Прудовое рыбоводство
Контрольная работа по рыбоводству
студентки технологического
факультета 4 курса
заочного отделения специальности 3610700
Вариант № 10
Пенза – 2010 г.
План
Определение возраста рыб
Расчет посадки годовиков карпа в нагульные пруды
Применение минеральных и органических удобрений в прудовом рыбоводстве
1. Определение возраста рыб
Возможность определения возраста по чешуе и костям открыл Левенгук в 1684 году. Норвежский ученый Э. Леа установил, что длина чешуи сельдей изменяется с возрастом прямо пропорционально длине тела. У разных видов рыб различные сроки жизни. Возраст и размеры рыб специфичны для каждого вида. Например, продолжительность жизни белуги — свыше 100 лет; ее размеры могут достигать: длина — свыше 5 м, масса — более I т; другие рыбы живут более 25—30 лет или имеют непродолжительную жизнь. При определении возраста по чешуе обязательно учитывают вид рыб, проводят ее взвешивание, измеряют длину тела до конца хвостовой выемки, длину тела без хвостового плавника, длину туловища или тушки. Чешуйки берут с середины туловища (около боковой линии), затем промывают в разведенном нашатырном спирте или простой воде, далее просматривают под лупой или микроскопом. На чешуе заметны параллельные ряды склеритов (тонкие черточки, имеющие вид колец. Широкие светлые склериты вырастают летом, узкие темные — -осенью и зимой). Счет годам ведут от центра чешуи. Весенние пробы: полный год помечают цифрой 1, 2, 3, 4 и т. д.; неполный год (вылов осень) у некоторых рыб, не имеющих чешуи, или с едва различными годовыми кольцами (окуневые, налим и др.) возраст определяют по плоским костям (например, костям жаберной крышки, челюстным, плечевого пояса, черепа).-Кости жаберных крышек опускают в кипящую воду на 3—5 мин или промывают в разведенном спирте, бензине, затем их протирают щеточкой и высушивают, далее определяют возраст с помощью годовых отметок, имеющихся на костях, чешуе.
У осетровых или сома возраст определяют по лучу плавника. Для этого берут поперечный срез в виде тонкой пластинки, которую шлифуют до прозрачности и по годовым отметкам определяют возраст рыб. Можно определить рост рыб и за предыдущие годы: рост чешуи прямо пропорционален - росту рыбы, в длину — это является закономерностью. Таким образом, используя способ, основанный на закономерности роста чешуи и рыбы в длину, определяют ее прирост за предшествующие годы жизни.
Используя бинокуляр или микроскоп, удается более внимательно изучить чешую (или отолиты с костями). Пересчитываете годовые кольца и получаете количество прожитых рыбой лет, затем смотрите на прозрачные вставки между кольцами, которые помогут определить, сколько реально прожила рыбе—З года или 3+ (плюс означает прирост последнего сезоне).
Таким обрезом, если рыба поймана зимой или весной, ее возраст отображен целыми числами (рыба будет называться годовиком, двухгодовиком и т.д.), а если она выловлена летом или осенью, то возраст ее со знаком -i- и называется она сеголеткой, двухлеткой и пр.
Когда рыба длительное время остается без корма, на чешуе и отолитах образуется как бы еще одно годовое кольцо, и можно неправильно рассчитать ее возраст. У бесчешуйных рыб возраст определяют по костным лучам грудного плавника, плоским костям головы, отолитам, позвонкам, которые ихтиологи после высушивания собирают для хранения е особые пакеты и складывают в коробки.
2. Расчет посадки годовиков карпа в нагульные пруды

Карп — основной объект прудового тепловодного рыбоводства, имеет широкое распространение в РФ (рис. 1). К. живет в теплых, хорошо прогреваемых прудах и водоемах. Половой зрелости достигает в возрасте 3—4 лет, плодовитость от 200 тыс. до 1700 тыс. икринок. Нерестится на мелких местах со свежезалитой мягкой луговой травой при температуре 16—18°. По типам чешуйчатого покрова различают следующие группы карпов:
чешуйчатый—покрыт ровной чешуей, которая расположена правильными рядами, напоминающими чешую сазана (рис. 1, а); разбросанный (зеркальный) — чешуя на теле расположена отдельными группами или рядами, на спине всегда имеется ряд чешуи, который тянется, от головы до хвостового плавника (рис. 1, б); линейный — по боковой линии проходит правильный ряд крупных продолговатых чешуи, под спинным плавником обычно имеется спинной ряд чешуи; линейные карпы встречаются в прудовых рыбхозах сравнительно редко голый—на теле рыбы чешуя почти отсутствует, ветре чаются в разных местах только отдельные мелкие чешуйки, спинной ряд чешуи неровный и не доходит до головы (рис. 1, в)
Современные карпы произошли от сазана. По некоторым источникам, зеркальный карп был выведен в Галицкой Руси в XIV столетии, откуда и получил название галицийского. Карп - рыба всеядная, питается мелкими ракообразными, червями, личинками насекомых, хирономидами, мелкими моллюсками, водорослями, семенами растений и т. п. К. обладает большой потенцией роста. Товарный сеголеток карпа в южных районах при благоприятных условиях за одно лето вырастает до 300— 400 г и более. Товарный двухлеток достигает веса 500— 600 г, а в более южных районах — до 1 кг и более.
