Культивирование сахарной свеклы и защита ее от вредителей
САНКТ-ПЕТЕРБУРГСКИЙ ГОСУДАРСТВЕННЫЙ
АГРАРНЫЙ УНИВЕРСИТЕТ
Кафедра фитопатологии и энтомологии
Курсовой проект
Химические средства защиты. Защита сахарной свеклы от фомоза, свекловичной листовой тли и однолетних двудольных сорняков.
Выполнил студент 4 курса
факультета агротехнологии и
декоративного растениеводства
группы 2413 Филиппов Иван
Проверил:
Доцент каф. Фитопатологии
и энтомологии А. А. Зубов
Санкт-Петербург 2010г
Содержание:
Введение
1. Характеристика условий произрастания культуры
Фазы и фенология развития сахарной свеклы
2. Защита сахарной свеклы от свекловичной листовой тли
2.1 Характеристика свекловичной листовой тли
2.2 Инсектициды, рекомендованные для защиты сахарной свекловичной листовой тли
2.3 Подробная характеристика двух инсектицидов
2.3.1 Кемифос
2.3.2 Сэмпай
3. Защита сахарной свеклы от фомоза
3.1 Характеристика возбудителя фомоза
3.2 Фунгициды, рекомендованные для защиты сахарной свеклы от фомоза
3.3 Подробная характеристика фунгицидов
3.3.1 Бенорад
3.3.2 Страйк
4. Защита сахарной свеклы от однолетних двудольных сорняков
4.1 Характеристика сорной растительности
4.2 Гербициды, рекомендованные для защиты сахарной свеклы от однолетних двудольных сорняков
4.3 Характеристика двух гербицидов
4.3.1 Бицепс 22
4.3.2 Бетарен экстра
5. Техника безопасности при применении пестицидов
6. План защиты культуры от вредных объектов
7. Технологическая карта
Заключение
Список литературы
Введение
Сахарная свекла имеет большое народнохозяйственное значение. В Российской Федерации сахарная свекла – одна из главных технических культур, дающая богатые углеводом корнеплоды, из которых получают сахар. Корнеплоды сахарной свеклы содержат 16…20% сахарозы. При высокой урожайности корнеплодов свеклы (40…50 т/га) сбор сахара может составить 7…8 т/га и более. (Посыпанов Г. С. 2006)
На территории Российской Федерации сахарную свеклу повреждают свыше 200 видов вредителей, которые принадлежат к различным классам, семействам и подвидам. К почвенным вредителям, которые повреждают высеянные семена, проростки, подземные стебли, корни и корнеплоды относится 41 вид. Основные из них – свекловичная крошка, личинки пластинчатоусых жуков, обыкновенный свекловичный долгоносик, гусеницы подгрызающих совок, корневая свекловичная тля, свекловичная нематода.
Наземную часть всходов повреждает 50 видов. Основные из них – долгоносики, блошки, щитоноски, песчаный медляк. К группе вредителей, которые повреждают наземную часть вегетирующих растений относится 98 видов, основными среди них являются: личинки и жуки мертвоедов, щитоносок, листовая (бобовая) тля, свекловичные минирующие мухи, гусеницы лугового мотылька, минирующие моли и подгрызающие совки. Вред, причиняемый вредителями, может привести к полной гибели посевов или потере урожая до 15-50%, а также снижению качества продукции на 5-25%. (http://www.himagro.com. 2010)
Основными болезнями сахарной свеклы являются: корнеед, пероноспороз, фомоз, мучнистая роса, ржавчина, парша, различные гнили на корнях. Болезни являются причиной значительных потерь урожая сахарной свеклы (до 25–30%).
На посевах сахарной свеклы могут развиваться многие виды сорных растений: пырей ползучий, осот, марь белая, редька дикая. С момента появления всходов и до смыкания рядков культура слабо конкурирует с сорными растениями. Засорённость посевов в этот период может вызвать снижение урожая на 25% и более.
Свекловичная листовая тля является серьезным вредителем для посевов сахарной свеклы, но не как вирусный переносчик, а главным образом как непосредственный вредитель, который иссушает растения и разрушает ткани листа. Это вызывает снижение урожая. Для того, чтобы избежать потери урожая необходимо использовать химические препараты против свекловичной листовой тли. (http://www.agrocs.ru 2009)
Фомоз распространен во всех районах свеклосеяния и довольно часто он наносит серьезный ущерб листве растений, хотя этот ущерб может быть еще больше при поражении вирусом желтухи. Необходимо отметить, что поражение семенников имеет более серьезные последствия, во-первых потому, что он может поражать основу стебля, убивая растение и прерывая развитие жизнеспособного семени, и во-вторых, грибок может заражать семя. Фомоз также вызывает точесность стеблей и клубочков на семенниках, кагатную гниль корнеплодов. При сильном поражении фомозом снижается урожайность корнеплодов на 29%; всхожесть семян - на 39,7%; сахаристость - на 1,17-1,58%; масса семян - на 11,7-19,1% (Аманжолов, 1980; Аманжолов, Агатаев, 1985). Для борьбы с фомозом нужно применять мероприятия по химической защите – протравливание семян, обработка вегетирующих растений фунгицидами. (http://www.ukrsugar.kiev.ua/ 2010)
Двудольные сорняки влияют на урожайность сахарной свеклы в двух основных аспектах:
Плохая защита от двудольных сорняков в течение шести недель после появления всходов вызывает потери за счет угнетения растений свеклы сорняками. (http://www.himagro.com.ua/ 2010)
Двудольные сорняки снижают эффективность уборки урожая. Для борьбы с двудольными сорняка и следует применять химические препараты. Это поможет снизить засоренность посевов и создать благоприятные условия для роста и развития культурных растений.
1. Характеристика условий произрастания сахарной свеклы
Фазы и фенология развития сахарной свеклы
Фазы роста и развития сахарной свеклы первого года жизни:
Всходы
“Вилочка”
1 пара листьев
2-3 пара листьев
7 лист
Смыкание листьев в рядах
Смыкание листьев в междурядьях
Наступление технической спелости (Посыпанов Г. С. 2006)
Свекловичная листовая тля повреждает сначала, главным образом, внутренние более молодые листья сахарной свеклы в фазе смыкания листьев в рядах, вызывая их курчавость и скручивание. На свекле тля беспрерывно размножается партеногенетически до осени, давая за это время 8-10 поколений бескрылых и крылатых (расселительниц). (Мигулин А. А. 1983)
Фомозом сахарная свекла поражается в фазе всходов (корнеед) и во второй половине вегетации (зональная пятнистость). Заражение корнеплодов (сухая сердцевинная гниль) происходит в поле до уборки, особенно при недостатке бора в почве. (http://www.ukrsugar.kiev.ua/ 2010)
По сравнению с другими полевыми культурами сахарная свекла, особенно в ранней стадии развития (фазы всходов, 2-3 пар листьев), более чувствительна к сорным растениям. Они обладают более сильным стартовым ростом, быстрее всходят, перехватывая солнечную энергию, элементы питания и влагу из почвы (Баздырев Г. И. 2004).
