Чистопородное разведение
ВГСХА
Кафедра разведения сельскохозяйственных животных
Курсовая работа
по теме «Чистопородное разведение»
Киров 2009
Содержание
Введение………………………………………………………………..............….3
1. Чистопородное разведение……………………………………………….…....5
2. Родственное спаривание……………………………………………………....6
3. Инбридинг в свиноводстве…………………………………………………...10
4. Разведение по линиям и семействам………………………….……………..13
5. Чистопородное разведение в овцеводстве…………………….…………….17
6. Чистопородное разведение в коневодстве…………………….…………….21
7. Чистопородное разведение в птицеводстве……………………..…………..21
Заключение…………………………………………………………….............…24
Список использованной литературы…………………………………...............25
Введение
Чистопородное разведение — это система спаривания животных, принадлежащих к одной породе. Потомство, полученное от такого спаривания, называют чистопородным. Каждая порода — большая народнохозяйственная ценность. Сохранение и совершенствование породных качеств — главная задача чистопородного разведения. Биологические особенности этого метода разведения заключаются в сохранении и усилении наследственности животных желательного типа, которых используют для племенных целей в зоне распространения породы, а также для скрещивания с другими породами.
С помощью чистопородного разведения созданы животные, давшие наивысшую продуктивность. Так, от коровы Россиянки черно-пестрой породы из племзавода «Россия» Челябинской области за 340 дней IV лактации получено 19162 кг молока жирностью 4,18 %. Высший суточный удой 82,5 кг. Выведены такие выдающиеся жеребцы орловской рысистой породы, как Улов, Пион, Турнир, резвость которых на дистанши 1600 м была равна 2 мин 001 с. Баран ставропольской породы № 72, настриг тонкой шерсти с которого составил 30,1 кг, и свиноматка крупной белой породы, принесшая 32 поросенка за один опорос, также получены при чистопородном разведении.
Методом чистопородного разведения можно получать не только отдельных животных мирового класса, но и создавать целые стада, представляющие собой огромную племенную ценность. Примеров высокой эффективности чистопородного разведения много. В нашей стране во многих племзаводах годовой удой на корову составляет 7000—7500 кг и более. К таким племзаводам по разведению черно-пестрого скота относятся «Гражданский» Ленинградской области, где удой коров по стаду достиг 9560 кг, «Нива I» Ленинградской области (9153 кг), «Ленинский путь» Ленинградской области (9361 кг), «Омский бекон» Омской области (8569 кг). В племзаводе «Караваево» Костромской области удои коров костромской породы составляют от 7000 до 16000 кг молока.
В Италии, на ферме Луиджи Альбертино, разводящего голштинский скот, средний удой по стаду в 250 голов составляет более 10 000 кг молока на корову. В США в подконтрольных стадах чистопородного голштмнекого скота (2,2 млн голов) удой коров превышает 8000 кг молока при жирности 3,36 %, белковомолочности 3,23 %. В Израиле на общественных фермах удои коров голштинской породы достигают 11 500 кг молока.
Выдающиеся селекционеры России придавали огромное значение чистопородному разведению и оберегали выведенные ими ценнейшие породы от случайного скрещивания.
Во многих стратах чистопородному разведению уделяют большое внимание. В США такие породы, как голштинская, джерсейская, гернзейская, воспроизводят только методом чистопородного разведения. Цель генетического совершенствования молочного скота здесь — максимально повысить удой коров за 305 дней лактации при межотельных интервалах 12—13 мес. Критериями генетического совершенствования молочных животных американские селекционеры считают уровень продуктивности, долголетие, легкость доения, резистентность к маститам. Средний удой на корову в хозяйствах Ассоциации по разведению голштинского скота (3,6 млн голов) за 2000 г. составил более 9000 кг. В нашей стране в 2001 г. 5558 коров племзаводов и племенных репродукторов по крупному рогатому скоту дали свыше 7000 кг молока за лактацию. [1]
1. Чистопородное разведение
В ряде стран путем чистопородного разведения идет совершенствование генетических потенциалов наиболее ценных пород. В Германии, например, кроме чистопородного разведения немецкой черно-пестрой породы, с целью использования мировых генетических ресурсов лучших зарубежных пород применяют чистопородное разведение джерсейской, голштинской пород.
