Анализ хозяйственной деятельности (шпоры для госэкзамена)
|
1. Предмет, содержание, задачи и цели экономического анализа. Понятие факторов и резервов, их классификация. Каждая наука имеет свой предмет исследования, который она изучает с соответствующей целью присущими ей методами Философия под предметом любой науки (включая и АХД) понимает какую-то часть или сторону объективной действительности, которая изучается только данной наукой. Один и тот же объект может рассматриваться различными науками. Каждая из них находит в нем специфические стороны или отношения. Предметом той или иной науки следует считать то специфическое, что позволяет отличить ее среди множества других наук. Например, в медицине объектом изучения является человек. Предметом же исследования отдельных медицинских наук служат органы, части человека, их функции и взаимодействия. То же самое наблюдается и в экономике. Хозяйственная деятельность является объектом исследования многих наук: экономической теории, макро- и микроэкономики, управления, организации и планирования производственно-финансовой деятельности, статистики, бухгалтерского учета, экономического анализа и т.д. Экономика изучает воздействие общих, частных и специфических законов на развитие экономических процессов в конкретных условиях отрасли или отдельного предприятия. Статистика исследует количественные стороны массовых экономических явлений и процессов, которые происходят в хозяйственной деятельности. Предметом бухгалтерского учета является кругооборот капитала в процессе хозяйственной деятельности. Он документально отражает все хозяйственные операции, процессы и связанное с ними движение средств предприятия и результаты его деятельности. Все определения предмета АХД, которые наиболее часто встречаются в литературе и которые более-менее соответствуют его сущности, можно сгруппировать следующим образом: а) хозяйственная деятельность предприятий; б) хозяйственные процессы и явления. При более внимательном рассмотрении этих определений можно заметить, что анализ изучает не саму хозяйственную деятельность как технологический, организационный процесс, а экономические результаты хозяйствования как следствия экономических процессов. В целях ограничения объекта исследования в некоторых определениях предмета указывается цель АХД: оценка достигнутых результатов и выявление резервов повышения эффективности деятельности предприятия. Предметом экономического анализа являются причины образования и изменения результатов хозяйственной деятельности. Познание причинно-следственных связей в хозяйственной деятельности предприятий позволяет раскрыть сущность экономических явлений и на этой основе дать правильную оценку достигнутым результатам, выявить резервы повышения эффективности производства, обосновать планы и управленческие решения. Классификация, систематизация, моделирование, измерение причинно-следственных связей является главным методологическим вопросом в АХД. Только раскрыв причинно-следственные связи различных сторон деятельности, можно очень быстро просчитать, как изменятся основные результаты хозяйственной деятельности за счет того или иного фактора, произвести обоснование любого управленческого решения, рассчитать, как изменится сумма прибыли, безубыточный объем продаж, запас финансовой устойчивости, себестоимость единицы продукции при изменении любой производственной ситуации. Таким образом, предметом анализа хозяйственной деятельности являются причинно-следственные связи экономических явлений и процессов. Объектами АХД являются экономические результаты хозяйственной деятельности. Например, на промышленном предприятии к объектам анализа относятся производство и реализация продукции, ее себестоимость, использование материальных, трудовых и финансовых ресурсов, финансовые результаты производства, финансовое состояние предприятия и т.д. В сельском хозяйстве, кроме этих, к объектам анализа относится степень использования земельных ресурсов предприятия (выход продукции на 100 га сельхозугодий, урожайность культур, качество почвы, состав посевных площадей и пр.). Основное отличие предмета от объекта заключается в том, что в предмет входят лишь главные, наиболее существенные с точки зрения данной науки свойства и признаки. Таким существенным признаком АХД является изучение взаимодействия явлений, причинно-следственных связей в хозяйственной деятельности предприятий (объединений). Содержание анализа хозяйственной деятельности как научной дисциплины вытекает прежде всего из тех функций, которые он выполняет в системе других прикладных экономических наук. Одной из таких функций является изучение характера действия экономических законов, установление закономерностей и тенденций экономических явлений и процессов в конкретных условиях предприятия. Например, закон опережающего роста производительности труда в сравнении с уровнем его оплаты должен выполняться не только в масштабах всей национальной экономики, но и на каждом предприятии и его подразделениях. В этой своей функции АХД является средством изучения действия экономических законов в конкретных условиях производства. Важной функцией АХД является научное обоснование текущих, и перспективных, планов. Без глубокого экономического анализа результатов деятельности предприятия за прошлые годы (5-10 лет) и без обоснованных прогнозов на перспективу, без изучения закономерностей развития экономики предприятия, без выявления имевших место недостатков и ошибок нельзя разработать научно обоснованный план, выбрать оптимальный вариант управленческого решения. К функциям анализа относится также контроль за выполнением планов и управленческих, решений, за экономичным использованием ресурсов. Анализ проводится не только с целью констатации фактов и оценки достигнутых результатов, но и с целью выявления недостатков, ошибок и оперативного воздействия на процесс производства. Именно поэтому необходимо повышать оперативность и действенность анализа. Центральная функция анализа, которую он выполняет на предприятии, - поиск резервов повышения эффективности производства на основе изучения передового опыта и достижений науки и практики. Следующая функция анализа - оценка результатов деятельности предприятия по выполнению планов, достигнутому уровню развития экономики, использованию имеющихся возможностей. Это имеет большое значение. Объективная оценка деятельности предприятия поощряет рост производства, повышение его эффективности, и наоборот. И наконец, разработка мероприятий по использованию выявленных резервов в процессе хозяйственной деятельности - также одна из функций АХД. Таким образом, анализ хозяйственной деятельности как наука представляет собой систему специальных знаний, связанных с исследованием тенденций хозяйственного развития, научным обоснованием планов, управленческих решений, контролем за их выполнением, оценкой достигнутых результатов, поиском, измерением и обоснованием величины хозяйственных резервов повышения эффективности производства и разработкой мероприятий по их использованию. Аналитическое исследование, его результаты и их использование в управлении производством должны соответствовать определенным требованиям. Эти требования накладывают свой отпечаток на само аналитическое исследование и должны обязательно выполняться при организации, проведении и практическом использовании результатов анализа. Кратко остановимся на важнейших принципах анализа. Анализ должен базироваться на государственном подходе при оценке экономических явлений, процессов, результатов хозяйствования. Иначе говоря, оценивая определенные проявления экономической жизни, нужно учитывать их соответствие государственной экономической, социальной, экологической, международной политике и законодательству. Анализ должен носить научный характер, т.е. основываться на положениях диалектической теории познания, учитывать требования экономических законов развития производства использовать достижения НТП и передового опыта, новейшие методы экономических исследований. Анализ должен быть комплексным. Комплексность исследования требует охвата всех звеньев и всех сторон деятельности и всестороннего изучения причинных зависимостей в экономике предприятия. Одним из требований к анализу является обеспечение системного подхода, когда каждый изучаемый объект рассматривается как сложная динамическая система, состоящая из ряда элементов, определенным способом связанных между собой и внешней средой. Изучение каждого объекта должно осуществляться с учетом всех внутренних и внешних связей, взаимозависимости и взаимоподчиненности его отдельных элементов. Анализ хозяйственной деятельности должен быть объективным, конкретным, точным. Он должен основываться на достоверной, проверенной информации, реально отражающей объективную действительность, а выводы его должны обосновываться точными аналитическими расчетами. Из этого требования вытекает необходимость постоянного совершенствования организации учета, внутреннего и внешнего аудита, а также методики анализа с целью повышения точности и достоверности его расчетов. Анализ призван быть действенным, активно воздействовать на ход производства и его результаты, своевременно выявляя недостатки, просчеты, упущения в работе и информируя об этом руководство предприятия. Из этого принципа вытекает необходимость практического использования материалов анализа для управления предприятием, для разработки конкретных мероприятий, для обоснования, корректировки и уточнения плановых данных. В противном случае цель анализа не достигается. Анализ должен проводиться по плану, систематически, а не от случая к случаю. Из этого требования вытекает необходимость планирования аналитической работы на предприятиях, распределения обязанностей по ее выполнению между исполнителями и контроля за ее проведением. Анализ должен быть оперативным. Оперативность означает умение быстро и четко проводить анализ, принимать управленческие решения и претворять их в жизнь. 9. Один из принципов анализа - его демократизм. Предполагает участие в проведении анализа широкого круга работников предприятия, что обеспечивает более полное выявление передового опыта и использование имеющихся внутрихозяйственных резервов. |
10. Анализ должен быть эффективным, т.е. затраты на его проведение должны давать многократный эффект. Таким образом, основными принципами анализа являются научность, комплексность, системность, объективность, точность, достоверность, действенность, оперативность, демократизм, эффективность и др. Ими следует руководствоваться, проводя анализ хозяйственной деятельности на любом уровне. Факторы – причины или условия совершения хозяйственных процессов, в результате действия которых происходят положительные или отрицательные изменения в состоянии субъекта экономического анализа и в показателях, отражающих его. Факторы делятся на объективные и субъективные. Объективные – внешние, отражают действия экономических законов. Субъективные – внутренние, связаны непосредственно с конкретной деятельностью человека, целиком и полностью зависят от него. По месту возникновения – внешние (цена на сырье, материалы), внутренние (нормы расхода, произв. труда) По значимости влияния – основные (существенные), второстепенные (случайные). По связи с ресурсами – трудовые (численность, человеко-дни и т.д.), материальные, факторы произв. фондов (осн. произв. фонды и оборотные), финансовые. По связью с эффективностью производства – экстенсивные (количественные), интенсивные (качественные). По направлениям влияния на показатель – положительные (V реализации на прибыль), отрицательные (с/с на прибыль – обратное действие) По длительности действия – постоянные (всегда и везде), временные (стихийные бедствия) По степени детализации – факторы первого порядка (количественные), 2го- качественные По виду связи с изучаемыми показателями – функциональный (жесткая зависимость), вероятностная По связи со сферой деятельности – технико-технологические (уровень автоматизации), организационные (схема управления), социальные (безработица, зп), политические Резервы в ЭА- величины, кот могут быть реал-ны в конкретн период времени при условии устранения отриц. факторов, регул-х пред-м. Класс-ция резервов: по сроку использования – текущие, перспективные; текущие - часть собств. ресурсов пр-я, кот врем-но не включены в пр-во или исп-ся не вполном объеме: - сознательно созданные запасы ресурсов, цель предотвр-е потерь или остановки пр-я - образ-ся самопр-но- в случае нарушения сбалансированности исп-ния произв. рес-в перспективные – резервы, потенц-но имеющ у пр-я, для их мобилизации требуется время или доп кап вложения по характеру обнаружения: явные – прямые потери в пр-ве. Опр-ся по отчетности скрытые - наиб значимая часть резервов, кот выявляются в ходе анализа по месту нахождения: внутренние, внешние по связи с ресурсами: материальные, трудовые, финансовые, фонды по широте охвата: частные – хар-т возможность улучш-ния 1 пок-ля отн-но 1 из действующих в пр-ве ресурсов комплектные - хар-т возможность улуч-я 1 пок-ля за счет улуч-я исп-я совок-ти произ и фин рес-в комплексные - хар-т возможность улуч-я 1 пок-ля за счет улуч-я исп-я сов-ти взаимосвяз по комплексу произв и фин рес-в по стадиям процесса воспроизводства : в сфере пр-ва и в сфере обращения по взаимосвязи со сферой деят-ти и сферой управления: связь с техникой и технологией связь с управлением пр-ва связь с соц проблемами |
|||||||||||||||||||||||||||||||||||||||||||
|
2. Обобщающие показатели эффективности деятельности предприятий, порядок их расчета, область применения Обобщающие показатели результатов хозяйственной деятельности предприятий – это показатели формирования средств и их источников, общего, собственного и заемного капитала, финансового состояния, прибыли, рентабельности продукции и капитала, реализации продукции, анализ качества, ритмичности и ассортимента произведенной продукции. Комплексный анализ финансово-хозяйственной деятельности должен способствовать внедрению инноваций, привлечению инвестиций, режиму экономии, широкому распространению передового опта, улучшению финансового состояния предприятия. Следовательно, этот вид анализа является важным рычагом улучшения использования производственного потенциала. Он основывается на ряде принципов, прежде всего на общегосударственном подходе к оценке формирования показателей финансово-хозяйственной деятельности, к реализации задач по обеспечению основной цели на данном этапе развития народного хозяйства – созданию экономической выгоды для каждого хозяйствующего субъекта независимо от форм собственности. В то же время анализ должен не только констатировать изменения показателей эффективности работы, но и указывать, что необходимо сделать для улучшения использования основного оборотного капитала, выявить недостатки и неиспользованные резервы улучшения финансового состояния и инвестиционной привлекательности. Конкретность проведения анализа состоит в изучении реальных показателей и факторов их изменений по данным отчетности, планов, расчетов, нормативов. В процессе анализа должна быть соблюдена целостность в изучении всех показателей и факторов их изменения, что обусловливает необходимость учета причинно-следственных связей при формировании показателей и объединения отдельных направлений анализа факторов и резервов в единую систему. Полнота и системность – важные принципы проведения комплексного анализа. Системность комплексного экономического анализа проявляется в определенной, логически обоснованной последовательности изучения показателей эффективности текущей, инвестиционной, финансовой и маркетинговой деятельности, факторов ее изменения и резервов дальнейшего повышения, предполагает улучшение факторов и резервов во взаимосвязи и взаимозависимости. При анализе должны обеспечиваться такие условия, как согласованность и одновременность. Согласованность проведения комплексного экономического анализа заключается в том, что его необходимо осуществлять по единым методикам, единой классификации факторов и резервов повышения эффективности финансово-хозяйственной деятельности. Взаимосвязь и взаимообусловленность формирования показателей финансово-хозяйственной деятельности предприятий и объединений определяют последовательность комплексного экономического анализа. В теории и практике анализа хозяйственной деятельности общепринятой считается такая последовательность его проведения, при которой в первую очередь изучаются состав и структура источников средств, финансовое состояние, прибыль, рентабельность продукции, а во вторую – анализируются показатели использования трудовых ресурсов, состояние и использование основного и оборотного капитала, формирование налогов, эффективность инвестиционной, финансовой, маркетинговой и инновационной деятельности. В основу методики комплексного экономического анализа должна быть положена классификация факторов, предусматривающая их разделение на факторы первого и второго порядка. При производстве материальных благ прежде всего происходит соединение средств производства с рабочей силой в определенных организационно-технических условиях, последние в свою очередь, влияют на показатели эффективности использования основного и оборотного капитала, производительность труда. Однако для формирования функционирующего капитала необходимы источники средств, характеризующие во взаимосвязи со средствами финансовое состояние предприятия. При обосновании последовательности проведения анализа необходимо учитывать: для факторов первого порядка – причины изменения показателей эффективности инвестиций, маркетинговой деятельности функционирующего капитала и трудовых ресурсов, для факторов второго порядка – причины изменения обобщающих показателей: фин. состояния, себестоимости, прибыли, рентабельности продукции и капитала, объема производства и реализации продукции. |
4 вопрос Пок-ли эфф-ти использ-я ОПФ фондоотдача
Ф/О = V / ОПФ фондоемкость
Ф/Е = ОПФ / V темп роста Ф/О Ф/О = Ф/О>1> - Ф/О>0> Ф/О %= Ф/О>1> / Ф/О>0> * 100% темп прироста Ф/О У = (Ф/О>1> - Ф/О>0>) / Ф/О>0> = Ф/О / Ф/О>0> Экономия (необх-ть доп вовлечения фондов в хоз деят-ть)
Эопф = ОПФ>1> – ОПФ>0 > * Уv , где Уv = V>1> / V>0> |
|||||||||||||||||||||||||||||||||||||||||||
|
3. Показатели эффективности использования трудовых ресурсов, порядок их расчета и факторы изменения. Трудовые ресурсы – это главные ресурсы в производстве без которых производство невозможно. Состав трудовых ресурсов в промышленности: рабочие, ИТР, служащие, ученики, МОП, Охрана Задачи анализа трудовых ресурсов: опр. структуру по классификации, т.е. средне разрядность Тср = (Рi * Чi) / Чi, где (Рi * Чi) - разрядов * кол-во раб. имеющих эти разряды; Чi - всех работников; проанализировать движение рабочей силы; выполнение плана по численности; измерение и использование рабочего места; опр. относительного отклонения численности от плановой; оценка и анализ использования рабочего времени; анализ коэффициента сменности Использование рабочего времени опр. на основе фонда рабочего времени, т.е. времени отработанного работником за год. Календарный фонд рабочего времени (265) = календарных год – время отпусков и простоя – больничные. Общий фонд рабочего времени = календарный фонд * кол-во работников. Показатели использования рабочего времени: Относительное и абс. отклонение фонда времени; УД каждого из видов потерь рабочего времени в объем фонде рабочего времени Структура рабочего времени: Подготовительно-заключительное время; Оперативное время: основное – изменение предмета труда; вспомогательное – подготовка оборудования для изменения предметов труда. Время обслуживания рабочего места: техническое обслуживание организационное – организация рабочего места Время регламентированных перерывов – это отдых и личные надобности, перерывы по организационным причинам; Время нерегламентированных перерывов Виды норм времени: норма длительности операций (мин.) – это необходимые затраты времени для выполнения ед. работы на 1 станке; норма трудоемкости – это необходимые затраты времени на 1 рабочего (чел/час); норма численности - кол-во работников для выполнения опр. объема работ; норма выработки – объем продукции на 1 раб. в ед. времени; норма обслуживания – кол-во оборудования при обслуживании 1 раб.; норма управляемости – это кол-во подчиненных у руководителя; нормирование задания – это необходимый ассортимент работ для бригады Методы измерения рабочего времени: 1) Аналитический – устанавливаются нормы расходования рабочего времени, на основе анализа конкретного трудового процесса, а также различных режимов работы оборудования и приемов труда рабочих. Хронометраж – анализ приемов труда и длительности трудовых операций; Фотография – при этом устанавливается структура затрат рабочего времени; Фото-хронометраж 2) Суммарный метод Статистический – основан на статистике о фактической работе; Опытный – основа прошлых норм времени. Этапы исследования рабочего времени: Опр. режима работы оборудования и машинного времени; Проектирование трудовых приемов и расчет длительности их выполнения; Опр. норм обслуживания и норм времени; Опр. длительности операций и соответствие их нормам времени ; Сопоставление норм выработки и норм задания Показатели движения рабочей силы: К выбытия = Чвыб / Ч н.г. (начало); К прибытия = Ч прибывших / Ч к.г. (конец) ;Абс. и относительное изменение рабочей силы Чабс. =Ч к.г.– Ч н.г. и Чот = Чабс – Чн.г.* 100; УД каждого вида рабочего на начало и конец года = Чуд = Чгр / Ч н.г…к.г. Производительность труда характеризуется эффективностью общественного труда. Расчет производительности труда (Пт) основывается на расчете объема продукции и рассчитывается по следующим методам: Натуральный Птн = ВП (натурально) / Ч ср. Стоимостной Птw = ВП (стоимостной) / Ч ср. Трудовой Пт = В выработка = ВП / Т, где Т- время на производство всей продукции (чел/час). Самый оптимальный для расчетов натуральный и стоимостной (ВП = Vпрод. * цену изделия). Исходной информацией для анализа явл. отчет промышленного предприятия о выполнении плана по труду. Начинают с проверки выполнения плана по выработке на 1 работника или раб. производственного персонала, а также выполнение норм выработки. Анализ выполнения плана по выработке проводится путем сравнения фактических данных с плановыми. При анализе используются следующие показатели: 1) Средняя производительность труда или выработка Пт ср. = В ср. = ВП (ТП, НП) / Ч ср., где ТП – товарная и НП – нормированная продукция. |
2) Общее число отработанных всеми работниками чел/дней Х = Ч ср. * ФРВфакт (календарный год рабочего времени), где Х – общее число чел/дней (ФВРф). рабочего времени), где Х – общее число чел/дней (ФВРф). 3) Общее число отработанных за год работниками чел/час х = Х * tдн., где tдн. – длительность раб. дня (8час) 4) Среднее число явок на работу в днях Я ср. = Х / Ч ср. 5) длительность рабочего дня tдн. = х / Х 6) Средне выработка ежедневная на 1 работника Пт Х = ВП (ТП, НП) / Х 7) среднечасовая выработка на 1 работника Пт t = ВП (ТП, НП) / х На выполнение плана выпуска продукции влияют: изменение числа рабочих ВП = Ч ср. * Пт пл ср. изменение среднегодовой численности выработки ВП = Пт ср. * Чот ср. Влияние факторов использования рабочего времени: изменение кол-ва дней явок на работу = ВП = Я ср. * Чот ср. * Пт ср. Х>n>> >план изменение продолжительности раб. дня = ВП = t * Xот * Пт ср. t>n>> >отчет изменения средне часовой производительности = ВП = Пт ср. t * хотч Направления развития резервов роста производительности труда: Народнохозяйственные резервы – изменение системы налогов и кредитов и т.п. Отраслевые резервы –перевод предприятия данной отросли на хозрасчет, субсидирование и льготы Внутрипроизводственные резервы роста производительности труда: Улучшение технического уровня производства (70%) внедрение новой техники; внедрение прогрессивных технологий; автоматизация и механизация производственных процессов Совершенствование организации производства труда (10-20%) - основные направления научной организации труда Изменение структуры и объема продукции () освоение новых видов продукции; снятие с производства устаревшей продукции; изменение УД различных видов продукции Отраслевые и прочие факторы () специфичен для отдельных производств |
|||||||||||||||||||||||||||||||||||||||||||
|
5.
