Фармакология с токсикологией и токсикологическим анализом. Зооциды
Министерство образования и науки Республики Казахстан
Семипалатинский Государственный Университет имени Шакарима
Аграрный факультет
Кафедра «Ветеринарной медицины»
Курсовая работа
Фармакология с токсикологией и токсикологическим анализом. Зооциды
Выполнила: студентка гр. ВС-520
Ревкова А.А.
Проверил: руководитель
Боярченко Е.К.
2008
Содержание
Введение
1. Общая характеристика препаратной группы
2. Неорганические препараты
2.1 Цианистые соединения
2.1.1 Механизм действия
2.1.2 Клинические признаки
2.1.3 Диагноз
2.1.4 Лечение
2.1.5 Патологоанатомические изменения
2.1.6 Химико-токсикологический анализ
2.2 Цинк и его соединения
2.2.1 Механизм действия
2.2.2 Клинические признаки
2.2.3 Лечение
2.2.4 Патологоанатомические изменения
2.2.5 Химико-токсикологический анализ
2.3 Производные фтора и бария
2.3.1 Механизм действия
2.3.2 Клинические признаки
2.3.3 Лечение
2.3.4 Барий углекислый
2.3.5 Механизм действия
2.3.6 Клинические признаки
2.3.7 Патологоанатомические изменения
2.3.8 Диагноз
2.3.9 Лечение
3. Органические препараты
3.1 Производные оксикумарина
3.1.1 Механизм действия
3.1.2 Клинические признаки
3.1.3 Патологоанатомические изменения
3.1.4 Диагностика
3.1.5 Лечение
3.1.6 Химико-токсикологический анализ
3.2 Производные тиомочевины
3.2.1 Механизм действия
3.2.2 Клинические признаки
3.2.3 Патологоанатомические изменения
3.2.4 Лечение
3.2.5 Химико-токсикологический анализ
3.3 Производные индандиона
3.3.1 Механизм действия
3.3.2 Клинические признаки
3.3.3 Патологоанатомические изменения
3.3.4 Лечение
3.3.5 Химико-токсикологический анализ
Заключение
Список используемой литературы
Введение
В комплексе ветеринарных профилактических и противоэпизоотических мероприятий исключительно большое значение в настоящее время имеет борьба с мышевидными грызунами (крысами и мышами) в животноводческих и пищеводческих хозяйствах.
В условиях индустриального животноводства концентрируется огромное количество поголовья на ограниченных площадях помещений, увеличивается запас кормов, производится их переработка, что создает благоприятные условия для распространения крыс и мышей.
Учение академика Е.Н. Павловского о трансмиссионных болезнях раскрыло механизм передачи болезней от грызунов к людям и животным через кровососущих клещей и насекомых.
Ряд инфекций например клещевой тиф, грызуны передают человеку и животным через клещей, блох и других насекомых, паразитирующих на них.
Многие инфекции грызуны могут переносить механически загрязняя ими продукты питания, фураж, воду и подстилку.
Таким образом мышевидные грызуны, и в первую очередь крысы и мыши, являются постоянным очагом и резервуаром возбудителей целого ряда болезненных микробов.
Если учесть, что грызуны обладают большой подвижностью, плодовитостью и быстротой роста, то очевидна большая эпидемическая и эпизоотическая опасность их как носителей и переносчиков многих инфекционных и инвазионных заболеваний, кроме того, грызуны поедают значительную часть продовольственного зерна и кормов, а серые крысы причиняют большой ущерб свиноводческим, птицеводческим и кролиководческим хозяйствам, нередко уничтожая и уродуя большое количество полученного приплода.
Приведенные данные свидетельствуют о большом значении дератизации как одного из существенных звеньев в общем комплексе мероприятий по борьбе с мышевидными грызунами.
Наиболее прост, дёшев и эффективен метод отравленных приманок, то есть продуктов, кормов или воды, смешанных в определённой пропорции с ядами — ратицидами. [1]
1. Общая характеристика препаратной группы
ЗООЦИДЫ (от греч. zоon - животное и лат. caedo - убиваю), химические средства уничтожения вредителей из числа позвоночных. К ним относятся родентициды, авициды и ихтиоциды. Родентициды уничтожают грызунов, в особенности крыс (ратициды). Их используют преимущественно в виде отравленных пищевых приманок или питья. Исключения состовляют лишь цианистые соединения, которые при своем разложении выделяют летучую синильную кислоту. Следовательно, вещества действуют губительно при условии их попадания в желудочно-кишечный тракт.
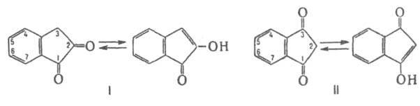
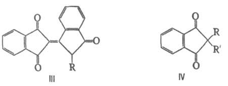
Различают родентициды острого (одноразового) и хронического действия. К первым относятся Tl>2>SO>4>, BaCO>3>, некоторые соединения As, однако практическое применение находит лишь фосфид цинка Zn>3>P>2> (ЛД>50> 15-30 мг/кг), выделяющий при гидролизе токсичный РН>3> (здесь и далее ЛД>50> приведены для крыс при пероральном введении). Издавна применяют природные соединение сциллирозид - гликозид, содержащийся в красном морском луке (ЛД>50> 0,4-0,7 мг/кг). Ограниченное применение находят FCH>2>COONa (ЛД>50 >0,22 мг/кг) и FСН>2>СОNН>2 >- яды, для которых противоядие не известно; для борьбы с крысами используют α-нафтилтиомочевину (ANTU, крысид; ЛД>50> 6-8 мг/кг), с мышами - кримидин (формула I), с сусликами и полевками - глифтор (технический 1,3-дифтор-2-пропанол); за рубежом - хлоралозу (II), которая усыпляет мышей и при температурах ниже 15°С они погибают от переохлаждения. В последнее время в качестве родентицидов предложены: пиринурон (III), 5-(4-хлорфенил) силатран (IV; ЛД>50> 1-4 мг/кг), фосацетил (гофацид, V; ЛД>50> 3,6-7,5 мг/кг), каянекс CH>2>(NHNHCSNH>2>)>2 >(ЛД>50> 25-32 мг/кг), а также брометалин(Va;ЛД>50>2-5мг/кг).

Для обработки складских помещений, трюмов, вагонов, затравки нор используют преимущественно фумиганты - SО>2>, HCN, CH>3>Br, хлорпикрин, фосфид Аl, РН>3> и цианплав (технический NaCN, выделяющий HCN был запрещен еще в СССР), а также выхлопные газы автомашин и аммиачную воду. Родентициды хронического действия (антикоагулянты) наиболее эффективны и безопасны для людей. Их действие как антагонистов витамина К>1> основано на ингибировании синтеза протромбина, в результате чего нарушается свертывание крови животных. К антикоагулянтам относятся производные 4-гидроксикумарина - варфарин (зоокумарин, в формуле VI R = С>6>Н>5>; ЛД>100> 4-8 мг/кг), кумахлор (в формуле VI R = 4-СlС>6>Н>4>), кумафурил (в ф-ле VI R = 2-фурил)и производные индандиона-пиндон (VII),

дифацинон (в формуле VIII R = Н; ЛД>50 >3 мг/кг) и хлорфацинон (в формуле VIIIR=Сl).

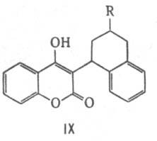
Активность варфарина возрастает при применении его в смеси с витамином D>2>, последний сам является 3. хронического действия, вызывающим перерождение стенок артерий, печени и почек. В связи с появлением крыс, устойчивых к ряду антикоагулянтов, найдены новые эффективные соединения - куматетралил (в формуле IX R = Н), дифенакум (в формуле IX R = 4-С>6>Н>5>С>6>Н>4>; ЛД>50> 1,8 мг/кг), бродифакум (в формуле IX R = 4-(4'-ВrС>6>Н>4>)С>6>Н>4>; ЛД>50> 0,27-0,65 мг/кг), действующий даже после однократного приема, а также бромадиолон (X).


Авициды используют для борьбы с птицами, выклевывающими семена на полях и создающих помехи на аэродромах и автострадах; их применяют преимущественно в виде пищевые приманок. В качестве авицидов может быть использованы эндрин и некоторые фосфорорганические соединения например фентион, мевинфос, паратион, гидрохлорид 3-хлор-n-толундина (старлицид), 4-аминопиридин (авитрол), применяются также хлоралоза и 2.2.2-трибромэтанол, действующие как снотворное. Однако авициды чаще всего применяют не как средства истребления, а для отпугивания (крик отравленных птиц предупреждает всю стаю). Ихтиоциды используют иногда для уничтожения сорной рыбы. Наиболее эффективен ротенон, норма расхода около 5 кг/(га.м); некоторое применение находит также антибиотик антимицин. Весьма ядовиты для рыб многие хлорорганические пестициды, например токсафен, эндрин, эндосульфан, однако из-за чрезмерной устойчивости они малопригодны для практические применения. По своей токсичности все зооциды относятся к группе высоко ядовитых веществ, их производство, хранение и применение допускается только с разрешения соответствующих государственных органов, при строгом соблюдении установленных правил. [2]
Среди применяемых в настоящее время зооцидов имеются как неорганические, так и органические соединения, в том числе даже растительного происхождения.
Неорганические зооциды представлены препаратами синильной кислоты фтористыми и бариевыми производными и фосфидом цинка.
Органические препараты подразделяются на три группы:
1) производные оксикумарина, главным представитель которых является зоокумарин; 2) производные тиомочевины, из котрых наиболее широко известен крысид; 3) производные сложного органического соединения индандиона – рантиндан и др.
2. Неорганические препараты
2.1 Цианистые соединения
Общая характеристика цианидов. К цианистым соединениям, или цианидам, относятся такие химические соединения, в молекулы которых входит радикал циан (С =N). Основным из них является цианистый водород, известный под названием синильной кислоты (НСN). С металлами он образует соли — цианистый калий и цианистый натрий. Все эти соединения в природе в свободном состоянии не встречаются. Группа циана входит и в молекулы более сложных соединений, являясь одновалентным радикалом, в частности в молекулу желтой [ К>4>Fе(СН)>6>] и красной [ К>3>Fе(СN)>6>] кровяной соли, а также в различные органические соединения в форме гликозидов.
Цианогенные гликозиды представлены в природе довольно широко. Растения, их содержащие, относятся к разным родам и пилам и произрастают на всех континентах. Условия образования этих гликозидов и все, что касается их токсикологии, будут рассмотрены в разделе о ядовитых растениях.
В данном же случае будут рассмотрены неорганические производные синильной кислоты, а также препараты и различные соединения, которые имеют отношение к сельскому хозяйству и поэтому представляют токсикологический интерес.
Синильная кислота применялась, при соблюдении необходимых мер предосторожности, для борьбы с вредителями в сельском хозяйстве, а также для дезинфекции железнодорожных вагонов. Она также занимала видное место среди боевых отравляющих веществ. В настоящее время использование этого чрезвычайно ядовитого соединения почти прекратилось.
