Инвентаризация как важнейший приём контроля...
БЕЛКООПСОЮЗ
Гомельский Кооперативный институт
Кафедра финансов, бухгалтерского учёта
ДИПЛОМНАЯ РАБОТА
на тему: инвентаризация как важнейший приём контроля и ревизии деятельности предприятий розничной торговли и пути её совершенствования в условиях рыночных отношений (на материалах оптово-розничного предприятия «Облторгсоюз» на примере розницы универсального торгового комплекса № 5)
Выполнила студентка
заочного факультета
группы У-52
Ясточкина О. Е.
Научный руководитель
ассистент
Дробышевская
Консультант
профессор
Шевлюков
ГОМЕЛЬ, 1998
О Г Л А В Л Е Н И Е
Введение 7
Глава 1. Состояние сохранности собственности предприятия и необходимость её контроля в условиях рыночных отношений 9
1.1.Сущность и значение инвентаризаций как приёма внутриведомственного контроля 9
1.2.Организация контрольно-инвентаризационной службы на предприятиях торговли и её значение. 12
1.3. Краткая экономическая характеристика универсального торгового комплекса № 5. 13
Глава 2. Инвентаризация – важнейшее средство контроля за сохранностью собственности торговых организаций. Пути совершенствования инвентаризационной работы в условиях рыночных отношений 15
2.1. планирование и организация инвентаризаций на предприятиях розничной торговли 15
2.2. порядок проведения и документальное оформление инвентаризации товарно-материальных ценностей на предприятиях розничной торговли 20
2.3. Определение, оформление, рассмотрение и учёт результатов инвентаризаций и их влияние на финансовое состояние организации 22
2.4. Использование ЭВМ при проведении инвентаризации и выведении её результатов. 28
Глава 3. Анализ инвентаризационной работы и пути её совершенствования. 34
3.1. Контроль и анализ достоверности и качества инвентаризационных материалов. 34
3.2. Использование информации инвентаризаций для оценки имущественного состояния 38
3.4. Анализ результатов инвентаризаций в условиях использования ЭВМ. 53
заключение 55
Список использованной литературы. 57
ПРИЛОЖЕНИЯ 59
Введение
В условиях рыночных отношений, когда хозяйственная деятельность предприятий и организаций торговли и их развития осуществляется за счёт самофинансирования, а при недостатке собственных финансовых ресурсов – за счёт заёмных средств, весьма важной аналитической характеристикой является финансовая независимость организаций и предприятий от внешних заёмных источников. Финансовая независимость позволяет предприятиям конкурировать с другими участниками хозяйственных отношений. Наряду с другими факторами стабилизации финансовой независимости, способствует сохранность собственности. Однако, как показывают исследования, сложилось неблагоприятное положение сохранности средств.
Организации и предприятия торговли имеют убытки по причине недостач и хищений, краж и потерь.
С учётом этого, значительно возрастает роль изучения причин и условий, влияющих на сохранность собственности, разработки действенных мероприятий, направленных на устранение или же предупреждение тех обстоятельств, которые способствуют негативным изменениям в системе торговли.
На современном этапе развития рыночных отношений сохранность собственности необходимо трактовать в широком и узком смысле слова. Ущерб причисляется не только при расхищении, присвоении и уничтожении имущества, но и при нарушении финансовой и государственной дисциплины, расточительстве, халатности, порче имущества, выпуске недоброкачественной продукции.
Под сохранностью собственности в широком смысле слова следует понимать борьбу за её эффективность, что означает сбережение имущества, рациональное использование сырья, усиление режима экономии. Сохранность собственности в узком смысле слова предполагает борьбу с потерями ценностей вследствие недостач, хищении, неправильного хранения, что также имеет большое значение. Всё это выдвигает проблему сохранности средств в новых условиях хозяйствования в число актуальных.
Поэтому целью дипломной работы является освещение вопроса укрепления и сохранности собственности торговых организаций в условиях рынка, средством чего и является инвентаризация.
Для достижения цели в дипломной работе освещается ряд задач:
рассмотрение состояния сохранности собственности и необходимость её контроля в условиях рынка;
рассмотрение основных этапов и технологии проведения инвентаризации и её особенностей в условиях рыночных отношений;
проведение анализа результативности проведённых инвентаризаций и их влияние на состояние сохранности собственности.
Исследование проводится на материалах хозяйственной деятельности оптово-розничного предприятия «Облторгсоюза» на примере розницы универсального торгового комплекса № 5 (УТК).
Глава 1. Состояние сохранности собственности предприятия и необходимость её контроля в условиях рыночных отношений
Сущность и значение инвентаризаций как приёма внутриведомственного контроля
Система универсального торгового комплекса № 5, объединяет в себе множество магазинов, которые сосредотачивают большие запасы товарно-материальных ценностей и денежные средства.
Поэтому за сохранностью необходимо осуществлять контроль, который можно осуществить, применяя инвентаризацию. Инвентаризация – метод бухгалтерского учёта, а при проведении документальных ревизий – приём фактического контроля, осуществляемый путём непосредственной проверки наличия и состояния товарно-материальных ценностей, денежных средств, расчётов, объёма выполненных работ и реальности статей баланса.
Инвентаризация была одним из первых приёмов хозяйственного учёта, позволяющим установить фактическое наличие имущества на определённый момент.