Показатели эффективности использования
материальных ресурсов, порядок
исчисления и факторы изменения. Материальные ресурсы - это сырьё и технико-энергетич. ресурсы. Сырьевые топлив-энергетич. ресурсы использ-ся при пр-ве прод-ции и потребляются полностью, в этом их отличие от ОФ. Материальные сырьевые ресурсы переносят свою ст-ть на ст-ть выпущенной прод-ции в теч. 1-го технол. процесса. Виды промышленного сырья: 1)По происхождению: промышл. и с/х. 2)По хар-ру образ-ия: органич., минеральное, химич-ое. 3)По хар-ру труда: первич., вторичное (руда, металл). Сырьё разл.на: 1)Основное- составл. мат.-технич. основу. 2)Вспомог-ое - выполнение не основ ф-цию при пр-ве. Мат.р. делятся на: 1)Производ-ые запасы- это запасы сырья кот. не вступили в производ. проц.. 2)Неоконч.прод.- это прод. кот вступила в проц. пр-ва, но не вышла из него. 3)Расх.буд.периодов- это д. ср-ва кот. уже есть сейчас и расход-ся сейч., но относят-ся на ст-ть будущ. прод-ции. 2. Показатели эффективности использования мат. ресурсов.Анализ использования собственных ОБС проводится по данным раздела Б актива и пассива баланса. Актив - нормируемые ОБС Пассив – кредиты б-ка под нормируемые ТМЦ. Задачи анализа эффективности использования материальных ресурсов, сост. в том, чтобы установить: 1)Все ли мат. необходимы для производства имеются на складе. 2)Достаточность V этих запасов для выпуска запланированного V продукции. 3)Определить эффективность использования потребляемых предметов труда. 4)Ведётся ли на предприятии раб. по внедрению прогрессивных видов мат-ов. На эффективность использования мат. оказывает влияние факторы: 1)Использование местных мат. кот. явл. более дешёвыми. 2)Замена одних мат. другими (при сохранении качества). 3)Снижение норм расхода материалов. Анализ мат.-технич. обеспеч. изучает так же влияние на V ВП, поступление и нормы расхода материалов |
6. Показатели эффективности использования оборотных средств, значение, порядок расчета.Величина собственных ОБС предоставленных пред-ию опр. как = сумма раздела А (пассива) - сумма раздела А (актива) бух. баланса. Пассив – раздел А- статьи: УФ, бюджетное фин-ие, кр. на внедрение нов. техники, прибыль, устойчивые пассивы (это задолженность по з/п и соц. страху, min-ые ост-ки кот. переходят на послед-ий период). Актив- раздела А- статьи: ОФ, отвлеч. ср-ва (взносы в бюджет, НДС и др.), убытки. При анализе необходимо не только рассчитать сумму ОС, но и обнаружить их источник образов., д. этого необходимо произвести расчет целевого назначения этих источников. Источниками собственных ОБС явл.: 1)УФ 2) Бюджетное финансирование ОС 3)Прибыль 4)Устойчивые пассивы. Прирост общей суммы собственных ср-в (разд. А пассива). Прирост ОС - позволяет повысить размер прибыли, что ведёт к увел-ию собственных ОБС После опр. вел. наличия собственных ОБС устанавливается изменения происшедшие со ср-вами за отч. Период, для этого сравниваются величины наличия собственных ОБС на начало и конец отч. периода. Оборачиваемость ОБС хар-ся след. показателями: 1)Скорость оборота ОБС (К оборачиваемости): Коб=Р/СОср, где Р- оборот по реализации, СО- ср. остатки ОБС. 2)Сред. продолжит. оборота или отнош. числа дн. в отч. пер. к числу оборотов ОБС: Дф=Дср/Коб.с. = СО х Дср/Р. 3)Размер высвободившихся ОБС: Вс=Д-До/Д , где Д и До - ср. продолжительность оборота в отч. и баз. периоде. |
|||||||||||||||||||||||||||||||||||||||||||
|
7. Сравнение, детализация, обобщение как элементы общей методики экономического анализа. Под методом науки в широком смысле понимают способ исследования своего предмета. Специфические для различных наук способы подхода к изучению своего предмета (в том числе и АХД) базируются на всеобщем диалектическом методе познания. Материалистическая диалектика исходит из того, что все явления и процессы необходимо рассматривать в постоянном движении, изменении, развитии. Здесь исток одной из характерных, черт метода АХД - необходимость постоянных сравнений. Сравнения очень широко применяются в АХД. Фактические результаты деятельности сравниваются с результатами прошлых лет, достижениями других предприятий, плановыми показателями, среднеотраслевыми и т.д. Материалистическая диалектика учит, что каждый процесс, каждое явление надо рассматривать как единство и борьбу противоположностей. Отсюда вытекает необходимость изучения внутренних противоречий, положительных и отрицательных сторон каждого явления, каждого процесса. Это тоже одна из характерных черт АХД. Например, НТП оказывает положительный результат на рост производительности труда, повышение уровня рентабельности и другие показатели, но при этом надо учитывать и его отрицательные черты, такие, как загрязнение окружающей среды, развитие гиподинамии и др. Использование диалектического метода в анализе означает, что изучение хозяйственной деятельности предприятий должно проводиться с учетом всех взаимосвязей. Ни одно явление не может быть правильно понято, если оно рассматривается изолированно, без связи с другими. Например, изучая влияние внедрения новой техники на уровень себестоимости продукции, надо учитывать не только непосредственную, но и косвенную связь. Известно, что с внедрением новой техники увеличиваются издержки производства, а значит и себестоимость продукции. Но при этом растет производительность труда, что в свою очередь способствует экономии заработной платы и снижению себестоимости продукции. Отсюда следует, что если темпы роста производительности труда будут большими, чем темпы роста издержек на содержание и эксплуатацию новой техники, тогда себестоимость продукции будет снижаться, и наоборот. Значит, чтобы понять и правильно оценить то или другое экономическое явление, необходимо изучить все взаимосвязи и взаимозависимости с другими явлениями. Это одна из методологических черт метода АХД. Важной методологической чертой анализа является и то, что он способен не только устанавливать причинно-следственные связи, но и давать им количественную характеристику, т.е. обеспечивать измерение влияния факторов на результаты деятельности. Это делает анализ точным, а выводы обоснованными. Изучение и измерение причинных связей в анализе можно осуществить методом индукции и дедукции. Способ исследования причинных связей с помощью логической индукции заключается в том, что исследование ведется от частного к общему, от изучения частных фактов к обобщениям, от причин к результатам. Дедукция - это такой способ, когда исследование осуществляется от общих фактов к частным, от результатов к причинам. Индуктивный метод в анализе используется в сочетании и единстве с дедуктивным. Использование диалектического метода в АХД означает, что каждый процесс, каждое экономическое явление надо рассматривать как систему, как совокупность многих элементов, снизанных между собой. Из этого вытекает необходимость системного подхода к изучению объектов анализа, что является еще одной его характерной чертой. Системный подход предусматривает максимальную детализацию изучаемых явлений и процессов на элементы (собственно анализ), их систематизацию и синтез. Детализация (выделение составных частей) тех или других явлений проводится в той степени, которая практически необходима для выяснения наиболее существенного и главного в изучаемом объекте. Она зависит от объекта и цели анализа. Это сложная задача в АХД, которая требует от аналитика конкретных знаний сущности экономических показателей, а также факторов и причин, определяющих их развитие. Систематизация элементов проводится на основе изучения их взаимосвязи, взаимодействия, взаимозависимости и соподчиненности. Это позволяет построить приблизительную модель изучаемого объекта (системы), определить его главные компоненты, функции, соподчиненность элементов системы, раскрыть логико-методологическую схему анализа, которая соответствует внутренним связям изучаемых показателей. После изучения отдельных сторон экономики предприятия, их взаимосвязи, подчиненности и зависимости надо обобщить весь материал исследования. Обобщение (синтез) является очень ответственным моментом в анализе. При обобщении результатов анализа необходимо из всего множества изучаемых факторов отделить типичные от случайных, выделить главные и решающие, от которых зависят результаты деятельности. Важной методологической чертой АХД, которая вытекает непосредственно из предыдущей, является разработка и использование системы показателей, необходимой для комплексного, системного исследования причинно-следственных связей экономических явлений и процессов в хозяйственной деятельности предприятия. Таким образом, метод АХД представляет системное, комплексное изучение, измерение и обобщение влияния факторов на результаты деятельности предприятия путем обработки специальными приемами системы показателей плана, учета, отчетности и других источников информации с целью повышения эффективности производства. |
8. Факторное моделирование Взаимосвязь экономических явлений. Представление о факторном анализе. Типы факторного анализа, его основные задачи. Все явления и процессы хозяйственной деятельности предприятий находятся во взаимосвязи, и взаимозависимости и обусловленности Одни из них непосредственно связаны между собой, другие -косвенно. Каждое явление можно рассматривать как причину и как следствие. Каждый результативный показатель зависит от многочисленных и разнообразных факторов. Чем детальнее исследуется влияние факторов на величину результативного показателя, тем точнее результаты анализа и оценка качества работы предприятий. Отсюда важным методологическим вопросом в анализе хозяйственной деятельности является изучение и измерение влияния факторов на величину исследуемых экономических показателей. Без глубокого и всестороннего изучения факторов нельзя сделать обоснованные выводы о результатах деятельности, выявить резервы производства, обосновать планы и управленческие решения. Под факторным анализом понимается методика комплексного и системного изучения и измерения воздействия факторов на величину результативных показателей. Различают следующие типы факторного анализа: детерминированный и стохастический; прямой и обратный; одноступенчатый и многоступенчатый; статический и динамичный; ретроспективный и перспективный (прогнозный). Детерминированный факторный анализ представляет собой методику исследования влияния факторов, связь которых с результативным показателем носит функциональный характер, т.е. когда результативный показатель представлен в виде произведения, частного или алгебраической суммы факторов. Стохастический анализ представляет собой методику исследования факторов, связь которых с результативным показателем в отличие от функциональной является неполной, вероятностной (корреляционной). Если при функциональной (полной) зависимости с изменением аргумента всегда происходит соответствующее изменение функции, то при корреляционной связи изменение аргумента может дать несколько значений прироста функции в зависимости от сочетания других факторов, определяющих данный показатель. Например, производительность труда при одном и том же уровне фондовооруженности может быть неодинаковой на разных предприятиях. Это зависит от оптимальности сочетания других факторов, воздействующих на этот показатель. При прямом факторном анализе исследование ведется дедуктивным способом - от общего к частному. Обратный факторный анализ осуществляет исследование причинно-следственных связей способом логичной индукции - от частных, отдельных факторов к обобщающим. Факторный анализ может быть одноступенчатым и многоступенчатым. Первый тип используется для исследования факторов только одного уровня (одной ступени) подчинения без их детализации на составные части. Например, у = а х Ь. При многоступенчатом факторном анализе проводится детализация факторов а и Ь на составные элементы с целью изучения их поведения. Детализация факторов может быть продолжена и дальше. В данном случае изучается влияние факторов различных уровней соподчиненности Необходимо различать также статический и динамический факторный анализ. Первый вид применяется при изучении влияния факторов на результативные показатели на соответствующую дату. Другой вид представляет собой методику исследования причинно-следственных связей в динамике. И наконец, факторный анализ может быть ретроспективным, который изучает причины прироста результативных показателей за прошлые периоды, и перспективным, который исследует поведение факторов и результативных показателей в перспективе. Основными задачами факторного анализа являются следующие. 1. Отбор факторов, определяющих исследуемые результативные показатели. 2. Классификация и систематизация факторов с целью обеспечения комплексного и системного подхода к исследованию их влияния на результаты хозяйственной деятельности. 3. Определение формы зависимости между факторами и результативным показателем. 4. Моделирование взаимосвязей между результативным и факторными показателями 5. Расчет влияния факторов и оценка роли каждого из них в изменении величины результативного показателя. Работа с факторной моделью (практическое ее использование для управления экономическими процессами). Отбор факторов для анализа того или другого показателя осуществляется на основе теоретических и практических знаний, приобретенных в этой отрасли. При этом обычно исходят из принципа: чем больший комплекс факторов исследуется, тем точнее будут результаты анализа. Вместе с тем необходимо иметь к виду, что если этот комплекс факторов рассматривается как механическая сумма, без учета их взаимодействия, без выделения главных, определяющих, то выводы могут быть ошибочными. В АХД взаимосвязанное исследование влияния факторов на величину результативных показателей достигается с помощью их систематизации, что является одним из основных методологических вопросов этой науки. Важным методологическим вопросом в факторном анализе является определение формы зависимости между факторами и результативными показателями: функциональная она или стохастическая, прямая или обратная, прямолинейная или криволинейная. Здесь используется теоретический и практический опыт, а также способы сравнения параллельных и динамичных рядов, аналитических группировок исходной информации, графический и др. Моделирование экономических показателей (детерминированное и стохастическое) также представляет собой сложную методологическую проблему в факторном анализе, решение которой требует специальных знаний и практических навыков в этой отрасли. В связи с этим этому вопросу в данном курсе уделяется много внимания. Самый главный методологический аспект в АХД - расчет влияния факторов на величину результативных показателей, для чего в анализе используется целый арсенал способов, сущность, назначение, сфера применения которых и процедура расчетов рассматриваются в следующих главах. И наконец, последний этап факторного анализа — практическое использование факторной модели для подсчета резервов прироста результативного показателя, для планирования и прогнозирования его величины при изменении производственной ситуации. |
|||||||||||||||||||||||||||||||||||||||||||
|
Элиминирование – это такой прием, при кот ислюч-ся мысленно действие всех факторов кроме одного, влияние кот исслед-ся в данный момент при аддетивной связи эл-ние сводится к испол-ю приемов сравнения и осущ-ся путем вычитания базисного значения из его отчетного зн-я при этом остальные ф-ры в моделе участия не принимают и результаты расчета не зависят от порядка расположения этих факторов, а очередность расчета необязательна РП = Онп + ВП – Окп РП (Онп)= Онп>1> – Онп>0> РП (ВП) = ВП>1> – ВП>0> РП (Окп) = Окп>1>-Окп>0> РП = РП>1> – РП>0> = Онп + ВП - Окп при мультипликативной модели элиминирование осуществляется путем: способом абсолютных отклонений или разниц способом цепных подстановок способом %-х отклонений способом относительных отклонений или индексный метод |
10. Сущность способа цепных подстановок и абсолютных разниц, их использование в экономическом анализе. Одним из важнейших методологических вопросов в АХД является определение величины влияния отдельных факторов на прирост результативных показателей. В детерминированном факторном анализе (ДФА) для этого используются следующие способы: цепной подстановки, индексный, абсолютных разниц, относительных разниц, пропорционального деления, интегральный, логарифмирования и др. Первых четыре способа основываются на методе элиминирования. Элиминировать — значит устранить, отклонить, исключить воздействие всех факторов на величину результативного показателя, кроме одного. Этот метод исходит из того, что все факторы изменяются независимо друг от друга: сначала изменяется один, а все другие остаются без изменения, потом изменяются два, затем три и т.д., при неизменности остальных. Это позволяет определить влияние каждого фактора на группу исследуемого показателя в отдельности. Наиболее универсальным из них является способ цепной подстановки. Он используется для расчета влияния факторов во всех типах детерминированных факторных моделей: аддитивных, мультипликативных, кратных и смешанных (комбинированных). Этот способ позволяет определить влияние отдельных факторов на изменение величины результативного показателя путем постепенной замены базисной величины каждого факторного показателя в объеме результативного показателя на фактическую в отчетном периоде. С этой целью определяют ряд условных величин результативного показателя, которые учитывают изменение одного, затем двух, трех и т.д. факторов, допуская, что остальные не меняются. Сравнение величины результативного показателя до и после изменения уровня того или другого фактора позволяет элиминироваться от влияния всех факторов, кроме одного, и определить воздействие последнего на прирост результативного показателя. Если требуется определить влияние трех факторов, то в этом случае рассчитывается не один, а два условных дополнительных показателя, т.е. количество условных показателей на единицу меньше числа факторов. Проиллюстрируем это на четырех-факторной модели валовой продукции: ВП = ЧР х Д х П х ЧВ. Или ВП = ССЧ х Двсе/ССЧ х Чвсе / Двсе х ВП / Чвсе где ЧР – ССЧ, Д – количество дней, отработанных одним работником, П – продолж -ть рабочего дня, ЧВ – среднечасовая выработка
а) количества рабочих
б) количества отработанных дней одним рабочим за год
в) средней продолжительности рабочего дня
г) среднечасовой выработки
Используя способ цепной подстановки, рекомендуется придерживаться определенной последовательности расчетов: в первую очередь нужно учитывать изменение количественных, а затем качественных показателей. Если же имеется несколько количественных и несколько качественных показателей, то сначала следует изменить величину факторов первого уровня подчинения, а потом более низкого. Таким образом, применение способа цепной подстановки требует знания взаимосвязи факторов, их соподчиненности, умения правильно их классифицировать и систематизировать. Алгебраическая сумма влияния факторов обязательно должна быть равна общему приросту результативного показателя: ∆ ВПобщ = ∆ ВПчр + ∆ВПд + ∆ВПп + ∆ВПчв Отсутствие такого равенства свидетельствует о допущенных ошибках в расчетах. Способ абсолютных разниц является одной из модификаций элиминирования. Как и способ цепной подстановки, он применяется для расчета влияния факторов на прирост результативного показателя в детерминир^ванном анализе, но только в мультипликативных и мультипликативно-аддитивных моделях: У = (а - Ь)с и У = а(Ь - с). И хотя его использование ограничено, но благодаря своей простоте он получил широкое применение в АХД. Особенно эффективно применяется этот способ в том случае, если исходные данные уже содержат абсолютные отклонения по факторным показателям. При его использовании величина влияния факторов рассчитывается умножением абсолютного прироста исследуемого фактора на базовую (плановую) величину факторов, которые находятся справа от него, и на фактическую величину факторов, расположенных слева от него в модели. Рассмотрим алгоритм расчета для мультипликативной факторной модели типа У=ахЬхсха". Имеются плановые и фактические значения по каждому факторному показателю, а также их абсолютные отклонения:
Определяем изменение величины результативного показателя за счет каждого фактора:
Как видно из приведенной схемы, расчет строится на последовательной замене плановых значений факторных показателей на их отклонения, а затем на фактический уровень этих показателей. Рассмотрим методику расчета влияния факторов этим способом для четырехфакторной мультипликативной модели валовой продукции:
Таким образом, способ абсолютных разниц дает те же результаты, что и способ цепной подстановки. Здесь также необходимо следить за тем, чтобы алгебраическая сумма прироста результативного показателя за счет отдельных факторов была равна общему его приросту. |
|||||||||||||||||||||||||||||||||||||||||||
|
11 Способы относительных и процентных разниц и их использование в экономическом анализе. Индексный метод основан на относительных показателях динамики, пространственных сравнений, выполнения плана, выражающих отношение фактического уровня анализируемого показателя в отчетном периоде к его уровню в базисном периоде (или к плановому или по другому объекту). С помощью агрегатных индексов можно выявить влияние различных факторов на изменение уровня результативных показателей в мультипликативных и кратных моделях. Для примера возьмем индекс стоимости товарной продукции:
