Обеспечение безопасности при работе с пестицидами
МИНИСТЕРСТВО СЕЛЬСКОГО ХОЗЯЙСТВА РОССИЙСКОЙ ФЕДЕРАЦИИ
ФЕДЕРАЛЬНОЕ ГОСУДАРСТВЕННОЕ ОБРАЗОВАТЕЛЬНОЕ УЧРЕЖДЕНИЕ
ВЫСШЕГО ПРОФЕССИОНАЛЬНОГО ОБРАЗОВАНИЯ
ОРЛОВСКИЙ ГОСУДАРСТВЕННЫЙ АГРАРНЫЙ УНИВЕРСИТЕТ
Факультет Агротехники и Энергообеспечения
Курсовая работа
По дисциплине «Безопасность труда в растениеводстве»
Тема: «Обеспечение безопасности при работе с пестицидами»
Орел 2010 г.
Введение
Питание - это основа жизни любого живого организма, в том числе и растений. Обеднение земель в процессе эксплуатации человеком или естественных процессов было и остается весомой проблемой сельского хозяйства. Вредители каждый год ставят под угрозу урожай. Для преодоления этих проблем человек научился синтезировать и производить различные химические вещества. С точки зрения практического растениеводства важнейшим средством улучшения питания сельскохозяйственных культур является, прежде всего, применение органических и минеральных удобрений. Для борьбы с вредителями используются различные виды пестицидов.
Однако не стоит недооценивать влияние этих веществ на круговорот веществ в природе. Как и всё, что втягивается в этот оборот, сельскохозяйственные химикаты оказывают как положительный, так и пагубный эффект на состояние окружающей среды и при неразумном использовании могут даже нарушить экологический баланс отдельных регионов.
Пестициды являются единственным загрязнителем, который сознательно вносится человеком в окружающую среду. Пестициды поражают различные компоненты природных экосистем: уменьшают биологическую продуктивность фитоценозов, видовое разнообразие животного мира, снижают численность полезных насекомых и птиц, а в конечном итоге представляют опасность и для самого человека. Даже в ничтожных концентрациях пестициды подавляют иммунную систему организма, повышая его чувствительность к инфекционным заболеваниям.
Главной целью курсовой работы стоит выявление безопасных способов, методов и приёмов работы с пестицидами.
1. Характеристика предприятия
ООО «Отрадаагроинвест» самое молодое, поступательно развивающееся сельскохозяйственное предприятие, входящее в группу компаний «Разгуляй». В сентябре 2005 года по инициативе Губернатора Орловской области Егора Семеновича Строева и Президента Группы «Разгуляй» Игоря Владимировича Потапенко было подписано соглашение о создании ООО «Отрадаагроинвест» с общей площадью пашни 32,5 тыс. га на базе бывших четырнадцати хозяйств Мценского района. Свою производственную деятельность начали с марта 2006 года. Основная задача обеспечение собственным сырьем ЗАО «Сахарный комбинат «Отрадинский».В структуре севооборота хозяйства озимая и яровая пшеница, сахарная свекла. На всех культурах активно внедряются инновационные технологии, широко используются современные средства химической защиты растений. Высокая эффективность химических обработок достигается за счет выбора оптимального времени обработки и выполнения всех работ в сжатые сроки. Все это позволяет рационально использовать ХСЗР, как в части снижения себестоимости, так и в отношении экологической безопасности производимой продукции и защиты окружающей среды. Посев зерновых культур производится семенами высоких репродукций, а сахарной свеклы исключительно гибридными семенами. Минеральные удобрения вносятся в соответствии с потребностями культур. В распоряжении специалистов агрогруппы весь перечень современных тракторов и сельскохозяйственной техники, позволяющей применять интенсивные технологии при выращивании любой культуры севооборота. Последние приобретения хозяйства – это свеклоуборочные комбайны «Holmer TerraDos», погрузчик «Ropa euro-Maus», тракторы «John Deere», зерноуборочные комбайны «NewHolland CS-6090», сеялки «Kverneland Monopill S». Не забывают в хозяйстве и про отечественную конкурентоспособную технику. Так, в почвообработке незаменимы дискаторы БДМ и культиваторы КППШ-6, увеличение парка которых производится ежегодно. Для освоения новой техники и современных технологий нужны высококвалифицированные кадры. Предприятие повышает квалификацию своих рабочих и специалистов, проводя семинары и курсы по подготовке и переподготовке: от специализированных по профессии до курсов по этикету и культуре речи. ООО «Отрадаагроинвест» по итогам работы за 2007 год получило диплом I степени «Лучшее свеклосеющее хозяйство России 2007 года». При проведении итогов работы ЗАО «Сахарная компания «Разгуляй» за 2007 год Агроинвест признан победителем в номинации «За лучшие финансовые показатели агропредприятия» и победителем в номинации «За достижение высокой урожайности сахарной свеклы». Также награждены почетной грамотой Администрации Мценского района « За высокие показатели в производстве сахарной свеклы в 2007 году». Дополнительным направлением деятельности агропредприятия является зерновое производство. Площадь посева под зерновыми в 2010 году составляет 17 131 гектаров, а сахарной свеклы – 8 700 гектаров. Работа в поле ведется круглые сутки, с пересменой, заправкой ГСМ, техническим обслуживанием – непосредственно в поле. Применяются все энергосберегающие технологии. На всех тракторах, участвующих в севе, обработке средствами защиты растений, внесении минеральных удобрений установлены GPS (Системы точного вождения). Специалисты отраслевых направлений агрономы, инженера – выпускники высших учебных заведений.
В коллективе ООО «Отрадаагроинвест» работает 210 человек на площади 33,99 тыс. гектаров. Среднемесячная заработная плата за 2009 год составила 16 270 руб.
1.1 Анализ производственной деятельности
Таблица 1 - Виды и объём деятельности
|
Посевные площади |
Единица измерения |
2007 год |
2008 год |
2009 год |
2010 год |
|
Всего |
га |
5753 |
17268 |
27111 |
28959 |
|
В т.ч.: сахарная свекла |
га |
505 |
7000 |
8525 |
8700 |
|
Озимая пшеница |
га |
2196 |
5625 |
11418 |
17131 |
|
Яровой ячмень |
га |
3052 |
4643 |
7000 |
- |
|
Яровая пшеница |
га |
- |
- |
- |
168 |
|
Соя |
га |
- |
- |
- |
2960 |
|
Урожайность: |
Единица измерения |
2007 год |
2008 год |
2009 год |
|
|
Сахарная свекла |
ц/га |
33,5 |
33,6 |
38,01 |
|
|
Зерновые |
ц/га |
19,7 |
25,05 |
40,73 |
Посевные площади в 2010 году по сравнению с 2007 годом увеличились практически в пять раз, в планах на 2011 год посевные площади могут составить 50 тыс.га.
