Осушительная мелиорация сельскохозяйственных земель
Московский Государственный Университет Природообустройства
Кафедра мелиорации и рекультивации земель
Курсовая работа:
«Осушительная мелиорация сельскохозяйственных земель»
Выполнила: Маркова А.Н.
студентка 311 гр. ФМО
Проверил: Пчелкин В.В.
Москва 2007
Содержание:
1.Введение
2. Природно-климатические условия объекта. Типы водного питания
3. Установление метода осушения. Схема осушения объекта
4. Расчет расстояний между дренами и закрытыми собирателями
5. Проектирование осушительной сети в плане
6. Проектирование осушительной сети в вертикальной плоскости
7. Гидрологический расчет магистрального канала
8. Гидравлический расчет элементов осушительной сети
9. Расположение дорожной сети в плане и сооружений на осушительной сети
10. Культуртехнические работы и окультуривание осушаемых земель
11. Список использованной литературы
1. Введение
Мелиорация сельскохозяйственных земель - это комплекс технических, организационно-хозяйственных и социально-экономических мероприятий, направленных на коренное изменение компонентов природы для повышения потребительской стоимости этих земель. Цель мелиорации сельскохозяйственных земель заключается в расширенном воспроизводстве плодородия почв, получении оптимального урожая определенных сельскохозяйственных культур при экономном расходовании всех ресурсов, недопущении или компенсации ущерба природным системам и другим землепользователям.
Мелиорация земель осуществляется во всех зонах России в соответствии с природными условиями, характером земель и требованиями возделываемых культур.
2. Природно-климатические условия объекта. Типы водного питания.
Участок осушения расположен в Ивановской области. Климат в области умеренно континентальный, характеризуется умеренно теплым летом (средняя температура июля - плюс 18°С) и умеренно холодной зимой (средняя температура января -12°С).
Годовое количество осадков составляет около 600 мм. Продолжительность вегетационного периода 110-140 дней. Ивановская область расположена в южно-таежной зоне. Распространены дерново-подзолистые, местами заболоченные, в долинах рек аллювиальные почвы.
Из гидрогеологического разреза на рис. 1. видно, что участок заболачивания расположен в пойме реки, грунты хорошо водопроницаемые с коэффициентом фильтрации 0,8 м/сут, которые подстилаются водоупором. Грунтовые воды расположены близко к поверхности земли (0,2-0,5 м). Имеет место поток грунтовых вод со стороны внешнего водосбора, который в несколько раз превосходит заболачиваемую территорию. Из анализа природных данных рассматриваемого массива можно сделать вывод, что имеет место грунтовый тип водного питания: подтип - приток грунтовых вод с водосбора.
3. Установление метода осушения. Схема осушения объекта
По типу водного питания и планируемому использованию осушаемых земель, определяем метод осушения, который является принципом воздействия на факторы переувлажнения корнеобитаемого слоя почвы. Далее устанавливаем способ осушения, то есть способ сбора и отвода избыточных поверхностных и подземных вод осушаемых земель. Это сочетание технических средств и агротехнических приемов для осушения земель.
Тип водного питания – грунтовый;
Метод осушения – основной: понижение уровней грунтовых вод (ускорение внутреннего стока), дополнительный: перехват потока грунтовых вод, со стороны внешнего водосбора;
Способ осушения - открытые осушители: закрытый горизонтальный дренаж, ловчие каналы.
Определив методы и способы осушения, на плане объекта масштаба 1:10000 намечаем принципиальную схему осушения и определяем расположение проводящей сети.
В схему осушительной сети включены:
Регулирующая осушительная сеть, которая регулирует водновоздушный и другие режимы почвы в соответствии с требованиями сельскохозяйственных культур и сельскохозяйственного производства путем отвода избыточных вод;
Проводящая сеть, которая принимает воду из регулирующей и иногда из оградительной сети и отводит ее в водоприемник;
Оградительная сеть, перехватывающая полностью или регулирующая поступление поверхностных или грунтовых вод на осушаемую территорию с прилегающих водосборов, и рек;
Водоприемник, который принимает и отводит воду со всей осушаемой территории, из всей впадающей в него сети;
Дорожная сеть, обеспечивающая эксплуатационное обслуживание осушительной сети и сооружений на ней и нормальное хозяйственное функционирование осушительной системы.
4. Расчет расстояний между дренами и закрытыми собирателями
Одним из основных параметров регулирующей сети, является расстояние между дренами (закрытыми собирателями).
