Развитие отрасли животноводства
http://monax.ru/order/ - рефераты на заказ (более 500 авторов в 170 городах СНГ).
Проблемы развития и место животноводства в сельском хозяйстве
Развитие отрасли животноводства
Животноводство является важной отраслью сельского хозяйства, дающей более половины его валовой продукции. Значение этой отрасли определяется не только высокой долей ее в производстве валовой продукции, но и большим влиянием на экономику сельского хозяйства, на уровень обеспечения важными продуктами питания.[
Наиболее распространенными направлениями специализации животноводческих хозяйств России в настоящее время по-прежнему остаются: в скотоводстве – молочное, мясное, молочно-мясное; в свиноводстве – мясное, беконное, полусальное, шубное; в птицеводстве – яичное, мясное, бройлерное, смешанное.[
Мясо, молоко, яйца представляют основные продукты питания населения характеризуются высокими питательными свойствами. Без них невозможно обеспечить высокий уровень питания. Животноводство дает ценные виды сырья для промышленности: шерсть, кожу, смушки и т.п. Развитие животноводческих отраслей позволяет производительно использовать в сельском хозяйстве трудовые и материальные ресурсы в течение года. В отраслях животноводства потребляются отходы растениеводства, создаются ценные органические удобрения – навоз и навозная жижа.
В животноводстве выделяют более узкие отрасли – по видам животных, составу продукции и другим признакам. [Коваленко Н.Я. Экономика сельского хозяйства., стр.427]
Скотоводство (разведение крупного рогатого скота) занимает одно из основных мест в животноводстве страны.
Крупный рогатый скот по сравнению с другими видами животных обладает наивысшей молочной продуктивностью. От этого вида скота поступает основная масса мясной продукции. В мясном балансе страны говядина и телятина занимают более 40%. Молоко молочные продукты являются продовольственными товарами первой необходимости. Основными производителями молока являются сельскохозяйственные предприятия. Для многих хозяйств производство молока рентабельно и является основным источником ежедневной выручки. Однако прибыльным оно становится только при достаточно высокой продуктивности дойного стада и высоком качестве молока. От коровы при правильном выращивании и содержании получают по 5-6 тысяч килограмм молока и более в год при жирности 4% и выше.
От скотоводства получают также ценное кожевенное сырье. Потребляет же крупный рогатый скот наиболее дешевые растительные корма.
Скотоводство как отрасль играет существенную роль в развитии других отраслей сельского хозяйства. Растениеводству оно поставляет ценные органические удобрения – навоз, свиноводству – молоко, необходимое для поросят раннего возраста.
Свиноводство является одной из наиболее продуктивных и скороспелых отраслей животноводства. Основная продукция свиноводства – мясо и сало. По скороспелости, плодовитости животных, выходу мяса и сала свиноводства занимает первое место среди отраслей животноводства.
Овцеводство является важной отраслью животноводства, которая дает многоотраслевую и ценную продукцию: мясо, сало, молоко, а также шерсть, меховое и шубные овчины, смушки и кожу.
Птицеводство обеспечивает население высокопитательными диетическими продуктами питания, а легкую промышленность – ценным сырьем. [Экономика с/х и перерабатывающих п/п., №6, 2001 год]
Изменение численности скота и птицы зависит в первую очередь от обеспеченности животноводства качественными кормами и показателем воспроизводства стада.
За последний период улучшилась обеспеченность животноводства кормами в связи с увеличением урожая зерновых культур. В расчете на условную голову крупного рогатого скота выросло количество кормов, в том числе концентрированных. Увеличились приплоды крупного рогатого скота, овец и коз сократился падеж всех видов скота. Это позволяет рассчитать на замедление темпов сокращения поголовья скота, рост его продуктивности и улучшение воспроизводственных показателей. [Экономика с/х и перерабатывающих п/п., №4, 2001 год]
Негативное влияние на развитие животноводства оказывают несовершенство ценообразования, диспаритет цен на промышленную и сельскохозяйственную продукцию, отсутствие государственной поддержки и другие факторы. Низкая продуктивность скота является одной из главных причин не только плохого качества животноводческого сырья, но и высокой трудоемкости и убыточности производства продукции отрасли.
Поголовье крупного рогатого скота пока не стабилизировалось, но темпы сокращения замедлились, так как руководители и специалисты сельскохозяйственных предприятий осознали, что дальнейшее сокращение поголовья коров нарушит наметившийся баланс между наличием поголовья, кормовой базы, средствами производства и трудовыми ресурсами. [Экономика с/х и перерабатывающих п/п., №11, 1999 год]
В производстве продукции животноводства возникает вероятность появления внутренних и внешних рисков. На уровень внутренних рисков оказывают влияние:
● производственный потенциал
● технологическая оснащенность
● уровень специализации
● уровень производительности труда и т.д.
На уровень внешних рисков влияют факторы:
● демографические
● социальные
● экономические
● политические и т.д.
В зависимости от размещения и специализации, выбранной системы животноводческой фермы существенно различаются по своему материально-техническому оснащению, технологии, организации труда и производства.
В последние годы эти различия резко обострились, главным образом, в зависимости от финансового состояния того или иного животноводческого хозяйства.
Под системой животноводства принято понимать обусловленные производственной специализацией хозяйства состав и размеры животноводческих отраслей, а также совокупность взаимосвязанных и взаимообусловленных, научно обоснованных зоотехнических, ветеринарных, технических и организационно-экономических мероприятий по их ведению. Системы животноводства различают по уровню интенсивности, способам кормопроизводства и типам кормления животных, формам организации содержания скота, организация воспроизводства стада, ведения племенной работы и т.д.
Совершенствование этих систем заключается в организации производства продукции животноводства на промышленной основе, на крупных узкоспециализированных предприятиях. В отрасли мясного скотоводства лидирующие позиции занимают крупные специализированные откормочные предприятия промышленного типа. В свиноводстве же в большинстве случаев выращиванием и откормом животных занимаются одни и те же хозяйства и разделение труда в этой отрасли более ограничено. В птицеводстве прогрессирует выделение производства мяса, являвшегося ранее побочным продуктом в птицеводстве яичного направления, в самостоятельную отрасль мясного птицеводства.
Негативные тенденции, начавшиеся в конце 80-х годов в отраслях животноводства России, выражались, прежде всего, в сокращении потенциала поголовья скота и птицы в хозяйствах общественного сектора, постепенном замедлении влияния интенсивных факторов на темпы роста производства животноводческой продукции с начала 90-х годов дестабилизирующие процессы в отрасли приняли обвальный характер, в следствии чего во всех без исключения типах животноводческих хозяйств ухудшились все параметры их хозяйственной деятельности.
Основные последствия деградации отрасли заключаются в следующем:
● произошло крупномасштабное сокращение поголовья скота и птицы, вплоть до ликвидации его во многих хозяйствах и исчезновения уникальных пород;
● продуктивность животных снизилась до минимальных пределов;
● полная убыточность производственной деятельности животноводческих помещений и других объектов производственной инфраструктуры;
● свертывание мероприятий по внедрению факторов интенсификации производства и достижений научно-технического прогресса в области животноводства;
● спад производства животноводческой продукции превысил все допустимые пределы с точки зрения обеспечения продовольственной безопасности страны.
В современных условиях глубочайшего системного кризиса национальной экономики большинство развивавшихся до начала 90-х годов. На индустриальной основе животноводческих комплексов, высокопроизводительных предприятий и цехов, крупных межхозяйственных и районных объединений по производству и переработке животноводческой продукции приватизировано и разорено.
Среди важнейших изменений, произошедших в последнее десятилетие в технологии и организации труда в животноводческих хозяйствах, следует отметить снижение уровня механизации трудовых процессов и ухудшение условий труда, которые привели к существенному снижению его производительности.
Ведение крупно-товарного производства в условиях тяжелого финансового положения, недостатка материальных ресурсов и технического обеспечения на фермах выбывают в первую очередь высокопродуктивные животные, которые в большей степени подвержены различным заболеваниям.
Из всех отраслей животноводства наибольшие потери характерны для овцеводства. Его количественный и качественный потенциал существенно подорван, имела место массовая ликвидация овцеводческих ферм в общественных хозяйствах, а материально-техническая база оставшихся ферм отброшена на несколько десятилетий назад.
Восстановление и развитие производственной базы животноводческих хозяйств предусматривается в Федеральных программах развития отраслей животноводства до 2005 года.
Соблюдение технологии содержания скота и птицы и производства продукции животноводства непосредственно зависит от рациональной организации труда в хозяйстве. При организации труда в животноводстве необходимо безусловное соблюдение таких основных принципов рациональной организации рабочих процессов как пропорциональность, согласованность, ритмичность, непрерывность. [Попов . . Организация с/х-го производства, стр. ]
1.2. Эффективность производства продукции животноводства
Эффективность производства – это сложная экономическая категория, в которой отражаются действия экономических законов и проявляется важнейшая сторона деятельности предприятия – его результативность.
Эффективность в производстве это всегда величина относительная, а не абсолютная

Следует различать понятие эффект и эффективность.
Эффект – это следствие или результат тех или иных мероприятий. Он не дает представления о выгодности мероприятия. Поэтому эффект необходимо сопоставить с затратами.
Оценка экономической эффективности производства продукции животноводства проводится по комплексу натуральных и стоимостных показателей.
При оценке эффективности животноводства используются следующие показатели:
● стоимость валовой продукции, сумма валового дохода и прибыли в расчете на одного работника, занятого в отрасли, один затраченный человеко-час., одну условную голову скота, сто рублей производственных основных средств;
● сумма производственных затрат в расчете на один рубль стоимости продукции;
● уровень рентабельности произведенной и реализованной продукции животноводства в целом;
● норма прибыли
Сравнительная экономическая оценка производства отдельных видов продукции животноводства, проводимая в целях выявления наиболее эффективных видов ее проводится по натуральным и стоимостным показателям:
● продуктивность сельскохозяйственных животных;
● выход валовой продукции в натуральном и денежном выражении в расчете на одного работника, один человеко-час трудоемкости продукции, а также на одну голову скота, на один центнер продукции и один рубль валовой продукции;
● реализованная цена одного центнера продукции;
● сумма прибыли в расчете на одну голову скота и на один центнер продукции;
● уровень рентабельности производства продукции
Сравнительную экономическую оценку пород скота, систем его содержания, структура стада, типов, норм, рационов кормления и другое проводят по следующим основным показателям: продуктивности скота, выходу валовой продукции в натуральном и денежном выражении в расчете на одну голову скота, производительности труда, размеру трудовых и всех производственных затрат в расчете на одну голову скота, окупаемости дополнительных затрат, себестоимости продукции, сумме чистого дохода или прибыли в расчете на одну голову скота и одного центнера продукции, уровню рентабельности. Оценку экономической эффективности указанных мероприятий проводят путем сравнения нескольких вариантов и выбора наиболее эффективного из них. [Коваленко Н.Я. стр. ]
Расчет экономической эффективности в любом случае предполагает сопоставление данных.
В этом случае следует сопоставлять затраты на проведение ветеринарных мероприятий с суммами вероятного материального ущерба. Фактический ущерб слагается из потерь от падежа, вынужденного убоя, снижения продуктивности и качества продукции. [
1.3. Пути и резервы повышения эффективности продукции животноводства
Продолжающийся спад сельскохозяйственного производства и снижение его эффективности требуют от работников аграрной сферы приложения больших усилий для выхода из создавшегося положения, стабилизации производства, повышения его эффективности.
Принципиальным отличием современного периода по сравнению с дореформенным, является то, что экономическое состояние предприятий, независимо от формы собственности, зависит от результатов их производственно-финансовой деятельности. При этом роль трудовых коллективов в процессе управления производством на селе, в повышении его эффективности значительно возрастает. Задача поддержания производства на определенном уровне эффективности и работы о постоянном росте выступает сегодня на первый план, как одна из важнейших черт аграрной политики.