Он отражает изменение физического объема товарной продукции (у) и цен (р) и равен произведению этих индексов:
Чтобы установить, как изменилась стоимость товарной продукции за счет количества произведенной продукции и за счет цен, нужно рассчитать индекс физического объема Iq и индекс цен Ip:
В нашем примере объем валовой продукции можно представить в виде произведения численности рабочих и их среднегодовой выработки. Следовательно, индекс валовой продукции Iвп будет равен произведению индекса численности рабочих Iчр и индекса среднегодовой выработки Iгв:
Если из числителя вышеприведенных формул вычесть знаменатель, то получим абсолютные приросты валовой продукции в целом и за счет каждого фактора в отдельности, т.е. те же результаты, что и способом цепной подстановки. Способ относительных разниц, как и предыдущий, применяется для измерения влияния факторов на прирост результативного показателя только в мультипликативных и аддитивно-мультипликативных моделях типа У = (а - Ь)с. Он значительно проще цепных подстановок, что при определенных обстоятельствах делает его очень эффективным. Это прежде всего касается тех случаев, когда исходные данные содержат уже определенные ранее относительные приросты факторных показателей в процентах или коэффициентах. Рассмотрим методику расчета влияния факторов этим способом для мультипликативных моделей типа V = А х В х С. Сначала необходимо рассчитать относительные отклонения факторных показателей:
Тогда изменение результативного показателя за счет каждого фактора определяется следующим образом:
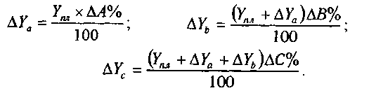
Согласно этому правилу, для расчета влияния первого фактора необходимо базисную (плановую) величину результативного показателя умножить на относительный прирост первого фактора, выраженного в процентах, и результат разделить на 100. Чтобы рассчитать влияние второго фактора, нужно к плановой величине результативного показателя прибавить изменение его за счет первого фактора и затем полученную сумму умножить на относительный прирост второго фактора в процентах и результат разделить на 100. Влияние третьего фактора определяется аналогично: к плановой величине результативного показателя необходимо прибавить его прирост за счет первого и второго факторов и полученную сумму умножить на относительный прирост третьего фактора и т.д.
Способ относительных разниц удобно применять в тех случаях, когда требуется рассчитать влияние большого комплекса факторов (8-10 и более). В отличие от предыдущих способов значительно сокращается количество вычислений. Разновидностью этого способа является прием, процентных разностей. Для того чтобы установить, насколько изменился объем валовой продукции за счет численности рабочих, необходимо плановую его величину умножить на процент перевыполнения плана по численности рабочих ЧР%:
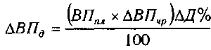
Для расчета влияния второго фактора необходимо умножить плановый объем валовой продукции на разность между процентом выполнения плана по общему количеству отработанных дней всеми рабочими D% и процентом выполнения плана по среднесписочной численности рабочих ЧР%:
Абсолютный прирост валовой продукции за счет изменения средней продолжительности рабочего дня (внутрисменных простоев) устанавливается путем умножения планового объема валовой продукции на разность между процентами выполнения плана по общему количеству отработанных часов всеми рабочими 1% и общему количеству отработанных ими дней D%:
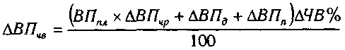
Для расчета влияния среднечасовой выработки на изменение объема валовой продукции необходимо разность между процентом выполнения плана по валовой продукции ВП% и процентом выполнения плана по общему количеству отработанных часов всеми рабочими t% умножить на плановый объем валовой продукции ВПпл:
Преимущество этого способа состоит в том, что при его применении не обязательно рассчитывать уровень факторных показателей. Достаточно иметь данные о процентах выполнения плана по валовой продукции, численности рабочих и количеству отработанных ими дней и часов за анализируемый период. |
12. Аналитическая информация, ее виды, содержание и проверка достоверности Состав, содержание и качество информации, которая привлекается к анализу, имеют определяющую роль в обеспечении действенности АХД. Анализ не ограничивается только экономическими данными, а широко использует техническую, технологическую и другую информацию. Все источники данных для АХД делятся на плановые, учетные и внеучетные. К плановым источникам относятся все типы планов, которые разрабатываются на предприятии (перспективные, текущие, оперативные, хозрасчетные задания, технологические карты), а также нормативные материалы, сметы, ценники, проектные задания и др. Источники информации учетного характера - это все данные, которые содержат документы бухгалтерского, статистического и оперативного учета, а также все виды отчетности, первичная учетная документация. Ведущая роль в информационном обеспечении анализа принадлежит бухгалтерскому учету и отчетности, где наиболее полно отражаются хозяйственные явления, процессы, их результаты. Своевременный и полный анализ данных, которые имеются в учетных документах (первичных и сводных) и отчетности, обеспечивает принятие необходимых мер, направленных на улучшение выполнения планов, достижение лучших результатов хозяйствования. Данные статистического учета, в которых содержится количественная характеристика массовых явлений и процессов, используются для углубленного изучения и осмысления взаимосвязей, выявления экономических закономерностей. Оперативный учет и отчетность способствуют более оперативному по сравнению со статистикой или бухгалтерским учетом обеспечению анализа необходимыми данными (например, о производстве и отгрузке продукции, о состоянии производственных запасов) и тем самым создают условия для повышения эффективности аналитических исследований. Учетным документом, согласно нашей классификации, является и экономический паспорт предприятия, где накапливаются данные о результатах хозяйственной деятельности за несколько лет. Значительная детализация показателей, которые содержатся в паспорте, позволяет провести многочисленные исследования динамики, выявить тенденции и закономерности развития экономики предприятия. С расширением компьютерной техники появились и новые машинные источники информации. К ним относятся данные, которые содержатся в оперативной памяти ПЭВМ, на гибких дисках, а также выдаются в виде разнообразных машинограмм. К в неучетным источникам информации относятся документы, которые регулируют хозяйственную деятельность, а также данные, которые не относятся к перечисленным ранее. В их число входят следующие документы: 1. Официальные документы, которыми обязан пользоваться субъект хозяйствования в своей деятельности: законы государства, указы президента, постановления правительства и местных органов власти, приказы вышестоящих органов управления, акты ревизий и проверок, приказы и распоряжения руководителей предприятия. 2. Хозяйственно-правовые документы: договора, соглашения, решения арбитража и судебных органов, рекламации.3. Решения общих собраний коллектива, совета трудового коллектива предприятия в целом или отдельных ее подотделов.4. Материалы изучения передового опыта, полученные из разных источников информации (Интернет, радио, телевидение, газеты и т.д.).5. Техническая и технологическая документация.6. Материалы специальных обследований состояния производства на отдельных рабочих местах (хронометраж, фотография и т.п.).7. Устная информация, которая получена во время встреч с членами своего коллектива или представителями других предприятий. По отношению к объекту исследования информация бывает внутренней и внешней. Система внутренней информации - это данные статистического бухгалтерского, оперативного учета и отчетности, плановые данные, нормативные данные, разработанные на предприятии и т.д. Система внешней информации - это данные статистических сборников, периодических и специальных изданий, конференций, деловых встреч, официальные, хозяйственно-правовые документы и т.д. По отношению к предмету исследования информация делится на основную и вспомогательную, необходимую для более полной характеристики изучаемой предметной области. По периодичности поступления аналитическая информация подразделяется на регулярную и эпизодическую. К источникам регулярной информации относятся плановые и учетные данные. Эпизодическая информация формируется по мере необходимости, например сведения о новом конкуренте. Регулярная информация в свою очередь классифицируется на постоянную, сохраняющую свое значение длительное время (коды, шифры, план счетов бухгалтерского учета и др.), условно-постоянную, сохраняющую свое значение в течение определенного периода времени (показатели плана, нормативы) и переменную, характеризующую частую сменяемость событий (отчетные данные о состоянии анализируемого объекта на определенную дату). По отношению к процессу обработки информацию можно отнести к первичной (данные первичного учета, инвентаризаций, обследований) и вторичной, прошедшей определенную стадию обработки и преобразований (отчетность, конъюнктурные обзоры и т.д.). К организации информационного обеспечения анализа предъявляется ряд требований. Это аналитичность информации, ее объективность, единство, оперативность, рациональность и др. Смысл первого требования заключается в том, что вся система экономической информации независимо от источников поступления должна соответствовать потребностям АХД, т.е. обеспечивать поступление данных именно о тех направлениях деятельности и с той детализацией, которая в этот момент нужна аналитику для всестороннего изучения экономических явлений и процессов, выявления влияния основных факторов и определения внутрихозяйственных резервов повышения эффективности производства. Поэтому вся система информационного обеспечения АХД должна постоянно совершенствоваться. Это очевидно в сегодняшней практике организации учета, планировании и статистики на предприятии. Там постоянно пересматриваются формы документов, их содержание, организация документооборота, появляются принципиально новые формы накопления и сохранения данных (имеется в виду компьютерная техника). Все изменения диктуются не только собственно требованиями учета или планирования. Они в значительной степени подчинены необходимости информационного обеспечения АХД и выработки управленческих решений. Экономическая информация должна достоверно, объективно отражать исследуемые явления и процессы. Следующее требование, предъявляемое к организации информационного потока, — это единство информации, поступающей из разных источников (планового, учетного и внеучетного характера). Из этого принципа вытекает необходимость устранения обособленности и дублирования разных источников информации. Это означает, что каждое экономическое явление, каждый хозяйственный акт должны регистрироваться только один раз, а полученные результаты могут использоваться в учете, планировании, контроле и анализе. Эффективность анализа может быть обеспечена только тогда, когда есть возможность оперативно вмешиваться в процесс производства по его результатам. Это значит, что информация должна поступать к аналитику как можно быстрее. В этом и состоит сущность еще одного требования к информации — оперативность. Повышение оперативности информации достигается применением новейших средств связи, обработкой ее на ПЭВМ и т.д. Одно из требований к качеству информации - это обеспечение ее сопоставимости по предмету и объектам исследования, периоду времени, методологии исчисления показателей и ряду других признаков. Ответственным этапом в АХД является подготовка информации, которая включает проверку данных, обеспечение их сопоставимости, упрощение числовой информации. В первую очередь информация, собранная для анализа, должна быть проверена на доброкачественность. Проверка проводится с двух сторон. Во-первых, аналитик проверяет, насколько полными являются данные, которые содержат планы и отчеты, правильно ли они оформлены. Обязательно проверяется правильность арифметических подсчетов. Аналитик должен обратить внимание и на то, согласуются ли показатели, приведенные в разных таблицах плана или отчета и т.д. Такая проверка носит технический характер. Во-вторых, проводится проверка всех привлеченных к анализу данных по существу. В процессе ее определяют, насколько тот или иной показатель соответствует действительности. Главный вопрос, который решается аналитиком, можно сформулировать так: может ли такое быть на самом деле? Средствами этой проверки являются как логическое осмысление данных, так и проверка состояния учета, взаимосогласованности и обоснованности показателей разных источников. Анализ будет значительно менее трудоемким, если обеспечена сопоставимость показателей. Аналитическое исследование часто носит прогнозный характер и не требует такой точности, как, например, в бухгалтерском учете. Поэтому, чтобы облегчить восприятие информации, уменьшить объем аналитических расчетов (когда они проводятся не на компьютере), можно отбросить десятичные знаки чисел, проводить расчеты в рублях или тысячах рублей. Правда, здесь нужно сделать одно предостережение. Выбор степени упрощения зависит от содержания показателя, его величины и др. Например, чтобы оценить фондоотдачу, можно не брать точную стоимость основных средств и валовой продукции, достаточно иметь их объемы в тысячах рублей. Но, отбросив десятичные знаки в самом показателе фондоотдачи, мы чаще всего вообще потеряем его величину — он превратится в нуль. Поэтому при упрощении нужно обязательно сохранить 2-3 десятичных знака.При упрощении исходных данных очень часто определяют средние или относительные величины, что позволяет облегчить обобщающую оценку деятельности субъектов хозяйствования. Аналитическая обработка данных — это уже непосредственно анализ. Поэтому она является более ответственным этапом работы аналитика. Организация обработки требует соответствующего методического обеспечения, определенного уровня подготовки лиц, которые занимаются анализом, их обеспеченности техническими средствами проведения АХД. Ответственность за все это чаще всего возлагается на специалиста, который осуществляет руководство аналитической работой на предприятии. Он обязан постоянно совершенствовать методику АХД на основе изучения достижений науки и передового опыта в области анализа и внедрять ее на всех участках производства. |
|||||||||||||||||||||||||||||||||||||||||||
|
13. Классификация видов экономического анализа. В аналитической практике используются различные виды ЭА. Применение того или иного вида в значительной степени определяется задачами, решаемым в процессе анализа и уровнем, на котором он производится. Группировка видов ЭА способствует раскрытию его содержания. Виды ЭА можно классифицировать: В зависимости от пользователя (субъекта анализа): Внешний – по данным публикуемой отчетности Внутренний – анализ для руководства и собственников Отличие – полнота и глубина, детализация информации В соответствии с разделением системы б.учета: Управленческий – оценка производительного потенциала пп-я и затрат Финансовый – оценка наличия, размещения и эф-ти использования финансовых ресурсов По хар-ру принимаемых решений: Итоговый – цель оценка результатов деятельности за прошедший период (основа для планирования) Оперативный – анализ процесса текущей деятельности Прогнозный (перспективный) – определение возможных направлений деятельности в перспективе, т.е. долгосрочный анализ По содержанию исследования Общеэкономический – базируется только на стоимостных показателях Технико-экономический – базируеся на основании как техн. так и экон. хар-к. Функционально-стоимостной – выбор наиболее оптимального выполнения объектом своих функций при минимизации затрат. В зависимости от степени охвата деятельности: Комплексный – полный анализ Тематический – выборочный, частичный По способу проведения эк. анализа: Горизонтальный – временной анализ Вертикальный – анализ структуры, т.е. расчет удельных весов Анализ финансовых коэффициентов – анализ относительных показателей, характеризующих эффективность При проведении ЭА как правило, используются виды ЭА во взаимосвязи и взаимозависимости. Например внешний, финансовый, итоговый, общеэкономический, комплексный, горизонтальный, вертикальный и с использованием коэффициентов. |
14. Понятие финансового состояния, значение, задачи и источники анализа внутренний и внешний финансовый анализ. Под фин состоянием следует понимать сов-ть пок-лей, отражающих размещение и использование оборотных ср-в (фин ресурсов) КО. Обор ср-ва (=обор активы=текущ активы) – ср-ва, вложенные в обор произв фонды и фонды обращения. Ср-ва, вложенные в запасы сырья, мат-лов, топлива, инструмента, инвентаря, полуфабрикаты, расходы буд пер образуют обор произв фонды. Они обслуж-ют процесс пр-ва. Ср-ва КО в виде ден ср-в, ср-вах в расчетах образ-ют фонды обращения. Они обсл-ют процесс обращения. Состав обор активов представлен во 2 разделе ББ. Хар-ка обор активов КО включает: 1. общая вел-на обор активов, 2. стр-ра обор активов, 3. ликвидность обор активов. Обор активы КО принято подразделять на 2 составные части: Системная часть – минимум обор активов, необх-ых для непрерывного осущ-ния произв и фин деят-ти (напр, пост необх запас). Варьирующая часть отражает активы, необходимые в пиковые периоды или в качестве страховых запасов, связана с сезонным характером пр-ва, сезонными заготовками, продажами, с инвест деят-тью. В усл-ях рын эк-ки повысилась знач-ть эфф управления фин ресурсами. Фин ресурсы – это единств рес-сы, к-ые в миним время трансф-ся в любой другой вид рес-сов. От того насколько быстро происходит транс-ция зав-ит фин благополучие фирмы. Управление фин рес-сами – это управление обор активами и источниками их форм-ния.Можно выделить 3 осн стратег задачи управления фин рес-сами: 1) определение вел-ны и стр-ры обор активов, 2) определение источников покрытия потребности в обор активах (собств и заемные), 3) определение соотношения между обор активами и источниками их форм-ния. Не менее важным явл-ся тактич задачи управления фин ресурсами: 1) поддержание пост платежеспос-ти фирмы, 2) обеспечение эфф-ти использования обор ср-в. Эти 2 задачи противоречивы. Для поддержания платежеспос-ти необходимо накопление ден ср-в, но это не спос-ет эфф-ому использованию ден ср-в. Т. о., политика управления фин рес-сами д обеспечить компромисс между риском потери платежеспос-ти и эф-ым использованием ден ср-в. Цели и задачи анализа фин состояния различаются в зав-ти от субъектов производящих анализ. Возможен внутр и внешний анализ фин состояния.Осн задачи внутр анализа: Оперативно через небол промежутки времени контр-ть фин уст-ть и платежеспос-ть Определять причины изм-я фин уст-ти с целью устранения негат ф-ров Поддержание ликвидности баланса и уст-ти фин состояния. Этот анализ осущ-ся сотрудниками фирмы или консультантами. Внешние субъекты анализа: банки, поставщики, покупатели, конкуренты, налог органы и т. д.Каждый субъект анализа изучает инф-цию исходя из своих интересов. Осн ф-рами, опред фин сост-е, явл-ся: 1 вып-е фин плана и пополнение за счет прибыли собст обор кап-ла 2 скорость оборачиваемости обор активов. |
|||||||||||||||||||||||||||||||||||||||||||
|
15. Система показателей, характеризующих финансовое состояние и методика их определения. Фин сост-е КО хар-ся след осн группами пок-лей: 1) пок-ли стр-ры и дин-ки имущества КО рассчит-ся по активу ББ и хар-ют удел вес отдельных групп и видов имущества в общей ст-ти имущества КО. 2) пок-ли стр-ры и дин-ки источников форм-ния имущ-ва КО рассчит-ся по пассиву ББ и хар-ют удел вес отдел групп и видов источников форм-ния имущества. 3) пок-ли фин независимости (рын устойчивости) рассчит-ся в виде коэф-тов 4) пок-ли платежеспос-ти м б представлены в виде абсол пок-лей, либо в ивде коэф-тов 5) пок-ли оборачиваемости оборотных активов и кредиторской зад-ти рассчит-ся в виде коэф-тов 6) пок-ли комплексной оценки фин сост-я (по сумме баллов, рейтингу и т.п.) 7) пок-ли цены и стр-ры капитала. При анализе фин сост-я фирм по данным отчетности необходимо иметь в виду, что действующая в наст время отчетность в опред степени искажена по неск причинам: инфляция, многократная переоценка осн фондов и др. |
16. Показатели структуры актива бух.баланса, порядок расчета и использование для оценки финансового состояния. Анализ проводится по данным актива ББ. Периодичность анализа не регламентирована. В разных странах имеются рекомендации изучать анализ (фин сост-е) за 3-5 лет. В усл-ях нестаб эк-ки (Россия) это нецелесообразно. В России логично изучать за отч период (за квартал, полугодие, год). Предпочтительно взять ежемес балансы и внимательно просмотреть динамику отдел статей. Это позволит опред-ть тенденции и резкие изм-ния в рез-те крупных фин и хоз операций (приобретение/продажа крупных объектов недвижимости, пакетов акций, выдача крупных займов). Цель анализа: ознакомление со стр-рой и динамикой имущества. Анализ носит предварит хар-р, поскольку не позволяет получить окончат оценку фин сост-я КО. При анализе динамики активов интересно сравнить темпы прироста активов с темпами прироста фин рез-тов (выручки от реал, прибыли от продаж, общей бух прибыли). Такое ср-е м оформить в форме табл.