Физико-химические свойства синильном кислоты и ее соединений. Синильная кислота (НСN) —подвижная прозрачная жидкость с температурой кипения +25,6° и замерзания —13,3°, легко испаряется и с водой смешивается во всех отношениях. Газообразная синильная кислота легче воздуха, что позволяет использовать ее как инсектицид — фумигант, имеющий большие преимущества по сравнению с другими фумигантами — хлорпикрином и дихлорэтаном. Она превосходит по своей эффективности последние I в качестве зооцида. Высокая степень опасности для людей в обращении с синильной кислотой исключает возможность непосредственного ее использования. Поэтому для получения достаточной концентрации паров синильной кислоты используют в качество исходных ядохимикатов цианистый натрий и цианплав.
Цианистый натрий (цианид натрия), NаСN — бесцветные-кристаллы (чаще всего в виде беловатой плавленой массы, гранул, плиток, кубиков), расплывающиеся на воздухе, хорошо растворимые в воде с гидролизом и выделением синильной кислоты. Цианид натрия обладает характерным запахом, напоминающим горький миндаль. Используется он как инсектицид в борьбе с карантинными вредителями цитрусовых и др.
Цианплав (черный цианид) – темно-серый пли черный порошок, содержащий до 42—47% цианидов. Под влиянием влаги разлагается, выделяя свободную синильную кислоту. Широко используется для борьбы с вредителями сельскохозяйственных растений (цитрусовых и чайных кустов), а также для уничтожения грызунов (сусликов и др.). Для обезвреживания остатков цианплава используют соединения железа (железный купорос 20 г, соды 20 г па 1 л воды), которые переводят опасные цианистые соединения в безвредные железистосинеродистые. Используют цианплав методом фумигации.
2.1.1 Механизм действия
Синильная кислота является сильнейшим и самым опасным ядовитым веществом для человека, животных, птиц и насекомых. Все живые существа погибают при условии, если в воздухе содержится весьма незначительное количество газообразной синильной кислоты. Для пчел, шелкопряда и других полезных насекомых использование соединений цианидов представляет большую опасность.
Токсикодинамика синильной кислоты хорошо изучена. Ядовитость ее для теплокровных определяется свойством блокировать один из дыхательных ферментов (цианхромоксидазу)-чего резко снижается способность тканей потреблять кислород крови и развивается, кислородное голодание их. Характерным симптомом при этом будет одинаковая окраска венозной и артериальной крови.
Газообразная синильная кислота очень быстро всасывается через легкие. Так же быстро всасываются соли и другие цианистые соединения из желудочно-кишечного тракта. Нарушение тканевого дыхания (аноксия) при соответствующей резорбции цианидов быстро приводит к смерти. Достаточно нескольких минут вдыхания паров синильной кислоты, чтобы наступил паралич дыхательного центра. При пероральном поступлении цианистых соединений аноксия тканей развивается хотя и несколько медленнее, чем при вдыхании паров, по все же быстро. Смерть наступает также в течение короткого времени — от нескольких минут до часа.
Резорбция синильной кислоты происходит в организме и через неповрежденную кожу. Особенно быстро всасывается она со слизистых оболочек (трахеи, бронхов, конъюнктивы и др.). Так, кошки погибают, если им нанести несколько капель 10%-ного раствора синильной кислоты в конъюнктивальный мешок. При поступлении в организм в малых количествах цианиды переводятся в тиоцианаты и тем самым обезвреживаются, выделяясь затем с мочой в течение нескольких дней.
Смертельная доза синильной кислоты для всех животных в среднем составляет от 1—2 мг на 1 кг веса. Таким образом, 1—2 г достаточно для смерти крупного животного. Собака весом 10 кг погибает от 10 мг синильной кислоты, от 0,4—0,5 г цианистого калия (перорально). Другие цианистые соединения с металлами, особенно нерастворимые (цианистые медь и свинец), обладают значительно меньшей токсичностью. Однако отравления ими зарегистрированы но только у животных, по и у людей.
2.1.2 Клинические признаки
Отравления животных и птиц цианистыми соединениями всегда протекают в острой форме. Признаки отравления у всех животных, как правило, одинаковы при адекватных количествах поступления цианидов в организм.
При вдыхании большого количества паров синильной кислоты смерть наступает почти моментально. Животное падает в судорожном приступе после нескольких вдохов отравленного воздуха. Остановка дыхания в этих случаях всегда наступает раньше, чем прекращается работа сердца. Ощутимые сердечные удары могут быть спустя еще 5—6 минут после того, как дыхание прекратилось.
Если же количество синильной кислоты в воздухе недостаточное, чтобы вызвать моментальную смерть, то клиническое проявление отравления принимает стадийный характер, при котором различают следующие стадии.
Диспноэтическая, проявляющаяся в ускоренном и затрудненном дыхании, общем беспокойство животного; лошади и рогатый скот стонут и храпят, а у собак и свиней появляется рвота.
Конвульсивная, при которой животные падают и обнаруживают сильные эпилептиформные судороги с непроизвольным выделением мочи и каловых масс; эта стадия бывает короткой
Асфиксическая, заканчивающаяся остановкой дыхания, сильным понижением температуры, замедлением пульса, анестезией, цианозом, комой и смертью.
У всех животных и птиц течение интоксикации цианистыми соединениями настолько кратковременно, что практически не представляется возможным анализировать изменения, происходящие в различных системах организма. Паралич дыхательного центра и картина удушения являются типичными при этом отравлении.
2.1.3 Диагноз
Диагностика данного отравления представляет некоторые трудности, так как симптомы при несмертельных количествах цианидов бывают нехарактерными. Диагноз устанавливают па основании результатов химического анализа продуктов кормового назначения, а также всего, что подозревается в качестве источника отравления (ядохимикаты и т. и.). Прогноз при затянувшейся течении процесса сомнительный, особенно если отравление произошло не от вдыхания, а от поступления цианистых соединений в пищеварительный тракт.
2.1.4 Лечение
В острых случаях отравления лечение безрезультатно. При более затяжном течении в качестве противоядия рекомендуются препараты серы —тиосульфат натрия в 5—10%-ном водном растворе интравенозно из расчета 1 —2 мл на 1 кг веса животного, коллоидная сера в физиологическом растворе. Этим достигается связывание иона циана в организме и образование тиоцианатов, которые быстро выводятся через почки. В настоящее время с большим успехом используются в качестве лечебного сродства метгемоглобинобразователи (нитрит натрия, метиленовая синь и др.). При связывании циана этими препаратами образуется цианметгемоглобин. У крупного рогатого скота хороший результат давало подкожное введение 3 г нитрита натрия и 15 г тиосульфата в 20 мл воды, а у овец — соответственно 1 и 2 г в 15 мл воды. Собакам рекомендуются интравенозное введение 1%-ного раствора нитрита натрия из расчета 25 мг на 1 кг веса, а затем 25%-ного раствора тиосульфата из расчета 1,25 г на 1 кг веса животного (Гарнер, 1961).
Для оказания скорой помощи могут быть использованы амилнитрит, сердечные препараты, глюкоза и другие лечебные средства.
При пероральном отравлении цианистыми соединениями большое лечебное значение имеет освобождение желудка от содержимого, промывание его слабыми растворами перекиси водорода или марганцовокислого калия, использование рвотных (у плотоядных) и др.
2.1.5 Патологоанатомические изменения
При острых отравлениях, когда животное гибнет через несколько минут после поступления яда в организм, характерных изменений при вскрытии трупов не обнаруживается. Единственным признаком отравления синильной кислотой является алая, светло-красная окраска крови, особенно венозной. Кровь плохо свертывается. Наоборот, при затянувшемся течении кровь принимает темную коричневато-черноватую окраску. В остальном отмечаются лишь симптомы, характерные для состояния удушения. От содержимого желудка иногда ощущается запах синильной кислоты.
2.1.6 Химико-токсикологический анализ
Анализ на синильную кислоту и ее соединения осуществляется только в специальных лабораториях и обязательно в вытяжном шкафу. Качественное определение синильной кислоты производится различными методами: 1) с азотнокислым серебром (выпадает белый осадок цианистого серебра); 2) с двусернистым аммонием (специфическая реакция); 3) с солями железа, когда образуется берлинская лазурь. Если на исследование направляют содержимое желудка и паренхиматозные органы, то необходимо учесть быструю улетучиваемость синильной кислоты и разлагаемость цианистых соединении (на аммиак и муравьиную кислоту). Содержание в печени синильной кислоты в количестве от 1,4 мкг и выше на 1 г органа дает основание утверждать наличие отравления, равно как и содержание 10 мгк на 1 г содержимого желудка. Диагностическое исследование на синильную кислоту проводят редко.
2.2 Цинк и его соединения.
Цинк имеет определенное значение дли животных и растений как микроэлемент. Часть соединений цинка используется в качестве лечебных препаратов (окись цинка, сульфат цинка), а некоторые соединения имеют отношение к промышленности (цинковые белила, типографские краски и др.). Однако как цинк, так и названные его соединения не имеют ветеринарно-токсикологического значения.
Растворимые соли этого металла (хлорид цинка) осаждают белки и обладают поэтому свойствами солей тяжелых метал. I вызывая прижигание и некроз тканей.
Из неорганических соединений цинка определенный токсикологический интерес представляет лишь один препарат – фосфид цинка Zn>3> P>2.> [3]
Фосфид цинка. Фосфид цинка (Zn>3>Р>2>) (молекулярный вес 258,1). В настоящее время широко применяется в практике дератизации для истребления крыс и других вредных грызунов. Химически чистый фосфид цинка представляет собой порошок темно-серого цвета с содержанием 24% фосфора и 76% цинка. Технический продукт обычно содержит 14—18% фосфора, 70—80% цинка и до шести других соединений. Удельный пес 4,72. Он не растворим в воде, спирте, слабо растворим в щелочах и маслах и хорошо растворим даже в слабых кислотах; при растворении выделяет фосфористый водород. Под действием влаги, воздуха и солнечного света практически не разлагается. [5]
Действующим началом фосфида цинка является фосфористый водород, который выделяется из отравленной приманки под действием соляной кислоты, входящей в состав желудочного сока:
Zn>3>P>2>+6HCL=3ZnCL>2>+2PH>3>
Фосфористый водород — газообразное соединение, которое при попадании в воздух делает последний ядовитым для человека и животных. Содержание его в количеств 0,01 мг/л является уже смертельным при вдыхании какого воздуха в течение 5-10 минут. Фосфористый водород нарушает обмен веществ и является также ядом для нервной системы и крови (табл. 1).
Таблица № 1.
Токсичность фосфида цинка для различных животных и человека.
|
Вид животного |
ЛД>100> в мг/кг |
|
Серая крыса |
75–100 |
|
Черная » |
45 |
|
Домовая мышь |
150–200 |
|
Полуденная песчанка |
40–50 |
|
Гребенщиковая » |
50 |
|
Краснохвостая песчанка |
75 |
|
Большая песчанка |
25–45 |
|
Малый суслик |
20–24 |
|
Водяная крыса |
4–5 |
|
Собака |
40 (ЛД>50>) |
|
Человек |
40 (ЛД50) |
Некоторые исследователи отмечают, что у серых крыс не понижается чувствительность к фосфиду цинка при повторном скармливании сублетальных доз этого яда. Повторная дача приманки, отравленной фосфидом цинка, вызывает у грызунов защитную реакцию независимо от замены приманочного продукта. Существует прямая зависимость между продолжительностью сроков скармливания ядов и появлением защитной реакции у грызунов к яду.