В этой связи обоснование приоритетных направлений повышения эффективности работы сельскохозяйственных предприятий в условиях рыночной экономики является весьма актуальной проблемой. Она объективно обусловлена и требует всестороннего исследования, выявления основных факторов и резервов, за счет которых может быть достигнута их эффективность.
В период формирования рыночных отношений в животноводческой продукции наблюдается устойчивый спад производства, снижение его эффективности.
Одна из основных причин спада мясной и молочной продукции связана с неудовлетворительным состоянием кормовой базы, низким уровнем кормления, несбалансированностью кормового рациона.
Резко снизилась эффективность использования кормов, генетические возможности животных используются в лучшем случае наполовину.
Рост производства молока и мяса можно обеспечить только на основе рационального использования производственного потенциала. Его эффективность обусловлена воздействием следующих основных факторов: экономические, социальные, природные и биологические. [
К экономическим факторам относятся:
Интенсификация сельского хозяйства. Решение этой задачи возможно на базе достижений научно-технического прогресса, внедрения интенсивных технологий и рациональных форм организации производства.
Ускоренный научно-технический прогресс, развитие производственной инфраструктуры. В решении продовольственной проблемы первостепенное внимание должно уделяться сферам заготовки, хранения и реализации продукции. Повышение эффективности производства и достижение высоких конечных результатов во многом зависит от коренного улучшения дорожно-транспортного движения в сельской местности. [
Развитие специализации и концентрации на базе сельскохозяйственной кооперации и агропромышленной интеграции.
Совершенствование экономических отношений и условий работы в сельском хозяйстве:
● управление и планирование в отрасли;
● система заготовок;
● ценообразование;
● материальное стимулирование за повышение качества работы и продукции;
● ответственность за результаты хозяйственно-финансовой деятельности.
Совершенствование взаимоотношений между сельскохозяйственными, промышленными и заготовительными предприятиями всех отраслей, входящих в состав АПК, повышение их взаимной ответственности за увеличение выхода конечной продукции и снижению затрат на ее производство.
Строгое соблюдение режима экономии, снижение себестоимости продукции, повышение ее качества.
Основным направлением повышения экономической эффективности производства является рост продуктивности животных при экономном расходовании материально-денежных средств на выращивании животных. Продуктивность коров в перспективе должна быть увеличена в 1,3-1,5 раза, а среднесуточный прирост живой массы крупного рогатого скота необходимо довести до 600-700 грамм вместо 420 грамм в настоящее время. Основу развития животноводства составляют хорошо сбалансированные рационы кормления и надлежащий уход за животными. В этой связи первостепенное значение должно быть уделено ускоренному развитию кормовой базы. [Коваленко Н.Я. стр. 437]
Повышение экономической эффективности животноводства немыслимо без дальнейшего роста уровня комплексной механизации всех технологических процессов. Необходимо полностью механизировать раздачу кормов и уборку навоза на фермах, доение коров и подачу воды. При комплексной механизации трудоемких процессов затрат труда на единицу животноводческой продукции могут быть сокращены на 35-40%.
Крупным резервом повышения рентабельности продукции животноводства является улучшение качества продукции. Это относится не только к молоку, но и мясу скота и птицы и другим видам продукции.
Важное значение в повышении экономической эффективности продукции животноводства отводится совершенствованию форм организации и материального стимулирования труда.
На молочных фермах, как правило, применяют привязное содержание коров с доением в молоко-провод. В ряде хозяйств благодаря рациональной организации производства такой способ содержания и доения коров обеспечивает получение надоев более 8000 килограмм.
Активная интеграция сельскохозяйственных товаропроизводителей с молокоперерабатывающими предприятиями и финансовая поддержка со стороны последних способствуют модернизации доения коров.
Необходимо механизировать раздачу кормов на всех фермах, где позволяет ширина проходов, мобильными кормораздатчиками. Организация труда должна быть бригадная или бригадно-звеньевая, установлен двухсменный режим работы.
Бригады преимущественно должны быть специализированными – по производству молока, выращиванию племенного и молочного молодняка, заготовке и вывозке органических удобрений, уходу за пастбищами и другое. [Стернигов Б.К. стр. 145 ]
Характеристика природно-экономических условий хозяйства ( СПК “Обской”)
Месторасположение и почвенно-климатические условия, землепользование
СПК “Обской” организован в 1969 году. Хозяйство расположено в восточной части Чаинского района, во второй природно-экономической области. Землепользование СПК “Обской” находится на двух участках, разделенных рекой Обь. Центральная усадьба расположена в село Новоколомино, в 58 км. От районного центра село Подгорное и в 243 км. От областного – г. Томска.
Согласно агроклиматическому районированию территория хозяйства находится в зоне умеренно увлажненного района. Климат на территории совхоза резко континентальный с холодной продолжительной зимой и коротким теплым летом. Количество атмосферных осадков выпадающих за год составляет 457 мм., в том числе за вегетационный период 225 мм. Средняя продолжительность периода возможной вегетации растений определяется в 144 дня. Высота снежного покрова из наибольших декадных высот за зиму составляет 53 см. Продолжительность безморозного периода 89 дней.
Сумма положительных температур воздуха выше +10°C cоставляет 1610°. Господствующими ветрами являются ветры Юго-западного направления. Абсолютный минимум температуры достигает -53°C и максимум +36°C. Климатические условия зоны способствуют ежегодному вызреванию большинства скороспелых районированных сортов сельскохозяйственных культур. Однако, возможно снижение урожая за счет недобора тепла в отдельные годы.
Поверхность землепользования СПК “Обской” делится рекой Обь на 2 обособленных участка. На первом участке находятся все пахотные земли и часть сенокосов и пастбищ. Рельеф в основном равнинный, но разрезан большим количеством глубоких логов.
Второй участок занимают сенокосы, которые ежегодно подвергаются затоплению во время весеннего паводка. Лишь Северная часть этого участка не затопляется.
Почвенный покров территории хозяйства представлен следующими типами и разновидностями:
Серые лесные оподзоленные
Светло-серые лесные оподзоленные
Комплексные
Перегнойно-болотные
Луговые
Основная площадь пахотных земель представлена светло-серыми лесными оподзоленными почвами.
Почвенно-эрозионных процессов на территории землепользования не наблюдается.
Древесная растительность представлена, в основном, лиственными породами: осина, береза с примесью рябины и черемухи. Кроме того, из хвойных пород встречаются: ель, пихта, кедр, лиственница.
Растительный покров на луговых участках состоит, в основном, из следующих растений: лисохвост, мятник, звездчатка, герань луговая, костер и другие.
На пашне чаще всего встречаются сорняки: осот розовый, осот желтый, хвощ полевой, жарбей, овсюг, лебеда.
Рассмотрим землепользование в СПК “Обской” за 1997-2001 года.
Таблица 2.1.
|
Показатели |
Площадь, га. |
Структура, % 2001 год |
||||
|
1997 |
1998 |
1999 |
2000 |
2001 |
||
|
Общая земельная площадь |
16528 |
16528 |
16528 |
16528 |
16528 |
100 |
|
В т.ч. с/х угодья |
3738 |
3738 |
3738 |
3738 |
3738 |
22,62 |
|
из них: пашня |
1276 |
1276 |
1276 |
1276 |
1276 |
7,72 |
|
Сенокосы |
2002 |
2002 |
2002 |
2002 |
2002 |
12,11 |
|
Пастбища |
460 |
460 |
460 |
460 |
460 |
2,78 |
|
Площадь леса |
8449 |
8449 |
8449 |
8449 |
8449 |
51,12 |
|
Пруды и водоемы |
603 |
603 |
603 |
603 |
603 |
3,65 |
В состав общей земельной площади относят всю территорию, закрепленную за сельскохозяйственным предприятием.
Анализируя данные таблицы видно, что СПК “Обской” располагает различными сельскохозяйственными угодьями. Общая земельная площадь за рассматриваемый период не изменилась. Наибольший удельный вес, среди которых занимает площадь сельскохозяйственных угодий (22,62%) в связи со специализацией хозяйства.
Специализация хозяйства
Результаты хозяйственной деятельности во многом зависят от уровня специализации производства.
Специализация сельскохозяйственного предприятия заключается в выделении главной отрасли и создании условий для ее преимущественного развития. Оно характеризует производственное направление и определяет отраслевую структуру хозяйства. [ Коваленко Н.Я. стр. 60 ]
Специализация сельскохозяйственного производства развивается под воздействием двух тенденций: с одной стороны, углубление общественного разделения труда содействует более узкой специализации, а с другой – особенности сельскохозяйственного производства ( сезонность, особая роль земли и тесная связь растениеводства и животноводства ) вызывают необходимость развития многоотраслевых предприятий. [ Савицкая Г.В. АХД, стр.9 ]
Цель специализации сельскохозяйственных предприятий – создание условий для увеличения прибыли, объема производства продукции, снижение издержек, повышения производительности труда, улучшение качества продукции.
Основным показателем, характеризующим специализацию сельскохозяйственных предприятий, является структура товарной продукции (см. таблица 2.2.)
Для определения уровня специализации производства рассчитывают коэффициент специализации:

=
,
где
―
коэффициент специализации,
―
удельный вес I-го вида
продукции,
―
ранг (порядковый номер отдельных видов
продукции).
Значение коэффициента специализации может колебаться от 0 до 1.
Если
меньше 0,2, то это свидетельствует о
слабовыраженной специализации, от 0,2
до 0,4 – о средней, от 0,4 до 0,6 – о высокой
и свыше 0,6 – об углубленной.
Таблица 2.2
Специализация СПК “ Обской” по структуре выручки за реализованную продукцию
|
Показатели |
Выручка, тысяч рублей |
Структура, % |
Средний ранг |
Средний ранг |
||||||||
|
1997 |
1998 |
1999 |
2000 |
2001 |
1997 |
1998 |
1999 |
2000 |
2001 |
|||
|
Растениеводство |
||||||||||||
|
Зерновые и зернобобовые |
50 |
131 |
199 |
867 |
304 |
4,8 |
10,9 |
13,6 |
40,3 |
15,3 |
16,98 |
4 |
|
Прочая продукция растениеводства |
60 |
72 |
216 |
100 |
124 |
5,8 |
6,0 |
14,8 |
4,65 |
6,2 |
7,49 |
5 |
|
Итого продукции растениеводства |
110 |
203 |
415 |
967 |
428 |
10,6 |
16,9 |
28,4 |
44,95 |
21,5 |
24,47 |
|
|
Животноводство |
||||||||||||
|
Скот в живом весе на мясо КРС |
625 |
676 |
646 |
309 |
230 |
60,2 |
56,19 |
44,2 |
14,3 |
11,56 |
37,29 |
1 |
|
Молоко цельное |
- |
- |
69 |
719 |
1013 |
- |
- |
4,7 |
33,4 |
50,9 |
29,7 |
2 |
|
Прочая продукция животноводства |
8 |
14 |
4 |
1 |
1 |
0,8 |
1,16 |
0,3 |
0,05 |
0,05 |
0,5 |
6 |
|
Итого продукции животноводства |
633 |
690 |
719 |
1029 |
1244 |
61,0 |
57,35 |
49,2 |
47,75 |
62,51 |
67,49 |
|
|
Реализация прочей продукции, работ, услуг |
295 |
310 |
327 |
156 |
318 |
28,4 |
25,8 |
22,4 |
7,2 |
16 |
19,96 |
3 |
|
Всего: |
1038 |
1203 |
1461 |
2152 |
1990 |
100 |
100 |
100 |
100 |
100 |
X |

Основываясь на данные годы 2.2, произведём расчёт коэффициента специализации:
К>сп>=100/37,29(2*1-1)+29,7(2*2-1)+19,96(2*2-1)+ 16,98(2*4-1)+7,49(2*5-1)+0,5(2*6-1)=100/37,29+ 89,1+99,8+118,86+67,41+5,5=100/417,96=0,24
Рассчитанный коэффициент свидетельствует о том, что в СПК “Обской” средний уровень специализации.