Рыбоводно-техническими нормативами предусмотрено выращивание карпа стандартным весом в г:
Сеголетки
20—40
Двухлетки
500—800
Трехлетки
1200—1500
Четырехлетки
2000—2500
Нагульный пруд — служит для выращивания товарной (столовой) рыбы: карпа, сазана, карася, линя, судака и многих других. Н. п. устраивают путем возведения плотин, перегораживающих русло реки или ручья, или путем обвалования части поймы дамбами с подачей воды по каналам из водохранилищ. Площадь Н. п. разнообразная, но желательно, чтобы она для удобства облова не превышала 200—250 га. Глубина прудов от 0 до 3—4 м. Распределение глубин в процентах к общей площади пруда должно быть следующим: от 0 до 0,5 м—10—15%, от 0,5 до 2 м—83—75% и свыше 2 м—7—10%.
Нагульные пруды должны иметь донные водоспуски для спуска воды с целью вылова всей рыбы, мелиорации ложа, проведения санитарно-профилактических мероприятий. Если пруды построены на ручьях или реках, то для предупреждения ухода рыбы и попадания хищной рыбы устраивают рыбозаградительные верховины). Под нагульными прудами могут быть приспособлены почти все колхозные и совхозные водоемы, не загрязняемые сточными водами коммунальных и промышленных предприятий. Наледь — новый слой льда, намерзающий на льду водоема. Наледь на зимовальных прудах образуется в результате - неправильного регулирования водоснабжения, этим искусственно утолщается лед, уменьшается объем незамерзающей воды и ухудшаются условия зимовки рыбы.
Формулы для расчета посадки рыбы в пруды. При выращивании товарного карпа расчет ведется по формуле:
где: А — искомая величина;
Г — площадь пруда в гектарах;
П — рыбопродуктивность пруда в кг/га;
В — вес рыбы к концу вегетационного периода в кг;
в — штучный вес рыбопосадочного материала в кг;
р — вылов рыбы осенью в процентах к посаженному количеству.


Посадку добавочных рыб рассчитывают по формуле:
где: Г — площадь пруда в гектарах;
П — рыбопродуктивность по карпу в кг/га;
п — повышение рыбопродуктивности от смешанной посадки других возрастных групп или других видов рыб в процентах;
В — средний вес добавочной рыбы к осени в кг
в — средний вес добавочной рыбы при посадке в кг
р — выход добавочной рыбы осенью в процентах.
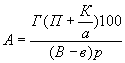
При выращивании товарного карпа с применением кормления расчет обычно производят по формуле:

где: А — количество годовиков карпа при посадке в нагульный водоем;
Г—площадь нагульного пруда в гектарах;
П — естественная рыбопродуктивность в кг/га;
К — общее количество искусственного корма в кг;
а — его кормовой коэффициент;
В — вес одного карпа к осени в кг;
в — вес в кг годовика карпа, сажаемого в пруд весной;
р—выход рыбы к осени в процентах от количества рыбы, посаженной весной.
3. Применение минеральных и органических удобрений в прудовом рыбоводстве
Удобрение прудов — применение минеральных и органических удобрений для увеличения естественной рыбопродуктивности прудов.
Удобрение нерестовых прудов
Для удобрения нерестовых прудов применяют из органических удобрений - навоз, свежий коровий кал; из минеральных — калийную соль, или сильвинит, суперфосфат и печную золу.
Первый способ Летом, осенью и даже ранней весной по осушенному дну пруда разбрасывают хорошо перепревший влажный навоз равномерным слоем в 3— 5 см. За 20—30 дней до залития пруда остатки неразложившегося навоза удаляют со дна пруда и хорошо прочесывают почву дна граблями.
Второй способ. У откоса плотины на линии, заливаемой водой, за 15—20 дней до залития пруда роют небольшую яму (примерно 0,5 -и2, глубиной 20—30 см), в которую закладывают перепревший навоз, перемешанный с небольшим количеством извести, засыпают яму дерновой землей и покрывают дерном. Из этой ямы через почву в воду пруда с момента залития его поступают органические удобрения и начинают обильно развиваться дафнии.
Третий способ. Через сутки после икрометания мелководные участки с глубинами от 0 до 25 м, не покрытые оплодотворенной икрой, после повышения горизонта воды, которое производится после нереста в целя ч создания лучших условий для развития икры, удобряют перепревшим навозом из расчета 1—1,5 кг/м2 удобряемой площади.
Жесткость воды должна быть не менее 12 нем. град. Если жесткость меньше, то в воду на притоке вносят известь-пушенку по 10 г/лг3 воды на каждый градус разности.
Пример. Жесткость воды в пруду 10°, следовательно, до нормы не хватает 2°. При средней глубине нерестового пруда 0,5 м всего извести надо внести на 1 л3 2x0,5x10=10 г.