Авторы рекомендуют повторное применение фосфида цинка на объектах допускать не ранее чем через 100 дней.
Пищевые приманки из хлебной крошки, мясного фарша и рыбного, картофельного пюре и т. п. должны содержать 3% фосфида цинка. Препарат применяется и в непищевых приманках для опыливания воды из расчета 500 мг на 100 см2 водной поверхности.
Для сохранения в течение длительного времени токсических свойств готовых приманок с фосфидом цинка следует изготовлять пасты на жировой основе или в качестве приманочных продуктов использовать зерно или муку, так как для более эффективного использования этого яда и дератизации его следует применять в смеси с пищевыми продуктами, в которых содержится минимальное количество влаги и которые не обладают кислой реакцией.
Для централизованного изготовления приманок может быть использована паста на глицерине пли вазелине. Может быть использован также овес; в качестве вещества, приклеивающего яд, в этом случае пользуются 4% крахмальным клейстером, к которому добавляют 3% сахара.
Для истребления домовых мышей пригодны все виды сухих приманок -галеты, отравленное зерно и мука, к которым добавлено 3% фосфида цинка. [1]
2.2.1 Механизм действия
Токсикология фосфида цинка. При попадании в желудок фосфид цинка разлагается под влиянием соляной кислоты и образует при этом фосфин (РН>3>), который называется еще фосфористым водородом. Последний является ядом, действующим преимущественно на нервную систему и нарушающим обмен веществ в организме. Кроме того, фосфин действует и на отдельные органы, особенно на печень и почки.
Отравления животных и птиц фосфидом цинка в результате поедания приманок наблюдались во всех странах мира, когда это соединение находило широкое применение. Токсикоз чаще всего протекал в острой форме, поскольку при поедании приманок в желудок попадали большие дозы препарата. В настоящее время использование этого препарата заметно сокращается. Фосфид цинка в приманках сохраняется довольно продолжительное время (от 3 месяцев и до года!).
Токсические дозы фосфида цинка для крупного рогатого скота, овец, коз и собак в среднем составляют 20—40 мг на 1 кг веса животного, в то время как токсические дозы для домашней птицы могут быть значительно меньшими. Грызуны очень чувствительны к фосфиду цинка и погибают от таких же доз яда, как и птицы. [5]
2.2.2 Клинические признаки
При отравлении фосфидом цинка отмечаются угнетение, болезненность при отравлении к животному; затем быстро наступают коматозное состояние и смерть с признаками асфиксии. У птиц смерть наступает обычно в течение первых суток, а у животных — несколько позже (на 2—3-е сутки после появления первых признаков интоксикации). У собак и кошек отравления сопровождаются рвотой, судорогами при глубоком и замедленном дыхании.
2.2.3 Лечение
Никаких специфических противоядий не найдено. Рекомендуется применять симптоматические средства.
2.2.4 Патологоанатомические изменения
При вскрытии трупов животных, павших от отравления фосфидом цинка, находят застойные явления в брюшной полости, отек легких и значительные изменения слизистой оболочки на всей протяжении желудочно-кишечного тракта. От содержимого желудка и зоба ощущается специфический, запах, похожий на запах ацетилена. В печени и почках отмечается резко выраженная застойная гиперемия. [6]
2.2.5 Химико-токсикологический анализ
Содержание фосфида цинка в кормах определяют химическим путем в условиях лаборатории. В патологическом материале фосфид цинка обнаруживают с помощью реактивной бумажки, пропитанной 5%-пым спиртовым раствором бромной ртути, и второй бумажки, смоченной перед употреблением раствором ацетата свинца (А. В. Николаев). Методика этих исследований изложена в специальных руководствах.
Количественное определение фосфида цинка по фосфористому водороду основано на кислотном гидролизе фосфида цинка до фосфористого водорода и солей цинка. Обнаружение фосфористого водорода производят путем титрования: Zn>3>P>2>+3H>2>SO>4> = 3ZnSO>4>.
Реактивы. 0,1 н. раствор иода: в мерную литровую колбу помещают 30 г йодида калия и 13 г перекристаллизованного йода, растворяют в 50 мл дистиллированной воды, после чего объем доводят водой до метки. Титр устанавливают по натрию тиосульфата. Для этого к 25 мл раствора йода добавляют 0,1 и раствор тиосульфата натрии до слабо желтой окраски. Затем добавляют 1 мл 1%-иого раствора крахмала и окончательно титруют тиосульфатом натрия до обесцвечивания. При хранении растворы йода меняют свой титр, поэтому каждый раз их титр проверяют по тиосульфату натрия.
0,1 н. раствор тиосульфата натрия (гипосульфит): 25 г кристаллической соли тиосульфата натрия вносят в мерную литровую колбу и растворяют дистиллированной водой, из которой кипячением удален углекислый газ, затем доводят водой до метки, оставляют па 12—15 дней, устанавливают титр.
1%-ный раствор крахмала: 0,5 г картофельного или рисового крахмала растирают в небольшом количестве воды, отдельно кипятят 50 мл дистиллированной воды и при помешивании вливают в нее приготовленную крахмальную массу, продолжая кипячение в течение 3—5 мни, и затем охлаждают. Хранят в прохладном месте не более 3 дней.
Раствор соляной кислоты 1: 3.
Ход анализа. В сухую колбочку помещают 0,1—0,3 г исследуемой соли или 5—10 г отравленной приманки и патматериала, тщательно закрывают ее резиновой пробкой с тремя отверстиями. Через одно отверстие проходит небольшая капельная воронка для кислоты, через два других — изогнутые под прямым углом стеклянные трубочки: длинная — до дна колбочки для ввода воздуха и короткая — для вывода воздуха и образовавшегося фосфористого водорода.
Колбочку помешают в водяную баню при 48—50 °С, нагревают в течение всего опыта.
Короткую трубочку дли отвода воздуха и фосфористого водорода соединяют с тремя последовательно соединенными дрекселями, в два из них вливают по 50 мл 0,1 к раствора йода, в третий — крахмальный раствор для определения возможного проскока йода. Всю установку присоединяют к водоструйному насосу или аспиратору для протягивания воздуха со скоростью 4—5 пузырьков в 1 с. И то же время по каплям из капельной воронки вводят 75 мл разведенной соляной кислоты.
Реакция протекает в течение 2—2,5 ч. По окончании реакции из реакционной колбы вытесняют воздух водой, после вытеснения воздуха раствор йода из обоих дрекселей соединяют вместе и титруют 0,1 п. раствором тиосульфата натрия.
При изменении окраски крахмала (посинение) его также титруют. 1 мл 0,1 н. раствора йода соответствует 0,6 мг фосфористого водорода (PH>3>) или 2,2764 мг фосфида цинка. Опыт ставят с контрольной пробой. [7]
2.3 Производные фтора и бария
В настоящее время эта группа препаратов применяется в качестве родентицидов реже, чем в прошлом. Но все же некоторые органические соединения этих элементов, например фтор-ацетат бария и натрия, фторацетамид, монофторуксусная кислота, представляют токсикологический интерес. [3]
Соединения фтора. В дератизации применяются неорганические и органические соединения фтора. Все соединения фтора ядовиты. Большая часть фтора поступившая в организм, депонируется в костях и зубах, откуда он практически может поступать в кровь.
Фторсодержащие соли являются протоплазматическими ядами, оказывающими в основном действие на раз личные ферменты. При остром отравлении главное значение имеет действие на центральную нервную систему и, может быть, на мускулатуру, а также местное действия в желудочно-кишечном тракте.
Выделяется из организма медленно, в основном через почки и меньше кишечником, слюнными и молочными железами, с желчью.
Из неорганических соединений в дератизации ранее применялись фтористый и кремнефтористый натрий. В настоящее время применяются органические соединения фтора, которые относятся к производным монофтор-уксусной кислоты, обладающим высокой токсичностью.
Фторацетат натрия и фторацетат бария. Фторацетат натрия (CN>2> FCOONa) и фторацетат бария [(СN>2>FСОО)>2> Ва] являются cсильнодействующими ядами и могут найти применение в борьбе с грызунами. Фторацетат натрия имеет вид слегка воскообразных кристаллов, фторацетат бария —мелкий кристаллический порошок белого цвета. Оба препарата хорошо растворяются в воде. Токсичность фторацетата натрия характеризуется следующими показателями (табл. 2).
Таблица 2
Токсичность фторацетата натрия для различных животных и человека
|
Вид животного |
Лд>50> мг/кг |
|
Крыса серая |
3–7 |
|
» черная |
1–4 |
|
» белая |
2,5–7 |
|
Кошка |
0,35–0,5 |
|
Собака |
0,07–0,2 |
|
Коза |
0,3–0,7 |
|
Свинья |
1 |
|
Курица |
6-30 |
|
Человек |
2 |
Смертельная доза фторацетата бария для серых крыс составляет 4—5 мг/кг, для малого суслика и большой песчанки — 0,2—0,25 мг на особь, для полуденной песчанки — 0,04 мг.
Первыми признаками отравления этими препаратами являются частые судороги, слабость, потеря подвижности. Отравление вызывается как фторуксусной кислотой, так и барием (натрием), образующимися в результате расщепления в организме молекулы препарата. Фторуксусная кислота воздействует па центральную нервную систему, а барин повышает возбудимость продолговатого и спинного мозга, действует на мышцу сердца и гладкую мускулатуру. Смерть наступает при явлениях паралича сердечной и дыхательной деятельности.
Фторацетат натрия, известный во всем мире под названием «препарат 1080», применяется в Великобритании для борьбы с серой крысой, заселяющей канализационные системы городов (Веntle. а., 1959), в Австралии — для борьбы с кроликами. Во многих странах этот препарат используют для борьбы с различными видами крыс, наносящими вред плантациям и запасам продуктов на складах, а также для борьбы с грызунами в очагах чумы.
В СССР в ограниченных масштабах использовали фторацетат бария для быстрого уничтожения серых крыс па отдельных объектах, а также для борьбы с грызунами в эндемичных очагах чумы.
Как фторацетат натрия, так и фторацетат бария обладают хорошо выраженным системным действием на эктопаразитов, питающихся на грызунах.
Фторацетамид (амид монофторуксусной кислоты) — (СN>2>FCONH>2 >является промежуточным продуктом при производственном изготовлении фторацетата бария. Препарат имеет вид белых или сероватых кристаллом. Хорошо растворяется в воде.
Фторацетамид обладает хорошими ратицидиыми свойствами. В нашей стране этот препарат был испытан в основном как средство борьбы с вредными грызунами в очагах особо опасных инфекций и обнаружил высокую эффективность в отношении сусликов, песчанок и некоторых других видов. В Англии фторацетамид рекомендован для борьбы с серой крысой в канализационных системах.
