'язуються.
Загальним виразом розв'язання конфліктних ситуацій є інтерналізація регулювання, тобто перетворення зовнішніх інтересів, що зумовлюються накладанням певних правил гри на функціонування індивідуальних агентів, у внутрішні. В системі міжгалузевих відносин це можливо через поглиблення вертикальних відносин, у процесі якого цілі та інтереси окремих складових міжгалузевого комплексу узгоджуються безпосередньо, без опосередковуючої участі держави. Така послідовність етапів є логічною; конкретний історичний розвиток будь-якої системи може лише приблизно відтворювати її (це випливає з діалектики логічного і історичного). Якщо остаточним етапом з логічної точки зору є інтерналізація регулювання (п'ятий етап), то залежно від природи конкретного регулятивного процесу та зовнішніх обставин фактичним кінцевим етапом може бути четвертий, третій, або навіть другий.
К.Вельяновський, зокрема, стверджує, що внутрішня (за нашою термінологією) інтерналізація регулювання шляхом вирішення спірних питань у переговорному процесі може бути унеможливлена через високі трансакцию витрати переговорів, особливо в умовах наявності значної кількості сторін та їх "стратегічної поведінки" [116]. В такому випадку ефективна інтерналізація досягається лише через державне регулювання, на що звертають увагу Грюншпехт і Лейв [64]. Водночас завдання забезпечення максимального загальносистемного добробуту вимагає, щоб фактичний остаточний етап збігався з логічним.
В економічній науці напрацьовано чимало підходів до економічного регулювання; до тих, що мають методологічне значення для регулювання міжгалузевих відносин, можна віднести теорію суспільного інтересу і теорію приватного інтересу.
Теорія суспільного інтересу пояснює необхідність регулювання виходячи з міркувань загальносистемного добробуту; логіка в даному випадку видається безперечною. Водночас для її реалізації існують обмежені можливості, що зумовлено складністю визначення конкретних характеристик суспільного інтересу через надзвичайну складність суспільної системи.
Згідно з теорією суспільного інтересу (яку розробляли, зокрема, Ерроу, Шубік, Бейтор та ін.), державне регулювання доцільно застосовувати у випадках недосконалої конкуренції, незбалансованого функціонування ринкового механізму, небажаних ринкових результатів і відсутності ринків на певні товари. З наведених випадків перші три мають очевидне відношення до проблеми міжгалузевих відносин. Так, недосконала конкуренція на ринках виробничих ресурсів для товаровиробників у поєднанні з конкурентною структурою ринків сільськогосподарської продукції дійсно спричиняє поглиблення не-еквівалентності міжгалузевого обміну.
Під незбалансованим функціонуванням ринкового механізму мається на увазі надлишкова конкуренція, усталене використання надлишкових виробничих потужностей, внаслідок чого ціни встановлюються на рівні, нижчому від виробничих витрат. Ці обставини також характерні для сільського господарства в тих умовах, в яких воно нині функціонує.
До небажаних ринкових результатів слід віднести ситуацію можливого підвищення суспільного добробуту внаслідок перерозподілу за допомогою державних винагород, призначених ринковим механізмом економічним агентам.
Об'єктивною основою для позитивного впливу цього перерозподілу є нееквівалентність граничної корисності доходів, отримуваних різними суб'єктами. Економічною наукою визнано, що обгрунтовані між-особистісні порівняння корисності неможливі (одним з перших звернув на це увагу Л.Роббінс), однак у випадку нееквівалентних міжгалузевих відносин такі критерії, на нашу думку, Існують: можна вважати, що гранична корисність доходів по міжгалузевому комплексу зворотно пропорційна рівню прибутковості відповідного галузевого виробництва.
Небажаність деяких результатів функціонування ринкового механізму зумовлена також тим, що останні не враховують необхідність дотримання певних позаекономічних цінностей, пов'язаних із справедливістю розподілу економічного результату, соціальним захистом тощо. Нееквівалентні міжгалузеві відносини можна охарактеризувати як несправедливі (у зв'язку з невідповідністю винагороди системою корисності для системи), та такі, що не сприяють соціальному захисту товаровиробників. Отже, міжгалузеве регулювання на основі суспільного інтересу являє собою випадок органічного поєднання економічних і позаекономічних принципів, на потенційну конфліктність яких вказував американський економіст А. Окун.
Слід зазначити, що теорія суспільного інтересу викликала чимало критичних коментарів, які мають методологічне значення для визначення сутності регулювання міжгалузевого обміну. Один з критичних підходів вказує на те, що теорія не враховує здатності ринку до самостійного розв'язання окремих проблем (виходу із стану "фіаско ринку"). Так, Далман наголошує, що неефективний розподіл ресурсів у ході ринкового процесу можна вважати ефективним, якщо врахувати позитивні трансакційні витрати.
Монопольне становище може бути результатом підвищеної ефективної виробничої діяльності підприємства, а також результатом конкуренції за ринок (а не конкуренції на ринку), на що звертали увагу Г. Демзец, Баумоль, Панзар, Відліг. Стосовно міжгалузевих відносин це означає, що державне регулювання овинно здійснюватись лише тоді, коли вичерпані можливості автоматичного виправлення диспропорцій обміну, яке здійснюється шляхом поглиблення вертикальних відносин.
Теорія суспільного інтересу також зазнає критики за ігнорування можливої неефективності державного регулювання, пов'язаної з наявністю бюрократизму і недосконалої інформованості про стан об'єкта регулювання. За термінологією Г.Демзеца, для даної теорії характерний "нірванний підхід", тобто припущення відсутності трансакційних і інформаційних витрат діяльності державних органів.
З наявності концептуальних і моніторингових витрат діяльності державного органу стосовно регулювання міжгалузевих відносин випливають два висновки: обгрунтованою з економічної точки зору є політика міжгалузевого розподілу коштів, яка передбачає перенесення основного тягаря (в тому числі фінансового) регулюючої діяльності з держави на суб'єктів міжгалузевих відносин (представників несільськогосподарського бізнесу). По-друге, враховуючи позитивні витрати з державного регулювання, можливість хоча б часткового автоматичного вирішення проблеми нееквівалентного обміну через ринковий механізм у зв'язку з обмеженістю ресурсів перетворюється в необхідність.
Водночас окремі критичні концепції щодо теорії суспільного інтересу не відповідають сутності регулювання міжгалузевих відносин. Так, однією з підстав для критики теорії є неможливість підвищення загального добробуту за допомогою будь-якого часткового заходу, якщо останній не спроможний подолати неефективний розподіл ресурсів в інших секторах економіки, на чому наголошує И. Нг. У контексті міжгалузевих відносин з цим не можна погодиіись: забезпечення еквівалентних відносин с частковою метою, але її реалізація, створюючи можливість для розширеного відтворення ськогосподарського виробництва, збільшення його обсягів і підвищення ходів товаровиробників, не може не сприяти підвищенню загальносистемного добробуту.
Проблема державного регулювання сільськогосподарського виробництва є подвійною. По-перше, необхідно подолати невизначеність щодо дійсного змісту суспільного інтересу і розробити заходи, які б максимально сприяли підвищенню суспільного добробуту; по-друге, необхідно організувати чітке виконання запланованих заходів, що є непростим завданням з огляду на позитивні трансакційні витрати ресурсної координації ієрархічного типу.
Іншим напрямом теоретичного трактування економічного регулятивного процесу є теорія приватного інтересу, яка, на наш погляд, виходить із більш реалістичних припущень щодо формування політичних рішень. Ті підходи, які можна віднести до цієї теорії, розглядають в якості основних носіїв політичного процесу заінтересовані групи, якими можуть бути, зокрема, галузі, що звичайно слугують основним об'єктом регулювання. Так, теорія "схоплення" (capture theory of regulation) стверджує, що для будь-якої галузі створюється регулятивний орган тоді, коли виявляється факт використання надмірної економічної влади. Проте згодом відносини між галуззю і регулятивним органом гармонізуються, внаслідок чого останній починає представляти її інтереси.
Один з основоположників теорії економічного регулювання Дж. Стіглер відстоював методологічну позицію щодо того, що політичний процес доцільно розглядати як ринок, де є попит (з боку зацікавлених груп - керівників галузевих виробництв, працівників, споживачів) і пропозиція (з боку органів представницької демократії, яким необхідна підтримка електорату). Згідно з теорією Стіглера, економічне регулювання спрямоване не на усунення або попередження фіаско ринку., а на створення схем передам; доходів галузям з сильним політичним представництвом в обмін на політичну підтримку.
Можна розрізняти три типи ефективності процесу регулювання міжгалузевих відносин: економічний, що визначається співвідношенням збільшення добробуту товаровиробників і обсягом коштів, витрачених на забезпечення цього збільшення: соціальний, пов'язаний з формуванням прийнятних умов життя для товаровиробників; політичний, що залежить від організаційних зусиль, спрямованих на формування необхідного суспільного ставлення до сільського господарства, та організаційно-економічних заходів,, що здійснюються завдяки цим зусиллям. Політична ефективність порівняно з економічною і соціальною має технічне, тобто нецільове значення; вона відображає можливість досягнення соціально-економічних цілей. Важливим в даному випадку є факт її виокремлення як об'єктивного детермінанта ефективності регулюючих заходів.
Слід зазначити, що формування позитивного політичного ставлення до аграрного сектора не треба розуміти як основу для надання підвищених пільг порівняно з іншими галузями; стратегічним завданням аграрної політики має бути вирівнювання економічних умов господарювання, що може здійснюватись як за рахунок цільових державних програм, так і шляхом міжгалузевого перерозподілу коштів, який у свою чергу може здійснюватись як через розрахункове посередництво держави, так і ініціативним шляхом через поглиблення вертикальних відносин. На нашу думку, проблему вирівнювання умов слід розглядати не лише в економічному аспекті, а також у соціальному і політичному, які, безумовно, тісно взаємопов'язані. Так, забезпечення рівних економічних умов навряд чи можливе, якщо представництво аграрного сектора У сфері політичних відносин також не буде "рівним" відносно інших технологічно пов'язаних секторів.
Враховуючи потенційну суперечливість інтересів різних груп ринкових агентів, доцільно допустити, що максимальна ефекти анісі ь політичної діяльності досягається шляхом принесення в жертву інтересів однієї групи доти, доки відповідна втрата політичної підтримки не перевищить отриманої підтримки з боку групи з протилежними інтересами. Таким чином, неминучим наслідком будь-якого політичного процесу є задоволення інтересів однієї групи за рахунок пожертвування інтересами іншої, що за економічним терміном означає "крос-субсидизація".
Теоретичні основи крос-субсидизації як оптимальної форми процесу регулювання були розроблені Пельцманом, який сформулював проблему ефективності регулювання: необхідно встановити такий рівень цін на продукцію регульованого виробництва, щоб приріст політичної підтримки як раз дорівнював втраті цієї підтримки від тих, хто постраждав внаслідок встановлення таких цін.
Теорія Пельцмана, на нашу думку, грунтується на особливих методологічних засадах порівняно із стандартними теоріями приватного інтересу, які проявляються в орієнтації не стільки на одну галузь як об'єкт регулювання, скільки на процес міжгалузевої взаємодії. До того ж, регулювання застосовується ь разі незбалансованості цього процесу, яка має економічний і політичний вирази. Економічний прояв незбалансованості полягає, очевидно, у нееквівалентності міжгалузевого обміну, внаслідок чого представники однієї з галузей готові прикласти зусилля, щоб змінити ситуацію.
Слід зазначити, що підхід Пельцмана корелює з пропонованою нами концепцією соціогенетичної неоднорідності галузей як основи міжгалузевого регулювання: наявність цієї неоднорідності зумовлює виникнення можливості заробітку рент для політичних підприємців за рахунок здійснення заходів, спрямованих на подолання нееквівалентності обміну.
Теоретична можливість виправлення ситуації зумовлена тим, що виграш цієї галузі в рамках граничної корисності буде вилгтм, ніж втрати іншої галузі. Якщо на заваді регулюючому процесу не стоїть суттєвий дисбаланс економічної і політичної влади, то здійснення міжгалузевого перерозподілу коштів обгрунтоване з точки зору максимізації суспільного добробуту, оскільки воно дійсно збільшить суму граничних корисностей, що будуть отримані в економіці (цьому висновку не суперечить теза Л. Роббінса про неможливість міжособистісного порівняння корисності, оскільки тут йдеться не про порівняння, а сумування). З другого боку, якщо дисбаланс влади існує, то його подолання, як випливає з вищезазначеного, відповідало б інтересам суспільства.
Завершуючи розгляд загальних засад регулювання міжгалузевих відносин, доцільно додатково висвітлити сутність особливого типу регулювання, який відповідає п'ятому логічному етапу цього процесу -інтерналізованого регулювання. Інтерналізація означає такий стан речей, коли правила, що складають зміст процесу регулювання, являють собою не обмеження, а продовження (додаткову можливість реалізації) інтересів об'єкта регулювання. Очевидно, що така ситуація можлива лише тоді, коли суб'єкт і об'єкт регулювання збігаються, тобто система за допомогою регулювання створює сама собі можливості додаткового розвитку.
У вихідному значенні, яке, зокрема, застосовується в психології, саморегулювання означає дії індивіда відповідно до власної волі і бажань, а не як відповідь на зовнішній стимул. В юридичному контексті саморегулювання передбачає добровільне прийняття певних колективних обмежень заради досягнення результатів, які б були недосяжними лише через індивідуальну поведінку [36]. Доречно зауважити, що таке розуміння саморегулювання відповідає пропонованій нами концепції регулювання як реалізації протиріччя між цілим і частиною, причому в нашій концепції поєднуються психологічний (найбільш загальний) та юридичний аспекти.
Дана відповідність проявляється в акцентуванні відсутності зовнішніх стимулів як основи поведінки, адже відсутність зовнішніх обмежень є ознакою цілого (відносно певного організаційного рівня; в абсолютному плані об'єкт, що являє собою цілісність, може бути чимось обмежений, але в даному випадку він виступатиме як частина крупнішої системи). До того ж, колективний характер поведінки (в юридичному визначенні саморегулювання) свідчить про застосування інтегрального моменту системи для цілі реалізації інтересів частин.
Слід зазначити, що процес саморегулювання як встановлення певною заінтересованою групою правил власної поведінки теоретично може привести до зловживань владою та ігнорування інтересів інших груп, на що звертали увагу чимало дослідників [40]. На нашу думку, така ситуація може характеризувати взаємовідносини ринкових суб'єктів, що у вихідній стадії є приблизно рівними.
Звідси випливає, що процес саморегулювання в контексті міжгалузевих відносин може набувати двох форм: по-перше, діяльність саморегулівних організацій товаровиробників, які в ході переговорного процесу більш ефективно, чим це могли б індивідуальні товаровиробники, відстоюють власні інтереси. Зокрема, політичні партії також є (можуть всажатися) саморегулівними організаціями; отже, підвищення політичної активності товаровиробників потенційно є ефективним засобом врегулювання дис-пропоцій міжгалузевого обміну. По-друге, якщо вважати діяльність держави щодо підтримки аграрного сектора регулюванням, то поглиблення вертикальної координація очевидно набуде ознак саморегулювання.
Таким чином, регулювання трактується нами як форма розв'язання протиріччя між цілим і частиною, в процесі якого здійснюється коригування індивідуальної визначеності частини до ступеня узгодженості з її системною визначеністю. До характерних ознак регулювання слід віднести: переважання впливу цілого на частину над впливом частини на ціле; спрямованість дій від майбутнього до теперішнього; інтерналізація зовнішніх ефектіь (екстерналій); можливість певного ступеня примусовості. До логічних етапів розвитку регулятивного процесу відносяться: 1) вихідна відсутність протиріччя між частиною і цілим; 2) загострення такого протиріччя; 3) власне регулювання; 4) протидія регулюючим механізмам; 5) інтерналізація регулювання.
Сучасний стан регулятивного процесу в сфері міжгалузевих відносин характеризується переважанням другого етапу, в той час як максимальна ефективність розвитку будь-якої системи досягається на п'ятому етапі.
Еволюція теоретичного трактування економічного регулювання свідчить про те, що важливе місце в цьому процесі належить його політичним засадам; зміцнення і активізація політичної діяльності товаровиробників є одним з необхідних засобів оптимізації пропорцій міжгалузевого обміну, оскільки фактично процеси регулювання, в тому числі міжгалузевих відносин, здійснюються у компромісному порядку в ході політичної боротьби заінтересованих груп. Отже, ефективне регулювання міжгалузевих відносин можливе лише на засадах всебічно обгрунтованої аграрної політики з двох причин: у зв'язку з необхідністю адекватного визначення суспільного інтересу як критерію регулюючих заходів та необхідністю забезпечення належного політичного представництва сільськогосподарських товаровиробників як гарантії захисту їх інтересів.
1.2 Методичні засади дослідження економічних відносин в АПK
На різних етапах розвитку ринкових відносин співвідношення ролей держави і ринку закономірно змінюється. Досягнення найвищих рівнів ефективності сільського господарства залежить від оптимальності впливу держави стосовно конкретних сфер і напрямів регулювання, а також "глибини" втручання в ринковий механізм..
Аграрна політика держави як складова економічної політики, спрямована на удосконалення економічних відносин шляхом регулювання функціонування сільського господарства, відіграє дедалі зростаючу роль в розвитку останнього.
Досвід ринкових відносин у розвинутих країнах переконує, що закономірністю розвитку ринкової економіки в аграрній сфері є посилення свідомого цілеспрямованого впливу держави на функціонування ринкового механізму при одночасному підвищенні важливості цього впливу. Про велике значення державного впливу свідчать дані, що субсидії в тій чи іншій формі становлять майже половину вартості сільськогосподарської продукції в Європі і понад 35% - у США. Проте посилення відносної ролі аграрної політики порівняно з ринковим механізмом не слід розглядати як однобічний процес, а швидше як єдність об'єктивної трансформації їх функцій у розвитку аграрної економіки.
Розглядаючи розвиток аграрного сектора як результат діалектичної взаємодії двох вказаних детермінантів, слід звернути уваги на одну методологічну особливість аналізу причин сучасної аграрної кризи. Так, серед таких причин вказуються недооцінка важливості своєчасного відпрацювання офіційної аграрної політики держави, нечіткість державної політики стосовно побудови нового суспільного устрою на селі, недосконалість організації державного управління реформуванням аграрних відносин [19].
Узагальнюючи причини такого порядку, можна стверджувати, що одним з факторів кризи є відсутність або неналежна відпрацьованість впливу держави на ринковий механізм. Безпосередньо цей фактор дійсно набуває форми неспроможності окремих посадових осіб здійснити оптимальний, науково обгрунтований вплив на соціально-економічні процеси на селі.
Водночас ситуацію, що склалася з аграрною кризою, можна інтерпретувати і зворотним чином: причиною кризи є недосконала адаптованість сільського господарства до функціонування в ринкових умовах. Про це свідчить багато фактів як в нашій країні, так і в економіці розвинутих країн.
У розвинутих країнах недостатня адаптованість сільського господарства до ринкових умов проявляється в необхідності постійної підтримки цін і доходів товаровиробників, яка, до того ж, дедалі закономірно стає більш обтяжливою для бюджету і такою, що формує неправильну мотивацію товаровиробників стосовно реального попиту на їх продукцію. Отже, загострення кризових явищ у сільському господарстві можна пояснити відсутністю чіткої аграрної політики, але враховуючи подвійну детермінацію ефективності його розвитку, таке пояснення слід доповнити неоптимальністю ринкових відносин стосовно сільського господарства, або недостатньою адаптованістю останнього до ринкових відносин.
Завдання відпрацювання аграрної політики полягає в тому, щоб знайти ту межу функціонування ринкового механізму, за яку недоцільно перетинати. Умовна ілюстрація цієї межі наведена на рис. 1.2.

Рис. 1.2. Взаємодія ринку і держави як чинники ефективності економічних відносин в АПК
Графік 1.2 демонструє, що перебільшення ролі будь-якого з детермінантів приводить до неефективних розв'язків, суть яких полягає у втраті мотивації товаровиробників до здійснення підприємницької діяльності в сільському господарстві.
В рамках пропонованого нами методологічного підходу стосовно "двофакторного" розгляду ефективності функціонування аграрного сектора надмірна централізація господарської діяльності і недостатній захист її суб'єктів внаслідок поглиблення нееквівалентності міжгалузевого обміну фактично є однорівневими результатами, незважаючи на фундаментальну економічну різницю між ними.
Слід підкреслити, що негативні наслідки неоптимального співвідношення аграрної політики і підприємницької ініціативи проявляються і відчуваються людьми передусім на мікроекономічному рівні.
Двофакторний підхід до аналізу ефективності розвитку сільського господарства пояснює кризові явища в ньому неоптимальністю співвідношення зазначених факторів, а необхідність залучення держави як невід'ємного фактора цього процесу зумовлюється певним ступенем взаємної невідповідності особливостей сільського господарства і ринкової моделі міжсуб'єктних економічних відносин.
Недостатній розвиток та недостатній рівень ефективності аграрного виробництва, низький рівень соціального захисту селян спричинені не тим, що останні не хочуть або не вміють організувати виробництво, а тим, що результати їх праці оцінюються неадекватно їх реальній суспільній цінності.
Враховуючи, що сільське господарство займає технологічну проміжну роль в міжгалузевому комплексі, ця неадекватна оцінка набуває форми нееквівалентності міжгалузевого обміну. Причиною незбалансованості міжгалузевого обміну, як встановлено вище, є галузева специфіка сільського господарства.
Тут важливо підкреслити два методологічні аспекти аграрної політики. По-перше, вона зумовлена галузевою специфікою сільського господарства; по-друге, оскільки ця несприятлива для нього в умовах ринкових відносин специфіка проявляється в процесі міжгалузевої взаємодії, то обгрунтовано говорити про пріоритетну міжгалузеву спрямованість аграрної політики, тобто сутністю останньої є регулювання міжгалузевих відносин.
Якщо перший аспект так чи інакше стосується будь-якого різновиду економічної політики держави, то другий вже специфічний для сільського господарства, оскільки головні проблеми розвитку інших галузей, особливо капітале- і наукомістких, можуть полягати передусім у внутрішній сфері організації виробничого процесу, а не в упорядкуванні їх відносин з іншими галузями.
Таким чином, визначальною предметною сферою аграрної політики є регулювання міжгалузевих відносин, збалансування процесу взаємодії сільського господарства з іншими галузями.
Регулювання міжгалузевих відносин є складним поняттям, яке в різних аспектах охоплює як державне регулювання, так і природне поглиблення вертикальних відносин в міжгалузевому комплексі, здійснюване через розвиток саморегулівних організацій товаровиробників. У тому розумінні, в якому їх можна віднести до регулювання міжгалузевих відносин, вони мають відношення до аграрної політики.
Однак в даному випадку очевидно, що ці процеси не є однорівневими складовими політики. Враховуючи, що однією з ознак регулювання є домінування цілого над частиною, до активної складової аграрної політики слід віднести державне регулювання міжгалузевих відносин.
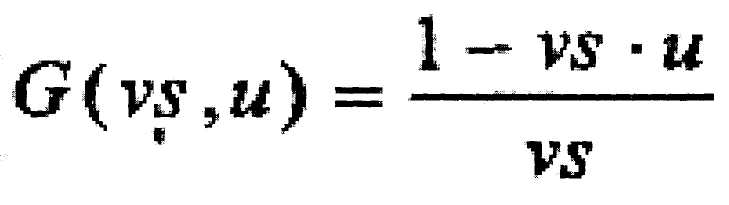
Державне регулювання повинно здійснюватись з такою широтою і глибиною, щоб забезпечувати еквівалентність обміну з урахуванням тих зусиль, що мають місце в рамках ініціативних процесів. Логіку державного регулювання в умовах наявності ініціативних процесів можна проілюструвати наступною схемою, що описує співвідношення різних регулюючих заходів на основі теорії лінійних систем (рис. 1.З.).

Рис. 1.3. Логіка взаємодії різних типів регулювання міжгалузевих відносин
На рис. 1.3. прийняті наступні позначення: U - вхід системи: нееквівалентність міжгалузевого обміну (U<1); VS - сукупний вплив на еквівалентність міжгалузевих відносин поглиблення вертикальних відносин і
розвитку саморегулівних структур (VS>1); Y - еквівалентний стан міжгалузевих відносин - результат регулювання (Y=l); G - вплив держави.
В даному випадку припускається, що регулювання трьома шляхами в сукупності є абсолютно ефективним. Якою б не була різниця між початковим рівнем нееквівалентності обміну (яка, згідно з логікою моделі, визначається відношенням цін, що отримують товаровиробники, до цін, що вони платять за ресурси) та ефективністю ініціативних процесів, безпосередній вплив держави здатний її усунути. За допомогою алгебраїчних перетворень залежність державного регулювання від рівня розвитку ініціативних процесів і початкової нееквівалентності можна виразити наступним чином:

Державне регулювання виступає таким чином як вимушений засіб, який за принципом зворотного зв'язку заповнює вакуум, який залишається між еквівалентним типом міжгалузевих відносин і рівнем їх еквівалентності, що уможливлюється завдяки розвитку ініціативних процесів.
Англійський філософ Нового Часу Томас Гобс, один з фундаторів політологічної науки, пояснював необхідність утворення державної влади через небезпеку хаосу, анархії і громадянської війни, що панували б у суспільстві, якби воно перебувало у "природному стані", тобто стані без державного регулювання. В даному випадку можна провести пряму аналогію між природним станом за Гобсом і повною лібералізацією цін в АПК, яка спричиняє руйнівні наслідки для аграрного сектора. Діяльність держави, як він вважає, спрямована на створення таких умов взаємодії' людей, які б підвищували їх добробут, оскільки в рамках природного стану взаємодія стає взаємно деструктивною.
Гобс наголошував, що для суб'єкта соціальної взаємодії -людини -характерні як взаємовиключні егоїстичні настрої (зокрема, жадоба багатства), так і розум, який дозволяє людям створити механізм структурування своєї взаємодії, за якого забезпечувалося б зростання добробуту кожного індивіда. Така подвійність рис характерна і для суб'єктів міжгалузевої взаємодії: технологічний зв'язок зумовлює їх комплементарність, а організаційно-економічна відокремленість - альтернативність. Альтернативність суб'єктів за умов природного стану спричиняє можливість ігнорування їх комплементарних зв'язків, внаслідок чого погіршується їх сукупний добробут (товаровиробників - безпосередньо, несільськогосподарських суб'єктів і суспільства в цілому - опосередковано).
Важливим з методологічної точки зору є висунуте Гобсом положення про суспільний контракт як основу політичної влади. За цією логікою, враховуючи безпосередню та опосередковану заінтересованість усіх суб'єктів міжгалузевих відносин у механізмі, який би узгоджував їх взаємодію, не дозволяв би альтернативному типу відносин домінувати над комплементарним, будь-які механізми, які існують в економіці для пом'якшення нееквівалентності обміну, можна розглядати виходячи з контрактних позицій. Так, ціною для товаровиробника є неможливість бути повноцінним учасником ринкового процесу через наявність нееквівалентності обміну, а переваги полягають в компенсації цієї нееквівалентності через державне регулювання цін і доходів фермерів. Для несільськогосподарських суб'єктів перевагою є можливість експлуатації товаровиробників, а ціною - частково додаткове оподаткування їх Доходів і перерозподіл останніх через спеціальний фонд підтримки товаровиробникам; часткове обмеження діапазону їх функціонування шляхом організації виконання їх функцій саморегулівними організаціями товаровиробників, зокрема обслуговуючими кооперативами.
У політичній філософії Гобса доцільно окремо наголосити на ще деяких аспектах, що тісно корелюють з проблемами державного регулювання міжгалузевих відносин. По-перше, за Гобсом, суспільний орган, який є суб'єктом політичної влади (суверен), повинен здійснювати керівництво відповідно до природних законів. Влада не може застосовуватися всупереч об'єктивним природним законам. Водночас наділення одного органу такою владою створює ризик зловживань (на чому пізніше наголошував Ш. Монтеск'є) та та її нерозумного використання. Така небезпека була відсутня за умов природного стану, особливо якщо розуміти його позитивно (за Р. Кумберлендом та Локком). Природні закони за умов природного стану реалізуються автоматично, але в рамках регулятивного процесу вони можуть з різних причин не враховуватися. Вплив держави може бути надлишковим, так само як і переважання автономно-ринкового детермінанту ефективності розвитку аграрного сектора над його свідомим цілеспрямованим регулюванням.
По-друге, етичною основою збалансування міжсуб'єктних взаємовідносин є так званий "закон еквіваленту", який можна сформулювати таким чином: "не роби іншим того, чого не хочеш, щоб зробили тобі". Вилучення несільськогосподарськими суб'єктами надлишкових доходів із сільського господарства виправдовує подальший перерозподіл доходів через додаткове оподаткування несільськогосподарських суб'єктів і розподіл їх серед товаровиробників. Таким чином, єдино можливим морально збалансованим типом міжгалузевої взаємодії в умовах нееквівалентності обміну є компенсація останнього міжгалузевим перерозподілом коштів. На думку Е. Берка, політичні проблеми завжди є моральними; отже, невиправдано проводити абсолютні демаркаційні межі між аграрною політикою та її моральним базисом.
По-третє, виходячи з того, що політичний процес як вплив цілого на частину сам по собі концентрується в руках частини, то відхилення фактичної політики від тієї, яка б точно відповідала інтересам цілого, стають неминучими. Ця проблема тісно пов'язана з обмеженими когнітивними здатностями (обмеженою раціональністю) суб'єктів політичного процесу, але не зводиться до неї.
Прийняття найважливіших законодавчих актів, що обумовлюють організаційно-економічні основи розвитку відносин власності, форм господарювання, міжгалузевої взаємодії неможливе без глибокого наукового обгрунтування. Таким чином, відмінність функцій наукового та процесно-політичного методів проявляється в їх різній часовій орієнтації; взаємодоповнюючий характер проявляється в тому, що другий метод є найбільш ефективним у формуванні ціннісних засад аграрної політики.
Питання ціннісної обумовленості науково-методологічних положень, концепцій та заходів, що складають зміст аграрної політики, є одним з найбільш суперечлит.их. Для того, щоб висвітлити роль суспільних цінностей у політичному процесі, необхідно звернутись до згаданої у попередніх підрозділах гегелівської моделі цілеспрямованої діяльності, на якій, зокрема, грунтується логічна структура регулювання міжгалузевих відносин: ціль -засіб - результат. Власне політика, зокрема аграрна, існує тому, що існує відстань, яка розмежовує фактичний стан життєдіяльності з бажаним. Відстань між суб'єктивним прагненням та об'єктивним фактом, що усвідомлюється на рівні суспільства, використовується владними структурами як орієнтир діяльності. Тут важливо підкреслити, що для владних структур ця відстань не є безпосереднім мотиваційним чинником, а набуває форму мети діяльності, звідки виникає проблема обгрунтування цілей аграрної політики.
Різниця між безпосередньою мотивацією та метою діяльності має значення тому, що мета, якщо вона не підкріплюється особистим інтересом, перетворюється у зовнішній, тобто багато в чому формальний орієнтир. Тут знову маємо типовий випадок протиріччя між цілим і частиною: з точки зору логіки, безпосередня мотивація підвищення суспільного добробуту належить цілому; але ціле не має безпосереднього носія, який усвідомлював би суспільні інтереси як власні. Таким чином, оскільки суспільні інтереси не є самоочевидними і відхиляються від індивідуальних, їх потрібно офіційно зафіксувати і встановити як мету діяльності органів, що безпосередньо відповідають за їх забезпечення, тобто владних структур. Природно, що перед тим, як зафіксувати цілі, їх потрібно обгрунтувати: адже вони, маючи цільний, а не частковий характер, не є самоочевидними.