Защита сахарной свеклы от свекловичной листовой тли
Характеристика свекловичной листовой тли
Таблица 1. Характеристика свекловичной листовой тли (Мигулин А. А. 1983)
|
Название вредителя (русское, латинское). Систематическое положение |
Морфология |
Вредная фаза, характер повреждения |
Место зимовки вредителя и зимующая фаза |
Число поколений |
Приуроченность повреждений к фазе роста растения |
ЭПВ |
|
|
Имаго |
Личинка |
||||||
|
Свекловичная листовая тля. Aphis fabae Scopoli Отряд равнокрылые Homoptera, семейство тли Aphididae, |
Крылатые самки — черные, со слабым блеском, брюшко темно-зеленое, длина тела 2 мм. |
Личинки зеленые, похожи на взрослых насекомых. |
Бескрылые и крылатые самки высасывают соки из листьев, заселяя их с нижней стороны. Поврежденные листья деформируются, скручиваются в продольном направлении, а затем увядают и засыхают. |
яйца на коре бересклета европейского, на калине обыкновенной, жасмине у основания почек и на многолетних сорняках. |
12-15 |
Смыкание листьев в междурядьях. |
заселение колониями тлей 20 % растений и средняя численность тлей 10…15 особей на 1 растение. |
2.2 Инсектициды, рекомендованные для защиты сахарной свеклы от свекловичной листовой тли
Таблица 2. Инсектициды, рекомендованные для защиты сахарной свеклы от свекловичной листовой тли. (Агрорус 2009)
|
№ пп |
Название действующего вещества, название инсектицида |
Препаративная форма, содержание д. в. в препарате |
Норма расхода препарата л/га, кг/га |
Срок ожидания (кратность) |
Спектр действия |
Краткая характеристика инсектицида |
Токсичность для теплокровных (ЛД 50), МДУ, ПДК |
|
1 |
Альфа-циперметрин. Фагот |
КЭ, (100 г/л) |
0,1 |
20(2) |
Свекловичная листовая тля, свекловичная минирующая муха, луговой мотылек |
Перитроид, контактно-кишечный инсектицид широкого спектра активности, быстрого действия, против вредителей во всех фазах |
ЛД50 -79-400 мг/кг. МДУ в сахарной свекле – нд ПДК в почве – 0,02 мг/кг. |
|
2 |
Альфа-циперметрин Фаскорд, Фастак |
КЭ, (100 г/л) |
0,1 |
45(2) |
То же |
То же |
То же |
|
3 |
Бета-циперметрин. Кинмикс |
КЭ (50 г/л) |
0,25-0,5 |
20(2) |
Подгрызающие совки, свекловичные блошки, тли, долгоносики, свекловичеая минирующая муха. |
Перитроид, контактно-кишечный инсектицид широкого спектра активности, быстрого действия, против вредителей во всех фазах |
ЛД50 – 168 мг/кг МДУ в сахарной свекле – 0,01 мг/кг ПДК в почве – 0,02 мг/кг. |
|
4 |
Диазинон Баргузин-600, Диазин Евро, Диазол. |
КЭ (600 г/л) |
0,8 |
20(2) |
Обыкновенный свекловичный долгоносик, щитоноски, мертвоеды, крошка, полосатый и восточный долгоносики, блошки и листовая тля |
Фосфоорганический инсектоакарицид системного и контактно-кишечного действия широкого спектра активности против имаго |
ЛД50 –455мг/кг МДУ в сахарной свекле – 0,5 мг/кг ПДК в почве – 0,1 мг/кг. |
|
5 |
Диазинон Практик, Диазинон-600. |
КЭ (600 г/л) |
1 |
20 (2) |
То же |
То же |
То же |
|
6 |
Диметоат Дитокс, Диметоат-400, Бином |
КЭ (400 г/л) |
0,5-1 |
30(2) |
Клопы, свекловичная листовая тля, минирующая муха и моль, клещи, цикадки, мертвоеды, блошки. |
Фосфоорганический контактно-кишечный инсектоакарицид быстрого действия широкого спектра активности против личинок и имаго. |
ЛД50 – 220,5 мг/кг. МДУ в сахарной свекле - 0,15 мг/кг |
|
7 |
Диметоат Кемидим |
КЭ (400 г/л) |
0,5-0,9 |
30(2) |
То же. |
То же. |
То же. |
|
8 |
Диметоат Фостран БИ-58 Новый |
КЭ (400 г/л) |
0,5-1 |
40(2) |
То же. |
То же |
То же. |
|
9 |
Лямбда-цигалотрин. Каратэ Зеон |
МКС (50 г/л) |
0,15 |
20 (1) |
Свекловичные блошки, долгоносики, тли, луговой мотылек. |
Перитроид, контактно-кишечный инсектоакарицид широкого спектра активности быстрого действия против всех фаз вредителей |
ЛД50 – 310 мг/кг. МДУ в сахарной свекле – 0,01 мг/кг. ПДК в почве – 0,05 мг/кг |
|
10 |
Лямбда-цигалотрин. Гладиатор, Алтын, Лямбда-C, Кунгфу. |
КЭ (50 г/л) |
0,15 |
20(1) |
Свекловичные блошки, тли, долгоносики. |
Перитроид, контактно-кишечный инсектоакарицид широкого спектра активности быстрого действия против всех фаз вредителей |
То же |
|
11 |
Лямбда-цигалотрин. Брейк. |
МЭ (100 г/л) |
0,07 |
20 (1) |
То же. |
То же. |
То же. |
|
12 |
Лямбда-цигалотрин. Карачар. |
КЭ (50 г/л) |
0,15 |
20 (1) |
То же. |
То же. |
То же. |
|
13 |
Малатион. Кемифос. Фуфанон. |
КЭ (570 г/л,) |
1-1,2 |
20 (2) |
Клопы, минирующие моль и муха, цикадки, листовая тля. |
ЛД50 – 1400 мг/кг. МДУ в сахарной свекле – 0,5 мг/кг. ПДК в почве – 2 мг/кг |
|
|
14 |
Циперметрин Вега, Шарпей, Арриво, Ципи, Циперон, Фитозан. |
КЭ (250 г/л) |
0,48 |
-(4) |
Тли-переносчики вирусных заболеваний |
Перитроид, контактно-кишечный инсектицид широкого спектра активности, быстрого действия, против вредителей на всех фазах. |
ЛД50 – 250-300 мг/кг. МДУ в сахарной свекле - нд. ПДК в почве – 0,02 мг/кг |
|
Циперметрин Шарпей |
МЭ (250 г/л) |
0,48 |
-(4) |
То же |
То же |
То же |
|
|
15 |
Хлорпирифос. Пиринекс Дурсбан |
КЭ (480 г/л) |
0,8 |
30 (2) |
Обыкновенный свекловичный долгоносик, совки, крошка, щитоноски, блошки, листовая тля, луговой мотылек, мертвоедки. |
Фосфоорганический контактно-кишечный инсектицид широкого спектра активности быстрого действия против личинок и имаго. |
ЛД50 – 3900 мг/кг. МДУ в сахарной свекле – 0,0006 мг/кг. ПДК в почве – 0,2 мг/кг |
|
16 |
Эсвенвалерат. Сэмпай.. |
КЭ (50 г/л) |
0,2 |
21 (2) |
Свекловичные блошки, свекловичная листовая тля, луговой мотылек. |
Перитроид. Контактно-кишечный инсектицид широкого спектра активности, быстрого действия против личинок и имаго. Обладает репеллентными свойствами. |
ЛД50 – 2000 мг/кг. МДУ в сахарной свекле – 0,01 мг/кг. ПДК в почве – 0,4 мг/кг |
2.3 Подробная характеристика двух инсектицидов
Инсектициды, обеспечивающие наилучшую защиту сахарной свеклы от свекловичной листовой тли при наименьшей опасности для человека и окружающей среды – это препараты Кемифос, КЭ (570 г/л) и Сэмпай, КЭ (50 г/л).
Препарат Кемифос обладает высокой активностью и широким спектром действия против вредных объектов. Он малотоксичен для человека и теплокровных (ЛД50 – 1400 мг/кг), имеет высокие нормативы допустимого содержания остаточных количеств в продуктах и объектах окружающей среды (ПДК в почве – 2 мг/кг; МДУ в продукции сахарной свеклы – 0,5 мг/кг). Кемифос не представляет серьезной опасности для млекопитающих, птиц, полезной энтомофауны при применении в соответствии с рекомендациями. Хорошо сорбируется почвой и не загрязняет грунтовые воды.
Препарат Сэмпай, как и Кемифос, обладает высокой активностью. Он уничтожает широкий спектр насекомых при очень низких нормах расхода. Он малотоксичен для человека и теплокровных (ЛД50-2000 мг/кг) имеет высокие нормативы допустимого содержания остаточных количеств в продуктах и объектах окружающей среды (ПДК в почве – 0,4 мг/кг; МДУ в продукции сахарной свеклы – 0,01 мг/кг), В полевых условиях Сэмпай часто малоопасен для пчел вследствие реппелентного эффекта.