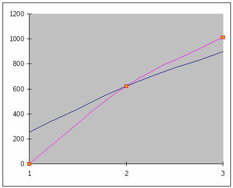
Приступая к анализу таблицы 2.2, для наглядности изобразим график (см. Рис.1).
По данным таблицы 2.2, как и по графику видно, что СПК “Обской” специализируется на производстве животноводческой продукции и имеет молочно-мясное направление.
Не смотря на то, что продукция животноводства и преобладает в структуре выручки, но в период 1997-2000 гг. её удельный вес заметно сократился.
Теперь проанализируем данные таблицы более детально.
За период 1997-1999 гг. высший ранг занимал удельный вес выручки от реализации крупного рогатого скота (КРС) в живой массе, хотя здесь наблюдается тенденция сокращения. Произошло это вследствие сокращения поголовья КРС на мясо и появления в хозяйстве молочного стада в 1999 году.
В 2000 году высший ранг стал занимать удельный вес выручки от реализации зерновых и зернобобовых, который за период с 1997-2000 гг. заметно увеличился. Это произошло за счёт посева зерновых и роста цен на зерно. В 2001 году ведущее место занимает молоко – 50,9%, что обусловлено увеличением дойного стада и его продуктивности.
В связи со специализацией хозяйства сложилась организационная и управленческая структура:
Рис. 2. Организационная структура СПК “Обской”
-
Дирекция













Рис. 3 Структура управления СПК “Обской”






Директор предприятия
Наблюдательный совет
Общее собрание членов кооператива
Основные параметры СПК “Обской”
Основные параметры деятельности предприятия характеризуют экономическую эффективность специализации и сочетания отраслей в сельском хозяйстве. Эти показатели представлены в таблице 2.3
Таблица 2.3
Основные параметры деятельности СПК “Обской”
|
Показатели |
1997 |
1998 |
1999 |
2000 |
2001 |
Темп изменения, %. 2001 к 1997 |
|
А |
1 |
2 |
3 |
4 |
5 |
6 |
|
2845 |
3025 |
2521 |
3175 |
4156 |
X |
|
295 |
233 |
283 |
335 |
272 |
-7,8 |
|
237 |
175 |
222 |
233 |
156 |
-34,2 |
|
58 |
58 |
61 |
102 |
116 |
+100 |
|
-407 |
-625 |
466 |
1032 |
593 |
X |
|
1239 |
1414 |
1936 |
2611 |
2422 |
X |
|
1945 |
2177 |
2149 |
2693 |
2495 |
X |
|
-730 |
-804 |
-269 |
-82 |
-73 |
X |
|
-730 |
-831 |
-325 |
-112 |
-307 |
X |
|
323 |
283 |
242 |
270 |
274 |
-15,2 |
|
- |
- |
25 |
91 |
111 |
+83,25 |
|
193,8 |
169,8 |
148,79 |
165,88 |
164,4 |
-14,97 |
|
34983 |
28193 |
28847 |
29383 |
28449 |
X |
|
22745 |
15945 |
20927 |
16623 |
17145 |
X |
|
75 |
82 |
81 |
74 |
64 |
-14,7 |
|
50 |
53 |
53 |
53 |
50 |
- |
|
16528 |
16528 |
16528 |
16528 |
16528 |
- |
|
3738 |
3738 |
3738 |
3738 |
3738 |
- |
|
146 |
110 |
116 |
108 |
94 |
-35,6 |
|
12,27 |
7,4 |
14,2 |
14,17 |
8,8 |
-28,3 |
Исходя из данных, можно сделать вывод, что на конец рассматриваемого периода объём валовой продукции в сопоставимых ценах значительно уменьшился. Это произошло за счёт сокращения валовой продукции растениеводства на 34,2% вследствие уменьшения урожайности. Не смотря на то, что объём валовой продукции сократился, по данным таблицы видно увеличение среднего годового поголовья основного молочного стада.
Тенденция сокращения наблюдается и в среднегодовом поголовье КРС. На 15,2%. Также заметно сокращение среднесписочной численности работников в анонсируемом хозяйстве на 14,7%. Сократились и затраты труда на 35,6%.
Для более полной экономической характеристики СПК “Обской” необходимо рассмотреть интенсификация хозяйства.
Уровень интенсификации производства оказывает большое влияние на результаты хозяйственной деятельности. Расширенное воспроизводство в сельском хозяйстве может осуществляться экстенсивным и интенсивных путём.
Экстенсивный путь развития характеризуется достижением роста объёмов производства продукции путём расширения земельных площадей и увеличения поголовья.
Интенсивный путь развития способствует непрерывному росту урожайности сельскохозяйственных культур и продуктивности животных. Этот путь позволяет более эффективно использовать имеющиеся ресурсы, площади сельскохозяйственных угодий, поголовье скота и птицы.
Таким образом, интенсификация представляет собой такой экономический процесс, при котором наблюдается рост затрат на единицу площади или голову скота и достигается увеличение производства продукции растениеводства и животноводства, улучшение её качества и снижение материально-денежных затрат на производство и реализацию [Коваленко Н.Я., стр. ]
Показатели, характеризующие уровень интенсивности производства приведены в таблице 2.4. Приведённые показатели поддаются количественному учёту в стоимостном или натуральном выражении.
Таблица 2.4
Уровень интенсификации и интенсивности производства
|
Показатели |
1997 |
1998 |
1999 |
2000 |
2001 |
Темп изменения, %. 2001 к 1997 |
|
А |
1 |
2 |
3 |
4 |
5 |
6 |
|
||||||
|
608,5 |
426 |
559 |
444,7 |
458,7 |
75,4 |
|
49,3 |
67,8 |
52,4 |
58,2 |
63,03 |
127,8 |
|
90,21 |
95,24 |
88,15 |
97,16 |
113,14 |
125,4 |
|
5,2 |
4,5 |
4 |
4,4 |
4,4 |
84,6 |
|
||||||
|
12,27 |
7,4 |
14,2 |
14,17 |
8,8 |
71,7 |
|
||||||
|
11,32 |
12,0 |
10,3 |
4,41 |
4,55 |
40,2 |
|
- |
- |
13,86 |
72,61 |
85,61 |
617,6 |
|
76,11 |
80,9 |
67,44 |
84,9 |
118,2 |
155,3 |
|
-19,5 |
-21,6 |
-7,2 |
-2,2 |
-1,9 |
9,7 |
|
-58,9 |
-57,00 |
-13,9 |
-3,14 |
-3,0 |
5,1 |
|
-37,53 |
-36,9 |
-12,52 |
-3,04 |
-2,93 |
7,8 |
|
-2,97 |
-4,36 |
-1,2 |
-0,44 |
-0,37 |
12,5 |
|
0,84 |
0,85 |
0,76 |
0,87 |
0,98 |
116,7 |
На исследуемом предприятии происходит расширение производства преимущественно интенсивным путём, при неизменных площадях, увеличивается вложение капитала, а именно материальные оборотные средства, на 27,8% на 100 га ОФП сельскохозяйственных угодий и производственные затраты на 25,4%.
Что касается дополнительных показателей, то можно заметить понижение урожайности на 28,3% из-за непогодных условий.
По результатам интенсификации видно, что производство молока увеличивается в 6,2 раза, так как произошло увеличение поголовья основного стада.
Здесь можно сказать об экстенсивном способе воспроизводства, а именно в отрасли животноводства. В результате этого валовая продукция в текущих ценах на 100 га с/х угодий увеличивается на 55,3%, при этом увеличивается выручка на 95,2%.
Эффективность интенсификации показывает, что в СПК “Обской” уровень рентабельность имеет отрицательное значение из-за убытков, но несмотря на это уровень рентабельности в 2001 году по сравнению с 1997 годом уменьшился на 55,9%, а по сравнению с 2000 – на 0,14%.
В заключении можно сказать, что, возможно, в 2002 году данное предприятие будет рентабельным.
Производство продукции растениеводства
Основные задачи отрасли растениеводства – обеспечить животноводство качественными кормами собственного производства. В СПК “Обское” за последние годы в структуре посевных площадей зерновые занимали 58,6%: площадь пашни, кормовые – 41,4%, пары и озимая рожь не имелись. Из кормовых культур наибольшую площадь отводили под однолетние и многолетние травы. В хозяйстве не имеется орошаемых и осушенных земель. Что касается системы использования естественных кормовых угодий, создание прочной кормовой базы с целью обеспечения общественного и частного скота всеми видами кормов собственного производства требует рационального, высокоэффективного использования естественных кормовых угодий.
Сенокосы и пастбища являются источником получения дешёвых и ценных кормов для животноводства. До настоящего времени в хозяйстве недостаточно внимания уделялось улучшению использования кормовых угодий. Лишь незначительная часть сенокосов улучшена коренным способом, а поверхностное улучшение не проводилось. Планируется проведение только поверхностного улучшения ввиду того, что почти все сенокосы ежегодно затопляются, и возможен плоскостный смыв плодородного слоя после вспашки. Площадь пастбищ, которая находится в границах полей мелкими контурами, заселена, и улучшение её не предусматривается. На этих участках идёт выпас скота частного сектора, и часть используется под сенокосы.
В хозяйстве выделено 9 пастбищных участков, каждый из которых закреплён за определёнными группами скота; основная часть пастбищ находится за р. Обь, и поэтому для пастьбы скот перевозится на этот участок на пароме. Использование пастбищ следует производить, не допуская чрезмерного стравливания. Необходимо проводить подкашивание несъедобных остатков травостоя, подсев трав и др. В результате выполнения мероприятий по улучшению использования естественных кормовых угодий удельный вес кормов с них в общем объёме вырастает.
В увеличении производства и качества кормов большую роль играет совершенствование структуры посевных площадей кормовых культур, повышение их урожайности, широкое использование удобрений. Оптимальная структура посевных площадей предусматривает расширение многолетних трав, особенно бобовых, а также увеличение площадей под горохом.
Строгое соблюдение технологии силосования и сенажирования; сроков скашивания культур на эти цели с учётом погодных условий обеспечивает сохранение в них до 90% питательных веществ и получение кормов высокого качества.
Выполнение всех мероприятий позволит значительно повысить качество растениеводческой продукции.
Анализ производства продукции растениеводства целесообразно начинать с изучения её динамики, как по отдельным её видам, так и в целом по растениеводству с оценкой производственных изменений. Для этого необходимо иметь данные об объёме валовой продукции растениеводства за 5 лет. На основании этих данных рассчитываются базисные и цепные индексы.
Таблица 2.5
Анализ валовой продукции растениеводства
|
Год |
Валовая продукция (в сопоставимых ценах), тыс. руб. |
Темп изменения, % |
Валовая продукция растениеводства, тыс. руб. |
Темп изменения, % |
||
|
Цепной |
Базисный |
Цепной |
базисный |
|||
|
1997 |
295 |
- |
- |
237 |
- |
- |
|
1998 |
233 |
78,9 |
78,9 |
175 |
73,8 |
73,8 |
|
1999 |
283 |
121,5 |
95,9 |
222 |
126,9 |
93,8 |
|
2000 |
335 |
118,4 |
113,6 |
233 |
104,9 |
98,3 |
|
2001 |
272 |
81,2 |
92,2 |
156 |
66,9 |
65,8 |
Вывод: Производство валовой продукции в целом по предприятию в 2001 году снижается по отношению к прошлому году на 18,8% в результате уменьшения валовой продукции растениеводства на 33,1%, а также по отношению к базисному году наблюдается снижение на 7,8% в общем показателе и на 34,2% - по растениеводству.
На данную динамику повлияло изменение валового сбора (см. табл. 2.6).
Вывод: анализируя таблицу 2.6, видно, что происходит снижение валового сбора практически по всем видам продукции растениеводства.
По однолетним травам валовой сбор сократился на 60,3% по отношению к 1997 году, по зерновым культурам – на 19,2%.