При чистопородном разведении большое внимание уделяют происхождению животных, которое устанавливают по племенным записям, по оценке экстерьера, типу животных и группам крови. Чистопородное разведение животных осуществляется с помощью различных методов отбора и подбора по линиям и семействам. Чистопородные животные отличаются по своим племенным и продуктивным качествам, этому для совершенствования породы необходим целеустременный отбор лучших из них. Для отбора наиболее ценных ocoбей проводят сопоставление их качеств со стандартом породы— минимальные требованию продуктивности, племенной ценности (для производителей по типу телосложения и происхождению. Для записи в ГПКЖ животные должны иметь продуктивность не ниже I класса. Стандар периодически пересматривают и изменяют, что обеспечивает пресс породы.
К чистопородным относят:
животных, полученных от чистопородных родителей одной и той же породы;
животных, полученных от чистопородных родителей разных, но близкородственных между собой пород (например, красная степная и англерская);
животных TV-V поколения, полученных при поглотительном скрещивании;
животных П-Ш поколения, полученных при вводном скрещивании;
животных, полученных при воспроизводительном скрещивании или гибридизации после апробации новой породы госкомиссией.
При чистопородном разведении первостепенное внимание уделяется вопросам улучшения племенных и породных качеств животных, определяемых по происхождению на основе родословной, качеству потомства и результатам наследственной оценки животных по боковым родственникам (сибсы и полу-сибсы). Большое значение также имеют тип телосложения, крепость конституции, экстерьерные особенности, показатели роста и развития, собственной продуктивности свиноматки и хряка.
Чистопородное разведение путем гомогенного подбора осуществляется по принципу «подобное с подобным дает подобное» с использованием всесторонней оценки по фенотипу и генотипу. Отбор молодняка ведется от высокопродуктивных маток и производителей. Выращивают молодняк при полноценном по всем питательным веществам кормлении с предоставлением прогулок на открытом воздухе в любое время года
Родительские пары для спаривания подбирают из числа отобранных на племя лучших животных, проверенных по результатам выращивания, собственной продуктивности и наследству. На улучшение признаков можно рассчитывать лишь при подборе однотипных животных, сходных по уровню и направлению продуктивности, показавших в предыдущих спариваниях высокие результаты. При отборе и подборе усиливается внимание признакам, требующим улучшения.
2. Родственное спаривание
Инбридинг — это система разведения животных, находящихся в родстве. По сложившимся в науке представлениям, этот метод разведения приводит к двум последствиям: возрастанию гомозиготности (генетического однообразия) и повышению степени генетического сходства потомков с предком, на которого осуществлен инбридинг. Применяется в животноводстве с древних времен, оказывает большое положительное воздействие при умелом использовании в небольших степенях в течение непродолжительного времени и отрицательное (во многих случаях пагубное) влияние на жизнеспособность и продуктивность животных при неумелом и особенно неконтролируемом использовании в течение длительного времени.
Применение родственного спаривания в сочетании с целенаправленным отбором по экстерьеру и производительности животных при правильном их кормлении и содержании («воспитании») принесло огромный успех известному английскому заводчику Р. Беквеллу в создании с его учениками шортгорнской и герефордской пород мясного скота, шайрской породы лошадей и лейстерской породы овец.
Всестороннее и глубокое изучение накопленных в зоотехнической литературе многочисленных данных по применению родственного разведения дало основание профессору Иллиной-ского университета Девенпорту (1912 г.) сказать: «Родственное разведение есть лучший метод в скотоводстве!»
У арабов уже в XIII в. накопилось много фактов отрицательного влияния систематического родственного спаривания на потомство племенных лошадей, и уже в древние времена существовали строгие законы, запрещающие кровосмешение.
От вредных последствий инбридинга в первую очередь страдают свиньи, лошади и птицы, наследственный механизм которых в большей степени подвержен влиянию инбредной депрессии, или, как ее еще называют, инбредной дегенерации. Главной причиной вреда тесного инбридинга Ч. Дарвин считал усиление сходства половых клеток родственных животных, обедняющих при слиянии наследственную основу и суживающих приспособительные возможности организма к постоянно изменяющимся условиям внешней среды. Подчеркивая роль недостаточной разнокачественности половых клеток родственных животных как основной причины инбредной депрессии, Дарвин сформулировал положение, получившее впоследствии известность как закон Дарвина — Цайта, который гласит: при скрещивании между собой различных пород, линий и особей той же породы, но различного происхождения у приплода наблюдаются повышенный рост, жизнеспособность и плодовитость; спаривание животных в близких степенях родства на протяжении нескольких поколений ведет к угнетению роста, слабости или бесплодию.