Данные, характеризующие токсичность фторацетамида, приведены в (табл. 3).
Таблица 3
Токсичность фторацетамида для различных животных
|
Вид животного |
ЛД>100 >мг/кг |
|
Серая крыса |
35 35 |
|
Домовая мышь |
|
|
Суслик малый |
3 |
|
Песчанки гребенщиковая и большая |
3 |
|
Пеструшка степная |
3 |
|
Морская спинка |
1 |
|
Водяная крыса |
1—1,5 |
|
Полевка серая |
1,5—2 |
|
Собака, кошка, свинья |
5 |
|
Голубь |
5—7 |
|
Курица |
5 |
Можно сказать, что фторацетамид не обладает избирательной токсичностью, как, например, крысид, а сильно ядовит для различных млекопитающих и птиц.
Как и некоторые другие производные моиофторуксусной кислоты, фторацетамид обладает кумулятивными свойствами. Регулярное введение крысам малых доз препарата (по 0,1 мг в сутки) в течение ряда дней вызывает гибель подопытных животных от количеств препарата, значительно меньших, чем однократная летальная доза (табл. 4).
Таблица 4.
Кумулятивное действие фторацетамида.
|
Вид животного |
Гибель животных (в %) по дням наблюдения |
Суммарная в мг |
||||||
|
1-й |
2-й |
4-й |
5-й |
6-й |
10-й |
16-й |
||
|
Белые крысы Серые крысы |
- 8,3 |
30,0 - |
60,0 50,0 |
70,0 - |
90,0 83,3 |
- 91,7 |
100,0 100,0 |
1,4 1,4 |
Из данных табл. 6 видно, что скармливание малых доз препарата вызывает кумулятивный эффект и гибель основной массы (80—90%) подопытных животных в течение 6 дней. За это время зверьки получают примерно 6,4 мг/кг, и то время как однократная летальная доза составляет 35 мг/кг.
Приманку с фторацетамидом серые крысы поедают несколько лучше, чем с другими остро действующими ядами, что было показано нами при проведении опытов в вольере (табл. 5).
Таблица 5.
Сравнительная поедаемость хлебной крошки с различными ядами.
|
Наименование препарата и его концентрация |
Процент поедания |
|
|
приманки с ядом |
приманки без яда |
|
|
Фосфид цинка 3% Крысид 1% Фторацетамид 0,5% |
16 15 37,5 |
56 39,5 40 |
Из данных (табл. 5) видно, что приманку с фторацетамидом крысы поедают почти так же хорошо, как не отравленный корм, и значительно лучше, чем приманку с другими ядами.
При отравлении фторацетамидом гибель крыс растягивается на несколько суток. В течение первых 2 суток погибает примерно 60% животных, съевших приманку с ядом.
Важным преимуществом фторацетамида является то, что к нему не вырабатываются настороженность и привыкание. Грызуны охотно поедают приманку с ним несколько раз. Это, очевидно, связано с тем, что явления отравления развиваются в организме сравнительно медленно. Так же, как и при отравлении фторацетатом бария, отравленные фторацетампдом крысы в массе выходят из нор и других подземных убежищ и погибают на поверхности земли, что дает возможность быстро собирать и уничтожать их трупы.
Фторацетамид обладает хорошо выраженными системными свойствами. Проведенные исследования (А. Н. Алексеев, И. С. Туров, 1967, 1968) показали, что при однократном кормлении блох через биомембрану кормовой жидкостью, содержавшей 0,1% препарата, к 6-м суткам погибает до 100% насекомых. При введении белым крысам препарата в дозе 15 мг/кг количество его в крови возрастает до 12 часов с момента введения, держится на достаточно высоком уровне до 19 часов, а затем резко убывает.
Помимо гибели взрослых блох, питающихся на крысах, получивших фторацетамид, наблюдается также и снижение плодовитости блох, оставшихся в живых, т. е. получивших сублетальную дозу яда. Количества яда, равные двум миллионным долям грамма, почти полностью (в 20 раз по сравнению с контролем) подавляют половую функцию блох.
В практических условиях для борьбы с синантропными и полевыми грызунами фторацетамид используется в составе пищевых и жидких отравленных приманок (0,5 %).
В связи с тем что фторацетамид весьма токсичен для домашних животных, при работе с ним необходимо строго соблюдать меры предосторожности. Следует раскладывать приманки с этим ядом в прикормочные ящики пли в другие приспособления, исключающие возможность поедания их домашними животными. Трупы грызунов, отравленных фторацетамидом, должны быть собраны и сожжены. Особое внимание следует обращать ни сбор трупов грызунов вне помещений, так как имеется возможность поедания их домашними животными.
2.3.1 Механизм действия
Разница в механизме действия этой категории соединении в сравнении с предыдущими антикоагулянтами типа зоокумарина заключается в том, что фтористые соединения нарушают окислительно- восстановительный цикл в организме. В частности, фторуксусная кислота превращается в фторлимонную, а она, как известно, подавляет в организме трикарбоновый цикл Кребса.
Хотя фторуксусная кислота и ее соединения токсичны для всех видов домашних животных, но они к этому веществу значительно устойчивее грызунов.
2.3.2 Клинические признаки
Отравления сопровождается нарушением деятельности сердечно-сосудистой системы, общей депрессией; у собак наблюдается судороги.
2.3.3 Лечение
Может быть полезным применение рвотных средств (у свиней, собак, кошек), при наличии возбуждения назначают барбитураты. Кроме того, проводят симптоматическое лечение.
2.3.4 Барий углекислый
Барий углекислый (бария карбонат, ВаСОз) — порошок белого цвета без вкуса и запаха. Плохо растворяется в воде и спирте.
Токсикологическое значение бария углекислого невелико в связи с ограниченным его применением в качестве зооцида. Однако он является типичным представителем соединений бария, которые также иногда вызывают отравления животных.
Токсические дозы для птиц составляют 0,4 - 0,7 г; для крыс – 0,12 - 0,2 г. В связи с лучшей растворимостью бария хлорид более ядовит: для крупных животных смертельная доза – 15 - 30 г, для овец и свиней – 5 - 15 г.
2.3.5 Механизм действия
В желудке бария карбонат реагирует с соляной кислотой, превращаясь в бария хлорид, который хорошо всасывается слизистой оболочкой в кровь. К сожалению, молекулярные механизмы токсического действия соединений бария изучены недостаточно. Известно, что ионы бария избирательно повышают тонус гладкой мускулатуры внутренних органов и стенок сосудов, а на сердце действуют подобно гликозидам наперстянки. В связи с этим в патогенезе отравления ведущее значение имеет расстройство функции сердечно-сосудистой системы (с резким повышением кровяного давления) и желудочно-кишечного тракта.
2.3.6 Клинические признаки
Симптомы у разных видов животных во многом сходны: испуганный вид, слюнотечение, позывы к рвоте или рвота, болезненность со стороны органов брюшной полости, колики (у лошадей), общее возбуждение, сильный понос, нарушение акта глотания, затем появляются мышечная дрожь, учащенное дыхание, тонические и клонические судороги. При сверхостром течении смерть наступает внезапно от паралича сердца. Птицы нередко гибнут без заметных признаков отравления.
2.3.7 Патологоанатомические изменения
Характеризуются спастическим сокращением кишечника, мочевого пузыря и сердца в состоянии систолы. В слизистых оболочках — точечные кровоизлияния. При длительном течении превалируют дистрофические изменения внутренних органов.
2.3.8 Диагноз
Диагностика затруднена. Решающее значение имеют результаты химико-аналитических исследований.
2.3.9 Лечение
Специфические антидоты — сульфаты натрия или магния, 1 %-ными растворами которых сначала промывают желудок, затем вводят их внутрь в слабительных дозах с большим количеством воды. В дальнейшем желательно периодически вводить внутрь 5— 10%-ный раствор натрия сульфата. С целью более быстрого выздоровления показаны слизистые вещества и парное молоко. [4]
3 Органические препараты
3.1 Производные оксикумарина
Оксикумарин впервые был обнаружен в виде дикумарина в растении донник. По своим свойствам оксикумарин относится к сильиым аитикоагулянтам. Последнее собственно и определяет его токсическое действие.
Антикоагулянты (Anticoagulantia), вещества, задерживающие свёртывание крови. Различают антикоагулянты, действующие непосредственно на факторы свёртывания, находящиеся в крови (гепарин, неодим, гемофилии С), и антикоагулянты тормозящие выработку факторов свёртывания крови в печени (дикумарин, неодикумарин, фенилин, омефин, синкумар).
После того как была установлена химическая структура оксикумарина, появилась целая серия синтетических препаратов (кумахлор, ракулпп, кумафурал и др).
Наибольшее значение и распространение получил зоокумарин (за рубежом известный под условным названием «ВАРФАРИН», что обозначает сочетание начальных букв выпустившей его американской фирмы).
Зоокумарин (варфарин) — 3-(α-фенил-β-ацетил-этил)-4-оксикумарин общей формулы С19Н16О4 представляет собой белый кристаллический порошок с характерным запахом, содержит 0,5% оксикумарина и 99,5% наполнителя (крахмал с красителем, тальк). Молекулярный вес 308. В воде практически нерастворим, хорошо растворяется в ацетоне, хуже в спирте, плохо в эфире. Применяется в виде 5% ных пищевых приманок, а также путём опыливания входных отверстий нор. Обладает резко выраженным кожно-резорбтивным и кумулятивным действием. [8]
Гелькум. Препарат представляет собой гель темно-фиолетового цвета, на основе которого готовят отравленные пищевые приманки, используя различную пищевую основу (зерно, крупу и др.). Введение в готовые приманки дополнительных атрактантов не требуется. Гелькум предназначен для борьбы с серыми крысами.
Действующее вещество - варфарин (зоокумарин) в количестве 0,75 % в исходном препарате. В приготовленных отравленных приманках на гелькуме содержание варфарина не должно превышать 0,025 %. Варфарин относится к первому поколению антикоагулянтов непрямого типа действия. Это вещество снижает уровень протромбина в крови, что приводит к кровотечениям из носа, рта, кишечника, кровоизлияниям во внутренних органах, очагам воспаления и некроза и, следовательно, к гибели крыс.
Клерат. Фирмой "Зенека" (Англия) выпускается эффективный антикоагулянтный родентицид под фабричной маркой "Клерат" и 'Талон". Эта готовая к употреблению ядоприманка содержит самый сильный в мире антикоагулянт - бродифакум с 0,005% действующим веществом, что соответствует 5% концентрации препарата. "Клерат" (Талон) является идеальным родентицидом, сочетающим преимущества антикоагулянтов и острого яда. Не вызывает предосторожности у грызунов. Эффективен против грызунов, которые стали устойчивы к другим антикоагулянтам.
Клерат (Талон) выпускается в виде цилиндрических гранул (пеллеты) розового цвета размером 5 мм в диаметре и от 5 до 12 мм в длину и 5 г-20 г парафинированные восковые блоки, устойчивые к влаге. В состав родентицидной приманки входят зерна злаков, бродифакум, аттрактанты, красители и вещество с отталкивающим для человека вкусом "Битрекс".