Инвентаризация выполняет три основные функции: экономическую (как элемент учёта и контроля); социальную (как форма участия трудящихся в организации учёта и контроля); воспитательную (как средство воспитания бережного отношения к имуществу).
Принципы инвентаризации: внезапность; сопоставимость единиц измерения; плановость; объективность; юридическая правомочность результатов; непрерывность; полнота охвата объектов; воспитательное воздействие и материальная ответственность; оперативность и экономичность; гласность.
Инвентаризация как средство контроля за сохранностью товарно-материальных ценностей и проверки организации материальной ответственности классифицируется по различным признакам.
В зависимости от времени проведения и роли в хозяйственном процессе различают плановые и внеплановые инвентаризации. Плановые инвентаризации проводят периодически согласно плана (графика) в заранее намеченные сроки. Внеплановые инвентаризации проводятся по распоряжению руководителей предприятий или вышестоящих организаций, следственных органов и других контролирующих органов в случаях особой необходимости (переоценка, передача, установление фактов хищений, документальная ревизия и т. д.)
По полноте охвата объектов инвентаризации подразделяют на полные, частичные, выборочные и сплошные. Полная инвентаризация осуществляется в предусмотренные сроки, при этом инвентаризируются не только товарно-материальные ценности и денежные средства предприятия, но и правильность расчётов с другими организациями, выверяется сальдо по основным статьям баланса. При частичной инвентаризации проверяют отдельные виды средств, например товары, наличные деньги, основные средства. Выборочные инвентаризации являются разновидностью частичных. Выборочные инвентаризации подразделяются на целевые и общие. Выборочные инвентаризации, например проводят, как правило, по товарам, по которым предъявляют претензии на недовложение; по товарам, уценённым и переведённым в пониженные сорта; оказавшимся без ярлыков; морально устаревшим и испорченным; а также в случаях, когда полная инвентаризация по товарам не целесообразна.
Сплошные инвентаризации проводят одновременно на всех предприятиях, расположенных в одном населённом пункте или в потребительском обществе.
По способу организации инвентаризационной работы инвентаризации могут делиться на постоянно действующие или на осуществляемые рабочими инвентаризационными комиссиями.
По мнению многих экономистов инвентаризация является общим элементом метода хозяйственного контроля и бухгалтерского учёта, благодаря чему её контрольные функции в деле сохранности имущества существенно усиливается. Инвентаризация как элемент метода бухгалтерского учёта и элемент метода хозяйственного контроля различаются, не тождественны между собой.
Во-первых, кругом решаемых задач. Если главная задача инвентаризации как элемента метода бухгалтерского учёта состоит в установлении соответствия учётных и фактических данных о наличии и состоянии имущества и создании наиболее эффективного обеспечения для принятия управленческих решений, то основная цель инвентаризации как элемента метода хозяйственного контроля заключается в осуществлении контроля за сохранностью имущества, подтверждением или опровержением выявленных ревизией нарушений и злоупотреблений.
Во-вторых, составом субъектов осуществления. Инвентаризации в целях внутрибухгалтерского контроля проводят на предприятиях инвентаризационные комиссии. Инвентаризацию в процессе ревизий и проверок осуществляют ревизионные комиссии или специальные инвентаризационные комиссии под руководством ревизора.
В-третьих, составом нормативных документов, регулирующих право и необходимость проведения инвентаризации.
В-четвёртых, охватом объектов. Инвентаризация как элемент метода бухгалтерского учёта осуществляется, в основном, в сложном порядке, всего имущества и в обязательном и плановом порядке, в установленные сроки. Инвентаризации, проводимые в ходе ревизии, относят к частным, выборочным, а сроки проведения зависят от плана проведения ревизий, проверок и других обстоятельств.
В-пятых, широтой охвата решаемых вопросов. Инвентаризации, проводимые в целях бухгалтерского контроля, носят характер инструктирования, оказания квалифицированной помощи материально ответственным лицам в налаживании учётной работы, выявляют естественную убыль имущества и реальность годовых производственно-финансовых показателей. В период же ревизии инвентаризации выполняют в основном узкую функцию контроля за наличием и сохранностью собственности, характеризуют качество проводимой ранее инвентаризационной работы.
Важное место занимает инвентаризация в процессе осуществления экономического анализа.
Значение инвентаризации заключается ещё и в том, что её осуществляют сами работники предприятия.
Поэтому она выступает одним из методов контроля трудящихся за деятельностью предприятия, служит действенным средством контроля за работой материально-ответственных лиц, помогает не только вскрыть, но и предупреждать возможные недостачи и хищения товарно-материальных ценностей.
Но, кроме того, на сохранность собственности влияют и некоторые особенности торговли, которые обусловлены следующими причинами. Прежде всего, .то высокая степень децентрализации торговой сети. Торговля призвана прежде всего обслуживать население, поэтому организована разветвлённая розничная торговая сеть.
Кроме того, на предприятиях розничной торговли отсутствует натуральный учёт, из-за чего возникают затруднения в своевременности выявления нарушений. Эти объективные условия накладывают отпечаток на формирование способов хищений в торговле, в зависимости от которых осуществляются инвентаризации, направленные контролировать сохранность средств.