Причина вредного действия родственного спаривания с позиций современной генетики заключается в нарастании гомозиготности у инбредных особей. В связи с возрастанием при инбридинге степени гомозиготности увеличивается вероятность перехода летальных генов в гомозиготное состояние, приводящее к появлению аномалий у инбредных животных.
Хотя возникающую при инбридинге депрессию генетика связывает главным образом с возрастанием гомозиготности, высказываются соображения о роли в этом процессе и плазмы. Полагают, что кроме геномной существует еще и плазматическая инбредная депрессия, связанная, возможно, по мнению И. Иоганссона, с особенностями материнского организма. На такую мысль наводит тот факт, что при одном и том же типе родственного спаривания свинки изменяются иначе, чем хрячки. Это подтверждается данными А. А. Сруога, свидетельствующими о том, что при спаривании неродственных маток с инбредными хряками поросята отличались более высокими показателями роста, чем при скрещивании инбредных маток с неродственными им аутбредными производителями.
Отмечается материнский эффект, выражающийся в ускорении роста молодняка, полученного от аутбредных маток, и угнетение роста — у инбредных.
Степень инбридинга определяют по методу, предложенному А. Шапоружем, учитывающему положение родственных животных в рядах родословной по линии матери и отца. Нахождение родственного животного в ряду родословной записывают римскими цифрами сначала со стороны матери, перечисляя их через запятую, а потом со стороны отца — через тире, перечисляя ряды родословной также через запятую. Так, если, например, по линии матери потомки встречаются на удалении от общего предка во II и III рядах, а по линии отца — в III и IV рядах, то инбридинг получает запись: II, Ш-Ш, IV.
Различают следующие степени инбридинга: кровосмешение (очень тесный инбридинг) в степени П-П, I—II и П-I, когда спаривают сестру с братом, мать с сыном и дочь с отцом соответственно; близкий инбридинг (тесное родственное разведение) I—III, III—I, П-Ш и Ш-П (бабушка — внук, внучка — дед и т. д.); умеренный инбридинг, если общий предок встречается в Ш-Ш, III—IV, IV—III и IV-IV рядах; отдаленный инбридинг, когда общий предок встречается в IV-V поколениях. Если общий предок отмечается дальше V поколения, животное считается неродственным.
Инбридинг, применяющийся в нескольких поколениях, называется сложным. Записывают сложный инбридинг, перечисляя ряды предков, в которых применялось родственное спаривание, сначала по материнской, а потом по отцовской стороне.
Подсчитывают ряды родословной, в которых встречается общий предок, начиная с первого ряда — отца и матери.
Мерой родства между особями служит коэффициент родства, которой обычно обозначается R (иногда гА,). Коэффициент родства — это количественный показатель, указывающий, насколько сходство племенной ценности двух данных особей превышает сходство двух случайно отобранных для спаривания партнеров той же популяции. Корреляция между неродственными особями равна 0. Для двух родственных особей коэффициент родства (корреляция между племенной ценностью особей) может колебаться между 0 и 1.
Различается родство по боковой линии, например двоюродные братья и сестры, и родство по нисходящей линии, например родители и потомки.
Родственное разведение свиней в близких степенях приводит к снижению жизненности потомства, замедлению роста молодняка, появлению уродств. Поэтому близкородственное спаривание свиней в массовой племенной работе со свиньями не рекомендуется и особенно на товарных фермах, производящих свиней на убой. Разведение в близких степенях родства применяют лишь непродолжительное время при выведении новых и совершенствовании существующих пород в целях закрепления желательных качеств выдающихся производителей.
3. Инбридинг в свиноводстве
Примером умелого применения близкородственного разведения может служить использование тесного инбридинга М. Ф. Ивановым при создании украинской степной белой породы. Огромная заслуга М. Ф. Иванова состоит в том, что он в отличие от многих других случаев применения инбридинга для получения отдельных животных впервые взял этот метод на вооружение в селекционной работе по созданию целой породы. Тесный инбридинг особенно успешно был применен при создании заводских линий родоначальников породы — Аскания I (родоначальника спаривали со своими дочерями) и Задорного 975, при создании которой основоположника линии Сталактита 352 спаривали с местными матками, а его сына Сталактита 659 — с полукровными матками, полученными от его отца.