Исходные данные: К>1>=0,4 м/сут; К>2>=0,1 м/сут; h>1>=0,3 м; h>2>=0,8 м; а=0,7 м; е=0,001 м/сут.
,

где: K>1> - коэффициент фильтрации горизонта, м/сут;
K>2> – тоже подпахотного горизонта, м/сут;
h>1> и h>2> – слой почвы пахотного и подпахотного горизонтов;
e – интенсивность испарения из пахотного слоя, м/сут;
q>2> – интенсивность поступления воды в закрытый собиратель из подпахотного слоя, м/сут;
q>1>=4∙K>1>∙h>1>/B2=4∙0,4∙0,3/102=0,0048 м/сут
q>2>=4∙K>2>∙h>2>/B2=4∙0,1∙0,8/102=0,0032 м/сут
Коэффициент водоотдачи для верхнего слоя определяем по формуле:
,
arctgx=arctg0,5=0,46

Сравниваем рассчитанный срок
отвода влаги из пахотного слоя с
допустимым значением, равным [T]
2
сут. Следовательно, при В=10м закрытые
собиратели обеспечивают своевременный
отвод воды из пахотного слоя.
5. Проектирование осушительной сети в плане
Проводящая сеть
Проектирование осушительной сети в плане необходимо начинать с трассирования магистрального канала, который рекомендуется проводить по самым низким отметкам осушаемого объекта, или по тальвегу поверхности.
На болотах трасса канала должна проходить по тальвегам минерального дна. На расположение магистрального канала в плане оказывает влияние конфигурация осушаемой территории. Протяженность магистральных каналов должна быть минимальной по возможности, прямолинейной с наименьшим количеством пересечений дорог, подземных коммуникаций, линий электропередач и. т. п. Повороты в плане следует делать не более чем на 60°, то есть внутренний угол должен быть равен или больше 120. Сопряжение проводящих каналов низших порядков с принимающими каналами должна быть под углом от 60 до 90°, с закруглением устья. Длина магистрального канала обычно не ограничивается. Она определяется уклоном местности и формой участка.
Длина транспортирующих собирателей, как правило, не превышает 1,5-2,0 км.
Расположение коллекторов в горизонтальной плоскости определяется принятой схемой расположения закрытой регулирующей сети. При поперечной схеме коллектор проходит по наибольшему уклону поверхности, а при продольной - под углом к горизонталям поверхности с обеспечением его минимального уклона.
Коллекторы следует проектировать, по возможности, с меньшим количеством поворотов и по кратчайшему пути до канала высшего порядка.
Для предотвращения размыва траншейной засыпки коллекторов их трассы необходимо смещать от оси тальвега. Регулирующая сеть сопрягается непосредственно с коллектором, если диаметр его не превышает 200 мм. В противном случае должен быть устроен вспомогательный коллектор.
Соединение закрытых коллекторов с открытыми каналами осуществляется с помощью устьевых сооружений. При повороте коллекторов в плане и вертикальной плоскости устраиваются смотровые колодцы.
Длина коллекторов при малых уклонах местности ограничивается допустимой разницей глубин коллектора в истоке и устье не более 0,5 м и минимально допустимым уклоном 0,001...0,002 следовательно, предельная длина коллектора в этом случае будет 250...500 м. Поэтому, в таких случаях исходят из условия двухстороннего впадения закрытых коллекторов в открытые каналы.
Длина закрытых коллекторов назначается с учетом уклона поверхности земли по трассе коллектора и конфигурации осушаемой территории (табл.1).
Таблица 1.
Длина закрытого коллектора в зависимости от уклона местности по трассе коллектора
|
Уклон поверхности земли |
0 |
До 0,001 |
До 0,002 |
До 0,003 |
Более 0,003 |
|
Максимальная длина закрытого коллектора, м |
250-500 |
500-600 |
600-700 |
700-800 |
800-1200 |
Регулирующая сеть
Типы регулирующей сети в зависимости от типа водного питания и метода осушения даны в таблице 5.
Закрытые собиратели проектируются только по поперечной схеме. Систематический дренаж проектируется как по поперечной, так и по продольной схеме, в зависимости от уклона местности.
Максимальная длина дрен не должна превышать 200 м(250 м). Дрены вводят в закрытые коллекторы с одной или с двух сторон в зависимости от рельефа местности.