Приманки фирмы "Зенека" создаются с целью обеспечения высокой привлекательности и партии продукции подвергаются регулярному контролю в реологической лаборатории грызунов при Университете Рейдинг для гарантирования того, что грызуны будут ее принимать. Любая партия, не прошедшая испытания на «аппетитность», бракуется.
Химическое наименование: 3-(3-(4-бромдифенил-4ил-1,2,3,4 тетрагидро- 1иефтил)-4 гидроксикумарин.
Эмпирическая формула: С>31>Н>23>В>2>О>3>.
Бродифакум - синтетический антикоагулянт крови. Обладает избирательным действием: острая ЛД50 при пероралъном введении для самцов серой крысы - 0,26 в7кг, для самок - 0,5 мг/кг, для домовых мышей - 0,4 мг/кг, для кошек и овец - 25 мг/кг. Имеет куммулятивные свойства: для крыс пятидневная ЛД>50> при пероралъном ведении составляет 0,3 (0,2-0,4) мг/кг. раздражающее действие выражено слабо.
Как и другие 4-гидроксикумариновые антикоагулянты бродифакум подавляет приток витамина "К", требуемого для эффективного свертывания крови (именно поэтом) витамин "К" является эффективным противоядием). В лабораторных условиях гибель грызунов следует через 5-7 суток после поглощения смертельной дозы, однако этот срок может существенно варьироваться.
Для умерщвления взрослой крысы достаточно 1,5 г приманки (зоокумарина -186 г), для домовой мыши - 0,2 г (зоокумарина - 37,0 г).
Вазелиновая паста для борьбы с серыми крысами «Вазкум».Препарат "Вазкум" предназначен для борьбы с серыми крысами в строениях и на открытой территории с соблюдением мер предосторожности.
Препарат "Вазкум" в качестве действующего вещества содержит 0,50% зоокумарина технического (1С 42-1298-79), распределенного в липкой композиции, состоящей из 50% медицинского вазелина (ГОСТ 3582-84) и 49,5% талькомагнезита молотого (тальк молотый) ГОСТ 21235-7 (ГОСТ 213 5-75).
Соотношение исходных компонентов липкой композиции обеспечивает консистенцию препарата в виде пасты, удобной для использования в различного рода ядовитых дератизационных покрытиях, обмазки нор грызунов и изготовления пищевых гранулированных приманок.
Препарат "Вазкум" применяют при температуре от +5°С до +30°С.
Срок годности препарата "Вазкум" при хранении в комнатных условиях - не менее года.
При применении препарата гибель крыс наступает на 3-15 сутки.
Препарат "Вазкум" изготовляют в специальных помещениях (лабораториях) отделов (отделений) профдезинфекции дезинфекционных и санитарно-эпидемиологических станций, оснащенных в соответствии с требованиями техники безопасности. [11]
3.1.1 Механизм действия
Производные оксикумарина, поступая в организм животных и птиц, нарушают образование протромбина в печени, угнетают действие витамина К и увеличивают порозность стенок капилляров. В силу этого кровь выходит из сосудов и образует большие скопления (гематомы), кровообращение при этом нарушается, а малейшее повреждение сосудов вызывает неустранимое кровотечение. Последнее у грызунов чаще всего и приводит их к гибели. Гибель грызунов от зоокумарина наступает в течение 7-15 дней. Для дератизации в помещениях с животными применяют препарат, содержащий 0,5 % яда.
Токсичность этих соединений исключительно высокая, если учесть, что в зоокумарине имеется всего лишь 0,5% действующего вещества, а приманки готовят из расчета 50—60 г препарата на 1 кг корма. Легко себе представить, какое ничтожное количество этого вещества может попасть в организм крысы при поедании ею приманок. Домовые мыши и черные крысы значительно устойчивее к зоокумарину, и для борьбы с ними рекомендуются приманки с более высоким содержанием препарата. Имеются данные о том, что к этому препарату весьма чувствительны лесные мыши. Смертельные отравления наступают лишь после поедания приманок в течение нескольких дней. Сухие приманки сохраняют свою активность в течение нескольких месяцев.
Зоокумарин не обладает запахом и вкусом, чувствительными для человека и, вероятно, для крыс, что исключает необходимость проводить предварительный прикорм. После поедания приманки с зоокумарином у грызунов не появляется болезненных ощущений, у них не развивается настороженности к приманкам, содержащим препарат, и они продолжают поедать их совершенно спокойно.
Препарат обладает кумулятивными свойствами, и поэтому для гибели грызуна необходим прием нескольких доз препарата. Токсичность зоокумарина характеризуется следующими показателями (табл. 6).
Таблица 6
Токсичность зоокумарина для различных животных.
|
Вид животного |
ЛД>100> в мг/кг |
|
Серая крыса Домовая мышь Кошка Собака Свинья Курица |
4* Более 3* 60 30 1—1.2 Более 500 |
*Указаны суммарные кумулятивные дозы.
Из продуктивных животных крупный и мелкий рогатый скот довольно устойчив к зоокумарину и переносит дозы в 50 мг на 1 кг веса животного при однократном введении. Свиньи, наоборот, довольно чувствительны, особенно при длительном (в течение недели и больше) поступлении яда в организм, даже в таких незначительных количествах, как 0,4 мг на 1 кг веса. Смертельная однократная доза зоокумарина для 4-недельного поросенка равна 30 мг (Гарнер). Токсичность для собак варьирует в пределах 20—50 мг на 1 кг веса, кошки более чувствительны и нередко погибают от поедания отравленных грызунов. Высокой резистентностью к зоокумарину и другим производным оксикумарина обладают домашние птицы, как сухопутные, так и водоплавающие.
Аналогичными по своему действию оказываются и все другие соединения оксикумарина, которые выпускаются в довольно значительном разнообразии за границей.
Наиболее эффективно применение зоокумарина совместно с бактокумарином. [3, 10]
Бактокумарин – комбинированный препатат, состоящий из семян злаковых, обработанных натриевой солью зоокумарина и бактериальной культурой тифа грызунов.
Готовят зерновую (пшеничную) среду путем замачивания, промывания, автоклавирования (стерилизации). В зерновую смесь добавляют 4 % раствор натриевой соли зоокумарина, приготовленный на 10 % растворе едкого натра, из расчета 9-12 мл на 1,5 кг. В стерильную зерновую среду засевают маточную бульонную культуру (48-часовую) из расчета 500 мл культуры на 1,5 кг зерна. Все перемешивают и выращивают в термостате при 36-37'С в течение 48-50 часов, при встряхивании через каждые 3 часа.
Бактокумарин содержит в 1 г 5-6 млрд. микробных тел и 0,015-0,02 % натриевой соли зоокумарина. Срок хранения при температуре 2-5'С в течение 2-3 месяцев, а при комнатной температуре 1-1,5 месяца.
Хранят в стандартной упаковке, в прохладном (не свыше 15°С) и темном месте.
Сочетание данных бактерий с зоокумарином не оказывает вредного влияния на возбудителей тифа грызунов, в то же время значительно усиливает дератизационную силу препарата. Препарат хорошо поедается грызунами и является надежным губительным средством для последних.
Используют для борьбы с крысами и мышами. Препарат раскладывают небольшими порциями в течение 2-3 дней в местах, доступных для животных и птиц. В среднем на 100 м2 пола расходуют для мышей 0,1 кг, а для крыс 0,15 кг бактокумарина. Конечный результат учитывают на 16-25 день. Препарат, не съеденный грызунами, сжигают. [9]
3.1.2 Клинические признаки
Первые признаки отравления появляются после сравнительно длительного периода (несколько недель) кормления. На фоне удовлетворительного общего состояния отмечается образование различной величины и формы припухлостей, безболезненных, плотных, со временем флюктуирующих. В последующем появляется бледность слизистых оболочек, общая слабость, кровотечения из открытых полостей тела, апатия, затруднения в движениях, учащение дыхания и сердцебиения, стойкая атония преджелудков.
В дальнейшем наступает атаксия, понижается температура тела, общее состояние ухудшается. Через несколько дней животные погибают от резко выраженной сердечной недостаточности.
Бывают случаи длительного течения заболевания. При своевременном исключении подозреваемого корма выздоровление происходит очень медленно.
3.1.3 Патологоанатомические изменения
Характеризуются множественными и внутренними кровоизлияниями. Разнообразные по форме и величине гематомы обнаруживаются в подкожной клетчатке, реже — в скелетных мышцах. Обширные геморрагии имеются в большей части внутренних органов, под серозной и слизистой оболочками желудочно-кишечного тракта, брюшиной, на эпикарде и эндокарде. В брюшной и грудной полостях — кровянистая жидкость. Нередко почки находятся в студневидной кровянистой массе. В гематомах и полостях сердца кровь водянистая, несвернувшаяся. Мелкие кровоизлияния обнаруживаются также в головном мозге. При вскрытии павших грызунов обширные геморрагии могут быть обнаружены в мочеполовой системе, в области сердца, легких и, реже, в пищеварительном тракте, иногда отмечается кровянистый экссудат около носа и в моче.
3.1.4 Диагностика
Диагностика отравления представляет определенные трудности. Массовое появление ограниченных припухлостей на теле животных, особенно молодняка, требует исключения подозрения на сибирскую язву и эмфизематозный карбункул. В какой-то степени этому способствует отсутствие повышенной температуры тела и признаков газообразования в припухлостях. Связь заболевания со скармливанием донника (травы, силоса, сена), особенно испорченного, вызывает подозрение на отравление, подтверждающееся тщательным анализом клинических симптомов, результатов патологоанатомического вскрытия и лабораторных исследований. При этом определяют скорость кровотока (резкое замедление), время свертываемости крови (значительное увеличение) и протромбиновое число (резкое понижение). Обнаружение в крови дикумарина служит убедительным подтверждением диагноза. Как антикоагулянт зоокумарин вызывает кровотечения, нередко со смертельным исходом.
3.1.5 Лечение
Прежде всего у животного следует исключить из рациона подозрительные корма, нужно вызвать рвоту; сделать промывание желудка 1% раствором сернокислого натрия; для нейтрализации яда в желудке давать внутрь 200мл 10% раствора сернокислого натрия по одной столовой ложки каждые пять минут. При сердечной слабости чай или кофе.
В качестве терапевтических средств назначают витамин К>1> (крупному рогатому скоту до 1 г на голову в сутки, свиньям внутримышечно из расчета 0,5— 2,5 мг/кг массы тела), викасол или витамин К>3> (действует менее эффективно), внутривенно 10 %-ный раствор кальция хлорида (2—5 г на 100 кг массы тела) 1—2 раза в сутки. Показано также внутривенное введение 10 %-ного раствора аскорбиновой кислоты, 40 %-ного раствора глюкозы, переливание крови от здоровых животных. [3]
3.1.6 Химико-токсикологический анализ
Обнаружение оксикумарина осуществляется по его специфическому запаху. Последний бывает достаточно ощутим, в особенности при вскрытии желудочно-кишечного тракта.