Построен комплекс по приёмки, подработки и сушки зерна. Принимает комплекс до 200 000 тонн, подработка и сушка до 50 000 тонн.
1.2 Характеристика Мценского района
Мценский район расположен на северо-западе Орловской области и занимает площадь свыше 1,7 тыс. км². Граничит с районами Орловской области: Болховским, Орловским, Залегощенским, Новосильским, Корсаковским, на севере с Чернским районом Тульской области.
Почвы хозяйства обладают достаточно высокими показателями почвенного плодородия. Почвенный покров хозяйства довольно разнообразен. Наибольшее распространение получили: темно серые лесные почвы, серые лесные. Такой состав почв благоприятен для выращивания большинства сельскохозяйственных культур.
Климат территории Мценского района умеренно-континентальный с умеренно-морозной зимой и теплым, иногда жарким летом. В соответствии со СНиП 23-01-99 «Строительная климатология» район расположен в зоне IIВ. Район характеризуется умеренными зимними температурами (от -4 до – 14°C) и умеренными летними температурами (от +12 до + 21°C). Продолжительность зимнего периода составляет 5 месяцев. При вторжении арктического воздуха температура воздуха может падать до – 40°C. Устойчивые морозы держатся до 3 месяцев с декабря по март. Снежный покров устойчив с декабря по март и достигает 26 см на открытом месте. Неблагоприятным климатическим явлением в зимнее время года являются метели, число дней с метелями в общей сложности достигает 40. Лето довольно продолжительное и теплое, длится более 4-х месяцев. Продолжительность безморозного периода составляет 144 дня в период с начала мая по конец сентября. Неблагоприятным климатическим явлением в теплое время года являются засухи, сопровождаемые суховеями в сочетании с большой скоростью движения ветра. За год на территории Мценского района выпадает 546 мм, причем на зимний период приходится 178 мм, а на летний 366 мм. Влажность воздуха в холодное время года составляет в среднем 86 %, а в летний 71 %.Характер рассеивания и перенос примесей существенно зависит не только от направления, но и от скорости ветра. При этом скорость ветра по-разному влияет на рассеивание примесей, поступающих в атмосферу от различных типов источников выбросов. В зимние месяцы преобладают ветры южные и юго-восточного направления, в летние – северо-западные. Средние месячные скорости ветра невелики и достигают 4–4,4 м/с. В среднем в год отмечается 39 дней с сильным ветром, скорость которого превышает 15 м/с.
Подземные воды на территории района приурочены к четвертичным отложениям и коренным породам. В четвертичной толще они содержатся в аллювиальных отложениях, приуроченных к пойменным и надпойменным террасам рек. Глубина залегания этих вод от 0,5-2 м на пойме и до 11-16 м в пределах надпойменных террас. Удельный дебит составляет 0,01-0,16 л/сек. Из-за незначительной водообильности, ограниченного распространения и возможности загрязнения сточными водами подземные воды четвертичных отложений практического значения для централизованного водоснабжения в районе не имеют. Суглинки, залегающие с поверхности до глубины 10 м, являются практически безводными и лишь в песках, встречающихся в толще суглинков в виде линз, бывают воды типа «верховодки». Воды коренных пород приурочены к верхнедевонским отложениям – это кудерявско-лебедянский и елецкий водоносные горизонты. Минеральные воды добываются скважинами в санатории «Дубрава». Отбираются минеральные воды в малых объемах, до 15 % по сравнению с возможными запасами. Отбор подземных вод для хозяйственно-питьевого водоснабжения обеспечен разведанными запасами, но существуют проблемы с их охраной от загрязнения производственно-бытовыми стоками, поверхностными водами с низкой степенью очистки производственных стоков промышленных и сельскохозяйственных предприятий, из-за нарушения границ санитарной охраны вокруг одиночных скважин и водозаборов и по ряду других причин.
2. Литературный обзор
Пестициды - химические вещества, используемые для борьбы с вредными организмами. Пестициды объединяют следующие группы таких веществ: гербициды, уничтожающие сорняки, инсектициды, уничтожающие насекомых-вредителей, фунгициды, уничтожающие патогенные грибы, зооциды, уничтожающие вредных теплокровных животных и т. д. Большая часть пестицидов - это яды, отравляющие организмы-мишени, но к ним относят также стерилизаторы (вещества, вызывающие бесплодие) и ингибиторы роста.
Пестициды относятся к ингибиторам (отравителям) ферментов (биологических катализаторов). Под действием пестицидов часть биологических реакций перестаёт протекать и это позволяет: бороться с болезнями (антибиотики), дольше хранить пищу (консерванты), уничтожать насекомых (инсектициды), уничтожать сорняки (гербициды).
Пестициды применяются главным образом в сельском хозяйстве, хотя их используют также для защиты запасов продовольствия, древесины и других природных продуктов. Во многих странах с помощью пестицидов ведётся химическая борьба с вредителями лесов, а также переносчиками заболеваний человека и домашних животных (например, с малярийными комарами). [1]
Работы, связанные с применением минеральных удобрений и пестицидов, должны проводиться в соответствии с существующими регламентами и технологиями по ГОСТ 12.3.041-86 «ССБТ. Применение пестицидов для защиты растений. Требования безопасности».
Минеральные удобрения и пестициды применяются после предварительного обследования посевов и установления целесообразности их использования. Способы применения препаратов, кратность обработок, ассортимент культур должны строго соответствовать регламентам препаратов, разрешённым для использования в сельском хозяйстве. Наиболее широкое применение получили протравливание, опыливание, фумигация растений, и помещений, разбрасывание протравленных приманок, опрыскивание и внесение препаратов в почву, причём обработка жидкими препаратами всё больше вытесняет опрыскивание.
Используемые в аграрном производстве химические вещества могут не только угрожать здоровью людей работающих с ними, но и самым негативным образом сказаться на состоянии окружающей среды, а значит опосредованно вовлечь в порочный кругооборот многих других людей, сельскохозяйственных животных, обитателей дикой природы, словом, нанести всему живому очень серьёзный и долговременный вред.
Не допускается использование в сельскохозяйственном производстве пестицидов и минеральных удобрений, не разрешённых к применению.
При использовании пестицидов и минеральных удобрений поступление их в атмосферный воздух, почву и воду не должно превышать соответствующие предельные гигиенические нормативы. Не допускается хранение химических веществ под открытым небом и навесами, в сырых помещениях, а также без присмотра. Для предупреждения вредного воздействия пестицидов должна быть обеспечена безопасность при их транспортировке, приготовлении рабочих растворов, доставке к месту использования, обработке почвы и растений, проведении других операций.
Чтобы предупредить отравления, выбирают такие методы, машины и аппараты, которые будут обеспечивать максимально благоприятные условия для работников. Но предупреждать следует не только отравления, но и незначительное отрицательное влияние ядохимикатов на организм человека и животных.
На рабочих местах должны быть аптечки. Снабжение их во время использования пестицидов осуществляется организациями, ответственными за проведение работ.