Данные, которыми необходимо руководствоваться при проектировании элементов регулирующей сети в плане, сведены в таблицу 2. Существуют две схемы расположения регулирующей сети в плане - продольная и поперечная.
Таблица 2.
Нормативы требования по проектированию регулирующей сети
|
Элементы осушительной сети |
Минимальный допустимый уклон дна |
Уклон местности в направлении трассы элемента |
Длина элемента, м |
|
Закрытые дрены |
0,003 |
Без уклона До 0,0005 До 0,001 До 0,0015 До 0,002 До 0,003 >0,003 |
50-100 100-120 120-140 140-160 160-180 180-200 До 250 |
|
Закрытые собиратели |
0,003 |
То же |
То же |
Для более эффективной работы осушительной сети расположение ее приурочивают к наиболее пониженным элементам рельефа местности. На землях с грунтовым типом водного питания проектируем дренаж из гончарных труб диаметром 50 мм, при атмосферном - закрытые собиратели.
Ограждающая сеть
К ограждающей сети относятся: нагорные, ловчие и нагорно-ловчие каналы. Они проектируются вдоль границ осушаемой территории.
Нагорными каналами ограждается осушаемая территория от притока только поверхностных вод, притекающих с внешнего водосбора. Для перехвата потока грунтовых вод с прилегающего водосбора проектируются ловчие каналы (дрены). Если площадь водосбора залесена и сложена легкими грунтами, функции нагорных и ловчих каналов могут быть совмещены.
Нагорные каналы, как правило, располагаются по границе осушаемого объекта и прилегающего водосбора, по верхней части склона.
Ловчие каналы располагаются в зоне выклинивания грунтовых вод в виде родников. Практически для речных долин это будет линия перехода коренного берега к пойме. Сопряжение в плане каналов ограждающей сети с принимающими каналами следует выполнять под углом от 60 до 90 .
Глубина нагорного канала должна быть не более 1... 1,2 м, причем грунт выемки следует размещать только на низовой стороне. Поперечное сечение нагорного канала выполняют трапецеидальной формы с несимметричным профилем.
Глубина ловчего канала устанавливается в пределах 1,5...2,0 м, но с обязательным условием заглубления в подстилающие, хорошо водопроницаемые грунты не менее чем на 0,3...0,5 м. Минимальный уклон каналов ограждающей сети равен 0,0005.
6. Проектирование осушительной сети в вертикальной плоскости
Вертикальное сопряжение элементов осушительной сети - один из важнейших этапов проектирования. Вертикальное сопряжение обеспечивает в расчетные периоды бесподпорную работу всей сети от регулирующей до водоприемника включительно. Проектирование осушительной сети в вертикальной плоскости осуществляется путем построения продольных профилей.
Построение продольных профилей осуществляется по всем открытым каналам и коллекторам, и выборочно по отдельным дренам, закрытым собирателям.
В курсовом проекте, выполнены продольные профили, по одному, для каждого элемента осушительной сети. Причем эти элементы увязаны на плане в цепочку.
Для определения минимальной глубины магистрального канала на ПК-0, исходя из условий вертикального сопряжения, рассчитывают наихудших случай сопряжения всех элементов осушительной сети, которые увязаны на плане в цепочку. Наихудшим будет вариант с условиями:
самый удаленный от ПК-0 магистрального канала элемент;
с наименьшими уклонами поверхности земли;
имеющий наибольшую суммарную длину элементов осушительной сети в цепочке, начиная от истока дрены и кончая ПК-0 МК.
Для построения продольных профилей, а также для расчета наихудшего варианта приводим диапазон допустимых уклонов дна элементов осушительной сети (табл.3).
Таблица 3.