Однако положительным следует отметить увеличение сбора многолетних трав в 7,5 раз, что обусловлено изменением специализации хозяйства, то есть производством молока, а отсюда фуражных культур для основного стада.
Таблица 2.6
Анализ валового сбора, ц
|
Виды продукции |
1997 |
1998 |
1999 |
2000 |
2001 |
Темп прироста (+;-) |
|
9263 |
8169 |
11385 |
10060 |
7490 |
-19,2 |
|
100 |
124 |
- |
70 |
- |
- |
|
9163 |
8045 |
11385 |
9990 |
7490 |
-18,3 |
|
1389 |
2400 |
4680 |
6850 |
6709 |
+383 |
|
16879 |
1192 |
14316 |
20065 |
10556 |
-60,3 |
|
7000 |
- |
- |
- |
- |
- |
Объём производства продукции растениеводства зависит от размера посевных площадей и урожайности сельскохозяйственных культур: с увеличением размера посевных площадей и ростом урожайности культур увеличивается и валовой сбор продукции и, наоборот, сокращение посевных площадей и понижение урожайности ведёт к недобору продукции (см.
табл. 2.7)
Таблица 2.7
Анализ урожайности и посевной площади
|
Виды продукции |
Урожайность ц/га |
Посевные площади, га |
||||||||||
|
1997 |
1998 |
1999 |
2000 |
2001 |
Относительное изменение (+;-) |
1997 |
1998 |
1999 |
2000 |
2001 |
Относительное изменение (+;-) |
|
|
12,27 |
7,4 |
14,2 |
14,17 |
8,8 |
-28,3 |
755 |
1199 |
800 |
710 |
850 |
+12,6 |
|
6,7 |
12,4 |
- |
7 |
- |
+4,5 |
15 |
10 |
- |
10 |
- |
-33,4 |
|
12,4 |
7,4 |
14,2 |
14,3 |
8,8 |
-29,1 |
740 |
1090 |
800 |
700 |
850 |
+14,9 |
|
11,9 |
20,5 |
40,05 |
58,5 |
67,2 |
467,7 |
117 |
117 |
117 |
117 |
157 |
+349 |
|
60,3 |
29,8 |
40,1 |
45,7 |
27,6 |
-54,3 |
280 |
40 |
357 |
439 |
243 |
-13,2 |
|
Кукуруза на силос и зелёный корм |
116,7 |
- |
- |
- |
- |
- |
60 |
- |
- |
- |
- |
- |
Исходя из таблицы 2.7, можно сделать вывод: Под зерновыми культурами посевных площадей в СПК “Обской” в 2001 году занято 61%. За рассматриваемый период площадь посевов увеличилась на 12,6 га, хотя при этом заметно уменьшение урожайности, что отрицательно повлияло на валовой сбор продукции.
На снижение урожайности повлияли природно-климатические условия; некачественное выполнение всех полевых работ.
Трудовые ресурсы
Повышение эффективности сельскохозяйственного производства и конечные результаты труда непосредственно зависят от уровня квалификации кадров и степени использования трудовых ресурсов [см. Коваленко, стр. 171].
К трудовым ресурсам самого хозяйства относят население в трудоспособном возрасте. Состав трудовых ресурсов государственных сельскохозяйственных предприятий представлен постоянными и временными работниками, состоящими в штате. Формирование трудовых ресурсов и их использование в разных отраслях экономики имеют свои особенности. В сельском хозяйстве с развитием производительных сил, научно-технического прогресса сокращается численность работников, занятых непосредственно производством продукции, в их использовании наблюдается сезонность и тесная связь с природно-климатическими условиями.
Достаточная обеспеченность сельскохозяйственных предприятий необходимыми трудовыми ресурсами, их рациональное использование, высокий уровень производительности труда имеют большое значение для увеличения производства продукции и повышения эффективности производства [см. Шакиров. Организация сельскохозяйственного производства].
Ни одно производство не мыслимо без участия человеческого фактора, то есть определённых кадров, одним из важнейших показателей наличия в хозяйстве трудовых ресурсов является состав трудовых ресурсов по категориям рабочих (см. табл. 2.8).
За анонсируемый период численность работников, работающих в хозяйстве, в общем, сократилась на 11 человек. Из них рабочих постоянных на 2 человека, в том числе трактористов-машинистов на 4 человека вследствие сокращения машинно-тракторного парка, причиной которого устаревание техники и ''выхода её из строя''. Также заметно сокращение специалистов; рабочих жилищно-коммунального хозяйства; работников детских учреждений и учебных заведений; работников, занятых в подсобных предприятиях и промыслах. Это связано, прежде всего, с выходом на пенсию, увольнением и т.д. Также необходимо отметить, что молодёжь, получившая среднее образование, не стремится остаться в хозяйстве, ищет работу в
Таблица 2.8
Среднегодовая численность и состав трудовых ресурсов хозяйстве, чел.
|
Категории работников |
Ср. годовая численность, чел. |
Структура, % |
Темп изменения (+;-) |
||||||||
|
1997 |
1998 |
1999 |
2000 |
2001 |
1997 |
1998 |
1999 |
2000 |
2001 |
||
|
75 |
82 |
81 |
74 |
64 |
100 |
100 |
100 |
100 |
100 |
-11 |
|
34 |
32 |
32 |
37 |
32 |
45,3 |
39,0 |
39,5 |
50 |
50 |
-2 |
|
21 |
21 |
21 |
24 |
17 |
28,0 |
25,6 |
25,9 |
32,4 |
26,6 |
-4 |
|
13 |
11 |
11 |
13 |
15 |
17,3 |
13,4 |
13,6 |
17,6 |
23,4 |
+2 |
|
4 |
6 |
6 |
3 |
6 |
5,3 |
7,3 |
7,4 |
4,0 |
9,4 |
+2 |
|
12 |
15 |
15 |
13 |
12 |
16,0 |
18,3 |
18,5 |
17,6 |
18,7 |
0 |
|
6 |
8 |
8 |
8 |
8 |
8,0 |
9,7 |
9,9 |
10,8 |
12,5 |
+2 |
|
6 |
7 |
7 |
5 |
4 |
8,0 |
8,5 |
8,6 |
6,7 |
6,2 |
-2 |
|
10 |
11 |
12 |
12 |
8 |
13,3 |
13,4 |
14,8 |
16,2 |
12,5 |
-2 |
|
5 |
7 |
6 |
6 |
3 |
6,7 |
8,5 |
7,4 |
8,1 |
4,7 |
-2 |
|
5 |
5 |
4 |
- |
- |
6,7 |
6,1 |
5,0 |
- |
- |
- |
|
1 |
2 |
3 |
- |
- |
1,3 |
2,4 |
3,7 |
- |
- |
- |
|
4 |
4 |
3 |
3 |
3 |
5,3 |
5,0 |
3,7 |
4,1 |
4.7 |
-1 |
городе. По данным таблицы заметно увеличение работников, занятых обслуживанием животноводства на 2 человека (уборка урожая).
Рост производства продукции сельского хозяйства может быть достигнут либо за счёт увеличения количества применяемых ресурсов, либо за счёт повышения эффективности их использования. Важная роль в этой связи отводится рациональному использованию трудовых ресурсов.
Основной экономической категорией, которая характеризует эффективность использования трудовых ресурсов, является производительность труда.
Под производительностью труда понимают результативность конкретного труда, эффективность целесообразной производственной деятельности человека в течение определённого рабочего времени. Это соотношение между количеством произведённой продукции и рабочим временем, затраченным на её производство. Производительность труда представляет собой способность конкретного труда человека производить определённое количество потребительных стоимостей в единицу рабочего времени [см. Коваленко, стр. 170].
Примерный расчёт уровня и динамики производительности труда приведён в таблице 2.9
Таблица 2.9
Уровень и динамика производительности труда в СПК “Обской”
|
Показатели |
97 |
98 |
99 |
00 |
01 |
01 и 97г., % |
|
Произведено валовой продукции на ср. годового работника |
5,9 |
4,4 |
5,34 |
6,32 |
5,44 |
92,2 |
|
ВП на 1 час |
2,02 |
2,12 |
2,44 |
3,10 |
2,90 |
143,6 |
|
ВП на 1 ч-дней |
14,8 |
14,6 |
16,6 |
22,3 |
20,9 |
141,2 |
Данные таблицы свидетельствуют о снижении производительности труда на 1 ср. годового работника на 7,8%. Что отрицатель сказывается на выходе валовой продукции. Часовая, а также дневная производительность труда по приведённым показателям увеличилась в среднем на 42%. Это вызвано снижением затрат труда на её производство.
Уровень производительности труда в сельском хозяйстве может быть рассчитан путём деления количества затраченного рабочего времени на размер произведённой продукции. Этот показатель называют трудоёмкостью продукции:
t=T/В>н>, где
t – трудоспособность, чел.-час/ц
T – количество затраченного рабочего времени, тыс. чел.-час.
В>н >– размер валовой продукции в натуральном выражении, ц.
Данный показатель более часто встречается в практике анализа хозяйственной деятельности предприятия. Эффективность использования трудовых ресурсов показана в следующей таблице:
Таблица 2.10
Трудоёмкость производства продукции в хозяйстве, чел.-час/ц
|
Показатели |
97 |
98 |
99 |
00 |
01 |
01 к 97 (+;-) |
|
Выход продукции в натуре на одного человека прямых затрат труда, кг (выручка) |
||||||
|
Зерно |
63,44 |
74,26 |
98,15 |
93,15 |
79,7 |
|
|
Молоко |
- |
- |
4,5 |
25,13 |
34,04 |
|
|
Прирост животной массы КРС |
2,9 |
4,1 |
3,31 |
1,53 |
1,81 |
|
|
Прямые затраты труда на производство основных видов продукции (трудоёмкость производства), чел.-час. |
||||||
|
Зерно |
0,02 |
0,01 |
0,01 |
0,01 |
0,01 |
|
|
Молоко |
- |
- |
0,32 |
0,04 |
0,03 |
|
|
Прирост животной массы КРС |
0.35 |
0,25 |
0,30 |
0,65 |
0,55 |
Исходя из данных таблицы, можно сказать, что трудоёмкость производства зерновых сократилась в 2001 году по сравнению с 1997 годом на 0,01 чел.-час/ц, так как продукция животноводства, в целом, более трудоёмка, чем продукция растениеводства.
Основные фонды
Главная роль в производстве продукции отрасли принадлежит фондам сельскохозяйственного назначения, на долю которых приходится свыше 80% стоимости основных производственных фондов. Включаемые в их состав средства производства служат для достижения различных целей [Коваленко, стр. 208].
Основные средства – часть имущества, используемая в качестве средств труда при производстве продукции, выполнении или оказании услуг, либо для управления организацией в течение периода, превышающего 12 месяцев или обычный операционный цикл, если он превышает 12 месяцев. Их стоимость переносится на продукцию по мере изнашивания.
В составе основных фондов принято выделять так называемую активную часть – машины, оборудование, транспортные средства, продуктивные систематические и многолетние насаждения.
Исходя из данных таблицы 2.10, можно сделать вывод, что наибольший удельный вес имеют здания, но здесь наблюдается тенденция сокращения за анонсируемый период.
Как уже говорилось выше, очень важно провести анализ активной части ОС.
Данные таблицы свидетельствуют о том, что доля активной части основных средств за период 97-01 гг. сократилась. Это свидетельствует об устарении этой части ОС.
В целом на структуру основных средств оказывает влияние ряд факторов. Одним из таких факторов является специализация хозяйства. Так как СПК “Обской” специализируется на производстве животноводческой продукции, поэтому в структуре преобладает удельный вес зданий и сооружений; но данное хозяйство занимается ещё и
производством зерна, поэтому значительный удельный вес имеют машины и оборудование.