Растворный узел оборудуют средствами механизированного приготовления и подачи раствора пестицидов теплицы и автоматического поддерживания заданной концентрации. Техническое состояние растворного узла должно соответствовать требованиям безопасности. Магистральные трубопроводы для подачи растворов пестицидов в теплицы должно быть стационарным, располагаться в соединительном коридоре и по центральным проходам, а на вводе в теплицу оборудуются манометрами и вентиляторами. Вся аппаратура узла, в том числе система подачи и слива растворов, систематически проверяются и регулируются, её ремонт возможен только после полного обезвреживания.
Приготовление растворов должно производится в мешалках, рассчитанных на работу в агрессивных средах. Они загружаются в мешалку через герметичную камеру, установленную на мешалке. Мешалка для приготовления растворов и растарочное устройство пестицидов должны размещаться в отдельном помещении, оснащённых вентиляцией.[2]
В условиях недостаточной оснащенности предприятий АПК высокими технологиями и современным оборудованием комплексным методом защиты от воздействия вредных и опасных производственных факторов на предприятиях АПК являются средства индивидуальной защиты. Обеспеченность средствами индивидуальной защиты от воздействия токсичных веществ – не более 41 %. За время эксплуатации защитные свойства СИЗ снижаются на 47% от механических воздействий; 8,5% - химических факторов; 44,5% - из комплексного воздействия.
Работникам растениеводства при работе с пестицидами рекомендуется применять средства защиты органов дыхания (респираторы, противогазы), полимерные перчатки и обувь, а так же специальную одежду с защитными накладками.
Диффузия жидких форм пестицидов через поверхность плёнки полимера зависит от времени взаимодействия, толщины изделия, химических свойств контактирующих веществ.
Безопасность человека достигается применением средств индивидуальной защиты, которые характеризуются суммой показателей по защитным свойствам, необходимой конструкцией и комплектностью, надёжностью (соответствие срокам эксплуатации), качеством изготовления (уровнем достижения физико-механических характеристик).
Средства индивидуальной защиты разрабатываются в соответствии с требованиями ГОСТ 15.004-88, который предполагает проведение испытаний изделий. В процессе испытаний оценивается конструкция, материалы, защитные показатели и другие свойства изделий. Некоторые показатели первоначально определяют в лабораторных условиях – физико-механические и защитные свойства материалов, что позволяет отрабатывать опытные варианты СИЗ.
Физико-механические показатели оцениваются по изменению разрушающего усилия тканей – по ГОСТ 3813-72, нетканых материалов – ГОСТ 15902.3-79, искусственных кож – ГОСТ 17316-71, резин - ГОСТ 9.030-74, жёстких тканей и нетканых материалов – ГОСТ 10550-93, искусственных кож – ГОСТ 8977-74.
При подборе средств защиты для работ с пестицидами оценку их защитной эффективности следует проводить по конкретной препаративной форме токсичного вещества.
Текстильные материалы даже с использованием пропиток на основе перфторированных латексов не обеспечивает защиту от жидких форм пестицидов, но увеличивается время удерживания при концентрации до 5% на смесовых тканях более чем в 100 раз со снижением проницаемости в 2-5 раз против хлопколавсановых тканей, равной 0,8 мг/м²с.
Проницаемость перчаток из дисперсии бутилкаучука БЛ-1М, имеющая разброс в течение первого часа от 0 для гетерофоса любой концентрации до 0,005 мг/м²с для 40% к.э. дурсбана на единице поверхности, позволяет рекомендовать их в качестве СИЗ.
Дезактивация (отстирываемость) смесовых тканей от загрязнений токсичными веществами достигает 98%; обработка тканей препаратами ЛФ-МД и ГА-МА повышает уровень их дезактивации против пропитки ЛФМ.
При уровнях загрязнения производственной среды 120 мг/м³ концентрации вредных веществ в подмасочном пространстве не превышает 0,2 мг/м³ и определяется чистотой воздуха, подаваемого в зону дыхания.
Результаты исследований позволяют рекомендовать к использованию при работе с токсичными веществами (пестицидами):
спецодежду из текстильных материалов только для ограниченной защиты от капельного загрязнения сроком до трёх часов и восстановлением специальных пропиток после 6-10 стирок;
на любых работах специальную обувь, изготовленную из обувных резин 974 и 612, содержащих каучук СКС-30 АРКП;
полимерные перчатки, поверхности которых приданы гидрофобные свойства для уменьшения взаимодействия с токсичным веществом;
при концентрации вредных веществ до 10 ПДК респираторы РПГ-67 и РУ-60М; свыше 10 ПДК – изолирующие средства индивидуальной защиты (пневмомаска ЛИЗ-5, мневмошлемы АПШ, ПШ-М, ЛИЗ-4, ПШС; пневмокуртки ПК-1; пневмокостюм ЛГ-5) в комплекте с аппаратами принудительной подачи воздуха в зону дыхания, которые не снижают работоспособность человека и производительность труда. [3]
Пестициды являются единственным загрязнителем, который сознательно вносится человеком в окружающую среду. Применение пестицидов позволяет получать стабильные урожаи и ограничивать распространение инфекций, передаваемых животными-переносчиками, например, малярии и сыпного тифа. Однако непродуманное использование пестицидов имеет и негативные последствия. Пестициды поражают различные компоненты природных экосистем: уменьшают биологическую продуктивность фитоценозов, видовое разнообразие животного мира, снижают численность полезных насекомых и птиц, а в конечном итоге представляют опасность и для самого человека.
Длительное хранение пестицидов на неприспособленных складах и в разрушенной таре приводит к сильному загрязнению окружающей среды: почвы, водных питьевых источников (даже артезианских вод), в целом агроландшафтов. Оно ведет к появлению устойчивых к ним видов организмов, особенно среди насекомых; губит хищников (естественных врагов вредителей) и других полезных животных. Последнее вызывает резкое увеличение устойчивости к пестицидам возбудителей опасных болезней растений. Например, сейчас уже 110 видов наиболее опасных фитопатогенных грибов стали высокоустойчивыми к 50 наиболее распространенным фунгицидам. А ведь грибные болезни вызывают 80% потерь урожая сельскохозяйственных культур.
Особую опасность представляют хранящиеся стойкие органические загрязнители: хлорорганические соединения, ртутьорганические протравители, а также обладающие высокой токсичностью фосфорорганические и медьсодержащие пестициды, нитросоединения.
Пестициды распространяются на большие пространства, весьма удаленные от мест их применения. Многие из них могут сохраняться в почвах достаточно долго (период полураспада ДДТ в воде оценивается в 10 лет, а для диэлдрина он превышает 20 лет). При использовании даже наименее летучих компонентов более 50% активных веществ в момент воздействия переходят прямо в атмосферу, а для таких пестицидов, как ДДТ и диэлдрин, характерна дистилляция с парами воды на земной поверхности. Эта часть пестицидов, не достигших растений, подхватывается ветром и осаждается в районах суши или океана, весьма удаленных от зон применения вещества. Они в конечном итоге попадают в различные экосистемы, включая океан, пресноводные водоемы, наземные биомы и др., в значительных количествах накапливаются в почвах и увеличивают свои концентрации при движении по трофическим цепям.