При обгрунтуванні цілей постає закономірне питання: як суспільство визначає бажаний стан свого функціонування? Очевидно, що мають бути певні критерії порівняння його з фактичним станом, в іншому випадку цілі не можна було б встановити. Ці критерії і є цінностями, що керують суспільним вибором. Можна перелічити безліч можливих суспільних цінностей, які так чи інакше відповідають моральним критеріям. До основних цінностей, що мають безпосереднє значення для оцінки розвитку аграрного сектора, слід віднести: економічну ефективність, соціальну стабільність, справедливість розподілу ресурсів. Важливою цінністю є також самостійність та ініціативність підприємницької діяльності. Дані цінності теж можуть використовуватись при оцінці функціонування аграрного сектора в контексті еквівалентності обміну, оскільки небезпечне викривлення пропорцій обміну позбавлятиме економічну самостійність товаровиробника економічного сенсу, а підприємницьку ініціативу робитиме безпредметною та безцільною.
Повертаючись до перелічених основних цінностей, зазначимо, що ефективність є не лише економічною категорією. Це, зокрема, підтверджується тим, що ефективність є центральною категорією економічної науки: очевидно, що ефективність як економічна категорія не мала б такого значення, якби вона одночасно не слугувала суспільною цінністю, яка проявляється в тому, що суспільство в нормальних умовах віддасть перевагу більшому, ніж меншому власному добробуту. Цінності являють собою, умовно кажучи, систему координат, які дозволяють більш або менш чітко бачити різницю між фактичним і бажаним станом.
Цінності є невід'ємною складовою аграрної політики, але самі по собі вони недостатні для ідентифікації її цілей. Достатньою умовою для цього є знання фактичного стану речей, статусу-кво: порівняння ступеня реалізації цінностей в рамках останнього з можливим станом їх реалізації в разі здійснення певних організаційно-економічних заходів створює суспільну мотивацію змінити статус-кво у даному напрямку. Таким чином, логіка визначення цілей аграрної політики полягає у діалектичному поєднанні аналізі досягнення поточних суспільних цінностей із врахуванням чинного статусу-кво.
Американський фахівець у сфері аграрної політики зазначає, що в її основі лежать суспільні цінності і переконання, тобто думки щодо того, як складається поточна ситуація [69, р.4]. Такий підхід є дійсно глибоким у тому, що він враховує можливість неоднозначного трактування фактичного статусу-кво. Останній представлений великою сукупністю фактів, явищ, тенденцій, процесів, різноманітні зв'язки і відносини між якими не можуть не породжувати певної специфіки щодо перспективи їх бачення. Згідно з даним підходом, не власне факт у поєднанні з системою цінностей застосовується при формулюванні цілей політики, а певне бачення цього факту в контексті відповідних цінностей.
Важливим методологічним аспектом аграрної політики є співвідношення між метою і результатом цілеспрямованої діяльності, що лежить в її основі. Навряд чи є необхідність доводит;!, що навіть у тих випадках, коли початкову мету внаслідок реалізованих заходів можна вважати виконаною, результат діяльності містить наслідки, що не були складовими даної мети. Дія аграрної політики характерне протиріччя між метою і результатом, суть якого в тому, що між ними ніколи не буває абсолютної тотожності. Певні цілі не можуть бути остаточно реалізовані, оскільки мають процесний характер; інші цілі не можуть бути реалізовані у зв'язку з технічною складністю або значною ресур-сомісткістю їх виконання; треті цілі існують, але в неусвідомле-ній формі, тобто суспільство намагається досягти їх опосередковано, за принципом "гасіння локальних пожеж", але такий шлях не забезпечить принципове вирішення проблеми. Можна передбачити ще одну групу цілей, які можуть усвідомлюватися і бути зафіксованими, але залишатися невиконаними через відсутність необхідних засобів (інструментів політики).
Неузгодженість мети і результату є фундаментальною характеристикою аграрної політики, що зумовлює її безперервний характер, оскільки кожний досягнутий результат неминуче ставить нові цілі, які потребують реалізації в умовах, що змінились. Можна вважати, що якби мета і результат були тотожними, не існувала б потреба в постійному науковому забезпеченні аграрної політики. Адже нині, незважаючи на багаторічний досвід державного регулювання сільського господарства в різних країнах, навряд чи в якійсь з них цю проблему можна вважати вирішеною. Саме через діалектичне взаємне відношення мети і результату аграрна політика є процесом, що постійно потребує нових знань, інформації, уточнення вихідних науково-методологічних засад.
Таким чином, цілі аграрної політики є результатом взаємодії системи пріоритетних на даному етапі суспільних цінностей і фактичних умов, за яких здійснюється поточне функціонування аграрного сектора. Звідси випливає, що ставити питання про визначення споконвічних, апріорних цілей аграрної політики було б невиправдано. В той же час, на нашу думку, визначення цілей в будь-якому разі грунтується на певних логіко-методологічних орієнтирах, пов'язаних з обгрунтованим вище положенням про міжгалузеву сутність аграрної політики. Але попередньо доцільно висвітлити деякі з існуючих у наукових і нормативних джерелах формулювань цільового призначення аграрної політики.
Так, згідно із затвердженими в 1996 р. концептуальними основами аграрної політики, стратегічною метою останньої є виведення сільського господарства і всього агропромислового комплексу на рівень найбільш розвинутих в аграрному відношенні країн світу; стратегічна мета конкретизується в політичному, правовому, соціально-економічному, соціальному та соціально-психологічному аспектах. Проект концепції аграрної політики в Україні передбачає, що політика спрямовується на гарантування продовольчої безпеки держави, освоєння ринкової економіки, створення умов для виробництва конкурентноспро-можної продукції, формування сприятливого життєвого середовища на селі.
Цільове призначення аграрної політики пропонується визначати, зокрема, через визначальні найближчі завдання, до яких відносяться: стабілізація сільськогосподарського виробництва; створення передумов для поступового виведення сільського господарства, усього продовольчого сектора економіки країни із кризи; поступове поліпшення кількісних, якісних і структурних показників виробництва продукції сільського господарства та продуктів її переробки. М.Й. Хорунжий вважає, що кінцевою метою аграрної політики, залежно від її тривалості в часі, може бути: досягнення реальних і відчутних зрушень у внутрішньодержавному вирішенні продовольчої проблеми; виведення сільського господарства і всього агропромислового виробництва та соціального розвитку села на світовий рівень; перетворення країни в надійного експортера продовольства.
Отже, в науковій літературі пропонуються різні формулювання цільового призначення аграрної політики, які, на нашу думку, є більше взаємодоповнюючими, ніж такими, що виключають одне одного. Проте різноманітність можливих підходів, яка в принципі є безкінечною, зумовлює необхідність обгрунтування певних сталих науково-методологічних засад, навколо яких можуть групуватися конкретні визначення цілей аграрної політики. Звідси випливає, що з методологічної точки зору мета аграрної політики має складну структуру, в складі якої є змінна частина, зумовлена співвідношенням поточного статусу-кво в контексті специфічної перспективи його бачення і системи пріоритетних на даному етапі цінностей, та постійна частина, що віддзеркалює логіко-методологічну структуру визначення мети, пов'язану з міжгалузевою сутністю аграрної політики.
Визначення цілей аграрної політики повинно випливати з обгрунтованої вище тези про двофакторну детермінацію ефективності розвитку аграрного сектора: через регулюючий вплив держави та автономне функціонування ринкових відносин. Перший спрямовується на забезпечення еквівалентності міжгалузевих відносин після вичерпання в процесі виконання цього завдання резервів вертикальної координації і саморегулівної діяльності товаровиробників. Враховуючи те, що нееквівалентність обміну як єдино можлива форма взаємовідносин між галузями з неідентичними соціогенетичними структурами є першопричиною проблем сільського господарства в умовах як перехідної, так і розвинутої ринкової економіки, можна зробити висновок, що найбільш загальною метою аграрної політики є забезпечення еквівалентності міжгалузевих відносин.
Навряд чи буде помилковим вважати, що цілі аграрної політики, вказані в витценаведених цитатах, не суперечать забезпеченню еквівалентних міжгалузевих відносин як стратегічній, найбільш загальній меті. Конкретизація пропонованої нами стратегічної мети та результатів її реалізації стосовно численних сфер соціально-економічної діяльнос і і товаровиробників приводить До тих формулювань, що процитовані вище, та багатьох інших. Проте один із варіантів визначення цільового призначення аграрної політики з формально логічної точки зору не має прямого зв'язку з еквівалентністю обміну - це забезпечення продовольчої безпеки держави. У цьому зв'язку необхідно зазначити наступне. По-перше, еквівалентність передбачає створення умов для прискореного розвитку агропромислового виробництва на взаємовигідних засадах; тобто, всебічний розвиток вітчизняного сільського господарства, забезпечення продовольчої безпеки є закономірним наслідком досягнення еквівалентності обміну.
По-друге, якщо еквівалентність обміну передбачає досягнення продовольчої безпеки, то гарантування останньою не означає досягнення еквівалентності. Слід враховувати, що абсолютизація продовольчої безпеки як цільової орієнтації аграрної політики не враховує того, що остання не є єдиним фактором розвитку аграрного сектора: адже існує ще й ринковий механізм, і політика повинна спрямовуватися лише на те, щоб забезпечити його стале та ефективне функціонування. Немає апріорної необхідності, щоб аграрна політика була функціонально всеохоплюючою: частка задач може і повинна вирішуватися ринковим механізмом, а держава має діяти за залишковим принципом. По-третє, продовольча безпека теоретично може досягатися не лише економічними методами; тобто власне вона навряд чи може вважатися остаточним критерієм оцінки ефективності розвитку аграрного сектора. По-четверте, якщо взяти випадок розвинутих країн, де постає проблема перевиробництва сільськогосподарської продукції, то забезпечення продовольчої безпеки вже не є метою політики (щоправда, проблема безпеки не зникає, але набуває принципово іншої форми - безпеки харчування, тобто забезпечення високої якості й надійності харчових продуктів). Це означає, що проблема продовольчої безпеки є не постійною, а змінною складовою в логічній структурі визначення цілей аграрної політики.
Д. Хетевей вказує на необхідність концептуального розрізнення серед різних типів еквівалентності міжгалузевих відносин: можна говорити про еквівалентність цін, доходів, прибутковості підприємницької діяльності. Еквівалентність доходів передбачає відносну відокремленість останніх від результатів підприємницької діяльності та індивідуальних здібностей товаровиробника; еквівалентність цін меншою мірою нівелює результати господарської діяльності, різниця в яких зумовлена не особливістю соціо-генетичної структури, а підприємницьким хистом. Проте найбільш адекватною з точки зору економічної теорії, особливо неокласичної, є еквівалентність віддачі на ресурси в сільському господарстві і суміжних галузях. Ця важлива концептуальна ремарка підтверджує адекватність провідного, на нашу думку, цільового принципу ціноутворення на сільськогосподарську продукцією за концепцією ціни виробництва: "рівна віддача на рівний капітал".
Еквівалентність міжгалузевих відносин як найбільш загальна і стратегічна мета аграрної політики комплексно узгоджується із усіма зазначеними вище суспільними цінностями, тоді як інші варіанти її формулювання відповідають переважно окремим цінностям. Зв'язок між економічною ефективністю та еквівалентністю є безперечним: рівень рентабельності сільськогосподарського виробництва залишається значно нижчим, ніж відповідний показник у промислових галузях; удосконалення цінових пропорцій могло б суттєво підвищити доходи товаровиробників. Це б одночасно дозволило забезпечити соціальну стабільність життя на селі, зняти соціальну напругу і зупинити зубожіння населення, підняти престиж проживання в сільській місцевості. Також немає потреби доводити, що еквівалентний міжгалузевий обмін більш відповідає справедливому стану речей, ніж нееквівалентний. Підвищення доходів товаровиробників сприяло б активізації їх підприємницької діяльності, органічному поєднанню державного регулювання і розвитку ініціативних процесів.
Важливо звернути увагу на існуючі методологічні підходи до визначення еквівалентності міжгалузевих відносин. У США еквівалентний міжгалузевий обмін визначається як такий, що характеризується співвідношенням цін на сільськогосподарську і промислову продукцію, яке встановилось в найбільш сприятливий для американського сільського господарства період - 1910— 1914 pp. Методологічна незавершеність такого трактування еквівалентності є очевидною, оскільки не вказуються критерії, за якими цей період дійсно відзначився паритетним співвідношенням цін. На цю обставину звертають увагу навіть американські дослідники, підкреслюючи, що цінові пропорції 1910-1914 pp. в умовах довгострокових структурних змін у системі агробізнесу вже не здатні забезпечити рівень доходів фермерів, який відповідав би рівню добробуту підприємців поза сільським господарством.
На наш погляд, реальна еквівалентність міжгалузевого обміну, що не пов'язується з будь-яким історичним співвідношенням цін і визначається цілком виходячи із поточної ситуації, може бути забезпечена лише шляхом ціноутворення на сільськогосподарську продукцією на основі концепції цінрі виробництва.
На нашу думку, новою орієнтацією можна вважати поглиблення міжгалузевої спрямованості аграрної політики, яке, поряд із диверсифікацією засобів, є одним з принципів її формування у розвинутих країнах. Поглиблення міжгалузевої спрямованості в політиці є закономірною реакцією на об'єктивний процес розвитку міжгалузевих зв'язків і відносин, який в найбільш очевидній формі проявляється через вертикальну координацію в системі агробізнесу. Поглиблення міжгалузевих відносин являє собою автономний механізм компенсації соціогенетичної недостатності сільського господарства, що функціонує поряд із державним регулюванням. Вплив цього механізму на державне регулювання є подвійним: з одного боку, можливості для ефективного здійснення останнього ускладнюються через зменшення прозорості ринкових трансакцій, підвищення їх ідіосинкратичності, розмивання критеріїв щодо реальної оцінки фінансового стану сільськогосподарських товаровиробників.
З другого боку, зазначені чинники не лише ускладнюють реалізацію регулятивних програм, а й зменшують потребу в останніх, оскільки багато проблем, що існували раніше, нині вирішуються на основі міжгалузевого перерозподілу коштів у великій різноманітності його організаційно-економічних форм. Так, до особливостей сучасного етапу розвитку західного сільського господарства слід віднести: 1) зростання питомої ваги не-сільськогосподарських доходів фермерів; 2) посилення процесів вертикальної координації; 3) глобалізацію аграрних ринків; 4) розвиток еколого-свідомого аграрного господарювання; 5) постійну перебудову системи маркетингу з метою кращого задоволення потреб споживачів.
Міжгалузевий характер сучасної аграрної політики розвинутих країн можна спрощено подати у такому вигляді рис. 1.3.
|
Сільське господарство |
Маркетинг |
Спооюивання |
|
Кредитування,страхування, обмеження площ, допомога при стихійних лихах, програми консервації ресурсів, соціальне облаштування сільських місцевостей |
Зрівнювальні платежі, маркетингові позички, товарні операції, зовнішньоекономічна політика, організація маркетингу сільськогосподарської продукції |
Контроль якості сільськогосподарської сировини і харчових продуктів; продовольча підтримка малозабезпеченого населення; розробка науково обгрунтованих норм харчування |
Рис. 1.3. Міжгалузева природа аграрної політики
Міжгалузевий характер аграрної політики приводить до необхідності нового розуміння відмінностей між поняттями "підтримка цін" та "підтримка доходів": перше є частиною другого, оскільки належний рівень доходів товаровиробників забезпечується також через велику сукупність інших заходів по всіх складових системи агробізнесу.
В розвинутих країнах, можна виділити сукупність функціональних блоків аграрної політики щодо регулювання економічних відносин (табл. 1.4.).
Узагальнюючи розгляд механізмів здійснення аграрної політики в розвинутих країнах, зазначимо, що безпосередня підтримка доходів товаровиробників у формі підтримки цін є необхідним та закономірним, але не стратегічним засобом досягнення еквівалентності міжгалузевих відносин. По-перше, існує низка важелів опосередкованого впливу на доходи, які не супроводжуються негативними мотиваційними наслідками, властивими для прямих державних платежів.
Таблиця 1.4.
Складові регулювання економічних відносин в розвинутих країнах (на прикладі США)
|
Функціональні блоки |
Типи регулятивних програм |
Відповідальні підрозділи МСГ |
|
Економічне регулювання (фермерська політика) |
Підтримка цін, кредитування, страхування, товарні операції, допомога при стихійних лихах, програми компенсації за консервацію природних ресурсів, зовнішньоекономічна політика, організація маркетингу сільськогосподарської продукції, підтримка розвитку кооперативних відносин |
Агенція обслуговування ферм служба зарубіжного сільського господарства, агенція управління ризиком, служба сільськогосподарського маркетингу, служба сільського бізнесу і кооперації |
|
Соціальне регулювання |
Формування соціальної інфраструктури, житлове забезпечення, сприяння формуванню сільських громад, сприяння розвитку бізнесу в сільській місцевості |
Служба сільського бізнесу і кооперації |
|
Екологічне регулювання |
Охорона, консервація та поліпшення стану природного середовища |
Служба консервації природних ресурсів, служба лісного господарства |
|
Регулювання безпеки харчування та якості обслуговуванії я споживачів |
Контроль якості сільськогосподарської сировини; контроль якості готових харчових продуктів; продовольча підтримка малозабезпеченого населення; розробка науково обгрунтованих норм харчування |
Служба інспекції продовольчої безпеки, служба продовольства і харчування, центр політики харчування |
|
Наукове, ін-формаційно-консультацій-не обслуговуванн я, освіта |
Виконання науково-дослідних робіт у галузі технологічного забезпечення та економіки сільського господарства; підтримка інформаційних ресурсів МСГ; збір, аналіз, прогноз статистичних показників: забезпечення функціонування системи "екстеншн" |
Служба сільськогосподарських досліджень, служба економічних досліджень, кооперативна державна служба досліджень, освіти і екстеншн, національна сільськогосподарська статистична служба |
По-друге, і найважливіше, об'єктивний процес поглиблення міжгалузевих відносин в агробізнесі, що супроводжується підвищенням його організаційно-економічної цілісності, передусім через розвиток вертикальної координації і консолідації, значною мірою усуває потребу в державному регулюванні. Держава повинна всебічно сприяти цим тенденціям.
До основних функціональних блоків аграрної політики розвинутих країн відносяться: економічне, соціальне та екологічне регулювання, регулювання безпеки харчування й якості обслуговування споживачів, наукове, інформаційно-консультаційне обслуговування, освіта. Методологічні принципи аграрної політики, що відображають сучасні тенденції її еволюції в розвинутих країнах, включають: затратність і диверсифікація засобів, поглиблення міжгалузевої спрямованості і ринкової орієнтації аграрної політики, формування нової ідеології державної підтримки аграрного сектора, спрямованої на підвищення конкурентоспроможності сільськогосподарської комплексності регулятивних програм.
1.3 Політика щодо ринку зерна в Україні та економічна оцінка вивізних митних тарифів та пільгових імпортних квот на зерно
29 липня 2000 року Президент Леонід Кучма підписав Указ №832 "Про невідкладні заходи щодо стимулювання виробництва та розвитку ринку зерна в Україні". З того часу дискусія, що точиться навколо цього Указу та політики щодо ринку зерна в цілому, домінує на політичній сцені сільського господарства України.
Представники Уряду України та Адміністрації Президента зайняли непохитну позицію, аргументуючи, що Указ №832 є ніщо інше, як легітимне зусилля проконтролювати та стабілізувати ринки зерна в той час, коли виробництво дуже низьке, крім того існує ризик в плані забезпечення продуктами харчування. Наводяться аргументи, що "ринок зерна в Україні зараз повністю втратив рівновагу", і що "більшість країн в усьому світі мають свої програми стимулювання виробництва зерна та вдосконалення ринків зерна".
Ясна річ, що Указ №832 дорого обійшовся як Україні, так і її партнерам. Він обмежив аналітичні та політичні можливості, і це ще більше ускладнило й так нелегкі переговори з донорами. Він спричинив недовіру та непорозуміння в той час, коли Україна добилася значних зрушень у реформуванні сільського господарства.
Далі ми доводимо, що можна винести деякі цінні уроки з цього досвіду. Зробивши висновки з досвіду роботи з Указом №832, можна поліпшити, як самий процес сільськогосподарської політики, так і результати цієї політики в Україні. Ми починаємо з розгляду питань пов'язаних з формою, тобто як готувався та починав діяти Указ №832. Потім ми розглядаємо деякі питання стосовно поточної ситуації на українському ринку зерна та перспективи його розвитку на майбутнє.
Для більшості, якщо не для всіх учасників українського ринку зерна, поява Указу № 832 стала повною несподіванкою. Цей Указ захопив зненацька господарства, постачальників ресурсів та трейдерів зерном; він, здається, також став несподіванкою для значної частини урядових установ України. Він повністю обійшов такі структури, як Комісія з питань аграрної політики при Президентові України, що була створена з метою проведення діалогу та зміцнення політики узгодження та прозорості.
Указ було підписано 29 червня 2000 року, коли в Україні повним ходом йшов збір зерна. Указ, серед всього іншого, включає положення про сертифікацію експорту, що негайно викликало занепокоєння з боку трейдерів зерном2. Представники Уряду України та Адміністрації Президента стверджують, що це положення не має на меті контролювати трейдерів зерном. А натомість, це повинно допомагати відслідковувати торгівлю зерном, примушуючи трейдерів призначати "фактичні, а не знижені ціни", а також скорочувати обсяг бартерних операцій/ Більш того, українські політики підкреслюють, що фактичне впровадження цього положення насправді не завдає ніякої шкоди: сертифікація експорту коштує лише 30-40 центів США за тонну, і в той час, коли сертифікат можна отримати від акредитованої біржі, то його можна отримати і для тих контрактів, які не були заключені ні на одній з цих бірж.
Враховуючи вищезазначене, цілком зрозуміло, що багато спостерігачів дійшли висновку, що Указ №832 є звичайнісіньким приводом для відновлення втручання держави у справи українського ринку зерна. На початку 2000 року Уряд України проголосив, що не буде забезпечувати господарства пальним та технікою. Більш того, березневим законом №1565 "Про скорочення податків та інших зборів" було скасовано всі борги господарств перед державою. В цілому, всі ці заходи означали, що Уряд України не буде втручатися в збирання врожаю 2000 року, оскільки, не забезпечивши господарства відповідними ресурсами та не будучи змушеним стягувати попередні борги господарств, він не має законного права претендувати на сільськогосподарську продукцію.
Заставна ціна. Указ №832 також включає положення про впровадження так званої системи "забезпечення заставної ціни". Зрозуміло, що за модель було взято американську систему позичкових ставок для зерна. На захист цього Указу Уряд України вказує, що багато країн має аналогічні "державні програми для стимуляції виробництва зерна".
Існує декілька причин, чому Уряд України повинен бути обережним у впровадженні системи заставних цін. По-перше, якщо інші країни і використовують аналогічні заходи, то зараз в усьому світі існує чітка тенденція відходу від підтримки сільськогосподарських цін. Наприклад, ЄС в середині 1990-х років зменшив гарантовані ціни на зерно на 30%, а до 2002 року скоротить їх ще на 15%. На теперішній момент ціни ЄС на зерно у незначній мірі відрізняються від світових ринкових цін, тобто на даний момент фактично не існує цінової підтримки на зерно у країнах ЄС.
В останні роки Україна за деякими важливими видами сільськогосподарської продукції, такими як цукор та зерно, стала фактичним імпортером. Внаслідок цього вступило в силу імпортне мито по цих видах продукції, через що відповідні ціни на українському внутрішньому ринку збільшилися відносно рівня цін світового ринку на розмір митної ставки. В цій ситуації імпортери та переробники пшениці та цукру неодноразово виступали за запровадження пільгових імпортних квот, що повинні давати змогу імпортувати певну кількість цієї продукції за досить помірними митними ставками. За пропозиціями деяких представників агро бізнесу, які були висловлені у лютому 2001 року (Ukrainian News від 02.19.2001) квота на пшеницю має становити біля 500 - 700 тис. т. Одночасно переробники цукру вимагають введення квоти на імпорт сирого цукру за зниженими митними тарифами у розмірі 450тис. т. (Ukrainian News від 02.15.2001).
Механізм дії імпортних квот можна наочно показати у порівнянні з ситуацією вільної торгівлі. У разі, коли з боку держави не запроваджуються ніякі тарифні чи нетарифні перешкоди, то ціна на внутрішньому ринку тісно пов'язана з ціною на світовому ринку. Проте, якщо країна по якомусь продукту, з ціною на світовому ринку, знаходиться у імпортній ситуації, то на внутрішньому ринку встановлюється ціна, що перевищує ціну світового ринку на величину витрат, обумовлених торгівлею та транспортом (маркетингові витрати)/ Ця ціна вважається ціною вільного ринку. Якщо ціна на зерно, по якій комерсанти можуть поставити цій продукт з інших країн (ціна світового ринку), становить 100 доларів США за тону, а витрати на перевезення з Одеси до Києва становлять 20 доларів США за тону, то на ринку у Києва встановиться ціна вільного ринку, що дорівнює 120 доларів США за тону.
„Політика зернового ринку в Україні".
Коли ціна на продукт підвищується, то, як правило, вітчизняні виробники починають його виробляти в більшій кількості. На перший рік вони лише розширять свої площі і запровадять заходи для підвищення продуктивності. Наскільки скоротиться попит залежатиме від того, якою мірою споживачам вдасться задовольнити цей попит за рахунок інших продуктів і т.ін. Проте і стосовно пропозиції, і стосовно попиту діє таке правило, що цї дії сильніше проявляються у довгостроковій перспективі, ніж у короткостроковій.
На рисунку показано, що таким чином виробник отримує прибуток відповідно до площі abhi. Для держави запровадження імпортного мита означає додатковий доход. Кожна одиниця продукції, яка імпортується після запровадження імпортного мита, дає доход у розмірі митної ставки. Арифметично митні надходження становлять різницю між кількістю, на яку зберігається попит після запровадження митного тарифу (Nqi), і кількістю, що пропонується (Aqi), помноженою на митну ставку.
Примітки: рі = ціна внутрішнього ринку за умови протекціонізму; рҐ= ціна вільної торгівлі; p\v = ціна світового ринку: t Нмпортне мито: Aqf = пропозиція місцевих виробників за цінами вільного ринку; Aqi = пропозиція місцевих виробників за цінами внутрішнього ринку за умови протекціонізму; Nqi = попит споживачів за цінами внутрішнього ринку за умови протекціонізму; Nqf = попит вітчизняних споживачів за цінами вільного ринку.

Рисунок 1. Дія специфічного мита Рисунок 2. Дія пільгових імпортних квот
З викладеного вище можна вивести принцип дії пільгових імпортних квот. У ситуації, показаній на рис. 1, імпортується певна кількість відповідної продукції (різниця між: кількістю, на яку є попит всередині країни (Nqi) та кількістю, що виробляється в країні (Aqt)). При цьому комерсанти закуповують на світовому ринку за світовими цінами, відраховують державі імпортне мито і продають на внутрішньому ринку за ціною (рі).
Якщо ж тепер буде запроваджена безмитна імпортна квота, то це зовсім не означає, що комерсанти будуть продавати свою продукцію на внутрішньому ринку за цінами вільного ринку. Якщо, скажімо, буде запроваджено імпортну квоту, що лише частково перекриває необхідну сукупну кількість імпортованої продукції, то події будуть розвиватися за сценарієм, показаним на Рис. 2. Імпортер буде закупати якусь кількість продукції на світовому ринку за ціною (рі), але навряд вимагатиме від споживачів сплачувати лише ціну світового ринку, коли він насправді у змозі зажадати ціну рі. Таким чином, імпортер, що матиме дозвіл імпортувати за зниженою митною ставку, отримає додатковий прибуток в розмірі митної ставки за тону, помноженої на кількість імпортованої продукції.
II. СУЧАСНИЙ СТАН РЕГУЛЮВАННЯ ЕКОНОМІЧНИХ ВІДНОСИН У ЗЕРНОПРОДУКТОВОМУ ПІДКОМПЛЕКСІ АПК
2.1 Структура економічних відносин у зерно продуктовому підкомплексі АПК
Результативність діяльності зернопродуктового підкомплексу АПК обумовлюється ступенем досконалості міжгалузевих економічних відносин у суспільному виробництві, що складаються між юридично самостійними підприємствами, господарствами і організаціями, а також всередині підприємств - між виробничими підрозділами, з державою.
Сутність міжгалузевих економічних відносин в АПК в умовах ринку зводиться до впровадження міжгалузевого госпрозрахунку. Це означає, що підприємства АПК, як інтегровані і пов'язані з кінцевими результатами по реалізації продукції (чи послуг), взаємно поступаються частиною прибутку своїм партнерам-учасникам спільної інтегрованої діяльності, які працюють на стадіях виробничого забезпечення і обслуговування.
Міжгалузевий госпрозрахунок базується на чітко визначених принципах, сформованих новою аграрною політикою держави відповідно до вимог ринку: добровільність входження підприємств на підставі спільності економічних інтересів; рівноправність учасників спільної діяльності; свобода вільного вибору організаційної форми об'єднання; самоуправління учасників і об'єднання в цілому; організація відносин між учасниками на договірній або контрактовій основі [59].
Сутність міжгалузевих економічних взаємовідносин підприємств відбиває водночас і їх внутрішній зміст, структуру. Особливість економічних відносин визначається вимогами ринкової економіки та їх залежністю від теоретичного обгрунтування с>х> ' -щійних основ інтегрованих підприємств (виробників).
Дослідження територіальних і галузевих особливостей міжгалузевих економічних відносин виявили їх повну залежність від сільського господарства, як провідної галузі АПК, а також від специфіки роботи обслуговуючих і переробних галузей, робота яких безпосередньо залежить від діяльності сільських товаровиробників. Загальним є те, що виключно першочергове розв'язання продовольчої проблеми 'є обов'язковим для всіх партнерів, досягнення стабілізації сільськогосподарського виробництва. Від цього залежить збереження і зміцнення споживчого ринку, розвиток ринкових відносин.
За минулі роки, як показало дослідження, не вдалося створити ефективної системи регулювання міжгалузевих економічних взаємовідносин в агропромисловому комплексі. Незадовільна забезпеченість запасними частинами, які поставляються виробниками машин, низька якість ремонтів техніки, що проводяться спеціалізованими ремонтно-технічними підприємствами, є характерними ознаками існуючої системи технічного обслуговування техніки. Невдача в цій сфері пояснюється відсутністю необхідної взаємодії між галузями виробництва, технічного обслуговування і використання машин. Воно виявилось наслідком нерозвинутості економічних відносин, відсутністю ринку, що сформувало глибоку відособленість кожної з цих сфер і, як наслідок, монополізм виробників сільськогосподарської техніки та спеціалізованої ремонтно-обслуговуючої галузі. За таких умов відсутні мотиви до підвищення ефективності діяльності господарських структур, що незмінно веде до відтворення малоефективних машин і системи їх технічного обслуговування.