Значительная часть должностных хищений в торговле совершается упрощёнными способами, то есть путём присвоения выручки или товара. Данные хищения продолжаются сравнительно недолго, сопровождаются примитивными маскировочными действиями и выявляются при своевременном проведении инвентаризации. Наряду с этим в торговле возникает небольшое количество квалифицированных должностных хищений, наносящих ей большой ущерб. Эти хищения совершаются при соучастии других работников предприятия и посторонних лиц. Характерной особенностью хищений этой группы являются создание неучтённых излишков ценностей, с последующей реализацией их без отражения в учёте или крупные растраты, скрываемые путём подлогов в первичных документах и учётных регистрах. Выявление таких хищений затруднено и требует от ревизоров и инвентаризаторов глубокое знание бухгалтерского учёта, методов ревизий и организации торговли.
Растраты и злоупотребления всё же возникают в первую очередь, из-за некачественного и несвоевременного проведения инвентаризаций.
Организация контрольно-инвентаризационной службы на предприятиях торговли и её значение.
Организацию, проведение и контроль за проведением инвентаризации осуществляют две комиссии: постоянно действующая и рабочая. В состав постоянно действующей комиссии входят: руководитель предприятия или его заместитель (председатель комиссии); главные бухгалтера; на предприятиях, где выделены учётно-контрольные группы, – руководитель этой группы; начальники структурных подразделений (служб); представители общественности.
Постоянно действующие комиссии выполняют следующие функции:
заслушивают на своих заседаниях руководителей отделов, секций по вопросам сохранности товарно-материальных ценностей;
организуют проведение инвентаризаций и осуществляют инструктаж членов рабочих инвентаризационных комиссий;
производят контрольные проверки правильности проведения инвентаризаций, а так же выборочные инвентаризации в межинвентаризационный период; проверяют правильность выведения результатов инвентаризаций, обоснованность предложенных зачётов по пересортице ценностей в местах хранения, где ведётся количественный учёт;
в необходимых случаях (при установлении серьёзных нарушений правил проведения инвентаризаций и др.) проводят по поручению руководителя предприятия повторные сплошные инвентаризации;
рассматривают объяснения, полученные от лиц, допустивших недостачу или порчу ценностей, а также другие нарушения, и дают предложения о порядке регулирования выявленных недостач и потерь от порчи ценностей1.
Однако наличие постоянно действующих комиссий не снимает персональной ответственности руководителя, главного бухгалтера организации или предприятия, а в организациях, имеющих инвентаризационные бухгалтерии, – начальников контрольно-инвентаризационных отделов данных бухгалтерий. Так, ответственность за правильное и своевременное проведение инвентаризаций несут руководители организаций (предприятий). Они обязаны создать условия, обеспечивающие полную и точную проверку фактического наличия ценностей в сжатые сроки. Главный бухгалтер совместно с руководителем подразделений и служб обязан тщательно контролировать соблюдение правил проведения инвентаризаций. Контрольно-инвентаризационные отделы разрабатывают графики инвентаризаций на предприятиях, участвуют в рассмотрении результатов инвентаризаций, под руководством постоянно действующих комиссий контролируют качество проводимых инвентаризаций и выполняют другие поручения.
Для непосредственного проведения инвентаризаций постоянные комиссии создают рабочие инвентаризационные комиссии. На предприятиях, имеющих отделы (секции), а так же кладовые (подсобные помещения), создаются отдельные инвентаризационные комиссии по каждому отделу, секции, кладовой. Персональный состав рабочих комиссий утверждается приказом руководителя предприятия.
В состав рабочих комиссий входят: представитель руководителя предприятия, назначившего инвентаризацию (председатель комиссии), специалиста (товаровед, технолог, экономист, работник бухгалтерской службы). В случаях, когда инвентаризация проводится без бригадира, а также после краж и ограблений в состав комиссий включают представителя управления (отдела) торговли местных исполнительных и распорядительных органов.
Рабочие инвентаризационные комиссии выполняют следующие функции: осуществляют инвентаризацию ценностей и денежных средств в местах хранения; участвуют в проведении результатов инвентаризаций и разрабатывают предложения по зачёту недостач и излишков по пересортице, а также списанию недостач в пределах норм естественной убыли, вносят предложения по упорядочению приёма, хранения и отпуска материальных ценностей, улучшению учёта и контроля за их сохранностью, а также реализации сверхнормативных и неиспользуемых материальных ценностей.
Контрольно-инвентаризационная служба выполняет важную задачу по обеспечению сохранности средств и поэтому несёт ответственность за своевременность проведения инвентаризаций.
1.3. Краткая экономическая характеристика универсального торгового комплекса № 5.
В состав оптово-розничного предприятия «Облторгсоюз» входит розничное предприятие Универсальный торговый комплекс № 5. Универсальный торговый комплекс № 5 образован 1 ноября 1995 г., работает на хозяйственном расчёте, несёт ответственность за результаты своей деятельности в соответствии с законодательством РБ, имеет счета в банке, печать, не является юридическим лицом. В своей деятельности руководствуется законами РБ, постановлениями и распоряжениями Кабинета Министров, решениями областного Совета, депутатов, решениями областного исполнительного комитета, приказами и распоряжениями ОРП «Облторгсоюз».
Основные задачи:
Более полное обеспечение населения города и области товарами, получение прибыли.
Обеспечение нормального функционирования зданий и сооружений, холодильного и торгового оборудования.