Применение близкородственного разведения при очень сильной браковке, доходившей в первых поколениях до 80— 90 %, в сочетании с тщательным отбором по крепости конституции, экстерьеру, уровню продуктивности и при полноценном кормлении животных дало хорошие результаты: в относительно короткие сроки впервые в отечественной практике была создана новая высокопродуктивная порода свиней.
С большим успехом умеренный инбридинг в степени Ш-IV, IV-IV был применен для создания новых высокопродуктивных заводских линей хряков и семейств маток при совершенствовании крупной белой породы. Так, в племзаводе «Никоновское» путем линейного разведения с применением инбридинга в степени Ш-Ш на выдающегося хряка Леопарда 681 был по лучен чемпион породы 1965 г. Леопард № 2897 путем однородного подбора правнука и правнучки выдающегося хряка. Чемпион породы отличался высокими показателями роста и развития (живая масса 400 кг, длина туловища 181 см, обхват груди за лопатками 175 см), крепкой конституцией, гармоничным телосложением и высокой продуктивностью (рис. 1).
Комплексным инбридингом на двух выдающихся животных — того же Леопарда 681 в степени IV-V и на рекордистку ВСХВ Герань 194 — была получена чемпион породы по группе молодых маток Тайга № 720, давшая по первому опоросу 17 поросят с общей массой гнезда в 2-месячном возрасте 87 Родоначальник линии кг. Матка отличалась высокой скоростью роста (ее живая масса в возрасте 16 мес была 201 кг), а также высокой воспроизводительной способностью, откормочной и мясной продуктивностью потомства (рис. 2).

Рис. 1. Схема родословной хряка Леопарда № 2897

Рис. 2. Схема родословной свиноматки Тайги № 720
Также с применением инбридинга на двух выдающихся предков — Леопарда 681 в степени IV-V и Драчуна 7821 в степени IV-IV — была получена рекордистка ВДНХ СССР 1965 г. матка Тайга 6570, опоросившаяся 14 поросятами и показавшая
рекордную молочность — 132 кг. Цель комплексного инбридинга — объединить путем однородного подбора качества выдающихся животных и получить на этой основе новые высокопродуктивные генотипы.
Наукой установлено также, что повышение степени инбридинга до 30—60 %, а значит, и уровня гомозиготности приводит к инбредной депрессии, выражающейся в снижении жизненности и скорости роста потомства.
В исследованиях американского ученого Лаша с сотрудниками, выполненных на линейных свиньях польско-китайской породы, установлено, что в линиях, в которых степень инбридинга соответствовала уровню, достигаемому при постоянном спаривании полусибсов, число поросят к отъему снизилось так сильно, что сохранить породу оказалось весьма трудно.
Таблица 1. Некоторые данные из опытов по инбридингу свиней в США (по Крафту)
|
Линейное разведение |
Число пометов |
Многоплодие |
Процент живых поросят при отъеме |
|
Без инбридинга |
4435 |
8,33 |
70,2 |
|
Инбредные линии |
9424 |
7,97 |
61,9 |
|
Двухлинейные гибриды |
1572 |
7,78 |
71,3 |
|
Трехлинейные гибриды |
1181 |
8,30 |
71,8 |
Из данных таблицы следует, что самые низкие показатели были у маток инбредных линей (с коэффициентом инбридинга в среднем около 30 %). Отсюда можно сделать вывод, что создание и скрещивание инбредных линий в свиноводстве не оправдало надежд. На значительное повышение продуктивности в товарном свиноводстве можно рассчитывать лишь при межпородном скрещивании. [2]
4. Разведение по линиям и семействам
Из-за множества биологических и хозяйственно полезных признаков животных бывает нелегко сохранить их на высоком уровне у каждого животного и всей породе в целом. Более высокие результаты по совершенствованию отдельных признаков достигаются у животных отдельных групп, линий и семейств, составляющих генеалогическую структуру породы, придающих ей некоторое феногенотипическое разнообразие и повышающих, таким образом, ее жизнеспособность.
Линия (семейство) — это группа животных, сходных по биологическим особенностям, уровню и направлению продуктивности, происходящих от одного родоначальника.