Зернопродуктовий підкомплекс АПК потребує особливої уваги з боку Держави; надзвичайно важливим є посилення контролю з боку держави за Рухом зерна як всередині країни, так і за його експортом. У системі державного регулювання зернопродуктового підкомплексу застосовується цілий арсенал засобів регулювання. Для регулювання застосовують як традиційні, так і специфічні засоби впливу, наприклад, запровадження механізму заставних закупок зерна. Цей механізм передбачає закупку зерна у сільськогосподарських товаровиробників в сезон збирання за заставними цінами та гарантування їм права наступного продажу цього зерна за ринковими цінами в разі їх перевищення заставних цін за умови відшкодування вартості зберігання такого зерна. Створення державного інтервенційного фонду зерна, також позитивно впливає на регулювання ринкових цін і доходів сільськогосподарських виробників. У випадку падіння цін на ринку у високоврожайні роки держава скуповує зерно, поповнюючи запаси, а при підвищенні цін - знижує їх, викидаючи зерно на продаж, не допускаючи тим самим різкого коливання цін на зерно.
Але в загальному, система державного регулювання даного підкомплексу має низку взаємопоєднаних адміністративних та економічних методів й інструментів, серед яких грошово-кредитне регулювання (податки, ціни, процентна ставка кредиту), бюджетне регулювання (інвестиції, дотації, компенсації), індикативне планування (прогнози), заборони, встановлення обмежень, квот і т. ін.
Основними засадами державної політики у виробництві й використанні зерна, як визначено Законом "Про зерно та ринок зерна в Україні" [95, 258], є: підтримка вітчизняних виробників зерна та захист їх інтересів; забезпечення першочергових внутрішніх потреб України у насіннєвому, продовольчому, фуражному та технічному зерні; використання зерна державних ресурсів у регулюванні цінової кон'юнктури внутрішнього ринку зерна; нарощування експортного потенціалу держави; стимулювання і впровадження нових науково обґрунтованих, інтенсивних, зберігаючих ресурси та енергоносії технологій вирощування, зберігання, переробки та використання зерна; організація контролю за підвищенням якості зерна; встановлення відповідальності
виробників зерна, переробників, торговельних і заготівельних організацій за невідповідність зерна діючим стандартам і санітарним нормам; створення між виробниками та споживачами ефективних економічних механізмів щодо використання зерна й продуктів його переробки; організація страхування посівів зернових культур і компенсація збитків, завданих виробникам зерна стихійними явищами.
Структура зернопродуктового комплексу є сукупністю організаційно-технологічно поєднаних галузей і видів діяльності щодо забезпечення зернового господарства засобами виробництва, вирощування зернових, переробка зерна, а також виробничої і соціальної інфраструктури, що включають заготівлю і зберігання, транспортування і реалізацію зернових, підготовку кадрів для роботи в зернопродуктовому підкомплексі АПК. Такий комплекс називають спеціалізованим зернопродуктовим підкомплексом АПК.
Як свідчать літературні джерела, думки економістів розходяться у питаннях структуризації агропромислового комплексу. Ми погоджуємося з позицією Андрійчука В. Г., який для проведення економічного аналізу функціонування агропромислового комплексу пропонує структуризувати його на чотири сфери: виробництво засобів виробництва для усіх сфер АПК, сільське господарство, заготівля, зберігання і промислова переробка сільськогосподарської сировини та торгівля сировиною і кінцевою продукцією АПК. За даними Хорунжого М. Й., усі галузі агропромислового виробництва слід класифікувати у три сфери основного виробництва, котрі доповнюються виробничою і соціальною інфраструктурою, при цьому торгівлю не виокремлювати як окрему галузь, а відносити до складу третьої сфери. Пов'язано це з практикою останнього періоду функціонування виробничих підприємств, які, крім завдань щодо виробництва продукції, почали розвивати власну торговельну мережу. Але це явище тимчасового характеру, оскільки в країнах з розвинутою ринковою економікою збутові функції бере на себе ринкова інфраструктура - комплекс підприємств, організацій, служб та інших торговельних формувань.
Детальніше розглянемо структуру зернопродуктового підкомплексу, що складається з таких елементів:
• перша сфера (фондозабезпечуючі галузі) - машинобудування для зерновиробництва, зернопереробної промисловості, мікробіологічна промисловість, виробництво спеціалізованих машин (комбайни), будівництво підприємств з переробки зерна, дренажних споруд, виробництво спеціалізованого обладнання і приладів для галузі, меліорація земель для вирощування зерна, виробництво міндобрив, засобів захисту рослин від шкідників і хвороб, ретардантів, пестицидів та інших хімічних засобів щодо догляду за посівами;
• друга сфера (сільське господарство) - вирощування зернових;
• третя сфера (переробна промисловість) - заготівля і переробка сировини, виготовлення кінцевої зернової продукції у галузях борошномельно-круп'яної, комбікормової, макаронної, хлібобулочної, кондитерської промисловості;
• четверта сфера (торгівля зернопродуктами) - спеціалізована торгівля продукцією і продуктами, виготовленими з зерна, громадське харчування.
Економічно вигідною є структура зернопродуктового підкомплексу коли у структурі вартості кінцевого продукту частка І та III сфери збільшується випереджаючими темпами у порівнянні з II сферою. Зумовлено це тим, що І сфера зернопродуктового підкомплексу є фондозабезпечуючою для переробної промисловості та сільського господарства. Позитивним є також випереджаючий розвиток переробної галузі стосовно зерновиробництва, оскільки воно сприятиме ефективнішому використанню зерносировини.
Структура зернопродуктового підкомплексу багатоаспектна, залежно від класифікаційної ознаки виділяють галузевий, функціональний та організаційний аспекти (рис. 2.1).
Зернопродуктовий підкомплекс формується під впливом соціально-економічних умов: економічної політики держави, кон'юнктури внутрішнього та зовнішнього ринків продукції галузей виробництва і переробки зерна, рівня забезпеченості засобами виробництва та трудовими ресурсами, особливості територіально-економічного положення регіональних і національного зернопродуктових підкомплексів АПК та ін.

Рис. 2.1. Структура зернопродуктового підкомплексу АПК
У межах України розвиваються усі три галузі зернопродуктового циклу -виробництво і переробка продовольчого та фуражного зерна, а також переробка зерна на спирт, пиво, крохмаль та ін. Попит і потреби споживачів у продукції зернопродуктового підкомплексу являються рушійним фактором його розвитку.
Хмельницький регіональний зернопродуктовий підкомплекс АПК має 1410 підприємств сільськогосподарської галузі, і 112 хлібоприймальних та зернопереробних підприємств (табл. 2.1).
Таблиця 2.1
Структура зернопродуктового підкомплексу АПК Хмельницької області
|
Вид діяльності |
Кількість підприємств, од |
|
Виробництво зерна |
1410 |
|
Борошномельна промисловість |
71 |
|
Круп'яна промисловість |
15 |
|
Заготівля |
14 |
|
Оптова торгівля недержавних організацій, крім споживчої кооперації |
10 |
|
Автомобільне господарство |
2 |
Для нормального функціонування зернопродуктового комплексу АПК необхідним є забезпечення збалансованості між можливостями сільського господарства щодо виробництва зерна та потужностями зернопереробних підприємств. Однією з важливих ланок народного господарства України є хлібопекарське виробництво і пріоритетне значення у забезпеченні сировиною Даної галузі належить цінній продовольчій культурі - пшениці, котра має відмінні хлібопекарські властивості.
Слід зазначити, що для пропорційності планомірного розвитку усіх галузей зернопродуктового підкомплексу з тим, щоб домогтися забезпечення населення споживчими продуктами зернопереробки, тваринництво -повноцінною годівлею, землеробство - в повному обсязі насіннєвим фондом, а також забезпечити в необхідних розмірах експортний потенціал зерносировини, раціональна межа виробництва зерна на одну особу становить 1т/ люд. рік.
Однак, як свідчать економічний аналіз, виробництво сільськогосподарської продукції у Хмельницькій області, зокрема зерна, почало різко зменшуватися. За період 1995 - 2001 pp. спад виробництва зерна на одну особу становив майже 47%, а, починаючи з 2002 p., скорочення виробництва зерносировини призупинено і виявлено тенденцію до їх збільшення, проте показники виробництва збіжжя у 2002 - 2004 р. ще не відповідають необхідним обсягам для раціонального розвитку зернопродуктового підкомплексу.
Все це призвело до різкого скорочення виробництва основних для більшості населення України продовольчих товарів - хліба та хлібобулочних виробів і борошна, зменшення ступеня задоволення потреб регіону в цих продуктах на душу населення. Динаміка забезпечення потреб населення регіону в основних продуктах зернопереробної галузі характеризується стійкою тенденцією спаду. Зокрема в 2002 р. у порівнянні з 1985 р. душеве виробництво хліба та хлібобулочних виробів скоротилося у 9,2 раза, а борошна у 2,8 раза. Оскільки продукція зернопродуктового підкомплексу визначає продовольчу безпеку країни, її економічну міцність, то проблема скорочення виробництва зерна й хлібопродуктів набуває стратегічного характеру.
На Хмельниччині вичерпано передумови екстенсивного ведення зернового господарства, тому подальший його розвиток повинен відбуватися на базі інтенсифікації виробництва, пошуку невикористаних резервів підвищення ефективності, удосконалення структури підкомплексу, скорочення втрат на кожному етапі виробництва, організації раціонального використання зерна.
Успішна діяльність сільськогосподарських товаровиробників щодо вирощування зерна високої якості в першу чергу визначає продовольчу безпеку держави і стабільність роботи підприємств зернопереробної промисловості, котрі в свою чергу, впливають на своєчасне забезпечення хлібозаводів борошном, населення - високоякісними хлібопродуктами, а тваринництво і птахівництво -комбікормами.
Важливе значення для ефективного господарювання й успішного виконання виробничих завдань сільськогосподарськими підприємствами має аналіз використання ресурсного потенціалу, тобто визначення ефективності використання землі, виробничих фондів, трудових і матеріальних ресурсів. Підприємства, що в своїй фінансово-господарській діяльності використовують землю, повинні знати її фізичні розміри, хімічний склад, родючість ґрунтів, можливості їх поліпшення та ефективність використання. Основними показниками, котрі характеризують ефективність використання землі, є: структура загальної земельної і посівної площ, ступінь розораності землі, врожайність сільськогосподарських культур, обсяг основних видів продукції, що виробляється і реалізується з 1 га ріллі та угідь.
У сучасних умовах за виробничим напрямком сільське господарство Хмельницької області зерново-буряківниче, відповідно до цієї спеціалізації в господарствах структура посівних площ в середньому така: зернові 55 - 60%, з них озимі - більше 50%, технічні культури - 12 - 13% серед яких пріоритетним є вирощування цукрових буряків, займають понад 80% площ, зайнятих під технічними культурами, кормові культури - 30%, з них багаторічні трави займають понад 35% посівної площі, зменшилася частка картоплі та овоче-баштанних культури до 1 % і менше, що пояснюється високою трудомісткістю і затратністю вирощування цих культур.
Динаміка структури посівних площ характеризується розширенням посівних площ під зерновими культурами з 46,3% у 1970 р. до 61,9% у 2002 р. Збільшення розміру посівних площ під зерновими відбулося за рахунок зменшення посівів кормових культур, що обумовлено процесами скорочення поголів'я тварин, а отже, і зменшенням потреби в кормах.
Нині в Україні вирощуються майже всі зернові культури, але структура їх посівів має відмінності по зонах, що пояснюється їх неоднаковими природно-економічними умовами та напрямками спеціалізації регіонів.
Важливим елементом агротехніки вирощування зернових є запровадження науково-обґрунтованих сівозмін, причому оптимальний розвиток зернового господарства можливий при врахуванні конкретних умов кожного району й області щодо виробництва різних зернових культур. Для Лісостепу оптимальний рівень насичення сівозмін зерновими культурами становить 55 - 60% (30% озимої пшениці і 25 - 30% ярих зернових і зернобобових культур).
В області збільшилася частка зернових культур у структурі посівних площ і зараз перебуває в оптимальних межах. У розрізі зернових культур також відбулися суттєві зміни, зокрема збільшилася питома вага озимої пшениці і гречки, що відповідає встановленому курсу програми "Зерно України" де, зокрема, сказано, що основне виробництво продовольчого зерна озимої пшениці буде концентруватись у степовій і лісостеповій зонах, де природні умови при відповідній технології вирощування сприяють формуванню зерна високої якості.
Проте через фуражну кризу в Україні дедалі частіше рекомендують структуру посівних площ під зерновими переорієнтовувати в бік збільшення вирощування зернофуражних і круп'яних культур. Розмір частки зернобобових у структурі посівних площ помітно зменшився, а це - негативний процес, оскільки за рахунок зернобобових можна вирішити білкову проблему, збалансувати раціони годівлі тварин, поповнити раціони харчування населення високопоживними й корисними продуктами переробки зернобобових культур. Крім того, дана група культур - цінні попередники у сівозмінах для інших сільськогосподарських культур. Ще одним аргументом на захист розширення посівів бобових культур є те, що природні умови Лісостепу найкраще підходять для їх вирощування. У зерновому клині Хмельницької області відбулося збільшення частки перспективної культури в фуражному плані, а також цінної сировини для переробної промисловості - ячменю з 29,9% у 1970 р. до 30,5% у 2004 р. Враховуючи зростаючий характер розвитку пивоварної промисловості, де темпи приросту в 2003 р. (було вироблено 1346 тис. дал. пива) у порівнянні з 2002 р. становили 3,9%, що в натуральних показниках додатково забезпечило виробництво 50 тис. дал. пива, розширення посівних площ під ячменем є позитивним явищем.
Протягом останніх років відбуваються процеси деспеціалізації і переспеціалізації сільськогосподарського виробництва, скорочення обсягів виробництва усіх видів продукції рослинництва та тваринництва. Тому державну політику важливо спрямувати на вдосконалення розміщення сільськогосподарського виробництва, формування зон, підзон і районів товарного виробництва різних видів сільськогосподарської продукції, у тому числі зерна. Так, зона Лісостепу може стати найбільшим товаровиробником озимої пшениці.
Динаміка структури посівних площ зернових культур відбувалася під впливом зміни реалізаційних цін, котрі здебільшого стимулювали виробництво продовольчих культур, крім того, вирощування продовольчої сировини заохочувалося регіональною владою, на яку було покладено функції щодо продовольчого забезпечення регіону.
У складі зернових найбільшу питому вагу займають озима пшениця, ярий ячмінь, гречка. Зросла питома вага посівів гречки з 4,5% у 1970 р. до 10,05% у 2002р. і 8,6% у 2003 р., частка посівів жита озимого зросла у 2004 р. на 2,4% і становила 3,3%. Це пояснюється високою рентабельністю вирощування даних культур, відносно низькою трудомісткістю, сприятливими природно-кліматичними умовами для їх вирощування, а також стабільним попитом на зернову продукцію і продукти її переробки.
Для того, щоб краще зрозумiти ситуацiю, яка склалася в зернопродуктовому пiдкомплексi Хмельницької областi,розглянемо його на меншому регiональному рiвнi - на прикеладi Бiлогiрського району,що знаходиться в данiй областi.
У системі землеробства показники застосування мінеральних та органічних добрив зменшуються з року в рік через хронічну недостачу оборотних коштів у сільськогосподарських виробників (табл. 2.2).
Таблиця 2.2
Внесення добрив під урожай сільськогосподарських культур в сільськогосподарських підприємствах Білогірського району
Показники |
Роки |
||||
|
2000 |
2001 |
2002 |
2003 |
2004 |
|
|
% удобреної площі мінеральними добривами |
96 |
48,1 |
28,9 |
41,8 |
39,6 |
|
% удобреної площі органічними добривами |
21,1 |
4,5 |
3,3 |
2,8 |
2,6 |
|
Внесено в ґрунт мінеральних добрив на 1 га посівної площі, кг: |
213 |
33 |
20 |
31 |
30 |
|
Внесено в ґрунт органічних добрив на 1 га посівної площі, кг: |
12,3 |
2,4 |
1,5 |
1,4 |
1.3 |
Тому зерновиробники змушені організовувати виробничий процес, виходячи з мінімізації виробничих затрат, нехтуючи комплексом заходів щодо підвищення родючості ґрунту. У 2004 р. лише 39,6% посівних площ проти 96% У 1991 р. було удобрено мінеральними добривами. Як наслідок, скорочення тваринницької галузі у сільськогосподарських підприємствах катастрофічно зменшилося внесення у ґрунт органічних добрив, яких у 2004 р. було внесено лише 1,3 кг на 1 га посівної площі.
В районі висока розораність земель (табл. 2.3).
Таблиця 2.3
Структура сільськогосподарських угідь в Білогірському районі
Показники |
Всього |
|
|
тис.га |
% |
|
|
Всього сільськогосподарських угідь |
57,72 |
100,0 |
|
із них: рілля |
43,34 |
75,1 |
|
сінокоси |
5,21 |
9,0 |
|
пасовища |
8,09 |
14,0 |
|
інші землі |
1,09 |
1,9 |
Питома вага ріллі в загальній земельній площі становить 75,1%. Природні кормові угіддя займають невеликі площі, розташовані переважно на схилах балок і в долинах річок. Сіножатей в області – 5,21 тис. га, це становить лише 9,0%, переважно заплавні та заболочені луки, частина суходільні. Пасовища на Білогірщині займають 8,09 тис. га, або 14,0%; більшість з них розміщені на еродованих землях, тому їх продуктивність низька.
Структура виробництва продукції, котра визначає спеціалізацію підприємства потребує здійснювати процес матеріально-технічного забезпечення з урахуванням особливостей виробничого процесу конкретного виду продукції. Але, в умовах фінансової кирзи підприємств були порушені не тільки пропорції відтворювального процесу основних ресурсів виробництва, але й практично призупинився процес оновлення матеріально-технічної бази.
Динаміка парку тракторів, зернозбиральних комбайнів і вантажних автомобілів сільськогосподарських підприємств Білогірського району протягом 1991 - 2004 pp. характеризується процесом руйнування матеріально-технічної бази сільськогосподарських підприємств. Зокрема наведена інформація свідчить, що коефіцієнти динаміки машинно-тракторного парку аграрних підприємств зменшувалися з року в рік, і в 2004 р. у порівнянні із 1991 р. коефіцієнт наявності в господарствах тракторів та вантажних автомобілів становив - 0,6, а наявність зернозбиральних комбайнів скоротилася вдвічі (табл. 2.4).
Таблиця 2.4
Динаміка парку тракторів, зернозбиральних комбайнів і вантажних автомобілів сільськогосподарських підприємств Тернопільської області (на кінець року,одиниць)
|
Показники |
Роки |
||||
|
1991 |
1995 |
2000 |
2001 |
2003 |
|
|
Трактори |
1075 |
989 |
784 |
798 |
645 |
|
Коефіцієнти базисні |
1 |
0,9 |
0,7 |
0,7 |
0,6 |
|
Зернозбиральні комбайни |
450 |
373 |
315 |
279 |
215 |
|
Коефіцієнти базисні |
1 |
0,8 |
0,7 |
0,6 |
0,5 |
|
Вантажні автомобілі |
1055 |
1003 |
845 |
756 |
633 |
|
Коефіцієнти базисні |
1 |
1,0 |
0,8 |
0,7 |
0,6 |
Як наслідок, в Білогірському районі спостерігається стійка тенденція до зниження показників фондозабезпеченості підприємств сільськогосподарською технікою, зокрема забезпеченість тракторами зменшилася у 2004 р. до 15 одиниць на 1000 га ріллі проти 25 у 1991p., зернозбиральними комбайнами - до 5 одиниць на 1000 га ріллі проти 10 у 1990 p.. Це пояснюється погіршенням фінансово-економічного стану аграрних підприємств, що викликано диспаритетом цін на промислову і сільськогосподарську продукцію, через що більшість підприємств з рентабельних перетворилася на збиткові і тому ускладнилися умови відтворення матеріально-технічної бази.
Основні фонди багатьох підприємств з виробництва й переробки зерна спрацьовані, нові надходження машин та устаткування - незначні, а наявні - за технічними параметрами не відповідають сучасним вимогам і підлягають заміні. Технологічне переоснащення підприємств відповідно до нових прогресивних технологій, нарощування їх виробничих потужностей, вдосконалення організації виробництва є настійною проблемою зернопродуктової галузі.
Протягом останніх років, через обмеженість інвестування зернової галузі, підприємства недотримували технологічне устаткування і запасні частини, внаслідок чого відбулося зниження продуктивності праці. Зниження технічної оснащеності аграрної праці - основного фактора зростання її продуктивності - викликало також зменшення урожайності зернових.
Розвиток зернового господарства - виду економічної діяльності у державі, що поєднує вирощування зернових культур на зерно для продовольчих цілей, на корми, на насіння з заготівлею зерна, переробку його підприємствами борошномельно-круп'яної, комбікормової і харчосмакової промисловості на даному етапі регулюється Законом "Про зерно та ринок зерна в Україні".
У Законі "Про зерно та ринок зерна в Україні" визначено, що до суб'єктів зернового господарства належать: держава в особі уповноважених органів, фізичні та юридичні суб'єкти, що займаються насінництвом, розробкою впровадженням прогресивних технологій у зернове господарство, виробництвом, закупівлею, зберіганням, переробкою та реалізацією зерна і продуктів його переробки, у тому числі приватні (приватно-орендні) підприємства, селянські (фермерські) господарств сільськогосподарські підприємства всіх форм власності машинні технологічні станції, спілки селян, агропромислові об'єднання (концерни, корпорації та асоціації), господарські товариства тощо; елеватори, заготівельні та зернопереробні підприємства, комбікормові заводи, науково-дослідні установи та їх дослідні господарства й інші суб'єкти, які мають право на власність зерна. Всі вони формують структуру економічних відносин в зернопродуктовому підкомплексі АПК.
2.2 Організаційно-виробнича структура зернопродуктового підкомплексу АПК
Реформування відносин власності зернопродуктового підкомплексу АПК, яке характеризує процес перетворення підприємств у нову організаційно-правову форму, створює потужний приватний сектор економіки як економічного базису наступних перетворень. Колективні сільськогосподарські підприємства в умовах проведення економічної реформи на селі трансформуються у нові організаційно-правові структури на основі приватної власності.
Стан реформування підприємств зернового господарства Білогірського району характеризують дані табл. 2.5.
Таблиця 2.5
Характеристика сільськогосподарських підприємств Білогірського району за їх організаційною формою
|
Організаційна форма підприємства |
Питома вага окремої групи підприємств |
|||
|
за станом на 1 січня 2003р. |
за станом на 1 січня 2004р. |
|||
|
од. |
% |
од. |
% |
|
|
Всього сільськогосподарських підприємств |
41 |
100 |
43 |
100 |
|
у тому числі: |
||||
|
-господарських товариств |
16 |
39,0 |
16 |
37,2 |
|
- державних сільгосппідприємств |
- |
- |
- |
- |
|
- сільгоспкооперативів |
1 |
2,4 |
1 |
2,3 |
|
-селянських (фермерських) господарств |
22 |
53,7 |
24 |
55,8 |
|
- підприємств інших форм господарювання (включаючи міжгоспи) |
2 |
4,9 |
2 |
4,7 |
Найбільшу питому вагу серед сільськогосподарських підприємств району займають селянські (фермерські) господарства - понад 55,8%, значення яких з року в рік зростає але найвища активність щодо створення даних підприємств спостерігалася на початку проведення аграрної реформи у 1991 - 1993 pp. Приватне сільське господарювання ще не розвинулося до суттєвих розмірів, частка приватних підприємств становить лише 20%.
Державного сектора, як такого, вже не існує, що свідчить про те, в районі повністю вже пройщло роздержавлення підприємств сільськогосподарської галузі. Останнє державне підприємство даної галузі в Білогірському районі було роздержавлене ще в 2002 році. Проте реформування сільського господарства відбувається в умовах значного дефіциту фінансових ресурсів, що ускладнюється нерозвиненістю іпотечних кредитних ринків, що в свою чергу, зумовлює різке звуження можливостей використання сільгосптоваровиробниками прибутку для розширеного відтворення.
У використанні сільськогосподарських угідь найпомітніше скорочення частки колективних сільськогосподарських підприємств: з 63% на початку 2002р. до 58% - у 2004 р. Це зумовлено процесом реформування земельних і майнових відносин на селі, котрі започаткували перетворення колективних господарств та активне створення приватно-орендних підприємств, що орендують земельні ділянки та паї для ведення сільськогосподарського виробництва на договірних засадах. Правовою основою розвитку нових господарських формувань на базі приватної власності - приватного сектора для ведення особистого підсобного господарства, приватно-орендних підприємств, фермерських господарств - є Указ Президента України від 3 грудня 1999 р. "Про невідкладні заходи щодо прискорення реформування аграрного сектора економіки" та Закон України "Про оренду", у зв'язку з якими активізувалися процеси перерозподілу земель та реструктуризація сільськогосподарських підприємств.
Таблиця 2.6
Структура сільськогосподарських угідь у Білогірському районі щодо землекористувачів
|
Роки |
в |
тому числі (у відсотках) |
||||
|
Землі сільськогосподарських товаровиробник тис. га |
Сільськогосподарських підприємств |
з них |
особистих підсобних господарств населення |
фермерських господарств |
||
|
колективних |
державних |
|||||
|
2002 |
58,80 |
73,0 |
63,9 |
- |
33,8 |
2,3 |
|
2004 |
57,72 |
70,1 |
58,2 |
- |
38,7 |
3,1 |
Характерною відмінністю зернового господарства Білогоірського району на сучасному етапі є зростання частки особистих підсобних господарств у вирощуванні зернових культур. Так у 2004 р. в порівнянні з 1980 роками їх питома вага зросла майже у 4 рази і становить гідну конкуренцію сільськогосподарським підприємствам, забезпечуючи виробництво великих обсягів зерна (табл. 2.7).
Згідно з показниками табл. 2.7 у 1980 р. в господарствах громадського сектора Білогірського регіону було вироблено 65,4 тис. т зерна, а в 2004 р. –52,8 тис. т, або на 21% менше. За цей час виробництво зерна в господарствах приватного сектора зросло з 4,9 тис. т до 14,5 тис. т, тобто в 3 раза.
Таблиця 2.7
Виробництво зернових сільськогосподарських культур у Білогірському районі за категоріями господаоств (тис. тонн)
|
Виробництво зерна |
1980 |
1985 |
1995 |
1999 |
2002 |
2003 |
2004 |
|
Всі категорії господарств |
70,3 |
52,1 |
80,4 |
48,6 |
50,9 |
39,4 |
67,3 |
|
у тому числі: -сільськогосподарські підприємства |
65,4 |
48,5 |
76,4 |
40,6 |
37,6 |
29,3 |
52,8 |
|
-особисті підсобні господарства населення, включаючи оренцарів-громадян |
4,9 |
3,6 |
3,9 |
8,0 |
13,3 |
10,1 |
14,5 |
|
Питома вага зернової продукції особистих підсобних господарств населення в загальному обсязі виробництва, % |
6,9 |
7,0 |
4,8 |
16,4 |
26,1 |
25,7 |
21,5 |
Проведення земельної реформи в Україні забезпечить право використовувати землю як заставу та активізує розвиток іпотечного й кредитного ринку для забезпечення потреб сільського господарства.
Реформування хлібоприймальних і зернопереробних підприємств відбувається шляхом створення акціонерних, колективних, орендних підприємств, господарських асоціацій.
За останній час головна увага держави зосереджувалася на подоланні проблем, що зумовили негативний стан виробництва зернових, тоді як системі збуту зерна, розвитку інфраструктури зернової галузі приділялося другорядне значення.
В умовах реформування економічної системи Міністерством аграрної політики України, Державною акціонерною компанією "Хліб України", Київським інститутом хлібопродуктів розроблено для впровадження Методичні рекомендації щодо регулювання взаємовідносин власників зерна і хлібоприймальних та зернопереробних підприємств при його зберіганні та переробці з метою встановлення регульованих і паритетних стосунків між даними підприємствами.
У фундаменті докорінних ринкових перетворень закладено органічне поєднання економічних методів регулювання ринку зерна до яких відносять вільне ціноутворення на основі співвідношення попиту та пропозиції, наявність різних альтернативних шляхів, форм та способів реалізації вирощеного врожаю, і державних методів, які полягають у виробленні правил функціонування ринкових суб'єктів, законодавчій підтримці цих правил, та розробки цільових державних програм прямої дії, як засіб опосередкованого впливу держави.
До прийняття Україною ринкового курсу розвитку економіки практично все товарне зерно, реалізовувалося господарствами в формі держпоставок. Держзамовлень, держконтрактів через систему хлібоприймальних підприємств за визначеними державними закупівельними цінами. Завданням ХГШ було концентрація та просування товарного зерна із галузі виробництва до галузі споживання.
Держава намагалася зберегти контроль над зерновим сектором агроринку стратегічно важливим елементом продовольчої безпеки країни, застосовуючи переважно адміністративні методи, зокрема втручання у процес ціноутворення, торгівлі та заготівельно-збутової політики.
Державна політика самостійної України на першому етапі становлення зернового ринку базувалася на підтриманні низьких споживчих цін та централізованого забезпечення потреб населення хлібопродуктами, що обернулося для економіки значними втратами. В період 1991-1994 pp. сільськогосподарським підприємствам доводилося до виконання завдання обов'язкового продажу у держаний фонд майже 30% вирощеного зерна за цінами, які формувалися за принципом відшкодування виробничих витрат та обмеження норми прибутковості виробництва, вони були значно нижчі ринкових та експортних цін. Тому держава активно перешкоджала зовнішній торгівлі зерном шляхом експортних обмежень. Як наслідок, економічна політика України у зерновій галузі формувалася без врахування потенційних можливостей держави у нарощуванні експортного потенціалу та незалежно від зміни кон'юнктури на зовнішніх ринках, тим самим підриваючи свої позиції на світовому ринку зерна. Так, у 1993 p., році валовий збір зернових зріс до 45623 тис. тонн, що на 18,4% більше, ніж у 1992 p., однак обсяг експорту зменшився до 164,3 тис. т. проти 1106 тис. т у 1992 р.
Обмежений характер носили і приватизаційні процеси у зернопродуктовій галузі, більшість підприємств якої були визнаними стратегічними та не підлягали приватизації. "У більшості випадків, пакети акцій, пропонованих до продажу підприємств не перевищували 26%, що не дозволяло інвесторам надалі здійснювати повний управлінський контроль. Крім того, ціна була вищою, ніж більшість інвесторів були готові заплатити, особливо з урахуванням старого стану багатьох із пропонованих об'єктів. Необхідність майбутніх додаткових капіталовкладень, а також той факт, що управління "приватизованим" елеватором має відбуватися на паях з "Хліб України" - розпорядником державної частки акцій, не додавав ентузіазму потенційним інвесторам" [28, 22-23]. Складною та бюрократичною виявилася процедура приватизаційного процесу, що унеможливлювала швидку передачу прав власності та спричинювала втрату інтересу приватних інвесторів до даних об'єктів.
Все це призвело до скорочення виробництва, послаблення мотивації зменшення собівартості продукції, збереження монопольного становища держави у зерновому секторі та стримуванню конкуренції.
Із 1994 року почався новий етап реформування зернового сектору економіки, який характеризувався значним підвищенням закупівельних цін на зерно та скороченням державних закупівель. Проте вже у 1995 році, внаслідок підвищеного попиту на зерно, з причини неврожаю, у зарубіжних країнах, з метою недопущення неконтрольованого експорту збіжжя український уряд відновив програму державних закупівель на рівні 10 млн. тонн, яка була виконана приблизно на 54 %. Виконання селянами даної програми сповільнювалося по мірі розвитку ринкових механізмів матеріально-технічного забезпечення, альтернативних державному постачанню в обмін на поставлену в рахунок держзамовлення продукцію.