Диапазон допустимых уклонов дна элементов осушительной сети
|
Элементы осушительной сети |
Диапазон допустимых уклонов дна |
|
Магистральный канал |
0,002-0,0003 |
|
Транспортирующий собиратель |
0,002-0,0005 |
|
Нагорные, ловчие каналы, коллекторы |
0,002-0,0005 |
|
Дрены, закрытые собиратели |
0,03-0,003 |
Выбрав цепочку элементов осушительной сети для наихудшего варианта, проводим расчет:
Определяем отметку дна дрены:
1-1,1=
1
1’
= 445-1,1 = 443,9 м
Определяем уклон поверхности земли по трассе дрены:
iд = (
1-
2)/lд
= (445-443)/200 = 0,01
т.к. уклон поверхности земли больше допустимого значения, то принимаем уклон дна дрены максимально допустимый 0,03 и определяем ∆h>1>:
∆h>1> = iд · lд = 0,03 x 200 = 6 м
Принимаем запас 0,1 м и определяем
отметку
2’:
2’
=
1’
- ∆h1 – 0,1 = 443,9-6-0,1=437,8м
Далее аналогичным образом для коллектора:
iк = (
2
-
3)/lk
= (443-437)/2450 = 0,0025 м
Уклон поверхности земли в пределах допустимого значения, определяем ∆h>2>:
∆h>2> = iк · lk = 0,0025 · 2450 = 6,13 м
Принимаем запас 0,2 м и определяем
отметку
3’:
3’
=
2’ - ∆h>2> – 0,2
=437,8-6,13-0,2=431,5м
Аналогично для магистрального канала:
iмк = (
3
-
4)/lмк
= (437-436,9)/3950 = 0,00003
Принимаем уклон дна МК 0,0003 и определяем ∆h>3>:
Определим ∆h>3>:
∆h>3> = iмк · l>мк> = 0,0003 · 3950 = 1,19 м
Примем запас 0,2 м и определяем
4’
4’
=
3’
- ∆h>3>– 0,2 =
431,5-1,19-0,2=430,11м
Определяем глубину магистрального канала:
Нмк>пк-0>=
4
-
4’
= 436,9-430,11=6,8м
7. Гидрологический расчет магистрального канала
Гидрологический расчет состоит в определении расчетных расходов проводящей осушительной сети. Расчет проводят на следующие расчетные расходы, относящиеся к критическим периодам поверхностного стока: весенний паводковый, летне-осенний паводковый, предпосевной и меженный (бытовой). Расчетные расходы определяем по зональным эмпирическим формулам.
Выбор расчетного расхода зависит от выращиваемых сельскохозяйственных культур. При наличии в севообороте озимых зерновых культур определяем расходы весеннего и летне-осеннего паводков, и выбирают из них наибольший, который и принимают за расчетный. При отсутствии в севообороте озимых зерновых культур определяют предпосевной расход и летне-осеннего паводка и в качестве расчетного выбирают из них наибольший.
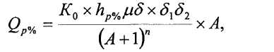
Исходные данные: А=15,84 км2; h=100мм; A>1>=38%;А>б>=5%; Iр=0,3‰; i>B>=5‰; H>1%>= 100мм.
Весенний паводковый расход.
Весенний паводковый расход при равнинных водосборах определяем по следующей зависимости:

где: К>о> - параметр, характеризующий дружность весеннего половодья, определяемый по дынным рек-аналогов, К>0>=0,006;
hp% - расчетный слой суммарного весеннего стока, половодья той же вероятности превышения Р%, что и искомый максимальный расход воды определяемый по формуле hp% = h · K · 1,25 = 100 · 1,47 · 1,25 = 184 мм
h – средний многолетний слой стока по карте изолиний для Тверской области 100 мм
1,25 – поправочный коэффициент, для рек с водосбором менее 50 км2
µ - коэффициент, учитывающий неравенство статистических параметров слоя стока и максимального расхода воды µ = 0,93
δ - коэффициент, учитывающий влияние озер, водохранилищ δ = 0,9
δ>1> - коэффициент, учитывающий снижение максимального расхода воды в залесенных бассейнах
δ>1> = α>1>/(А+1)n2 = 1/(38+1)0,22 = 0,446
α>1> – при данной залесенности водосбора (А>л>=38%) равен 1
n>2> – коэффициент редукции, для грунтов различного механического состава n>2> = 0,22
δ2 - коэффициент, учитывающий снижение максимального расхода воды в заболоченных бассейнах
δ2 = 1 – βlg(0,1 · A>б> + 1) = 1 – 0,8lg(0,1 · 5 + 1) = 0,86
Площадь водосбора А>1>=1км2 и параметр n находим по СНиП, для лесной зоны: n=0,17
м3/с
Предпосевной расход.
Расчетный модуль предпосевного стока определяем по зависимости П. А. Дудкина:
Qnn = K · Qmax
где К = 1,64/Т0,34 - 0,4 – холмистый рельеф;
Т - допустимая продолжительность затопления земель водами в зависимости от возделываемых культур; Т=5 сут.
К = 1,64/50,34 – 0,4 = 0,55;
Qnn = 0,55 · 3,4=1,87 м3/с
Максимальный расход летне-осеннего паводка.