Среди эффективных средств охраны окружающей среды нельзя не назвать севообороты для борьбы с вредителями и болезнями растений. Последовательная смена сельскохозяйственных культур предотвращает накопление специфических для той или иной культуры паразитических организмов. Однако интенсификация земледелия предполагает значительное насыщение севооборота основной культурой, вплоть до перехода в отдельных случаях к монокультурам. В таких условиях применение пестицидов становится неотъемлемой частью агротехники.
Появление новых форм вредителей и патогенных микробов, устойчивых к соответствующим пестицидам, ставит перед наукой и производством трудную задачу постоянной смены этих пестицидов. Еще более ситуация осложняется при переходе к монокультуре, когда из года в год на одной и той же площади применяют одни и те же ядохимикаты, что резко ускоряет образование устойчивых форм.
Предотвращение накопления пестицидов в почве и водоемах возможно только при достаточной интенсивности микробиологических процессов, их инактивации и разрушения. При длительном применении и накапливании одного и того же органического пестицида в почве избирательно концентрируется микрофлора, способная утилизировать его. Если же ядохимикаты постоянно менять, этот процесс затрудняется. Таким образом, возникает известное противоречие: с одной стороны, быстрая смена препаратов препятствует возникновению устойчивых форм паразитов, с другой - она же мешает накоплению в почве специфической микрофлоры, способной разрушать конкретный ядохимикат. [4]
По моему мнению для снижения нежелательных побочных эффектов применения пестицидов необходимо:
1) Ограничить применение препаратов. Разработать интегрированные системы защиты растений, базирующиеся в первую очередь на устойчивом сорте, что дополняется целой системой мер, включающих агротехнические и другие нехимические методы и только наряду с ними - химические. При этом удастся значительно сократить число химических обработок.
Необходимо ограничить применение химических препаратов в профилактических целях, рассматривая их главным образом как средства ликвидации намечающихся вспышек инфекции или массового размножения вредителей.
2) Синтезировать нестойкие, быстро разрушающиеся пестициды, а также специализированные соединения узкого спектра действия, поражающие только вредные организмы.
Важно обеспечить сельскохозяйственное производство такими пестицидами, которые обладали бы узконаправленным спектром действия и не накапливались во внешней среде. Их применение должно быть органической частью общей системы защиты растений, включающей устойчивый сорт, соответствующую агротехнику.
Ведущими принципами рационального использования пестицидов должны быть: строгий учет экологической обстановки на сельскохозяйственных угодьях, точное знание критериев, при какой численности вредных и полезных организмов целесообразно проведение химической борьбы. Химические приемы следует сочетать с агротехническими, селекционными, организационно-хозяйственными.
3. Безопасность жизнедеятельности в условиях анализируемого процесса
В коллективе ООО «Отрадаагроинвест» работает 210 человек. В соответствии со статьёй 217 Трудового кодекса РФ, работодатели обязаны создавать на предприятии с численностью работников более 50 человек службу охраны труда. Но на предприятии ООО «Отрадаагроинвест» это условие не выполняется, так как обязанность инженера по охране труда возложена на агронома. В соответствии с межотраслевыми нормативами, утверждёнными Постановлением Министерства труда и социального развития от 22 января 2001 года № 10 численность работников службы охраны труда, при условии, что списочная численность работников предприятия составляет 210 человек должно составлять 1 человек. Поэтому необходимо утвердить на должность специалиста в области безопасности технологических процессов и производств. Требования к квалификации и должностные обязанности инженера по охране труда установлены в Квалификационном справочнике должностей руководителей, специалистов и других служащих, утвержденном Постановлением Минтруда России от 21.08.1998 N 37. Если организация решит взять на работу специалиста (инженера) по охране труда, она должна ввести эту должность в штатный список.
На предприятии должны иметься Инструкции по охране труда для всех видов работ. Так, для рабочих, выполняющих работы с пестицидами должна быть инструкция, которая разрабатывается на основе Инструкции по охране труда для рабочих, выполняющих работы с минеральными удобрениями и пестицидами (ТИ Р М 013-2000), в ней необходимо учитывать конкретные условия производства.
Так же на предприятии было установлено нарушение по отношению к работнику склада с пестицидами. На складе по хранению пестицидов работает женщина в возрасте 55 лет. В данном случае нарушается Трудовой кодекс РФ и п.3 Санитарных правил по хранению, транспортировке и применению пестицидов (ядохимикатов) в сельском хозяйстве, в котором сказано, что к работе с пестицидами не допускаются женщины с 50 летнего возраста. Необходимо принять меры по данному нарушению и с учётом вышеупомянутых правил утвердить на работу другое лицо.
На все виды работ, связанные с пестицидами, работники должны допускаться по наряду-допуску.
Склад с пестицидами на предприятии ООО «Отрадаагроинвест» расположен в 50 км от административного здания. На складе не были выявлены нарушения при хранении пестицидов, количество пестицидов не превышает тоннаж, предусмотренный проектом здания. Складское помещение построено и оборудовано в соответствии со СНиП II-108-78 «Склады сухих минеральных удобрений, химических средств защиты растений». Так как на территории Мценского района грунтовые воды залегают на глубину 1 – 1,5 км, то это препятствует проникновению ядовитых элементов в подземные воды. Поверхностные воды: реки, пруды, водохранилища расположены в 10 км от складского помещения с пестицидами, а по СНиП II-108-78 разрешённое расстояние от склада до поверхностных вод составляет 100 м.
На предприятии ООО «Отрадаагроинвест» не было обнаружено разгерметизации упаковок, тары с пестицидами. Препараты отпускаются со склада в заводской упаковке в количествах, соответствующих планам работ на один день.
Прием, хранение, учет и выдачу пестицидов осуществляет заведующий складом, который должен знать их класс опасности, пожароопасные и взрывоопасные свойства, назначение, правила обращения и меры первой помощи в случаях отравлений.
Все работы с пестицидами должны быть максимально механизированы. Если какой-либо процесс происходит при непосредственном контакте человека, то он должен быть обеспечен средствами индивидуальной защиты (перчатки, респиратор, очки, сапоги, комбинезон).
Приготовление рабочих растворов пестицидов, их дробление, смешивание, разлив в агрегаты производятся на складе. На предприятии ООО «Отрадаагроинвест» отсутствуют дробилки и тукосмесительные машины, поэтому эти работы производятся вручную на бетонированной площадке. К местам обработки растворы пестицидов должны доставляются в специальных емкостях. Заправка и загрузка аппаратов должна исключать пролив или рассыпание пестицидов.