Обеспечение сохранности имущества, эффективное использование трудовых, материальных и финансовых ресурсов структурного подразделения.
Розничный товарооборот универсального торгового комплекса № 5 составил на 46860000,02 тысяч рублей больше, чем в 1996 году.
Удельный вес издержек обращения в 1997 году по отношению к товарообороту составил 5,1 %.
Внереализационные доходы составили 0,6 млн. руб.
Внереализационные расходы – 0,1 млн. руб.
Балансовая прибыль в 1997 г. по отношению к товарообороту составила 4,94 %.
План розничного товарооборота в I квартале 1998 г. выполнен на 57,3 %. К плану недополучено 76,87 млн. рублей.
Валовые доходы в I квартале 1998 г. составили 18,5 % по отношению к товарообороту.
Издержки обращения в рознице составили 2,1 % к товарообороту. Уровень рентабельности составил 4,4 %.
Всего за 1997 год было выявлено 63 случая недостач на сумму 7280 тыс. рублей. Недостачи были признаны мелкими и своевременно возмещены. Эти показатели характеризуют, что на предприятии проводится работа по улучшению сохранности собственности торговли.
В УТК № 5 разработан план проведения инвентаризаций товарно-материальных ценностей на 1998 год. Ведётся книга регистрации приказов проведения инвентаризаций. Создана постоянно действующая инвентаризационная комиссия.
Глава 2. Инвентаризация – важнейшее средство контроля за сохранностью собственности торговых организаций. Пути совершенствования инвентаризационной работы в условиях рыночных отношений
2.1. планирование и организация инвентаризаций на предприятиях розничной торговли
План инвентаризаций составляется главным бухгалтером по согласованию с директором. Проведение инвентаризаций планируется на год с разбивкой по месяцам исходя из сроков и результатов осуществления предыдущих инвентаризаций и условий работы материально ответственных лиц (сезонность, время отпусков и т. д.), молодых специалистов. Ежемесячно план работы уточняется и при необходимости корректируется. При этом важное значение имеет правильное установление очерёдности инвентаризаций. В первую очередь переучёты должны быть у лиц, вновь принятых на материально ответственную работу переучёты должны быть у лиц, вновь принятых на материально ответственную работу, а также у недостаточно квалифицированных работников. При определении очерёдности инвентаризаций принимают во внимание факты неритмичного выполнения плановых заданий по объёму товарооборота, неудовлетворительное качество выпускаемой продукции, наличие жалоб покупателей на обсчёт и другие нарушения.
Один экземпляр плана инвентаризационной работы представляется для утверждения контрольно-ревизионному отделу потребительского общества.
Кроме того, составляется график проведения инвентаризаций товарно-материальных ценностей и контрольных проверок должностными лицами аппарата управления на год в разрезе каждого месяца. В нём предусматривается участие в инвентаризациях и контрольных проверках специалистов (не менее 4-7 раз в год).
Кроме проведения инвентаризаций в установленные сроки, в планах могут предусматриваться внезапные сплошные инвентаризации, охватывающие все торговые предприятия.
Контроль за выполнением плана инвентаризаций, как правило, осуществляется главным бухгалтером, а учёт и проверка качества их проведения – чаще всего начальником. В журнале учёта проведения инвентаризаций, центрируются данные по каждому магазину о времени проведения инвентаризаций и составе комиссий, даже контрольных проверок, результатах инвентаризаций, сведения о результатах инвентаризаций и их качестве. Могут также указываться данные о соблюдении норматива товарных запасов и о неполноценных товарах.
Организация инвентаризации ценностей имеет большое и возрастающее значение как в борьбе за сохранность собственности, так и в деле управления хозяйственной деятельности предприятий, так как даёт возможность получить точную и достоверную информацию о состоянии товарных запасов, выявить неполноценные товары, осуществить контроль за деятельностью материально ответственных лиц, определение суммы недостач и излишков товарно-материальных ценностей, влияющие на финансовые результаты деятельности торговых предприятий. Что имеет немаловажное значение в условиях создания рыночных структур в стране.
Организационная сторона инвентаризации предусматривает различные нарушения, например, в состав комиссий нередко назначаются малоопытные продавцы, которые ограничиваются составлением описей без личной фактической проверки и подсчёта ценностей. Положение об участии в проведении инвентаризации представителей общественности нередко не выполняются, а если и выполняются, то носит лишь формальный характер. Иногда в качестве представителей общественности включаются сторожа, подсобные рабочие, уборщицы.
Также должна осуществляться совершенная организация деятельности инвентаризационной комиссии, которая недостаточно освещена в экономической литературе и практически не отражена в нормативных документах. Организационная деятельность инвентаризационной комиссии включает получение распоряжение на проведение инвентаризации, инструктаж, изучение и соблюдение своих обязанностей, прав и ответственности и порядок оплаты труда за выполненную работу. Документом на право проведения инвентаризации для инвентаризационной комиссии должно служить распоряжение, выданное на основании, по разработанной форме (см. Приложение 2).
Выдача такого распоряжения вызвана необходимостью обеспечить право комиссии на проведение инвентаризации и соблюдение принципа внезапности.
До начала инвентаризации главный бухгалтер с участием руководителя, специалистов и представителя инвентаризационной комиссии обязан провести инструктаж о порядке и технике проведения инвентаризационной работы1.