3.2 Производные тиомочевины
Тиомочевина (тиокарбамид), СSN>2>Н>4>, известна как стимулятор роста и не представляет токсикологического интереса. Но при сочетании тиомочевины с фенильным пли нафтиловым радикалом она приобретает значительную токсичность, особенно в отношении крыс и мышей. В частности, альфа-нафтилтиомочевина известна у нас под названием «крысид» и является одним из широко распространенных ратицидных средств, применяемых для истребления грызунов в промышленных и бытовых зданиях. За рубежом этот препарат значится под наименованием «АНТУ».
Химически чистый препарат имеет вид небольших призматических бесцветных и прозрачных кристаллов, обычно аггломерированных друг с другом, плавящихся при 176—180°. На воздухе кристаллы темнеют. В воде не растворяются, хорошо растворяются в спирте. Обладают значительной избирательной токсичностью. Высоко токсичны для крыс и мышей, но слабо токсичны для других теплокровных, в связи с чем препарату дано название «крысид» (В. И. Вашков, А. А. Пасешник и В. Н. Поликарпов, 1949). [12]
Тиосемикарбазид (МН>2>NНСSNН>2>) —твердый кристаллический порошок; плавится при температуре 177— 179° с разложением на составные части. Растворяется в горячей воде до 10%, в холодной — до 2,5—3%. Летальная доза для серой крысы 12 мг (60 мг/кг), для домовых мышей— 1 мг (50—60 мг/кг), для сусликов—5 мг (25 мг/кг). Он высокотоксичен также других грызунов. Большинство грызунов погибают через 6 часов после поедания приманки с препаратом. Следует отметить, что у грызунов наблюдается привыкание к этому яду; устойчивость у серых крыс вырабатывается к нему постепенно после получения нескольких небольших доз препарата (1—2-мг) в течение 10—14 дней. Грызуны, обладающие устойчивостью к крысиду, сохраняют ее и к тиосемикарбазиду. Для получения наилучшего дератизационного эффекта препарат следует применять не длительно — в течение 7 дней: повторное применение его допускается не ранее чем через 2 месяца.
3.2.1 Механизм действия
Все препараты данной группы относятся к высокотоксичным веществам, используются они для истребления грызунов. Применяют эти вещества методом опудривания устьев нор или путем раскладки отравленных приманок. На 1 кг корма добавляют крысида в количествах 5 г для мышей и 8—10 г для крыс.
Наличие запаха препарата исключает возможность увеличивать его количество в корме.
Избирательное действие на грызунов и небольшая концентрация яда в отравленных приманках делают применение его в дератизации практически безвредным для человека и домашних животных и позволяют рекомендовать для широкого применения в любых объектах населенных пунктов (детские учреждения, предприятия пищевой промышленности и т. д.).
Крысид обладает высокой токсичностью для взрослых серых крыс и домовых мышей и значительно слабее действует на молодых особей серых и черных крыс, на полевок, песчанок и многих других грызунов. Летальная доза препарата при введении с пищей для крыс составляет примерно 4,5 мг на особь, а для домовых мышей — 0,5—0,75 мг (табл. 7).
Таблица 7
Токсичность крысида для различных животных.
|
Вид животного |
ЛД>100 >в мг/кг |
|
Серая крыса Собака Мышь домовая Кошка Поросенок Морская свинка Кролик Цыпленок |
25— 30 60—150 25— 35 75—100 100—130 300—400 400—450 750—2500 |
Смертельная доля для пластинчатозубых крыс от 5 мг и больше. У большинства серых хомячков выявлена значительная резистентность к крысиду. Для гибели последних требуется доза в 20—50 мг. Поедаемость приманок, отравленных крысидом, пластинчатозубыми крысами, серыми хомячками и большими песчанками плохая.
При повторном применении сублетальных доз препарата устойчивость к нему у крыс повышается в 21/2 раза, а после более чем двукратного введения препарата с пищей эта устойчивость к крысиду в отдельных случаях повышается до 4 раз. Крысид не следует использовать более одного раза в год.
Аналогичная устойчивость к препарату наблюдается также у белых мышей, белых крыс, кроликов и др.
Крысы, наталкивающиеся на приманки, содержащие крысид в количестве менее 1%, поедают их охотно. При повторном обнаружении такой приманки они определяют по вкусу содержание в ней крысида уже при наличии 0,08% препарата и съедают лишь часть приманки. При наличии 1% крысида (10 мг/г пищевого продукта) крысы часто совершенно отказываются от повторного приема приманок даже после 2-суточного голодания. Это указывает на то, что при повторном получении приманки со значительным количеством препарата крысы определяют присутствие последнего.
Поедая приманки, содержащие крысид, серые крысы погибают в течение 12—72 ч; время гибели зависит от дозы яда, принятой животным: чем она больше, тем скорее погибнет животное. Непосредственная причина гибели животного — остановка дыхания, что, очевидно, связано со значительными изменениями в легких.
3.2.2 Клинические признаки
У собак после поедания приманок с крысидом наступает рвота, что в значительной степени предохраняет их от смертельного исхода отравления. При наполненном желудке рвота может и отсутствовать, но в таком случае происходит всасывание крысида и может возникнуть клинически выраженное отравление им (Джонс). II знаки отравления крысидом довольно неопределенные; обычно наблюдается расстройство функции органов пищеварения и отчасти дыхания. Последнее обусловливается отеком легких, наступающим вследствие порозности сосудов и капилляров, вызванной действием крысида. Смерть наступает в течение первых двух суток после начала поедания отравленных приманок, 'но могут быть колебания этого срока в сторону увеличения или уменьшения, что зависит от количества поступившего в организм вещества.
3.2.3 Патологоанатомические изменения
У животных, погибших от воздействия крысида, обнаружено уменьшение числа эритроцитов или вследствие непосредственного их разрушения препаратом, или в результате нарушения кроветворной функции костного мозга. Количество гемоглобина уменьшается уже через сутки после введения препарата и достигает наиболее низкого уровня на 3-й день, после чего начинает возрастать и возвращается к норме примерно через сутки, достигая наивысшего уровня. Затем начинает понижаться и возвращается к норме уже через 7 дней.
3.2.4 Лечение
При отравлении крысидом лечение, как правило, положительного результата не дает у домашних животных (собак, кошек).
3.2.5 Химико-токсикологический анализ
Обнаружить крысид в тканях можно только при двух условиях: во-первых, при проведении исследования в первые сутки после поступления яда в организм, во-вторых, при поступлении его в организм в больших количествах.
Определение крысида в биологическом материале (по Вантропу). Основано на экстракции крысида этиловым спиртом в колбе с обратным холодильником, последующей очистке экстракта и установлении наличия этого иди но изменению окраски при взаимодействии его с бромном подои. Чувствительность метода—10 мкг в исследуемой навеске
Реактивы. Ацетон. Петролейный эфир (фракция отгона при 65—70 °С). Хлороформ 0,5 п. раствор едкого кали. Насыщенная бромная вода (I капля брома на I мл йоды). 5 и раствор едкого натра. 60%-ный раствор серной кислоты.
Ход анализа. 100—150 г измельченного исследуемого материала (рвотные массы, содержимое желудочно-кишечного тракта, печень или другие органы) помещают в колбу с обратным холодильником, добавляют ацетон в жирный материал или спирт в материал без жира до консистенции жидкой кашицы и в течение 15 мин экстрагируют в кипящей водяной бане, периодически перемешивая содержимое колбы встряхиванием. Полученный экстракт фильтруют. Остаток вновь экстрагируют. Эту операцию делают 3 раза.
Собранные фильтраты помешают в фарфоровую чашечку, добавляют 100 мл дистиллированной поды и упаривают на водяной бане до объема 100 мл, остаток переносят в делительную воронку, а фарфоровую чашечку тщательно ополаскивают теплой дистиллированной водой. Смывную воду вводят в ту же делительную воронку. После того как высохнет фарфоровую чашечка, ее трижды промывают петролейным эфиром (по 25 мл каждый раз). Эфир после смывании также помещают а делительную воронку. Эфир извлекает пигменты и лнпиды. Обработку экстракта в делительной воронке продолжают новыми порциями эфира до обесцвечивания водного слоя. Фарфоровую чашечку, в которой производилось упаривание, смывают 50 мл хлороформа, который сливают в длительную воронку При плавном перевертывании воронки 40—50 раз производят извлечение крысида.
По окончании смешивания жидкости дают расслоиться, хлороформ сливают, экстрагирование хлороформом по 50 мл делают 3 раза. Хлороформные вытяжки соединяют, фильтруют и частично выпаривают на водяной пане В полученный остаток добавляют 25 мл раствора едкого калия и нагревают на водяной бане, размешивая стеклянной палочкой, пока раствор станет прозрачным.
Прозрачный раствор переносят в делительную воронку, а сосуд промывают теплой дистиллированной водой (75 мл). Промывную воду вводят в ту же делительную воронку После того как высохнет промытый сосуд, его ополаскивают 50 мл хлороформа, последний также вводят в делительную воронку. В делительной воронке экстракцию производят 5 раз, расходуя 150 мл хлороформа. Хлороформные вытяжки соединяют вместе и промывают трижды дистиллированной водой (по 25 мл).
Хлороформный остаток помещают в фарфоровую чашечку и выпаривают до объема 10 мл.
В маленькую делительную воронку пометают 2 мл полученного экстракта, добавляют 1 мл бромной воды и смешивают. Для обесцвечивания избытка брома добавляют 2 мл раствора едкого натра и вновь взбалтывают.
При наличии крысида слой хлороформа окрашивается в синий или фиолетовый цвет. При неясной окраске реакцию повторяют с остатком экстракта, предварительно выпаренного до объема 2 мл Часть окрашенного раствора помешают в пробирку, добавляют немного серной кислоты и взбалтывают. При наличии крысида окраска не изменяется. [7, 13]
3.3 Производные индандиона
Вещества этой группы являются производными сложного ароматического соединения, главным представителем которого является ратиндан. Само название дает основание отнести его к ратицидам. Имеются и другие препараты этой категории (пивал, валон).

Существуют 1,2-И. (формула I) и 1,3-И. (II); молярная масса 146,14. 1,2-И. - желтые кристаллы; температура плавления - 95 °С; хорошо растворяются в кипящей воде. При нагревании с 2 молями Вr>2> в уксусной кислоте (которой - ацетат Na или НВr) превращается в 3,3-дибром-1,2-индандион; окисляется, например Н>2>О>2> в смеси разбавленной соляной кислоты и метанола до гомофталевой кислоты. Получают 1,2-И. препаративно окислением 2-гидрокси-1-инданона действием СrО>3> в горячей воде. 1,3-И. бесцветные кристаллы; температура плавления 129-131 °С (с разложением); легко растворяются в горячем бензоле, не растворяются в воде и лигроине, растворяются в водных растворах щелочей с появлением интенсивной желтой окраски. Действием избытка РСl5 при 60 °С превращением в 1,1,3,3-тетрахлориндан; восстанавливается Н2 в спирте (катализатор - Pd или Pt) до индана. Вступает в реакции по активной метиленовой группе: при действии 2 молей бензилхлорида (кaтализатор - C>2>H>5>ONa) дает 2,2-дибензил-1,3-индандион и бензилбиндон (III, R = СН>2>С>6>Н>5>), с 1 молем бензальдегида (110-120 °С, кат.- пиперидин) - 2-бензилиден-1,3-индандион; образует биндон (III, R = Н) при действии концентрированной H>2>SO>4> (20 °С). Легко вступает в реакцииции электроф. замещения, нитруется в уксусной кислоте при 20 °С с образованием 2-нитро-1,3индандиона, при нагревании с HNO3 в уксусной кислоте окисляется до фталевой кислоты, с реактивами Гриньяра дает 1-алкил-1-гидрокси-3-инданоны.