Максимальный расход летне-осеннего паводка для водосборов площадью менее 50 км2 определяем по формуле:
Qp% = q1% · φ · H1% · λ · A
Максимальный модуль стока ежегодной вероятности превышения Р=1%, выраженный долях при =1, для равнинной области определяется по формуле:
Ф>р> = 1000L/(χp · Ipχ · A0,25(φ·H2%)1/4)
Ф>р>=1000·3,95/(11·0,31/3·15,840,25(0,063·100)1/4)=170,6
Ip – уклон МК;
L – длина русла, км;
χp – гидравлический параметр русла;
А – площадь водосбора;
H1% - максимальный суточный слой осадков вероятности превышения Р=1%
φ – сборный коэффициент стока
φ = с>2> · φ>0>/(A+1)nc · (iв/50)n5
φ=1,2·0,28/(15,84+1)0,07·(5/50)0,65=0,063
с>2> – эмпирический коэффициент для лесной зоны равен 1,2;
iв – средний уклон водосбора;
φ>0> – сборный коэффициент для водосбора для данных почв φ0 = 0,28 n5= 0,65 nc = 0,07
По приложению 21: q=0,014, тогда λ=0,52(табл.4,приложение 20)
λ – переходной коэффициент расхода воды, вероятностью P=1% к расходам другой обеспеченности.
Qp% = 0,014 · 0,063 · 100 · 0,9· 0,52 · 15,84 = 0,65 м3/с
Бытовой расход.
Принимаем модуль бытового расхода q>быт> = 0,05 л/с га;
Qбыт = q>быт> · A = 0,05/1000 · 1584 = 0,079=0,08м3/с
Результаты гидрологических расчетов (м3/с)
|
№ створа |
Площадь водосбора, км2 |
Q>расч>, м3/с |
Qmax, м3/с |
Qnn, м3/с |
Qл.о.п, м3/с |
Qбыт, м3/с |
|
1 ПК-0 |
15,84 |
1,87 |
3,4 |
1,87 |
0,65 |
0,08 |
8. Гидравлический расчет элементов осушительной сети
Проводящие каналы должны удовлетворять следующим требованиям:
-иметь достаточную глубину для бесподпорного приема воды из ограждающей и регулирующей сети и отвода ее в водоприемник;
-иметь необходимую устойчивость сечения;
-обеспечить возможность выполнения строительства современными механизмами и нормальной эксплуатации.
Устойчивость поперечного сечения канала зависит от его размеров и грунтов, в которых он пролегает.
В результате гидравлического расчета должны быть обеспечены:
-пропуск предпосевного расхода с запасом от бровки канала не менее 0,5 м;
-пропуск расходов весеннего и летне-осеннего паводков с запасом от бровки не менее 0.2 м;
-пропуск бытового расхода по условиям вертикального сопряжения;
-допустимые скорости на размыв, заиление (зарастание).
Гидравлический расчет магистрального канала.
Для гидравлического расчета магистрального канала пользуемся формулами равномерного движения воды в открытых руслах. Расчеты выполняем методом И.М. Агроскина с использованием справочников П.Г. Киселева, А.В. Андриевской, а также по линейке В.Ф. Пояркова.
Результаты гидравлического расчета магистрального канала
|
Створы |
Q>р>, м3/с |
Qбыт., м3/с |
m |
n |
I |
b,м |
h>р>, м |
h>быт>, м |
Upaзм, м/с |
Uзаил, м/с |
|
1 ПК-0 |
1,87 |
0,08 |
2 |
0,03 |
0,0003 |
0,8 |
0,67 |
0,16 |
0,25 |
0, |
Для расчета скорости течения воды в канале используем формулу Шези:
U
с - коэффициент Шези; с = 1/n R1/6 (n - коэффициент шероховатости);
R = ω/χ - гидравлический радиус;
ω - площадь живого сечения; ω = bh+mh2 (b - ширина канала по дну);
h - глубина канала;
m - коэффициент заложения откосов);
χ - cмоченный периметр

b=0,8 м
h>p>=0,67
h>быт>=0,16 м
ω>р>=0,8∙0,67+2∙0,672=1,43 м2
χ>р>=0,8+2∙0,67
=3,8
м
R>р>=
м
С>р>=
U>разм>=28,37
=0,19
м/с
ω>быт>=0,8·0,16+2·0,162=0,19 м2
R>быт>=0,19/3,8=0,05 м
С>быт>=0,8/0,03·0,051/6=42,1
U>заил>=42,1
=0,16
м/с
Т.к. U>разм>=0,19 м/с < U>доп>=1 м/с в курсовом проекте не предусматриваем крепление дна и откосов канала.