Например, изложение общих правил и специфических особенностей методики инвентаризации конкретных объектов, определение круга вопросов, на которые необходимо обратить более пристальное внимание, разъяснение порядка принятия решений по результатам проведённых инвентаризаций.
Распоряжение является единым документом, который в комплексе отразит организацию предварительной инвентаризационной работы. Распоряжение о проведении инвентаризации регистрируется в книге учёта выданных распоряжений.
После регистрации и получения распоряжения о проведении, инвентаризационная комиссия непосредственно приступает к её выполнению.
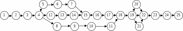
Последовательность осуществления этапов, из которых состоит инвентаризация отражается в сетевом графике проведения инвентаризаций в розничной торговле, который показывает, что делается в определённый момент инвентаризации, кем, в каком порядке и как. Сетевой график представляет собой графическую модель, наглядно изображающую технологию проведения инвентаризационной работы. Работы на сетевом графике изображены стрелками, а их результаты кружками, направление стрелки показывает порядок следования событий (см. схема № 1).
Схема 1.

Процесс указания выполняемых процедур приводится в таблице 2.1.
Таблица 2.1.
Содержание работ, выполняемых при проведении инвентаризации1
|
Номер п/п |
Содержание работ |
Код работ |
|
1 |
Оформление распоряжения о проведении инвентаризации ценностей и его вручению председателю комиссии. Проведение инструктажа членов комиссии. |
1-2 |
|
2 |
Вручение распоряжения администрации предприятия, оповещение об инвентаризации материально ответственных лиц. |
2-3 |
|
3 |
Опломбирование подсобных помещений и других мест хранения ценностей. |
3-4 |
|
4 |
Получение от кассира последнего кассового отчёта с выведенными в нём остатками денег в кассе. |
4-5 |
|
5 |
Проверка кассового отчёта и приложенных к нему документов. |
5-6 |
|
6 |
Получение последнего товарно-денежного отчёта. |
4-8 |
|
7 |
Подписка о включении всех расходных и приходных документов в отчёт. |
8-9 |
|
8 |
Проверка предъявленного товарно-денежного отчёта и приложенных к нему документов. |
9-10 |
|
9 |
Визирование всех документов приложенных к товарно-денежному отчёту. |
10-11 |
|
10 |
Проверка весоизмерительных приборов, используемых комиссией. |
4-12 |
|
11 |
Снятие остатка наличия денежных средств в кассе и определение выручки текущего дня. |
6-7 |
|
12 |
Запись остатка денежных средств в кассе в инвентаризационную опись. |
7-15 |
|
13 |
Подготовка товаров и тары к инвентаризации: группировка и подборка их по артикулу, наименованиям, ценам, выписка излишков на каждый вид товара. |
12-13 |
|
Продолжение таблицы 2.1 |
||
|
14 |
Пересчёт и перемеривание товаров и тары. |
13-14 |
|
15 |
Запись данных об остатках товарно-материальных ценностей в инвентаризационную опись. |
14-15 |
|
16 |
Подписка о том, что все ценности поименованные в описи комиссией проверены в натуре. |
15-16 |
|
17 |
Определение предварительных результатов инвентаризации. |
16-17 |
|
18 |
Представление описей в бухгалтерию. |
17-18 |
|
19 |
Проверка в бухгалтерии товарных документов и отчёта материально ответственного лица. |
11-18 |
|
20 |
Проверка инвентаризационных материалов в бухгалтерии. |
18-19 |
|
21 |
Составление сличительной ведомости по таре. |
19-20 |
|
22 |
Составление расчёта естественной убыли и других нормируемых потерь. |
19-21 |
|
23 |
Отражение данных в отличительной ведомости результатов инвентаризации товаров, материалов, тары и денежных средств в торговле. |
20-22 |
|
24 |
Отражение данных расчёта нормируемых потерь в сличительной ведомости. |
21-22 |
|
25 |
Определение окончательных результатов инвентаризации. |
19-22 |
|
26 |
Рассмотрение результатов инвентаризации. |
22-23 |
|
27 |
Принятие решений по результатам инвентаризации. |
23-24 |
|
28 |
Отражение в учёте результатов инвентаризации. |
24-25 |
Данная сетевая модель помогает рационализировать проведение инвентаризаций, сократить время их проведения, что в свою очередь, скажется на улучшение организации торговли, увеличение товарооборота и как следствие, улучшение финансовых результатов.
Для более достоверных данных по результатам инвентаризации необходимо совершенствовать сам процесс проведения инвентаризации. Одним из рациональных приёмов проведения инвентаризации является ярлычный метод.
Его сущность состоит в том, что работники торгового предприятия подбирают одноимённые товары в порядке, удобном для их подсчёта. Затем подсчитав количество товаров и заполняют на каждый его отдельный вид товарный ярлык, в котором указывают наименование товара, сорт, количество, цену и другие признаки, определяющие данное наименование товара. Председатель комиссии в присутствии материально ответственного лица может поручить члену комиссии проверить правильность на нём регистрационный номер, записать данные ярлыка в контрольную ведомость.
После этого товарный ярлык направляется оператору вычислительной машины для включения в инвентаризационную опись данные проверенного товара. Применение этого метода позволяет на 35-40 % сократить время проведения инвентаризации.