Вывод: изм-е активов орг-ции, рассм-е без сопоставления с изм-ем фин рез-тов мало информативно. Если темпы прироста выручки и прибыли выше прироста активов, то м говорить о повыш-и эфф-ти испол-ния активов. Если ситуация противоположна, то это свид-ет о снижении эфф-ти деят-ти орг-ции. Если темпы прироста прибыли больше темпов прироста активов, а темпы прироста выручки меньше, то повыш-е эфф-ти исп-я активов происходило за счет роста цен. Активы орг-ции состоят из внеобор и оборотных. Поэтому наиболее общую стр-ру активов хар-ет коэф-т соотн-я обор активы(ОА) и внеобор активов (ВА): К соотн = ОА / ВА. Значение дан коэф-та обусловлено отраслевой принадлежностью п/п. Если произв п/п: ВА выше, К меньше; если торг п/п: наоборот. В ходе внутр анализа стр-ры активов следует выяснить причины резкого изм-я дан коэф-та, если это имело место. Анализ стр-ры активов орг-ции (в тыс руб).
По аналог методике м привести анализ отдельн составн частей активов ББ:Анализ динамики и стр-ры ВА (в этом случае в подлежащем будут представлены НМА, ОС, незав строит-во, долгоср фин вложения, прочие ВА) Анализ дин-ки и стр-ры ОА (в подлежащем – запасы+НДС, дебит зад, краткоср фин вложения, ден ср-ва и прочие ОА) Анализ дин-ки и стр-ры запасов (в подлежащем - запасы) Анализ дин-ки и стр-ры дебит зад (в подлежащем – остальные статьи, поставщики, подрядчики) Анализ дин-ки и стр-ры ден ср-в (касса, р/сч) При анализе активов КО общую их сумму м разделить на 4 части по осн напр-ям деят-ти фирмы: сумма активов, не отражающих ст-ть имущ-ва (стр220,244,252) ст-ть им-ва, связ-ого с капит вложениями (стр130) ст-ть им-ва, связ-ого с фин деят-тью фирмы (стр140,250) все остальное – стоимость им-ва, связ с осн деят-тью п/п (все остальные строчки баланса) Анализ стр-ры имущества по напр-ям деят-ти КО
|
|||||||||||||||||||||||||||||||||||||||||||
|
17. Анализ состава и структуры источников формирования имущества организации. Анализ проводится по данным пассива ББ на неск баланс дат. Источники форм-ния им-ва подразд-ся на : собств источники (СИ) – 3 раздел баланса + 2 стр из 5 раздела (стр640+650) и заемные источники (ЗИ) – 4 раздел баланса + 5 раздел (-стр640-650). Заемные источники ср-в подраздел-ся на 2 группы: долгоср (ДЗИ) (более 12 мес) – 4 раздел баланса и краткоср (КЗИ) (до 12 мес) – 5 раздел. При анализе стр-ры источников форм-ния им-ва их групп-ют и опред-ют структурные пок-ли: удел вес ДЗИ, удел вес КЗИ, удел вес СИ. При оценке тек фин сост-я как положит факт оцен-ся приобладание ДЗИ по сравнению с КЗИ. Анализ стр-ры источников форм-ния имущества.
Рассмотр методика анализа стр-ры пассива баланса изложена в бол-ве монографий, учебников ЭА, вместе с тем она не явл-ся однозначной. Иная методика анализа стр-ры ЗИ ср-в предложена и наз-ся Методические указания по проведению анализа фин сост-я орг-ций, утв Приказом Федер службы России по фин оздоровлению и банкротству от 23 янв 2001 г. Наст Метод указания устан-ют порядок проведения сотрудниками фин службы анализа фин сост-я орг-ции при проведении экспертизы и составления заключений, а также при проведении мониторинга. Для хар-ки стр-ры ЗИ ср-в Метод указания рекомендуют систему коэф-тов – 5 коэф-тов, из них 1 общий и 4 частных, конкретизирующих общий: К4 – общий коэф-т зад-ти = сумма заемн ср-в орг-ции на балнс дату / среднемес вал выручка от реал (СВВ) = итог 4 разд (стр590)+итог 5 разд (690) / СВВ К4 хар-ет объем заемных ср-в и сроки возможного их погашения (числитель). СВВ = вал выручка орг-ции по оплате, включая НДС, акцизы и др обяз платежи / кол-во месяцев, рассмотр в отч периоде. Общий коэф-т зад-ти показ-ет ср число месяцев, в теч к-ых м б погашены все обяз-ва орг-ции. Общ коэф-т зад-ти можно разложить на 4 частных коэф: К4 = К5+К6+К7+К8. К5 – коэф-т зад-ти по кредитам и займам = сумма долгоср пассивов и краткоср кредитов и займов / СВВ = стр590+610 / СВВ К5 отражает ср время в месяцах, в теч к-ого м б погашена зад-ть по кредитам и займам. К6 – коэф=т зад-ти др орг-циям = сумма зад-ти др орг-циям, в тыс руб / СВВ, в тыс руб. Сумма зад-ти др орг-циям вкл-ет: поставщики и подрядчики (стр621), векселя к уплате (622), зад-ть перед дочерними и завис об-вами (623), авансы полученные (627), прочие кредиторы (628). К7 – коэф зад фискальной системе = сумма зад-ти фиск с-ме на баланс дату, тыс руб / СВВ. Сумма зад-ти фиск с-ме вкл-ет: зад перед госуд внебюдж фондами (стр625) и зад-ть перед бюджетом (626). Коэф-т отражает ср время (в мес), в теч к-ого м б погашена зад-ть. К8 – коэф внутр долга = сумма обяз-в по внутр долгу / СВВ Сумма внутр долга вкл-ет: 1. зад пред персоналом (стр624), 2. зад уч-кам (640), 3. доходы буд пер (640), 4. резервы предстоящих расходов (650). Назв коэф-ты показ-ют в какие сроки орг-ция м рассчит-ся по всем своим долговым обяз-вам при условии сохранения СВВ, полученной в дан отч периоде и при усл-и, если не осущ-ся никакие текущ расходы, а вся выручка напр-ся на покрытие долговых обяз-в. СВВ хар-ет объем доходов орг-ции за рассм период и опр-ет осн фин ресурс орг-ции. Кроме того, она в опред степени хар-ет масштаб бизнеса орг-ции. |
18.Основные показатели, используемые для оценки финансовой независимости предприятия, порядок их расчета, критерии оценки. Фин неза-ть коэф-тов оборачиваемости обесп-ся в случаях, если она имеет достат вел-ну собств обор капитала (СОК) и рационально ее использует. Для хар-ки фин устойчивости коэф-тов оборачиваемости в теории и практике примен-ся с-ма коэф-тов. Осн коэф-ты: коэф общ фин независимости (рын уст-ти) или коэф автономии (в %) = собств капитал (СК)*100 / (СК+заемн кап(ЗК)) = итог 3 раздела ББ (стр490)+стр640+650 / итог пассива ББ (стр700) Коэф автономии по существу отражает долю (удел вес) собств кап в общ сумме всего капитала. Теория фин менеджмента опред-ет теорет зн-е этого коэф-та. Коэф д б >= 50% (для пром-ти). Конкр норм зн-я дан коэф для п/п разных отраслей эк-ки д б определены путем научных разработок (Для получения кредита в росс банке этот коэф д б >= 70% ). коэф фин незав-ти в части форм-ния обор активов (ОА) = СОК / ОА = итог 2 разд ББ (стр290)-(итог 5 разд –640-650) / итог 2 разд ББ (стр290) Дан коэф отражает долю ОА, сформ за счет СОК. Теорет зн-е коэф >= 0,5. Критич зн-е коэф >= 0,1. Если факт коэф дан фирмы < 0,1, то стр-ра ББ признается неудовл-ой. Вместе с тем дан коэф в большей мере зав-т от реальности, достоверности расчета фирмой потр-ти в ОА. Дан коэф будет отражать раел фин незав-ть. При усл-и, что коэф оборачиваемости правильно рассчитал потр-ть в ОА и придерж-ся этой потр-ти при форм-нии факт остатков ОА (нет ненужных запасов мат-лов, деньги испол-ся). коэф фин нез-ти в части форм-ния запасов = СОК / запасы (с НДС) = итог 2 разд ББ (стр290)-(итог 5 разд –640-650) / стр210+220 Теорет зн-е >= 1,0. Коэф фин незав запасов в значит степени зав-т от реальности плановой потр-ти в запасах (сырье, мат-лы, НП, ГП). Кроме осн коэф-тов, сущ-ют и др. коэф маневренности (в %) = СОК*100 / СК = [(итог 3 разд ББ + итог 4 разд +640+650) – итог 1 разд * 100 ] / итог 3 разд +640+650 Этот коэф-т отражает долю (удел вес) СК вложенную в ОА. Его вел-на опр-ся отраслевой принадлежностью коэф-та оборачиваемости: промышл п/п – ниже, торг п/п – выше. 5) коэф привлечения заемного капитала = ЗК / СК = итог 2 разд + (итог 4 разд –640-650) / итг 3 разд +640+650 |
|||||||||||||||||||||||||||||||||||||||||||
|
19. Анализ обеспеченности оборотных активов предприятия источниками собственных оборотных средств (собственным капиталом в обороте). Собств обор капитал (СОК) = собств обор ср-ва = чист обор капитал Сумма СОК отражает часть собств капитала (СК) КО, вложенную в обор активы (ОА) (2 раздел баланса). От вел-ны СК в большей мере зав-т фин благополучие орг-ции. Вместе с тем при анализе ББ КО нередко встречаются случаи, когда сумма СОК имеет отрицательное значение. Сущ-ют несколько вариантов методики расчета суммы СОК. Для наглядности этих методик представим ББ в виде упрощенной схемы
Методики расчета суммы СОК основаны на предположении, что ДП полностью использованы на форм-ние ВА. 1) СОК = СК+ДО-ВА, 2) СОК = СК – (ВА-ДО), 3) СОК = ОА - КЗ При практическом применении указанныз трех методик расчета СОК возможны 2 подхода: Упрощенный: СК = итог 3 раздела баланса СК = итог 3 разд+стр640+650 Теоретические ф-лы расчета СОК по уточненным вариантам: СОК = (стр490+640+650)+(стр590-190) СОК = (стр490+640+650)-(стр190-590) СОК = стр290-(стр690-640-650) Для оценки достаточности фирмы эта сумма сопоставляется: - с суммой ОА, - с суммой запаса. Такие сопоставления м произвести в виде коэф-тов, к-ые наз-ся коэф-тами фин независимости (рын устойчивости): коэф фин незав-ти в части форм-ния обор активов (ОА) = СОК / ОА = итог 2 разд ББ (стр290)-(итог 5 разд –640-650) / итог 2 разд ББ (стр290) Дан коэф отражает долю ОА, сформ за счет СОК. Теорет зн-е коэф >= 0,5. Критич зн-е коэф >= 0,1. Если факт коэф дан фирмы < 0,1, то стр-ра ББ признается неудовл-ой. Вместе с тем дан коэф в большей мере зав-т от реальности, достоверности расчета фирмой потр-ти в ОА. Дан коэф будет отражать раел фин незав-ть. При усл-и, что коэф оборачиваемости правильно рассчитал потр-ть в ОА и придерж-ся этой потр-ти при форм-нии факт остатков ОА (нет ненужных запасов мат-лов, деньги испол-ся). коэф фин нез-ти в части форм-ния запасов = СОК / запасы (с НДС) = итог 2 разд ББ (стр290)-(итог 5 разд –640-650) / стр210+220 Теорет зн-е >= 1,0. Коэф фин незав запасов в значит степени зав-т от реальности плановой потр-ти в запасах (сырье, мат-лы, НП, ГП). |
20. Основные показатели, используемые для оценки финансовой независимости предприятия, порядок их расчета, критерии оценки. Фин неза-ть коэф-тов оборачиваемости обесп-ся в случаях, если она имеет достат вел-ну собств обор капитала (СОК) и рационально ее использует. Для хар-ки фин устойчивости коэф-тов оборачиваемости в теории и практике примен-ся с-ма коэф-тов. Осн коэф-ты: коэф общ фин независимости (рын уст-ти) или коэф автономии (в %) = собств капитал (СК)*100 / (СК+заемн кап(ЗК)) = итог 3 раздела ББ (стр490)+стр640+650 / итог пассива ББ (стр700) Коэф автономии по существу отражает долю (удел вес) собств кап в общ сумме всего капитала. Теория фин менеджмента опред-ет теорет зн-е этого коэф-та. Коэф д б >= 50% (для пром-ти). Конкр норм зн-я дан коэф для п/п разных отраслей эк-ки д б определены путем научных разработок (Для получения кредита в росс банке этот коэф д б >= 70% ). коэф фин незав-ти в части форм-ния обор активов (ОА) = СОК / ОА = итог 2 разд ББ (стр290)-(итог 5 разд –640-650) / итог 2 разд ББ (стр290) Дан коэф отражает долю ОА, сформ за счет СОК. Теорет зн-е коэф >= 0,5. Критич зн-е коэф >= 0,1. Если факт коэф дан фирмы < 0,1, то стр-ра ББ признается неудовл-ой. Вместе с тем дан коэф в большей мере зав-т от реальности, достоверности расчета фирмой потр-ти в ОА. Дан коэф будет отражать раел фин незав-ть. При усл-и, что коэф оборачиваемости правильно рассчитал потр-ть в ОА и придерж-ся этой потр-ти при форм-нии факт остатков ОА (нет ненужных запасов мат-лов, деньги испол-ся). коэф фин нез-ти в части форм-ния запасов = СОК / запасы (с НДС) = итог 2 разд ББ (стр290)-(итог 5 разд –640-650) / стр210+220 Теорет зн-е >= 1,0. Коэф фин незав запасов в значит степени зав-т от реальности плановой потр-ти в запасах (сырье, мат-лы, НП, ГП). Кроме осн коэф-тов, сущ-ют и др. коэф маневренности (в %) = СОК*100 / СК = [(итог 3 разд ББ + итог 4 разд +640+650) – итог 1 разд * 100 ] / итог 3 разд +640+650 Этот коэф-т отражает долю (удел вес) СК вложенную в ОА. Его вел-на опр-ся отраслевой принадлежностью коэф-та оборачиваемости: промышл п/п – ниже, торг п/п – выше. 5) коэф привлечения заемного капитала = ЗК / СК = итог 2 разд + (итог 4 разд –640-650) / итг 3 разд +640+650 |
|||||||||||||||||||||||||||||||||||||||||||
|
21. Коэффициенты финансовой независимости в части формирования запасов и всех оборотных средств, порядок их расчета, критерии оценки. Для оценки достаточности фирмы эта сумма сопоставляется: - с суммой ОА, - с суммой запаса. Такие сопоставления м произвести в виде коэф-тов, к-ые наз-ся коэф-тами фин независимости (рын устойчивости): 1) коэф фин незав-ти в части форм-ния обор активов (ОА) = СОК / ОА = итог 2 разд ББ (стр290)-(итог 5 разд –640-650) / итог 2 разд ББ (стр290) Дан коэф отражает долю ОА, сформ за счет СОК. Теорет зн-е коэф >= 0,5. Критич зн-е коэф >= 0,1. Если факт коэф дан фирмы < 0,1, то стр-ра ББ признается неудовл-ой. Вместе с тем дан коэф в большей мере зав-т от реальности, достоверности расчета фирмой потр-ти в ОА. Дан коэф будет отражать раел фин незав-ть. При усл-и, что коэф оборачиваемости правильно рассчитал потр-ть в ОА и придерж-ся этой потр-ти при форм-нии факт остатков ОА (нет ненужных запасов мат-лов, деньги испол-ся). коэф фин нез-ти в части форм-ния запасов = СОК / запасы (с НДС) = итог 2 разд ББ (стр290)-(итог 5 разд –640-650) / стр210+220 Теорет зн-е >= 1,0. Коэф фин незав запасов в значит степени зав-т от реальности плановой потр-ти в запасах (сырье, мат-лы, НП, ГП). |
22. Коэффициенты восстановления (утраты) платежеспособности, порядок расчета, критерии оценки, область применения. Согласно этому Методическому положению по оценке финансового состояния предприятий и установлению неудовлетворенной структуры баланса (№ 31-р от 12.08.94) показателями для оценки удовлетворительности структуры баланса являются: коэф текущей ликвидности (покрытия), КТЛ; коэф обеспеченности собств обор ср-вами, КОСС; коэф утраты (восстановления) платежеспособности, Ку/в. КТЛ хар-ет общую обеспеченность п/п оборотными средствами для ведения хоз деят-ти и своевременного погашения срочных обяз-в предприятия. КТЛ = ОА / КДО = стр290 / стр610+620+630+660 где ОА - оборотные активы, принимаемые в расчет при оценке структуры баланса, КДО - краткосрочные долговые обязательства. КОСС характеризует наличие собственных оборотных средств у предприятия, необходимых для его финансовой устойчивости. КОСС = СОК / ОА = стр290- (690-640-650) / стр290 где СОК - сумма источников собственного оборотного капитала. П/п признается неплатежеспособным, если вып-ся одно из след условий: КТЛ на конец отчетного периода имеет значение менее 2; КОСС на конец отчетного периода имеет значение менее 0,1. В случае если хотя бы один из вышеперечисленных коэфф-тов не отвечает установленным требованиям, рассчитывается Кв платежеспос-ти за предстоящий период (6 месяцев). Если усл-я вып-ся, то рассчит-ся Ку платежеспос-ти за предстоящий период (3 месяца). Т. о., наличие реальной возможности у п/п восстановить (или утратить) свою платежеспос-ть в течение опред периода выясняется с помощью Ку/в платежеспос-ти. Кв платежеспособности определяется как отношение расчетного КТЛ к его установленному значению. Расчетный КТЛ определяется как сумма фактического значения этого коэффициента на конец отчетного периода и изменение этого коэффициента между окончанием и началом отчетного периода в пересчете на период восстановления платежеспособности (6 месяцев). Формула расчета следующая: К в плат = [КТЛкп+6/Т(КТЛкп-КТЛнп)] / 2 где КТЛкп> >- фактическое значение (на конец отчетного периода) КТЛ, КТЛнп> >- значение КТЛ на начало отчетного периода, Т - отчетный период, мес., 2 - нормативное значение КТЛ, 6 - нормативный период восстановления платежеспособности в месяцах. Кв платежеспособности, принимающий значения больше 1, рассчитанный на нормативный период, равный 6 месяцам, свидетельствует о наличии реальной возможности у предприятия восстановить свою платежеспособность. Если этот коэффициент меньше 1, то предприятие в ближайшее время не имеет реальной возможности восстановить платежеспособность. Ку платежеспос-ти определяется как отношение расчетного КТЛ к его установленному значению. Расчетный КТЛ определяется как сумма фактического значения этого коэффициента на конец отчетного периода и изменение этого коэффициента между окончанием и началом отчетного периода в пересчете на период утраты платежеспос-ти (3 месяца). Формула расчета следующая: К утр плат = = [КТЛкп+3/Т(КТЛкп-КТЛнп)] / 2 где 3 - нормативный период восстановления платежеспособности в месяцах. Ку платежеспос-ти, принимающий значение больше 1, рассчитанный за период, равный 3 месяцам, свидетельствует о наличии реальной возможности у п/п не утратить платежеспос-ть. Если этот коэфф-т меньше 1, то п/п в ближайшее время может утратить платежеспос-ть. |