Перед началом химической обработки население оповещается о предстоящем применении пестицидов, месте, сроке и характере их применения и мерах которые надо принять для безопасности (не выпасать скот, не выпускать пчел, не вести полевые работы и др.)
Для проведения опрыскивания на предприятии используется следующие сельскохозяйственные машины:
Штанговый опрыскиватель ОП-2000-2 с трактором МТЗ-80, приготовление раствора осуществляется АПЖ-12 + МТЗ-80, подвоз рабочего раствора осуществляется заправочной тележкой типа ЗЖВ-1,8 в агрегате с трактором МТЗ-80.
Обработке полевых культур и многолетних насаждений наземной опрыскивающей аппаратурой производится при скорости ветра до 3 м/с. Опрыскивание проводят в утренние часы после схода росы (с 7 до 10 ч) или вечером до выпадения росы (с 19 до 22 ч). При внесении пестицидов с помощью ранцевой опрыскивающей аппаратуры работники не должны находиться относительно друг друга с подветренной стороны, с целью исключения попадания их в зону опрыскивания.
Трактористы снабжаются индивидуальными средствами защиты для защиты организма от попадания пестицидов через органы дыхания, кожу и слизистые оболочки. В качестве таких средств используют: спецодежду, спецобувь, респираторы, противогазы, защитные очки, перчатки, рукавицы. Необходимо использовать респиратор универсальный РУ-60М, в ряде случаев используют респиратор против газа РПГ-67 с соответствующими патронами (А, Г, В, КД).
Продолжительность рабочего дня не должна превышать 6 часов, при контакте с сильнодействующими пестицидами не более 4 часов.
По окончании рабочего дня неиспользованные пестициды должны сдаваться на склад, о чем производится запись в книге приема и выдачи пестицидов с указанием количества.
Тара из-под препаратов возвращается на склад пестицидов. Пришедшая в негодность тара уничтожается. Неиспользованные пестициды должны быть захоронены в специальных могильниках. После чего, при помощи реагентов должны разложиться на безопасные химические соединения. При производстве пестицидов завод изготовитель должен учитывать возможность утилизации своего товара. Из отечественных предприятий лидером в производстве и продаже пестицидов является ЗАО «Август» (ОАО «Вурнарский завод смесевых препаратов»), которое ежегодно выпускает свыше 50 наименований препаратов. Следует отметить также Кирово-Чепецкую химическую компанию, «Агрорус-Рязань» (завод препаративных форм), «САХО Химпром».
Защитные средства по окончании каждой рабочей смены подлежат очистке. Снимают их в следующей последовательности: не снимая с рук, вымыть резиновые перчатки в обезвреживающем растворе (3 - 5% раствор кальцинированной соды, известковое молоко); промыть их в воде; снять сапоги, комбинезон, защитные очки и респиратор; снова промыть перчатки в обеззараживающем растворе и воде и снять их. Резиновые лицевые части и наружную поверхность противогазовых коробок и респираторных патронов обезвреживают мыльно - содовым раствором (25г мыла + 5г кальцинированной соды на 1л воды) или 1% раствором ДИАС с помощью щетки, затем прополаскивают в чистой воде и высушивают. Лицевые части противогаза и респиратора дезинфицируют ватным тампоном, смоченным в 0,5% растворе перманганата калия или в спирте. Спецодежду ежедневно после работы необходимо очищать от пыли при помощи пылесоса. Освобожденную от пыли спецодежду вывешивают для проветривания и просушки под навесом или на открытом воздухе на 8 - 12 часов. Кроме механического удаления пестицидов со спецодежды, последняя должна подвергаться периодической стирке и обеззараживанию по мере ее загрязнения, но не реже чем через 6 рабочих смен.
Таблица 2 - Технологическая схема внесения пестицидов
|
Технологическая операция |
Сроки выполнения |
Агротребования |
Состав агрегата |
|
1 |
2 |
3 |
4 |
|
Отпуск со склада |
Непосредственно перед началом работ |
Недопущение пролива, просыпания. Выполняет работник по наряду-допуску. Применение СИЗ. |
Вручную |
|
Загрузка |
Перед началом работ |
Выполнение операции механизировано. Контролирующие процесс должны быть обеспечены СИЗ |
АПЖ-12 |
|
Транспортировка на поле |
Перед началом работ |
Выполняет механизатор. Использование СИЗ. |
ЗЖВ-1,8 |
|
Внесение пестицидов |
середина-конец мая |
Выполняет механизатор. Используются СИЗ. Знание безопасных приёмов и методов работы |
ОП-2000-2 +МТЗ-80 |
3.1 Анализ условий труда и мероприятия по улучшению условий труда
Условия труда - совокупность факторов производственной среды и трудового процесса, оказывающих влияние на работоспособность и здоровье работника.
В зависимости от количественной характеристики и продолжительности действия отдельные вредные производственные факторы могут стать опасными.
Опасный производственный фактор – фактор среды и трудового процесса, который может быть причиной травмы, острого заболевания, внезапного ухудшения здоровья или смерти.
В ходе анализа производственной деятельности предприятия ООО «Отрадаагроинвест» были выявлены следующие нарушения:
Допуск к работе с пестицидами работника склада женского пола в возрасте 55 лет, что не соответствует Трудовому кодексу РФ и Санитарным правилам;
Возложение обязанностей по охране труда на агронома, что противоречит ст. 217 ТК РФ, т.к списочная численность работников предприятия составляет 210 человек.
В связи с нарушениями руководителю предприятия необходимо предпринять меры по замещению работника склада, но при этом нужно учесть, что к работе с пестицидами не допускаются подростки, не достигшие 18 лет, а также мужчины старше 55 лет и женщины с 50 лет. Необходимо снять с агронома обязанности инженера по охране труда и возложить их на специально обученное лицо.
В растеневодческом комплексе легкие работы – операторские работы; работы средней тяжести – все процессы, проводимые на технике, а при увеличении времени работы на технике эти работы переходят в тяжелые.
На предприятии ООО «Отрадаагроинвест» аттестация рабочих мест по условиям труда не проводилась. Поэтому сказать о значениях шума, пыли и вибрации не предоставляется возможным, поэтому необходимо провести аттестацию рабочих мест по условиям труда для того, чтобы выявить опасные и вредные места производства, чтобы в дальнейшем принять меры и провести мероприятия по их устранению, либо снижению влияния на работников.
3.2 Требования к средствам индивидуальной защиты
диффузия пестициды растениеводство
Для защиты организма от поступления пестицидов через дыхательные пути используют: противогазовые респираторы (РПГ-67) с соответствующими патронам, универсальные респираторы (РУ-60М), промышленным противогазы со сменными коробками, противопылевые респираторы (Ф-62Ш, У-2К, «Лепесток», «Астра-2»).