Для сокращения времени проведения инвентаризации можно порекомендовать применение специальных книг, построенных по типу оборотных ведомостей. Первая инвентаризация в них отражается как обычно, а последующие на выкладках с указанием лишь количества и стоимости товаров. Этот метод позволяет за счёт одноимённых товаров почти вдвое сокращать объём описи. При инвентаризации продовольственных товаров можно пользоваться такой более эффективной формой её проведения как обмер, но такой способ проверки не совсем точен и достоверен.
2.2. порядок проведения и документальное оформление инвентаризации товарно-материальных ценностей на предприятиях розничной торговли
Прежде чем приступить к проверке фактического наличия товаров, инвентаризационная комиссия проводит подготовительную работу. Она опломбирует помещения для хранения ценностей, пересчитывает все имеющиеся деньги, проверяет точность и сроки клеймения весоизмерительных приборов, группирует одинаковые товары, находящиеся в разных местах помещения, отдельно складывает бракованные и пришедшие в полную негодность товары, получает от материально ответственных лиц последние товарно-денежные отчёты с соответствующими оправдательными документами, расписку о сдаче всех документов и отчётов по приходу и расходу товарно-материальных ценностей. Инвентаризационная комиссия тщательно проверяет предъявленные отчёты и приложенные документы, особенно накладные на внутреннее перемещение, удостоверяется в наличии подписей материально ответственных лиц, правильности цен на товары, сумм наценок, таксировок, подсчётов. На каждом предъявленном комиссии документе и на отчётах ставится дата и подпись председателя инвентаризационной комиссии.
Ценности, подлежащие инвентаризации, подбираются по наименованиям, сортам, виду упаковки и укладываются в определённом порядке, удобном для пересчёта, перемеривания и перевешивания.
Товары подсчитываются, взвешиваются и перемериваются в присутствии материально ответственных лиц, при этом определяется их качество, сортность и цена. Инвентаризация товаров проводится в порядке расположения товаров в данном помещении.
Товары, находящиеся на розничных торговых предприятиях в нераспакованном виде, вскрывают и проверяют как по количеству, так и по качеству.
Инвентаризация товаров, учитываемых партионно, проводится по отдельным партиям. Товары, поступившие на предприятие во время инвентаризации, принимаются материально ответственными лицами в присутствии инвентаризационной комиссии и записываются в отдельную опись. Документы на эти товарно-материальные ценности включаются в первый товарно-денежный отчёт, составленный после инвентаризации.
В случае обнаружения порчи, боя и лома товарно-материальных ценностей инвентаризационная комиссия составляет акт ф. № 2026 (см. Приложение 3) и вместе с письменным объяснением материально ответственных лиц передают на рассмотрение.
На фактически оказавшиеся в наличии товары и тару на торговых предприятиях составляются инвентаризационные описи (см. Приложение 4).
В инвентаризационной описи не допускаются подтирки или подчистки, записи в описях должны производиться ясно и чётко. Исправляются допущенные ошибки во всех экземплярах путём зачёркивания ошибок и написания сверху правильных данных. Исправления в части наименования товаров, их количества, расфасовки и цена должны быть оговорены и подтверждены подписями всех членов комиссии, что на практике нередко не совершается.
Комиссия составляет опись в трёх экземплярах, а при передаче материальных ценностей (под копирку – 3, а два других материально ответственное лицо).
Каждый экземпляр описи в отдельности подписывается всеми членами комиссии (не под копирку).
Если опись состоит из нескольких страниц, то все страницы должны быть пронумерованы, а внизу каждой из них должна быть ссылка на номер следующей страницы.
В опись записывается товар в полном и правильном наименовании с указанием номенклатурного номера, расфасовки. В графе «цена» указывается цена, по которой товар сдан под отчёт по товарным документам материально ответственному лицу. При этом цены должны соответствовать единице измерения, в которой товар внесён в опись.
Например, количество товара указано в штуках, и цена ставится за одну штуку.
Очень часто в магазинах возникают трудности при инвентаризации особо крупных остатков отдельных видов товаров. Даже при очень крупных остатках какого-либо товара комиссия обязана пересчитать их, а не записывать в опись их количество со слов материально ответственного лица или путём умножения количества ящиков на количество бутылок в одном, без проверки содержимого в каждом ящике.
Если в момент инвентаризации поступил товар, то комиссия принимает его и записывает в отдельную опись. На приходных документах делается отметка о том, что товар получен во время инвентаризации. Он приходуется после инвентаризации. Но такие случаи на практике случаются не очень часто.
По весовым товарам в таре указывается вес брутто и вес нетто. Фактически оказавшуюся в момент инвентаризации тару рассортировывают по качественному признаку и составляют для неё две описи – на порожнюю и на занятую под товарами.
Если на торговом предприятии имеется остаток денег, не сданных в банк от продажи товаров, то этот остаток, проверенный инвентаризационной комиссией, записывается на лицевой стороне описи. По каждой странице описи указывается прописью число порядковых номеров товарно-материальных ценностей и общее количество ценностей в натуральных показателях (безотносительно к их характеру). Такой подход исключает возможность внесения в опись каких-либо изменений или приписок. После взаимной сверки каждая страница описи подписывается всеми членами инвентаризационной комиссии и материально ответственными лицами. В конце описи инвентаризационная комиссия записывает прописью количество порядковых номеров и натуральных единиц отдельно по последней странице и по всей описи в целом, а также суму всех ценностей. На последней странице описи материально ответственное лицо (бригадир, члены бригады) даёт подписку о том, что все ценности проверены комиссией в натуре в его присутствии и внесены в опись.