У 1996-1997 pp. державою було передбачено скорочення державних закупок зерна до державного фонду в межах потреби бюджетних споживачів до 5 млн. тонн, за цінами обчисленими на основі результатів біржових торгів, та формування регіональних фондів, наповнення яких покладалося на обласні адміністрації, за рахунок коштів республіканського (Автономна Республіка Крим) і місцевих бюджетів та позабюджетних джерел фінансування. Це призвело до явища регулювання руху зерна на регіональному рівні та заборони вивозу зерна за межі області, в якій воно було вирощено. Негативним наслідком таких регіональних обмежень стало використання чиновниками цінових різниць на зерно різних регіонів, які отримували прибутки внаслідок реалізації зерна у регіонах із найвищою на нього ціною.
У серпні 1996 року було засновано Державне підприємство "Хліб
України" на підставі постанови Кабінету Міністрів №1000. Це підприємство є державною холдинговою компанією, яке створювалося з метою забезпечення виконання державного замовлення, і володіє значною часткою акцій підприємств зернопродуктового підкомплексу. Саме створення даного інституту зернового ринку започаткувало процес реформування системи заготівель зерна. Функції "ДАК Хліб України" після відміни держзакупок полягають у посередницькій участі щодо закупівлі зерна та продуктів його переробки для внутрішнього ринку, експортно-імпортній діяльності, забезпечення сільськогосподарських товаровиробників паливно-мастильними матеріалами, міндобривами, засобами захисту рослин, насінням, технікою тощо.
В кінці 1997 р. уряд України оголосив про ліквідацію державного замовлення, як форми закупок зерна в державні ресурси. Проте ці зміни носили швидше декларативний характер, оскільки держава все одно залишалася монополістом на ринку зерна, поставивши перед сільськогосподарськими підприємствами завдання розплатитися із заборгованостями за поставлені матеріально-технічні ресурси, що накопичувалися протягом останніх 3—4 років. Через вкрай важкий фінансовий стан аграрного сектора, обмеженість обігових коштів та кризу неплатежів сільськогосподарські підприємства були змушені розраховуватися за зобов'язаннями вирощеним врожаєм, зокрема зерновою продукцією. Отже держава і надалі залишалася визначальним суб'єктом у галузі закупки та переробки зерна.
Вирішення глобальних проблем зернової галузі носило некомплексний та непослідовний характер, що утруднювало становище сільськогосподарських товаровиробників через невизначеність умов функціонування зернового ринку та недостатню інформованість їх щодо очікуваної кон'юнктури ринку, рівня поточних і прогнозованих цін на внутрішньому і зовнішньому ринках.
Головними принципами реформування системи заготівель і реалізації сільськогосподарської продукції є забезпечення сільськогосподарським виробникам реалізації права вільно розпоряджатися виробленою продукцією шляхом організації умов для контрактної торгівлі чи реалізації її за іншими договорами через біржі, торговельні та контрактні доми, заготівельні й посередницькі структури.
У 1995 - 1996 pp. відбувається створення перших біржових структур в аграрній сфері, зокрема засновано - Українську аграрну біржу. Проте, враховуючи економічні умови України, створення бірж є доцільним лише у великих містах, а на решті території варто застосовувати альтернативні шляхи реалізації через торговельні доми, оптові ринки, ярмарки, тобто такі структури, що об'єднують виробників сільськогосподарської продукції з переробними підприємствами й іншими суб'єктами торгівлі, виконуючи функції третьої сторони, оскільки такі організації не володіють реальним товаром і не можуть від свого імені укладати угоди та здійснювати акти купівлі-продажу.
Відмова від державного замовлення на зерно спричинило проблеми створення умов для дії ринкових механізмів реалізації зернопродукції, сприяння сільськогосподарським товаровиробникам в ефективному збуті виробленої продукції та розвитку інфраструктури зернового ринку.
Ситуація, котра виникла на ринку зерна, після збирання врожаю 2001 р. підтвердила, що у ринковій економіці розвиток інфраструктури щодо збуту зерна та продуктів його переробки є настільки ж важливим, як і його виробництво.
В Україні вже зроблено перші кроки по організації інфраструктури сільськогосподарського ринку. За повідомленням джерел на сьогодні вже Функціонує 459 бірж, з яких 118 - універсальні, 201 - товарні та товарно-сировинні, 31 - агропромислові біржі, а також 144 агроторгових домів, 291 оптово-продовольчих ринків, 16589 заготівельних пункти.
Агродоми на відміну від бірж ведуть торгівлю, як правило, реальним товаром і є ще один видом маркетингового формування, котрий створюється виробниками для надання їх засновникам агентських послуг щодо реалізації продукції або придбання засобів виробництва на найвигідніших умовах. При цьому виробник зберігає право власності на реалізовану продукцію, а плата за агентські послуги здійснюється з надходжень від реалізації, що спонукає агентів до пошуку найоптимальніших умов продажу. Тому діяльність агродомів в розвинутих країнах характеризується високою ефективністю.
Для України, крім названих структур маркетингу, прийнятні також постачальницько-збутові (маркетингові) кооперативи та фірмова торгівля сільськогосподарських підприємств продукцією АПК через агромагазини, тоді як оптові ринки й аукціони світових стандартів для своєї організації вимагають великих коштів і на даному етапі їх створення є передчасним.
У Хмльницькій області за станом на 1.01 2003 р. інфраструктура аграрного ринку має організаційні формування по ресурсному та кредитному забезпеченні виробництва, реалізації сільськогосподарської продукції і продовольства. Зокрема фірмовою торгівлею продовольством і матеріально-технічним ції сільськогосподарської продукції і матеріально-технізабезпеченням займається 9 агроторгових доми, 140 фірмових магазинів з реалізачних ресурсів; послуги із заготівлі продукції, кредитного забезпечення та виробничого обслуговування надають 32 обслуговуючі кооперативи, 23 кредитні спілки, 1184 заготівельні пункти.
Але діяльність даних формувань не відзначається високою ефективністю. У 2000 р. лише 1,5% товарного зерна в Україні було продано через товарні біржі, тоді як для виявлення ринкової ціни попиту та пропозиції необхідно реалізовувати через біржу 10 - 15% від загальної кількості зерна. Необхідно збільшити обсяги реалізації зерна за вільними цінами через біржі, оптові аукціони й інші ринкові структури, коли зараз ціни формуються з певною орієнтацією на ціни продажу зерна за іншими каналами збуту.
Головним в економічній реформі зернопродуктового підкомплексу є демонополізація економіки, яка повинна привести до кардинальної зміни галузевої структури народного господарства та перепрофілювання підприємств.
Зміна економічної моделі господарювання мусить забезпечувати можливість вибору варіанту виробничо-технічного обслуговування підприємствами. Зокрема комплекс заходів щодо виробничо-технічного обслуговування може здійснюватися самими агропромисловими підприємствами чи їх кооперованими зусиллями або надаватися спеціалізованими агросервісними організаціями.
Діяльність галузей виробничої інфраструктури зернопродуктового підкомплексу Білогірському районі, до якої належать: матеріально-технічне забезпечення, транспортне обслуговування, електрифікація, зв'язок оцінюється негативно.
Часто у напружені періоди року відбуваються значні збої з постачанням нафтопродуктів, запчастин та обладнання, у проведенні обслуговування і ремонтів складної техніки й обладнання тощо, що є головним гальмуючим чинником економічної ефективності використання основних виробничих фондів, земельних і трудових ресурсів.
У сучасних умовах обмеженості обігових коштів, склалася ситуація, що підприємства зернопродуктового підкомплексу, поточний, профілактичний і капітальний ремонти машин та обладнання виконують власними силами, не вдаючись до надто дорогих послуг агротехсервісних підприємств.
У перспективі - лише приватне постачання ресурсів і приватні структури маркетингу зерна можуть вивести Україну на лідируючі позиції на світових ринках зерна.
Враховуючи вищевикладене можна говорити про особливе місце зернопродуктового підкомплексу в структурі АПК, котрий, об'єднуючи процеси виробництва заготівлі, транспортування і переробки зерна, формується у цілісну систему. Кінцевою метою даної ланки АПК є максимальне наповнення внутрішнього та зовнішнього ринку відповідними продовольчими товарами, тому стабільне виробництво і переробка зернових культур є проблемою стратегічного характеру, пов'язаною з національною безпекою. Від розвитку даного підкомплексу залежить ефективність функціонування інших продовольчих галузей і стан всього АПК. Отже, зернопродуктовому підкомплексу АПК повинна приділятися значна увага при здійсненні реформ в аграрному секторі економіки України.
2.3 Ефективність економічних відносин в сфері виробництва зерна
Виробництво зерна займає особливе місце серед інших галузей рослинництва. Зерно - це не тільки основа харчування людини, це й джерело виробництва тваринницької продукції (молока, м'яса, яєць, інших продуктів), а також важливий експортний продукт, що визначає зовнішньоекономічні позиції держави.
Проблема виробництва зерна в Україні пріоритетна в аграрному секторі економіки, але за останні роки (за винятком 2001 p., коли було зібрано близько 37 млн. т зерна) спостерігається зменшення виробництва зерна й виникнення кризових ситуацій у зернопродуктовому підкомплексі.
Успішне виконання виробничої програми сільськогосподарськими підприємствами і належний збут продукції забезпечують промислові та переробні підприємства сировиною, а вони, в свою чергу, задовольняють потреби населення у продуктах харчування, при цьому підприємства оперують
необхідними фінансовими ресурсами. Від обсягів виробництва та реалізації продукції залежить стан обігових коштів підприємств, оплата праці, прибуток і рентабельність господарської діяльності.
Зернове господарство Білогірського району за останніх 25 років, що аналізуються, розвивалося нерівномірно (табл. 2.9).
Таблиця 2.9
Динаміка врожайності, зібраних площ і виробництва основних зернових культур в усіх категоріях господарств Білогірського району
|
Культура |
1980 |
1985 |
1995 |
1999 |
2002 |
2003 |
2004 |
2004 в % до |
|
|
2002 |
2003 |
||||||||
|
Урожайність з 1 га зібраної площі, центнерів |
|||||||||
|
Зернові та зернобобові культури (включаючи кукурудзу) |
21,2 |
31,0 |
26,7 |
23,2 |
22,9 |
20,1 |
30,5 |
133,2 |
151,7 |
|
Пшениця озима та яра |
21,9 |
36,3 |
27,0 |
25,2 |
28,7 |
22,0 |
35,9 |
125,1 |
163,2 |
|
Кукурудза на зерно |
35,0 |
60,3 |
38,5 |
50,3 |
42,2 |
53,8 |
73,0 |
172,9 |
135,7 |
|
Ячмінь озимий і ярий |
17,6 |
27,6 |
22,3 |
23,7 |
20,8 |
18,9 |
25,9 |
124,5 |
137,0 |
|
Зібрана площа, тис.га |
|||||||||
|
Зернові та зернобобові культури (включаючи кукурудзу) |
24,98 |
22,78 |
23,69 |
21,36 |
22,75 |
19,37 |
22,07 |
99,2 |
113,9 |
|
Пшениця озима та яра |
10,02 |
9,62 |
8,37 |
8,67 |
7,44 |
6,18 |
9,96 |
133,8 |
161,6 |
|
Кукурудза на зерно |
0,65 |
0,86 |
0,78 |
0,81 |
0,76 |
0,80 |
0,95 |
123,3 |
119,1 |
|
Ячмінь озимий і ярий |
9,75 |
9,80 |
8,32 |
9,60 |
8,92 |
8,43 |
6,16 |
70,1 |
73,1 |
Валовий збір, тис. тонн |
|||||||||
|
Зернові та зернобобові культури включаючи (кукурудзу) |
52,95 |
76,61 |
63,25 |
49,55 |
50,96 |
38,93 |
67,29 |
132,0 |
173,1 |
|
Пшениця озима та яра |
21,94 |
34,92 |
22,60 |
21,84 |
21,36 |
13,59 |
35,71 |
167,2 |
260,1 |
|
Кукурудза на зерно |
2,28 |
5,19 |
3,01 |
4,07 |
3,22 |
4,29 |
6,94 |
215,7 |
161,5 |
|
Ячмінь озимий і ярий |
17,16 |
27,04 |
18,55 |
19,6 |
18,56 |
15,93 |
15,94 |
85,9 |
100,1 |
Найбільших обсягів виробництво зерна в усіх категоріях господарств досягнуто у 1985 p., що пояснюється винятково сприятливими погодними умовами й високою урожайністю зернових культур. Так, у 1985 р., при меншій площі на 3,2%, ніж у 2004році було зібрано на 10,3% більше зерна. Протягом останніх років вдалось дещо призупинити спад виробництва, як в цілому по Україні, так і в Білогірському районі зокрема, однак при цьому були задіяні здебільшого екстенсивні фактори, тобто збільшення виробництва зерна відбувалося за рахунок розширення площ і використання їх природної родючості при невисокій врожайності сільськогосподарських культур.
Сприятливі кліматичні умови 2004 р. забезпечили кращі результати зернового господарства, не зважаючи на скорочення посівних площ, у порівнянні з 2002 р. на 3%, а в натуральному вираженні - приріст валового збору зерна становив 16,33 тис. т. Зокрема методом скоректованого показника ми визначили, що за рахунок підвищення урожайності у 2004 р. при збереженні розміру посівної площі 2002 р. можна було б одержати додатково 16,77 тис. т зерна, (табл. 2.10).
Таблиця 2.10
Вплив зміни посівних площ і врожайності на валовий збір продукції у Білогірського району
|
Назва культури |
Відхилення валового збору зернових 2004 р (+,-), тис. т у порівнянні з 2002 р. |
||
|
Всього |
в тому числі за рахунок |
||
|
площі |
урожайності |
||
|
Усі зернові |
16,34 |
-0,43 |
16,77 |
|
пшениця озима та яра |
14,36 |
7,16 |
7,19 |
|
кукурудза на зерно |
3,72 |
2,93 |
0,79 |
|
ячмінь озимий і ярий |
-2,61 |
3,14 |
-5,76 |
Врожайність зернових зменшувалася з року в рік і останні роки можна назвати роками невикористаних резервів. Головні причини цього - у слабкому матеріально-технічному та незадовільному агрохімічному забезпеченні процесу вирощування зернових культур, не достатньому впровадженні у виробництво досягнень науки, передового досвіду.
Так, за допомогою вирівнювання ряду динаміки врожайності зернових культур у Білогірському районі методом найменших квадратів і побудови лінійної функції чітко простежується тенденція спаду врожайності. Пояснюється це недотриманням вимог інтенсивної технології вирощування зернових через хронічну нестачу фінансових та оборотних засобів, матеріальних ресурсів, що призвело до порушень виробничого процесу, широкого застосування екстенсивних факторів ведення зернового господарства.
Лінійна функція описується рівнянням [60, 112]:

де Yt - вирівняне значення урожайності для конкретного року; a, b -параметри рівняння; t - показник часу, в даному випадку роки.
На основі даних показників додатка А рівняння лінійної прямої урожайності зернових у Білогірському районі має такий формалізований вигляд:

Методом кореляції було встановлено, що лінійний коефіцієнт кореляції між показниками врожайності та забезпеченості підприємств Білогірському районі сільськогосподарською технікою доволі високий - 0,796, що вказує на тісний зв'язок між даними показниками, тобто за рахунок поліпшення МТБ аграрного виробництва можна корелювати врожайність зернових у бік її підвищення (Додаток Б).

Внесення добрив у комплексі з іншими елементами системи землеробства - один з основних шляхів зростання виробництва зерна. Застосування в умовах області мінеральних та органічних добрив під зерновими культурами є високоефективним заходом, оскільки вони забезпечують приріст урожаю. Цьому сприяє помірний клімат області, достатня вологозабезпеченість, котрі створюють сприятливі умови для ефективної дії добрив та одержання високих врожаїв зернових. За результатами наукових досліджень [10, 18], встановлено, Що за рахунок внесення добрив озима пшениця може забезпечити 41% приросту врожаю, кукурудза - 53, ячмінь - 49%, за рахунок сорту - відповідно 27; 34 та 34%. Однак у Білогірському районі за останні роки різко скоротилося внесення добрив під урожай сільськогосподарських культур. Так, у 2004 р. мінеральними добривами було удобрено 41,8% площі проти 96% у 1995 p., і лише на 2,8 % посівної площі внесено органічні добрива проти 21,1% в 1990 р. Скоротилося також внесення мінеральних добрив на 1 га удобреної площі, за аналізований період у цей показник зменшився у 3 рази.
Все це негативно вплинуло на врожайність зернових, що з року в рік зменшувалася (табл. 2.11).
Таблиця 2.11
Динаміка врожайності зернових і зернобобових культур у сільськогосподарських підприємствах Білогірського району
|
Роки |
Врожайність зернових |
||
|
ц/га |
у порівнянні до1985 р. |
||
|
+,- |
в% |
||
|
1985 |
31,0 |
X |
100,0 |
|
1995 |
26,7 |
-4,3 |
86,1 |
|
1999 |
23,2 |
-7,8 |
74,8 |
|
2000 |
21,5 |
-9,5 |
69,4 |
|
2001 |
22,1 |
-8,9 |
71,3 |
|
2002 |
22,9 |
-8,1 |
73,9 |
|
2003 |
20,1 |
-10,9 |
64,8 |
|
2004 |
30,5 |
-0,5 |
98,3 |
У 1985 р. врожайність зернових досягла рекордно високого показника –31,0ц/га, але з наступного року вона почала знижуватися. Найнижчими показники урожайності були у складні за погодними умовами 2000,2003 pp., коли затяжні бездощові періоди під час вегетації, сильні засухи знижували ефективність технологічних заходів щодо догляду за посівами, в зв'язку з чим знизилася загальна урожайність зернових культур. Скажімо, у 2000 р. врожайність зернових і зернобобових у сільськогосподарських підприємствах Білогірського району була на 9,5 ц/га нижчою, ніж у 1985 p., а - у 2003 р. становила лише 20,1ц/га,що на 35,2%менше порівняно з 1985роком. Таким чином, на основі аналізу даних урожайності та посівних площ зернових культур з 1996 по 2004 pp., робимо висновок, що під впливом зниження урожайності за останні роки було недобрано не менше 50,7 тис. тонн зерна.
Підвищення урожайності зернових культур - одна з найактуальніших проблем сільського господарства на даному етапі, для успішного вирішення якої необхідно задіяти невикористані резерви зростання, зокрема такі як запровадження у практику розробок і досягнень НТП, застосовування передових агротехнологій вирощування зернових культури у поєднанні з науково обґрунтованим внесенням мінеральних та органічних добрив, засобів захисту рослин, використанням якісного насіннєвого матеріалу.
Серед новацій, за повідомленням джерела цікавою є технологія, розроблена вченими і спеціалістами Південного філіалу відділення промислової радіоелектроніки Міжнародної академії інформатизації (м. Одеса) Селекційно-генетичного інституту УААН, Одеської державної академії харчових технологій, Одеської державної сільськогосподарської дослідної станції та інших закладів, що передбачає передпосівний обробіток насіння мікрохвильовим полем за допомогою мікрохвильових установок. За даними, опублікованими в цьому джерелі, схожість насіння підвищується від 2-3% до25%, а врожайність - від 5 - 20% до 60% і більше.
Ще одним резервом підвищення ефективності функціонування зернопродуктового підкомплексу є скорочення втрат на кожному етапі виробництва. Перш за все це стосується галузі вирощування зернових. За даними, котрі наводить Лобас М. Г., різниця між застосуванням старої техніки і нової сучасної щорічно Україні обходиться у 1,5 млрд. дол., тобто на посівній площі 15-16 млн. га залишається 10-12 млн. т зерна (9-12 ц/га).
Безупинне і зростаюче виробництва зерна має вирішальне значення для підйому всіх агропромислових галузей, є необхідною умовою повнішого задоволення зростаючих потреб населення у продуктах харчування.
Україна має хороші передумови для вирощування зернових культур, тому зерно традиційно було і залишається її основним продовольчим ресурсом. Придатні для ведення зернового господарства природно-ґрунтові умови, пристосовані до нашого клімату сорти та технології вирощування зернових, сприятлива кон'юнктура на внутрішньому ринку, а також потенційні можливості збільшення експорту зерна, дають змогу нарощувати обсяги його виробництва.
Для стабілізації і поступового збільшення обсягів виробництва зерна, відновлення і розвитку конкурентоспроможного зернового виробництва з урахуванням регіональних особливостей для забезпечення населення зерном і хлібопродуктами державою розроблено низку заходів щодо впорядкуванню і оптимізації зернового ринку. Зокрема прийнято постанову Кабінету Міністрів України "Про утворення Державної акціонерної компанії "Хліб України" від 22 серпня 1996 p., № 1000, Програма "Зерно України", затверджена наказом Мінагропрому, УААН, ДАК "Хліб України" від 20 квітня 1998 p., № 121/49/39, Указ Президента України від 29 червня 2000 р. № 832/2000 "Про невідкладні заходи щодо стимулювання виробництва та розвитку ринку зерна". Схвалена 27 листопада 2000 р. Кабінетом Міністрів України Програма "Зерно України -2001 - 2004", метою якої було - забезпечення поступового нарощування валового виробництва зерна від 35 млн. тонн у 2000 р., до 40 млн. тонн у 2004 p., що повністю забезпечить потреби держави у зерноресурсах, формуванні фондів споживання і насіннєвого, створення надійної кормової бази за рахунок її поповнення у достатній кількості концентрованими кормами, а також виділення для експортних поставок щорічно до 5,5 - 6,5 млн. тонн.
Найголовнішим завдання сільського господарства є забезпечення стабілізованого зростання обсягів виробництва зерна. Відповідно до державної програми "Зерно України " для повного забезпечення потреб у зерні передбачено стабілізувати площі посіву зернових по Україні в межах 15,0 млн. га, а також шляхом оптимізації організації виробництва, усунення недоліків в агротехніці і порушень вимог технологій, забезпечити середню урожайність зернових на рівні 30-32 ц/га. Цією програмою визначено шляхи розвитку зернового господарства окремих регіонів, які передбачають максимальне врахування природних умов для виробництва зерна. Зокрема площі посіву озимої пшениці у Білогірському районі повинні становити 10,9тис. га. Це сприятиме вирішенню проблеми продовольчої безпеки України.
Викладене переконливо свідчить про необхідність здійснення радикальних заходів щодо прискорення розвитку та інтенсифікації зернового виробництва, поліпшення якості зерна, що сприятиме виведенню його на конкурентоспроможний світовий рівень а, кошти від однієї з найефективніших галузей сільськогосподарського виробництва - зернової - в першу чергу використовуються для забезпечення відтворювального процесу в інших галузях виробничої діяльності: збирання цукрових буряків, кукурудзи, кормових культур, сівби озимих, підняття зябу тощо.
Товарність виробленої продукції - один з показників, що характеризує рівень розвитку галузі, підвищення якого є важливим фактором кращого продовольчого забезпечення населення продовольством, а переробну галузь -сировиною.
У Білогірському районі товарність зерна становила у 2003 р. майже 68%, тобто в середньому 32% вирощеного врожаю залишається у господарствах для внутрішніх потреб. Товарність зерна змінюється у динаміці за ряд років та по господарствах району. Так, у врожайному 1990 p., коли суттєво зросла пропозиція зерна на ринку України, його товарність становила лише 38%, і навпаки, у 1999 p., який характеризувався надзвичайно складними погодними умовами та зменшеним валовим виробництвом зернових, товарність зерна зросла до 66%. Такий невисокий рівень товарності зернових пояснюється тим, що вони використовуються для внутрішньогосподарських потреб і беруть участь у наступному процесі відтворення.
У 2003/2004 маркетинговому році на насіннєві цілі було використано 8,0% від валового збору зерна, значна частина зерна була поставлена за регіональним контрактом та договорами (8,4%), реалізована комерційним та іншим структурам, в тому числі за межі області (48,2%). Понад 16% зерна було передано населенню у формі оплати праці, на земельні та майнові паї (табл. 2.12).
З іншого боку, зерно є товаром, який не тільки здатний стабільно давати прибуток, й є дуже цінним переробним ресурсом. Зернові культури за різноманітністю їх використання займають перше і головне місце в переробній сфері. Зерно є основою харчування для населення не тільки тому, що це хліб, макаронні вироби, крупи, воно є і джерелом виробництва молока, м'яса, яєць, інших продуктів, і сировиною для одержання крохмалю, патоки, спирту.
Таблиця 2.12
Баланс зерна урожаю 2004 року по Білогірському районі (всі категорії господарств)
|
Показники |
Зерно, всього |
|
|
тис. тонн |
Питома вага каналу реалізації, % |
|
|
Валовий збір |
67,30 |
100,0 |
|
Використання: |
||
|
насіння зі страхфондом |
5,41 |
8,0 |
|
оплата праці та громадське харчування |
5,60 |
8,3 |
|
видача на паї: |
2,85 |
4,2 |
|
в т.ч. земельні |
2,81 |
4,17 |
|
майнові |
0,04 |
0,03 |
|
фіксований податок |
0,40 |
0,6 |
|
регіональний контракт |
- |
- |
|
погашення податкової заборгованості |
0,23 |
0,3 |
|
погашення заборгованості минулих років |
0,61 |
0,9 |
|
в т.ч. ДАК "Хліб України" |
- |
- |
|
Украгролізинг |
- |
- |
|
Держрезерв |
- |
- |
|
поставка за договорами |
5,64 |
8,4 |
|
продаж комерційним та іншим структурам |
30,45 |
45,2 |
|
реалізація за межі області |
2,00 |
3,0 |
|
інша реалізація |
2,55 |
3,8 |
|
на фураж: потреба |
19,17 |
28,5 |
|
буде засипано власного зерна |
11,57 |
17,3 |
Наприклад, кукурудза, яка є однією з найпродуктивніших злакових культур - універсальна за своїм використанням, її вирощують для продовольчих, кормових і технічних потреб, а продукти її переробки застосовують у дуже несподіваних галузях.
Нині одним з головних завдань є організація раціонального використання зерна. В межах України розвиваються усі три галузі зернопродуктового циклу -виробництво та переробка продовольчого і фуражного зерна, а також переробка зерна на спирт, пиво, крохмаль тощо.
За обсягами зернового потоку ці галузі нерівнозначні. Головна стаття витрат зерна в Україні - виробниче споживання в самому сільському господарстві. У середньому за 1994 - 1996 pp. на насіння щорічно витрачалося близько 4,5 млн. т, на корм худобі і птиці - 18,5 млн. т (включаючи переробку на комбікорми). Друга по потужності галузь зернового циклу АПК -продовольча, на ці потреби витрати зерна становлять 8,9 млн. т за рік. Обсяг необхідного зерна для забезпечення сировиною галузь щодо технічної переробки - близько 1,5 млн. тонн.
Важливим резервом підвищення ефективності виробництва зерна є зменшення витрат праці на обробіток даної культури. Найоб'єктивнішими показниками рівня продуктивності праці є затрати праці на виробництво одного центнера продукції. В табл. 2.13 простежується, що в середньому по підприємствах району зі зменшенням затрат праці на один центнер зернових підвищується прибутковість їх вирощування, простежується і чіткий взаємозв'язок між показниками продуктивності праці та урожайності.
Таблиця 2.13
Рівень продуктивності праці в сільськогосподарських підприємствах Білогірського району
|
Роки |
Затрати праці на 1 ц зернових люд. год. |
Урожайність, ц/га |
Прибуток (+), збиток (-) на 1 ц зернових,грн. |
Рівень рентабельності, % |
|
1998 |
1,9 |
26,2 |
6,03 |
33,36 |
|
1999 |
1,6 |
23,2 |
3,7 |
10,3 |
|
2000 |
2,3 |
21,5 |
8,6 |
28,5 |
|
2001 |
2,0 |
22,1 |
10,3 |
21,4 |
|
2002 |
1,7 |
22,9 |
18,90 |
40,9 |
|
2003 |
1,6 |
20,1 |
27,60 |
49,7 |
|
2004 |
1,8 |
30,5 |
12,28 |
27,5 |
Зростання продуктивності праці залежить від кількості продукції, котру отримують з одного гектара посівів, і затрат праці в розрахунку на цю площу сільськогосподарських угідь. Рівень продуктивності праці при виробництві зернових культур підвищуватиметься лише у випадку, коли темпи зростання урожайності будуть зростати, випереджаючи темпи зростання затрат праці на один гектар посівів.
Таблиця 2.14
Залежність продуктивності праці від рівня урожайності зерна в сільськогосподарських підприємствах Білогірського району. (2004 рік)
|
Групи підприємств із врожайністю зернових, ц/га |
Кількість підпр. у групі |
Середня врожайність у групі |
Затрати праці на 1 га посівів |
|||
|
ц/га |
в % до І групи |
люд./год. |
в % до І групи |
|||
|
I |
8,2 - 12,1 |
6 |
10,1 |
100 |
38,9 |
100 |
|
II |
12,1 –20,1 |
9 |
16,1 |
159 |
48,7 |
125 |
|
III |
20,2 – 31,6 |
2 |
25,9 |
256 |
58,9 |
151 |
|
IV |
31,7 – 48,2 |
6 |
39,9 |
395 |
65,2 |
168 |
|
В середнйому по районі |
23 |
30,5 |
X |
56,8 |
X |
З наведених даних у табл. 2.14 видно, що в районах третьої та четвертої груп у порівнянні з першою групою районів урожайність вища на 156% та 295% відповідно, тоді як затрати праці - всього лише на 51% та 68%. У сільськогосподарських підприємствах району другої і третьої груп, у порівнянні з господарствами району першої групи, урожайність зернових зростала швидше, ніж затрати праці на один гектар посіву, що характеризує підвищення продуктивності праці у даних підприємствах.
Основні причини низьких показників діяльності аграрного сектора економіки приховуються у державній політиці, що тривалий час проводилася стосовно агропромислового виробництва та негативно позначилася на його ефективності. Починаючи з 2000 p., здійснюється формування нової моделі аграрного ринку, якій властива приватна власність на землю, а роль держави полягає не у безпосередньому втручанні, а у виробленні "правил гри". Для вирішення проблем зернового господарства видано Указ Президента від 29 липня 2000 року №832/2000 "Про невідкладні заходи щодо стимулювання виробництва та розвитку ринку зерна", прийнято Постанову КМУ від 29 квітня 2002 р. №590 "Про визначення заставних цін та фінансового забезпечення заставних закупівель зерна". Такі заходи сприятимуть активізації біржової торгівлі, поповненню сировинної бази заготівельних підприємств, зменшать вплив коливань цін на ринку зерна.
У 2001 р. виробництво більшості рослинницької продукції завдало господарствам району збитків. Наприклад, рентабельність вирощування цукрових буряків становила - 7,6%, овочів відкритого ґрунту - 12,3% (табл. 2.16).