При работе с ртутноорганическими препаратами применяют противогазовый патрон «Г», для фосфорорганических, хлорорганических и других веществ – противогазовый патрон марки «А». При фумигации помещений такими высокоядовитыми веществами, как препарат 242, дихлорэтан, бромистый метил, необходимо применять промышленные противогазы с коробками коричневого цвета. Ежедневно после работы респираторы и противогазы подлежат очистке.
Загрязненные резиновые лицевые части и гафрированные трубки моют в обеззараживающем растворе (25 г мыла и 5 г соды на 1 л воды) или растворе ДИАС (100 г ДИАС на 10 литров воды) с последующим обязательным промыванием теплой или холодной водой и сушкой при комнатной температуре. После этого лицевые части и трубки дезинфицируют спиртом или 0,5% раствором перманганата калия, затем снова промывают и сушат.
Для защиты рук при работе с жидкими формами пестицидов применяют резиновые перчатки (арт. 374), при работе с пылевидными ядохимикатами – рукавицы хлопчатобумажные с пленочным покрытием и кислозащитной пропиткой (КР) или комбинированные рукавицы с текстиновыми наладонниками. В качестве спецобуви при работе с пылевидными ядохимикатами применяют брезентовые бахилы или резиновые сапоги, а при опрыскивании – только резиновые сапоги.
Обеззараживание транспортных средств, аппаратуры, тары, помещений и спецодежды проводятся в соответствии с «Инструкцией по технике безопасности при хранении, транспортировке и применении пестицидов в сельском хозяйстве».
4. Рациональное использование природных ресурсов и охрана окружающей среды
Основной источник поступления пестицидов в воздушную среду - обработка ими сельскохозяйственных культур, семян, лесных угодий, водоемов. Именно переносом по воздуху можно объяснить широкое распространение в окружающей среде стойких веществ, которые могут обнаруживаться на значительном расстоянии от мест их применения.
При мелкодисперсном распылении, особенно при авиаобработках, препараты могут адсорбироваться в воздухе твердыми частицами и переноситься потоками воздуха.
Пестициды попадают в воздушную среду вместе с почвенной пылью при ветровой эрозии, а также при обработке почвы и при уборке урожая. Значительное их количество обнаруживается в атмосферной пыли районов, где практикуется интенсивная химическая обработка. Пестициды могут поступать в воздушную среду и с влажных поверхностей в результате возгонки с водным паром и вследствие испарения с поверхности почвы и растений.
Наиболее высокая концентрация препаратов в воздухе отмечается к середине дня, когда температура его повышается до максимальной. Пестициды удаляются из атмосферы вместе с осадками, в процессе диффузии в пограничном слое воздуха и океана, а также в результате химического разрушения. Наибольшее значение в данном случае имеют химические превращения, при которых получаются менее токсичные продукты, чем исходные пестициды. К таким реакциям в первую очередь должны быть отнесены гидролиз парами воды, окисление кислородом воздуха и озоном, которые в большинстве случаев ускоряются под влиянием света. В этих условиях способны деградировать и стабильные хлорорганические препараты. Наряду с рассеиванием в высшие слои атмосферы фотолиз пестицидов является одним из главных направлений их превращения в ней. В некоторых случаях он происходит очень быстро, почти с полной деструкцией молекулы. На втором месте находятся гидролиз и окисление, имеющие наибольшее значение для различных фосфорорганических соединений. Из атмосферы пестициды и их метаболиты попадают в воду, почву, продолжая циркулировать в окружающей среде.
Вода служит основным средством транспорта пестицидов в окружающей среде. В открытые водоемы они могут попадать со сточными водами предприятий, которые их выпускают, при авиационной и наземной обработках сельскохозяйственных угодий и лесов, с дождевыми и талыми водами, а также при непосредственной обработке открытых водоемов для уничтожения водорослей, моллюсков, переносчиков заболеваний человека и животных, сорных растений. Почвенные и грунтовые воды, внутренние водоемы, реки и Мировой океан при определенных условиях могут стать конечным депо для пестицидов. Вследствие этого возможно загрязнение водоемов в первую очередь стойкими веществами. Влияние пестицидов на обитателей водных систем может проявляться как в прямом токсическом действии (острая или хроническая токсичность), так и косвенно (снижение содержания растворимого в воде кислорода, изменение химического состава воды, уничтожение водных насекомых и т.д.). При переходе пестицидов из воды в другие звенья биологической цепи их содержание увеличивается в сотни и тысячи раз. Будучи поглощенными организмом-фильтратором (например, одним из видов планктонных организмов), стойкие препараты могут откладываться в тканях и затем попадать в организм рыбы. В последующих звеньях пищевой цепи действие веществ, обладающих кумулятивным свойством, усиливается в несколько раз. В основном многие пестициды быстро разрушаются в водной среде, в связи с чем их применение в сельском хозяйстве в борьбе с вредителями, болезнями и сорняками сельскохозяйственных культур не влечет за собой отрицательных последствий.
Пестициды вносят в почву для уничтожения почвообитающих вредителей, нематод, сорняков, возбудителей бактериальных и грибных заболеваний. Попадают они в почву, и после обработки надземных органов растений: смываются выпадающими осадками, сносятся ветром. Пестициды могут поступать в почву в виде их остатков, содержащихся в листьях, корнях и т.д. В почве в зависимости от условий они могут оставаться в неизмененном состоянии и сохранять свою токсичность в течение более или менее продолжительного времени. Продолжительность сохранения пестицидов в почве зависит от их химических и физических свойств, дозы, формы препарата (порошок, жидкость и т.д.), типа почвы, ее влажности, температуры и физических свойств, состава почвенной микрофлоры, видового состава произрастающих растений, особенностей обработки почвы. Необходимо отметить, что во многих случаях тип почвы, особенно ее микрофлоры, определяет в основном продолжительность разложения большинства пестицидов. Даже весьма персистентные вещества под влиянием некоторых микроорганизмов могут быстро разрушаться с полной деструкцией молекулы. Вещества, внесенные в почву в виде гранул, сохраняются в ней более продолжительное время, чем порошковидные или жидкие. Как правило, препараты более стойки в почвах с высоким содержанием органического вещества и илистой фракции. Пестициды и их метаболиты находятся в почве в лабильном состоянии со всеми тремя ее фазами и в связи с этим могут передвигаться по почвенному профилю в горизонтальном и вертикальном направлениях. Этот процесс происходит под действием молекулярной диффузии с капиллярной влагой, нисходящего тока гравитационной воды, корневой системы растений и в результате перемещения при обработке почвы. На более значительные расстояния пестициды передвигаются с током воды, возникающим после дождя или орошения. Скорость и глубина вертикального перемещения зависят от растворимости в воде препарата, особенностей его адсорбции и десорбции, летучести, а также от интенсивности испарения почвенной влаги. При продолжительном дожде или орошении слабоадсорбируемые гидрофильные вещества движутся вниз по профилю почвы вместе с водой. С наступлением сухой погоды при повышенном испарении раствор пестицида по капиллярам поднимается к поверхности почвы. Пестициды видоизменяются или полностью разлагаются в почве в результате физико-химических процессов, микробиологического разложения, поглощения высшими растениями и почвенной фауной. Детоксикация многих пестицидов происходит вследствие адсорбции перегноем и другими коллоидами или образования стойких комплексов. Удаляются препараты из почвы в результате улетучивания, испарения с водяными парами, передвижения за пределы корнеобитаемого слоя, вымывания дождевыми, талыми, оросительными, грунтовыми и почвенными водами. Основной критерий детоксикации пестицидов в почве - скорость и полнота их распада на нетоксичные компоненты. Определяющая роль отдельных процессов в инактивации препаратов зависит не только от их физико-химических свойств, но и от особенностей почвы, климатических и экологических факторов.