Препараты Кемифос и Сэмпай относятся к разным химическим группам. Это способствует предотвращению появления резистентности к ним у вредных объектов.
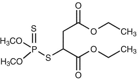
2.3.1 Кемифос
Действующее вещество – малатион. (O,O-Диметил-S-(1,2-дикарбэтоксиэтил)дитиофосфат).

Малатион — в чистом виде бесцветная жидкость с температурой кипения 120°C и летучестью 2,26 мг/м3, хорошо растворимая в органических растворителях, за исключением предельных углеводородов. Растворимость в воде слабая – при 20°C 145 мг/л.
Малатион термически малостоек и при повышении температуры интенсивно разрушается с образованием вначале более токсичного тиолового изомера.
Малатион медленно гидролизуется водой. Гидролиз ускоряется в присутствии кислот и щелочей. Малатион при длительном контакте с железом разлагается и теряет инсектицидные свойства. (Груздев Г. С. 1987)
Малатион – контактно-кишечный инсектоакарицид с высокой начальной токсичностью и кратковременным защитным и глубинным действием. Длительность защитного действия в полевых условиях до 10 дней, в условиях защищенного грунта – 5 – 7. Высокая токсичность малатиона для вредителей обусловлена тем, что в организме насекомого он превращается в более токсичный малаоксон, а процессы гидролиза пестицида протекают значительно медленнее. Малаоксон является ингибитором холистеразы, воздействует на нервную систему насекомых, вызывая у них паралич. При систематическом его применении появляются популяции насекомых и клещей, устойчивые к нему или другим фосфоорганическим соединениям. Устойчивые особи отличаются высокой способностью разрушать малатион до нетоксичных продуктов. Это обусловлено или появлением специфического фермента малатионоксидазы, или увеличением активности алиэстеразы и фосфатаз.
Малатион хорошо сорбируется почвой и не загрязняет грунтовые воды. Токсичен для энтомофагов и рыб, высокотоксичен для пчел. (Груздев Г. С. 1987)
Для человека и теплокровных животных малатион среднетоксичен, степень токсичности зависит от чистоты препарата. Сравнительно невысокая токсичность малатиона для млекопитающих объясняется особенностями метаболизма препарата. В организме теплокровного животного вследствие высокой активности карбоксиэстераз разрушение молекул малатиона идет в первую очередь в направлении гидролиза – СО>2 >групп. При этом образуются водорастворимые малатионмоно- и дикарбоновые кислоты, легко удаляемые из организма. Параллельно с этим под действием фосфатаз происходит гидролитическое разрушение другой части молекулы с образованием также водорастворимых малотоксичных продуктов. Следует отметить, что водорастворимые и ионизированные вещества практически не проникают в нервную систему животного, но легко выделяются из организма с мочой. Образование малаоксона в организме млекопитающего происходит в очень ограниченном количестве.
Большое преимущество малатиона – отсутствие способности накапливаться в тканях животного.
Малатион очень эффективен в борьбе против сосущих насекомых – клопов, тлей, трипсов, цикадок и растительноядных клещей. (Груздев Г. С. 1987)
2.3.2 Сэмпай
Действующее вещество – эсфенвалерат. Изомер фенвалерата, (S)-3-метил-2-(-4-хлорфенил) масляной кислоты (S)-α-φиано-3-феноксибензиловый эфир.
Вязкая коричневая жидкость, температура кипения 151 — 167°С. Давление пара (при 25°С) 0,67·10-4 Па (5·10-7 мм рт. ст.). Нерастворим в воде; растворим в ацетоне, хлороформе, ксилоле. Высокостабилен на солнечном свету, на неживых поверхностях может сохраняться длительное время. (http://www.cnshb.ru 2010)
Эсфенвалерат – инсектицид контактно-кишечного действия с защитным эффектом около 15 дней. (Груздев Г. С. 1987)
При попадании в организм насекомого оказывает действие на нервную систему. Симптомы поражения очень похожи на таковые при отравлении хлорорганическими инсектицидами: сильное возбуждение с последующим параличом. Часто отмечается явление нокдауна. Эсфенвалерат нарушает процесс обмена ионов натрия и калия в пресинаптической мембране, а также кальция, что приводит к выделению излишнего количества ацетилхолина при прохождении нервного импульса через синаптическую щель. При длительном применении этого препарата появляются устойчивые популяции насекомых. При этом наблюдается как групповая, так и перекрестная устойчивость. (Груздев Г. С. 1987)
Эсфенвалерат относится к среднетоксичным веществам для человека и теплокровных животных. При попадании в организм человека, он может накапливаться в нем. Высокотоксичен для рыб. Практически нетоксичен для пчел при нормальных условиях применения. Эсфенвалерат слабо передвигается в почве, хорошо поглащается и удерживается почвенно-поглащающим комплексом. Под действием микрофлоры почвы он разрушается в течение 2-4 недель, при этом происходит вначале гидролиз эфирной связи или окисление двойных связей. (Груздев Г. С. 1987)
Отрицательного действия на защищаемые растения не отмечается. Эсфенвалерат практически не проникает в растения. Период его полураспада на них 7-9 дней, однако остатки веществ обнаруживаются в течение 21 дня после обработки.
Высокоэффективен в борьбе с чешуекрылыми, жуками, мухами (взрослые особи и личинки), а также с синантропными вредителями и паразитами животных. (Груздев Г. С. 1987)
3. Защита сахарной свеклы от фомоза
3.1 Характеристика возбудителя фомоза
Таблица 3. Характеристика возбудителя фомоза. (Пересыпкин В. Ф.1989)
|
Название возбудителя заболевания (русское, латинское). Систематическое положение. |
Симптомы болезни |
Способы, место зимовки патогена |
Время и особенности заражения |
Условия, способствующие заражению, фаза растения-хозяина |
Вредоносность |
|
Phoma betae. Зональная пятнистость или фомоз свёклы. царство Fungi, отдел Ascomycota, класс Ascomycetes, подкласс Dothideomycetidae, порядок Pleosporales, семейство Pleosporaceae. |
На нижних листьях свеклы появляются округлые (3-5 мм в диаметре) некротические пятна желтого и светло-бурого цвета. Постепенно они разрастаются, часто сливаются в более крупные образования, а некротическая ткань выпадает из середины пятен. Листья усыхают. |
Возбудитель зимует на растительных остатках в верхнем слое почвы на глубине 5-15 см, а также в семенах и корнеплодах в виде пикнид и мицелия. |
Заболевание появляется во второй половине вегетационного периода. В сырую погоду конидии выдавливаются из пикнид в виде бесцветных или розоватых потоков по ширине поры и являются источником заражения в период вегетации. Заболевание чаще развивается на листьях свеклы, ослабленных другим грибным или физиологическим заболеванием. |
Гриб хорошо развивается при относительной влажности воздуха 60-70%, температуре в пределах 15-30.С (оптимальная - 25.С) и нейтральной кислотности почвы рН 7. |
Листья преждевременно засыхают. В период хранения зараженные внутренние части корнеплодов приобретают интенсивно черную окраску и к весне вовсе пропадают. Полученный урожай, плохо хранится и теряет товарные качества. |
3.2 Фунгициды, рекомендованные для защиты сахарной свеклы от фомоза
Таблица 4. Фунгициды, рекомендованные для защиты сахарной свеклы от фомоза. (Агрорус 2009)
|
№ пп |
Название действующего вещества, название фунгицида |
Препаративная форма, содержание д. в. в препарате |
Норма расхода препарата л/га, кг/га |
Срок ожидания (кратность) |
Спектр действия |
Особенности применения |
Характер и механизм действия |
Токсичность для теплокровных (ЛД 50), МДУ, ПДК |
|
1. |
Беномил Бенорад |
СП (500 г/кг) |
0,6-0,8 |
30(2-3) |
Мучнистая роса, церкоспороз, фомоз. |
Опрыскивание 0,1%-ным раствором. |
Системный и контактный, защитного и лечебного действия |
ЛД50 – 9500 мг/кг. МДУ в сахарной свекле – 0,2 мг/кг. ПДК в почве – 0,1 мг/кг |
|
2. |
Пропиканозол + ципроканозол. Альто супер. |
КЭ (250 + 80 г/л) |
0,5-0,75 |
30(1-2) |
Церкоспороз, мучнистая роса, фомоз, альтернариоз |
Опрыскивание раствором. |
Системный, защитного действия. |
Пропиканозол Малотоксичен для человека МДУ в сахарной свекле – 0,1мг/кг. ПДК в почве – 0,2 мг/кг Ципроканозол Малотоксичен для человека. МДУ в сахарной свекле – 0,1мг/кг. ПДК в почве – 0,2 мг/кг |
|
3. |
Тирам ТМТД |
ВСК (400 г/л) |
8-12 |
-(1) |
Корнеед всходов, фомоз, пероноспороз, церконоспороз, плесневение семян |
Протравливание семян водной суспензией или с увлажнением заблаговременно или непосредственно перед посевом. |
Контактного действия |
ЛД50 – 865 мг/кг. МДУ в сахарной свекле – нд. ПДК в почве – 0,1 мг/кг |
|
4. |
Флутриафол Импакт |
СК (125 г/л) |
0,5 |
30 (1) |
Мучнистая роса, фомоз, церкоспороз. |
Опрыскивание 0,05 %-ным раствором. |
Системный, защитного и куративного (лечащего) действия, |
ЛД50 – 1140 мг/кг МДУ в сахарной свекле – 0,1 мг/кг. ПДК в почве – 0,1 мг/кг |
|
5. |
Флутриафол Страйк |
КС (250 г/л) |
0,25 |
30 (1-2) |
Церкоспороз, мучнистая роса, фомоз. |
Опрыскивание 0,08 %-ным раствором. |
контактный и системный защитного и куративного (лечащего) действия |
То же |
3.3 Подробная характеристика фунгицидов
Фунгициды, обеспечивающие наилучшую защиту сахарной свеклы от фомоза при наименьшей опасности для человека и окружающей среды – это препараты бенорад, СП (500 г/кг) и страйк, КС (250 г/л).