Получают 1,3-И. омылением концентрированной H>2>SO>4> (80 °С) этилового эфира 1,3-диоксоиндан-2-карбоновой кислоты или диэтилового эфира (фталиденмалоновой кислоты:

1,3-И. биологически инертен. Большое практическое значение имеют его производные по атому С-2, обладающие биол. активностью. 2-Арил-1,3-индандионы получают взаимодействие фталевого ангидрида и арилуксусных к-т с послед. изомеризацией образующихся бензилиденфталидов (кат. - CH3ONa или C2H5ONa). 2-Фенил-1,3-индандион (т. пл. 148-149 °С) -антикоагулянт крови (фенилин) мягкого действия (IV, R = Н, R' = С6Н5). В качестве антикоагулянтов могут быть использованы также его 4'-хлор-, 4'-бром- и 4'-метоксизамещенные (температура плавления 142-144 °С, 142-146 °С, 152-154°С соответственно). 2-Фенил-1,3-индандион легко взаимодействует по атому С-2 с формальдегидом, образуя 2-гидроксиметил-2-фенил-1,3-индандион антикоагулянт омефин; также легко нитруется, галогенируется, сульфируется по атому С-2. 2-Метиламино-2-фенил-1,3-индандион обладает снотворным действием, 2-этиламино-2-фенил-1,3-индандион - противосудорожным. Конденсацией диметилфталата с метилкетонами (катализатор - CH3ONa) получают 2-ацил-1,3-индандионы, используемые как родентициды 2-(дифенилацетил)-1,3-индандион [IV, R = Н, R'= СОСН(С6Н5)2], выпускаемый под назв. "дифацион", а также 2-пивалоил-1,3-индандион [IV, R = Н, R' = СОС(СН>3>)>3>] и 2-изовалероил-1,3-индандион [IV, R = Н, R' = COCH3CH(CH3)2]. [2]
Фентолацин. Перспективным препаратом признан фентолацин 2- (фенил-толилацетил) -индандион-1,3 (С>24>Н>18>0>з>).
Он обладает сильным разовым действием на грызунов. ЛД>50> его для белых крыс 2,62 мг/кг, а при четырехкратном применении ЛД>50> (суммарная) 3,32 мг/кг. Коэффициент кумуляции равен 1,26.
Домашние животные (крупный и мелкий рогатый скот, свиньи и куры) в десятки раз устойчивее крыс к этому препарату.
Фентолацин безопасен при дератизации свинарников и высокоэффективен как ратицид. Разработаны производственные формы этого препарата. Вместо ратиндана, содержащего 0,18% антикоагулянта и малоэффективного при опыливании земляных нор грызунов, предложен препарат, содержащий 0,25% фентолацина и 99,75% талькомагнезита, высокоэффективный и в приманках, и при опиливании.
Для использования по влажных условиях объектов животноводства предложена и разработана принципиально новая форма этого ратицида — пенолацин (пенообразующий состав в аэрозольной упаковке), содержащий 0,5% 2-фенилтолилацетил-инданднона-1,3 и употребляемый как для изготовления приманок, так и для закупорки нор ядовитой пеной. Пенная пробка сохраняется в норах до одного месяца и без всякой приманки может поедаться грызунами.
Третьей формой фентолацина, предложенной Д. Ф. Трахановым, являются спиртово-масляные концентраты и растворы этого антикоагулянта.
Пивалил. Препарат содержит около 98% 2-иивалилнп-дандиона-1,3 (С>14>Н>14>О>3>)>2> (молекулярный вес 230,3) и представляет собой сыпучий порошок от желтого до коричневого цвета, нерастворимый в воде, по растворяющийся в органических растворителях. Синтез препарата разработай в СССР в Институте органического синтеза АН Латвийской СССР и выпускается в виде рабочей смеси с крахмалом в разведении 1:200 под названием ратиидан-4.
Пивалил менее токсичен для грызунов, чем зоокумарин и ратиндан. Летальная доза его для серой крысы 0.5 мг (при четырехкратном поедании). Однако, как показали опыты Л. Л. Пасешника (1957), пивалил обладает заметным синергизмом по отношению к зоокумарину. Смесь, составленная из равных частей этих препаратов, обладает большей токсичностью, чем каждый из них в отдельности.
Установлено также, что пивалил, впервые предложенный как инсектицид, обладает свойствами системного препарата, т. е. при введении его в организм грызуна вызывает отравление кровососущих паразитов (например, блох), питающихся на зверьке.
Зердан-блок (в двух модификациях: Зердан-блок-К и Зердан-блок-М) представляет собой парафинированные блоки зеленоватого цвета. Действующее вещество - изоиндан. Концентрация ДВ в блоке "Зердан-блок-К" - 0,006%, в блоке "Зердан-блок-М" - 0,01%.
Модификация "Зердан-блок-К" предназначена для борьбы с серыми и черными крысами и полевками; модификация "Зердан-блок-М" - с домовыми мышами и полевками. "Зердан-блок" - родентицид второго поколения, его смертельная доза может быть получена грызунами в рационе питания в течение одного-двух дней. Поэтому блоки могут применяться по пульсирующей схеме раскладки, при которой высокая эффективность сочетается с экономией средства и трудозатрат. Хорошая сохранность блоков позволяет использовать их для создания длительных точек отравления. Для повышения эффективности блоков при борьбе с крысами рекомендуется ограничить доступность для них других источников корма. Клиника отравления типична для антикоагулянтов. Гибель грызунов наступает на 3-15 сутки.
Средство "Зердан-блок" обладает высокой кумулятивной активностью
(Ккум-1,3), свидетельствующей об его опасности при систематическом поступлении в организм. По острой токсичности относится к IV классу мало опасных веществ (ГОСТ 12.1.007-76). Разовая LD - 50 средства "Зердан-блок-М" для крыс – 18865 мг/кг. Кожно-резорбтивным и местно-раздражающим действиями не обладает.
Токсические характеристики блоков определяются свойствами действующего вещества. Изоиндан: 2 - [фенил-(4-изопропилфенин)-ацетил]-индан-1,3-дион оказывает противосвертывающее действие на кровь, изменяет проницаемость стенок кровеносных сосудов, в результате чего развивается кровоточивость, приводящая к гибели животных; характеризуется чрезвычайно высокой кумулятивной активностью (К>кум><1). Изоиндан высокотоксичен для грызунов: ЛД50 при однократном введении в желудок крыс - 0,5 мг/кг. ПДК р.з. для изоиндана 0,01 мг/кг.
Средство предназначено для борьбы с грызунами внутри и вокруг жилых домов, промышленных и сельскохозяйственных строений и других построек, на садовоогородных участках. Пригодно для сухих и влажных помещений, канализационной сети, подвалов, погребов, подземных сооружений.
Гельцин предназначен для борьбы с домовыми мышами, черными и серыми крысами и другими грызунами, обитающими в постройках человека и имеющими унитарное и эпидемиологическое значение.
Гельцин представляет собой гелеобразную массу оранжевого цвета,
содержащую антикоагулянт индаидионового ряда - этипфенацин в концентрации 0,2%.
Этилфенацин: 2-[фемил-(4-этилфенил)-ацетил] - индан-1,3-дион оказывает противосвертывающее действие на кровь, изменяет проницаемость стенок кровеносных сосудов, в результате чего развивается кровоточивость, приводящая к гибели животных; характеризуется чрезвычайной кумулятивной активностью (Ккум <1).
Этилфенацин высокотоксичен для грызунов: ЛД>50> при однократном введении в желудок серых крыс - 3,1 мг/кг, черных крыс - 7,1 мг/кг, домовых мышей - 250 мг/кг. ЛД>50> кумулятивная для серых крыс - 2,1 мг/кг, для домовых мышей - 3,0 мг/кг. Гибель грызунов наступает на 3-15 сутки.
Средство гельцин относится к III классу умеренно опасных веществ (ГОСТ 12.1.007-76). ЛД>50> при введении гельцина в желудок крыс - 2053 мг/кг. Обладает слабым местно-раздражающим (на кожу) и кожно-резорбтивным свойствами. Представляет опасность при систематическом попадании в организм.
Гриндан (в двух модификациях Гриндан-У и Гриндан-К). Родентицидное средство "Гриндан" представляет собой полностью готовые к применению гранулы, отдельные зерна (крупа) или комочки из зерен (крупы) и мелких пищевых частиц, окрашенные в серовато-зеленый цвет. Имеется две модификации: Гриндан-У" (универсальный) и "Гриндан-К" (крысиный). "Гриндан-У" предназначен для рорьбы с домовыми мышами, черными и серыми крысами, "Гривдан-К" - для борьбы с черными и серыми крысами.
Средство "Гриндан" имеет инсектицидный эффект, предотвращающий порчу приманки жуками-вредителями запасов. В местах раскладки приманки может вызывать гибель тараканов.
"Гриндан-У" и "Гриндан-К" содержат токсиканты родентицидного действия -изоиндан и инсектицидного альфаметрин. Концентрация изоиндана в "Гриндане-У" - 0,01%, в "Гриндане-К" - 0,003%; содержание альфаметрина в обеих модификациях Гриндана" одинаковое - 0,005%.
Изоидан: 2-/фенил-(4-изопропилфенил)-ацетил/-индан-1,3-дион оказывает на кровь противосвертывающее действие, вызывает повреждения стенок кровеносных сосудов, в результате чего развивается кровоточивость, приводящая к гибели теплокровных животных. Токсичность изоиндана для черных крыс и дымовых мышей выше, чем других отечественных антикоагулянтов.
Альфаметрин/R-цис-альфа-RS-3-фенокси-альфацианбензиловый эфир 2,2-диметил-3-(2,2-дихлорэтенил) циклопропан-1-карболовой кислоты - синтетический пиретроид контактно-кишечного действия. Разрушается в приманке при ее хранении на свету с доступом воздуха. В связи с этим инсектицидное действие приманки наблюдается в процессе ее хранения и в первый месяц после вскрытия упаковки.
Средство "Гриндан" обладает высокой кумулятивной активностью (Ккум-1,3), свидетельствующей об опасности препарата при его систематическом поступлении в организм. По острой токсичности относится к 4 классу мало опасных веществ (ГОСТ В.1.007 - 76). Разовая средне-смертельная доза приманки "Гриндан-У" для крыс – более 15 г/кг. Местно-раздражающим действием не обладает. Имеется потенциальная опасность резорбции через кожу.
Родентицидный эффект достигается после 1-2 дней поедания приманки грызунами; гибель отсрочена на 3-15 дней.