Разведение по линиям понимается как спаривание животных, имеющих в третьей или четвертой генерации одного и того же производителя. Оценивая значение разведения по линиям, Кулешов говорит, что однородное спаривание по производительности и кровям (фамильное, линейное разведение) — верный путь к повышению степени производительности. Отдельные элементы применения линейного разведения в заводской работе были известны еще в XVIII столетии, а в настоящее время разведение по линиям и семействам является самым основным и эффективным методом работы с породой. Наиболее интенсивной формой линейного разведения признано считать возвратное спаривание на одного и того же производителя в течение многих поколений. Для поддержания линии рекомендуется применять умеренные формы линейного разведения, например спаривание женской особи с дедушкой по отцовской линии или с братом отца, который тоже несет половину набора генов дедушки со стороны отца.
Различают несколько видов линий и семейств.
Генеалогическая (или формальная) линия — это группа животных, включающая в себя потомков нескольких (правильнее сказать многих) поколений ценного производителя. Такая «длинная» линия, полученная чаще всего без строгого целенаправленного отбора и однородного подбора, не имеет, как правило, выраженной однотипности и характеризуется лишь общностью происхождения.
Генеалогическая линия ведет свое начало от «короткой» заводской линии, но по мере удаления представителей линии от родоначальника, формируясь лишь отбором производителей по происхождению, постепенно утрачивает свое значение группы, связанной родством. По этому поводу Д. А. Кисловский справедливо считал, что если у того или иного родственного животного, формально принадлежащего к линии, нет общности типа данной линии, то оно не будет характерным для этой линии. Не случайно Н. Н. Завадовский разделил всех разводившихся в России в начале 30-х годов свиней крупной белой по роды, восходивших к четырем родоначальникам, на следующие систематические единицы: хряков — на род, линию и группу, маток — на семейства, сформировав тем самым генеалогическую структуру породы, не потерявшую своего значения до настоящего времени. Его представления о роде как самой крупной в породе систематической единице согласуются скорее всего с понятием о генеалогической линии, во главе которой стоит хряк-родоначальник. Лучшие его потомки образуют линии, которые, в свою очередь, делятся на более мелкие систематические единицы, называемые группами.
М. П. Либизов отмечает, что в 1947 г. профессор П. Н. Кудрявцев изменил эту систематику, присвоив название линий тем структурным единицам, которые Н. Н. Заводовский называл группами, и тем самым приблизил родоначальников этих «линий» к современности.
Заводская линия — это группа животных, происходящая от выдающегося родоначальника, обладающая характерными для нее биологическими особенностями и ценными продуктивными качествами, которые поддерживаются и совершенствуются целенаправленным отбором и подбором. По выражению профессора Е. А. Богданова, суть линии состоит в том, что ее определяет не происхождение, а однородность качества. В связи с этим он рекомендует поддерживать линию, чтобы она не оказалась одним названием без содержания.
Чтобы иметь более полное представление о заводской линии, не лишние будет обратиться к профессору М. М. Либизову, считавшему, что основными структурными единицами заводской породы должны быть не «короткие» линии, а достаточно многочисленные, длительно разводимые и совершенствуемые в нескольких племенных хозяйствах, устойчивые заводские линии, обладающие желательным типом и высокими племенными и продуктивными качествами, неродственные другим линиям породы в пределах четырех рядов предков.
Под инбредной линией подразумевают группу животных, которые в результате применения инбридинга связаны между собой более тесным родством, чем с другими представителями данной породы.
Семейство — это группа родственных маток, происходящих от одной родоначальницы и характеризующихся сходством по основным признакам и продуктивным качествам. Его заводское значение определяется особенностями женских особей осуществлять смену поколений путем вынашивания и выращивания потомства, а также передавать по наследству материнские качества преимущественно через своих дочерей. Следовательно, роль семейства как структурной единицы стада заключается в сохранении и повышении в первую очередь репродуктивных качеств свиней и приспособительных механизмов адаптации животных к условиям окружающей среды.
Основная задача разведения по линиям и семействам создание внутри породы консолидированных в наследственном отношении однородных групп высокопродуктивных животных, объединенных общностью происхождения и сходных по биологическим особенностям, уровню и направлению продуктивности в целях наследственной дифференциации и усиления жизнеспособности породы. Совершенствование существующих и создание новых генеалогических структур породы осуществляется успешнее в процессе селекции по небольшому числу признаков, закрепляемых по наследству методами целенаправленного отбора и подбора.