Препарат бенорад обладает высокой активностью и широким спектром действия против грибных болезней сельскохозяйственных культур. Он малотоксичен для человека и теплокровных (ЛД50 – 9500 мг/кг), не обладает кумулятивными свойствами, слаботоксичен для пчел, птиц и рыб. Оказывает профилактическое и лечебное действие. Бенорад имеет низкие нормы расхода – 0,6-0,8 кг/га.
Препарат Страйк обладает широким спектром лечебного и защитного действия. Он беспечивает надежную защиту от наружных и внутренних инфекций при очень низких нормах расхода (0,25 л/га). Он малотоксичен для человека и теплокровных (ЛД50-1140 мг/кг), малотоксичен для пчел и птиц. В рекомендованных нормах расхода препарат не фитотоксичен и не влияет на численность полезной флоры и фауны.
Препараты бенорад и страйк относятся к разным химическим группам. Это способствует предотвращению появления резистентности к ним у вредных патогенов.
3.3.1 Бенорад
Действующее вещество – беномил: N-[1-(бутилкарбамоил)бензоимидазолил-2]-О-метилкарбамат:

В чистом виде порошок, слабо растворимый в воде и маслах, растворимость в хлороформе 9,4 г на 100 г. Нелетуч, при нагревании плавится.
В водной среде беномил разлагается до N-(бензимидазолил-2)-О-метилкарбамата (БМК), бутиламина и CO>2>. (Груздев Г. С. 1987)
БМК образуется под действием ультрафиолетовых лучей, при нагревании, при хранении в присутствии влаги и является основным метаболитом беномила в растениях. БМК также обладает фунгицидным действием. В почве в качестве метаболитов, кроме БМК, обнаружен и 2-аминобензимидазол. Они относительно стойки и слабо выщелачиваются за пределы обработанного участка. (Груздев Г. С. 1987)
Беномил – системный и контактный фунгицид, обладающий защитными и лечебными свойствами. Проявляет свойства акарицида, благодаря овицидному действию подавляет паутинных клещей, угнетает бахчевую тлю. Слаботоксичен для хищного клеща фитосейлюса.
Фунгицидность препарата обусловлена нарушением репродуктивной способности грибов. Механизм действия его связан с нарушением биосинтеза или функций пуриновых оснований. При систематическом применении отмечалось появление устойчивых рас патогенна, однако обработка другими фунгицидами приводила к исчезновению приобретенной устойчивости. (Груздев Г. С. 1987)
Передвигается он в растении только в акропетальном направлении снизу вверх по ксилеме и не передвигается по флоэме. Системное действие его проявляется при поступлении через корни при обработке семян, нанесении на стебель или в пазухи листа. Поглощается листьями, но из одного листа в другой в фунгицидных количествах не перемещается.
В защищенном грунте и в полевых условиях на обработанных листьях и в почве беномил сохраняется в течение длительного времени.
Препарат эффективен в борьбе с паршой яблони, мучнистыми росами огурца, церкоспорозом и фомозом сахарной свеклы, серой гнилью и мучнистой росой земляники, бурой ржавчиной, мучнистой росой пшеницы. (Груздев Г. С. 1987)
3.3.2 Страйк
Действующее вещество – флутриафол.

Флутриафол по своему химическому строению относится к группе триазолов. Эмпирическая формула: C16H23F2N3O. Молекулярная масса: 301,3. Флутриафол представляет собой белое кристаллическое вещество с температурой плавления 1300 °С. Растворимость в воде - 140 мг/кг, хорошо растворим в диметилсульфоксиде, этаноле, ацетоне и дихлорметане, нерастворим в метаноле. Достаточно устойчив. (Груздев Г. С. 1987)
Системный фунгицид защитного и куративного (лечащего) действия, ингибирует процесс деметилирования биосинтеза стеролов, нарушает избирательность проницаемости клеточных мембран и процесс деления клеток патогена. Отличительной особенностью флутриафола является его способность быстро проникать в растение через листья и передвигаться по тканям. Он двигается в растении акропетально от основы к вершине. Благодаря высокой мобильности флутриафол быстро перемещается к месту локализации инфекции, искореняя заболевание и обеспечивая длительную защиту посевов. Он защищает и те части листьев, на которые раствор не попал, а также молодые отростки, которые появились после обработки. Фунгицид стоек к смыванию дождем уже через час после опрыскивания. Системное и контактное действие дополняется фумигационным эффектом. (Груздев Г. С. 1987)
Имеет пролонгированный период защитного действия (до 6 — 8 недель). Продолжительность защитного действия на зерновых и свекле в среднем 3-6 недель, на винограде и яблоне - 10-14 дней в зависимости от патогена, культуры и погодных условий. Нефитотоксичен.