Таблиця 2.16
Основні показники ефективності вирощування зернових культур сільськогосподарськими підприємствами Білогірського району
|
Показник та одиниця виміру |
Роки |
||||
|
2000 |
2001 |
2002 |
2003 |
2004 |
|
|
Реалізація зернових культур, тис. тонн |
230,54 |
250,36 |
289,50 |
246,59 |
292,60 |
|
Ціна реалізації 1 центнера зерна, грн. |
50,77 |
49,91 |
65,0 |
82,5 |
56,6 |
|
Собівартість 1 центнера реалізованого зерна, грн. |
39,5 |
41,1 |
46,1 |
54,90 |
44,32 |
|
Затрати на виробництво 1 центнера зерна, люд./год. |
2,3 |
2,0 |
1,7 |
1,6 |
1,8 |
|
Рівень рентабельності (збитковості) виробництва зерна, % |
28,5 |
21,4 |
40,9 |
49,7 |
27,7 |
Аналіз рівня продуктивності праці, собівартості та рентабельності свідчить про те, що вирощування зернових культур на Білогірщині економічно вигідне, однак у деяких підприємствах області ще не використані всі резерви зростання ефективності виробництва у зерновому господарстві.
Враховуючи, що економічна ефективність використання виробничих ресурсів, головним чином, зосереджена в показниках урожайності, собівартості та трудомісткості, від яких залежить кінцевий результат виробництва -прибуток, можна провести комплексне оцінення зернового господарства районів області за даними показниками. Підсумком цього оцінення виступає інтегральний індекс, що базується на середньообласних значеннях показників, (табл. 2.17).
Таблиця 2.17
Комплексне оцінення зернового господарства Білогірського району за 2004 рік
|
Назва підприємства |
Урожайність, ц/га |
Індекс урожайності |
Собівартість 1 ц продукції, грн. |
Індекс собівартості |
Затрати праці на 1 ц продукції, люд./год. |
Індекс трудомісткості |
Інтегральний індекс |
Місце підпр. серед інших в районі |
Оцінний бал ріллі |
|
ТОВ”Перлина Поділля” |
48,2 |
15,2 |
1,09 |
76 |
|||||
|
ТОВ”Вязовець” |
35,4 |
27,7 |
1,93 |
50 |
|||||
|
ТОВ”Зоря” |
20,1 |
34,7 |
3,11 |
49 |
|||||
|
ТОВ”Маяк” |
45,4 |
26,2 |
1,46 |
63 |
|||||
|
ФТ”Корниця” |
12,1 |
41,5 |
2,13 |
32 |
|||||
|
ТОВ”Злагода” |
10,6 |
39,1 |
1,4 |
69 |
|||||
|
ФТ”Хлібороб” |
15,7 |
24,2 |
1,89 |
49 |
|||||
|
ТОВ”Білогірське” |
15,6 |
37,2 |
2,44 |
53 |
|||||
|
ТОВ”Агросервіс” |
10,8 |
44,8 |
3,27 |
66 |
|||||
|
ТОВ”Колос” |
31,6 |
37,5 |
2,49 |
51 |
|||||
|
ТОВ”Ставищанське” |
15,6 |
44,1 |
3,10 |
58 |
|||||
|
ТОВ”Поліське” |
9,8 |
34,9 |
3,08 |
58 |
|||||
|
ТОВ”Довгалівка” |
39,8 |
21,6 |
3,00 |
50 |
|||||
|
ФТ”Вікнини” |
16,5 |
28,1 |
2,62 |
70 |
|||||
|
ТОВ”Хлібороб” |
18,1 |
49,7 |
3,29 |
48 |
|||||
|
ФТ”Шимківці” |
15,7 |
44,1 |
2,57 |
60 |
|||||
|
ВАТ”Лан” |
34,0 |
33,3 |
1,49 |
56 |
|||||
|
ТОВ”Трудівник” |
28,3 |
42,7 |
2,53 |
70 |
|||||
|
ТОВ”Хорошів” |
8,2 |
43,8 |
1,97 |
46 |
|||||
|
ТОВ”Щедра нива” |
15,4 |
35,6 |
3,00 |
58 |
|||||
|
СВК”Авангард” |
15,0 |
28,6 |
2,27 |
50 |
|||||
|
ТОВ”Дружба” |
33,5 |
31,8 |
2,48 |
61 |
|||||
|
ТОВ”Гранд” |
16,0 |
40,0 |
2,47 |
48 |
|||||
|
Всьго |
30,5 |
24,8 |
1,8 |
Аналіз показників економічної ефективності вирощування сільськогосподарськими підприємствами окремих груп зернових за останні роки свідчать, що вирощування озимих серед усіх зернових дають найкращі результати (табл. 2.18).
Таблиця 2.18
Економічна ефективність вирощування окремих зернових культур в господарствах Білогірського району
Показник |
У середньому за 2002-2004рр. |
|
Прямі затрати праці на виробництво 1 ц, люд./год.: |
|
|
всього зернових і зернобобових |
1,8 |
|
в тому числі: |
|
|
озимих зернових |
1,8 |
|
ярих зернових і зернобобових |
2,1 |
|
кукурудзи на зерно |
1,2 |
|
Повна собівартість 1 ц проданої продукції, грн.: |
|
|
всього зернових і зернобобових |
24,8 |
|
в тому числі: |
|
|
озимих зернових |
23,5 |
|
ярих зернових і зернобобових |
26,3 |
|
кукурудзи на зерно |
22,1 |
|
Рентабельність виробництва, %: |
|
|
всього зернових і зернобобових |
41,5 |
|
в тому числі |
|
|
озимих зернових |
40,5 |
|
ярих зернових і зернобобових |
48,6 |
|
кукурудзи на зерно |
35,2 |
Виробництво кукурудзи на зерно у групі зернових культур характеризується високою затратністю але позитивною рентабельністю вирощування. Трудомісткість вирощування 1 ц кукурудзи була вищою на 0,4 люд./год. від середньої по всіх зернових, та на 0,5 люд./год. вищою, ніж при вирощуванні озимих зернових, а рентабельність її вирощування становила 35,2%. Цим можна пояснити повсюдне скорочення посівних площ під цією цінною у фуражному плані культурою.
Забезпечення населення якісними продуктами харчування і підтримання високого рівня продовольчої безпеки країни доволі тривалий час є пріоритетними напрямками економічної політики України.
III. ШЛЯХИ УДОСКОНАЛЕННЯ МЕХАНІЗМУ ЕКОНОМІЧНИХ ВІДНОСИН У ЗЕРНОПРОДУКТОВОМУ ПІДКОМПЛЕКСІ
3.1 Підвищення ефективності використання виробничого потенціалу переробки зерна
В сучасних умовах, коли АПК України переповнений економічними проблемами, підприємства поставлені в умови пошуку можливих резервів поліпшення результатів господарської діяльності. Особливо це важливо для зернопродуктової галузі АПК, як стратегічної з точки зору забезпечення продовольчої безпеки країни.
Від стану й розвитку виробництва та переробки зерна значною мірою залежить задоволення потреб людей у різноманітних продуктах харчування і товарах народного споживання, оскільки зерно - основний продукт харчування для населення у вигляді хліба, круп, макаронних і кондитерських виробів, інших продуктів, які відзначаються високими поживними і смаковими якостями; крім того, зерно та його відходи становлять понад 25% в кормовому балансі тваринництва, 70 - 90% - у свинарстві і птахівництві.
Структурна перебудова галузі хлібопродуктів відбувається в умовах значного зменшення обсягів виробництва борошна, круп, комбікормів і різкого зниження якості зерносировини. У Тернопільській області спостерігається тенденція до погіршення економічних показників роботи заготівельних і зернопереробних підприємств. Слід зазначити, що попит на ринку хлібопродуктів упродовж 1990 - 2003 р. мав тенденцію до скорочення.
Недостатній попит на готову продукцію зернопродуктового підкомплексу, який, поєднуючись з несприятливою ціновою кон'юнктурою на внутрішньому ринку зерна, що не відповідає умовам насиченості сировинного ринку, не сприяли пожвавленню діяльності переробників. Так, виробництво борошна і хлібобулочних виробів у 2003 р. у порівняні із 2001 р. зменшилося на
7,4 та 0,9 тис. тонн відповідно, макаронних виробів - майже на 36%. Значне падіння обсягів виробництва макаронних виробів пояснюється впливом конкуренції з сусідньої Хмельницької області, де виробляють макаронні вироби кращі за смаковими якостями і ширшим асортиментом (табл. 3.1). Отже, потенційні можливості підприємств використовуються далеко не повністю.
Таблиця 3.1.
Динаміка виробництва основних видів продукції зернопереробної ________________промисловості Тернопільської області, тис, тонн____________
|
2003 |
||||
|
Показники |
2001 |
2003 |
Темпи приросту, зниження (-), у % |
Вироблено більше, менше (-), |
|
Борошно всього |
108,3 |
100,7 |
93,0 |
-7,6 |
|
Крупи всього |
5,1 |
6,5 |
127,5 |
1,4 |
|
Хліб і хлібобулочні вироби |
18,8 |
19,7 |
104,8 |
0,9 |
|
Макаронні вироби |
0,55 |
0,196 |
-64,1 |
-0,35 |
|
Кондитерські вироби |
2,7 |
2,8 |
103,7 |
0,1 |
|
Спирт етиловий, тис. дал. |
5073 |
6247 |
23,1 |
1174 |
|
Крохмаль сухий, тонн |
337 |
302 |
-10,4 |
-35 |
Залишки готової продукції зернопереробної галузі на складах підприємств, за даними Тернопільського обласного управління статистики, на 1.01.2003 р. становили: 333 тонни борошна, що становить лише 14% від запасів 2001 р. та 260 тонн круп, обсяг яких на складах збільшився стосовно 2001 р. на 109 тонн. Збільшення перехідних запасів круп на складах зернопереробних підприємств пов'язане зі зростанням обсягів їх виробництва у 2002 р. на 10,1%, або 375 тонн, що, в свою чергу, викликане стійким попитом на даний вид продукції, а також відносно високою рентабельністю виробництва.
Як свідчать джерела причини спаду виробництва в зернопереробній промисловості такі: тривале зменшення кількості та якості зернової сировини, котра вирощується і заготовляється в країні, неплатежоспроможність споживачів хлібопродуктів; зменшення споживання населенням окремих сортів борошна, деяких видів круп; збільшення в країні кількості мінімлинів (4435 шт.
потужністю 2200 тис. т/рік), мінікрупорушок (2681 шт. потужністю 256 тис. т/рік) різних форм власності, як вітчизняного, так і закордонного виробництва.
Переробна галузь Тернопільської області має комплекс хлібоприймальних і зернопереробних підприємств - елеватори, млини та крупорушки, що належать до різних органів управління і підпорядкування. Так, в області низка заготівельних і переробних підприємств зернопродуктового підкомплексу знаходиться у відомчій підпорядкованості представництва ДАК "Хліб України", Державного комітету України з державного матеріального резерву; млини та крупорушки належать до підсобних промислів сільськогосподарських підприємств.
Можливості проведення економічного аналізу хлібоприймальних і зернопереробних підприємств обмежені наявною системою державної статистичної звітності, зокрема укрупненням показників роботи та скороченням статистичної документації малих підприємств та підсобних господарств, що перебувають на балансі сільськогосподарських підприємств, нестабільністю їх діяльності. Тому аналіз роботи підприємств по заготівлі та переробці зерна ми здійснюватимемо на базі тих підприємств, які подають звітність до статичних органів у повному обсязі.
Структуру й асортимент продукції визначають можливості технологічного обладнання, через те аналіз господарської діяльності підприємств зернопродуктового підкомплексу розпочинають з вивчення матеріально-технічної бази даних підприємств.
Хлібоприймальні та зернопереробні підприємства потерпають від відсутності державного й приватного інвестування виробництва, що спричинює моральне та фізичне зношення технологічного устаткування, котре є обов'язковою умовою виробництва. Основною характеристикою основних фондів є структура, тобто процентне співвідношення окремих видів у загальній їх вартості. На початок 2003 р. на підприємствах хлібоприймальної і переробної
галузей у вартості виробничих основних фондів виробничі будівлі, споруди та передавальні пристрої займали 76,04%, машини й обладнання - 17,40%, транспортні засоби - 3,5%, інструменти, прилади, інвентар - 1,75, інші засоби (робоча і продуктивна худоба, малоцінні необоротні активи, інвентарна тара, предмети прокату) - 1,31 %.
Для нормального процесу виробництва потрібно, щоб коефіцієнт оновлення перевищував суму коефіцієнтів .вибуття і зносу. Зараз галузь зернопереробки переживає важкі часи і багато підприємств галузі припиняють свою виробничу діяльність. Так протягом 2001 р. у Тернопільській області припинили роботу Скалатський і Теребовлянський комбінати хлібопродуктів, Збаразьке хлібоприймальне підприємство. Тому співвідношення показників вибуття й оновлення складаються на користь перших, що характеризує негативну динаміку основних фондів заготівельних і зернопереробних підприємств області.
Таблиця 3.2.
Рівень зносу основних фондів на підприємствах по заготівлі та переробці ____________зеряя у Тернопільській області у 2001 і 2003 рокох____________
|
Назва підприємства |
Рівень зносу основних фондів, % |
|
|
2001 р. |
2003 р. |
|
|
Заліщицьке ХПП |
89,86 |
89,43 |
|
Лановецьке ХПП |
86,96 |
87,89 |
|
Підволочиське ХПП |
90,19 |
90,75 |
|
Козівське ХПП |
88,28 |
X |
|
Збаразьке ХПП |
68,8 |
69,36 |
|
Тернопількомбікорм |
45,98 |
46,35 |
|
Бережанська реалізаційна база |
50,12 |
X |
|
Борщівхлібопродукти |
76,74 |
X |
|
Зборівхлібопродукти |
78,31 |
79,57 |
|
В середньому по заготівельних підприємствах |
74,23 |
72,09 |
|
Бучацький КХП |
68,63 |
66,11 |
|
Хоростківський КХП |
71,83 |
73,49 |
|
Кременецький КХП |
56,42 |
95,91 |
|
Чортківський КХП |
57,21 |
60,06 |
|
Тернопільський КХП |
47,47 |
49,43 |
|
В середньому по зернопереробних підприємствах |
56,88 |
67,01 |
|
В середньому по заготівельних і зернопереробних підприємствах |
62,36 |
68,23 |
На підприємствах Тернопільського зернопродуктового підкомплексу протягом останніх років спостерігається падіння значення коефіцієнта динаміки, що характеризує поступове вибуття і зношення основних виробничих фондів без відповідного їх оновлення та заміни новим обладнанням. З табл. 3.2 видно, що за станом на 2003 p., фізична зношуваність основних фондів на підприємствах зернопродуктового підкомплексу в Тернопільській області становить майже 68%, а на окремих підприємствах цей показник сягає 90%.
У підвищенні ефективності функціонування основних виробничих фондів важливу роль відіграє наявність в оптимальних розмірах оборотних засобів -зерносировини, тари, тарних матеріалів, комплектуючих і запасних частин для виробничого обладнання, інших матеріалів, котрі при їх нормативних обсягах забезпечують нормальну роботу виробничого процесу.
Процес виробництва полягає у споживанні ресурсів підприємства (матеріальних, трудових, енергетичних, фінансових, інформаційних) та їх трансформації у готову продукцію, виконані роботи чи послуги для задоволення потреб споживачів й отримання прибутку. Місце виробничого процесу в кругообороті засобів підприємства можна показати схематично (рис. 3.1).

Рис. 3.1. Формування виробничо-економічних процесів на зернопереробному підприємстві
Як видно з наведеної схеми (рис.3.1.), різні види ресурсів споживаються у технологічному процесі, утворюючи субстанцію виготовленої продукції. Разом з тим, процес виробництва вимагає певної організації, тобто сполучення найоптимальнішим чином персоналу підприємства з матеріальними ресурсами за допомогою засобів виробництва і координації зусиль окремих підрозділів підприємства в досягненні спільної мети останнього - випуску продукції з найменшими витратами.
В Україні вся пшениця, м'яка й тверда, крім м'якої 6 класу, віднесена до продовольчої; при наявності в зерні клейковини понад 30% вважають, що таке зерно з високим вмістом клейковини, від 26% до 29% з - середнім, від 20% до 26% - нижчим від середнього і до 20% - низьким. За величиною питомого розтягу розрізняють три групи клейковини: міцну, нормальну та слабку.
На зернопереробних підприємствах виробництво продукції характеризується такими показниками: 52% з усього виробленого борошна становить борошно вищого сорту, 34% -першого сорту, 3,5% - борошно другого сорту 10,5% становить обойне та житнє борошно (рис. 2.18).
Аналізу динаміки якісного складу виробленого борошна на базі групування даних по виробництву борошна за окремими технологічними системами вияв деякі зміни у динаміці років (1999 - 2003 pp.). Аналіз показує, що на зернопереробних підприємствах Тернопільської області відбулося зменшення виручки від реалізації на 11932 тис. грн., у тому числі на 5672тис. грн. за рахунок зміни структури виробництва продукції
Системний аналіз показників економічної ефективності зернопродуктового підкомплексу АПК дає змогу оцінити результати виробництва, задіяти резерви підвищення ефективності та виявити фактори, що стримують процеси розвитку виробництва.
Аналіз і розрахунок собівартості - один з основних показників, котрим керуються при виборі економічних заходів щодо збільшення обсягів
виробництва, його інтенсифікації і підвищення рівня ефективності. Собівартість - це вартісний вираз грошово-матеріальних витрат і витрат на оплату праці при виробництві одиниці продукції або виконанні певної роботи. Для детальнішого вивчення собівартості аналізують її структуру - процентне співвідношення окремих елементів витрат до їх загальної суми. Структуру операційних витрат підприємств зернопродуктового підкомплексу АПК Тернопільської області подано у табл. 3.3.
Таблиця 3.3
Динаміка структури операційних витрат хлібоприймальних і зернопереробних _____підприємств зернопродуктового підкомплексу АПК Тернопільщини, %_____
|
Елементи операційних витрат |
2000 |
Р- |
2001 |
Р- |
2002 |
Р- |
2003 |
Р- |
|
зернопе-реробні |
заготівельні |
зернопе-реробні |
заготівельні |
зернопе-реробні |
заготівельні |
зернопе-реробні |
заготівельні |
|
|
Матеріальні затрати |
61,8 |
23,07 |
71,1 |
47,32 |
68,7 |
40,71 |
66,7 |
6,94 |
|
Витрати на оплату праці |
12,3 |
15,06 |
9,1 |
12,30 |
11,1 |
10,09 |
11,9 |
3,67 |
|
Відрахування на соціальні заходи |
4,6 |
5,88 |
3,5 |
4,68 |
4,0 |
3,02 |
4,5 |
9,63 |
|
Амортизація |
8,0 |
4,91 |
5,0 |
5,36 |
6,2 |
5,14 |
6,0 |
15,30 |
|
Інші операційні витрати |
13,3 |
51,09 |
11,3 |
30,34 |
10,0 |
41,04 |
10,9 |
64,45 |
Під реалізованою продукцією розуміють повністю відвантажену покупцеві готову продукцію, кошти від виручки якої поступили на рахунок підприємства. У загальному циклі кругообороту капіталу підприємства процес збуту займає останнє місце, але його значення від цього не менш важливе, ніж процесу постачання чи виробництва.
Процес збуту можна зобразити за допомогою рис. 3.2.

Рис. 3.2. Процес збуту на підприємствах зернопродуктового підкомплексу
Комплекс основних послуг хлібоприймальних і зернопереробних підприємств включає: приймання, зберігання і відпуск автомобільним або залізничним транспортом, додаткових операцій з обробки зерна: сушіння та очищення, а також переробку.
Частка прибутку від реалізації продукції (робіт, послуг) визначається як різниця між виручкою від реалізації продукції (робіт, послуг) за реалізаційними цінами, що склалися на ринку, та сумою витрат (повною собівартістю), що включається до реалізованої продукції (робіт, послуг). Реалізаційні доходи необхідно також зменшувати на суму податку на додану вартість і суму акцизного збору.
Прибуток від позареалізаційних операцій - сума коштів, одержаних підприємством від позареалізаційних операцій (доходи дід володіння корпоративними правами, проценти до одержання, інші позареалізаційні доходи), і зменшена на суму витрат на ці операції.
Характерним є те, що більшість хлібоприймальних і зернопереробних підприємств Тернопільського регіонального зернопродуктового підкомплексу АПК прибуткова. Серед підприємств зернопереробної галузі лише Кременецький комбінат хлібопродуктів у 2002 р. від виробничої діяльності одержав збиток.
Але, в середньому рентабельність зернопереробних підприємств у 2002 р. була дещо нижчою, ніж у попередні роки. На зменшення прибутку вплинули такі причини: збільшення собівартості продукції у зв'язку з підвищенням цін на всі види затрат, низька купівельна спроможність населення, а звідси -зменшення попиту і здешевлення переробними підприємствами відпускних цін для стимулювання збуту, а також збільшення переробки сировини на давальницькій основі. Все це стало наслідком зниження рентабельності виробництва (табл. 3.4).
Таблиця 3.4
Узагальнюючі показники ефективності роботи хлібозаготівельних ______і зернопереробних підприємств Тернопільської області________
|
Назва підприємства |
Прибуток (+), збиток (-) від реалізації товарної продукції, тис. грн. |
Рентабельність (+), збитковість (-) виробництва, % |
||||||
|
2000 р. |
2001 р |
2002 р. |
2003 р. |
2000 р. |
2001 р |
2002 р. |
2003 р. |
|
|
Заліщицьке ХПП |
3,2 |
84,5 |
76,9 |
84,8 |
0,1 |
7,3 |
5,3 |
6,8 |
|
Лановецьке ХПП |
-47,1 |
301,2 |
10,9 |
104,4 |
-5,2 |
42,7 |
5,7 |
36,6 |
|
Підволочиське ХПП |
269,0 |
889,1 |
35,2 |
77,6 |
79,6 |
627,9 |
8,4 |
37,0 |
|
Козівське ХПП |
163,0 |
-9,0 |
82,1 |
0,0 |
18,3 |
-2,5 |
205,3 |
X |
|
Збаразьке ХПП |
114,1 |
22,5 |
140,2 |
44,9 |
81,3 |
6,3 |
131,3 |
100,4 |
|
Тернопількомбікорм |
-75,0 |
36,1 |
73,0 |
43,0 |
-15,6 |
40,1 |
23,4 |
15,2 |
|
Бережанська реалізаційна база |
265,5 |
307,3 |
-54,3 |
X |
21,0 |
63,6 |
-11,5 |
X |
|
Борщівхлібопродукти |
426,1 |
202,4 |
65,3 |
X |
47,8 |
Г 54,7 |
37,9 |
X |
|
Зборівхлібопродукти |
18,4 |
231,8 |
163,9 |
48,3 |
1,1 |
12,7 |
11,2 |
44,6 |
|
Всього по заготівельних підприємствах |
1137,2 |
2065,9 |
593,2 |
403,0 |
12,3 |
37,6 |
12,8 |
18,6 |
|
Бучацький КХП |
747,0 |
1663,0 |
2508,0 |
2395,0 |
26,9 |
17,0 |
23,1 |
17,1 |
|
Хоростківський КХП |
127,5 |
16,0 |
18,8 |
175,4 |
12,8 |
3,8 |
12,3 |
38,3 |
|
Кременецький КХП |
1053,0 |
322,9 |
-279,5 |
-1265,8 |
68,3 |
18,9 |
-16,5 |
-88,1 |
|
Теребовлянський КХП |
345,0 |
-879,0 |
-725,8 |
X |
11,7 |
-41,0 |
-51,8 |
X |
|
Чортківський КХП |
2258,9 |
6273,1 |
2010,9 |
717,5 |
20,8 |
39,3 |
13,0 |
16,4 |
|
ТепчопІЛЬСЬКИЙ КХП |
1822,0 |
1494,0 |
18«7,? |
1060,0 |
31.7 |
17,7 |
24,4 |
20,8 |
|
Скалатський КХП |
-42,7 |
326,1 |
-3,2 |
X |
-3,1 |
^7,5 |
-1,1 |
X |
|
Всього по зернопереробних підприємствах |
6310,7 |
9216,1 |
5416,5 |
3082,1 |
24,0 |
22,8 |
14,4 |
12,1 |
|
Разом по зернопереробній і хлібоприймальній галузі |
7447,9 |
11282,0 |
6009, 7 |
3485,1 |
21,0 |
24,6 |
14,3 |
12,7 |
Перехід до ринкових методів господарювання вимагає запровадження механізму оцінення загрози настання кризового стану підприємства, коли підприємство змушене буде припинити господарську діяльність через неспроможність фінансового забезпечення процесу виробництва, тобто його банкрутство. Під банкрутством розуміють пов'язану з недостатністю активів у ліквідній формі неспроможність юридичної особи в установлені терміни задовольнити вимоги кредиторів і виконати зобов'язання перед бюджетом. Доволі важливим є діагностика загрози банкрутства ще на ранніх стадіях її
виникнення, тому розроблено комплекс методів оцінення загрози настання кризового стану і систему фінансових заходів щодо оздоровленню підприємства, тобто санацію.
Нами було проведено дослідження оцінення фінансового стану підприємств хлібоприймальної і зернопереробної галузей Тернопільської області. Для цього використовувалися методи інтегрального оцінення загрози банкрутства, що полягають в оцінюванні кредитоспроможності підприємств. "Модель Альтмана" — це функція імовірності банкрутства з п'яти факторів, скоригованих на величину коефіцієнтів значень окремих факторів, розраховуються на основі вивчення даних звітності - показників балансу та звіту про фінансові результати (табл. 2.32).
Розрахунки прогнозування ймовірності банкрутства (Пр) за методом Альтмана здійснюється за формулою:

де, К>об> - частка оборотних засобів в активах (робочий капітал / загальна вартість активів); К>ра> - рентабельність активів за чистим прибутком (чистий прибуток / загальна вартість активів); К>р> - рентабельність активів за балансовим прибутком (чистий дохід / загальна вартість активів); К>п> -коефіцієнт покриття власного капіталу (ринкова вартість акцій / сума заборгованості); К>в> - коефіцієнт віддачі всіх активів (обсяг продажу / загальна вартість активів).
Якщо Пр < 1,81 - ймовірність банкрутства дуже висока; 1,81 > П>р> <2,765 -ймовірність банкрутства середня; 2,765 > П>р> < 2,99 - ймовірність банкрутства невелика; П>р> > 2,99 - ймовірність банкрутства непомітна.
На основі декількох методик прогнозування банкрутства побудовано універсальну дискримінантну функцію, яка виражається формулою:

де Хі - cash-flow (грошові потоки) / зобов'язання; Х>2> - валюта балансу / зобов'язання; Х>3> - прибуток / валюта балансу; Х>4> - прибуток / виручка від реалізації; Х5 - виробничі запаси / виручка від реалізації; Х>6> - оборотність основного капіталу (виручка від реалізації / валюта балансу).
Розрахункові значення П>р> - показника оцінюють так: Пр > 2 -підприємство вважається фінансове стійким, йому не загрожує банкрутство; 1 < Пр < 2 - фінансова рівновага (фінансова стійкість) підприємства порушена, але за умови переходу на антикризове управління банкрутство йому не загрожує; 0 < П>р> < 1 - підприємству загрожує банкрутство, необхідні санаційні заходи; П>р> < 0 - підприємство є напівбанкрутом.
Таблиця 3.5.
Прогнозування ймовірності банкрутства підприємств по заготівлі та _____________переробці зерна у Тернопільській області у 2003 р.___________.
|
Назва підприємства |
Прогнозування ймовірності банкрутства за методом Альтмана |
Прогнозування ймовірності банкрутства за універсальною дискримінантною функцією |
|
Бучацький КХП |
ймовірність банкрутства непомітна |
підприємство фінансове стійке, йому не загрожує банкрутство |
|
Хоростківський КХП |
ймовірність банкрутства середня |
фінансова рівновага (фінансова стійкість) підприємства порушена |
|
Кременецький КХП |
ймовірність банкрутства середня |
підприємство є напівбанкрутом |
|
Чортківський КХП |
ймовірність банкрутства непомітна |
підприємство фінансове стійке, йому не загрожує банкрутство |
|
Тернопільський КХП |
ймовірність банкрутства непомітна |
підприємство фінансове стійке, йому не загрожує банкрутство |
|
Тернопількомбікорм |
ймовірність банкрутства непомітна |
підприємству загрожує банкрутство, необхідні санаційні заходи |
|
Заліщицьке ХПП |
ймовірність банкрутства середня |
фінансова рівновага (фінансова стійкість) підприємства порушена |
|
Лановецьке ХПП |
ймовірність банкрутства дуже висока |
фінансова рівновага (фінансова стійкість) підприємства порушена |
|
Козівське ХПП |
ймовірність банкрутства середня |
підприємство фінансове стійке, йому не загрожує банкрутство |
|
Збаразьке ХПП |
ймовірність банкрутства непомітна |
фінансова рівновага (фінансова стійкість) підприємства порушена |
|
Зборівхлібопродукти |
ймовірність банкрутства дуже висока |
фінансова рівновага (фінансова стійкість) підприємства порушена |
Основними напрямками підвищення економічної ефективності зернопереробної галузі в сучасних умовах є: модернізація виробництва, технічне переозброєння галузі, впровадження нового високопродуктивного обладнання; кваліфікаційно-кадрове та інформаційне забезпечення галузі; впровадження сучасних технологій виробництва продукції, що забезпечують ефективне використання сировини, збільшення загальних виходів продукції без зниження виходів високоякісної продукції; розробка і впровадження нових конкурентоспроможних видів продукції; удосконалення фінансово-кредитної системи, використання інвестицій.
Основними причинами зменшення обсягів виробництва продукції є насамперед не рівень господарювання, а звуження сировинної бази. Недосконала система заготівель сировини для переробки, низька купівельна спроможність населення та обумовлене цим зниження попиту на продукцію і затягування періодів реалізації продукції. Раціональне використання хлібних ресурсів також є однією з причин зменшення виробництва та реалізації кінцевої продукції зернопереробного підкомплексу, оскільки тепер хліб використовується тільки на продовольчі цілі.
3.2 Удосконалення системи ціноутворення на зерно
В умовах планової системи управління народним господарством ціноутворення на сільськогосподарську продукцію базувалося на концепції усередненої вартості. Завдяки державним закупівельним цінам досягалася штучна еквівалентність обміну між сільським господарством і галузями, що його обслуговують. Через регулювання цін вирішувалися проблеми раціонального розміщення виробництва, забезпечення встановлених обсягів заготівель продукції в державні ресурси, підвищення рівня доходності галузей рослинництва і тваринництва.
Для цього періоду розвитку АПК України була характерна затратна модель ціноутворення, коли ціни формувалися виходячи із вартості агросировини, витрат по транспортуванню, переробці, зберіганню і торгівлі в напрямку від товаровиробника до кінцевого споживача, без урахування попиту на продукцію і можливостей її реалізації. Головною особливістю ринкових економічних відносин є чітке усвідомлення необхідності виробляти лише те, що можна продати з найбільшим ефектом. Економічний зміст протизатратної системи ціноутворення передбачає формування ціни у зворотньому напрямку -від роздрібної ціни продуктів харчування, яка сформована під впливом попиту і пропозиції, до ціни на відповідну сировину.
Об'єктивна необхідність державного регулювання цін на сільськогосподарську продукцію підтверджується досвідом розвинутих країн. Базуючись на ринковій концепції ціноутворення, основою якої є конкуренція, попит та пропозиція, сучасні системи регулювання цін на продукцію фермерських господарств одночасно передбачають активний державний вплив на цей процес за допомогою низки економічних важелів.