Разведение по линиям и семействам дает высокие результаты при умеренном инбридинге на выдающихся, проверенных в предыдущих сочетаниях родоначальников линий и семейств при однородном подборе маток и производителей. При таких сочетаниях в потомстве накапливаются и закрепляются по наследству лучшие качества по материнской и отцовской сторонам родословной и формируются генотипы животных с новыми свойствами, получаемыми не только через родителей, но и через боковых родственников. Формирование новых генотипов животных осуществляется посредством накопления и использования, по выражению М. М. Щепкина, «заводского капитала».
Заводское искусство разведения по линиям состоит в умелом использовании племенных качеств выдающихся маток и производителей для получения однородных, константных в генетическом отношении высокопродуктивных групп животных, составляющих структурные единицы породы.
5. Чистопородное разведение в овцеводстве
Чистопородное разведение является основным методом размножения овец в племзаводах, племсовхозах и племфермах, основной задачей которых является получение и выращивание чистопородных племенных овец, а также и в крупных высокопродуктивных пользовательных стадах, где получение фенотипной, высокого качества продукции имеет решающее значение. Это особенно актуально в тонкорунном овцеводстве, где в пользовательных стадах получают большие партии однотипной тонкой высококачественной шерсти.
Однако длительное чистопородное разведение даже в условиях хорошего кормления и содержания часто приводит к застою и не обеспечивает необходимого прогресса в стаде. Это обстоятельство вызывает необходимость применения скрещивания с баранами другой породы, но такого же направления продуктивности, что в конечном итоге устраняет имеющиеся недостатки в стаде и заметно повышает продуктивность овец. С целью недопущения ослабления конституции и снижения жизнеспособности овец в племенных хозяйствах и племенных фермах применяют «освежение крови», то есть используют баранов-производителей той же породы, но выращенных в других хозяйствах, что позволяет обогатить наследственность стада, поскольку эти бараны, выращенные в иных экологических условиях, имеют некоторые генетические различия. При этом имеется в виду то обстоятельство, что бараны-производители, используемые для «освежения крови», должны обладать ценными племенными достоинствами, высокими хозяйственно-полезными качествами и по уровню продуктивности не уступать баранам-производителям стада, в котором они будут использоваться.
В овцеводстве так же используется инбридинг. Обычно его используют в племенных хозяйствах, преследуя следующие цели: создание линий; получение инбредных баранов для использования в товарном овцеводстве на аутбредных матках и для проверки производителей на наличие нежелательных рецессивных генов (генетический груз).
Заметные результаты в разведения овец по линиям во многом зависят, во-первых, от того, насколько правильно выбран баран-производитель в качестве родоначальника, достаточно ли полно по своей племенной ценности и индивидуальным качествам он отвечает поставленной цели и какие матки подобраны для первоначального спаривания; и, во-вторых, от тщательности проводимого в последующем отбора потомства для дальнейшего использования в линии. В случае, когда исходная группа состояла из животных, обладающих ценными качествами, конечная цель работ с линией заключается в том, чтобы путем родственного разведения и соответствующего отбора и подбора добиться заметного усиления и закрепления ценных свойств и увеличения численности животных этой линии. По своей сути разведение животных по линиям является средством превращения индивидуальных особенностей выдающихся производителей в групповые и потому не является самоцелью, а служит важным способом совершенствования племенных и продуктивных качеств породы путем распространения ценных свойств, возникающих у отдельных овец в процессе селекционной работы. Линейное разведение имеет большое значение в племенных хозяйствах для выращивания высококлассных инбредных баранов, способных при скрещивании с неродственными матками (топкросс) и при межлинейных кроссах давать высокопродуктивное потомство с новым сочетанием ценных признаков.
Количество линий как в племенном заводе (где обычно рекомендуется 4-5 неродственных между собой линий), так и в целом в породе (рекомендуется 9-12 линий) определяется с учетом задач селекции, численности и ареала распространения породы, размеров стад и других условий, а во времени протяженность линии определяется ее соответствием или несоответствием типу, стандарту линии.