Флутриафол относится к веществам малоопасным по острой пероральной (ЛД50 крысы - 1140 - 1180 мг/кг) и дермальной (ЛД50 кролики - более 2000 мг/кг) токсичности и опасным по ингаляционной токсичности (ЛД 50 крысы - 4 часа - 1,65 мг/л). Обладает слабым раздражающим действием на слизистую оболочку глаз и не обладает мутагенным и тератогенным свойствами. Он относится к 3-й группе опасности пестицидов. ЛД50 для пчел 50 мкг/особь. Малотоксичен для птиц. СК50 для рыб 61-78 мг/л (96 ч). (http://www.cnshb.ru/ 2010)
Флутриафол эффективно подавляет развитие мучнистой росы, септориоза, ржавчины и гельминтоспориоза на зерновых культурах, а также различных видов грибковых заболеваний в посевах сахарной свеклы, на плантациях винограда и яблок. (Груздев Г. С. 1987)
Защита сахарной свеклы от однолетних двудольных сорняков
4.1 Характеристика сорной растительности
Таблица 5. Характеристика однолетних двудольных сорняков. (Баздырев Г. И. 2004)
|
Название (русское, латинское) |
Ботаническая характеристика |
Биологическая характеристика |
Требования к условиям внешней среды |
ЭПВ |
|
|
Строение вегетативных органов |
Строение генеративных органов |
||||
|
Марь белая Chenopodium album Класс двудольные. Семейство маревые |
Листья яйцевидно-ромбические, покрытые мучнистым налетом Стебель прямой, сильноветвистый высотой до 1,5 м. Корневая система стержневая, разветвлённая. |
Соцветие метельчатое, облиственное. Плод - односемянный орешек. |
Способ размножения – семенами. Одно растение дает до 200 тыс. семян, покрытых твердой оболочкой и долгое время сохраняющих всхожесть. Семена прорастают с глубины до 8–10 см. |
Всходы появляются с ранней весны до осени, устойчивы к заморозкам. Минимальная температура прорастания семян 3..4 °С. Предпочитает спелую богатую азотом и гумусом, суглинистую почву. |
7 экз./1 м2. |
|
Подмаре́нник це́пкий,. Gálium aparíne. Класс - двудольные Семейство мареновые. |
Листья узколанцетные, заострённые, цепкие, Стебель лианоподобный длиной 40 – 50 см, усеянный шипиками. Кореневая система – стержневая, развита слабо. |
Соцветие зонтиковидное. Плод шаровидный, на брюшной стороне с глубокой выемкой, коричневый орешек. |
Способ размножения – семенами. Плодовитость одного растения до 1200 орешков. Семена прорастают с глубины не более 8-9 см. |
Всходы появляются с ранней весны до осени. Минимальная температура прорастания семян 1-2°C. В засушливые годы всхожесть ниже, чем в увлажненные. Предпочитает плодородные и хорошо аэрируемые почвы. |
2-5 экз./1 м2 |
4.2 Гербициды, рекомендованные для защиты сахарной свеклы от однолетних двудольных сорняков
Таблица 6. Гербициды, рекомендованные для борьбы с однолетними двудольными сорняками на сахарной свекле (Агрорус, 2009); (Мельников Н. Н., 1995).
|
№ пп |
Название действующего вещества, название гербицида. |
Препаративная форма, содержание д. в. в препарате |
Норма расхода препарата л/га, кг/га |
Особенности применения |
Краткая характеристика |
Токсичность для теплокровных (ЛД50), МДУ, ПДК |
|
1 |
Десмедифам + Фенмедифам Бицепс 22 |
КЭ (100 + 100 г/л) |
3 |
Опрыскивание посевов в фазе 4-х настоящих листьев культуры. |
Селективный системного действия, хорошо проникает в растение через листья и передвигается по всему организму. |
Десмедифам ЛД50 – 10250мг/кг МДУ в сахарной свекле – 0,2 мг/кг ПДК в почве – 0,25 мг/кг Фенмедифам ЛД50 – 8000 мг/кг МДУ в сахарной свекле – 0,2 мг/кг ПДК в почве – 0,25 мг/кг |
|
1,5 |
Последовательное опрыскивание посевов в фазе 2-4 листьев сорняков (по первой и второй волне) |
|||||
|
1 |
Последовательное опрыскивание посевов в фазе семядолей сорняков (по первой, второй и третьей волне) |
|||||
|
2 |
Десмедифам + Фенмедифам Бетанал 22 |
КЭ (160 + 160 г/л) |
1 |
Опрыскивание посевов в стадии семядолей у сорняков (по первой, второй, и третьей волне). |
Селективный системного действия, хорошо проникает в растение через листья и передвигается по всему организму. |
То же |
|
1,5 |
Опрыскивание посевов в стадии 2-4 листьев у сорняков (по первой и второй волне). |
|||||
|
3 |
Опрыскивание посевов в фазе 4-х настоящих листьев культуры и ранние фазы роста сорняков. |
|||||
|
3 |
Десмедифам + фенмедифам Битап ФД 11 |
КЭ (80+80 г/л) |
4 |
Опрыскивание посевов в фазе 2-4 настоящих листьев культуры при ранних фазах роста сорняков (2-4 листа). |
Селективный системного действия, хорошо проникает в растение через листья и передвигается по всему организму. |
То же |
|
1,5-2 |
Опрыскивание посевов в фазе семядолей сорняков по первой и второй волне независимо от фазы культуры. |
|||||
|
4 |
Десмедифам + фенмедифам Бифор |
КЭ (80+80 г/л) |
4 |
Опрыскивание посевов, начиная с фазы 2 настоящих листьев свеклы в ранние фазы роста сорняков (2-4 листа). |
Селективный системного действия, хорошо проникает в растение через листья и передвигается по всему организму. |
То же |
|
2 |
Опрыскивание посевов в фазе семядолей сорняков по первой и второй волне. |
|||||
|
5 |
Десмедифам + фенмедифам + этофумезат Бицепс Гарант |
КЭ (70+90+110 г/л) |
1 |
Опрыскивание посевов в фазе семядолей сорняков (по первой, второй и третьей волне с интервалом 7-14 дней). |
Селективный системного действия, хорошо проникает в растение через листья и передвигается по всему организму. |
Этофумезат ЛД50 – 6000 мг/кг МДУ в сахарной свекле – 0,1 мг/кг ПДК в почве – 0,4 мг/кг |
|
1,5 |
Опрыскивание посевов в фазе 2-4 листьев сорняков (по первой и второй волне с интервалом 7-14 дней). |
|||||
|
3 |
Опрыскивание посевов в фазе 4 настоящих листьев культуры и ранние фазы роста сорняков. |
|||||
|
6 |
Десмедифам + фенмедифам + этофумезат Бицепс |
КЭ (60+60+60 г/л) |
4 |
Опрыскивание посевов в фазе 2-4 настоящих листьев культуры и ранние фазы роста сорняков. |
Селективный системного действия, хорошо проникает в растение через листья и передвигается по всему организму. |
То же |
|
2 |
Последовательное опрыскивание посевов в фазе семядолей – 2-4 листьев сорняков (по первой и второй волне). |
|||||
|
7 |
Десмедифам + фенмедифам + этофумезат Секира Трио |
КЭ (60+60+60 г/л) |
2 |
Опрыскивание посевов начиная с 2-х настоящих листьев культуры и ранние фазы роста сорняков (по первой и второй волне). |
Селективный системного действия, хорошо проникает в растение через листья и передвигается по всему организму. |
То же |
|
4 |
Опрыскивание посевов в фазе 4-х настоящих листьев культуры и ранние фазы роста сорняков. |
|||||
|
8 |
Десмедифам + фенмедифам + этофумезат Бетарен Экстра |
КЭ (42+42+42 г/л) |
1,5-2 |
Опрыскивание посевов в фазе семядолей сорняков (по первой волне). |
Селективный системного действия, хорошо проникает в растение через листья и передвигается по всему организму. |
То же |
|
2 |
Повторное опрыскивание посевов в фазе семядолей сорняков второй волны. |
|||||
|
4 |
Опрыскивание посевов в фазе 2-4 настоящих листьев культуры и ранние фазы роста сорняков. |
|||||
|
9 |
Десмедифам + фенмедифам + этофумезат Бета супер |
СК (60+60+60 г/л) |
2 |
Опрыскивание посевов в фазе семядолей – 2-4 листьев сорняков (по первой и второй волне). |
Селективный системного действия, хорошо проникает в растение через листья и передвигается по всему организму. |
То же |
|
4 |
Опрыскивание посевов в фазе 2-4 настоящих листьев культуры и ранние фазы роста сорняков. |
|||||
|
10 |
Глифосат (изопропиламинная соль) Торнадо, Дефолт, Напалм, Тайфун, Космик, Раундап, Глифор, Спрут, Граунд |
ВР (360 г/л глифосата к-ты) |
2-5 |
Опрыскивание вегетирующих сорняков за две недели до посева. |
Неселективный системного действия, хорошо проникает в растения через листья и продвигается в корни. |
ЛД50 – 2000 мг/кг; МДУ в сахарной свекле – 0,2 мг/кг; ПДК в почве – 0,8 мг/кг |
|
11 |
Глифосат (изопропиламинная соль) Глифос Премиум.