На второй день после икрометания равномерно по всему пруду разливают болтушку из свежего коровьего кала из расчета 2 кг кала, разведенного в б л воды, на 10 м2 дна.
На третий день после икрометания равномерно по всей площади нерестового пруда по воде рассыпают минеральные удобрения: сильвинит, содержащий от 13 до 20% чистого калия (из расчета 15 кг калия К2О на 1 га), суперфосфат, содержащий 15—20% фосфорной кислоты (из расчета 20 кг фосфора Р2О5 на 1 га).
Калийные удобрения могут быть заменены не бывшей под дождем печной золой, в которой содержится чистый фосфор и калий. После выклева личинок карпа из икры (на седьмой день) на участки глубиной по 40 см вносят перепревший влажный навоз по норме 1 —1,5 кг на 1 м2 удобряемой площади. На восьмой день вносят болтушку, приготовленную по указанному выше способу и норме. Для разведения дафний и пересадки их в залитые нерестовые пруды приспосабливают один-два нерестовых пруда или какие-либо мелкие небольшие водоемы. Нерестовые пруды заливают за 15—20 дней до нереста на 50—60% площади и удобряют по указанному выше способу. После рассадки дафний нерестовые пруды осушают, в течение одного - двух дней проветривают и затем используют для нереста.
Фосфорные удобрения вносят по воде по норме одно ведро фосфорного удобрения на 20 ведер воды. Из расчета принятой нормы внесения удобрения и процентного содержания в нем фосфорной кислоты приготовленный раствор разбрызгивают с лодки в большом количестве в мелководной береговой зоне и в меньшем — на приглубых и сильно заиленных местах.
Пример. При внесении 15 кг фосфорной кислоты на 1 га удобряемой площади потребуется 17%-ного суперфосфата I5x100:17=88,23 кг/га.
Азотные удобрения. Внесение в пруды азотных удобрений в виде аммиачной селитры или сернокислого аммония может дать особенно хорошие результаты в прудах, где применялись фосфорные удобрения. Это удобрение, тщательно растворенное в воде, в количестве 20—25 кг/га разбрызгивают вручную или с помощью краскопульта по воде по всему пруду.
Кальциевые удобрения. Наличие извести в воде и почве благоприятно сказывается на химических процессах, происходящих в водной среде, на развитии растительных и животных организмов, в том числе и рыб (способствует развитию скелета). Под действием извести нерастворимые соли фосфора и калия переходят в растворимую форму, легко усвояемую низшими водорослями; питательные вещества, находящиеся в кислой среде почвы в нерастворимой, непригодной для питания растений форме, при внесении извести растворяются и растения могут использовать их для питания. Кроме того, известь является хорошим дезинфицирующим средством.
Внесение извести в количестве до 2 ц/га полезно для всех прудов, за исключением прудов, расположенных на почвах с известковой, меловой породой.
Качественная характеристика прудов
Расположены в заболоченной пойме с кислой почвой и водой (при pH солевой вытяжки из почвы менее 4 - 5, рН воды 5-6)
Тонко размолотую известь разбалтывают в воде (1 ведро извести на 20 — 30 ведер воды) в любой посуде (кадке, колоде, лодке). Раствор разливают или разбрызгивают из краскопульта по всему пруду, особенно на заиленных местах, в канавах осушительной сети, рыбосборных ямах, бочагах
Пруды, имеющие болотистый водосбор (норма повышается до) Расположены на подзолистых и слабозаболоченных почвах (при рН солевой вытяжки из почвы 5—6; рН воды 6—6,5)
В спущенных прудах заболоченные, закисшие участки посыпают слоем сухой негашеной известиВ старых прудах отдельные приглубые зоны, имеющие значительный слой тонкого ила, известкуют повышенной нормой извести для разрыхления ила и улучшения жизнедеятельности полезной микрофлоры
Сильно заиленные, но имеющие летом прозрачную воду с высокой окис ляемостью до 4.
Слабозаиленные, но непрерывно эксплуатируемые (больше 20 лет) до 3.
Слабозаиленные, расположенные на черноземных почвах до 1.
Известь (4 — 5 ц/га) может быть заменена гипсом (12—15 ц!га) или мергелем (16-20 ц\га)
Незаиленные, с черноземными почвами, с неразложившимся дерновым покровом, с водой, богатой кальцием 0,3-0,5
Спускные пруды, все мокрые места (верховья, заросшие осокой, канавы” бочаги, рыбосборные ямы, заболоченные закисшие участки) сильно заболоченные – 5, мало заболоченные - 2-3 на черноземных почвах 1—1,5
Калийные удобрения. В качестве калийных удобрений применяют сильвинит (смесь хлористого калия с хлористым натрием) — минерал розовато-бурого цвета с содержанием чистого калия от 13 до 20%; каинит— двойную соль, состоящую из хлористого калия (около 20,5%), сернокислого магния (36,4%), хлористого натрия (24,1%) и некоторых других веществ; хлористый калий, содержащий 54—57,8% калия; обычную печную золу. В золе разных растений содержится следующее количество биогенных элементов (по данным А.И. Исаева).