Для устранения отрицательного воздействия химических средств защиты растений на окружающую среду важное место отводится рациональному применению пестицидов в интегрированных, или комплексных, системах защиты растений, основой которых является возможно полное использование факторов среды, вызывающих гибель вредных организмов или ограничивающих их жизнедеятельность.
Существует четыре главных направления в повышении безопасности химического метода защиты растений.
Совершенствование ассортимента препаратов с целью уменьшения их токсичности для человека и полезных животных, снижения персистентности, повышения избирательности действия.
Использование оптимальных способов применения пестицидов, таких как предпосевная обработка семян, искореняющие ранневесенние и позднеосенние обработки в саду, ленточные или полосные обработки, использование гранулированных препаратов.
Оптимизация использования пестицидов с учетом экономической целесообразности и необходимости их применения для подавления популяций (с учетом экономического порога вредоносности для каждого вида вредителя в зональном разрезе).
Строжайшая регламентация использования пестицидов в сельском хозяйстве и других отраслях на основе всестороннего изучения их санитарно-гигиенических характеристик и условий обеспечения безопасности при работе.
Высокотоксичные и стойкие в природе соединения заменяются малотоксичными и малостойкими. В целях сохранения полезных насекомых для химической обработки необходимо использовать высокоизбирательные препараты, ядовитые только для определенных вредных объектов и малоопасные для естественных врагов вредителей.
Важный путь повышения избирательности действия препаратов широкого спектра действия - рационализация приемов их применения с учетом экономического порога вредоносности для каждого вида вредителя. Это позволяет сократить площади или кратности химических обработок без ущерба для защищаемой культуры.
Так как на территории Мценского района грунтовые воды залегают на глубину 1 – 1,5 км, то это препятствует проникновению ядовитых элементов в подземные воды. Поверхностные воды: реки, пруды, водохранилища расположены в 10 км от складского помещения с пестицидами, а по СНиП II-108-78 разрешённое расстояние от склада до поверхностных вод составляет 100 м.
На предприятии ООО «Отрадаагроинвест» уделяется достаточное внимание вопросу охраны окружающей среды. Но для уменьшения загрязнения почв я рекомендую использовать менее токсичные препараты и более тщательно следить за нормами внесения пестицидов.
5. Несчастные случаи и профессиональные заболевания в процессе трудовой деятельности в растениеводстве
Несчастный случай (НС) на производстве – это нежелательное событие на производстве, которое привело к смертельному исходу, травме или заболеванию работников при воздействии вредных и опасных производственных факторов.
На предприятии ООО «Отрадаагроинвест» за последние 5 лет случился один несчастный случай на производстве при работе на току в 2009 году.
Для оценки состояния и динамики производственного травматизма наиболее часто используют коэффициенты частоты и тяжести несчастных случаев.
Коэффициент частоты травматизма Кч определяет число несчастных случаев, приходящихся на 1000 среднесписочных работающих за определенный календарный период.
Кч=1000(Т/Р),
где Т - число травм за определенный период; Р - среднесписочное число работающих за тот же период.
Для ООО «Отрадаагроинвест» коэффициент травматизма равен
Кч=1000(Т/Р)=1000(1/210)=4,8
Коэффициент тяжести травматизма Кт характеризует среднюю длительность нетрудоспособности, приходящуюся на один несчастный случай
Кт=Д/Т,
где Д - суммарное число рабочих дней нетрудоспособности по всем травмам за определенный период, исчисляемое по больничным листкам.
Для ООО «Отрадаагроинвест» коэффициент тяжести травматизма равен
Кт=Д/Т=120/1=120
Коэффициент нетрудоспособности:
Кн=1000(Д/Р)
Для ООО «Отрадаагроинвест» коэффициент нетрудоспособности равен
Кн=1000(120/210)=571
Руководство предприятия ООО «Отрадаагроинвест» в связи с несчастным случаем осуществило ряд мер:
- организовало первую помощь пострадавшей Волковой Т.В, доставило её в медицинское учреждение;
- предприняло меры с целью предотвращения воздействия травмирующих факторов на других людей;
- сохранило обстановку на момент происшествия, так отсутствовала угроза жизни и здоровья других лиц.
- приняты меры по организации расследования несчастного случая и оформлению материалов расследования;
- направило в ряд инстанций сообщение о происшествии, в котором подробно изложены на момент происшествия обстоятельства несчастного случая.
Ниже приведена краткая характеристика места и обстоятельств несчастного случая: Краткая характеристика места, где произошёл несчастный случай в 2009 г.
Несчастный случай произошёл на земляной площадке зерносушильного хозяйства, находящегося неподалёку от д. Б. Каменка Мценского района.
Площадка ровная, покрыта снегом, служит для хранения полиэтиленовых рукавов диаметром 1,5 м и длиной 60 м (мешки-бункеры) с зерном. Один из полиэтиленовых рукавов вскрыт, перед ним на лежащем на земле разрезанном полиэтиленовом рукаве установлен сцепленный с трактором зернопогрузчик ЭКСТОР-150 с размещённым в рукаве шнеками. Пострадавшая была обута в тёплые кожаные ботинки, спецобувь для рабочего механизированного тока Типовыми отраслевыми нормами не предусмотрена.
Опасные производственные факторы - движущиеся транспортные средства, подвижные части производственного оборудования.
Обстоятельства несчастного случая.
По заданию начальника зерносушильного хозяйства Филиппова Ф.А. рабочие механизированного тока Леонов А.В., Глотова М.Ю. и Волкова Т.В. вместе с механизатором Сафроновым А.В. 21.12.2009г. производили погрузку зерна из полиэтиленовых рукавов в кузова автомобилей. Погрузка производилась сцепленным с трактором зернопогрузчиком. Согласно технологии, полиэтиленовый рукав разрезался в верхней части, в него вводились шнеки зернопогрузчика, который перемещался вперед трактором и производил выгрузку зерна из рукава в кузов автомобиля. Перемещение зернопогрузчика происходило по полиэтиленовой плёнке рукава, которая оставалась лежать на земле. Рабочие механизированного тока, расположившись по двое с обеих сторон зернопогрузчика, при помощи лопат подбирали под ним просыпавшееся зерно и подбрасывали его шнековую часть зернопогрузчика. В 14 часов 10 минут, подбирая зерно из-под зернопогрузчика, Волкова Т.В. поскользнулась на плёнке и упала на раму зернопогрузчика, травмировавшись при этом. Принятыми мерами пострадавшая была доставлена в МУЗ «Мценская центральная районная больница» с диагнозом: закрытая черепно-мозговая травма, ушиб головного мозга, перелом свода черепа, рваная рана правой половины лица, перелом шейки правого плеча без смещения. Согласно медицинскому заключению от 29.12.2009 данная травма относится к категории тяжёлых.