|
ВР (450 г/л глифосата к-ты) |
1,6-4,0 |
Опрыскивание вегетирующих сорняков за две недели до посева. |
То же |
То же |
|
12 |
Метамитрон Пилот. |
ВСК (700 г/л) |
1,5-2 |
Опрыскивание посевов по всходам сорняков (в стадии семядольных листьев у двудольных и первого листа у злаковых) с последующей обработкой через 8-14 дней при повторном отрастании сорняков |
Селективный системного действияпоглощается корнями и в меньшей степени листьями растений и транспортируется в акропетальном направлении. |
ЛД50 – 1183 мг/кг МДУ в сахарной свекле – 0,1 мг/кг. ПДК в почве – 0,4 мг/кг. |
|
1,5 |
Опрыскивание посевов по всходам сорняков в баковой смеси с 1,0-1,5 л/га Бицепс Гарант, Бицепс, Бицепс 22(в фазе семядольных листьев двудольных и первого листа у злаковых) с последующей обработкой через 8-14 дней при повторном отрастании сорняков. |
|||||
|
13 |
Метамитрон + этофумезат + фенмедифам +десмедифам Виктор |
СК (200 + 100 + 100 + 80 г/л) |
1 |
Опрыскивание посевов в фазу семядолей сорняков (по первой, второй и третьей волне). |
Селективный системного действия, хорошо проникает в растение через листья и передвигается по всему организму. |
То же |
|
1,5 |
Опрыскиваник посевов в фазу 2-4 листьев сорняков (по первой и второй волне). |
|||||
|
14 |
Трифлусульфурон-метил Карибу |
СП (500 г/кг |
0,03 |
Опрыскивание посевов в фазе семядоли – 2 листа у сорняков – и при необходимости повторно через 7-15 дней по второй волне сорняков в фазе 2 листьев в смеси с 200 мл/га Тренда-90 и 1,5-2 л/га. |
Селективный системного действия, хорошо проникает в растение через листья и передвигается по всему организму. |
ЛД50 – 5000 мг/кг; МДУ в сахарной свекле - 0,02 мг/кг; ПДК в почве – 0,06 мг/кг |
4.3 Характеристика двух гербицидов
Гербициды, обеспечивающие наилучшую защиту сахарной свеклы от однолетних двудольных сорняков при наименьшей опасности для человека и окружающей среды – это препараты бицепс 22 и бетарен экстра.
Препарат Бицепс 22 обладает высокой эффективностью в борьбе с однолетними двудольными сорняками на посевах сахарной, столовой и кормовой свеклы. Он обеспечивает надежную защиту от сорняков при небольших нормах расхода (1-3 л/га). Препаратом можно проводить 2-3 обработки в сезон малыми дозами (дробное внесение), воздействие которых обеспечивает наибольшую эффективность против сорняков и не оказывает влияния на молодые растения свеклы даже в фазе вилочки. Он малотоксичен для человека и теплокровных, малотоксичен для пчел и птиц. Препарат быстро разлагается в почве и слабо мигрирует в ней, не накапливается в корнеплодах. В полевых условиях он концентрируется в верхнем 10 см слое почвы и не представляет опасности, как загрязнитель грунтовых вод. Препарат относится к третьему классу опасности.
Препарат Бетарен Экстра благодаря соединению трех активных компонентов отличается расширенным спектром действия: фенмедифам и десмедифам поражают многие виды двудольных сорняков (устойчивы к ним: подмаренник цепкий, однодольные сорняки); этофумезат уничтожает подавляющее большинство сорняков, в том числе подмаренник цепкий, лебеду, горцы. Он имеет низкие нормы расхода (1,5-4 л/га), низкую токсичность для человека, теплокровных, пчел, птиц, беспозвоночных и почвенных микроорганизмов. Препарат относится к среднестойким соединениям. Аккумуляция препарата в почве и повреждение последующих культур севооборота маловероятны. По классу опасности Бетарен Экстра относится к умеренно опасным пестицидам. (http://www.agroplus-ryazan.ru / 2010)
4.3.1 Бицепс 22
Действующие вещества фенмедифам и десмедифам.
Фенмедифам (бетанал).

О-[3-(метокcикарбониламино)фенил]-N-(толил-3)карбамат
Химически чистое вещество – бесцветные кристаллы с температурой плавления 143-144°С, слабо растворимые в воде (10 мг/л) и значительно лучше – в органических растворителях (до 200 г/л). (Груздев Г. С. 1987)
Фенмедифам относится к системным гербицидам избирательного действия. Применяется для опрыскивания посевов столовой, кормовой, сахарной свеклы.
При внесении в почву гербицид неэффективен. Двудольные сорняки чувствительны к нему от фазы всходов до образования четырех настоящих листьев, злаковые – в фазе появления первого листа. (Груздев Г. С. 1987)
Фенмедифам подавляет многие сорняки: пастушью сумку, марь белую, пикульник обыкновенный, редьку дикую, горчицу полевую, торицу полевую и другие. Фенмедифам поглощается листьями сорняка, ингибирует реакцию Хилла и блокирует процессы фотосинтеза. Свекла быстро метаболизирует данную субстанцию и не поддается фитотоксическому воздействию. Процесс дезактивации фенмедифама происходит ночью. Проявление действия его на сорняки обнаруживается вскоре после опрыскивания (через 8-10 дней). Опрыскивание всходов можно проводить при образовании у свеклы двух настоящих листьев.
На скорость влияния действия препарата на сорняки влияют погодные условия в момент обработки гербицидом. При низких температурах и в засушливых условиях действие фенмедифама на сорняки ухудшается. Дождь, прошедший раньше 6 часов после обработки, также снижает эффективность этого гербицида. (Груздев Г. С. 1987)
При жаркой солнечной погоде опрыскивание должно проводиться только вечером. Нельзя опрыскивать свеклу, покрытую росой и мокрую от дождя, больные и слабые насаждения.
В почве гербицид разлагается в течение 5-6 месяцев, а на ее поверхности – через 3-4 месяца. Для теплокровных животных, пчел и птиц малотоксичен, для рыб – высокотоксичен. Препарат не оказывает вредного воздействия на полезных насекомых. (Груздев Г. С. 1987)
Десмедифам. N-(3-фенилкарбамоилоксифенил)-О-этилкарбамат.

Белое кристаллическое вещество с температурой плавления 120°С, нерастворимое в воде, растворяется в органических растворителях. По химическим свойствам аналогичен фенмедифаму. Быстро гидролизуется в щелочной среде.
Десмедифам является относительно стойким соединением, разлагающимся полностью в растениях сахарной свеклы в период их активной вегетации, остаточных количеств препарата в период уборки урожая в ботве и в корнях сахарной свеклы, как правило, не остается.
Десмедифам малоопасен для теплокровных и человека. ЛД50 для крыс 10250 мг/кг. Не раздражает кожу. Практически нетоксичен для пчел и других насекомых. ЛД50 для перепела 390 мг/кг. Высокотоксичен для рыб. CK50 для радужной форели 0,6 и для ушастого окуня 2,1 мг/л (96 ч).
Всероссийский НИИ сахарной свеклы и сахара (ВНИИСС) испытывал Бицепс 22 в Воронежской области. Общая засоренность посевов однолетними двудольными сорняками составляла 60-70 штук на 1 м2. При однократном применении Бицепс 22 был равноценен по эффективности Бурефену ФД 11, снижая засоренность однолетних двудольных сорняков в целом на 82%. В условиях России прибавка урожая корнеплодов при однократном применении Бицепса 22 составила 10-11 т/га, а при дробном внесении - 14-19 т/га.