При несоответствии стандарту линии в худшую сторону ее существование прекращают, но если несоответствие отходит в лучшую сторону, то в этом случае от нее, как правило, отпочковывают новую линию. На практике линии существуют чаще всего три-четыре поколения. Специализируют линии по основным селекционным признакам: масса тела, настриг шерсти, длина и густота шерсти, качество жиропота, скороспелость, многоплодие, молочность и др. Для каждого из этих селекционируемых признаков устанавливаются минимальные требования по степени его выраженности, поскольку он является ведущим для линии и должен вестись жесткий отбор особей по этому признаку. С целью обеспечения внутрилинейного подбора без вынужденного тесного инбридинга и для осуществления кросса линий в каждой заводской линии следует иметь не менее 500 маток и 10 баранов-улучшателей. Линейно матки формируются в отдельные отары и им создаются все необходимые условия кормления и содержания для проявления своих выдающихся качеств и свойств.
Как инбридинг, так и лайнбридинг повышают степень генетической однородности стада, то есть ведут к уменьшению генетической изменчивости. В силу этого возможности генетического улучшения и жизнеспособность животных при этих видах спаривания снижаются. Эти методы не рекомендуются для товарных стад.
В противоположность этому топкроссинг и топкроссбридинг резко увеличивают разнокачественность потомства, и возможности генетического улучшения возрастают. Использование этих видов подбора само по себе повышает продуктивность потомства.
Топкроссинг представляет собой спаривание инбредных баранов, то есть полученных путем инбридинга, с неродственными им и неинбредными самками той же породы. При топ-кроссбридинге таких же баранов спаривают с неинбредными самками другой породы. Топкроссинг и топкроссбридинг являются весьма перспективными и высокоэффективными видами подбора для товарных стад.
Следующий тип спаривания, кросс линий, одинаково пригоден для племенных и товарных стад. В племенном хозяйстве баранов одной линии назначают на маток другой линии, в товарных - баранов одной линии назначают, как правило, на маток, происходящих из нескольких линий. Наиболее часто этот метод применяют, когда в результате длительной селекции резко снизилась эффективность отбора по селекционируемым признакам или ставится задача путем кросса линий сочетать ценные качества, присущие особям различных линий, и на этой основе создать новую, более ценную линию. При этом следует иметь в виду, что не все линии и особи, даже высокопродуктивные, дают при кроссах высокопродуктивное потомство, а поэтому эффективность использования кроссов линий определяется степенью их сочетаемости, которая должна оцениваться в специальных экспериментах.
Наиболее распространенным типом спаривания в товарном, да и в племенном овцеводстве является аутбридинг, т.е. спаривание неинбредных баранов с неродственными им неинбредными самками. Аутбридинг, как и предыдущий тип, заметно увеличивает гетерозиготность потомства, что обеспечивает рост продуктивности и создает условия для эффективной селекции. [5]
6. Чистопородное разведение в коневодстве
В разведении лошадей, как и в других животноводческих отраслях, может применяться чистопородное разведение. В коневодстве в этом плане существуют несколько своеобразные подходы. Отдельные породы, относящиеся к числу чистокровных (это чистокровная верховая порода, арабская чистокровная порода и ахалтекинская порода) могут разводиться только в полной чистоте, без малейшего прилития крови других пород. Вторые породы также должны разводиться в чистоте, однако здесь допускается незначительное прилитие крови родственных пород, в основном на уровне не более одной восьмой. К числу таких пород в российском коневодстве нужно отнести орловскую рысистую породу, породы русских, советских и владимирских тяжеловозов. Третьи породы при их разведении допускают значительное прилитие крови, как правило, более совершенных пород лошадей. Это группа полукровных пород. При этом такое прилитие, где доля вводимой породы может быть очень велика (половина и более), не лишает лошадей чистопородности. Чистопородное разведение, в первых двух своих вариантах, консолидирует породу, закрепляет ее свойства, обеспечивает производство продукции с определенными качествами. Однако оно не может обеспечить нужных изменений в породе в достаточно короткие сроки[3].
7. Чистопородное разведение в птицеводстве
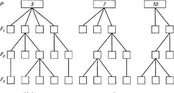
В птицеводстве совершенствуют линии в селекционных стадах путем внутри-линейного разведения при гнездовой селекции (для каждой линии комплектуют не менее 60 селекционных гнезд, в которые подбирают одного самца и в зависимости от вида птицы от 3 до 16 самок) и группового спаривания в множителе исходных линий. Отбор и подбор птицы в гнезда ведут с целью размножения тех семей и семейств, которые дают наилучшее потомство и соответствуют профилю микролинии и линии.