ИНДАН - ФЛЮИД представляет собой жидкий концентрат отечественного антикоагулянта изоиндана или его импортного аналога - хлорофацинона в количестве 0,25%. Средство содержит привлекающие грызунов добавки и окрашено в интенсивно зеленый цвет.
ИНДАН - ФЛЮИД предназначен для приготовления отравленных приманок для борьбы с грызунами внутри и вокруг жилых домов, промышленных и сельскохозяйственных строений и других построек, на садово-огородных участках. Клиника отравления типична для антикоагулянтов. Гибель грызунов наступает на 3-15 сутки.
Средство ИНДАН - ФЛЮИД обладает высокой кумулятивной активностью (К кум. = 1,04), свидетельствующей об его опасности при систематическом поступлении в организм. По острой токсичности относится к Ш классу умеренно опасных веществ (ГОСТ 12.1.007-76). Разовая ЛД50 средства для крыс 540 мг/кг. Местно-раздражающими действиями не обладает, но способно к резорбции через кожу.
Токсикологические характеристики средства определяются свойствами действующего вещества. Изоиндан: 2-[фенил-(4-изопропилчфенил)-ацетил]-индан - 1,3 - дион. Характеризуется чрезвычайно высокой кумулятивной активностью (К-4кум-0<1). Высокотоксичен для грызунов: ЛД50 при однократном введении в желудок крыс -0,5 мг/кг. Хлорофацинон: 2-(2-(4-хлорфенил)-2-фенилацетил)-1,3 индандион. По острой токсичности относится к чрезвычайно опасным веществам 1-го класса (ЛД50 в желудок крыс = 3,15 мг/кг, на кожу кроликов = 3 мг/кг, CL50 - 1мг/куб.м). Обладает избирательностью действия в отношении грызунов. Картина отравления типична для антикоагулянтов.
Вещества индандионового ряда оказывают противосвертывающее действие на кровь, изменяют проницаемость стенок кровеносных сосудов, в результате чего развивается кровоточивость, приводящая к гибели животных; ПДК-4р.з-0 для антикоагулянтов индандионового ряда 0,01 мг/м - 53 - 0.
Ратиндан, или дефиниции (2-дифенилацетил-1,3 индадион) С>23>Н>16>О>3>. Кристаллический порошок светло-желтого цвета без вкуса и запаха, в воде не растворим. Растворяется в органических растворителях.
Температура плавления 146—147°. Препарат синтезирован в СССР в Институте органического синтеза АН Латвийской ССР.
Промышленность изготовляет смесь, содержащую одну часть препарата па 200 частей (0,5%) наполнителя (крахмала). Используют препарат для изготовления отравленных пищевых, жидких приманок, а также для опиливания нор, выходов из них, путей передвижения грызунов.
При приготовлении пищевых отравленных приманок рабочую смесь препарата добавляют к пищевой основе в количестве 3%. Однократная летальная доза ратиндана для мышей 4 мг, а для крыс 6—8 мг. После поедания приманок с ратинданом крысы обычно погибают через 5—8 дней. Из полезных животных наиболее устойчивы к ратиндану куры, овцы и коровы. По данным Л. В. Егоровой (1959), при скармливания овцам 4 кг приманки
(600 мг чистого препарата) у них не наблюдалось внешних признаков заболевания. Поросята, получившие чистый дифенацин перорально в дозах до 20 мг/кг, не заболевали. У кур, которым вводили препарат в количестве до 900 кг/кг, также не было отмечено каких-либо явлений отравлении. Кошки, свиньи, утки и цыплята более чувствительны к этому препарату: так, для кошек смертельная доза составляет 5 мг/кг. Однако в связи с тем, что в приманках содержится очень немного активнодействующего вещества, ратиндан практически не опасен для птиц и домашнего скота. Для предупреждения случайною отравления ратиндан выпускается в виде подкрашенного в голубой цвет порошка. При хранении в сухом помещении в течение 2 лет ратиндан не теряет ядовитых свойств. Кроме ратиндана, в практике дератизации Находя г применение и другие, родственные ему соединения, такие, как 2-фепилтолилацетил-1,3-иидаидиои (ратин-дан-2) и 2-хлорфеиилацетил-1,3-индапдиоп (ратиидан-3). Оба ни соединения также созданы в Институте органического синтеза АН Латвийской ССР. По своей токсичности, характеру действия и Другим особенностям ратиндан-2 и ратиндаи-3 практически не отличаются от ратиндана. Отмечено, что при однократном поедании полевками приманок с ратииданом-3 достигается 75% их гибель, а при троекратном - 100% гибель. [11]
3.3.1 Механизм действия
По своей токсичности ратиндан не уступает зоокумарину, поскольку в препарате имеются такое же незначительное количество (0,5%) АДВ, а по дозировке даже превосходит его (3 г па приманку вместо 5 г).
По своему действию ратиндан очень сходен с зоокумарином. При поступлении в организм больших количеств ратиндана возникает сосудистый коллапс. Смертельная доза его для собак составляет примерно 75—100 мг. Другие животные довольно устойчивы к этому соединению.
Не исключается возможность хронической интоксикации у птиц, если они имеют доступ к отравленным приманкам.
3.3.2 Клинические признаки
Первые признаки отравления появляются после сравнительно длительного периода (несколько недель) кормления. На фоне удовлетворительного общего состояния отмечается образование различной величины и формы припухлостей, безболезненных, плотных, со временем флюктуирующих. В последующем появляется бледность слизистых оболочек, общая слабость, кровотечения из открытых полостей тела, апатия, затруднения в движениях, учащение дыхания и сердцебиения, стойкая атония преджелудков.
В дальнейшем наступает атаксия, понижается температура тела, общее состояние ухудшается. Через несколько дней животные погибают от резко выраженной сердечной недостаточности.
Бывают случаи длительного течения заболевания. При своевременном исключении подозреваемого корма выздоровление происходит очень медленно.
3.3.3 Патологоанатомические изменения
Характеризуются множественными и внутренними кровоизлияниями. Разнообразные по форме и величине гематомы обнаруживаются в подкожной клетчатке, реже — в скелетных мышцах. Обширные геморрагии имеются в большей части внутренних органов, под серозной и слизистой оболочками желудочно-кишечного тракта, брюшиной, на эпикарде и эндокарде. В брюшной и грудной полостях — кровянистая жидкость. Нередко почки находятся в студневидной кровянистой массе. В гематомах и полостях сердца кровь водянистая, несвернувшаяся. Мелкие кровоизлияния обнаруживаются также в головном мозге. При вскрытии павших грызунов обширные геморрагии могут быть обнаружены в мочеполовой системе, в области сердца, легких и, реже, в пищеварительном тракте, иногда отмечается кровянистый экссудат около носа и в моче.
3.3.4 Лечение
При попадании яда внутрь следует немедленно дать пострадавшему выпить несколько стаканов теплой воды, после чего вызвать рвоту механическим раздражением задней стенки глотки. Процедуру повторить. Затем дать активированный уголь и солевое слабительное (столовую ложку глауберовой соли в двух стаканах воды). При попадании яда на кожу тщательно промыть теплой водой с мылом. При попадании в глаза следует тотчас обильно промыть теплой водой, а затем 2% раствором питьевой соды. После всех процедур дать пострадавшему крепкий сладкий чай с аскорбиновой кислотой.
Пострадавшего следует немедленно отстранить от контакта с родентицидами; участки кожи, контактировавшие со средствами следует тщательно вымыть с мылом, при попадании средства в глаза тщательно промыть водой, при проглатывании – немедленно вызвать рвоту и срочно обратиться к врачу. Антидоты - Викасол (витамин "К") и Фита-менадион (витамин "К"). [14, 15]
3.3.5 Химико-токсикологический анализ
Определение индандиона производиться в условиях лаборатории согласно установленным правилам.
Заключение
Внимательное ознакомление со свойствами перечисленных ядов закономерно приводит к выводу, что применение антикоагулянтов крови для уничтожения грызунов в открытых местообитаниях населенных пунктов из-за большого объема этих работ и ограниченных сроков ее проведения менее рационально, чем ядов острого действия. Необходимость многократной подачи приманки с этими родентицидами затрудняет проведение дератизации, приводит к ее удорожанию и увеличивает риск случайного отравления домашних животных и людей. Правда, вместо многократной раскладки приманки можно увеличить нормы ее расхода (в 1,5-2 раза), ограничившись в этом случае однократной обработкой территории, что позволяет сократить время работ и до некоторой степени уменьшить затраты на проведение дератизации.
В группе родентицидов-антикоагулянтов только бродифакум (в Казахстане пока не зарегистрирован) в какой-то мере обладает необходимыми качествами, делающими его сравнимым при использовании на открытых пространствах с ядами острого действия. Однако он значительно дороже фосфид цинка. Кроме того, последний производится в Казахстане и поэтому его использование, помимо всего прочего является инвестированием собственной экономики, а не экономики зарубежных государств. В будущем, возможно, могут быть использованы и другие яды - по мере их испытания и регистрации в Казахстане.
Список используемой литературы
1. В.И. Вашков, С.В. Вашняков, В.Г. Поляжаев, Ю.В. Тощигин, И.С. Туров. « Борьба с грызунами в городах и населенных пунктах сельской местности ». М.: Издательство «Медецина» 1974; С. 3-90;
2. http://www.xumuk.ru;
3. С.В. Баженов, « Ветеринарная токсикология», издание-4-е доп. и испр. Л.: Издательство «Колос» 1970; С.161;
4. Г.А. Хмельницкий, В.Н. Локтинов, Д.Д. Полоз. « Ветеринарная токсикология»-М.: «Агропромиздат», 1987; С. 115-118;
5. К. И. Скрябин «Ветеринарная энциклопедия», том- 6. М.: Издательство « Советская энциклопедия» 1989; С. 306;
6. С.В. Баженов « Ветеринарная токсикология», издание-3-е, пер.и доп. Л.: Издательство «Колос» 1964; С. 143;
7. Б.И. Антонова « Лабораторные исследования в ветеринарии: химико-токсикологические методы». Справочник.-М.: «Агропромиздат», 1989; С. 229-231;
8. В.П. Шишков. «Ветеринария». Большой энциклопедический словарь- М.: науч.изд. «Большая Российская энциклопедия» 1998; С. 180;
9. http://www.cnshb.ru;
10. К. И. Скрябин «Ветеринарная энциклопедия», том- 2. М.: Издательство « Советская энциклопедия» 1969; С. 1148-1178;
11. Сборник инструктивно-методических материалов по дезинфекции и дератизации.-Алматы: Издательство «Арыс» 2001; С. 3-87;
12. В.Н.Жуленко, М.И. Рабинович, Г.А. Талонов. М.: Издательство «Колос» 2004; С. 88;
13. Н.И. Никифоров. «Меры борьбы с грызунами». М.: Издательство «Россельхозиздат» 1917; С.28;
14. П.Е. Радкевич. «Ветеринарная токсикология». М.: Издательство «Колос» 1972; С.92;
15. Е.А. Биртранов и др. «Руководство по клинической токсикологии».Алматы: Издательство «Алаш» 2006; С. 173-174.