Таблица 2.11
Наличие структура и динамика основных фондов СПК “Обское”
|
Виды ОС |
Стоимость ОС, тыс. руб. |
Структура ОС, % |
|||||||||
|
1997 |
1998 |
1999 |
2000 |
2001 |
1997 |
1998 |
1999 |
2000 |
2001 |
Темп изменения, 2001 к 1997, % |
|
|
1 |
2 |
3 |
4 |
5 |
6 |
7 |
8 |
9 |
10 |
11 |
12 |
|
Здания |
16650 |
14916 |
18522 |
16543 |
15173 |
47,6 |
53,2 |
58,5 |
56,1 |
53,1 |
+5,5 |
|
Машины и оборудование |
15912 |
10787 |
10786 |
10373 |
10371 |
45,5 |
38,5 |
34,1 |
35,2 |
36,3 |
-9,2 |
|
Транспортные средства |
1580 |
1491 |
1494 |
1315 |
1333 |
4,5 |
5,3 |
4,72 |
4,4 |
4,6 |
+0,1 |
|
Инструмент, производственный инвентарь |
41 |
41 |
41 |
34 |
34 |
0,1 |
0,1 |
0,13 |
0,1 |
0,12 |
- |
|
Рабочий скот |
35 |
35 |
35 |
35 |
35 |
0,1 |
0,1 |
0,11 |
0,1 |
0,1 |
- |
|
Продуктивный скот |
- |
- |
- |
435 |
888 |
- |
- |
- |
1,5 |
3,1 |
+1,6 |
|
Другие виды ОС |
774 |
773 |
773 |
761 |
761 |
2,2 |
2,8 |
2,44 |
2,6 |
2,7 |
+0,5 |
|
Итого |
32992 |
28043 |
31654 |
29496 |
28595 |
100 |
100 |
100 |
100 |
100 |
X |
|
В том числе |
|||||||||||
|
Производственные |
23427 |
16363 |
17508 |
17344 |
17813 |
66,9 |
58,35 |
55,3 |
58,8 |
62,3 |
-4,6 |
|
Непроизводственные |
11565 |
11734 |
14143 |
12152 |
10782 |
33,1 |
41,8 |
44,7 |
41,2 |
37,7 |
+4,6 |
Таблица 2.12
Анализ состояния и движения ОС в СПК “Обское”
|
Показатели |
97 |
98 |
99 |
00 |
01 |
|
Наличие ОС на НГ |
34994 |
28043 |
31654 |
29496 |
28595 |
|
Поступило (введено) ОС |
163,99 |
6384 |
475 |
614 |
593 |
|
Выбыло ОС |
414,295 |
2776 |
2680 |
1515 |
4100 |
|
Наличие ОС на КГ |
34743 |
31651 |
29496 |
28595 |
15088 |
|
Износ ОС |
|||||
|
На НГ |
11657 |
12116 |
9226 |
8939 |
12814 |
|
На КГ |
12116 |
9226 |
8939 |
12814 |
12448 |
|
Коэффициент ввода |
0,005 |
1,7 |
0,02 |
0,02 |
0,02 |
|
К выбытия |
0,01 |
0,09 |
0,08 |
0,05 |
0,14 |
|
К Износа |
|||||
|
На НГ |
33,31 |
43,21 |
29,15 |
30,31 |
44,81 |
|
На КГ |
34,87 |
29,15 |
30,31 |
44,81 |
49,17 |
|
К годности |
|||||
|
На НГ |
66,69 |
56,79 |
70,85 |
69,69 |
55,19 |
|
На КГ |
65,13 |
70,85 |
69,69 |
55,19 |
50,38 |
Согласно данным таблицы 2.12 происходит сокращение наличия ОС, так как выбытие их происходит в большем размере, чем их поступление, потому что у хозяйства нет денежных средств на их приобретения. В связи с этим % выбытия основных средств превышает % их обновления.
Коэффициент износа основных средств увеличился из-за критичного морального износа (на 14,5% в связи с этим сокращается коэффициент годности основных средств) на 14,8% за рассматриваемый период
Важными факторами хозяйства является обеспеченность ОС производства и эффективность их использования, от которой зависят результаты хозяйственной деятельности, в том числе качество, полнота и своевременность выполнения сельскохозяйственных работ, производства продукции финансовое состояние предприятия.
Таблица 2.13
Обеспеченность и эффективность использования ОПФ предприятия
|
Показатели |
97 |
98 |
99 |
00 |
01 |
01 к 97, % |
|
Фондообеспеченность сельскохозяйственных угодий, тыс. руб./га |
608,5 |
426,6 |
559,8 |
444,7 |
458,7 |
75,4 |
|
Фондовооружённость, тыс. руб./чел |
454,9 |
300,8 |
394,8 |
313,6 |
342,9 |
75,4 |
|
Фондоёмкость, тыс. руб. |
77,10 |
68,43 |
73,94 |
49,62 |
63,03 |
81,7 |
|
Фондоотдача на 1000 руб. ОС |
12,97 |
14,61 |
13,52 |
20,15 |
15,86 |
122,3 |
|
Энергооснащённость сельхозугодий, м.с.\чел |
168,1 |
154,3 |
143,5 |
141,5 |
132,7 |
78,9 |
|
Энерговооружённость м.с./чел |
125,7 |
108,8 |
101,2 |
99,8 |
99,2 |
78,9 |
Данные таблицы показывают, что почти по всем показателям произошло уменьшение в 2001 году по сравнению с 1997 годом. Фондообеспеченность хозяйства уменьшилась на 24,6%, а энергообеспеченность – на 21,1%, фондовооружённость труда – на 24,6%, а энерговооружённость – на 21,1%. Уменьшение фондообеспеченности объясняется сокращением в хозяйстве ОПФ.
Отсюда можно сделать вывод, что необходимо использовать больше ОПФ для производства единицы продукции. Резервами повышения эффективности использования ОФ является повышение плодородия земель и их рациональное использование, обеспечение оптимальной структуры ОС и в первую очередь фондов растениеводства и животноводства, достижение оптимальных пропорций между силовыми и рабочими машинами, оптимальных пропорций между основными и материальными оборотными средствами, а также от их технического состояния, степени обновления и износа.
Пути повышения эффективности производства и реализации продукции животноводства
Производство и распределение продукции животноводства
Животноводство – важнейшая отрасль сельскохозяйственного производства, дающее более половины его валовой продукции.
Анализ производства продукции животноводства целесообразно начинать с изучения её динамики, как по отдельным её видам, так и в целом по животноводству с оценкой произошедших изменений. Для этого необходимо иметь данные о валовой продукции животноводства за 5 лет. На основании этих данных рассчитываются базисные и цепные индексы (см. табл. 3.1).
Таблица 3.1
Динамика валовой продукции животноводства в стоимостном выражении
|
Год |
Валовая продукция (в текущих ценах), тыс. руб. |
Темп роста, % |
Валовая продукция животноводства |
Темп роста, % |
||
|
Цепной |
Базисный |
Цепной |
базисный |
|||
|
1997 |
3372 |
- |
- |
1383 |
- |
- |
|
1998 |
3560 |
105,6 |
105,6 |
1739 |
125,7 |
125,7 |
|
1999 |
3462 |
97,2 |
102,7 |
1151 |
66,2 |
83,2 |
|
2000 |
3175 |
91,7 |
94,2 |
1104 |
96,0 |
79,8 |
|
2001 |
4156 |
130,9 |
123,2 |
1768 |
160,1 |
127,8 |
Производство валовой продукции в целом по предприятию в 2001 году увеличивается по сравнению с 1997 годом на 17,6%, не смотря на это производство валовой продукции животноводства в 2001 году по сравнению с 1997 годом увеличивается на 2,1%.
На данную динамику повлияло изменение валовой продукции в натуральном выражении (см. табл. 3.2).
Таблица 3.2
Динамика производства продукции животноводства в натуральном выражении
|
Продукция |
1997 |
1998 |
1999 |
2000 |
2001 |
Темп роста, % |
|
Молоко, ц |
- |
- |
518 |
2714 |
3200 |
617,8 |
|
Прирост живой массы КРС, ц |
423 |
448 |
384 |
165 |
170 |
40,2 |
Исходя из данных таблицы 3.2, можно сделать вывод о том, что происходит значительное сокращение прироста крупного рогатого скота в 2001 году по отношению к 1997 году на 59,8% в результате появления в СПК “Обской” молочного стада в 1999 году.
По производству молока заметна тенденция увеличения в 2001 году по сравнению с 1999 годом в 6,2 раза, а по сравнению с 2000 годом – в 1,2 раза вследствие увеличения поголовья основного стада.
Распределение продукции животноводства в хозяйстве можно рассмотреть, исходя, из ср. №16 АПК “Баланс продукции” (см. табл. 3.3).
Таблица 3.3
Распределение молока и мяса
|
Показатели |
Приход, произведено |
Расход, всего: |
В том числе |
|
|
Продажа |
На корм скоту |
|||
|
А |
1 |
2 |
3 |
4 |
|
Молоко |
||||
|
1999г., удельный вес, % |
511 100 |
518 100 |
224 43,24 |
294 56,76 |
|
2000г., удельный вес, % |
2714 100 |
2714 100 |
2272 83,71 |
442 16,29 |
|
2001г., удельный вес, % |
3200 100 |
3200 100 |
2553 79,78 |
647 20,22 |
|
Мясо |
||||
|
1997г., удельный вес, % |
423 100 |
423 100 |
423 100 |
X X |
|
1998г., удельный вес, % |
448 100 |
448 100 |
448 100 |
Х Х |
|
1999г., удельный вес, % |
384 100 |
384 100 |
384 100 |
Х Х |
|
2000г., удельный вес, % |
165 100 |
165 100 |
165 100 |
Х Х |
|
2001г., удельный вес, % |
170 100 |
170 100 |
170 100 |
Х Х |
Вывод: В СПК “Обской” в 1999 году было произведено всего 518 ц молока, но к 2001 году производство данной продукции увеличилось на 2682 ц (в 6,2 раза), так как в 1999 году хозяйство только приобрело крупный рогатый скот молочного стада. Что касается мяса, то здесь, наоборот происходит снижение в 2001 году по отношению к 1997 году на 253 ц, та как производство мяса стало невыгодным для данного хозяйства.
Всё мясо используют на внутреннее потребление, а именно его сдают в столовую, ''харчевню'', школу и детский сад данного хозяйства для приготовления обедов.
Произведённое молоко в основном идёт на реализацию. В 2001 году по сравнению с 1999 годом количество реализованного молока увеличилось на 2329 ц (в 11,4 раза), что и определяет его уровень специализации.
На внутреннем потреблении доля молока, расходуемая на корм скоту, в 2001 году по сравнению с 2000 годом увеличивается на 3,93%, а по сравнению с 1999 годом уменьшается на 36,54%, так как молоко только появилось в хозяйстве, поэтому его основная часть шла на корм скоту.
Количество молока на выпойку телятам, при этом, в 2001 году по сравнению с 1999 годом увеличилось на 1836 ц, а по сравнению с 2000 годом на 76 ц, это произошло из-за снижения поголовья телят.
На объём реализации продукции оказывает влияние уровень товарности и производство данного вида продукции (см. табл. 3.4).
Таблица 3.4
Реализация молока в зависимости от уровня товарности и производства
|
Показатели |
1999 |
2000 |
2001 |
Абсолютное изменение (01 –99 гг.) |
Относительное изменение |
|
224 |
2272 |
2553 |
+2329 |
1039,7 |
|
518 |
2714 |
3200 |
+2682 |
517,8 |
|
43,2 |
83,7 |
79,8 |
+36,6 |
84,7 |
Вывод: Анализируя данную таблицу, можно сказать, что в СПК “Обской” уровень товарности молока в 2001 году увеличивается на 36,6% по сравнению с 1999 годом, что повлияло на увеличение реализации продукции молока.
Влияние факторов на производственные показатели в животноводческой отрасли
Объём производства продукции животноводства зависит от поголовья и продуктивности животных, обеспеченности скота кормами и помещениями, рационов кормления, породности животных, условий их содержания.