4.3.2 Бетарен Экстра
Действующие вещества – фенмедифам, десмедифам и этофумезат.
Этофумезат
– 3,3-диметил-5-метилсульфонилокси-2-этоксидигидробензофуран.

Эмпирическая формула: C>13> H>18> O>5>S
Бесцветное кристаллическое вещество без запаха. Температура
плавления: 70 - 72 °С. Давление паров при 25°С: 0,12 - 0,65 мПа.
Растворимость в органических растворителях при 25°С (г/дм3):
дихлорметан, ацетон, этилацетат - более 600; толуол - 300 - 600;
метанол - 120 - 150; этанол - 60 - 75; гексан - 4,7. Растворимость
в воде при 25 °С - 50 мг/ дм3 Этофумезат стабилен в водной среде при рН 7 - 9. При кислой среде разлагается с образованием гидроксианалога.
Агрегатное состояние в воздухе - пары и аэрозоль.
Этофумезат – это селективный системный послевсходовый гербицид для борьбы с однолетними двудольными сорняками, включая щирицу, подмаренник цепкий, звездчатку среднюю, ярутку полевую, марь белую, горцы, а также некоторые однолетние злаковые – просо куриное и щетинник зелёный на сахарной, столовой и кормовой свекле. (Груздев Г. С. 1987)
Этофумезат абсорбируется колеоптелем однодольных в период прорастания. Двудольные поглощаеют субстанцию через корневую систему. Вещество замедляет процессы деления клеток, блокирует образование воскового покрытия на листьях. Характаризуется селективностью по отношению к сахарной свекле. Рост сорняков прекращается в первые сутки после обработки. Видимые симптомы действия гербицида на сорняки проявляются через 3-7 дней после обработки.
Может проявлять фитотоксичность для растений свеклы при применении в условиях высокой температуры воздуха (более 25°C), а также, если растения находятся в состоянии стресса (заморозки и т.д.). Безопаснее использовать гербицид в утренние и вечерние часы. Возможность возникновения резистентности не выявлена.
Этофумезат быстро разлагается в почве до нетоксичных компонентов. Препарат малоопасен для пчел - 3-ий класс опасности. Он не оказывает вредного воздействя на полезную энтомофауну. Фумигантная токсичность репеллентная активность препарата не выражены. Для человека и теплокровных препарат относится к умеренно токсичным. Острая пероральная токсичность ЛД50 для крыс > 5000 мг/кг; острая дермальная токсичность ЛД для кроликов > 2000 мг/кг; острая ингаляционная токсичность (LK) для крыс > 3970 мг/ м3.
5. Техника безопасности при применении пестицидов
Для защиты от попадания пестицидов в организм через кожу, органы дыхания и слизистые оболочки все работающие должны быть обеспечены средствами индивидуальной защиты. При их подборе учитывают физико-химические свойства препаратов, их токсичность, способ применения и условия работы. (Груздев Г. С. 1987)
За каждым работающим закрепляют индивидуальные средства защиты соответствующих размеров, которые хранятся в специально выделенном чистом сухом помещении в отдельных шкафчиках.
При работе с препаратом Бенорад нужно использовать мужские (ГОСТ 15149-69) и женские (ГОСТ 6811-69) комбинезоны и шлемы, изготовленные из хлопчатобумажных тканей с водоотталкивающей пропиткой. Шлем состоит из колпака и пелерины, по лицевому вырезу его стягивают тесьмой. В качестве спецобуви при работе с Бенорадом следует использовать сапоги кожаные общего назначения (ГОСТ 5394-74). Для защиты рук нужно применять рукавицы КР (ТУ-38-10546-73), изготовленные из сурового хлопчатобумажного сукна и покрытые смесью синтетических латексов. Для защиты глаз от попадания пестицида следует применять гермитичные защитные очки ПО-2 и ПО-3. Для защиты органов дыхания от Бенорада следует использовать универсальный респиратор РУ-60М. Он обеспечивает одновременную защиту органов дыхания от вредных веществ, находящихся в воздухе в виде паров, дыма, газов, пыли и тумана. (Груздев Г. С. 1987)
При работе с жидкими препаратами - Кемифос, Сэмпай, Страйк, Бетарен Экстра нужно применять одежду из тканей с кислотозащитной пропиткой или пылезащитную спецодежду с фартуком, покрытым пленкой, и нарукавники из прорезиненной ткани или текстовинита. В качестве спецобуви следует использовать сапоги резиновые общего назначения (ГОСТ 5375-78, арт. 15 ФЭТ – мужские, арт. 350ФЭ - женские), а также сапоги резиновые, защищающие от нефтепродуктов и жиров (ГОСТ 12265- 78, арт. 154 ФЭТ). Для защиты рук при работе с этими пестицидами применяют резиновые перчатки технические КЩС (типы 1 и 2), латексные, промышленные из латекса, бутилкаучука и другие перчатки технического и промышленного назначения, в том числе импортного производства. Для защиты глаз следует применять защитные очки марки ЗН 5, ЗН 18 (В, Г), ЗН 9-Ф. Для защиты органов дыхания нужно использовать противогазовый респиратор РПГ-67, состоящий из резиновой полумаски, в которую вмонтированы клапан выдоха и два противогазовых фильтрующих патрона.
Отработанные патроны к респираторам необходимо своевременно заменять. Респираторы подбирают по размеру и закрепляют за определенным лицом. Они обеспечивают надежную защиту при правильном применении, при хранении в сухом чистом помещении и регулярном профилактическом уходе за ними. (Груздев Г. С. 1987)
Меры безопасности при использовании химических средств защиты направлены на предотвращение отравления работающих лиц, загрязнения окружающей среды, контакта с пестицидами посторонних лиц, животных. Во всех случаях применения пестицидов руководитель работ должен заблаговременно (не менее чем за 2 суток) поставить в известность администрацию хозяйства, в котором проводятся работы, руководство соседних хозяйств, население о сроках и характере проводимых мероприятий и мерах предосторожности. (Груздев Г. С. 1987)
Все работы по опрыскиванию проводят только механизированным способом, в утренние и вечерние часы, а в пасмурную погоду и днем. Нельзя вести обработку перед дождем или когда он идет.
Следует строго контролировать нормы расхода пестицидов и сроки обработок. (Груздев Г. С. 1987)
Для приготовления рабочих составов должны быть специально оборудованные заправочные площадки, снабженные всем необходимым.
Лица, занимающиеся приготовлением рабочих составов и участвующие непосредственно в процессах опрыскивания пестицидами, должны быть снабжены индивидуальными средствами защиты. При работе надо следить, чтобы факел распыла не направлялся током воздуха в сторону работающих.
После завершения работ вся аппаратура должна быть вычищена, промыта содовым раствором и водой, высушена и сдана на склад.
Для обезвреживания используют моющие материалы и вещества, детоксицирующие пестициды. (Груздев Г. С. 1987)
Транспортные средства, тару, спецодежду обезвреживают на открытом воздухе на специальной площадке с твердым покрытием и стоком для воды. Обезвреживающие средства после их использования и промывную воду сливают в специальные сливные ямы глубиной не менее 1 м. Их выкапывают в местах, где уровень грунтовых вод не менее 2 м от поверхности земли, по согласованию с местными органами здравоохранения. По мере заполнения ямы каждый слой обрабатывают кашицей гашеной извести. Как только яма заполнится до 0,5 м от поверхности земли, ее закапывают.
Металлическую и стеклянную тару обезвреживают щелочными растворами (содой, древесной золой, известью). Тару заливают 5%-ным раствором каустической или стиральной соды и оставляют на 6-12 часов, затем многократно промывают водой. (Груздев Г. С. 1987)
Спецодежду, загрязненную фосфоорганическими и другими пестицидами, обезвреживают в мыльно-содовом растворе в течение 6-8 ч, затем стирают 3 раза по 30 минут мыльно-содовом растворе.