|||||||||||||||||||||||||||||||||||||||||||
|
23. Основные показатели, используемые для оценки текущей платежеспособности предприятия, порядок их расчета, критерии оценки. Задача анализа платежеспос-ти возникает в связи с необходимостью давать оценку спос-ти КО своевр-но и полностью рассчит-ся по всем своим обяз-вам. Ликвидность баланса опред-ся как степень покрытия обяз-ворг-ции ее активами, срок превращения к-ых в деньги соотв-ет сроку погашения обяз-в. Анализ ликвидности баланса закл-ся в сравнении ср-в по активу, сгрупп-ых по степени их ликвидности с обяз-вами по пассиву, сгрупп-ыми по срокам их погашения. В зав-ти от степени ликвидности, т.е. от скорости превращения в деньги, активы м подразд-ть на 4 группы: 1 первоклассные ликвидные активы (А1), к ним относятся ден ср-ва (стр260) и краткоср фин вложения (стр250) 2 второклассные ликвидные активы (А2), к ним относятся статьи или виды краткоср дебит зад-ти (стр240) 3 третьеклассные ликвидные активы (А3) (медленнореалезуемые ликвидные активы), к ним относятся остальные группы статей 2 раздела: запасы (210), остаток НДС (220), долгоср дебит зад (230), прочие обор активы (270) 4 внеоборотные активы (А4) Пассивы баланса групп-ся по степени срочности их оплат и также выд-ся 4 группы: 1) наиболее срочные обяз-ва (П1), сюда отн-ся краткоср дебит зад-ть (620) 2) краткосрочные пассивы (П2), сюда отн-ся краткоср займы и кредиты (610) и прочие краткоср обяз-ва (660) 3) долгосрочные пассивы (П3), к ним отн-ся: - итог 4 раздела (590) - зад-ть уч-кам по выплате доходов (630) - доходы буд пер (640) - резервы предстоящих расходов (650) 4) постоянные пассивы (П4) – собств капитал (490) Для опр-ния платежеспос-ти фирмы следует сопоставить итоги приведенных групп по активу и пассиву. Сопоставление оценивает ликвидность баланса. Баланс счит-ся ликвидным, если соблюдаются соотношения: А1 >= П1 А2 >= П2 А3 >= П3 А4 <= П4 Если вып-ся первые три неравенства в дан с-ме, то вып-ся и четвертое. На основе рассм групп-ки активов и пассивов баланса м сост-ть баланс платежеспос-ти КО.
Приведена упрощенная схема баланса платежеспос-ти. Его м составить в детальном варианте, разложив каждую группу активов и пассивов на составные части. Если основ-ся на данных БУ, то возможно более четко опред-ть степень ликв-ти активов и степень срочности обяз-в. |
24. Показатели ликвидности баланса, их содержание, порядок расчета, методика анализа. Для оценки ур-ня платежеспос-ти орг-ции в экон литературе предложено и в практике используются коэф-ты ликвидности: 1) коэф абсол ликв-ти (КАЛ) 2) коэф критич (срочн) ликв-ти (ККЛ) 3) коэф текущей ликв-ти (КТЛ) (коэф покрытия) Названные коэф-ты м рассчитать по данным ББ или БУ. Коэф-ты ликв-ти рассчит-ся в виде отн-я отдельных групп ликвидн активов к краткоср долговым обяз-вам (КДО) орг-ции. КДО включают : - краткоср кредиты и займы (стр610) - краткоср кредит зад-ть (620) - зад-ть уч-кам по выплате доходов (630) - прочие краткоср обяз-ва (660) Знаменатель дроби у всех трех коэф-тов одинаков, т.е. один и тот же. 1. КАЛ = первоклассные ликв активы (А1) / КДО = стр250+260 / стр610+620+630+660 Этот коэф-т показывает какую часть КДО м погасить немедленно на дату расчета. По теории фин менеджмента КАЛ д б >= 0,2. Вместе с тем росс банки при оценке платежеспос-ти клиентов требуют более высокого значения этого коэф-та (>=0,5). 2. КСЛ = первоклассные ликв активы(А1)+второклассные ликв активы(А2) / КДО = стр260+250+240 / стр610+620+630+660 КСЛ показывает какую часть КДО м погасить орг-ция за счет имеющих платных ср-в и с учетом дебит зад-ти. Теоретич зн-е этого коэф-та от 1 до 1,5 (банки требуют 1,5). 3. КТЛ = А1+А2+А3 / КДО = стр260+250+240+210+220(?)+230+270 / стр610+620+630+660 Коэф-т покрытия отражает соотношение между ликвидн обор активами и КДО. Теоретич зн-е коэф-та определено в методич указаниях по оценке стр-ры баланса, разработаны федеральным управлением по делам о несостоятельности: КТЛ >= 2. Росс банки требуют более выс значения >= 3. |
|||||||||||||||||||||||||||||||||||||||||||
|
25.Анализ оборачиваемости (Обор-ть) оборотных активов(ОА). Общие показатели обор-ти. Для хар-ки эффективности использования ОА используются показатели обор-ти: t-продолжительность одного оборота в днях (обор-ть в днях); q-количество оборотов за период; к-коэффициент закрепления ОА. Все 3 показателя обор-ти математически взаимосвязаны и выводятся один из другого, они с разных сторон характеризуют один и тот же процесс обор-ти ОА: t=(CОxД):О, где СО-средние остатки активов за период (рассчитываются по средней хронологической) (при определении показателей обор-ти всех ОА их остатки на балансовые даты берутся по итогу II раздела ББ (стр.290)); Д-число дней в анализируемом периоде; О-полезный оборот за период в денежном выражении (вычисляется в тех же единицах что и СО). Экономисты не пришли к единому выводу относительно показателя единицы полезного оборота. Иногда берется выручка-нетто от продаж (ф.2 стр.010); валовая выручка или выручка-брутто (выручка+НДС, акцизы, эксп.пошлины); полная себестоимость реализованных ТТ,РР,УУ или Пр.; операционная себестоимость. При определении частных показателей обор-ти используются иные показатели полезного оборота. q=O:СО=Д:t; к=СO:О-коэф-т закрепления ОА показывает сколько приходится ОА в среднем на 1 руб.полезного оборота. Экономическим результатом ускорения обор-ти ОА явл-ся увеличение полезного оборота за период,т.е. выручки от продажи. Если же этого не требуется либо невозможно достичь по условиям рынка, то экон-м рез-том ускорения обор-ти явл-ся относительное высвобождение ОА. Сумму относ-го высвобождения ОА м. подсчитать по формуле: ΔСО(t)=(t>1>-t>0>)хО>1>:Д. Если бы имело место замедление обор-ти ОА, то экон-м рез-том явля-ся дополнительное вовлечение ОА в оборот. При углублении анализа м. рассчитать влияние 2-х основных факторов на сумму относ-го высвоб-ия ОА: 1.увеличение выручки от продаж в отчетном году по сравнению с предыдущим ΔОА(Iв)=СО>0>-СО>0>хIв; 2.абсолютное изменение суммы ОА ΔОА(абс)=СО>1>-СО>0>. Частные показатели обор-ти Показатели обор-ти отдельных компонентов активов: запасов, дебиторской задолженности, краткосрочных финансовых вложений, денежных средств, прочих ОА. Формулы расчета те же что и у общих показателей.Разница состоит в том что в расчет принимаются конкретные показатели. Расчет частных показателей обор-ти позволяет увидеть за счет чего сложилась продолжительность одного оборота в днях по всем активам. Пути ускорения обор-ти ОА В управлении ОА различают операционный и финансовый цикл. Операц-й цикл хар-ет общее время, в течении которого финансовые ресурсы находятся в запасах и дебит-й задолж-ти: t>о.ц.>=t>з> + t>д.з.>(сред.продолж-ть операц. цикла в днях; сред. время обор-ти запасов;сред.время обор-ти дебит. задолж-ти.Финансовый цикл меньше операц-го на время обращения кредиторской задолж-ти. Основные этапы фин.цикла:этап снабжения, производства, сбыта, расчетов. Ускорение обор-ти ОА-это сокращение продолжительности финансового цикла.Пути ускорения обор-ти непосредственно связаны с сокращением названных этапов.Сокращение операц. цикла м.б. достигнуто за счет ускорения процессов снабжения, пр-ва, сбыта за счет ускорения обор-ти дебит.задолж-ти.Фин-й цикл м.б.сокращен как за счет названных факторов, так и за счет некоторого некритического замедления обор-ти кредит. задолж-ти. |
26. Анализ состояния и динамики дебиторской (ДЗ) и кредиторской задолж-ти (КЗ). ДЗ-это задолж-ть других организаций и физ.лиц нашей фирме, она отражается в основном на след.счетах:62,76. ДЗ не редко составляет значительную долю в структуре ОА.Уровень ДЗ определяется многими факторами: вид продукции, емкость рынка, степень его насыщенности,принятая система расчетов с покупателями. Основными видами расчетов с покупателями явл-ся: продажа с немедленной оплатой, продажа в кредит, предоплата. Анализ и управление ДЗ имеет большое значение в периоды инфляции, поскольку иммобилизация финансовых ресурсов становится невыгодной. ДЗ во II разделе ББ, подразделяется на 2 группы: краткоср.(стр.240) и долгоср.(стр.230).При анализе изучают динамику ДЗ по данным ежемесячных ББ, при этом можно рассчитать сумму абсолютного изменения задолж-ти, а также индексы динамики, м.также рассчитать и сравнить структурные показатели ДЗ. При анализе ДЗ необходимо выявить те ее виды, которые явл-ся нереальными ко взысканию. Определяется сумма такой задолж-ти и ее удельный вес в общей величине ДЗ.Эти показатели изучаются в динамике. Для управления ДЗ большое значение имеет отбор потенциальных покупателей и определение рациональных условий оплаты товаров по контракту. Отбор потенциальных покупателей осущ-ся с помощью неформальных критериев,н-р, соблюдение платежной дисциплины в прошлом, прогнозные фин.возможности покупателей,уровень текущей платежесп-ти и фин-й независимости, экон-ие и фин-ые условия покупателя. Контроль ДЗ включает в себя ее ранжирование по срокам возникновения: от 0 до 30 дней; от 31 до 60 дней; от 61 до 90 дней и т.д. При анализе ДЗ изучают показатели ее обор-ти, основонй показатель обор-ти ДЗ-это продолж-ть 1 оборота в днях:t=(СОхД):О. Существует 2 подхода к определению полезного оборота(О) при расчетах обор-ти ДЗ: 1. Когда ДЗ анализируется как фактор изменения обор-ти всех ОА, то в качестве полезного оборота принимается сумма выручки-нетто от продаж.В этом случае t по ДЗ означает среднее время пребывания ОА в виде ДЗ; 2. В качестве полезного оборота принимается сумма погашения ДЗ за анализируемый период. Эта сумма определяется по данным БУ как сумма кредитовых оборотов по счетам ДЗ.В этом случае t по ДЗ отражает средний период погашения ДЗ в днях. Второй подход исп-ся при детальном анализе ДЗ по данным БУ, а также при сравнении показателей обор-ти ДЗ и КЗ. Фактические показатели обор-ти ДЗ м.сравнить с плановыми, проектными, с показателями предыдущих периодов, с показ-ми аналогичных фирм, со среднеотраслевыми показателями. При детальном анализе ДЗ м.рассчитать показатели ее обор-ти отдельно по каждому бухг.счету. Контроль и анализ ДЗ в зависимости от объема изучаемой совокупности м.б. как сплошным. Так и выборочным. Общая схема выборочного контроля ДЗ 1.Задается критический уровень ДЗ(н-р, по срокам погашения).Все расчетные док-ты, относящиеся к задолж-ти, превышающей критический уровень, провер-ся в сплошном порядке.2.Из оставшихся дебиторов делается контрольная выборка (н-р, провер-ся каждый 10-й док-т).3.Оределяется реальность суммы ДЗ в отобранных расчетных док-тах. 4. Оценивается существенность выявленных ошибок. После обобщения рез-тов выборочного контроля они распр-ся на всю совокупность и докладыв-ся руков-ву фирмы в виде конкретных выводов. КЗ-это задолж-ть нашей фирмы другим. Краткоср.КЗ представлена в V разделе ББ стр.620, затем она расшифровывается по видам с 621 по 628. В состав КЗ,кроме остатков по счетам 60,76, включаются также задолж-ть персоналу по оплате труда, бюджету по налогам, внебюдж.фондам, дочерним и зависимым обществам. Долгоср.КЗ в ББ отраж-ся в IV разделе в составе стр.520. Анализ КЗ м.провести по той же схеме, что и анализ ДЗ. Изуч-ся динамика и структура КЗ на несколько отчетных дат; м.рассчитать показатели обор-ти КЗ. |
|||||||||||||||||||||||||||||||||||||||||||
|
27. Чистые активы(ЧА) предприятия. Порядок расчета и применения. В соответствии с ГК РФ и законом «Об АО» для оценки финансового состояния организаций установлен показатель «чистые активы». Плрядо определения стоимости ЧА регламентируется совместным Приказом МФ и Федеральной комиссии по ценным бумагам и фондовому рынку от 05.08.96 № 71/149 «О порядке оценки стоимости ЧА». В соответствии с положением о составе бухг.отчетности, сведения о стоимости ЧА показываются в ф.3 «Отчет о движении капитала» (стр.150). ЧА показывают стоимость имущества коммерч. организации, сформированную за счет собственных источников. Методика расчета ЧА: ΣЧА=Σ активов, принимаемых в расчет (итог актива ББ-244(зад-ть участ-в по взносам в УК)-252(собств.акции,выкупл.у акционеров))- Σ обязательств, принимаемых в расчет (450(целев.фин-ия и поступления)+510(долгоср.займы и кредиты)+520(прочие долгоср.обяв-ва)+610 (кратк.займы и кредиты)+620 (кратк.КЗ)+630 (зад-ть участникам повыплате доходов)+660 (прочие кратк.обяз-ва)). Если у АО по окончании 2-го и каждого последующего года в соответствии с годовым ББ стоимость ЧА окажется меньше уставного каптала, то АО обязано объявить об уменьшении своего уст.капитала до величины, не превышающей стоимости его ЧА. Если стоимость ЧА окажется меньше минимально допустимого уст.капитала (ЗАО-100 МРОТ; ОАО-1000 МРОТ), то АО обязано принять решение о своей ликвидации. Если решение об уменьшении уст.капитала или ликв-ции орг-ции не будет принято, то аакционеры, кредиторы и органы, уполномоченные государством вправе требовать ликв-ции АО в судебном порядке. |