За існуючими оцінками, близько 75% обсягів сільськогосподарської продукції, що реалізується на внутрішньому ринку Європейського Союзу, перебуває у сфері державних заходів підтримки доходів товаровиробників та захисту від конкуренції з боку інших країн. За даними Організації економічної співпраці та розвитку (ОЕСР), у зв'язку із загальносвітовим зниженням цін на агропродукцію та необхідністю забезпечення стабільності отримання фермерських доходів у 29 державах - членах цієї організації субвенції агропромисловому сектору у середньому за 1996-1998 pp. досягай майже 259 млрд. дол., або 33% загальної вартості сільськогосподарської продукції.
В Україні до 90-х років державна підтримка сільського господарства становила близько 30% вартості кінцевого продукту за рахунок державно-підтримуючих цін при держзамовленні, дотацій і неповернених кредитів. У 1998-1999 pp. цей показник зменшився до 10-15%, і у найближчі роки слід очікувати мінімального рівня державної бюджетної підтримки аграрного сектора економіки.
У країнах з розвинутим сільськогосподарським ринком держава відіграє вирішальну роль у встановленні механізмів регулювання виробництва і продажу продукції. Наприклад, у США до 60% обсягів зерна реалізується через регульовані канали збуту. Провідні за виробництвом зерна країни світу сформували ефективні системи державного регулювання розвитку зернового господарства, основою яких є значне бюджетне фінансування. Зокрема, у країнах ЄС витрати на підтримку зернової галузі зросли з 5,5 млрд. екю у 1992 р. до 9,7 млрд. екю у 1995 р. Завдяки послідовній державній підтримці товаровиробники мають можливість забезпечувати необхідний рівень доходності, застосовувати новітню техніку і прогресивні технології, здійснювати структурну перебудову галузі з урахуванням зміни кон'юнктури внутрішнього та зовнішнього ринків.
Базуючись на спільних принципах, цінові механізми підтримки агротоваровиробників у кожній країні мають специфічні особливості. Наприклад, у США регулювання доходів фермерів залишається головним напрямом впливу на зерновий ринок і здійснюється через спеціальні державні програми. У зерновій галузі діють програми фермерського резерву, товарно-кредитної корпорації, стимулювання експорту та ряд інших. Спеціальними федеральними програмами охоплено близько 90% площ зернових культур.
Відомо, що у США з 1933 р. до середини 90-х років існували два види фермерських цін: заставні та цільові. Основу системи цінового регулювання становили заставні операції Товарно-кредитної корпорації (ТКК). Заставні ціни виконували функцію гарантованих цін. Вони захищали фермерів від ринкових цінових коливань і забезпечували мінімально необхідний рівень доходів від реалізації сільськогосподарської продукції.
Заставні операції ТКК передбачали надання фермерам кредиту під заставу продукції, сума якого визначалася її обсягами та рівнем заставних цін. У випадку зниження ринкових цін фермери могли передавати заставлену продукцію у власність ТКК. При цьому заставна ціна ставала ціною реалізації. Проте, якщо рівень ринкових цін був вищим від заставних, фермери мали можливість одержати заставлену продукцію, повернути позичку та проценти і вільно реалізувати продукцію. Заставні ціни встановлювалися на основі середньоринкових цін за останні 5 років. Так, по кормовому зерну і пшениці відношення заставних до середньоринкових цін досягало близько 80%.
Не менш важливу роль відігравали й цільові ціни, які не функціонували на ринку, а використовувалися для розрахунку компенсаційних цінових надбавок. Останні визначалися як різниця між цільовою ціною і ринковою ціною (або заставною ціною, якщо продукція реалізовувалася через ТКК). Наприклад, у 1995-1996 сільськогосподарському році заставна ціна пшениці становила 90 дол./т, середня ринкова ціна -131, цільова ціна - 147, отже рівень дотації дорівнював 16 дол./т. Таким чином, заставні ціни слугували інструментом регулювання ринкових цін ( і через ціни - доходів), а цільові -безпосередньо доходів фермерів.
За новим Федеральним законом щодо реформ та удосконалення сільського господарства (1996 р.) попередня система цінової підтримки товаровиробників, що ґрунтувалася на використанні цільових цін та компенсаційних платежів, замінена рядом річних виплат, рівень яких не пов'язаний з поточними ринковими цінами або обсягами виробництва. Одним із основних напрямків підтримки фермерів стає надання безповоротних маркетингових позичок при реалізації сільськогосподарської продукції та позичкових компенсаційних платежів для певних культур.
При цьому річна сума виплат по всіх контрактних платежах не повинна перевищувати 80 тис. дол. у розрахунку на одне фермерське господарство. Право на одержання коштів із федерального бюджету мають фермери, які уклали з Міністерством сільського господарства контракти на виробництво продукції у 1996-2002 pp. Крім того, вони зобов'язуються відводити 85% посівних площ під сільськогосподарські культури, які охоплені спеціальними програмами (пшениця, кормове зерно, рис, деякі бобові та інші). Решту 15% ріллі фермери можуть використовувати на власний розсуд.
Важливе місце в системі регулювання цін і доходів фермерів належить контролю за динамікою витрат на виробництво сільськогосподарської продукції, який здійснює Міністерство сільського господарства США. Головна мета розрахунків полягає у визначенні рівня покриття цінами витрат, платежів та відрахувань, тобто встановлення, якою мірою ринкові ціни разом із прямими урядовими виплатами можуть відшкодувати фермерам витрати на виробництво сільськогосподарської продукції.
У рамках вивчення динаміки цін по 160 видах аграрної продукції в цілому по країні визначаються паритетні фермерські ціни реалізації. Паритетна - це така ціна, яка дозволила б придбати за певну кількість проданої сільськогосподарської продукції стільки предметів споживання, засобів виробництва та послуг, скільки можна було це зробити у 1910-1914 pp. Наприклад, у 1996 р. порівняно з 1995 р. середньоринкова ціна пшениці знизилася із 167,28 до 158,09 дол./т, або на 5,5%, а паритетна ціна -підвищилася із 313,97 до 330,15 дол./т, або на 5,2% [122, с580]. У результаті співвідношення між паритетною та середньоринковою ціною збільшилося із 1,88 до 2,09.
Основним елементом державних аграрних програм у країнах ЄС є проведення уніфікованої цінової політики. З кінця 60-х і до середини 80-х років ціни підтримки були єдиними для всіх держав і встановлювалися на рівні, що перевищував світовий. Високі ціни підтримки сприяли виробництву надлишків сільськогосподарської продукції, які експортувалися за низькими субсидованими цінами. Рівень експортних субвенцій становив близько 30% вартості продовольства, що надходило на зовнішні ринки.
Для окремих видів продукції встановлюються інтервенційні та цільові ціни. Інтервенційна - це мінімальна гарантована ціна продажу, яка забезпечується товаровиробникам. Фізичні інтервенції запобігають падінню цін внутрішнього ринку нижче рівня інтервенційної ціни. Наприклад, інтервенційна ціна 1 т пшениці у 1995-1996 сільськогосподарському році становила 128 дол., а компенсаційні виплати - 58 дол./т .
Отже, короткий огляд зарубіжного досвіду ціноутворення на зерновому ринку дозволяє сформулювати ряд висновків щодо його практичного використання в умовах України. По-перше, розроблення і реалізація цінової політики залишається прерогативою держави. По-друге, основою системи ціноутворення на зерно та продукти його переробки виступають ринкові ціни як вирішальний чинник балансу попиту і пропозиції. По-третє, ціни на продукцію різних агропідкомплексів мають забезпечувати рівні умови для розширеного відтворення. По-четверте, враховуючи значні бюджетні витрати в розвинутих країнах на реалізацію програм державної цінової підтримки товаровиробників, в Україні доцільно орієнтуватися насамперед на некапіталоємні важелі побудови ефективної системи ціноутворення в аграрному секторі економіки.
Незважаючи на це, відсутність досвіду прийняття оптимальних рішень в ринкових умовах, недостатня поінформованість товаровиробників, нерозвиненість ринкової інфраструктури та ряд інших причин значною мірою зумовлювали диференціацію цін реалізації зернових культур за різноманітними маркетинговими каналами збуту (табл. 3.5).
Динаміка і співвідношення цін реалізації зернових культур за маркетинговими каналами ____________в сільськогосподарських підприємствах Тернопільської області___________
|
в тому числі за каналами збуту |
|||||
|
Показники |
Всього по обсягу реалізації |
заготівельним організаціям |
на ринку |
населенню через систему громадсь-кого харчування та в рахунок оплати праці |
за бартерни-ми угодами |
|
1997 р., грн. за 1 т |
194,0 |
251,1 |
189,0 |
136,7 |
193,8 |
|
У % до: України середньої ціни |
110,2 100,0 |
115,9 129,4 |
107,4 97,4 |
104,4 70,5 |
107,8 99,9 |
|
1998 р., грн. за 1 т |
152,1 j |
165,0 |
154,8 |
136,8 |
157,4 |
|
У % до: України |
98,6 |
95,3 |
98,2 |
104,1 |
96,9 |
|
ціни 1997 р. |
78,4 |
65,7 |
81,9 |
100,1 |
81,2 |
|
середньої ціни |
100,0 |
108,5 |
101,8 |
89,9 |
103,5 |
|
1999 р., грн. за 1 т |
195,0 |
203,7 |
207,1 |
173,3 |
199,9 |
|
У % до: України |
97,3 |
95,5 |
96,6 |
99,1 |
95,8 |
|
ціни 1998 р. |
128,2 |
123,5 |
133,8 |
126,7 |
127,0 |
|
середньої ціни |
100,0 |
104,5 |
106,2 |
88,9 |
102,5 |
|
2000 р., грн. за 1 т |
409,4 |
414,7 |
434,7 |
382,8 |
401,6 |
|
У % до: України |
92,2 |
84,6 |
91,3 |
97,3 |
87,3 |
|
ціни 1999 р. |
209,9 |
203,6 |
209,9 |
220,9 |
200,9 |
|
середньої ціни |
100,0 |
101,3 |
106,2 |
93,5 |
98,1 |
В Україні у 1997 р. ціна реалізації зерна заготівельним організаціям перевищувала середню ціну по всьому обсягу продажу на 23,0%, ціна реалізації на ринку становила 81,3% від ціни заготівельних організацій, а за бартерними угодами - відповідно 83,0 % . Ще більшою диференціація цін на зерно була в Тернопільській області, хоча в цілому по регіону у розрізі маркетингових каналів ціни перевищували середні значення в Україні (на 4,4-15,9%).
Особливо несприятливим у ціновому відношенні для зернового господарства був 1998 р. Незважаючи на зростання цін покупних матеріально-технічних ресурсів на 11% проти 1997 p., середня ціна продажу зернових культур в Україні знизилася на 12,4%, у тому числі при реалізації заготівельним організаціям - на 20,1 %.
Цінова ситуація на зерновому ринку суттєво змінилася у 2000 p., коли порівняно з 1999 р. середня ціна 1 т зерна по всьому обсягу реалізації в сільськогосподарських підприємствах області зросла у 2,1 раза і становила 409,4 грн. Найвищим темп приросту ціни на зернові культури спостерігався при реалізації населенню - 120,9%, а найнижчим - 100,9% - за бартерними угодами (див. табл. 3.5).
В цілому обсяги та структура реалізації зернових культур за видами і маркетинговими каналами залежать як від обсягів виробництва продукції, так і цінової ситуації на ринку. Разом з тим, товарна пропозиція на зерно окремих культур впливає на рівень і динаміку цін (табл. 3.6).
Отже, в цілому по зернових культурах вищими від середньозваженої ціни були ціни реалізації споживчій кооперації (на 47,1%), зарубіжним країнам (13,8%), на ринку (6,2%), заготівельним організаціям (1,3%), а нижчими - відповідно за бартерними угодами (1,9%) і населенню через систему громадського харчування та в рахунок оплати праці (6,5%).
Таблиця 3.6
Співвідношення цін реалізації зернових культур за маркетинговими каналами в сільськогосподарських підприємствах Тернопільської області у 2000 р.
|
Зернові культури |
Серед- |
Коефіцієнти співвідношення по каналах реалізації |
|||||
|
ня ціна 1 т, грн. |
заготівельним організаціям |
спожив-кооперації |
на ринку |
населенню |
за бартерними угодами |
зарубіжним країнам |
|
|
Всього |
409,4 |
1,013 |
1,471 |
1,062 |
0,935 |
0,981 |
1,138 |
|
втому числі: |
|||||||
|
пшениця |
554,0 |
1,056 |
1,180 |
1,032 |
0,938 |
1,043 |
- |
|
жито |
444,9 |
1,086 |
1,094 |
0,992 |
0,971 |
0,981 |
- |
|
просо |
311,1 |
0,942 |
- |
0,930 |
1,121 |
1,010 |
- |
|
гречка |
735,0 |
1,034 |
0,748 |
1,010 |
0,996 |
0,978 |
- |
|
кукурудза |
366,1 |
0,948 |
- |
1,098 |
0,891 |
0,939 |
1,272 |
|
ячмінь |
360,2 |
1,060 |
- |
1,055 |
0,947 |
0,998 |
- |
|
овес |
307,4 |
0,990 |
- |
1,009 |
1,049 |
0,958 |
- |
|
зернобобові |
588,6 |
0,880 |
- |
1,056 |
0,901 |
0,971 |
- |
|
інші зернові культури |
299,9 |
0,818 |
1,000 |
0,958 |
1,098 |
З об'єктивних причин, головною серед яких є неоднаковий рівень середньодушового виробництва та споживання зерна і продуктів його переробки, суттєвою залишається диференціація цін на зернові культури в регіональному аспекті (табл. 3.7).
З наведених в табл. 3.7 даних можна зробити висновок, що у 1999 р. в сільськогосподарських підприємствах Тернопільської області ціни на основні зернові культури були дещо нижчими від середніх цін в Україні. Аналогічна тенденція спостерігалася і у 2000 p., але за рахунок кращої якості регіональні ціни на пшеницю та зернобобові культури перевищили середньодержавний рівень відповідно на 13,8 і 2,4%.
Таблиця 3.7
Співвідношення цін реалізації зернових культур по всіх каналах внутрішнього позабіржового ринку в областях України у 2003 р._______
|
Культури |
Україна |
Тернопільська область |
|||||
|
ціна, грн. за 1т |
максимальна до середньої, % |
мінімальна до середньої,% |
максимальна до мінімальної, % |
коефіцієнт варіації, % |
ціна, грн. за 1т |
у % до України |
|
|
Зернові культури - всього |
200,4 |
131,2 |
85,0 |
154,3 |
12,8 |
195,0 |
97,3 |
|
в тому числі: пшениця |
200,4 |
139,7 |
88,1 |
158,6 |
13,3 |
194,9 |
97,3 |
|
жито |
180,6 |
128,3 |
83,9 |
152,8 |
12,8 |
156,1 |
86,4 |
|
ячмінь |
175,1 |
148,7 |
80,5 |
184,7 |
17,8 |
164,2 |
93,8 |
|
кукурудза |
251,0 |
296,8 |
74,8 |
396,7 |
46,5 |
225,9 |
90,0 |
|
гречка |
596,5 |
125,2 |
73,4 |
170,4 |
11,6 |
592,6 |
99,3 |
Зміна цінової політики держави дозволила зробити суттєвий крок у напрямку розв'язання проблеми диспаритету цін та підвищення рівня фінансової самодостатності галузі. Крім того, створені можливості для нарощування експортних ресурсів зерна за умови забезпечення продовольчого, насіннєвого і фуражного балансів окремих регіонів і держави в цілому.
Протягом останніх років одночасно із зменшенням валових зборів спостерігається погіршення якості зерна. Так, у 1997 р. було закуплено 924 тис. т цінних сортів пшениці, або 34,4% всіх закупок, тоді як у 1991 р. -близько 5,2 млн. т, що становило 65,8% [24, с.389]. У господарствах зони Лісостепу ця частка скоротилася відповідно з 58,0 до 49,4%. Погіршення якості відбувається й по інших зернових культурах. На зниження продовольчої цінності і здатності до тривалого зберігання зерна негативно впливають такі чинники, як порушення гумусного балансу ґрунту, розтягування строків збирання урожаю, значне ураження зернових культур шкідниками і хворобами, вилягання та забур'яненість посівів, незадовільна первинна доробка збіжжя. В умовах ринкової конкуренції вирощувати низькоякісне зерно стає невигідним, оскільки це позначається на зниженні цін, а відтак, і зменшенні доходів товаровиробників. Районовані на території України сорти пшениці за умови дотримання сортової агротехніки дозволяють збирати високі врожаї зерна, споживні характеристики якого здатні забезпечити виробництво високоякісних хліба, круп, макаронних виробів.
У зв'язку з цим потребує удосконалення система управління якістю зерна на регіональному рівні за рахунок здійснення комплексу агрономічних та організаційно-економічних заходів, спрямованих на збільшення обсягів виробництва високоякісної продукції.
Для розв'язання проблеми створення економічних передумов стабільного розвитку зернопродуктового та інших підкомплексів аграрного сектора в Україні формується законодавча і нормативна база щодо державної підтримки товаровиробників незалежно від форм власності та організації виробництва. Зокрема, Указом Президента України від 29.06.2000 р. "Про невідкладні заходи щодо стимулювання виробництва та розвитку ринку зерна" визначені напрямки посилення ролі держави у забезпеченні наповнення та функціонування вітчизняного зернового ринку, раціонального використання ресурсів зерна з метою запобігання стихійних змін кон'юнктури, невиправданих обсягів експорту, значного зростання цін на зерно та продукти його переробки.
Підкреслюється необхідність здійснення заставних закупівель зерна як важливого механізму підтримки сільгосптоваровиробників та оптимізації цінової динаміки на ринку. Постановою Кабінету Міністрів України від 21.07.2000 р. №1141 "Про впровадження заставних закупівель зерна у сільськогосподарських виробників" визначено, що рівень заставних цін повинен враховувати кон'юнктуру вітчизняного та світового ринку.
Розрахована на 2000 p. заставна ціна пшениці 3 класу становила 420 грн./т (без урахування ПДВ). Проте високий рівень внутрішніх цін на зернові культури у 2000/2001 маркетинговому році обумовив відсутність необхідності практичного впровадження механізму заставних закупівель.
На період з 1.07.2001 р. до 1.07.2002 р. заставні ціни на зернові культури визначені постановою Кабінету Міністрів України від 23.04.2001 р. №371 "Про встановлення заставних цін на основні зернові культури".
Для проведення закупівель зерна за заставними цінами передбачається залучення кредитних ресурсів комерційних банків з компенсацією ставок за рахунок бюджету у розмірі 70% облікової ставки НБУ на день укладання кредитної угоди.
Незважаючи на існування механізму заставних закупівель зерна, проблема стабільності системи ціноутворення залишається. Зокрема, в Україні практично відсутні строкові контракти - опціони, ф'ючерси, за якими стабілізуються ціни на зерновому ринку розвинених країн задовго до збирання врожаю.
Ефективність економічних відносин між суб'єктами зернопродуктового підкомплексу значною мірою залежить від збалансованого розвитку усіх сфер інтегрованої системи, забезпечення раціонального співвідношення між цінами і доходами партнерів виробничого ланцюгу проходження продукції від товаровиробника до споживача.
Для створення умов еквівалентності економічних відносин між виробниками сировини і переробними підприємствами рівень цін має формуватися за єдиною методологією - на основі концепції ціни виробництва, що дозволить отримувати всіма партнерами рівновеликого прибутку на авансований капітал.
3.3 Удосконалення механізму міжгалузевих економічних зв'язків у зернопродуктовому підкомплексі АПК
Ефективність зернового підкомплексу визначається раціональністю інтеграційних зв'язків між різними ланками даного підкомплексу, котрі забезпечують гармонійне формування зернового потоку. Руйнування командно-адміністративної системи регулювання економіки спричинило розриви названих зв'язків і порушення роботи усього АПК.
Відносини між елементами зернопродуктового підкомплексу України відрізняються від інших підкомплексів АПК, оскільки зернова продукція характеризується високою лежкістю і тривалим зберіганням, доволі транспортабельна. Все це обумовило кількаразову ступеневість реалізації, перепродаж зерна, що в свою чергу спричинило подорожчання кінцевої продукції підкомплексу, хоча це не позначається на прибутках сільськогосподарських виробників. Разом з тим, обмежені можливості для тривалого зберігання зерна безпосередньо товаровиробниками, очікування сприятливішої кон'юнктури ринку змушує сільськогосподарських товаровиробників користуватися послугами монополізованих підприємств першої і третьої сфер АПК та агросервісу. Внаслідок цього між партнерами АПК виникають протиріччя, що виливаються у диспаритет цін на промислову та сільськогосподарську продукцію, а найбільше збитків від цього зазнає зернове господарство.
Диспаритет виявився однією з головних причин, які унеможливлюють ресурсне забезпечення зернової галузі на рівні прогресивних технологій, а отже, і зниження собівартості зерна. Зокрема, якщо у 1990 році для придбання трактора Т-150К необхідно було реалізувати 37,8 тонн зерна, то у 2002 році у 11,6 разів більше (табл. ЗЛО).
Таблиця 3.10 Співвідношення цін на техніку та зерно__________________
|
Технічний засіб і марка |
Кількість зерна, необхідного для придбання одиниці техніки, т |
Збільшення обсягів зерна, необхідного для придбання одиниці техніки, разів. 1990 р.=1 |
|||||||
|
1990 |
1996 |
1998 |
2000 |
2002 |
1996 |
1998 |
2000 |
2002 |
|
|
Трактор Т-150К |
37,8 |
297,3 |
454 |
235,7 |
440 |
7,9 |
12,0 |
6,2 |
11,6 |
|
Трактор ПМЗ-6АЛ |
14,1 |
79,3 |
82,3 |
73,6 |
123,2 |
5,6 |
5,8 |
5,2 |
8,7 |
|
Зернозбиральний комбайн СК-5 "Нива" |
34,2 |
345,3 |
486,3 |
383 |
556,8 |
10,1 |
14,2 |
11,2 |
16,3 |
|
Автомобіль КАМАЗ |
48,4 |
300,9 |
450,7 |
210,6 |
364,2 |
6,2 |
9,3 |
4,4 |
7,5 |
|
Бензин автомобільний |
0,6 |
3,1 |
5,1 |
3,6 |
5,1 |
5,2 |
8,5 |
6,0 |
8,5 |
|
Дизпальне |
0,2 |
2,7 |
4 |
3 |
4,6 |
13,5 |
20,0 |
15,0 |
23,0 |
Недосконалість стандартної системи і відсутність належних умов для визначення якісних показників зерна негативно впливає як на зерновиробничу, так і на переробну галузі. Використання сьогоднішньої системи класифікації якості зерна в Україні приводить до того, що виробники при реалізації втрачають від 6% до 15% вартості фуражного зерна визначеного класу. Інакше кажучи, при введенні в Україні системи класифікації якості зерна, наближеної до міжнародної, близько 20 - 30% фуражного зерна, зокрема пшениці, буде класифікуватися як продовольче, оскільки по кількості білка, що міститься, за міжнародними стандартами воно таким і є. За рахунок цього вартість зерна і буде збільшена. Негативним явищем вважаємо посилення залежності галузі виробництва зерна від монополізованих елементів інфраструктури зернового господарства.
Як наслідок, стосунки між виробниками зерна та заготівельними й переробними галузями через незбалансованість їх інтересів мають конфронтаційних характер. Тому подальший розвиток міжгалузевих зв'язків мусить відбуватися в умовах еквівалентного обміну результатами виробничої діяльності різних галузей зернопродуктового підкомплексу, збалансованості попиту та пропозиції, рівнозначності всіх форм господарювання і їх однакових можливостей розвитку, застосування до підприємств, поєднаних технологічним процесом, однакових правил "гри", орієнтації на вимоги споживача при виборі виду економічної діяльності та оціненні результатів роботи.
Для підвищення ефективності виробництва в зернопродуктовому підкомплексі важливим є механізм взаємодії виробників сировини - зерна та переробних підприємств, котрий повинен будуватися на основі створення агропромислових інтеграційних формувань. Міжгалузева кооперація підприємств і галузей по виробництву, зберіганні, переробці, транспортуванні, реалізації зернових допоможе забезпечити єдність й безперервність технологічного ланцюжка, раціональніше використання сировини, сприятиме скороченню втрат і витрат на кожній стадії виробництва, підвищенню ефективності роботи всього агропромислового формування, забезпечить справедливий розподіл кінцевих результатів господарської діяльності між окремими учасниками інтеграції відповідно до їх реальних вкладів у загальногосподарські результати.
Для досягнення високих кінцевих результатів велике значення має подолання відособленості функціонально та технологічно поєднаних галузей з виробництва кінцевих продуктів споживання. У ринковій економіці подальшого розвитку набуває міжгосподарська та внутрігосподарська інтеграція на базі наявних і нових агропромислових господарських формувань. Проте при переході до ринкової економіки змінюється механізм регулювання інтеграційними процесами, оскільки державне централізоване втручання в інтеграційні відносини суперечить ринковим методам управління економікою. Тому на даному етапі важливо виробити методи і форми інтеграції, які б відповідали новій економічній ситуації.
Економічною передумовою інтеграції найчастіше є спільність завдань щодо виробництва одного виду кінцевого продукту, тобто єдиний технологічний процес, реалізація економічних інтересів учасників інтегрованих об'єднань, а визначальними факторами доцільності їх створення є раціональність використання сировини, збалансованість і ритмічність функціонування зернопродуктового підкомплексу та націленість на задоволення потреб споживачів. Інтегровані структури успішно застосовують сівозміни, потужну техніку та сучасні технології, переваги концентрації, спеціалізації, інтеграції і регіональної диверсифікації виробництва.
Ефективність роботи інтегрованих об'єднань визначається рівнем раціональності та досконалості міжгалузевих економічних відносин і їх відповідністю законам вільної конкуренції. Економічні взаємовідносини між партнерами господарського об'єднання регулюються Законами України "Про власність", "Про підприємство", іншими законодавчими актами і повинні будуватися на принципах самостійності у ціноутворенні, плануванні та здійсненні ними виробничої діяльності, самоокупності та самофінансування^ економічної зацікавленості та відповідальності. При цьому держава створює рівні можливості для економічного та соціального розвитку підприємств незалежно від їх організаційних форм.
Інтеграція сільськогосподарських і промислових підприємств як процес, прямо протилежний суспільному поділу праці, здійснюється на двох рівнях - міжгосподарському та внутрігосподарському. У першому випадку йдеться про взаємозв'язок технологічно поєднаних галузей і підприємств з виробництва сировини, її заготівлі та переробки, зберігання, транспортування, збуту та виготовлення засобів виробництва для агропромислового виробництва, їх технічного та сервісного обслуговування, а також фінансово-кредитного забезпечення. На рівні підприємства відбувається внутрігосподарська інтеграція на основі поєднання різних типів виробництв для згладжування сезонності, розширення джерел отримання прибутку, зростання власних виробничих потужностей. Удосконалення внутрігосподарських технологічних зв'язків сприяє зростання ефективності виробництва.
Горизонтальною інтеграцією вважають створення великих підприємств на основі об'єднання засобів, виробничих потужностей, робочої сили окремих спеціалізованих підприємств і виробництв з метою підвищення темпів зростання виробництва та поліпшення якості продукції, що випускається, підвищення ефективності виробництва на базі раціональнішого використання матеріальних, земельних і трудових ресурсів. Горизонтальна інтеграція забезпечує поглиблення спеціалізації окремих ланок технологічно поєднаних процесів і не приводить до розширення чи переорієнтації виробничої діяльності даних підприємств.
Залежно від завдань, що ставлять перед собою кооперовані підприємства, горизонтальну інтеграцію можна розглядати в аспектах: виробничому, фінансово-кредитному, освітньо-консультативному, соціальному.
Виробнича спрямованість горизонтальної інтеграції проявляється у міжгосподарській кооперації підприємств в одній і тій же галузі та сфері діяльності. Це дає можливість створити великі спеціалізовані підприємства із застосуванням у виробничому процесі сучасних технічних інновацій, індустріальних методів і прогресивних технологій. Об'єднання окремих спеціалізованих підприємств, котрі виконують певні функції у загальному процесі виробництва, також є формою горизонтальної виробничої інтеграції. Прикладом такої інтеграції є створення групою сільськогосподарських підприємств єдиної матеріально-технічної бази для спільного використання техніки та транспорту, проведення будівельних і меліоративних робіт.
В умовах переходу до ринкової економіки склалася невиправдана ситуація скорочення кооперації підприємств у сфері виробничого обслуговування, а також у позавиробничій сфері щодо створення спільних оздоровчих, дошкільних і культурно-побутових закладів, шкіл, будинків відпочинку, підприємств громадського харчування, що обслуговують сільське населення незалежно від сфери їх трудової діяльності. Для раціоналізації виробничої діяльності необхідно створити для робітників такі умови, які б забезпечували їх ефективну трудову діяльність, зміцнювали здоров'я, сприяли відтворенню робочої сили. Розвиток соціальної інфраструктури на селі багато в чому залежить від підтримки держави, проте дієвим засобом вирішення соціальних завдань може бути міжгосподарська кооперація підприємств із створенням спільного фонду фінансування соціальних питань, що забезпечить нормальний розвиток соціальної інфраструктури, підвищення якості та кількості наданих послуг.
Фінансово-кредитний напрямок горизонтальної інтеграції відносно новий для економіки України, тому для його ширшого запровадження слід керуватися досвідом роботи кредитних корпорацій зарубіжних країн. Метою цього напрямку вертикальної інтеграції є "акумуляція вільних коштів її учасників і надання окремим з них кредитних послуг" на принципах платності, поверненості та строковості використання. [132, 200]. За повідомленням даного джерела розвиток цього виду кооперації повинен ґрунтуватися на загальних ринкових засадах, тобто метою надання позики повинно бути отримання прибутку, що заохочуватиме позикоодержувачів до ефективного використання кредиту та його максимально швидкого повернення.
Освітньо-консультаційна інтеграція спрямована на прискорення запровадження у виробництво досягнень науки і передового досвіду, що сприяє індустріалізації господарства та підвищенню продуктивності праці. Проявляється вона у формі агропромислового об'єднання в результаті інтеграції сільськогосподарських і промислових підприємств з науковими установами за галузевою або зональною ознакою. Так, науково-виробничі об'єднання з селекції і насінництва, племінної справи, виробництва окремих видів спеціальної продукції, інші аналогічні об'єднання створюються за галузевою ознакою залежно від обсягів виробництва та розташування спеціалізованих господарств.
Вертикальна інтеграція полягає в органічному поєднанні промислових та сільськогосподарських галузей і відбувається за трьома напрямками: виробничим, маркетинговим та комплексним.
В основі виробничої інтеграції лежить спільність інтересів стосовно виробництва кінцевого продукту, що виражається у єдності технологічного процесу просування сировини від однієї виробничої фази до іншої. Метою виробничої інтеграції є запровадження у виробництво прогресивних, ресурсозберігаючих і безвідходних технологій, що дасть змогу виробляти конкурентоспроможну продукцію зернопродуктового підкомплексу АПК.
Передумовою маркетингової вертикальної інтеграції є забезпечення ефективної збутової діяльності та сервісного обслуговування зернопродуктового підкомплексу. Об'єктивні умови ринкового господарства, що полягають у самостійності товаровиробників у їх комерційній діяльності, ціноутворенні та ресурсозабезпеченні, зумовлюють необхідність пристосування виробництва до вимог ринку та потреб споживачів. Тому становлення і розвиток маркетингової інтеграції є важливим елементом сучасних ринкових відносин.