Резиновая обувь, перчатки и фартуки должны обрабатываться кашицей хлорной извести или 3-5%-ным раствором кальцинированной соды и промываться водой.
Меры общественной безопасности призваны предотвратить загрязнение атмосферного воздуха, почвы, водных источников, продуктов питания. Строгое соблюдение правил работы с пестицидами исключает случайный контакт с ними посторонних лиц, обеспечивает охрану пчел, птиц, полезных животных и насекомых. (Груздев Г. С. 1987)
Применение пестицидов не должно сопровождаться поступлением их в атмосферный воздух населенных пунктов в концентрациях, превышающих, превышающих предельно допустимые. Нельзя проводить на открытом воздухе опрыскивание, протравливание семян если скорость ветра превышает 3 м/с. Запрещается мелкокапельное опрыскивание при скорости ветра более 3 м/с, крупнокапельное – более 4 м/с.
Заблаговременно перед началом проведения химических обработок все окрестное население оповещают о местах, сроках и характере обработок, чтобы жители могли принять соответствующие меры безопасности (прекратить выгон домашнего скота, вылет пчел, полевые работы, укрыть колодцы и т. д.). (Груздев Г. С. 1987)
Обработанные участки и зону вокруг них шириной не менее 300 м отмечают предупреждающими надписями и знаками. На полях, сенокосных угодьях и пастбищах, обработанных стойкими пестицидами, запрещается выпас скота на срок, указанный в инструкции по применяемому препарату.
Для охраны пчел при опрыскивании в зоне не менее 5 км от пасек необходимо или вывезти пасеку к другому месту медосбора, или убрать пчелиные семьи в зимовники, или же изолировать их другими способами на срок, установленный для применяемого препарата. Запрещается проводить химические обработки сельскохозяйственных культур в период цветения. В случаях, когда возникает реальная опасность для пчел, следует применять пестициды, менее для них опасные, химическую обработку проводить в поздние вечерние часы, когда пчелы не посещают растения. (Груздев Г. С. 1987)
6. Календарный план защиты культуры от вредных объектов
Таблица 7. План химической защиты сахарной свеклы от свекловичной листовой тли, фомоза и однолетних двудольных сорняков. (Агрорус 2009)
|
№ пп |
Срок обработки |
Вредные организмы |
Применяемые препараты |
Норма расхода |
Способ обработки |
||
|
Календарный |
Фенологический |
Название вида |
Фаза развития |
||||
|
1 |
Май (1 декада) |
Фаза 2-4-х настоящих листьев. |
Марь белая; Подмаренник цепкий. |
Ранние фазы роста. |
Бетарен Экстра, КЭ 42 +42+42 г/л |
4 л/га |
Опрыскивание |
|
2 |
Июнь (2 декада) |
Смыкание листьев в междурядьях. |
Свекловичная листовая тля. |
Бескрылая самка-девственница и самка-расселительница. |
Кемифос, КЭ 570 г/л |
1 л/га |
Опрыскивание. |
|
3 |
Июль (1 декада) |
Смыкание листьев в междурядьях. |
Фомоз. |
Спороношение |
Страйк, КС 250 г/л |
0,25 л/га |
Опрыскивание. |
7. Технологическая карта
Таблица 8. Технологическая карта на работы по применению пестицидов при защите сахарной свеклы от вредных организмов. (Ченкин А. Ф. 1990; Халанский В. М. 2004)
|
Объем работ |
Способ обработки |
Название пестицида, препарат. форма |
Расход пестицида |
Расход воды |
Состав агрегата |
Производительность агрегата |
|||||
|
га, т, м2 |
С учетом кратности обработок |
на 1 га |
всего |
л/га |
на весь объем |
спец. машина |
марка трактора |
за час сменного времени |
за смену |
||
|
1 |
2 |
3 |
4 |
5 |
6 |
7 |
8 |
9 |
10 |
11 |
12 |
|
100 |
100 |
Опрыск. |
Кемифос КЭ |
1 |
100 |
299 |
29900 |
ПОУ |
МТЗ-82 |
6 |
42 |
|
100 |
100 |
Опрыск. |
Страйк КС |
0,25 |
25 |
299,75 |
29975 |
ПОУ |
МТЗ-82 |
6 |
42 |
|
100 |
100 |
Опрыск. |
Бетарен Экстра КЭ |
4 |
400 |
196 |
19600 |
ПОУ |
МТЗ-82 |
6 |
42 |
|
Количество агрегато-дней |
Машина для подвозки воды |
Количество обслуживающего персонала |
Общее количество человеко-дней |
||||||||
|
марка |
Производительность за смену |
Количество машино-смен |
Тракторист, шофер |
Подсобный рабочий |
|||||||
|
13 |
14 |
15 |
16 |
17 |
18 |
19 |
|||||
|
2,4 |
ЗЖВ-1,8 |
15000 |
2 |
2 |
- |
4,4 |
|||||
|
2,4 |
ЗЖВ-1,8 |
15000 |
2 |
2 |
- |
4,4 |
|||||
|
2,4 |
ЗЖВ-1,8 |
15000 |
1,3 |
2 |
- |
3,7 |
Заключение
В данном курсовом проекте был разработан план химической защиты сахарной свеклы от свекловичной листовой тли, фомоза и однолетних двудольных сорняков при наименьшей опасности для человека и окружающей среды. В курсовом проекте был проведен анализ совокупности пестицидов, рекомендованных для защиты сахарной свеклы от изучаемых вредных объектов, и были отобраны препараты, обеспечивающие наиболее качественную защиту сахарной свеклы от вредителей и удовлетворяющие требованиям охраны окружающей среды.
Список литературы
Аманжолов А.А., Агатаев М. Особенности борьбы с церкоспорозом и фомозом семенников сахарной свеклы в Казахской ССР. / Эффективные меры защиты сахарной свеклы от болезней при индустриальной технологии ее возделывания. Под ред. Зубенко В.Ф. Киев: ВНИС, 1985.
Аманжолов А.А. Грибные болезни семенников сахарной свеклы в Казахстане и меры борьбы с ними. Автореф.дисс.канд.с.-х.наук. Алма-Ата: Казахский СХИ, 1980.
Баздырев Г. И. Защита сельскохозяйственных культур от сорных растений. М: КолосС, 2004.
Груздев Г. С. (ред.) Химическая защита растений. М.: Колос, 1987.
Мельников Н. Н., Новожилков К. В., Белан С. Р. Справочник «Пестициды и регуляторы роста растений». М. 1995.
Мигулин А. А. (ред.) Сельскохозяйственная энтомология. М.: Колос, 1983.
Пересыпкин В. Ф. Сельскохозяйственная фитопатология. М.: Агропромиздат, 1989.
Посыпанов Г. С. Растениеводство. М: Колос, 2006.
Список пестицидов и агрохимикатов, разрешенных к применению на территории Российской федерации 2009. М. Агрорус, 2009.
Халанский В. М. Сельскохозяйственные машины. М. КолосС, 2004.
Ченкин А. Ф., Черкасов В. А., Захаренко В. А., Гончаров Н. Р. Справочник агронома по защите растений. М. ВО «Агропромиздат». 1990
http://www.himagro.com.ua/production/sop/index.php?ID=507
http://www.agrocs.ru/list.php?id=257
http://www.ukrsugar.kiev.ua/disaster/?idx=42
http://www.cnshb.ru/AKDiL/0034/base/R3/000690.shtm
http://www.cnshb.ru/AKDiL/0034/base/RF/000436.shtm
http://www.ecosystema.ru/08nature/flowers/121.htm
http://www.agroplus-ryazan.ru/index.php?page=shop.product_details&product_id=104&flypage=flypage-ask.tpl&pop=1&option=com_virtuemart&Itemid=23&vmcchk=1&Itemid=23
http://infopravo.by.ru/fed2003/ch04/akt17929.shtm
http://www.agroex.ru/products/index.php?SECTION_ID=17&ELEMENT_ID=387
http://www.ukrsugar.kiev.ua/disaster/?idx=42