28. Порядок обобщающей (рейтинговой) оценки финанс-го состояния предприятия. Финансовое состояние комм.орг-ции м.оценить лишь с помощью системы показателей.Число показателей системы м.б.различно.Эта система должна включать в общем порядке группы показателей фин-й независимости и группы показателей платежеспособности.При изучении методики анализа фин.состояния исп-ся показатели фин.независ-ти и платежесп-ти; каждый показатель м.б. больше или меньше нормального значения и отклоняться в разной степени. Это не позволяет получить однозначную оценку фин.состояния одновременно по всем показателям системы без их обобщения, поэтому банки, инвест.компании, страх.компании и т.д. применяют метод рейтинговой оценки фин.сост-ия своих клиентов. Рассмотрим 1 из вариантов рейтинг-й оценки, применяемой банками. Эта система показателей включает 2 группы: три коэф-та ликвидности (абсол-й,срочной и текущей) и три коэф-та фин-й независ-ти (общей фин.незав-ти,в части формир-ия ОА и запасов). Каждому коэф-ту в наивысшем его значении присваивается определенное число баллов; устанавливается сколько баллов «снимается» за снижение уровня коэф-тов.Рейтинговая оценка конкретной фирмы производится по сумме баллов, набранных по шести коэф-там. В зависимости от суммы набранных баллов банк подразделяет клиентов на 5 классов по степени риска: 1-й класс-это фирмы, чьи кредиты и интересы подкреплены информацией, позволяющей быть уверенными в возврате кредитов и в выполнении других обязательств в соотв.с договорами.Эти орг-ции не рассм-ся как рискованные.2-й класс-фирмы, демонстрирующие миним-й уровень риска по задолж-ти и обяз-вам, риск незначителен.3-й класс-проблемные фирмы, они вряд ли имеют угрозу потери своих средств, однако полное и своевременное получение %-в за использованные кредиты представляется сомнительным.4-й класс-фирмы,которые могут не оплатить%% за пользование кредитами, даже после реализации намеченных мероприятий по оздоровлению бизнеса, значительный риск. 5-й класс-фирмы высокого риска, практически неплатежеспособные. |
|||||||||||||||||||||||||||||||||||||||||||
|
29. Показатели, используемые для характеристики финансовых результатов (ФР), порядок их расчета, область применения. Экон-й основой формирования ФР явл-ся доходы и расходы. Сущность и состав доходов и расходов определены ПБУ9/99 и ПБУ10/99. Понятие комм.орг-ции непосредственно связано с получением прибыли как рез-та производственной, хозяйственной и финансовой деятельности. Прибыль-это важнейший показатель эффективной деятельности комм.орг-ции, на изменении суммы прибыли отражаются все стороны деят-ти комм.орг-ции:уменьшение или увеличение объема производства и продаж ТТ,П,РР,УУ; эффективное или неэфф-ое использование ресурсов, которыми располагает фирма; ценовая политика комм.орг-ции на рынках сбыта в борьбе с конкурентами; эфф-ть финансовых операций;эфф-ть участия в деят-ти других орг-ций;эфф-ть сделок с имуществом;эфф-ть управления ДЗ; наличие или отсутствие убытков от бесхозяйственности. В настоящее время при планировании, учете и экон.анализе используется система показателей прибыли:валовая прибыль (ВП),прибыль от продаж (Ппр),бухгалтерская прибыль (прибыль до налогообложения БП), прибыль от обычной деятельности,чистая прибыль (ЧП),налогооблагаемая прибыль. ВП по экон.смыслу близка к показателю маржинального дохода (ф.2 стр.029): ВП=выручка (010)-операц.себестоимость (020) – это потенциально полученная прибыль, из которой необходимо покрыть управл. и коммерч.расходы. Прибыль от продаж-ФР от уставных видов деятельности (ф.2 стр.050): Ппр=выручка-операц.себест-ть-комм.р-ды-управл.р-ды или ВП-комм.р-ды-управл.р-ды. БП-это сводный ФР от всех видов деятельности фирмы (ф.2 стр.140): БП=Ппр+% к получению-% к уплате+доходы от участия в др.орг-циях+прочие операц.доходы-прочие операц.расходы+внереализ.доходы-внереализ.расходы. Прибыль от обычной деятельности-это часть БП за минусом начисленных налогов на прибыль и иных анал.обяз.платежей (стр.140-стр.150). ЧП-это часть общей БП, остающейся в распоряжении орг-ции после начисления налога на прибыль и иных анал.обяз.платежей, а также с учетом чрезвыч.доходов и расходов (ф.2 стр.190): ЧП=стр.160+стр.170-стр.180). Налогооблагаемая прибыль-это та сумма прибыли, к которой применяются ставки налога на прибыль. Налогообл.прибыль рассчитывается по специальной методике в соотв.с законом «О налоге на прибыль», гл.25 НК РФ и в соотв.с Инструкциями МФ РФ. Ответственность за правильно исчисленную сумму налога на прибыль несут налогоплательщики. Расчет производится либо ежемесячно, либо ежеквартально. Все показатели прибыли исчисляются нарастающим итогом с начала финансового года. |
30.Бухгалтерская прибыль: ее формирование и порядок оценки динамики и выполнения плана в целом и в разрезе слагаемых. БП-это сводный ФР от всех видов деятельности фирмы (ф.2 стр.140): БП=Ппр+% к получению-% к уплате+доходы от участия в др.орг-циях+прочие операц.доходы-прочие операц.расходы+внереализ.доходы-внереализ.расходы В ф.2 бухг.отчетности приводится информация о составе бух.прибыли в разрезе слагаемых за 2 аналогичных периода времени. При анализе эти данные сопоставляются и можно рассчитать как повлияло каждое слагаемое на изменение общей бух.прибыли в сумме и в %. Результаты анализа формирования бухгалтерской прибыли позволяют сделать вывод о необходимости проведения факторного анализа прибыли от реализации продукции (работ, услуг), направленного на выявление конкретных причин снижения ее удельного веса и определение возможности увеличения этого показателя. Второе направление для более детального, анализа - изучение результатов операционной и внереализационной деятельности, в частности, поэлементный анализ доходов и расходов (убытков) от этих операций. При таком анализе можно выяснить какие именно % получены и уплачены фирмой по фин.операциям. По прочим операц. доходам и расходам нужно выяснить какие именно сделки с имуществом имели место, не было ли убыточных сделок или они были, нужно выяснить как они были инициированы и по какой причине возникли убытки, нет ли возможности покрыть убытки за счет виновных лиц. Тщательным образом д.б. изучены внерелизац.расходы (штрафы,пени, неустойки по хозяйст.договорам). Оценив структурные составляющие бухгалтерской прибыли и выяснив, за счет какого элемента бухгалтерской прибыли идет ее прирост или уменьшение, необходимо для принятия конкретных мер рассмотреть, какие изменения происходят внутри каждой составляющей. Поскольку основным элементом бухгалтерской прибыли является прибыль от реализации продукции (работ, услуг), то, прежде всего, анализируют ее. |
|||||||||||||||||||||||||||||||||||||||||||
|
31. Методика анализа общей величины бухгалтерской прибыли предприятия. БП-это сводный ФР от всех видов деятельности фирмы (ф.2 стр.140): БП=Ппр+% к получению-% к уплате+доходы от участия в др.орг-циях+прочие операц.доходы-прочие операц.расходы+внереализ.доходы-внереализ.расходы В ф.2 бухг.отчетности приводится информация о составе бух.прибыли в разрезе слагаемых за 2 аналогичных периода времени. При анализе эти данные сопоставляются и можно рассчитать как повлияло каждое слагаемое на изменение общей бух.прибыли в сумме и в %. Результаты анализа формирования бухгалтерской прибыли позволяют сделать вывод о необходимости проведения факторного анализа прибыли от реализации продукции (работ, услуг), направленного на выявление конкретных причин снижения ее удельного веса и определение возможности увеличения этого показателя. Второе направление для более детального, анализа - изучение результатов операционной и внереализационной деятельности, в частности, поэлементный анализ доходов и расходов (убытков) от этих операций. При таком анализе можно выяснить какие именно % получены и уплачены фирмой по фин.операциям. По прочим операц. доходам и расходам нужно выяснить какие именно сделки с имуществом имели место, не было ли убыточных сделок или они были, нужно выяснить как они были инициированы и по какой причине возникли убытки, нет ли возможности покрыть убытки за счет виновных лиц. Тщательным образом д.б. изучены внерелизац.расходы (штрафы,пени, неустойки по хозяйст.договорам). Оценив структурные составляющие бухгалтерской прибыли и выяснив, за счет какого элемента бухгалтерской прибыли идет ее прирост или уменьшение, необходимо для принятия конкретных мер рассмотреть, какие изменения происходят внутри каждой составляющей. Поскольку основным элементом бухгалтерской прибыли является прибыль от реализации продукции (работ, услуг), то, прежде всего, анализируют ее. |
32.Прибыль от реализации продукции (работ, услуг), порядок расчета и направления анализа. Прибыль от продаж (Ппр)-это важнейшая часть бух.прибыли, она представляет собой разницу между выручкой (нетто) от продаж и полной себестоимостью продаж. Ппр зависит от 3-х основных факторов:1.от количества реализованной продукции; 2.от уровня себестоимости единицы продукции по каждой позиции номенклатуры (в современных условиях себест-ть единицы продукции в течение отчетного периода меняется в связи с инфляцией,поэтому при планировании и анализе в расчет принимается средняя себест-ть ед.продукции); 3.от уровня цен, по которым реализуются конкретные виды продукции (в современных условиях в расчет принимаются средние цены ед.продукции). Существуют 2 основных подхода к факторному анализу Ппр:1.при небольшой номенклатуре продукции либо при использовании для анализа компьютерных программ возможно провести прямые расчеты влияния названных факторов по каждой позиции номенклатуры продукции; 2.анализ основывается на обобщении данных, содержащихся в действующей бухгалтерской отчетности (ф.2). Для принятия управленческих решений предпочтительным явл-ся 1-й вариант. Для анализа по первому варианту необходима информация за 2 аналогичных периода времени в разрезе видов продукции. |
|||||||||||||||||||||||||||||||||||||||||||
|
33. Методика анализа основных факторов, влияющих на прибыль от реализации продукции, работ, услуг. Ппр зависит от 3-х основных факторов:1.от количества реализованной продукции; 2.от уровня себестоимости единицы продукции по каждой позиции номенклатуры (в современных условиях себест-ть единицы продукции в течение отчетного периода меняется в связи с инфляцией,поэтому при планировании и анализе в расчет принимается средняя себест-ть ед.продукции); 3.от уровня цен, по которым реализуются конкретные виды продукции (в современных условиях в расчет принимаются средние цены ед.продукции). Существуют 2 основных подхода к факторному анализу Ппр:1.при небольшой номенклатуре продукции либо при использовании для анализа компьютерных программ возможно провести прямые расчеты влияния названных факторов по каждой позиции номенклатуры продукции; 2.анализ основывается на обобщении данных, содержащихся в действующей бухгалтерской отчетности (ф.2). Для принятия управленческих решений предпочтительным явл-ся 1-й вариант. Для анализа по первому варианту необходима информация за 2 аналогичных периода времени в разрезе видов продукции.Полученные результаты анализа по изделиям м.б.использованы при планировании номенклатуры выпуска и реализации продукции на будущие периоды времени, а также для принятия управленческих решений относительно объема производства конкретных видов продукции, относительно их себестоимости и цен реализации. Порядок
расчета прибыли от продаж продукции
можно представить в следующем
виде:
Ппр
- прибыль от продажи продукции; Qi
- объем проданной продукции i-го вида
в натуральном выражении;Цi - продажная
цена единицы продукции i-го вида без
НДС и акцизов и аналогичных обязательных
платежей;Сi - полная себестоимость
проданной единицы продукции i-го вида;
i - конкретный вид проданной продукции;
n
- количество видов проданной
продукции. |
34. Система показателей рентабельности: порядок их расчета, экономическое содержание. По абсолютным показателям прибыли не возможно с достаточной степенью точности судить об уровне эффективности деятельности коммерческой организации, так как одни и те же суммы прибыли могут быть получены в различных экономических условиях. Для измерения эффективности работы организации применяется показатель рентабельности. Рентабельность – это уровень прибыльности. Показатели рентабельности – это относительные показатели (коэффициенты) в которых сумма прибыли сопоставляется с другими показателями отражающими условия хозяйствования. Например: *со средней стоимостью активов в фирме; *со средней суммой собственного капитала и т.д. По данным официальной бухгалтерской отчетности КО можно рассчитать многочисленные показатели рентабельности. Эти показатели различны как по числителю, так и по знаменателю дроби. Числитель дроби при расчете коэффициента рентабельности м. б. Принят любой из известных нам показателей прибыли: бух. прибыль; чистая прибыль; налогооблагаемая прибыль. Каждый из показателей имеет экономический смысл и может применяться на практике. В знаменателе дроби при расчете коэффициента рентабельности м. б. Приняты следующие показатели: выручка (нетто) от продаж; полная с/с продаж; ср. стоимость активов фирмы; сумма уст. кап.; ср. стоимость собств. кап. ; ср. стоимость ОФ фирмы; ср. ст. обор. активов; ср. ст. материально обор. активов; ср. ст. производственного потенциала в КО. Показатели рентабельности характеризуют финансовые результаты и эффективность деятельности предприятия. Они измеряют доходность предприятия с различных позиций и группируются в соответствии с интересами участников экономического процесса, рыночного обмена. Показатели рентабельности являются важными характеристиками факторной среды формирования прибыли предприятий. Поэтому они обязательны при проведении сравнительного анализа и оценке финансового состояния предприятия. При анализе производства показатели рентабельности используются как инструмент инвестиционной политики и ценообразования. Анализ рентабельности предприятия позволяет выявить большое число тенденций развития, призван указать руководству предприятия пути дальнейшего успешного развития, указывает на ошибки в хозяйственной деятельности, а также выявить резервы роста прибыли, что в конечном счете, позволяет предприятию более успешно осуществлять свою деятельность. Показатели рентабельности КО можно рассчитать в проектном варианте, в плановом, в отчетном. При эк. анализе фактические показатели рентабельности за отчетный период можно сравнить с плановыми, проектными) показателями за предыдущий аналогичный период, со ср. отраслевыми, с лучшими и худшими в отросли, а так же с наивысшими показателями рентабельности когда либо в прошлом достигнутыми нашей фирмой. Возможно так же провести факторный анализ показателей рентабельности. В системе показателей рентабельности принято выделять две группы показателей: показатель рентабельности коммерческой организации как субъект хозяйствования; показатель рентабельности продукции, товара, работ, услуг (продаж). Они отражают эффективность производства и реализации товаров, работ, услуг. В зависимости от метода расчета коэффициент рентабельность различают два вида показателей: прибыль по отношению к затратам, то есть к полной себестоимости продукции, работ, услуг; прибыль по отношению к выручке от продаж. В зависимости от объема реализованной продукции включаемой в расчеты, можно выделить три группы показателей рентабельности продукции: 1Показатели рентабельности всей реализованной продукции (всего объема продаж); 2Показатель рентабельности по однородным группам продукции; 3Показатели рентабельности конкретных видов продукции, работ, услуг. Показатели рентабельности всего объема продаж можно рассчитать по данным формы 2 бухгалтерской отчетности. |
|||||||||||||||||||||||||||||||||||||||||||
|
35.