В ходе расследования было также установлено, что в имеющейся в организации нормативно- технической документации на производство работ по выгрузке и разгрузке зерна из полиэтиленовых рукавов не указаны конкретные требования безопасности при подборке зерна с полиэтиленовой плёнки из-под зернопогрузчика, пострадавшая не была проинструктирована по инструкции № 07-09 по охране труда при подборке зерна на токах вручную.
Несчастный случай на зернотоке был зафиксирован в акте по форме Н-1 (Приложение 1) В журнале регистрации несчастных случаев также было зафиксировано происшедшее, далее работодатель зафиксировал в статистическом отчете по форме N 7-травматизм "Сведения о травматизме на производстве и профессиональных заболеваниях".
По результатам наблюдений, мною было установлено, что решение проблем производственного травматизма на предприятии ООО «Отрадаагроинвест» направлено не на его предупреждение, а на преодоление последствий. Поэтому предлагаю предпринять следующие меры:
- повышение общей культуры производства, механизация и автоматизация процессов, внедрение безопасных или безвредных приемов работы, материалов, машин и механизмов.
- повышение производственной квалификации всех работников.
- обучение всего персонала правилам охраны труда.
- непрерывный контроль за выполнением требований по охране труда.
На предприятии ООО «Отрадаагроинвест»необходимо уделить особое внимание инструктажам на рабочем месте для предотвращения несчастных случаев по неосторожности. Следует уделять большее внимание произошедшим несчастным случаям и принимать меры по устранению недостатков производства для предотвращения подобных ситуаций.
6. Экономическая оценка эффективности улучшения условий труда
Экономическая оценка эффективности улучшения условий и охраны труда в растениеводстве обеспечивается снижением ущерба, связанного с уменьшением или потерей трудоспособности, текучестью кадров, заболеваемостью, травматизмом, при этом повышается производительность труда всех участников производства. Условия труда оказывают большое влияние на экономические показатели работы предприятия.
На пути определения экономической эффективности является разработка критериев оценки элементов условий труда. Оценка осуществляется в балах по шестибальной шкале. Комфортным условиям труда присваивается 1 бал, нормальным – 2 балла, экстремальным – 3 или 4 балла, сверхэкстремальным – 5 или 6 баллов.
1) отпуск со склада пестицидов:
- рабочее место-4;
- продолжительность рабочей смены-3;
- режим труда и отдыха-2;
- интеллектуальные нагрузки-1;
- напряжение зрения-2;
- физические нагрузки-3.
2) загрузка пестицидов:
- рабочее место-4;
- продолжительность рабочей смены-3;
- режим труда и отдыха-2;
- интеллектуальные нагрузки-1;
- напряжение зрения-2;
- физические нагрузки-2.
3)транспортировка на поле
- рабочее место-2;
- продолжительность рабочей смены-3;
- режим труда и отдыха-1;
- интеллектуальные нагрузки-1;
- напряжение зрения-2;
- физические нагрузки-2;
4) внесение пестицидов:
- рабочее место-4;
- продолжительность рабочей смены-2;
- режим труда и отдыха-2;
- интеллектуальные нагрузки-1;
- напряжение зрения-2;
- физические нагрузки-2.
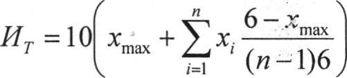
При оценке тяжести труда учитываются те элементы условий труда, которые реально воздействуют на человека на данном рабочем месте. Общая балльная оценка тяжести труда И>т> определяется по формуле:

где Xi - балльная оценка i го элемента условий труда; n - количество учитываемых элементов; Хmах - максимальная из всех балльных оценок.
Для ООО «Отрадаагроинвест» общая бальная оценка труда равна:
Ит=10*(4+53*(6-4/(24-1)*6)=47,7
Таким образом, на предприятии ООО «Отрадаагроинвест» необходимо уделять внимание нормализации условий труда, снижение влияния вредных и опасных производственных факторов, следить за нормальной продолжительностью рабочей смены, обеспечить режимы труда и отдыха
Заключение
Система защитных мероприятий от вредителей, болезней и сорняков - обязательная часть технологии выращивания любой культуры и важнейший резерв повышения урожая. Помимо вреда, причиняемого болезнями в период вегетации, они очень часто вызывают порчу хранящейся продукции. Ежегодные потери от вредителей, болезней и сорняков составляют в среднем 20-30% потенциального урожая. На долю болезней приходится примерно третья их часть, а в годы массового развития болезней - половина и более (например, от ржавчины пшеницы, фитофтороза картофеля, стеблевых гнилей подсолнечника и др.). Химические методы защиты основаны на использовании различных органических и неорганических соединений, токсичных для вредных организмов. Химические средства защиты отличаются большой универсальностью, их можно применять против большинства вредителей, болезней и сорных растений на всех сельскохозяйственных культурах и разных угодьях, а также обрабатывать ими склады, теплицы, элеваторы и другие сооружения.
В настоящее время известно очень большое количество пестицидов, применение которых неблагоприятно сказывается на окружающей среде и на самих работниках, занятых непосредственно на работах с пестицидами. В связи с этим на предприятии необходимо максимально механизировать все процессы с пестицидами, с целью защиты окружающей среды необходимо исключить применение пестицидов для профилактики.
Необходимо провести аттестацию рабочих мест по условиям труда для того, чтобы выявить опасные и вредные места производства, чтобы в дальнейшем принять меры и провести мероприятия по их устранению, либо снижению влияния на работников.
Список литературы
http://ru.wikipedia.org/wiki/Подмосковье 20.01.2010 г.
Лапин А.П. Охрана труда в сельскохозяйственном производстве - Учебное пособие. Орёл, ВНИИОТ. – 352 с.
Гущина Т.Н. Пестициды: как от них защищаться 2005 г. №12, с. 56-58.
http://RuPest.ru
Николайкин Н.И. Экология. 3-е изд., стереотип. / Н.И. Николайкин, Н.Е. Николайкина, О.П. Мелехова. - М.: Дрофа, 2004. - 624 с.
Федоров Л.А. Пестициды – токсический удар по биосфере и человеку//Л.А. Федоров, А.В. Яблоков. – М.: Наука, 1999 – 462 с.