Гидравлический расчет коллектора
Гидравлический расчет коллектора состоит в определении диаметров гончарных труб и скоростей течения в них.
Расчет коллектора проводим по формуле:
Qк = qk max · Fk
Qк – расход коллектора в данном сечении, л/с
qk max – максимальный модуль дренажного стока, л/с · га
Fk – площадь водосбора коллектора, га
Fk = (210+210)∙1200 = 504000 м2 = 50,4 га
Модуль стока примем 0,6 л/с · га
Qк = 0,6 x 50,4=30,24 л/с
Зная уклон коллектора равный 0,003 и расход равный 30,24 л/с можно подобрать диаметр трубы, который составил 250 мм. Так как водосборная площадь меняется по длине коллектора, изменяется и его расход. Поэтому укладывать трубы диаметром 250 мм по всей его длине невыгодно. Подбор диаметров труб для других участков ведем с помощью графика.
9. Расположение дорожной сети в плане и сооружений на осушительной сети
В курсовом проекте следует запроектировать эксплуатационные и полевые дороги. При размещении дорог в плане необходимо выполнять следующие требования:
проектировать дороги всех типов следует вдоль границ объекта осушения, полей севооборотов, рек-водоприемников, вдоль осушительных каналов всех порядков;
надо стремиться к минимальному числу пересечений дорог с водотоками и каналами;
не следует располагать дороги на глубоких торфяниках и отводить под дороги ценные угодья.
Сооружения на осушительной сети обеспечивают нормальную работу при осушении в вегетационный период. На системе предусматривается устройство гидротехнических сооружений.
На плане и продольных профилях условными знаками показываются:
а) устьевые сооружения;
б) смотровые колодцы;
в) мосты и трубчатые переезды;
г) крепление каналов.
По плану определяется длина запроектированных дорог по видам, и количество сооружений.
10. Культуртехнические работы и окультуривание осушаемых земель
Культуртехнические мероприятия являются важной составной частью комплекса работ по освоению мелиорируемых земель. Необходимым условием при проведении культуртехнических работ является максимальное сохранение гумусового горизонта почвы.
Удаление древесно-кустарниковой растительности корчевателями-собирателями необходимо проводить раздельным способом, сущность которого заключается в том, что выкорчеванную массу не сгребают сразу в валы и кучи, а перемещают на расстояние 10... 15 м от места корчевки. После просыхания почвы выкорчеванную массу сгребают в кучи, перетряхивают и сжигают. Работу проводят корчевателями-собирателями Д-210Г, Д-513,Д-695идр.
Сгребание выкорчеванного кустарника и мелколесья проводят кустарниковыми граблями различных марок. В процессе сгребания оставшийся на корнях грунт частично осыпается.
Сжигание выкорчеванного кустарника и мелколесья лучше проводить не в валах, а в кучах, так как в них образуется сильный очаг горения. Древесину диаметром более 12 см предварительно спиливают и используют на нужды хозяйства.
Первичную обработку вновь осваиваемых земель проводят кустарниково-болотными плугами различных марок (ПКБ 75, ПВН-75 и др.). Вспашку с оборотом пласта проводят в сочетании с дискованием и прикатыванием, предъявляя к ней следующие требования: соответствие глубины вспышки мощности гумусового слоя, хороший оборот пласта, глубокая заделка травянистой и древесно-кустарниковой растительности, достаточное крошение пласта.
После дискования или фрезерования проводят выравнивание и прикатывание почвы.
Первичная обработка почвы и посев предварительных культур. Работы состоят из следующих операций: первичная обработка почвы, известкование; внесение заправочных доз удобрений; посев предварительных культур на севооборотных участках и залужение на луговых участках.
Дозы внесения извести, вид, и дозы удобрений устанавливают на основе данных химических анализов почвы пахотного горизонта. Первичными культурами на участках, проектируемых под севообороты, принимают овес и викоовсяную смесь. На землях предназначенных под залужение, под покров овса высевают травосмеси.
Список использованной литературы:
Методические указания по изучению и выполнению курсового проекта по мелиорации сельскохозяйственных земель: М, 2006, Пчелкин В.В.
1