Показатели рентабельности всей
продукции и отдельных ее видов: порядок
расчета, эк. содерж., факторы опред. их
изменение. 1показатель рентабельности коммерческой организации как субъект хозяйствования; 2показатель рентабельности продукции, товара, работ, услуг (продаж). Они отражают эффективность производства и реализации товаров, работ, услуг. В зависимости от метода расчета коэффициент рентабельность различают два вида показателей: прибыль по отношению к затратам, то есть к полной себестоимости продукции, работ, услуг; прибыль по отношению к выручке от продаж. В зависимости от объема реализованной продукции включаемой в расчеты, можно выделить три группы показателей рентабельности продукции: 1Показатели рентабельности всей реализованной продукции (всего объема продаж); 2Показатель рентабельности по однородным группам продукции; 3Показатели рентабельности конкретных видов продукции, работ, услуг. Показатели рентабельности всего объема продаж можно рассчитать по данным формы 2 бухгалтерской отчетности. Показатели рентабельности по однородным группам прод. раб. усл. Рассчитываются по той же методике, что и по всему объему продаж, разница лишь в том, что в расчете применяется показатель выручки полной с/с и прибыли по группам однородной продукции. Необходимую информацию можно получить из регистра БУ. Показатель рентабельности отдельных видов прод. раб. усл. Предпочтительно определять в расчете на единицу продукции, раб. усл. По формуле: Рентабельность ед продукции в % к полной с/с = прибыль в цене ед продукции / полная с/с ед продукции (в денежном выражении) *100; Рентабельность ед продукции в % к цене предприятия изготовителя = прибыль в цене ед продукции в ден. измерении / цена ед продукции у п/п изготовителя (без акцизов, нал с прод, эксп пошлин и тд. Основные пути повышения рентабельности отдельных видов продукции: 1 Снижение с/с ед прод.; 2 Не критическое повышение цены ед прод. По всему V продаж действуют те же 2 ф-ра, а так же 3 ф-ор: изменение структуры реализации в сторону повышения удельного веса высоко рентабельной продукции (при благоприятной коньюктуре рынка). |
36. Методика анализа рентабельности продаж. В системе показателей рентабельности принято выделять две группы показателей: 1показатель рентабельности коммерческой организации как субъект хозяйствования; 2показатель рентабельности продукции, товара, работ, услуг (продаж). Они отражают эффективность производства и реализации товаров, работ, услуг. В зависимости от метода расчета коэффициент рентабельность различают два вида показателей: прибыль по отношению к затратам, то есть к полной себестоимости продукции, работ, услуг; прибыль по отношению к выручке от продаж. В зависимости от объема реализованной продукции включаемой в расчеты, можно выделить три группы показателей рентабельности продукции: 1Показатели рентабельности всей реализованной продукции (всего объема продаж); 2Показатель рентабельности по однородным группам продукции; 3Показатели рентабельности конкретных видов продукции, работ, услуг. Показатели рентабельности всего объема продаж можно рассчитать по данным формы 2 бухгалтерской отчетности. По аналогии с факторным анализом прибыли от продаж можно сказать что, на процент рентабельности продаж влияют три основных фактора: 1 объем продаж (объем реализации); 2 изменение полной себестоимости продаж; 3 изменение цен на реализованную продукцию, работу, услугу. При этом с некоторой долей условности можно считать, что влияние первого фактора, т.е. объем продаж, устраняется (так как этот фактор присутствует в числителе и знаменателе дроби при расчете процента рентабельности продаж). Для факторного анализа рентабельности продаж используем метод целевых подстановок. Рентабельность продаж в % = прибыль от продаж (выручка от продаж – полная с/с продаж) / выручку от продаж = бух. прибыль / выручку от продаж |
|||||||||||||||||||||||||||||||||||||||||||
|
37. Анализ основных факторов, влияющих на изменение чистой прибыли. ЧП-это часть общей БП, остающейся в распоряжении орг-ции после начисления налога на прибыль и иных анал.обяз.платежей, а также с учетом чрезвыч.доходов и расходов (ф.2 стр.190): ЧП=стр.160+стр.170-стр.180). Перечень факторов, обуславливающих изменение ЧП, определен самой методикой ее расчета:1.сумма бухг.прибыли;2.сумма налога на прибыль;3.сумма иных аналог.обяз.платежей;4.сумма чрезвыч.доходов;5.сумма чрезвыч.расходов. Поскольку ЧП-это часть бухг.прибыли, можно рассчитать влияние на ЧП факторов, обуславливающих изменение бухг.прибыли. |
38. Факторный анализ рентабельности средств, вложенных в имущество предприятия (рентабельность капитала) В экономической литературе коэф. рентаб. капитала принято называть показателем фин. рентабельности, следовательно фин. рентабельность это рентабельность капитала (рентабельность финансовых результатов). Можно рассчитать следующие коэффициенты рентабельности капитала: 1 рентабельность всего капитала; 2 рентабельность собственного капитала. Рентабельность капитала = БП, чистая П, валовая П, нал. обл. П, П от продаж, П от обычной деятельности за период / ср. сумма капитала за период в т.р. ; Рентабельность собственного капитала в % = БП… / ср. сумму собственного капитала за период в т.р. Алгоритм методики факторного анализа рентабельности собственного капитала: Rск = П/СК ∆Rск = Rск - Rск0 Для целей факторного анализа введем в формулу рентабельности показатель выручки от продаж, тогда: Rск = (П/В)/(СК/В)*100% Rск = (В/СК)*(П/В)*100% Где В/СК – коэффициент отдачи собственного капитала, а П/В*100% - рентабельность продаж Таким образом, мы получили двух факторную мультипликативную модель. Используем метод целевых подстановок, тогда будет: Базовый вариант: Rск0 = (В0/СК0)*( П0/В0)*100% Отчетный вариант: Rск = (В1/СК1)*(П1/В1)*100% Влияние факторов: 1. влияние на рентабельность собственного капитала изменения коэффициента его отдачи ∆Rск (В/СК) = (В1/СК1 - В0/СК0)*(П0/В0)*100% 2. влияние на рентабельность собственного капитала изменения процента рентабельности продаж ∆Rск (П/В*100) = ((П1/В1)*100 — (П0/В0)*100)* В1/СК1 Проверка: ∆Rск (В/СК) + ∆Rск (П/В*100) = Rск - Rск0 Методика позволяет углубить факторный анализ влияния 1 фактора т.е. коэф. отдачи СК можно разложить на ф-ры 2 порядка в соответствии с составом собственного кап. (см. 3 раздел баланса). Влияние 2 ф-ра т.е. % рент. прод. можно разложить на ф-р 2 порядка в соотв-вии с перечнем ф-в повлиявших на изменение суммы прибыли ( БП, чистой П, П от обычной деятельности) |
|||||||||||||||||||||||||||||||||||||||||||
|
39. Определение порога рентабельности продаж и запаса финансовой прочности. При планировании и анализе выручки и прибыли от продаж используются такие показатели как: порог рентабельности (точка безубыточности или критическая точка); запас финансовой прочности (зона безубыточности работы); эффект операционного рычага. Маржинальный доход представляет собой разницу м/у выр. (нетто) и условно переменными затратами; за счет маржинального дох. фирма покрывает условно постоянные затраты и получает приб. от продаж. Порог рент. – это есть min допустимый V продаж достаточный для покрытия пер. и пост. затрат; т.е. это такая величина выручки от продаж при которой марж. дох. = сумме усл. пост. затр., а приб от прод = 0. Порог рент прод = усл пост затр / коэф марж дох к выр от прод ; = это min допустимая выр от прод., при меньшей сумме выр от продаж фирма будет нести убытки если не понизятся усл пост затр, однако для маленькой суммы усл пост затр порог рент изменится он будет меньше. Зная порог рент м. опред. «зап фин прочности» фирмы при ухудшен рын обстановки или при иных затр. Зап фин прочности = планир или достигн выр от прод – порог рент прод. = т.е. фирма м выдержать понижение выручки от прод на эту сумму и не стать при этом убыточной. |
Вопрос 40. ИНФЛЯЦИЯ, МЕТОДЫ ЕЕ УЧЕТА И АНАЛИЗА ВЛИЯНИЯ НА ФИНАНСОВОЕ СОСТОЯНИЕ И ФИНАНСОВЫ РЕЗУЛЬТАТЫ. Инфляция –процесс повышения общего уровня цен в экономике, сопровождающийся снижением покупательной способности денег, или их обесценением. Открытая инфляция проявляется в продолжительном росте уровня цен, скрытая – в усилении товарного дефицита. Первая характерна рыночной, вторая – централизованно планируемой экономике. Контроль за изменением цен на отдельные виды товаров, а также на потребительские товары в целом осуществляется с помощью индексов цен. Наибольшую известность получили индексы Карли, Маршалла, Пааше, Ласпейреса, Фишера. В нашей стране традиционно используется индекс Пааше. n n где p¹( pº) – цена k-го товара в отчетном (базисном) периоде Ip= p¹q¹ / pºq¹ , q¹- количество k-го товара, проданного в отчетном периоде k=1 k=1 n- число товаров (товарных групп). Во многих экономически развитых странах применяется индекс Ласпейреса (объемы проданных товаров берутся из базисного периода). Т.к. даже умеренная инфляция оказывает влияние на финансовые результаты деятельности предприятия, разработаны различные подходы к учету инфляции. В мировой учетно-аналитической практике известно несколько подходов. Среди них: игнорировать в учете, делать пересчет по отношению к стабильной валюте, переоценивать объекты бух. учета в денежные единицы одинаковой покупательной способности, переоценивать объекты бухгалтерского учета в текущую стоимость.В основе понимания причин и целесообразности применения того или иного метода оценки при наличии колеблющихся цен лежит классификация объектов бух. учета на монетарные и немонетарные. Монетарные активы (обязательства)- это учетные объекты, которые либо находятся в форме денег , либо будут оплачены или получены в виде оговоренной неизменной суммы денег (ден. Ср-ва в кассе и на р/с, депозиты, фин. Вложения, расчеты с дебиторами и кредиторами). Немонетарные активы – это учетные объекты, реальная денежная оценка которых меняется с течением времени и изменением цен (ОС, НМА, Произв. запасы) Существует несколько методов оценки запасов: ФИФО, ЛИФО, по средней цене. Какая из методик представляется более обоснованной зависит от критериев, которые принимаются во внимание. Методика ФИФО обеспечивает относительно больший прирост авансированного капитала , лучшие значения показателей рентабельности, т.е. дает более привлекательную картину для непрофессиональных инвесторов. Применение методики ЛИФО приводит к заниженной оценке производственных запасов и к меньшей величине прибыли, т.е. на первый взгляд, она дает менее привлекательные результаты. На самом же деле, в условиях инфляции именно эта методика наиболее предпочтительна, поскольку величина уплачиваемого налога меньше, а следовательно, больше средств остается у предприятия. Это говорит о значимости методов бух. учета для формирования конечных финансовых результатов. Кроме того, любому аналитику (инвестору, лендеру, кредитору, финансовому менеджеру) ни в коем случае не следует зацикливаться на финансовых вопросах , а реальность оценок о финансовом состоянии предприятия не может быть сделана без надлежащего осмысления принятой на предприятии учетной политики. |
|||||||||||||||||||||||||||||||||||||||||||
|
Вопрос 41. ПОКАЗАТЕЛИ СЕБЕСТОИМОСТИ ПРОДУКЦИИ (РАБОТ, УСЛУГ), ИХ ИСПОЛЬЗОВАНИЕ В АНАЛИЗЕ. Себестоимость продукции, работ, услуг ( С/с П,Р,У) представляет собой стоимостную оценку используемых в процессе производства П,Р,У природных ресурсов, средств и приемов труда, услуг других организаций и оплату труда работников. Показатели с/с классифицируются: Назначению, По отношению к продукции, работам, услугам, По полноте учета затрат. 1) По назначению показатели с/с подразделяются на: проектные , плановые, нормативные, отчетные (фактические за предыдущий период), базисные 2) По отношению к П,Р,У: с/с калькуляционной единицы продукции (1 шт, 10 шт, 1кг, 1м и т.д.) в строительстве – с/с одного объекта, в научно-исследовательской организации – с/с одной конкретной н/и темы с/с всего выпуска данного вида продукции (или группы однородной продукции), с/с всей выпущенной продукции коммерческой организацией за период, с/с всей реализованной продукции коммерч. Организацией за период 3) По полноте учета затрат: операционная (неполная с/с), определяемая только по переменным затратам, цеховая, производственная, полная. При экономическом анализе исп-ся также относительные показатели, отражающие величину затрат в копейках или % на 1 руб. стоимости продукции. Полная с/с , выпущенной или реализованной Затраты на продукции, тыс. руб. 1 руб. прод-ции, = ____________________________________________ *100 коп., % ст-ть выпущенной или реализованной прод-ции, тыс. руб. В числителе данного показателя м.б. представлена часть полной с/с продукции, т.е. затраты по 1му элементу, либо по одной (или нескольким) калькуляционным статьям с/с. Использование относительных показателей особенно важно в условиях инфляции, поскольку абсолютные показатели теряют сопоставимость из-за инфляционных процессов. |
Вопрос 42. УПРАВЛЕНИЕ СЕБЕСТОИМОСТЬЮ: ЦЕЛИ И СОДЕРЖАНИЕ. Управление с/с – это процесс формирования издержек производства и с/с как всего объема, так и единицы продукции, а так же, процесс определения продажных цен и рентабельности продукции. Цели управления себестоимостью: -выявление возможностей экономии всех видов затрат, -выявление резервов снижения с/с конкретных изделий для повышения их конкурентоспособности на рынке сбыта. Используются разные пути повышения конкурентоспособности продукции: 1.За счет экономии традиционных затрат можно провести дополнительные затраты на повышение качества продукции, на улучшение ее внешнего вида, упаковки. Это позволит ускорить процесс реализации и повысить конкурентоспособность продукции. 2.Снижение с/с изделий позволяет в определенных границах снизить цены по сравнению с ценами конкурентов и т.о. ускорить процесс реализации и сократить затраты на хранение продукции. 3.Могут быть установлены определенные скидки с цен реализации для некоторых категорий потребителей (сезонные, праздничные и т.д.) Основными элементами системы управления являются: 1.Прогнозирование. Расчет величины достигаемого уровня затрат с целью определения путей развития пр-ва и повышения его эффективности. 2.Планирование. Это расчет величины затрат на более короткий период времени с учетом организационного и технического уровня производства. При планировании осуществляется экономическое обоснование принимаемых решений о производстве новых изделий, о снятии с производства устаревших изделий, о технических усовершенствованиях выпускаемой продукции. 3.Нормирование затрат. Это определение оптимального размера затрат, необходимых для производства запланированных к выпуску изделий. 4. Учет фактических затрат и калькулирование с/ продукции. 5.Анализ. – исследование поведения затрат, особенно тех, которые вызваны отклонениями от нормального производственного процесса. Сравнение фактических и плановых затрат для поиска резервов экономии затрат. 6.Регулирование. Принятие управленческих решений и проведение их в жизнь. |
|||||||||||||||||||||||||||||||||||||||||||
|
Вопрос 43. АНАЛИЗ ЗАТРАТ НА РУБЛЬ ОБЪЕМА ПРОДУКЦИИ (РАБОТ, УСЛУГ) ПО ЭЛЕМЕНТАМ. В официальной бухгалтерской отчетности содержится недостаточно информации для факторного анализа с/с реализованной продукции. (ф№5, раздел 6 годового отчета). Сравнение абсолютных сумм затрат за 2 года не дает ответа на вопрос о том, имеет ли место экономия затрат в отчетном году по сравнению с предыдущим, т.к. суммы затрат за 2 года различаются по многим причинам. 1.За каждый год затраты сложились на объем продаж, продукции, работ, услуг данного года. 2.За каждый год затраты сложились на конкретную структуру реализации продукции работ, услуг данного года. 3.Инфляционные процессы по-разному влияют на каждый элемент затрат: в большей степени на материалы и прочие затраты, в меньшей степени на зарплату. На амортизацию влияет лишь в том случае, если имела место переоценка основных фондов. При анализе необходимо использовать относительные показатели коэффициентов, с помощью которых устраняется влияние этих причин. Коэффициенты затрат в копейках или % на 1руб. выручки-нетто от продаж можно рассчитать не только по итогу затрат, но и по каждому элементу затрат. Сумма затрат по экономическому элементу, Затраты на тыс. руб. 1 руб. прод-ции, = ____________________________________________ *100 коп., % Выручка – нетто от продаж, тыс. руб Коэффициенты рассчитаны по каждому экономическому элементу и по итогу затрат имеют конкретные наименования, кот. Отражают их экономический смысл: 1.К-т капиталоемкости = Сумма выручки/затраты, 2.К-т отчислений на соц. нужды, 3.К-т удельной амортизации, 4.К-т прочих затрат 5.К-т полных затрат Каждый из перечисленных к-тов можно детализировать. Например, материальные затраты: сырье и основные материалы, вспомогательные материалы, покупные полуфабрикаты и комплектующие изделия, услуги сторонних организаций, топливо и энергия на технологические цели. Такая детализация позволит выявить конкретные причины изменения общего к-та материалоемкости в отчетном периоде по сравнению с предыдущим.