З метою досягнення найкращих результатів, підвищення прибутковості виробництва функції обох попередніх напрямків вертикальної інтеграції необхідно розв'язувати комплексно. Організаційною формою поєднання технологічних функцій сільського господарства, промислових та обслуговуючих, збутових і постачальницьких галузей є комплексна інтеграція підприємств зернопродуктового підкомплексу. Переваги даної форми інтеграції - замкнутість виробничого циклу у рамках єдиної агропромислової структури, тобто єдиного господарюючого суб'єкта. Просування сировини за технологічним процесом без посередників дає змогу не тільки забезпечити безперервність виробничого процесу збалансувати та оптимізувати його, а й здешевити виробництво кінцевої продукції, оскільки вилучаються додаткові витрати на пошук і доставку сировини, зменшується податкове навантаження на готовий продукт через усунення перепродажу проміжних продуктів і включення у їх вартість податку на прибуток і ПДВ. На основі оцінення реальних внесків і затрат на виробництво готового продукту можна забезпечити більш справедливий розподіл кінцевих результатів між партнерами інтеграційного процесу, що сприятиме нормалізації пропорцій обміну як між галузями зернопродуктового підкомплексу, так і, між ланками народного господарства.
Прикладом вертикальної інтеграції є холдинг "Укрзернопром", до складу якого входять ЗО розташованих на території України підприємств борошномельної, хлібопекарської галузей, а також птахофабрики з вирощування курей-несучок.
Сьогодні у зернопродуктовому підкомплексі АПК проблемою номер один є врегулювання цінової політики на базі паритетного розподілу прибутків між виробниками, заготівельними, переробними та торговельними організаціями, оскільки сільське господарство опинилося у гірших умовах, ніж промисловість.
Скорочення рівня підтримки сільського господарства державою може призвести до негативних наслідків не лише аграрної сфери, й економіки України загалом. Сьогодні в Тернопільській області лише 132 підприємства із 504, котрі подавали звітність до Тернопільського обласного управління сільського господарства і продовольства, закінчили рік з прибутками, тоді як 74% сільгосппідприємств області збиткові. (У 2001 р. це співвідношення становило - 49% - прибуткові підприємства, 51% - збиткові). Крім цього, індекси цін на зернові культури, борошно, крупи та бобові були негативними і становили відповідно 79%, 87%, 94,6%. Тоді як індекс цін виробників промислової продукції для сільського господарства, зокрема сільськогосподарських машин, збільшився на 11,4%.
Економічна діагностика діяльності різних галузей зернопродуктового підкомплексу АПК Тернопільської області в динаміці дає підстави зробити узагальнений висновок, що чим гірші показники роботи підприємств зерновиробничої галузі, тим вищі прибутки у заготівельників і переробників.
На внутрішньому ринку зерна першочерговим завданням є лібералізація економічних відносин, формування прозорої, прогнозованої система ціноутворення, що може бути забезпечене існуванням дієвого механізму форвардної і ф'ючерсної торгівлі. Лібералізація ринків включає функціонування великої кількості підприємств, що сприятиме розвитку конкуренції і формуванню ринкового механізму вільного ціноутворення.
Механізм ринкової економіки визначає право товаровиробників встановлювати ціну на виготовлений продукт на основі співвідношення попиту та пропозиції. Ціна - це грошовий вираз вартості товару, котра відображає кількість затраченого робочого часу на виробництво товару.
Проблема еквівалентного обміну між суб'єктами зернопродуктового підкомплексу у формуванні критерію справедливого міжгалузевого обміну, при якому всі учасники зернового ринку перебуватимуть у рівних умовах. Міжгалузевий аспект розподілу зумовлюється тим, що обсяги створеного виробничим капіталом додаткового продукту не збігаються з величиною привласненого додаткового продукту, що викликає диспропорції у розвитку АПК.
Порушення еквівалентності обміну зумовлюється тим, що учасники зернового ринку функціонують в різних моделях ринку. У найскладніших умовах перебувають сільськогосподарські товаровиробники, оскільки вони функціонують на ринку вільної конкуренції. Велика кількість виробників однотипного товару забезпечує наповнення ринку продукцією понад її потребу та сприяє виникненню "ринку покупця". Тому зерновиробники не мають суттєвого впливу на процес ціноутворення, оскільки ціна встановлюється на середньогалузевому рівні. Продаж за завищеними цінами неможливий через механізм конкуренції, котрий забезпечує можливість звернутися за послугами до інших аналогічних виробників галузі. Це спонукає виробників постійно підвищувати рівень виробництва, якість продукту, зменшувати витрати ресурсів і знижувати ціни.
Підприємства третьої сфери - зернопереробні та хлібоприймальні підприємства й торговельна мережа, котрі здійснюють у вузьких межах контроль над ціною, є ринком монополістичної конкуренції.
Ринок олігополії передбачає виняткове становище в галузі незначної кількості великих фірм, зокрема це "...підприємства переробної промисловості III сфери і великих постачальників матеріально-технічних ресурсів І сфери АПК: хлібозаводи, комбікормові, пивоварні, спиртові заводи, що працюють із зерновою сировиною, оптові постачальники техніки, запасних частин, будівельних матеріалів, палива і мастильних матеріалів, мінеральних добрив, засобів захисту рослин та ін." Цей ринок передбачає обмежений вплив на процес ціноутворення, а за умови змови учасників ринку олігополії - дає можливість встановити контроль над ціною.
Деякі підприємства - виробники спеціалізованої техніки, "...постачальники електроенергії, газу, палива, води, зв'язку, залізничні перевізники зерна й інших вантажів найчастіше є монополістами у своїй галузі", які здійснюють значний контроль над ціною в результаті виготовлення унікальної продукції чи надання послуг, котрі не надаються іншими організаційними формуваннями.
Структурний аналіз розглянутих моделей ринку діяльності учасників зернового підкомплексу АПК показує, що вони впливають на ціну своєї продукції і володіють нерівнозначною ринковою владою, правами в єдиному механізмі ціноутворення, що є причиною диспаритету цін і несправедливого розподілу доходів між усіма учасниками ринку.
Користуючись вигідним становищем стосовно сільського господарства, інші учасники зернового ринку в процесі ціноутворення застосовують метод "ножиць цін", штучно завищуючи ціни на свій продукт, водночас змушуючи виробників знижувати ціни на зерносировину. Тому при проведенні реформи потрібно враховувати ці фактори; він вказує на доцільність застосування передової ринкової практики підтримки сільськогосподарських галузей шляхом перерозподілу доходів олігополістів і монополістів на користь сільського господарства.
Для еквівалентності обміну необхідно забезпечити збалансоване ціноутворення у галузях зернопродуктового підкомплексу, що забезпечить його рівномірний розвиток. Зокрема механізм встановлення цін на промислову та сільськогосподарську продукцію проводити за єдиною методикою, основою визначення цін за якою є рівна норма прибутку або розмір прибутку на авансований капітал.
Крім названої проблеми збалансування міжгалузевого цінового обміну, в зернопродуктовому підкомплексі є й інші проблеми, що зумовлюють негативну роботу усього підкомплексу. Це і руйнування усталених зв'язків між ланками агропромислового виробництва, скорочення обсягів виробництва сировини, затримки розрахунків за реалізовану продукцію як з боку сільгосптоваровиробників за поставку матеріально-технічних ресурсів, так і з боку переробних, заготівельних і торговельних структур та інших суб'єктів, які не поспішають розраховуватися за реалізоване селянами зерно.
Для оптимізації роботи всіх партнерів зернопродуктового підкомплексу Кабінет Міністрів України затвердив порядок декларування суб'єктами заготівлі обсягів зерна, що знаходиться на зберіганні. У декларації, котру подають до 5-го числа кожного місяця агенти, які здійснюють господарську діяльність щодо зберігання зерна, міститься інформація про обсяги і рух зерна протягом місяця.
Наступним заходом для створення організаційних умов конкурентоспроможного виробництва, формування рівноважного ринку зерна та налагодження діяльності зернопродуктового підкомплексу повинно відбутися врегулювання цін на зерно в післяжнивний період, що характеризується найбільшою диспропорційністю між мінімальним попитом і надлишковою пропозицією на зерновому ринку. Більшість товаровиробників прагне реалізувати зерно в стислі терміни після збирання врожаю, що призводить до зниження цін на внутрішньому ринку. Таким чином, у цей період ціни на зерно визначає попит, тому багатий врожай зернових обертається для виробників проблемами збуту й збитками. Механізм встановлення гарантованої державою заставної ціни на зерно, яка б відшкодовувала середньогалузеві нормативні витрати та забезпечувала мінімальний прибуток, необхідний для відтворення виробництва, виявився неефективним. Тому передбачається розробити такий механізм встановлення заставної ціни, яка б забезпечувала рентабельність на рівні не менше 25%.
Для формування рівноважного ринку в осінній післяжнивний період необхідно зменшити надлишкову пропозицію, закуповуючи зерно до інтервенційного фонду в обсязі близько 2 млн. тонн, організувати умови для ф'ючерсної біржової торгівлі чи розширити обсяги продажу зерна на наявних регіональних біржах, торгових домах або через Українську аграрну біржу, що дасть змогу об'єктивно формувати ціну, котра буде індикатором для всіх учасників зернового ринку - для виробників і для споживачів.
Витрати, пов'язані зі збутом на ринку зерна, дуже високі. За повідомленням голови правління ДАК "Хліб України", у 2002 р. основні тарифи на зберігання зерна на дочірніх підприємствах ДАКу протягом місяця становили: прийом - 2,95 - 5,25 грн./т, зберігання - 2,56 - 4,40 грн./т, відвантаження - 5,70 - 8,12 грн./т, сушіння - 2,03 - 3,50 грн./т, очищення -0,74 - 2,40 грн./т, при цьому відбулося загальне зниження цих тарифів на 7%.
Передбачається здійснити здешевлення тарифів на зерноперевезення, що сприятиме активізації зернового експорту та транзиту зерна. Резерви для цього є: це і зменшення кількості посередників, які "роздувають" ціни на ринку зерноперевезень, зниження вартості фумігаційних послуг, що в нас на 30-40% дорожчі, ніж у Європі, здешевлення вартості залізничного транспортування, в тому числі плати за транзитні залізничні перевезення шляхом координації роботи всіх підприємців і служб, що мають відношення до експорту зернових. Зернотрейдерами часто не виконується положення про помісячне планування перевезень залізницею, що знижує ефективність роботи транспортної інфраструктури. Тому передбачається розробити плани щодо обсягів експорту та транзиту зернових до 2010 p., а також запровадити щомісячне звітування про результати виконання цих планів, що сприятиме організації регульованого ринку перевезень і полегшить процеси управління транспортною діяльністю. Крім того, це дасть можливість збалансованого розвитку інфраструктури реалізації зернових: елеваторного, залізничного та припортового господарств і трейдерських компаній [22, 3].
Серед причин втрат виробників зерна під час продажу є відсутність інформації про поточні ціни (продаж майже завжди відбувається за ціною, запропонованою покупцем), продаж на початку сезону, нерозвиненість біржового ринку та проблеми з розвитком національного трейдера, який би визначав ціни всередині країни.
Зі свого боку держава також бере участь у стабілізації діяльності зернового ринку, зокрема Указом Президента України від 29.06.2000 р. "Про невідкладні заходи щодо стимулювання виробництва та розвитку ринку зерна" були визначені умови реалізації зерна та формування цін на зерновому ринку. Доволі важливим є посилення контролю з боку держави за рухом зерна як всередині країни, так і за його експортом, стимулювання продажу зерна виробниками за грошові кошти, впровадження механізму заставних закупок зерна. Цей механізм передбачає закупку зерна у сільськогосподарських товаровиробників у сезон збирання за заставними цінами та гарантування їм права наступного продажу цього зерна за ринковими цінами в разі їх перевищення заставних цін за умови відшкодування вартості зберігання такого зерна.
Заставна ціна зерна (ціна підтримки) - гарантована державою ціна зерна, що відшкодовує середньогалузеві нормативні витрати на виробництво зерна та забезпечує мінімальний прибуток, достатній для відтворення виробництва.
Заставні ціни на зерно використовуються державним агентом або уповноваженими із забезпечення заставних закупівель зерна під час розрахунків за продукцію сільськогосподарських товаровиробників грошима.
Створення державного інтервенційного фонду зерна також позитивно впливає на регулювання ринкових цін і доходів сільськогосподарських виробників. У випадку падіння цін на ринку у високоврожайні роки держава в особі державного агента із проведення інтервенційних операцій скуповує зерно, поповнюючи запаси, а при підвищенні цін - знижує їх, викидаючи зерно на продаж, не допускаючи тим самим різкого коливання цін на зерно. Спроби створення інтервенційного фонду зерна були й раніше, у 1997 р. за рахунок держрезерву був створений такий фонд, але вже у 1998 р. його було ліквідовано. На даному етапі механізм проведення інтервенційних операцій на ринку зерна законодавчо регламентований Законом "Про зерно та ринок зерна в Україні", де функції щодо створення інтервенційного фонду покладено на КМУ. Фінансування такого фонду відбувається за рахунок коштів з державного бюджету.
Метою Державного інтервенційного фонду стабілізації зернового ринку в Україні є: забезпечення поступового переходу до саморегульованого ринку продовольчого зерна; забезпечення продовольчої безпеки держави шляхом створення державних запасів продовольчого зерна; підтримка вітчизняних виробників зерна шляхом забезпечення стабільного рівня цін на ринку продовольчого зерна протягом року; сприяння збільшенню обсягів виробництва продовольчих зернових; регулювання регіональних зернових ринків; підтримання доступного для споживачів рівня цін на зерно та зернопродукти.
Для функціонування фонду передбачено такі операції, що виконуються уповноваженими організаціями: зберігання запасів продовольчого зерна здійснюють підприємства Державної акціонерної компанії "Хліб України" за відповідними тарифами; транспортування запасів продовольчого зерна проводять підприємства Укрзалізниці за діючими тарифами; стабілізаційні закупівля і продаж здійснюються через уповноважені брокерські контори, котрі визначаються шляхом відкритого конкурсу. Уповноважені брокерські контори не можуть мати серед своїх засновників державні організації. Послуги уповноважених брокерських контор оплачуються за діючими тарифами.
Легалізований ринок зерна може бути створений за допомогою ліцензування хлібоприймальної і хлібозаготівельної діяльності, контролю за роботою зернотрейдерів і суб'єктів, які займаються торгівлею зерном. Створення електронних бірж, розвиток інформаційно-аналітичного та маркетингового сервісу АПК сприятиме регулюванню ринкових процесів і значно полегшить здійснення державою координаційно-регулюючих функцій. Стабілізаційний вплив на ринок зерна матиме запровадження системи страхування ризиків і регулювання сезонних коливань ціни.
Важливим є формування в основних зерновиробничих регіонах сучасної інфраструктури з виробництва та збуту зерна, зокрема організації регіональних асоціацій виробників зерна, зернових та лізингових компаній, банків для сільськогосподарських інвестицій, спеціалізованих зернових бірж, інших посередницьких форм взаємозв'язків між виробниками та переробниками зернової продукції.
Виходячи з проведеного аналізу стану зернопродуктового підкомплексу Тернопільської області та механізму взаємозв'язків між партнерами даного підкомплексу, доцільно запровадити наступне: обмежити норму прибутковості промислових підприємств на рівні 15%; при визначенні цін на продукцію першого підкомплексу АПК, тобто фондозабезпечуючих галузей, керуватися розрахунковими нормативами, а не фактичними витратами, що складаються на даних підприємствах; відсоткові ставки за кредит для сільгосптоваровиробника необхідно обмежити на рівні 7-10%.
У площині зерновиробництва доцільно максимально підвищувати урожайність зернових культур, оскільки проведені розрахунки кореляції показали її суттєвий вплив на зміну рівня собівартості та трудомісткості продукції. Усунення зазначених недоліків розкриє перспективи виходу зернопродуктового сектора з кризового стану та піднесення економічної ефективності його діяльності.
3.4 Бізнес-план Тернопільського комбінату хлібопродуктів
Загальна характеристика. ТОВ "Тернопільський комбінат хлібопродуктів" підпорядковане ДАК "Хліб України". Основними видами діяльності ДП "Тернопільський КХП" є борошномельна промисловість, заготівля. Загальна земельна площа, що є у користуванні Тернопільського КХП, становить 7,08 га. На даній території розміщені виробничі приміщення, зернові склади та асфальтні площадки для приймання зерна й відпуску готової продукції. Підприємство має три окремих підрозділи (рис. 3.3).
На першій центральній території розміщені: адмінкорпус; центральна лабораторія; склад готової продукції місткістю 3,9 тис. тонн, відвантаження борошна з якого здійснюють на автотранспорт і в залізничні вагони; сховища зерна місткістю 10 тис. тонн, прийом зерна для зберігання в яких проводять із залізничних вагонів або двома авторозвантажувачами з автотранспорту. На даній дільниці є склад безтарного зберігання висівок загальною місткістю 200 тонн, зерносушарка ДСП - 32 потужністю 32 тонни зерна за годину. На цій же території є інші підсобні виробничі приміщення: мехмайстерня, електропідстанція, площадка для приймання вологого зерна.
На другій території розміщується млинзавод потужністю 209 тонн переробки зерна за добу. У 1997 р. весь технологічний процес переведено на автоматизовану систему управління за проектом Вінницького ІВП "ІнноВін". На території млинзаводу є склад сировини місткістю 5 тис. тонн і склад безтарного зберігання борошна місткістю 90 тонн. На цій же дільниці є побутовий корпус, котельня, мехмайстерня, лабораторія млинзаводу, підсобне приміщення для утримання свиней, деревообробний цех.
На третій території розміщені 9 зернових складів загальною місткістю 25,4 тис. тонн зерна. Дільниця спеціалізується на прийманні, сушінні та зберіганні зерна пшениці, ячменю, гороху, кукурудзи, жита, ріпаку.

Приймати зерно з автотранспорту можна одночасно на восьми авторозвантажувачах. До складів підведена залізнична колія. На цій території є кукурудзокалібрувальний завод потужністю 1,5 тис. тонн за сезон, для очищення та обробки насіння є насіннєобробна станція типу "Петкус" потужністю 2 тонни за годину. Є дві зерносушарки ДСП-50 та ДСП-32 загальною потужністю 82 тонни за годину. Для зберігання паливно-мастильних матеріалів встановлено цистерни на 600 тонн .
Постачальники технологічного обладнання. Для підвищення ефективності виробничого процесу, збільшення випуску якісної продукції на
Чортківському комбінату хлібопродуктів постійно потрібно оновлювати та вчасно ремонтувати наявне обладнання. Тому спеціалісти комбінату, користуючись прайс-листами, котрі пропонують заводи-виготовлювачі матеріалів і запчастин, вибирають оптимальний варіант купівлі, враховуючи віддаль перевезення, ціну одиниці виробу, якість матеріалів.
Підприємство має прямі зв'язки щодо постачання матеріалів і запчастин з Могилів-Подільським, Хорольським та Дніпропетровським машинобудівними заводами - постачають технологічне обладнання і запчастини до нього; заводом "Елеватормаш" (м. Черкаси) - обладнання і запчастини; ВАТ "Приладобудівним заводом" (м. Овруч) - ваговибійні апарати; фірмою "Акта" (м. Київ) - сита, капрон, поролон та ін.; заводом "Спецелеватормельмаш" (м. Одеса) - запасні частини.
Поточний, профілактичний і капітальний ремонти обладнання здійснюють механічні майстерні заводу, запобігаючи поломкам і простоям устаткування.
План технічного розвитку. З метою збільшення випуску борошна та покращення використання виробничої потужності на комбінаті вишукують можливі резерви зростання ефективності та прибутковості виробництва. Одним із шляхів поліпшення ситуації є підвищення технічного рівня підприємства, його модернізація і реконструкція.
Модернізація ваговибійного апарата АД-50 з можливістю вибою борошна в тару по 10 та 25 кг підвищить якісний рівень надання послуг. В умовах зниження платоспроможності населення розфасовка борошна у малу тару розширить кількість споживачів продукції хлібокомбінату.
Окрім цього, доцільно здійснити технічне переобладнання підприємства, освоїти нові технології. Для поліпшення умов праці та зменшення викидів у навколишнє середовище слід замінити фізично зношені циклони 4БЦШ-450, аспіраційної мережі розсівів на фільтри циклони РЦІЕ; замінити 10-тонну автомобільну вагу млинзаводу на 30-тонну та перевести її на тензометрію; замінити морально та фізично застарілі ваговибійні апарати \ ДВМ-50 на нові, вітчизняного виробництва АД-50; замінити фізично \ зношену комунікаційну сітку зерноочисного відділення (самопливи з товщиною стінок - 3 мм); з метою раціонального використання робочого часу та технологічного обладнання встановити ваговибійний апарат (вагою мішка 25 кг) - в основному вибійному відділенні. Для цього слід провести низку заходів: вибій крупи манної паралельно з борошном - проводити тільки в нічну зміну; вибій борошна в малу тару по 25 кг - проводити в денну зміну та обладнати транспортування борошна через галерею до складу готової продукції, що дасть змогу ліквідувати непродуктивні витрати на перевезення автотранспортом борошна з млинзаводу на склад реалізації продукції; вибій борошна в тару по 10 кг залишити в приміщенні, яке обладнане на сьогоднішній день, встановивши нормальний фасувальний апарат на 10 кг, для збільшення продуктивності вибою обладнати лінію призначену для зовсім малих мішків.
Система заходів щодо удосконалення управління, планування та організації виробництва передбачає заміну програми автоматичної системи управління виробничим процесом (АСУВП) на новішу з можливістю підключення її до локальної комп'ютерної мережі, віддаленим контролем за системою та управлінням і т.д.
Зокрема, за повідомленням джерела [50] у Вінницькій області зерносховища обладнали датчиками системи автоматичного регулювання температури, котрі виводять інформацію на монітор комп'ютера про температурний режим у різних точках зернової маси. Якщо температура вища від норми, вмикають систему вентилювання.
Немалу роль у поліпшенні ефективності та прибутковості виробництва має економне використання палива та електроенергії. Розроблено заходи щодо економного використання палива та електроенергії: на всіх дільницях встановити оптичні датчики вуличного освітлення; замінити внутрішнє освітлення у зернових складах м. Тернопіль на люмінесцентні світильники; для компенсації реактивної енергії на ТП-319 доукомплектувати конденсаторну установку батареями і перевести в автоматичне управління; замінити газовий лічильник на зерносушарці ДСП-50 на клас точності 1,0; розробити режимноналагоджувальні карти на кожну зерносушарку; на всіх дільницях ввести постійний щодобовий, а на млинзаводі позмінний обліки використання паливно-енергетичних ресурсів; у неробочі дні та при незавантаженні трансформаторів на млинзаводі працювати на одному трансформаторі; в опалювальний сезон у неробочі дні в адмінбудинку та на млинзаводі використовувати по одному котлі; замінити опалювальний котел на млинзаводі на ефективніший.
Вплив на навколишнє середовище. Мета роботи: оцінення забруднення атмосфери, визначення величини допустимих викидів, що гарантують нормативну якість повітря у приземному шарі, розробка заходів, що забезпечують зниження викидів до необхідної межі, побудова карт розсіювання шкідливих речовин в атмосферу .
Норми забруднення навколишнього середовища для ТОВ "Тернопільський КХП " описуються у "Проекті нормативів ГДВ в атмосферу", розробленому в 1994 р. підприємством ПП "Слота" (м. Тернопіль), затвердженому у Державному облуправлінні екобезпеки Тернопільської області 3.03.1994 р. Перепогодження даного проекту було проведено 19 лютого 1999 року, і він є дійсним до кінця 2003 р.
До методів, котрі комбінат використовує для контролю за викидами шкідливих речовин, належать: підписаний договір з лабораторією ПП "Слота" (м. Тернопіль) на проведення замірювань викидів у довкілля на межі С 33 кожен рік; ліміт на кількість викидів шкідливих речовин і відходів, затверджений у Держоблуправлінні екобезпеки до кінця 2005 року.
Основні конкуренти та стратегічні можливості підприємства в конкурентній боротьбі. Підприємство постійно вишукує можливі резерви для поліпшення реалізації продукції і підвищення ефективності виробництва.
Одним із шляхів поліпшення ситуації є пошук ринків збуту, що особливо важливо в сучасних економічних умовах. Необхідно врахувати можливості потенційних конкурентів, котрі працюють на одному цільовому ринку.
До основних конкурентів у Західному регіоні можна віднести високопотужні комбінати хлібопродуктів з аналогічним асортиментом продукції і схожими виробничими можливостями Чортківський, Бучацький, Стрийський, комбінати хлібопродуктів.
Для розширення ринків збуту та підвищення попиту на продукцію комбінату в конкурентній боротьбі застосовуються як цінові, так і нецінові форми конкуренції, зокрема здійснюється розфасовка борошна в дрібну тару, покращення якості продукції, зниження її собівартості. Широко використовуються сучасні маркетингові комунікації і засоби стимулювання продажу за допомогою реклами в пресі, на телебаченні та радіо, практикується доставка продукції замовнику транспортом комбінату.
Фінансовий план .В результаті проведення заходів, що називалися, а саме: часткової реконструкції виробничого устаткування, підвищення якості продукції, зниження її собівартості, розширення ринку збуту, забезпечення сировиною та матеріалами тощо очікується поліпшення фінансово-господарських показників комбінату. В основному валовий дохід комбінату у майбутньому залежатиме від випуску та реалізації продукції, наданих послуг іншим організаціям і товаровиробникам.
На комбінаті пропонуються послуги щодо первинної обробки та доведення зерна до стійкого зберігання, від чого передбачається одержати: за зберігання зерна - 10 тис. грн., за послуги щодо переробки зерна - 1500 тис. грн., за послуги транспорту - 40 тис. грн., за послуги по відвантаженню – 20 тис. грн., за сушіння та очищення зерна - 25 тис. грн., за приймання зерна -20 тис. грн. Всього планується отримати 1615 тис. грн. доходу від наданих послуг. Від випуску та реалізації борошна передбачається дохід у сумі - 5185 тис. грн.
Таблиця 3.9
Основні фінансово-економічні показники ТОВ "Тернопільського комбінату хлібопродуктів"
|
№ п/п |
Показники |
Одиниця виміру |
2001 р. |
2002 р. |
Проект 2010 р. |
2010 р +-2002 |
|
1 |
Випуск продукції в натуральному виразі сього |
тонн |
33493 |
17346 |
17400 |
+54 |
|
в т. ч. крупа манна |
тонн |
439 |
194 |
200 |
+6 |
|
|
борошно пшеничне вищого ґатунку |
тонн |
18219 |
9523 |
9600 |
+77 |
|
|
борошно пшеничне першого ґатунку |
тонн |
12387 |
6120 |
6100 |
-20 |
|
|
борошно пшеничне другого ґатунку |
тонн |
2448 |
1509 |
1500 |
-9 |
|
|
2 |
Обсяг товарної продукції в діючих цінах відповідного року |
тис. грн. |
7170 |
2550 |
1800 |
-750 |
|
3 |
Обсяг товарної продукції в порівнянних цінах станом на 1.01.2002р. |
тис. грн. |
24306 |
12150 |
12250 |
+100 |
|
4 |
Дохід від реалізації продукції (робіт, послуг) |
тис. грн. |
20920,5 |
6734,0 |
6800,0 |
+66 |
|
в т.ч. від реалізації борошна, крупи |
тис. грн. |
18227,1 |
5134,0 |
5185,0 |
+51,0 |
|
|
- від надання послуг |
тис. грн. |
2693,4 |
1600,0 |
1615,0 |
+15,0 |
|
|
5 |
Податок на додану вартість |
тис. грн. |
3486,8 |
1122,0 |
1133,0 |
+11 |
|
6 |
Чистий дохід від реалізації |
тис. грн. |
17433,7 |
5612,0 |
5667,0 |
+55,0 |
|
7 |
Собівартість реалізованої продукції (товарів, робіт) |
тис. грн. |
15422,8 |
5060,0 |
4558,0 |
-502,0 |
|
8 |
Прибуток |
тис. грн. |
2010,9 |
552,0 |
1109,0 |
+557,0 |
|
9 |
Інші доходи |
тис. грн. |
2211,5 |
228,0 |
90,0 |
-138,0 |
|
10 |
Інші витрати |
тис. грн. |
3889,8 |
718,0 |
1133,0 |
+415,0 |
|
11 |
Фінансовий результат: |
|||||
|
- прибуток |
тис. грн. |
332,6 |
62,0 |
66,0 |
+4,0 |
|
|
- збиток |
тис. грн. |
|||||
|
12 |
Податок на прибуток |
тис. грн. |
121,0 |
57,0 |
20,0 |
-370 |
|
13 |
Чистий прибуток |
тис. грн. |
211,6 |
5,0 |
46,0 |
+41,0 |
|
14 |
Рентабельність |
% |
2,2 |
1,2 |
1,5 |
+0,3 |
|
15 |
Фонд оплати праці |
тис. грн. |
807,0 |
541,0 |
587,0 |
+46,0 |
|
16 |
Середньо чисельність |
чол. |
197 |
120 |
130 |
+10 |
|
17 |
Середньомісячна зарплата |
грн. |
341 |
376 |
376 |
- |
Прогнозований соціально-економічний результат. В результаті виконання даного плану виробничого, технічного та соціального розвитку підприємства, впровадження нових технологій, підвищення якості продукції комбінат досягне більших обсягів виробництва продукції, повнішого забезпечення потреб населення борошном і крупами, збільшення прибутку. Будуть створені нові робочі місця, що збільшить зайнятість населення на виробництві та його соціальну захищеність.
Зі збільшенням обсягу випуску та реалізації продукції відповідно збільшаться відрахування у бюджет у вигляді податку на прибуток, а також відрахування на соціальні заходи.
ВИСНОВКИ
Узагальнення результатів дисертаційного дослідження дає підстави ; зробити наступні висновки та обґрунтувати основні пропозиції щодо і підвищення ефективності функціонування зернопродуктового підкомплексу І Тернопільської області.
1. Відносини між елементами зернопродуктового підкомплексу України відрізняються від інших підкомплексів АПК, оскільки зернова продукція характеризується високою лежкістю і тривалим зберіганням, доволі транспортабельна. Все це обумовило кількаразову ступеневість реалізації, перепродаж зерна, що в свою чергу спричинило подорожчання кінцевої продукції підкомплексу, хоча це не позначається на прибутках сільськогосподарських виробників. Як наслідок, стосунки між виробниками зерна та заготівельними й переробними галузями через незбалансованість їх інтересів мають конфронтаційних характер.
2. Ефективність виробництва зернопродуктового підкомплексу -відносний показник, що характеризує результативність виробництва у зіставленні з використаними виробничими ресурсами. Критерій ефективності - постійне збільшення виробництва чистої продукції при найменших затратах живої та уречевленої праці на базі раціонального використання земельних, трудових, матеріальних і фінансових ресурсів.
3. Формування ефективного зернопродуктового господарства залежить від зовнішніх факторів - незалежних від підприємств даного під комплексу (загальної політичну й соціально-економічну ситуації в країні та регіоні, розвиток інфраструктури АПК, платоспроможний попит основної маси населення, наявність умов для виробництва і переробки зерна в регіоні, можливі обсяги завозу ззовні через імпорт та з інших регіонів; ціни на матеріальні ресурси,наявність конкурентного середовища на зерновому ринку, інвестиційна (в тому числі амортизаційна), фінансово-кредитна та
податкова політика в країні), та внутрішніх, котрі безпосередньо залежать від самого підприємства - (організаційно-правова форма підприємства, внутрішня структура; рівень техніко-технологічного забезпечення і виробництва; організація й управління виробництвом, наявність \ висококваліфікованих спеціалістів у сфері менеджменту та служби і маркетингу; асортимент, якість і конкурентоспроможність продукції; рівень | підвищення продуктивності праці та дотримання режиму економії).