Рис.3 . Схема построения генеалогической структуры линии: Р — петухи (5, 7, 10) родоначальники микролиний; F1 — сыновья; F2 — внуки; F3, — правнуки
Линии подразделяют на отцовские и материнские. Причем требования к отцовским и материнским линиям и родительским формам различны.
Каждая специализированная линия птицы имеет свои особенности, которые обусловлены определенным (присущим только конкретной линии) набором генов (аллелей), или генофондом. В результате разведения линии «в себе» и целенаправленного отбора в ряде поколений создаются сходные генотипы, поэтому для селекционера важно сохранить в линии состав желательных генотипов. Этого можно достичь путем гомогенного подбора с использованием инбридинга. Для консолидации, то есть закрепления желательного уровня признаков в линии, сначала применяют родственное спаривание типа «брат х сестра», «полубрат х полусестра», а затем переходят к умеренному инбридингу, которым пользуются при работе с микролиниями. Микролиния — группа птицы, которая, сохраняя качества линии, несколько отличается по какому-либо признаку от средней по линии. Следует помнить, что при использовании инбридинга наряду с желательными признаками линии или микролиниях могут закрепиться и сцепленные с ними рецессивные нежелательные.
Чтобы избежать вредных последствий инбридинга, рекомендованы следующие меры:
строгий отбор особей крепкой конституции для племенных целей и создание для них оптимальных условий кормления и содержания;
неродственное спаривание птицы (аутбридинг);
освежение крови путем использования производителей той породы или линии высокого класса, но неродственных основном; поголовью хозяйства;
циклическая селекция, суть которой состоит в том, что стал: делят на родственные группы (микролинии), и если в данном год кур первой микролинии спаривают с петухами этой же микролинии, то на следующий год куры первой микролинии будут спарены с петухами второй микролинии, через год — с третьей и т.д. Если микролиний пять, то петухи первой микролинии будут спарены с курами своей микролинии только на шестой год что дает гарантию сохранения птицы от инбредной депрессии[4].
Заключение
В учение о породе, о разведении пород по линиям и семействам большой вклад внесли отечественные ученые П.Н. Кулешов, Е.А. Богданов, М.Ф. Иванов, Д.А. Кисловский. В последнее время в связи с проблемами работы по созданию и апробации новых линий в зоотехнической литературе появились возражения против разведения животных по линиям. Инициаторами этих возражений выступили А.П. Бегучев, М.Д. Дедов, Д.В. Карликов, М.Г. Спивак, однако, альтернативы этому мероприятию они не выдвигают. Но этот прием был и остается одним из действенных рычагов совершенствования пород, регулирования их генеалогической структуры. Разведение по линиям - это перевод лучших качеств выдающегося предка в групповую особенность, закрепление, а если возможно, то и усиление этих положительных качеств.
Основными этапами работы с линией являются следующие:
1) выявление выдающегося родоначальника; 2) выделение достойных продолжателей; 3) типизация и размножение животных; 4) совершенствование достигнутых результатов и закладка новой линии.
Как следует из вышеприведенного, при работе с линиями, особенно на ранних стадиях формирования, приходится прибегать к использованию инбридинга, а инбридинг обедняет генофонд, сужает наследственный потенциал. Для преодоления вредных последствий инбридинга при чистопородном разведении часто применяют такой зоотехнический прием как освежение крови.
Чистопородное разведение является основным и наиболее распространенным методом разведения.[6]
Список используемой литературы
1) Дмитриев Н.Г., Жигачёв А.И., Разведение сельскохозяйственных животных с основами частной зоотехнии и промышленного животноводства.- Л.: Агропромиздат, 1989.-с.547;
2) Кабанов В. Д., Свиноводство.- М.: Колос, 2001.- с.431;
3) Козлов С. А., Парфенов В. А., Коневодство.- СПб.: Издательство «Лань», 2004.- с.304;
4) Кочиш И. И., Петраш М. Г., Смирнов С. Б., Птицеводство.- М.: КолосС, 2003.- с.407;
5) Мороз В. А., Овцеводство и козоводство.- Ставропольское книжное издательство, 2002.- с.452;
6) Щеи Е.В., Попов И.K., Разведение сельскохозяйственных животных.- М.: Рос. гос. аграр. заоч., 2002.- с.143.