На предприятиях с коллективной материальной ответственностью инвентаризация может проводиться по числу материально ответственных лиц с распределением участников согласно протоколу. В связи с этим после окончания инвентаризации на основе отдельных инвентаризационных описей составляется сводная опись фактических остатков товаров. В сводной описи перечисляется отдельно каждая инвентаризационная опись с указанием суммы ценностей и подсчитывается общий итог всех ценностей по предприятию в целом.
После окончания инвентаризации председатель комиссии представляет описи в следующем порядке:
первый экземпляр описи, заполненный членами комиссии, а так же экземпляр, заполненный материально ответственным лицом, – в бухгалтерию организации, где ведётся учёт ценностей;
второй экземпляр описи, заполненный членом комиссии, - материально ответственному лицу.
На инвентаризационные описи составляется перечень в двух экземплярах и под расписку передаётся главному бухгалтеру. Сданные в бухгалтерию инвентаризационные описи должны тщательно проверяться и затем после проверки выводится результат инвентаризации.
Исследования, произведённые в универсальном торговом комплексе № 5 показали, что документальное оформление инвентаризации товарно-материальных ценностей находится не на должном уровне, совершаются такие нарушения как подтирки и подчистки, записи не всегда производятся ясно и чётко.
Не выполняется методика составления инвентаризационных описей, то есть не ведётся отдельно инвентаризационная опись по таре, а вносится в опись по товарам (см. Приложение 4).
2.3. Определение, оформление, рассмотрение и учёт результатов инвентаризаций и их влияние на финансовое состояние организации
Выявление результатов инвентаризаций включает два этапа.
Первый этап – подведение предварительных результатов инвентаризации, которые определяются немедленно после её окончания. Точность и быстрота выявления предварительных результатов инвентаризации определяет во многом успех борьбы с недостачами, хищениями и товарными потерями.
Имея эту оперативную информацию, председатель и члены комиссии сразу на месте могли бы решать вопрос о дальнейшей деятельности материально ответственного лица, особенно это важно в настоящее время, когда каждая недостача вливается в миллионную сумму. Председатель инвентаризационной комиссии докладывает о предварительных результатах инвентаризации ценностей руководителю организации, назначившему инвентаризацию, и в случае выявления крупной недостачи, материально ответственное лицо отстраняется от занимаемой должности до получения окончательных результатов.
Второй этап – определение окончательных результатов инвентаризации. Оно осуществляется бухгалтерией после тщательной проверки и обработки всех документов в следующие сроки:
по мелкой рознице (ларьки, киоски, палатки) – в этот же день;
по магазинам – не позднее двух дней1.
Необходимые подготовительные работы для выведения результатов инвентаризации в бухгалтерии включают: проверку последних товарно-денежных отчётов, завизированных председателем инвентаризационной комиссии, записи данных по ним в учётные регистры, подсчёт итогов в журналах для учёта товарно-материальных ценностей, сверку данных синтетического и аналитического учёта, взаимную сверку учётных регистров, проверку полноты поступления ценностей по встречным (внешним и внутренним) документам, выведение остатков ценностей у отдельных материально ответственных лиц (бригад) к началу инвентаризации. Особое значение имеет сверка сумм, списанных в расход, и реализованных товаров с выручкой кассы, анализ внутреннего перемещения товаров из одного магазина в другой, проверка и оформление бухгалтерскими записями не отражённых ранее в отчётах актов о списании боя, порчи товаров и т. д.
Не менее тщательно проверке подвергаются данные в инвентаризационных описях. Все нарушения заполнения инвентаризационной описи могут свидетельствовать о хищениях. К нарушениям заполнения относятся:
неоговоренные исправления цен, количества и сумму определённых товаров;
подчистки записей, добавления и дописки цифр;
неправильное сбалансирование единиц товаров по страницам описи, количеству указанному комиссией;
указанные в описи завышение остатков отдельных товаров (особенно в конце описи);
указанные в описи превышающий лимит остатков и сумм, не сданной денежной выручки;
наличие в описи товаров, которых не было в записях о поступлении и начальном остатке товаров;
несоответствие документальных данных о таре данным о перемещении и фактическом наличии товаров.
Для выявления хищений, которые характеризуются указанными признаками, необходимо провести их исследование путём тщательной проверки тех операций, которые содержат формальные признаки злоупотреблений, путём применения приёмов срочной проверки, взаимного контроля, контрольного сличения и другие, с целью выявления факторов, указывающих на определённые способы сокрытия хищений и злоупотреблений1.
Признаки приписок в инвентаризационных описях рекомендуется выявить составлением записей об остатках одних и тех же наименований в описях на начало и конец учётного периода.
Одним из распространённых способов сокрытия хищений при инвентаризации является неправильная таксировка и подсчёт на отдельных страницах и в описях в целом. Необходимо осуществлять встречные проверки правильной таксировки и подсчёта итогов в описях с использованием вычислительных средств.