|
Вопрос 44. АНАЛИЗ МАТЕРИАЛЬНЫХ ЗАТРАТ В СЕБЕСТОИМОСТИ ПРОДУКЦИИ (РАБОТ, УСЛУГ) ПО ДАННЫМ КАЛЬКУЛЯЦИИ. Анализ влияния на с/с эффективности использования материальных ресурсов можно провести в двух направлениях: 1.Анализ материальных затрат как экономического элемента. 2.Анализ материальных затрат в с/с конкретных изделий, т.е. по данным калькуляции этих изделий. При анализе по 1му направлению рассчитываются показатели материалоемкости в количестве на 1 руб. выручки от продаж. Второе направление анализа – по данным калькуляции с/с конкретного изделия. Как правило, второй раздел калькуляции называется Расшифровка материальных затрат. В этом разделе приводится информация об основных видах потребляемых материалов, о количественном их расходе на калькуляционную единицу продукции, о заготовительной с/с единицы потребляемых материалов. В калькуляции может содержаться блок нормативных, либо плановых данных, либо данных за предыдущий аналогичный период. Этот блок служит базой для сравнения фактических показателей. Если такая информация имеется, то возможно провести анализ материальных затрат в с/с калькуляционной единицы продукции в разрезе важнейших видов потребляемых материалов. При анализе определяется сумма экономии или перерасхода по каждому виду материалов и выявляется влияние двух основных факторов: 1.Изменение количественного расхода материалов на калькуляционную единицу продукции. 2.Изменение заготовительной с/с единицы потребляемых материалов. Алгоритм методики анализ (метод цепных подстановок)Базовый вариант: МЗ 0=К 0*Ц 0 Отчетный вариант: МЗ 1=К 1*Ц 1 ∆ МЗ = МЗ 1 – МЗ 0 МЗ – сумма материальных затрат по конкретному виду материалов, К – количественный расход данного вида материала в натуральном выражении на калькуляционную единицу продукции, Ц – заготовительная с/с единицы данного вида материала в денежном выражении. В том числе: ∆ МЗ(К) = ∆К * Ц 0= (К1-К0) * Ц 0 ∆ МЗ(Ц) = ∆Ц * К 1 Проверка: ∆ МЗ(К) + ∆ МЗ(Ц) = МЗ 1 – МЗ 0 При дальнейшем анализе можно выявить конкретные причины влияния каждого из двух основных факторов. Так, например, изменение количественного расхода материалов на калькулируемую единицу может быть вызвано 1.совершенствованием технологии производства , 2.централизацией заготовительных операций, 3.нарушением технологических режимов, 4.некондиционностью сырья, 5.недостатками материально-технического обеспечения, 6.вынужденной заменой материалов Заготовительная с/с материалов включает: 1.фактурную стоимость 2.транспортные расходы, 3.сборы различного вида, 4.расходы по доставке с пристани до склада предприятия и погрузочно-разгрузочные расходы |
|||||||||||||||||||||||||||||||||||||||||||
|
Вопрос 45. АНАЛИЗ РАСХОДОВ НА ОПЛАТУ ТРУДА И ИХ ВЛИЯНИЕ НА СЕБЕСТОИМОСТЬ ПРОДУКЦИИ, РАБОТ, УСЛУГ. Влияние эффективности использования трудовых ресурсов на затраты коммерческой организации проявляется в двух элементах: затраты на з/п, отчисления ЕСН. В с/с продукции затраты на оплату труда входят самостоятельной калькуляционной статьей: з/п основных и дополнительных производственных рабочих. Кроме того, з/п входит в состав комплексных статей с/с. Например, в статью общепроизводственные расходы, общехозяйственные расходы, расходы на подготовку и освоение производства. Анализ затрат на оплату труда можно провести в трех направлениях: 1).Анализ затрат на оплату труда как экономического элемента, т.е. с применением коэффициента зарплатоемкости. 2).Анализ использования фонда з/п в разрезе групп персонала. 3).Анализ з/п в с/с конкретных изделий по калькуляции. При анализе по второму направлению по каждой группе персонала (основн. рабочие, управл. персонал, охрана и т.д.) фонд з/п можно представить в виде двухфакторной мультипликативной модели: Базовый вариант: ФЗП 0 = р 0 * з 0 Отчетный вариант: ФЗП 1 = р 1 * з 1 Р – среднесписочная численность персонала в данной группе (чел.), З – среднесписочная з/п одного работника данной группы персонала. Сначала определяется изменение фонда з/п в отчетном варианте по сравнению с базовым ∆ ФЗП = ФЗП 1 - ФЗП 0 Затем можно рассчитать влияние на это изменение двух основных факторов: 1.Изменение среднесписочного числа работников данной группы, 2.Изменение среднесписочной з/п одного работника данной группы ∆ ФЗП(р) = ∆р * з 0 ∆ ФЗП(з) = ∆з * р 1 Проверка: ∆ ФЗП(р) + ∆ ФЗП(з) = ФЗП 1 - ФЗП 0 Интегральный метод. ∆ ФЗП(р) = ∆р * з 0 + ∆р * ∆з/2 ∆ ФЗП(з) = ∆з * р 0 + ∆р * ∆з/2 Анализ з/п по третьему направлению осуществляется на основе данных калькуляции с/с отдельных изделий. Как правило, в третьем разделе калькуляции должна быть представлена информация о трудоемкости изготовления изделий в разрезе технологических операций, а также о средней з/п на единицу трудоемкости. При анализе з/п, относимой на отдельные изделия, необходимо учитывать, что изменение суммы з/п производственных рабочих зависит от двух основных факторов: изменение трудоемкости изготовления единицы продукции, изменение уровня средней оплаты за единицы трудоемкости. Если в калькуляции имеются сведения о затратах времени на единицу изделия и о среднечасовой з/п, то можно определить влияние названных выше факторов на отклонение от плана суммы з/п производственных рабочих на одно изделие. При дальнейшем анализе необходимо выяснить причины изменения трудоемкости (ТЁ) изготовления единицы изделия и средней оплаты труда. Например, снижение ТЁ может быть результатом совершенствования технологического процесса или отказа от каких-либо технологических операций, что может привести к снижению качества П,Р,У. Повышение средней оплаты за 1 час работы может быть связано с изменением состава рабочих (увеличение удельного веса высокооплачиваемых рабочих), либо с повышением тарифных ставок, либо с повышением разного рода доплат. |
46. АНАЛИЗ КОМПЛЕКСНЫХ СТАТЕЙ ЗАТРАТ В СОСТАВЕ СЕБЕСТОИМОСТИ ПРОДУКЦИИ (Р,У) В составе себестоимости продукции выделяются следующие группы комплексных расходов: Общепроизводственные; Общехозяйственные; Потери от брака; Прочие (коммерческие) расходы. Первые 2 группы расходов объединяются в расходы по обслуживанию производства и управлению. Комплексный характер данных расходов означает, что каждая группа содержит несколько различных по экономическому содержанию элементов. Н/р в составе общехоз. Расходов м.б. – матер.затраты: з/п, амортиз.отчисления, арендная плата и др. Одновременно названные группы расходов являются косвенными, т.к. распределяются между видами П, Р, У пропорционально какой-либо базе: пропорционально зарплате произв. Рабочих или пропрорционально прямым расходам и др. Задачи анализа комплексных статей затрат: Изучение их динамики; Анализ исполнения сметы по каждой группе расходов; Выявление причин отклонений от сметных показателей; Анализ обоснованности распределения комплексных расходов между готовой продукцией и незавершенным производством, а также между отдельными видами продукции; Выявление резервов, снижение с/с за счет экономии комплексных затрат. По признаку зависимости от объема П, Р,У компл. Затраты делятся на условно-переменные и условно-постоянные. Условно-переменные – связанные с содержанием и эксплуатацией оборудования. Они входят в группу общепроизводственных расходов. Кроме них сюда можно отнести расходы на продажу и прочие производственные расходы. При ЭА каждая группа комплексных расходов изучается отдельно. При разработке бизнес-планов необходимо составить сметы общепр.расходов по каждому подразделению организации, а также смету общехоз. расходов в целом по организации. Эти сметы разбиваются на год с разбивкой по кварталам. Они утверждаются руководителем организации и служат базой для контроля за этой группой расходов. В процессе ЭА проверяется соблюдение смет, расходов по каждому произв. Подразд., а также соблюдение сметы общехоз. расходов. Проверка исполнения смет осуществляется путем сравнения факт. затрат по каждой статье затрат по смете. Все случаи превышения факт. затрат по сравнению со сметой д.б. тщательно проанализированы. Такой анализ возможен при условии, если БУ ведется в разрезе производственных подразделений. |
|||||||||||||||||||||||||||||||||||||||||||
|
47. ОСНОВНЫЕ ПОНЯТИЯ МАРЖИНАЛЬНОГО АНАЛИЗА СЕБЕСТОИМОСТИ П, Р, У. Затраты подразделяются на условно-постоянные и условно-переменные. Маржинальный доход представляет собой разницу между выручкой от продаж и условно-переменными затратами. За счет маржинального дохода фирма должна покрыть условно-постоянные расходы и получать прибыль от продаж. Порог рентабельности- минимально допустимый объем продаж, достаточный для покрытия переменных и постоянных затрат, т.е. маржинальный доход равен сумме условно-постоянных затрат, а прибыль равна нулю. Методика маржинального анализа может быть: 1 - на основе информации об общем объеме продаж и затратах в целом по предприятию, 2 - на основе показателей маржинального дохода в расчете на ед. продукции. 1. Если ф.2 дополнить сведениями об условно-переменных и условно-постоянных затратах, то можно провести маржинальный анализ себестоимости и прибыли от продаж: Выручка от продаж; Полная с/ст продаж; Прибыль от продаж (1-2); Условно-переменные затраты; Условно-постоянные затраты; Маржинальный доход (1-4) или (3+5) Доля усл-пост. Затрат с/ст продаж в процентах ((5/2*100) К-т маржинального дохода к выручке от продаж (6/1) Порог рентабельности (5/ 8) Запас финансовой прочности (1-9) (превышение над порогом рентабельности) Запас фин. Прочности в % к выручке (10/1*100) Сумма маржинального дохода = порог рентабельности продаж (необходимо реализовать продукции не менее данного показателя). В (выручка от продажи) =С (себестоимость продаж) + П (прибыль от продаж) Т.к. с/ст продаж состоит из перем. и постоянных затрат то в точке безубыточности объем продаж равен: В = q (кол-во реализ. Продукции) * С переменные затраты + С постоянные затраты; В= q * p (цена ед. продукции) q*p=q*С перем. + С пост. q Крит. = С пост./ (p – С пер.)= С пост. / марж. Доход на ед.продукции – данная формула показывает объем реализации продукции, при котором предприятие не получает ни прибыли ни убытков, так как выручка от продаж = полной себестоимости продукции. Это порог рентабельности. Исходя из этой формулы можно определить критическую продажную цену продукции, на уровне которой прекращается покрытие полных затрат: p критич. = С пост./ q Крит. + С перем. Критическая выручка=С пост. / 1 – (С переем./ p) Критический объем продаж = С пост/ (Марж.доход / факт. выручку от продаж ) Пройдя порог рентабельности организация имеет доп. сумму прибыли на каждую дополнительно реализованную единицу продукции, соответственно расчет прибыль от продаж. |
Вопрос 48. ОБЪЕМЫ РЕАЛИЗАЦИИ ПРОДУКЦИИ, РАБОТ, УСЛУГ: ПОРЯДОК ФОРМИРОВАНИЯ И ФАКТОРЫ, ВОЗДЕЙСТВУЮЩИЕ НА ИЗМЕНЕНИЯ. Существует методика маржинального анализа на основе информации об общем объеме продаж и общих затратах в целом по предприятию. Вместе с тем такой анализ можно провести на основе показателей маржинального дохода в расчете на единицу продукции. Взаимосвязь объема продаж, затрат и прибыли можно представить следующей формулой. B = S+П, где (1)B – выручка от продаж,S – полная с/с продаж,П – прибыль от продаж. Т.к. с/с продаж состоит из переменных и постоянных затрат, то в точке безубыточности объем продаж равен: B = q * С перем. + С пост. (2) q - количество реализованной продукции в натуральных единицах, С перем. – переменные затраты на ед. продукции в руб. С пост. – постоянные затраты в целом по предприятию Вместе с тем выручку от продаж можно выразить так: B = q *p –цена ед. в руб. (3) Исходя из последних двух формул можно записать: q * p = q * C перем. + С пост. (4) Получаем: q критич. = С пост./ p – Сперем.= С пост. / МД (марж-й д-д на ед. продукции) (5) Формула (5) показывает объем реализации продукции, при кот-м предприятие не получает ни прибыли, ни убытка, т.к .выручка от продаж равна полной с/с продукции. Это порог рентабельности или критический объем продаж данного вида продукции. В этой точке величина МД равна сумме постоянных затрат. Исходя из данных ф-лы.5, можно определить критич. Продажную цену продукции на уровне которой прекращается покрытие полных затрат. P критич. = С пост. / q критич. + с перем. (6) Величину критич. Выручки от продаж можно рассчитать по одной из следующих формул: В критич. = С пост. / 1 – (С прем. /р) (7) В критич. = С пост./ (мд / р) мд – марж. доход в расчете на ед. продукции (7) На базе информации о всей реализации: В критич. = С пост./ (МД /В факт.) (9) В факт – фактич. Выручка от продаж Если предприятие ставит перед собой задачу получить определенную сумму прибыли от продаж, то можно рассчитать выручку при заданной величине прибыли по формуле: В необх. = (С пост. + П) / 1- (С перем. / р) = (С пост – П) / (мд / р) П – задаваемая нами прибыль от продаж Пройдя порог рентабельности организация имеет дополнительную сумму прибыли на каждую дополнительно реализованную еджиницу товара. Соответственно растет и сумма общей прибыли от продаж. Для расчета суммы дополнительной прибыли в этом случае используется следующая ф-ла: П доп = q превыш. * МД / q общ. П доп – дополнительная прибыль q превыш – кол-во товароа, проданного после прохождения порога рентабельности. Приведенные выше расчеты относятся к организациям, производящим и реализующим один вид продукции. Либо когда расчеты производится для одного инвестиционного проекта. Методика анализа взаимосвязи объема продаж, с/с и прибыли для предприятий, производящих и реализующих несколько видов продукции, не достаточно разработаны. |
|||||||||||||||||||||||||||||||||||||||||||
|
49. МЕТОДИКА АНАЛИЗА ЭФФЕКТИВНОСТИ ИСПОЛЬЗОВАНИЯ ТРУДОВЫХ РЕСУРСОВ. Анализ эффективности использования трудовых ресурсов на затраты комм. Организации проявляется в двух элементах: 1)Затраты на зарплату; 2) затраты на отчисления ЕСН. В с/ст продукции затраты на оплату труда входят самостоятельной калькуляционной статьей: зарплата основная и доп. Произв. Рабочих. Кроме того зарплата входит в состав комплексных статей себестоимости. Анализ затрат на оплату труда можно провести в 3х направлениях: Анализ затрат на оплату торуда как эк. Элемента, т.е. с применением коэффициента зарплатоемкости. Анализ использования фонда зарплаты в разрезе групп персонала. Анализ зарплаты в себестоимости конкретных изделий (по калькуляции). При анализе по второму направлению по каждой группе персонала (осн. Рабочих, упр. Персонал, охрана и т.д.) фонд зарплаты можно представить в виде двухфакторной мультипликативной модели. Базовый вариант: ФЗП 0 = P0 * З0 Отчетный вариант: ФЗП 1 = P0 * З 1, где Р – среднесписочная численность персонала данной группы, З – средняя зарплата работника данной группы. При анализе по каждой группе персонала с начала определяют изменение фонда зарплаты в отчетном году по сравнению с базисным: ИзмФЗП = ФЗП 1 – ФЗП 0 Затем рассчитать влияние на это изменение 2х основных факторов: изменение среднесписочной численности; изменение средней зарплаты одного работника данной группы: изм.ФЗП (Р) = изм.Р * З 0 изм. ФЗП (З) = изм. З * P 1. Интегральный метод: изм.ФЗП (Р) = (изм. Р * З 0 + изм.Р* изм. З)/2 изм. ФЗП (З) = (изм. З * Р 0 + изм. Р * изм. З)/2 При углублении анализа желательно выяснить конкретные причины изменения численности работников каждой группы и причины изменения средней зарплаты одного работника. |
50. МЕТОДИКА АНАЛИЗА ЭФФЕКТИВНОСТИ ВЛИЯНИЯ ТРУДОВЫХ ФАКТОРОВ НА ОБЪЕМ П, Р, У. При анализе зарплаты, относимой на отдельные изделия, необходимо учитывать, что изменение суммы зарплаты производственных рабочих зависит от двух основных факторов: изменение трудоемкости изготовления единицы продукции; изменение уровня средней оплаты за ед. продукции. Если в калькуляции имеются сведения о затратах времени на ед. изделия и о среднечасовой зарплате, то можно определить влияние названных выше факторов на отклонение от плана суммы зарплаты производственных рабочих на одно изделие. Показатели: Трудоемкость производства изд. А, чел-час ; Средняя оплата за 1 чел-час, руб; Сумма осн. Зарплаты произв. Рабочих на 1 изд. А, в руб. (ТЕ 1 – ТЕ 0) * ср. з/п 0 изменение за счет трудоемкости (ср. з/п 1 – ср. з/п 0) * ТЕ 1 За счет изменения среднего уровня оплаты труда. Может быть увеличение суммы зарплаты в себестоимости за счет снижения трудоемкости и повышения средней зарплаты. Необходимо выяснить причины изменения трудоемкости, напр. Как результат совершенствования технологического процесса или отказа от каких либо технологических операций, что может привести к снижению качества продукции. |
|||||||||||||||||||||||||||||||||||||||||||
|
51. МЕТОДИКА АНАЛИЗА ЭФФЕКТИВНОСТИ ИСПОЛЬЗОВАНИЯ ОСНОВНЫХ ФОНДОВ. Влияние эффективности исп. ОФ на затраты проявляются в экономическом элементе – амортизация основных средств. Анализ этого влияния можно провести в двух направлениях: - на основе использования коэффициентов удельной амортизации; - на основе информации о движении отдельных объектов основных фондов. 1) При ЭА по 1 направлению: коэф. Уд. Амортизации м.б. начислены за несколько сравниваемых периодов времени, по данным бизнес-планов, по данным организаций – отраслевых лидеров, организаций- конкурентов и т.п. Фактические показатели сопоставляются с базовыми и делаются выводы об их изменении. К-т уд. амортизации на 1 руб выручки = Сумма амортизации за пер., т.р. / выручка-нетто от продаж за период, тыс. руб. Рассчитывают амортиз. Экономию сумм амортиз. Отчислений в отчетном периоде по сравнению с отчетным. 2) На основе информации о движении отдельных объектов основных фондов: Если в орг-ции имело место изменение основных фондов (продажа крупных объектов, ликвидация и т.п.), то можно рассчитать влияние движения объекта основных фондов на суммы начисленной амортизации и на издержки организации. Расчеты производятся исходя из конкретных сроков снятия с учета или постановки на учет отдельных объектов. К-т отдачи ОФ = Выручка-нетто/ средняя стоимость ОФ за период, тыс.руб. |
Вопрос 52. МЕТОДИКА АНАЛИЗА ЭФФЕКТИВНОСТИ ИСПОЛЬЗОВАНИЯ МАТЕРИАЛЬНЫХ РЕСУРСОВ, ПОРЯДОК РАСЧЕТА И ФАКТОРЫ ИЗМЕНЕНИЯ. Для обеспечения бесперебойного процесса произ-ва и реализации Т,Р,У каждая коммерческая организация должна располагать необходимым сырьем, материалами, топливом, комплектующими, инструментами. С другой стороны, рациональное использование предметов труда является одним из важнейших факторов роста объема производства и продаж – снижение с/с, увеличение прибыли и повышение уровня рентабельности. Основными источниками информации для анализа являются: -плановая смета затрат на произ-во и продажу; -раздел 6 формы №5 годового бух. Баланса ; -плановые и отчетные калькуляции по отдельным видам продукции; регистры бухучета и первичные бух. документы. Обобщающими показателями эффективности использования материальных ресурсов являются: 1)К-т материалоотдачи (МО), 2)К-т материалоемкости (МЕ). Выручка-нетто от продаж за период в денежном выражении К-т МО = _______________________________________________________ Сумма материальн. затрат за период в ден. выражении К-т МЕ = 1 / МО, информация в форме №2 Сумма материальных затрат на производство и реализацию за период включает затраты на сырье и основные материалы, на топливо, энергию, на покупные полуфабрикаты и комплектующие, а также услуги сторонних организаций, связанные с реализацией продукции. Кроме того, включаются также материальные затраты, содержащиеся в комплексных статьях с/с. При анализе показателей МО и МЕ изучается их динамика, а также производится сравнение с данными бизнес-плана. При этом возможны 3 направления анализа: 1)Анализ плана по объему реализации во взаимосвязи с запланированной величиной материальных затрат (МЗ) и плановых коэф-тов МО. 2)Анализ динамики объема реализации во взаимосвязи с динамикой МЗ и динамикой среднего уровня МО. 3)Анализ выполнения плана по объему реализации, по сумме МЗ и по среднему коэф-ту МО. Методика анализа по всем трем направлениям одинакова. В ее основе лежит прием элиминирования, а расчеты могут быть произведены одним из известных способов. |




