Основной целью экономически обоснованного выбора формы содержания животных является обеспечение условий бесперебойного процесса производства, позволяющих оптимально, то есть с минимальными затратами, использовать продуктивный потенциал сельскохозяйственных животных.
Технологические процессы в животноводстве следует рассмотреть по основным сферам производственного процесса в хозяйстве:
Содержание и уход;
Кормление и поение;
Подстилка и удаление навоза;
Доение скота.
Летний пастбищный период начинается в зависимости от погодных условий с мая месяца по октябрь. В этот период скот находится на отгонных летних пастбищах, оборудованных доильными установками с первичной обработкой молока. В зимне-стойловый период содержание скота привязное.
Скот содержится в одном коровнике, оборудованном механизированной уборкой навоза, групповой привязью. При переводе коров на зимне-стойловый период, в коровнике производятся ветеринарно-санитарные мероприятия, связанные с уничтожением вредителей (чесоточного клеща, лишая и пр.). За 2-3 месяца до отёла проводится ряд обязательных ветеринарных мероприятий (прививки от колеобактериоза и паратифа), направленных на укрепление иммунитета у будущего потомства.
Для воспроизводства стада ежегодно в хозяйстве подготавливают нетелей, которых в процессе выбраковки вводят в основное стадо.
Ввод нетелей в стадо производится только группами.
Определяется доярка, за ней закрепляется группа нетелей, она их подготавливает, а группу менее продуктивных коров расформировывают.
Технология кормления охватывает отгрузку кормов из хранилища, подвоз и к ферме и раздачу.
В хозяйстве применяют следующий распорядок кормления:
В 9-10 часов – кормление силосом или сенажом;
В 16-17 часов – кормление комбикормом;
В 18 часов – после дойки раздача сена.
Необходимо отметить, что в период раздоя (1-2 месяца) предусматривается трёхразовое кормление, в кормовой рацион добавляются сочные корма.
Доение осуществляется в переносные доильные аппараты. Затем молоко охлаждается охладителем молока, после чего определяется жирность, плотность и кислотность молока, и оно отправляется в филиал - с. Кривошеино, ЗАО “Витамилк”, а затем в г. Томск.
Поголовье и продуктивность животных оказывают непосредственное влияние на объём производства продукции и находятся в функциональной зависимости.
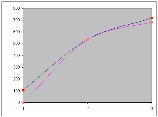
Динамику продуктивности животноводства приведём при помощи простейших показателей динамического ряда и отобразим для наглядности графически (см. рис. 2).
Таблица 3.5
Динамика надоя молока на одну корову в СПК “Обской”, кг
|
Год |
Годовой надой молока на 1 корову, кг |
Абсолютный прирост, ц/гол |
Темп роста, % |
Темп роста, % |
|||
|
Цепной |
Базисный |
Базисный |
Цепной |
Цепной |
базисный |
||
|
1999 |
1015,7 |
- |
- |
- |
- |
- |
- |
|
2000 |
2769,4 |
1753,7 |
1753,7 |
272,6 |
276,6 |
+172,6 |
+172,6 |
|
2001 |
2782,6 |
13,2 |
1766,9 |
100,5 |
273,9 |
+0,5 |
+173,9 |
Р
ис.
2. Продуктивность коров (удой молока на
1 корову).
Продуктивность коров с каждым годом увеличивается. В 2001 году по отношению к 1999 годовой надой на 1 корову увеличился на 1766,9 кг (на 173, 9%), что оказывает хорошее влияние на валовое производство молока.
Таблица 3.6
Динамика прироста живой массы на 1 голову скота га выращивании и откормке
|
Год |
Прирост живой массы на 1 голову, ц |
Абсолютный прирост, ц/гол |
Темп роста, % |
Темп роста, % |
|||
|
Цепной |
Базисный |
Базисный |
Цепной |
Цепной |
базисный |
||
|
1997 |
87,04 |
- |
- |
100 |
100 |
- |
- |
|
1998 |
158,30 |
71,26 |
71,26 |
181,9 |
181,9 |
+81,9 |
+81,9 |
|
1999 |
158,7 |
0,4 |
71,66 |
100,25 |
182,33 |
+0,25 |
+82,33 |
|
2000 |
61,11 |
-97,59 |
-25,93 |
38,51 |
70,21 |
-61,5 |
-29,8 |
|
2001 |
62,04 |
0,93 |
-25 |
101,52 |
71,3 |
+1,52 |
-28,7 |
Р
ис.
3. Прирост живой массы на выращивании и
откорме (на 1 голову скота).
Таблица 3.6 свидетельствует о том, что на конец рассматриваемого периода произошло сокращение прироста живой массы КРС на 25 ц/гол или на 28,7% по сравнению с 1997 годом, а по сравнению с 1999 годом на 96,66 ц/гол (60,91%) в основном из-за ухудшения кормления животных.
Наряду с продуктивностью животных немаловажное значение для продукции животноводства имеет поголовье животных.
О поголовье животных и структуре стада КРС можно судить по данным таблицы 3.7
Таблица 3.7
Поголовье животных и структура стада КРС
|
Группа скота |
Поголовье, гол |
Структура стада, % |
Отношение 2001 к 1997г. (+;-) |
||||||||
|
1997 |
1998 |
1999 |
2000 |
2001 |
1997 |
1998 |
1999 |
2000 |
2001 |
||
|
КРС, всего, в том числе: |
323 |
283 |
242 |
270 |
274 |
100 |
100 |
100 |
100 |
100 |
-49 |
|
Коровы |
- |
- |
51 |
98 |
115 |
- |
- |
21,1 |
36,3 |
41,9 |
- |
|
Быки производители |
- |
- |
1 |
1 |
1 |
- |
- |
0,4 |
0,37 |
0,3 |
- |
|
Нетели |
- |
- |
63 |
52 |
20 |
- |
- |
26,04 |
19,26 |
7,3 |
- |
|
Тёлки старше 2 лет |
- |
- |
101 |
61 |
14 |
- |
- |
41,73 |
22,59 |
5,1 |
- |
|
Молодняк КРС |
323 |
283 |
26 |
58 |
124 |
100 |
100 |
10,74 |
21,48 |
45,3 |
-199 |
Анализируя данные таблицы, видно, что общее поголовье КРС сократилось за период 1997-2001 гг. на 49 голов, в основном это произошло из-за сокращения молодняка КРС, но несмотря на это в структуре стада молодняк КРС занимает наибольший удельный вес.
Второе место в удельном весе занимают коровы молочного направления, и в отличии от молодняка КРС их поголовье увеличилось на 64 головы. Что касается поголовья нетелей, то здесь наблюдается такая же тенденция и в поголовье тёлок старше 2 лет (на 87 голов), что приведёт к снижению поголовья основного стада молочного скота.
Также необходимо рассчитать влияние поголовья и продуктивности животных н объём производства продукции.
Для определения степени их влияния можно использовать любой способ детерминированного анализа.
Таблица 3.8
Исходные данные для факторного анализа объёма производства молока
|
Показатели |
1999 |
2001 |
Отношение (+;-) |
|
Среднегодовое поголовье коров, гол. |
51 |
115 |
+64 |
|
Продуктивность (надой молока) на 1 голову, ц |
10,16 |
27,83 |
+17,67 |
|
Выход продукции, ц |
518 |
3200 |
+2682 |
На основании данных таблицы 3.8, сделаем расчёт влияния факторов приёмом цепной постановки.
Для расчёта используются следующие обозначения:
П – поголовье
ПР – продуктивность
ВП = валовая продукция
Влияние изменения поголовья на валовую продукцию молока:
ВПусл= П>1>*ПР>0>=115*10,16=1168,4 ц;
ВПпог= Впусл – ВП>0> = 1168,4-518 = 650,4 ц;
Влияние изменения продуктивности на валовую продукцию молока:
ВПпр= ВП>1> – ВПусл = 3200-1168,4 = 2031,6 ц;
Баланс отклонения:
Баланс = ВПп+ВПпр =650,4+2031,6 = 2682 ц.
Произведённые расчёты свидетельствуют о том, что в результате увеличения поголовья на 64 головы валовая продукция молока увеличилась на 650,4 ц, а при увеличении продуктивности животных на 17,67 ц/гол валовой надой молока увеличился на 2031,6 ц, то есть в результате этого валовое производство молока увеличилось на 2682 ц. Наибольшее влияние на валовую продукцию оказывает динамика продуктивности, которая, в свою очередь, изменилась под влиянием повышения уровня кормления животных.
Для более полного анализа проведём расчёт влияния факторов на выход прироста КРС.
Таблица 3.9
Исходные данные для факторного анализа объёма прироста КРС в хозяйстве
|
Показатели |
1997 |
2001 |
Абсолютное отношение (+;-) |
Относительное отношение (+;-) |
|
Среднегодовое поголовье животных на выращивании и откорме, гол. |
486 |
274 |
-212 |
-43,6 |
|
Среднегодовой прирост на 1 голову, ц |
0,87 |
0,62 |
-0,25 |
-28,74 |
|
Выход продукции, ц |
423 |
170 |
-253 |
-59,8 |
Данные таблицы позволяют провести расчёт влияния факторов приёмом относительных разниц:
Влияние изменения поголовья на валовую продукцию
ВП=ВП>0>*П(%)/100 = 423*(-43,6)/100 = 184,4 ц;
Влияние изменения прироста (Пр) валовую продукцию
ВПпр = (ВП>0>*ВПп)*Пр(%)/100 = 423+(-184,428)*(-28,74)/100 = 68,6 ц;
Баланс отношения
ВПпр =ВПп+ВПпр=-184,4-68,6=-25,3 ц;
Произведённые расчёты позволяют сделать вывод о том, что наибольшее влияние на изменение выхода продукции выращивания и откорма оказало изменение поголовья, так как за счёт сокращения поголовья на 43,6% выход продукции сократился на 184,4 ц, а при сокращении продуктивности на 28,74% среднегодовой прирост на одну голову сократился на 68,6 ц, то есть наибольшее отрицательное влияние на валовую продукцию оказывает снижение поголовья, поэтому предприятию необходимо уделить внимание анализу движения поголовья животных.
Основной причиной снижения поголовья животных на выращивании и откорме является изменение уровня специализации: наибольшую долю выручки с 1999 года имеет молочная продукция. В результате этого часть помещения хозяйства выделена для КРС молочного направления.
Косвенные факторы, оказывающие влияние на валовую продукцию животноводства
Главными факторами, определяющими уровень продукции животных, является кормление. Под кормлением понимают расход на 1 голову корма, в котором содержится необходимое количество питательных веществ, минеральных элементов и витаминов для обеспечения нормальной жизнедеятельности и получения заданной продуктивности животного [Экономика сельского хозяйства. Учебно-методическое пособие., стр. 155].
Не менее важным фактором повышения продуктивности животных является повышение качества кормов и в первую очередь их энергетической и протеиновой питательности: Корм плохого качества имеет низкую питательность и не обеспечивает необходимую продуктивность животных. Немаловажную роль в повышении качества кормов призвана сыграть новая система показателей его оценки. Основными из них являются концентрация в сухом веществе обменной энергии и сырого протеина, от которых в основном зависит эффект кормления. Первый показатель измеряется в мегаджоулях в расчёте на 1 кг сухого вещества, второй в - % по отношению к сухому веществу. По сравнению с действующей системой оценки качества кормов по кормовым единицам и содержанию переваримого протеина они более точно отражают питательную ценность кормов, что очень важно при составлении рационов для животных (см. табл. 3.10 и 3.11).