4. Підвищення ефективності зернопродуктового комплексу АПК неможливе без об'єктивної економічного оцінення явищ та процесів, що відбуваються у даній галузі. Лише система показників дає змогу провести комплексний аналіз, правильно визначити досягнутий рівень економічної ефективності та зробити відповідні висновки щодо основних напрямків підвищення економічної ефективності зерновиробництва.
Усі показники для вивчення ефективності сільськогосподарського виробництва необхідно розподіляти на три укрупнені групи: показники рівня ефективності виробництва; показники факторів ефективності виробництва; показники результатів зміни ефективності виробництва.
5. При оціненні ефективності зерновиробництва потрібно максимально враховувати його особливості. По-перше, відмінності у якісних характеристиках ґрунтів - їх родючості, продуктивності, рівнях використання, що мають величезний вплив на результати виробництва. По-друге, кліматичні умови - температурний режим, кількість опадів, кількість сонячних днів, тривалість безморозного періоду тощо. По-третє, слід враховувати напрямок використання зерна, оскільки при визначенні економічної ефективності виробництва продовольчого та фуражного зерна є певні особливості. Зокрема показники економічної ефективності виробництва продовольчого зерна розраховують з урахуванням його якості, вмісту клейковини та білку, засміченості, вологості, інших якісних параметрів зерна. Для фуражного зерна необхідно показати їх кормову цінність.
6. Серед основних резервів підвищення ефективності виробництва можна виокремити такі: скорочення обсягу відходів, втрат сировини і; ліквідація браку, розширення асортименту та поліпшення якості сировини, і матеріалів і палива, удосконалення конструкцій машин, обладнання і технології, заміна дефіцитних матеріалів менш дефіцитними, повніше' використання вторинних ресурсів і відходів виробництва, поліпшення складського господарства. Суб'єкти, що діють у зернопродуктовому підкомплексі повинні постійно контролювати вплив тих чи інших факторів ефективності і на цій основі сприяти підвищенню ефективності виробництва, і Підвищення ефективності зернопродуктового підкомплексу пов'язане з і пошуком внутрівиробничих резервів і розробкою заходів щодо їх І ефективного використання, які передбачають необхідність:
1) визначено комплексну систему заходів інтенсивного розвитку зернового господарства, що ґрунтується на передових технологіях, | використання покращених сортів зернових, пристосованих до місцевих умов, покращення розміщення виробництва окремих зернових культур з ; урахуванням грунтово-кліматичних умов та матеріально-технічного \ забезпечення кожного району області, вдосконалення відповідно до цього структури і сівозмін посівних площ; ;
2) запровадити технології у зерновиробництві, що ґрунтуються на застосуванні комплексних агрегатів, котрі не тільки заощадять обмежені матеріально-технічні ресурси сільського господарства, а й за рахунок мінімізації технологічних операцій позитивно вплинуть на структуру ґрунту;
3) технічно модернізувати та максимально повно використовувати виробничі потужності хлібоприймальних і зернопереробних підприємств, для чого реорганізацію потужностей здійснювати у напрямку збільшення частки прогресивного обладнання у структурі основних засобів і підвищення ступеня їх використання, прискорити в Україні розвиток вітчизняного продовольчого машинобудування і широко запроваджувати лізингові операції, сприяти капіталовкладенням та залученню інвестицій у підприємства зернопродуктового підкомплексу;
4) застосовувати маловідходні та безвідходні технології, котрі дадуть змогу скоротити втрати та збільшити випуск продукції;
5) встановити паритет цін на сільськогосподарську та промислову продукцію, забезпечивши таким чином рівномірний розвиток усіх ланок зернопродуктового підкомплексу. Розв'язати проблему з розподілу ринкової ціни кінцевої продукції зернопродуктового підкомплексу між переробною промисловістю і сільським господарством через встановлення рівнозначної норми прибутку на рівні не менше 15% на авансований капітал з врахуванням періоду обіговості оборотних засобів. Крім цього, необхідно зменшити податкове навантаження на ціну та скорочення торгових надбавок через обмеження перепродажу зерна;
6) формувати відносини між елементами підкомплексу на основі збалансованості та функціональної завершеності технологічних ланцюжків і виробництв підкомплексу та запровадження агропромислової інтеграції у зернопродуктовому підкомплексі;
7) налагодити роботу маркетингових служб як на рівні підприємства, так і на рівні посередницьких структур, зокрема обласних виробничих об'єднань зернопереробної промисловості, котрі повинні проводити маркетингові дослідження, надавати учасникам зернового ринку консультації і послуги, забезпечувати необхідною інформацією;
8) посилити роль держави у стабілізації діяльності зернового ринку, оскільки скорочення рівня підтримки сільського господарства державою в умовах монополізації ринку матеріально-технічного забезпечення, хлібоприймальних і зернопереробних послуг та диспаритету цін є передчасним заходом. Свої дії держава мусить спрямовувати на захист від монополізації першої та третьої галузей зернопродуктового підкомплексу для визначення правових умов реалізації зерна та формування цін на зерновому ринку, на посилення контролю з боку держави за рухом зерна як всередині країни, так і за експортно-імпортними операціями, на запровадження механізму заставних та інтервенційних закупок зерна, спрямованих на зменшення впливу коливань цін на ринку зерна.
СПИСОК ВИКОРИСТАНИХ ДЖЕРЕЛ
1. "Аваль" приступил к продаже облигаций Укрзернопрома. // Хранение и переработка зерна. - 2002. - № 11. - С.З.
2. Андрийчук В. Г., Вихор Н. В. Повышение эффективности агропромышленного производства. - К.: Урожай, 1990. - 232 с.
3. Андрійчук В. Г. Економіка аграрних підприємств: Підручник. - К.: ІЗМН, 1996.-512 с.
4. Андрійчук В. Г. Оцінка макро- та мікро параметрів економіки в контексті продовольчої безпеки України // Економіка АПК. - 2001. - № 5. -С. 61-65.
5. Антимонопольный комитет оштрафовал Pest Control ltd // Хранение и переработка зерна. - 2002. - № 10. -С.4.
6. АПК необходима Доктрина развития // Хранение и переработка. -2002.-№12.-С.2.
7. АПК: стан, тенденції та перспективи розвитку: Інформаційно-аналітичний збірник / Інститут агарної економіки УААН; Редкол.: П. Т. Саблук (голова ред.) та ін. - К.:ІАЕ. - Вип. 4. - 2000. - 601 с
8. Артеменко В. Ф. Аналіз сучасного стану зернопереробних підприємств, проблеми, перспективи розвитку, потреба в обладнанні для переробки та зберігання зерна // Хранение и переработка зерна. - 2000. - № 4.-С. 7-8.
9. Артеменко В. Ф. Шляхи зниження вартості обігу зерна та продуктів його переробки на елеваторах і хлібоприймальних підприємствах// Хранение и переработка зерна. - 2000. - № 5. - С. 3 - 5.
Ю.Бакай. С. Інтенсивне насінництво зернових культур. - К.: Урожай, 1992.-С.18.
11.Балабанов Г. В. Територіальна сегментація продовольчого ринку України; - Зернопродуктовий комплекс України: структура і територіальна організація / Проект аграрної політики в Україні Університету штату Айова. -К, 1999.-106 с
12.Бевзелюк А. А. Расчеты эффективности хозяйственных мероприятий. - Мн.: Наука и техника, 1989. - 112 с.
ІЗ.Березвін А. І. Основні методологічні положення розробки моделі інтегрованих продуктових підкомплексів // Економіка АПК. - 2001. - № 5. -СП-15.
Н.Білик Ю. Д. Ринок зерна в Україні // Економіка АПК. - 1998. - № 4. -С.51.
15.Богдан М. Т. Інформація про роботу хлібопекарських підприємств об'єднання "Укрхлібпром" // Хранение и переработка зерна. - 2001. - № 3. -С.9-10.
16.Бойко В. І., Ніколаєва 3. П. Потенціал галузі і цінова ситуація на ринку зерна в Україні // Економіка АПК. - 2001.-№12.-С.57-61.
17.Бойко В.І. Ринок зерна в Україні // Економіка АПК. - 1999. - №1. - С. 103-105.
18.Бугай С. М. Рослинництво. 3-е вид., перероб. і доп. - К.: вид. об'єднання "Вища школа", 1978. - 384 с
19.Виробництво зерна в Україні: втрачені можливості та необхідність негайних дій // АгроСвіт. - 2001. - № 1 С - 14 - 21.
20.Виробництво зерна в Україні: втрачені можливості та необхідність негайних дій // Агросвіт. - 2001. - № 1. С 14-16.
21.Возможно, будут изменены госстандарты на зерно // Хранение и переработка зерна. - 2002. - № 1. - С.З.
22.Возможности "Укрзализныци" // Хранение и переработка зерна. -2002.-№ 10.-С.З.
23.Гайдуцький П. І. Госпрозрахунковий механізм міжгалузевих зв'язків в АПК. -К.: Урожай, 1991. - 179 с.
24.ГАК "Хлеб Украины" снизила тарифы на хранение и переработку зерна // Хранение и переработка зерна. - 2002. - № 7. - С.З.
25.Гальперин В. М., Игнатьев С. М., Мергунев В. И. Микроэкономика: В 2-х т. / Общая ред. В. М. Гальперина. СПб.: Эконоимческая школа, 1999. -Т. 2.-503 с.
26.Григорьева Е. Аграрная политика Канады // Международный сельскохозяйственный журнал. - 2000. - № 5. - С.37 - 46.
27.Гудилин А. В., Савченко С. М. Технология обработки зерна на элеваторах. -М.: Колос, 1982. - 126 с.
28.Девид Уильяме. Техническое состояние зернохранилищ Украины оставляет желать лучшего //АгроСвіт. - 2001. - № 3. - С.22-23.
29.Дем'яненко С. До стратегії і тактики економічного реформування // Економіка України. - 2000. - № 1. - С. 55-59.
ЗО.Димтрук Б. П. Про формування інфраструктури ринку зерна // Економіка АПК. - 1998. - № 5. - С. 60-62.
ЗІ.Дмитрук С. В. Акціонування підприємств системи хлібопродуктів // Економіка АПК. - 1999. - № 7. - С. 28-34.
32.Довганчин Г. В.Роль державного регулювання економічних відносин в агропромисловому виробництві // Економіка АПК. - 2000. - № 5 -С.7.
ЗЗ.Дорош И. И. Эффективность капитальных вложений в сельское хозяйство. К.: Урожай, 1980. - 168 с.
34.Драгун Л., Вакульчик О. Інтегральний показник для аналізу ефективності виробництва // Економіка України. - 1995. - № 9. - С.93-95.
35.Дрогалин К.В. Очистка семян от трудноотделимых примесей. М., "Колос", 1978.-127 с
36.Економіка підприємств АПК: Навчальний посібник для ВУЗів / За ред. проф. Дусановського С. Л., проф. Олійника В. М., проф. Дудара Т. Г. -Тернопіль: Тернопіль, 1997. -259 с.
37.Економіка підприємств: Підручник / за ред. С. Ф. Покропивного.-Вид. 2-ге, перероб. та доп. - К.:КНЕУ, 2001. - 528 с
38.Економічна енциклопедія: У трьох томах. Т.1 / Редкол.: С В. Мочерний (відп. ред.) та ін. - К.: Видав, центр "Академія", 2000. - 864 с
З9.Журавлев В.В Анализ хозяйственной деятельности предприятий элеваторной и зерноперерабатывающей промышленности. -М.:Агорпоимиздат, 1991. - 189 с.
40.3еліско І.М. Енергетичні підходи і оцінка еквівалентності в зернопродуктовому підкомплексі // Економіка АПК. - 1997. - №1. - С. 80 -82.
41.Зерновий та хлібопродуктовий товарообіг в Україні: Енциклопедичний довідник/ В.Т. Алесандров, М. В. Гладій, Є. М. Лавров, І. М. Рішняк. - К.: АртЕк, 2000. - 544 с
42.Зернові культури / За ред. Пікша Г. Р., Бондаренка В. І. - К.: Урожай, 1985.-272 с
43.3убко В. М., Куприевич А. Б. Зернохранилища, которые будут служить в XXI веке // Хранение и переработка зерна. - 2000. - № 12.-С. 31 -32.
44.1ванух Р. А., Пантелейчук М. М., Попович І. В. Довідник економічних показників сільського господарства / За ред. І.В Поповича. - К.: Урожай, 1979.-168 с
45.Калинин Л.Г., Гаврилюк Н.Н., Тучный В.П., Левченко ЕЛ. Комплекс работ по исследованию влияния MB поля на процессы биостимуляции и обеззараживания семян аграрных культур // Хранение и переработка зерна. 2002.-№2.-С. 38-41
46.Кириленко I. Г. Зернове господарство та ринок зерна в Україні // Економіка АПК. - 2001. - № 9. - С. 3-13.
47.Кирпа Н. Я Развитие и перспективы обработки и хранения зерна в Украине // Хранение и переработка зерна. - 2000. - №12. - С.29-30.
48.Клюкач В. А., Алтухов А. И., Пролыгина Н. А. Государственное регулирование зернового рынка страны // Экономика сельскохозяйственных и перерабатывающих предприятий. - 2000. -№11.
49.Коваленко Н. П. Вплив частки зернових культур на ефективність сівозмін: 36. наук, праць / НАНУ Ін-т економіки; Редкол.: В. М. Трегобчук (відп. ред.) та ін. - К., 2000. - 131 с
50.Комп'ютер для зерна //Земля і люди України. - 1997. - №2.
51 .Компьютер из кукурузы // Хранение и переработка зерна. - 2002. -№6.-Сб.
52.Константинов К. І. Про пріоритетні напрями залучення іноземних інвестицій у переробну промисловість України: 36. наук, праць / ПАНУ Ін-т економіки; Редкол.: В. М. Трегобчук (відп. ред.) та ін. - К., 2000. - 131с.
53.Коренев Г. В. Растениеводство с основами селекции и семеноводства / Г. В. Коренев, П. И. Подгорный, С. Н. Щербак; Под ред. Г. В. Коренева. - 3-е изд., перераб. и доп. - М.: Агропромиздат, 1990. - 575 с.
54.Краснощекова Г. А., Редькина Т. В. Экономика, организация и планирование производства на предприятиях хранения и переработки зерна. - 2-е изд., перераб. и доп. - М.: Агропромиздат, 1991. - 302 с.
55.Крисалов Д. В. Переробна сфера АПК в умовах ринкової трансформації національної економіки // Формування і реструктуризація аграрного ресурсного потенціалу України. - К. - 1998 - С. 81-83.
56.Кузнецова И. А. Состав плановых показателей маркетинговой программы для хлебоприемных предприятий // Хранение и переработка зерна. - 2000. - № 10. - С. 4 - 5.
57.Куліш М. Ю., Іванов Ф. А. Розвивати зернове господарство на півдні України // Економіка АПК. - 1997. - № 1. - С. 24.
58.Куць Т. В. Основні напрями забезпечення конкурентоспроможної продукції // Економіка АПК. - 1998. - № 4. - С. 64 - 66.
59.Лагода Т., Дерев'янко О., Радіонова О. Виробництво, яке завжди було прибуткове // Пропозиція. - 2000. - № 12. - С 80 - 83.
бО.Лапішко М. Л. Основи фінансово-статистичного аналізу економічних процесів. - Львів: Світ, 1995. - 328 с
61. Лебедев Е. И., Гурьянов А.И. К вопросу структуры перерабатывающей промышленности АПК // Пищевая промышленность. -1999.-№12.-С.20-21.
62.Лобас М. Г. Сучасні машини - ефективні технологи //Агроінком. -1997.-№ 10-12 С. 3-9.
63.Лубков А. Н. Продовольственный рынок и необходимость его регулирования Экономика сельскохозяйственных и перерабатывающих предприятий. - 2000. - № 8. - С. 43.
64.Лупенко В. Оцінка ефективності праці в сільському господарстві //АПК: Экономика, управление. - 1992. - № 10.
65.Любий М. Я. Підсобні підприємства і помисли в сільському господарстві та перспективи їх розвитку. - Тернопіль: економічна думка, 1998.-54 с
бб.Павловська М. Потенціал галузі // Зерно і хліб - 1996. - № 10. - С. 17-18.
67.Макконнелл Кемпбелл Р., Брю Стэнли Л. Экономикс: Принципы, проблемы и политика, в 2т.: Пер. с англ. И-го изд. - М.: Республика, 1992. -400 с.
68.Малік М. Й. Інтеграція - як фактор підвищення ефективності реформування сільськогосподарських підприємств / М. Й. Малік, П. М. Федієнко, М. К. Орлатий. - К., 2000. - 39 с
69.Меньшиков С. М. Новая экономика. Основы экономических знаний. Учебное пособие. - М.: Международные отношения, 1999. - 400 с.
70.Методичні рекомендації по регулюванню взаємовідносин власників зерна і хлібоприймальних та зернопереробних підприємств при його зберіганні і переробці. К.: Інститут аграрної економіки, 2002. - 143 с
71.Милованов Є. В. Україна в контексті світового ринку зерна // Економіка АПК. - 2000. - № 12. - С. 83-85.
72.Михайлов А. П. Енергетична оцінка ефективності технологій вирощування зернових культур, її теоретичний та методологічний аспекти // Агроінком. - 2000. - № 3-4. - С 25-27.
73.Мікроекономіка і макроекономіка: Підруч. Для студентів екон. спец, закл. освіти: У 2-х ч. / С. Будаговська, О. Кілієвич, І. Луніна та ін.: за заг. ред. С. Будаговської. - К.: Основи, 1998. - 518 с.
74.Муржи Г. Г. Маркетинг у підвищенні конкурентоспроможності виробництва рису // Економіка АПК. - 2001. - № 7. - С. 106-108.
75.Наливайко А. П., Євдокимова Н. М., Задорожна Н. В. Мікроекономіка: Навч. метод, посібник для самост. вивч. дисц. / за ред. А. П. Наливайка. - К.: КНЕУ, 1999. - 208 с
76.Ніколаєва 3. П., Кобута І.В. Якість й ціна української пшениці // Економіка АПК. - 1999. - № 8. - С. 43 - 49.
77.Огарков С. А. Инвестирование в воспроизводство основных фондов селььского хозяйства / Аграрная наука. - 2000. - № 8. - С.4 - 5.
78.Омаров А. М. Повышение эффективности производства. -М., 1980. -256 с.
79.Омельяненко Г. Г. Концептуальні положення відновлення та розвитку зернового виробництва в Україні // Економіка АПК. - 2000. - № 12. -С.3-9.
80.Омельяненко Г. Г. Роль сорту і насінництва у розвитку зернового виробництва в Україні // Економіка АПК. - 2001. - № 9. - С. 14-19.
81.Онищенко О., Юрчишин В. Методологічний аспект порівняльної оцінки ефективності різних форм господарювання в аграрній сфері // Економіка АПК. - 1997. - № 4. - С.50 - 60.
82.0рехівський В. Г. Ефективність розвитку маркетингу в зерновій галузі АПК України // Економіка АПК. - 2001. - № 8. - СІ 12 - 114.
83.Основи економічної теорії: політекономічний аспект. Підручник / Г. Н. Климко, В. П, Нестеренко, Л. О. Каліщенко таін.; За ред. Г. Н. Климка, В. П. Несторенка. - 2-е вид. перероб., допов. - К.: Вища школа. - Знання, 1997. -734с.,с.235
84.Основы экономической теории / С. В. Мочерный, В. К. Симоненко.
B. В. Секретарюк, А. А. Устенко; Под общ. ред. С. В. Мочерного. - К.: О-во "Знання", КОО, 2000. - 607 с.
85.Пасхавер А. И. Оценка эффективности технического перевооружения предприятий в новом хозяйственном механизме / АН УССР. Ин-т экономики; Отв. ред. В. П. Александрова. К.: Наукова думка, 1990. -152 с.
86.Петрик В. В. Перспективи розвитку сировинної бази підприємств борошномельно-круп'яної галузі України // Економіка АПК. - 2001. - № 9. -
C. 60 -62.
87.Петухов Р. М. Оценка эффективности промышленного производства: (Методы, показатели). -М.: Экономика, 1990. -95 с.
88.Петухов Р. М., Волостных В. В. Управление повышением эффективности производства в отрасли: (Цели, методы, пути реализации). -М.: Экономика, 1979. - 240 с.
89.Підприємництво в аграрній сфері економіки / М. Й. Малік, Ю. О. Лупенко, Л. В. Романова та ін. За ред. П. Т. Саблука, М. Й. Маліка. - К.:1АЕ, 1997.-420 с.
90.Про визначення заставних цін та фінансового забезпечення заставних закупівель зерна: Постанова КМУ // Офіційний вісник України. -2002. - № 18 СІ77 - 179 (від 29 квітня 2002 року №590).
91.Про власність: Закон України // Галицькі контракти. - 1996. - №42. - С 22-28.
92.Про господарські товариства: Закон України // Галицькі контракти. -1996.-№42.-С 40-50.
93.Про державне регулювання імпорту сільськогосподарської продукції: Закон України // Галицькі контракти. - 1997. - № 45. - с. 67 - 68.
94. Про заходи щодо розвитку ринку вітчизняної техніки для агропромислового комплексу та збільшення обсягів її виробництва: Указ Президента України // Державний вісник України. - 2001. - № 15. - С. 45.
95.Про зерно та ринок зерна в Україні: Закон України // Відомості Верховної Ради (ВВР). - 2002. - № 35. -. С 258.
96.Про лізинг: Закон України //Відомості Верховної Ради України. -1998.-№16.-С.1.
97.Про невідкладні заходи щодо прискорення реформування аграрного сектора економіки: Указ Президента України // Офіційний вісник України. -1998.-№49.-СІ 1-14.
98.Про невідкладні заходи щодо стимулювання виробництва та розвитку ринку зерна: Указ Президента // Баланс-Агро. - 2000. - № 7. - СІ 1 -12.
99.Про обмеження монополізму та недопущення недобросовісної конкуренції у підприємницькій діяльності: Закон України // Галицькі контракти. - 1996. - № 42. - С 129.
100. Про особливості приватизації майна в агропромисловому комплексі: Закон України // Економіка АПК. - 1996. - №8. - С. 95.
101. Про підприємства: Закон України // Галицькі контракти. - 1996. -№ 42. - С 32-40.
102. Про приватизацію майна державних підприємств: Закон України // Діло. - 1991. - № 20. - С 4-6.
103. Про прискорення приватизації хлібоприймальних і хлібозаготівельних підприємств: Постанова Кабінету Міністрів України // Бюлетень про приватизацію. - 1998. - № 2. - С. 36.
104. Про товарну біржу: Закон України // Відомості Верховної Ради України. - 1992. - № 10. - С.39.
105. Проблемы повышения эффективности сельскохозяйственного производства / А. А. Никонов, С. С. Сергееев, М. И. Синюков и др.; Под ред.
B. А. Добрынина. - М.: Агропромиздат, 1986. - 335 с.
106. Саблук П. Т. Ціна - інструмент управління / Економіка АПК. — 1996.-№4.-Сб.
107. Саблук П. Т. Стан економіки і реформи в АПК України та завдання вчених економістів-аграрників // Економіка АПК. — 1999. — № 1. —
C. 3-31.
108. Саблук П.Т. Соціально-економічна модель постреформованого розвитку агропромислового виробництва в Україні: Доповідь на Других Всеукраїнських зборах вчених екон. - агр. 24 - 25 січня 2000 р. / Ін-т агр. ек. УААН.-К.,2000.-57с.
109. Семенов В. Ф., Сіваченко І. Ю., Федоряка В. П. Загальний курс агро бізнесу: Навч. посіб. / За ред. В. Ф.Семенова, І. Ю.Сіваченка. - К.: Т-во "Знання", КОО, 2000. - 301 с
ПО. Сергунов В. С, Гайдукова Т. В., Гайдуков С. В. Анализ предприятий АПК как объекта кредитования // Пищевая промышленность. -2000.-№2.-С. 66-72.
111. Синицын Е. Э., Чубатый В. Л. Эффективность использования производственного потенциала (оценка, резервы, пути повышения). Под ред. проф., д.э.н. П. Е. Беленького. - Львов: Изд-во при Львовском государственном университете издательского объединения "Вища школа", 1986.-189 с.
112. Ситник В. П. Сільськогосподарське виробництво - важливий напрямок роботи українських науковців // Хранение и переработка зерна. -2001.-№3.-С.8-9.
113. Сільське господарство Тернопільської області: Статистичний збірник. Тернопіль: Тернопільське управління статистики, 2002. - 103 с
114. Словарь иностранных слов / Под. ред. И. В. Лехина, проф. Ф. Н. Петрова. - М: Гос. Изд-во иностранных и национальных словарей, 1954. -854 с.
115. Соціально-економічні дослідження в перехідний період. Стратегія розвитку АПК / Редкол.: М. І Долішній (відп. ред.) та ін. - Львів, 2000. - 220с.
116. Справочник экономиста зерноперерабатывающего и хлебоприемного предприятия / М. Г. Шелудько, В. П. Нархов, В. Ш. Аншба и др.: Под ред. В. П. Нардова. - М.: Агропромиздат, 1990. - 271 с.
117. Станкевич Г. Н., Гаро В. Е., Гросул Л. И., Благодарский В. А. Универсальные комплексы для хранения и переработки зерна и маслосемян // Хранение и переработка зерна. - 2002. - № 12 С.34 - 37.
118. Створено Державну акціонерну компанію "Хліб України" // Зерно і хліб. - 1996. - № 4..
119. Тарасенко П. С. Эффективность сельскохозяйственного производства в условиях хозрасчета. К.: Издательство УСХА, 1991. - 176 с.
120. Теоретическая экономика. Политэкономия: Учебник для вузов / Под ред. Г. П. Журавлевой и Н. Н. Мильчановой. - М.: Банки и биржи, ЮНИТИ, 1997.-485с.
121. Теслюк В. В., Миколюк Ю. В. Нові форми технічного сервісу // Агроінком. - 1997. - №2 - 3. - С.26-27.
122. Тивончук С. О., Микитенкок А. І., Савчук В. П. Методика взаєморозрахунків сільськогосподарських підприємств з механізованими зернозбиральними загонами // Агроінком. - 1997. - №2 - 3. - С.27 - 30.
123. Ткач А. Проблемы формирования продовольственного рынка в государствах-участниках СНГ // Международный сельскохозяйственный журнал. - 1999. - № 3. С. 48 - 52.
124. Толмачев А. В. Ценообразование в зерновом подкомплексе АПК // Аграрная наука. - №5. - 1998. - С.5 - 6.
125. Трисвятский Л. А., Шатилов И. С. Товароведение зерна и продуктов его переработки: Учебник для техникумов. - 4-е изд., перераб. и доп. - М.:Колос, 1992. - 413 с.
126. Тютюнник С. В. Розвиток виробництва на Полтавщині // Економіка АПК. - 1998. - №4. - С. 29.
127. Тютюнник С. В. Зарубіжний досвід державного регулювання зернового ринку // Економіка АПК. - 1999. - №5. - С. 73 - 75.
128. Украинские почвы истощены // Хранение и переработка зерна. -2002. -№1.
129. Україна у цифрах у 2002 році. Короткий статистичний довідник / За ред. О. Г. Осауленка. К.: Консультант, 2003. - 271 с.
130. Уланчук В. С, Колесов О. С. Формування ринку зерна та продуктів його переробки // Економіка АПК. - 2000. - № 10. - С.74 - 77.
131. "Flexi-Coil 820". Сучасні індустріальні технології і техніка для вирощування зернових культур. //АгроСвіт. - 2001. - № 2 С. 14-15.
132. Формування та функціонування ринку агропромислової продукції (практичний посібник) / За ред. П. Т. Саблука. - К.: ІАЕ, 2000. -558 с.
133. Ханин И. Г., Гаценко С .В., Пасечник А. В. Особенности разработки инвестиционных проектов для предприятий по приему и переработке зерна // Хранение и переработка зерна. - 2000. - № 6. - С. 1 -2.
134. Хлебная отрасль Украины с точки зрения инвестиционной привлекательности // АгроСвіт. - 2001. - №3 .-С.18-21.
135. Хорунжий М. Й. Організація агропромислового комплексу: Підручник. -К.: КНЕУ, 2001.-382 с.
136. Хранение зерна и зерновых продуктов / Пер. с англ. В. И. Дашевского, Г. А. Закладного; Предисл. Л. А. Трисвятского. - М.: Колос, 1978.-472 с.
137. Хранение и переработка сельскохозяйственной продукции с основами стандартизации / Под ред. Б. В. Лесика. - К.: Вища школа. Головное изд-во, 1983. - 247 с.
138. Худ олій Л. М. Економічний механізм формування та функціонування ринку зерна в Україні. - Київ: ІАЕ УААН, 1998. -211с.
139. Ціни, витрати, прибутки агро виробництва та інфраструктури продовольчих ринків України / Авт. кол.: О.М. Шпичак, П.Т. Саблук, В.Т. Ситник та ін; За ред. Шпичака О.М.; Інститут аграрної економіки УААН. -К., 2000. - 585 с
140. Червен І.І. Червен Е.В., Чебан О.О. Методологічні аспекти оцінки економічної ефективності агропромислових формувань // Економіка АПК. -1996.-№9.-С.35-36.
141. Черевко Г.В., Гарасим П.М., Колодійчук В.А., Козак Т.Р., Шпік О.Р., Гарасим А.А., Колодійчук А.А. Економіка зернопродуктового комплексу АПК. - Львів: Українські технології, 2000. - 197 с
142. Черевко Г. В., Гусаковський В. С Проблеми зниження матеріаломісткості сільськогосподарської продукції. - К.: Урожай, 1991. -184 с.
143. Чешинский Л. Информационная инфраструктура в сфере зернового производства и торговли // комбикормовая промышленность. -1996.-№4.-С.2-4.
144. Шаповал І. Резерви зернової ниви //Земля і люди України. - 1997. -№2.-С.10-12.
145. Шаповаленко О. І. Стан роботи зернопереробної промисловості в сучасних умовах // Хранение и переработка зерна. - 2000. - № 10. - С. 5 - 7.
146. Шафронов. А. Д. Условия и факторы повышения эффективности производства / Аграрная наука. - 2000. - № 8. - С. 6-7.
147. Шкобаль М. Ю. Міжнародна кооперація як елемент економічних реформ в АПК України // Економіка АПК. - 1999. - № 1. - С. 91 - 93.
148. Шпичак А. М. Ціноутворення та інфраструктура формування ринкових відносин в АПК // Економіка АПК. - 1999. - № 1. - С. 44 -46.
149. Экономика предприятия: Учебник / Под ред. проф. Н. А. Сафронова. - М.: "Юристъ", 2000. - 584 с.
150. Эта универсальная кукуруза // Пропозиція. -1998.-№3.-С.6.
151. Эффективность общественного производства: сущность и механизм роста / Тарасевич В. Н. - К.: Вища школа., 1991. - 191 с.
152. Як вибрати млин // Пропозиція. - 2000. - № 12. - С. 102.
153. Ясенецький В., Шустик Л. Сховища для зерна // Пропозиція. -2002. -№ 10.-С. 94-99.