Таблица 3.10
Общая масса протеина с учётом нормативных значений (Чаинский район)
|
Виды кормов |
Содержание переваримого протеина по норме, гр. |
Общая масса протеина, гр. |
|
|
2000 |
2001 |
||
|
Сенаж |
17 |
30277 |
33725 |
|
Силос |
13 |
18583 |
20060 |
|
Сено |
48 |
35740 |
134870 |
|
Всего: |
Х |
144600 |
188655 |
Таблица 3.10
Расчёт влияния количества и качества кормов на содержание переваримого протеина (по Чаинскому району)
|
Виды кормов |
Количество кормов, ц к ед. |
Содержание переваримого протеина в 1 к. ед., гр. |
Изменение общей массы переваримого протеина, кг |
||||
|
2000 |
2001 |
2000 |
2001 |
Всего |
В том числе за счёт |
||
|
Количества кормов |
Качества кормов |
||||||
|
Сенаж |
1781 |
1983,8 |
15 |
17 |
+70 |
+30 |
+40 |
|
Силос |
1529,45 |
1543,07 |
11 |
12 |
+27 |
+12 |
+15 |
|
Сено |
1994,58 |
2809,9 |
60 |
50 |
+208 |
+489 |
-281 |
|
Всего: |
5205,03 |
6336,7 |
- |
- |
+305 |
+531 |
-226 |
Для того чтобы рассчитать причину изменения питательных веществ, можно воспользоваться методом факторного анализа.
Факторная модель:
К*П=М, где
К – количество кормов, ц к ед.
П – содержание переваримого протеина в 1 к. ед., гр.
М – общая масса переваримого протеина, кг.
Влияние динамики количества заготовленных кормов:
Мк = (К>1>-К>0>)* П>0>
Сенаж: Мк=(1983,8-1781)*15=30 кг
Силос: Мк= (1543,07-1429,45)*11=12 кг
Сено: Мк=(2809,8-1994,58)*60=489 кг
Влияние динамики качества заготовленных кормов:
Мп = (П>1>-П>0>)* К>1>
Сенаж: Мп=(17-15)*1983,8=40 кг
Силос: Мп= (12-11)*1543,07=15 кг
Сено: Мп=(50-60) *2809,8=-281 кг
Общие изменения:
М=Мк+Мп
Сенаж: М=30+40=70 кг
Силос: М=15+12=27 кг
Сено: М=-281+489=208 кг
Выводы: По сенажу. В результате увеличения количества заготовленных кормов на 202,8 ц. к ед. общая масса переваримого протеина увеличилась на 30 кг, также увеличилось содержание переваримого протеина в 1 к. ед. на 2 гр., что способствовало росту общей массы на 40 кг.
Увеличение количества питательных веществ составляет 70 кг, но можно отметить, что исходя из нормативных значений, которые представлены в таблице 3.9, содержание протеина в размере 17 гр. На 1 к. ед., с учётом, что общая сумма переваримого протеина составила бы в 2000 году 303 кг, что больше фактического значения на 36 кг, в 2001 году сумма переваримого протеина составляет нормативному значению.
Общая масса переваримого протеина по силосу увеличилась на 27 кг, в том числе за счёт увеличения количества питательных веществ на 12 кг и качества на 15 кг.
По отношению к нормативным данным общая сумма меньше на 2860 гр. В 2000 году и на 1543 гр. В 2001 году.
Сено различных трав по питательности протеина в общей массе в 2001 году больше 2000 года на 208 кг. Необходимо отметить увеличение доли количественного фактора, то есть количество кормов возросло на 815 ц. к. ед., что увеличило общую массу переваримого протеина на 489 кг. Качество кормов ухудшилось, так как содержание переваримого протеина в 1 к. и ед. сократилось на 10 гр., что снизило общую массу на 281 кг.
Положительным здесь является то, что нормативное значение протеина в 1 к. ед. составляет 48 гр., а фактическое на 12 гр. Больше 2000 года и на 2 гр. больше 2001 года.
Исходя из проделанного анализа, общая масса переваримого протеина по всем видам кормов возрастает на 305 кг, в основном за счёт увеличения их количественного значения.
Что касается качества кормов, то оно снижается на 226 кг, но, как уже было сказано по отношению к нормативным данным, содержание переваримого протеина соответствует требованиями, что может положительно повлиять на продуктивность животных.
Для определения степени зависимости продуктивности животных от уровня их кормления можно использовать метод корреляционно-регрессивного анализа.
Методика расчёта приведена в таблице 3.11
Таблица 3.11
Зависимость продуктивности КРС по приросту от уровня их кормления
|
Года |
X |
Y |
XY |
X2 |
Y2 |
Y>x> |
|
1994 |
0,26 |
79,5 |
815,67 |
105,27 |
6320,25 |
81,20 |
|
1995 |
10,3 |
81,03 |
834,61 |
106,09 |
6565,86 |
81,3 |
|
1996 |
11,64 |
86,7 |
1009,19 |
135,49 |
7516,89 |
83,7 |
|
1997 |
12,03 |
87,04 |
1047,09 |
144,72 |
7575,96 |
84,40 |
|
1998 |
17,48 |
158,3 |
2767,08 |
305,55 |
25058,89 |
94,3 |
|
1999 |
45,03 |
158,7 |
7146,26 |
2927,70 |
25185,69 |
144,13 |
|
2000 |
21,51 |
61,11 |
1314,48 |
462,68 |
3734,43 |
101,56 |
|
2001 |
22,8 |
62,04 |
1414,51 |
519,84 |
3848,96 |
103,9 |
|
Сумма |
151,05 |
774,42 |
16348,89 |
3807,34 |
85806,93 |
774,49 |
Сравнение продуктивности КРС и уровня их кормления показывает, что с повышением уровня кормления растёт и прирост живой массы на 1 голову. Следовательно, для математического выражения характера данной зависимости можно использовать уравнение прямой линии: Y>x>=a+b>x>.
После расчёта исходных данных и решения системы уравнений:
na+bx=y 8a+151,05b=774,42
ax+bx2=xy 151,05a +3807,34=16348,89
получили a = 62,63; b=1,81
Уравнение связи будет иметь следующее выражение:
Y>x>=62,63+1,81x
Оно показывает, что с повышением уровня кормления на 1 ц. к. ед. в расчёте на 1 голову в год прирост живой массы от коров молочного стада увеличивается в хозяйстве в среднем на 1,81 ц.
Для характеристики тесноты связи между данными показателями рассчитаем коэффициент корреляции:
r= (xy – (x*y)/n)/(x2 – (x)2/n)*(y2 – (y)2/n) = (16348,89 – 151,05*774,42/8)/(3807,34-151,052/8)*(85806,93-774,492/8)=1726,87/3216,2=0,54
Коэффициент корреляции наполовину близок к единице. Это свидетельствует о том, что связь между приростом КРС и уровнем кормления тесная, почти пропорциональная.
Коэффициент детерминации (=r2=0,29) показывает, что на 29% изменение уровня прироста КРС связано с их кормлением.
Показатели эффективности продукции животноводства
Для продукции животноводства необходимо провести анализ эффективности производства и реализации продукции животноводства (см. табл. 3.12).
Таблица 3.12
Показатели эффективности отрасли животноводства
|
Показатели |
1997 |
1998 |
1999 |
2000 |
2001 |
Темп прироста |
|
58 |
58 |
61 |
102 |
116 |
+100 |
|
-143 |
-221 |
-29 |
583 |
416 |
- |
|
1383 |
1739 |
1151 |
1338 |
1989 |
+43,8 |
|
1385 |
1739 |
1151 |
1104 |
1768 |
- |
|
633 |
690 |
650 |
1029 |
1244 |
+96,5 |
|
1044 |
1258 |
1361 |
1345 |
1543 |
- |
|
-750 |
-1049 |
-501 |
-309 |
-745 |
-0,7 |
|
-54,2 |
-60,32 |
-43,53 |
-23,1 |
-37,46 |
-16,74 |
По данным таблицы 3.11 видно, что продукция животноводства в целом по хозяйству является убыточной, хотя в 2001 году по сравнению с 1997 годом убыток на 0,7% стал меньше за счёт увеличения выручки от реализации на 96,5%, это произошло благодаря повышению цены от реализации и росту продуктивности животных молочного стада.
Уровень рентабельности продукции животноводства из-за убытков имеет отрицательное значение, но при этом рентабельность в 2001 году сократилась на 16,74% по отношению к 1997 году.
Также необходимо рассмотреть эффективность производства животноводства по отдельным видам продукции (см. табл. 3.13).
Таблица 3.13
Эффективность производства и реализации молока
|
Показатели |
1999 |
2000 |
2001 |
2001 к 1999 году (+;-) |
|
113 |
681 |
1252 |
11,07 |
|
69 |
719 |
1013 |
14,68 |
|
102 |
684 |
1005 |
9,8 |
|
-33 |
35 |
8 |
0,24 |
|
-32,35 |
5,1 |
0,8 |
2,5 |
|
67,65 |
117,3 |
89,9 |
1,33 |
По данным таблицы можно сделать вывод, что производство и реализация молока остаётся убыточным как на 1999 году, так и в 2001 году. Это произошло из-за высоких производственных затрат, а также из-за увеличения себестоимости в 9,8 раза в 2001 году по сравнению с 1999 годом, вследствие чего данное предприятие получило убытки от производства данного вида продукции животноводства.
Производственная рентабельность молока с 2000 года стала с положительным значением, так как в 2000 году увеличилась выручка от реализации в 14 раз по сравнению с 1999 годом, и хозяйство при этом получило прибыль от реализации молока.
Таблица 3.14
Эффективность производства продукции, выращивания и откорма
|
Показатели |
1997 |
1998 |
1999 |
2000 |
2001 |
2001 к 1997г. |
|
797 |
795 |
858 |
2201 |
2488 |
312,2 |
|
625 |
676 |
646 |
309 |
230 |
36,8 |
|
1358 |
1714 |
1015 |
634 |
727 |
53,53 |
|
-733 |
-1038 |
-369 |
-325 |
-497 |
67,80 |
|
-53,98 |
-60,56 |
-36,35 |
-51,26 |
-68,36 |
126,6 |
|
46,02 |
39,44 |
63,64 |
48,74 |
31,64 |
68,75 |
Что же касается производства продукции, выращивания и откорма КРС, то оно тоже осталось более убыточным в 2001 году по сравнению с 1997 годом на 14,38%. Влияние на это оказало увеличение производственных затрат в 3 раза в отчётном году (2001) по сравнению с базисным (1997), а также уменьшение выручки от реализации на 63,2%. В результате чего производство продукции, выращивания и откорма КРС принесло хозяйству убыток, но при этом убыток стал меньше по сравнению с 1997 годом на 67,8% из-за уменьшения себестоимости на 46,5%.
Эффективность отрасли напрямую зависит от производственных затрат. Себестоимость является одним из наиболее важных показателей эффективности производства продукции.
Себестоимость продукции животноводства зависит от размера затрат на содержание скота и продуктивности животных.
Чем выше продуктивность скота и меньше затраты на его содержание, тем ниже себестоимость единицы продукции.
К важным условием сокращения затрат труда на производство единицы продукции относятся: правильная организация труда, рациональное использование рабочей силы, рост уровня механизации трудоёмких процессов.
Затраты на производство продукции группируются по элементам и статьям. Под элементами затрат понимаются затраты однородные по своему экономическому содержанию, а под статьями затрат, включающие один или несколько элементов.
Сначала необходимо определить общую сумму затрат по отдельным видам продукции и по животноводству в целом (см. табл. 3.15).
Общая сумма затрат в СПК “Обской” в целом по продукции животноводства увеличилась на 145,7%, вследствие увеличения затрат на основное молочное стадо в 11 раз в 2001 году по сравнению с 1999 годом, при этом на конец рассматриваемого периода наибольший удельный вес занимают затраты на основное стадо.
Если же рассматривать себестоимость 1 ц продукции, то более затратной является продукция выращивания и окорма КРС (табл. 3.16, 3.17).
Так как в 2001 году себестоимость выращивания и откорма КРС составила 4276 т. р., а молока – 3521 т. р.
В себестоимости 1 ц. продукции выращивания и откорма наибольший удельный вес занимают корма, которые увеличились в 2001 году по сравнению с 1997 годом на 1,4%. Также заметна тенденция увеличения удельного веса по оплате труда на 0,3%, так как немного повысили заработную плату рабочим СПК “Обской”.
Уменьшение удельного веса затрат на содержание основных средств как по молоку, так и по выращиванию и откорму происходит из-за устаревания техники.
Таблица 3.15
Общая сумма затрат в животноводстве
|
Виды скота |
Сумма затрат, т.р. |
Структура затрат, % |
Отношения (2001 к 1997),% |
||||||||
|
1997 |
1998 |
1999 |
2000 |
2001 |
1997 |
1998 |
1999 |
2000 |
2001 |
||
|
Основное молочное стадо |
- |
- |
113 |
681 |
1252 |
- |
- |
10,02 |
51,8 |
63,3 |
- |
|
КРС на выращивание и откорм |
1358 |
1714 |
1015 |
634 |
727 |
100 |
100 |
89,98 |
48,2 |
36,7 |
-53,28 |
|
Итого: |
1358 |
1714 |
1128 |
1315 |
1979 |
100 |
100 |
100 |
100 |
100 |
Х |
Таблица 3.16
Себестоимость 1 ц. молока по статьям затрат
|
Статьи затрат |
Себестоимость 1 ц, т. р. |
Структура затрат, % |
Отчисления, % |
||||
|
1999 |
2000 |
2001 |
1999 |
2000 |
2001 |
||
|
Оплата труда с отчислениями на социальные нужды |
23,2 |
33,0 |
22,5 |
11,8 |
14,6 |
6,4 |
-5,4 |
|
Корма |
92,7 |
99,5 |
143 |
47,1 |
44,0 |
40,62 |
-6,48 |
|
Содержание основных средств |
52,1 |
22,8 |
29,7 |
26,4 |
10,1 |
8,44 |
=17,96 |
|
Прочие затраты |
29 |
70,7 |
156,8 |
14,7 |
31,3 |
44,54 |
+29,84 |
|
Всего |
197 |
226 |
352 |
100 |
100 |
100 |
Х |
Таблица 3.17
Себестоимость 1 ц. продукции выращивания и откорма по статьям затрат
|
Статьи затрат |
Себестоимость 1 ц, тыс. руб. |
Структура затрат, % |
Отношение, % |
||||||||
|
1997 |
1998 |
1999 |
2000 |
2001 |
1997 |
1998 |
1999 |
2000 |
2001 |
||
|
Оплата труда с отчислениями на социальные нужды |
274,2 |
243,3 |
271 |
327,3 |
376,5 |
8,5 |
6,4 |
10,3 |
8,51 |
8,8 |
+0,3 |
|
Корма |
1437,3 |
1600,4 |
1182,3 |
1757,6 |
1976,5 |
44,8 |
41,8 |
44,7 |
45,7 |
46,2 |
+1,4 |
|
Содержание основных средств |
995,3 |
690 |
351,6 |
138,8 |
488,2 |
31,0 |
18,0 |
13,3 |
36,13 |
11,4 |
19,6 |
|
Прочие затраты |
503,2 |
1292,3 |
838,1 |
369,1 |
1434,8 |
15,7 |
33,* |
31,? |
9,63 |
33,6 |
+17,9 |
|
Всего: |
3210 |
3826 |
2643 |
3842 |
4276 |
100 |
100 |
100 |
100 |
100 |
Х |

Резервы увеличения производства продукции животноводства
Основным источником резервов увеличения производства продукции животноводства являются рост поголовья и продуктивности.
В хозяйстве имеется возможность увеличить поголовье молочного стада на 70 голов. Проведём необходимые расчёты:
Подсчитаем какое количество молока получим при увеличении поголовья до 185 голов и продуктивности 27,83 ц.
185гол.* 27,83=5149 ц.,
то есть дополнительно от этих мероприятий получили:
5149ц=3200ц (2001)=1949ц молока.
Количество молока направленного на реализацию:
1949ц-300ц (на выпойку телятам)=1649ц.
Определение безубыточного объёма продаж и зоны прибыли предприятия
Основную часть прибыли предприятия получают от реализации продукции и услуг.
В отрасли животноводства СПК “Обской” с появлением молочного стада с 1999 года получают прибыль от производства и реализации молока, так как производство мяса с данного периода стало невыгодным. Поэтому произведём расчёты по молоку.
Объём реализации продукции может оказывать положительное и отрицательное влияние на сумму прибыли. Увеличение объёма продаж рентабельной продукции приводит к пропорциональному увеличению прибыли. Если же продукция является убыточной, то при увеличении объёма реализации происходит уменьшение суммы прибыли.
В СПК “Обской” процессов переработки продукции животноводства не имеется, поэтому производимое молоко отправляется на реализацию Часть молока используется в столовой хозяйства и в школьной столовой для приготовления обедов.
Пунктом реализации молока является филиал в с. Кривошеино, а они уже реализуют молоко в Томск.
Безубыточность – это такое состояние, когда деятельность предприятия не приносит ни прибыли, ни убытков. Это – выручка, которая необходима для того, чтобы предприятие начало получать прибыль.
Её можно выразить в количестве единиц продукции, которую необходимо продать, чтобы покрыть затраты, после чего каждая дополнительная единица проданной продукции будет приносить прибыль предприятию.
Разность между практическим количеством реализуемой продукции и безубыточным объёмом продаж продукции – это зона прибыли, и чем больше она, тем прочнее финансовое состояние предприятия.
Для определения их уровня можно использовать аналитический и графический способы.
Для того, чтобы рассчитать долю маржинального дохода, необходимы данные, которые представлены в таблице 3.18.
Таблица 3.18
Данные для определения точки безубыточного объёма продаж (по производству молока)
|
Показатели |
2000 |
2001 |
|
684 |
1005 |
|
577 |
624 |
|
107 |
381 |
|
2272 |
2553 |
|
0,32 |
0,40 |
|
719 |
1013 |
|
0,25 |
0,24 |
|
35 |
8 |
|
+142 |
+389 |
|
0,2 |
0,4 |
Определим безубыточный объём продаж в стоимостном выражении.
Для удобства вывода формул используем следующие обозначения:
А – доля маржинального дохода;
Мд – маржинальный доход;
Вr – выручка от реализации продукции;
Пр – прибыль;
К – объём реализации продукции;
V – удельные переменные затраты;
Н – постоянные затраты;
Р – цена единицы продукции;
Т – точка безубыточности объёма реализации продукции (порог рентабельности; точка равновесия; критический объём продаж).
В соответствии с данными таблицы формула для расчёта доли маржинального дохода имеет вид:
А=Мд/Вr, а Мд = а*Вr, так как Пр =0.
В данном случае сумма маржинального дохода составляет в 2000 году 142 т. р., в 2001г. 389 т. р.
Для расчёта максимального (критического) объёма реализации продукции в денежном выражении выручки, используется следующая формула:
Вr=Н/А, Вr к2000году = 107/0,2=535 т. р., Вr к2001году = 381/0,4=953 т. р.
Рис. 4. Зависимость между объёмом реализации продукции, её себестоимостью и суммой прибыли (2000 год)
Для того, чтобы определить объём реализации продукции для получения определённой суммы прибыли, то формула будет иметь вид:
Т>2000г>=Н/Р-V=107/0,32-0,25=107/0,07=1528 ц;
Т>2001г>=Н/Р-V=381/0,4-0,2=381/0,2=1905 ц.
На основании данных построим графики (рис.4;5).

Р
ис.
5. Зависимость между объёмом и реализацией
продукции, её себестоимостью и суммой
прибыли (2001 год)
Вывод: Приведённые графики и аналитические расчёты показывают, что безубыточный объём продаж и зона прибыли зависят от суммы постоянных и переменных затрат, а также от уровня цен на продукцию. При повышении цен в 2001 году по сравнению с 2000 годом на 0,080 рублей нужно реализовать меньший объём продукции молока, чтобы получить необходимую сумму выручки для компенсации постоянных издержек СПК “Обской”.
Данному хозяйству из бюджета РФ выделяются дотации за I сорт молока, что в общей сумме составляет 223 тыс. руб., что способствует в дальнейшем увеличению прибыли.
Увеличение удельных переменных и постоянных затрат повышает порог рентабельности и уменьшает зону прибыли.
Поэтому необходимо стремиться к сокращению постоянных издержек. Оптимальным считается тот план, который позволяет снизить долю постоянных затрат на единицу продукции, уменьшить безубыточный объём продаж и увеличить зону прибыли.
Если допустить, что цены за единицу продукции снизились с 0,40 до 0,38 рублей, удельные переменные затраты уменьшились с 0,2 до 0,15 тыс. руб., а сумма постоянных расходов сократилась с 381 до 250 т. р., то новая точка безубыточности объёма продаж составит:
Т=259/0,38-0,15=250/0,23=1087 ц,
Вr=250/0,4=625 руб.
Способом цепной подстановки можно определить влияние каждого фактора на изменение безубыточности объёма продаж:
Кпл=381/0,40-0,20=1905 ц;
Кусл>1>=250/0,40-0,20=1259;
Кусл>2>=250,0,38-0,20=1389;
Кфакт =250,0,38-0,15=1087.
постоянных затрат 1250-1905=-655 ц;
Цены реализации продукции 1389-1250=139 ц;
Удельных переменных затрат 1087-1389=-302 ц;
Итого: 1087-1905=-818 ц.
Исходя их данных показателей, на перспективу построим график (см. рис.6)
Вывод: Из проделанных расчётов на перспективу план считается оптимальным, с помощью которого снизилась доля постоянных затрат на единицу продукции, уменьшился безубыточный объём продаж и увеличилась зона прибыли, к чему и стремится СПК “Обской”.
Так как при увеличении поголовья молочного стада вырастут только переменные затраты, а постоянные останутся на прежнем уровне, то себестоимость 1 ц молока снизится с 352 руб. до 219 руб.
Резерв увеличения производства продукции за счёт повышения уровня кормления определяется следующим образом (см. табл. 3.19)
Таблица 3.19
Резерв увеличения производства продукции за счёт повышения уровня кормления животных
|
Расход кормов на 1 гол ц. к. ед. |
Окупаемость 1ц, к. ед. |
Резерв роста продуктивности, ц |
Возможное поголовье животных, гол. |
Резерв роста объёма производства продукции, ц |
||
|
фактический |
возможный |
|||||
|
Основное стадо молочного направления |
55,10 |
60,37 |
2,0 |
10,54 |
185 |
1949 |
Вывод: из данных таблицы видно, что при возможном увеличении поголовья житных основного стада молочного направления на 70 голов увеличивается возможный расход кормления на 1 голову на 5,27 ц (9,6%), вследствие этого увеличивается продуктивность на 1054 ц и объём производства данной продукции на 1949 ц.
Эффективность внедрения данных проектов рассмотрим в таблице 3.20.
Таблица 3.20
Эффективность от введения в молочное стадо дополнительного поголовья скота и повышения уровня кормления
|
Показатели |
2001 |
Перспектива (2002) |
Отношения (+;-) |
|
Произведено, ц |
3200 |
5149 |
+1943 |
|
Себестоимость 1 ц молока, р. |
352 |
219 |
-133 |
|
Реализовано, ц |
2552 |
4544 |
+1992 |
|
Себестоимость всей продукции, р. |
1005 |
1014 |
+9 |
|
Выручка от реализации 1ц, р. |
1013 |
1647 |
+634 |
|
Цена реализации 1ц, руб. |
0,32 |
0,32 |
- |
|
Себестоимость, р. |
8 |
633 |
625 |
|
Рентабельность, % |
0,8 |
62,4 |
+61,6 |
Данные таблицы показывают, что за счёт внедрения проекта на перспективу хозяйство получит прибыль по 625 руб. выше фактической, так как увеличилась выручка от реализации производства молока на 634 руб. Вследствие этого увеличится рентабельность производства молока на 61,6%.