Для выявления факторов скрытия недостач повышенной суммой сданной выручки накануне инвентаризации или в период её проведения необходимо сравнить выручку за день до начала и после окончания снятия фактических остатков ценностей со среднедневной плановой и ежедневной выручкой и в другие периоды торговли.
Для выявления признаков хищений, скрываемых при проведении инвентаризации рекомендуется также сопоставить количество возможного завышения товарных остатков с указанной в инвентаризационной описи тарой, занятой под ними. Если количество тары не обеспечивает вместимость записанных в инвентаризационную опись товаров, то это может служить признаком приписки товаров.
Скрытие недостач путём неоприходования товаров, поступивших до инвентаризации, выявляется сверкой расчётов и встречной проверкой документов. Наряду с этим проверяется использование выданных доверенностей, изучаются даты фактического поступления товаров по транспортным документам.
Важное значение при оценке материалов инвентаризации имеет проверка перемещения товаров между розничными предприятиями и их отфактуровка поставщикам в сроки, приближённые к инвентаризациям. Документы свидетельствуют о фактах отпуска ценностей в завышенных количествах предприятиям, обычно обнажаемым другими поставщиками, отправка товаров сложного ассортимента на заводы, якобы для гарантийного ремонта. Безосновательный возврат товаров и отсутствие письменного разрешения руководителя организации на этот возврат.
Существует ещё один способ выявления различных негативных явлений при проведении инвентаризации. Это проведение контрольной проверки после проведения инвентаризации. Контрольная проверка оформляется актом о контрольной проверке инвентаризации ценностей (см. Приложение 5).
К проверкам качества проведённых инвентаризаций привлекаются опытные работники и специалисты в совершенстве знающие организацию проведения инвентаризаций. Однако на практике контрольные проверки проводятся редко. Такая тенденция имеет место из-за загруженности работой бухгалтеров и нехваткой достаточного количества необходимых счётных работников.
В настоящее время количество проверяемых при контрольной проверке ценностей определяется работником её проводящим.
В акте контрольной проверки сопоставляется, что при фактическом пересчёте и что значится по описи. Акт подписывается проводившим проверку председателем инвентаризационной комиссии и материально ответственным лицом.
Контрольные проверки проводятся в присутствии членов инвентаризационной комиссии не только после окончания инвентаризации, но и в процессе её проведения.
Результаты инвентаризации выявляются на основе сопоставления остатков товаров, тары и других ценностей по учётным данным с фактическим их наличием по инвентаризационным описям. Для установления окончательных результатов инвентаризации ценностей бухгалтерия составляет сличительную ведомость о ф. № инв-21 – для розничной торговли (см. Приложение 6). В ней указываются остатки товарно-материальных ценностей по бухгалтерским данным на момент проведения инвентаризации, которые сличаются ф фактическими остатками согласно описи.
При количественно-суммовом учёте сличительная ведомость составляется по тем позициям товаров, по которым установлены расхождения с учётными данными. Ценности, по которым расхождения не установлены, в сличительную ведомость включаются общим итогом.
Пересортица товаров, которая может быть вскрыта при инвентаризации, означает излишек одного и недостачу другого товара. Она образуется в тех случаях, когда по документам числится оприходование или списание одного товара, а фактически был оприходован или списан другой товар. Взаимный зачёт излишков и недостач в результате пересортицы может быть допущен как исключение только в отношении товарно-материальных ценностей одного и того же наименования, за один и тот же проверяемый период и у одного и того же проверяемого лица при условии, что недостачи и излишки явились результатом ошибки или просчёта. Допускаются также в виде исключения производить зачёт излишков и недостач товаров в результате пересортицы, происшедшей в одной и той же группе товаров, если входящие в её состав товары имеют сходство по внешнему виду или упакованы в одинаковую тару. Если при зачёта излишков и недостач от пересортицы товаров стоимость недостающих ценностей выше оказавшихся в излишке, то разница относится на виновных лиц. Кроме пересортицы, могут образовываться так называемые «суммовые разницы», когда товар отпускается по повышенной или пониженной цене. Зачёт в этом случае производится аналогично. О допущенной пересортице материально ответственные лица дают письменное объяснения. На лиц, виновных в пересортице товаров, могут налагаться дисциплинарные взыскания, а при умышленном внесении путаницы в первичные документы и учёт их привлекают к судебной ответственности.
При установлении факта недостачи товаров бухгалтерия производит расчёт их естественной убыли (см. Приложение 7). Определяется естественная убыль на основе установленных норм после инвентаризации, если вскрыт факт недостачи товаров. В норму убыли не включаются потери товаров, внутренняя их переброска, списания по актам. Утверждённые нормы являются предельными и не распространяются на штучные, фасованные и транзитные товары.
При количественно-суммовом учёте естественная убыль товаров исчисляется отдельно по каждому виду. Нормы естественной
Руководители организаций и предприятий обязаны определить и относить недостачу к мелкой или к крупной, а также уведомлять прокурора о недостачах, не переданным следственным органам и погашаемых в общегражданском порядке.
Мелкие недостачи должны немедленно погашаться, и лишь в определённых случаях допускается получение от работника обязательства с указанием сроков погашения (как правило 2-3 месяца).
По недостачам и растратам, явившимся следствием злоупотреблений, дела направляются в судебно-следственные органы не позднее 5 дней с момента установления недостачи, а также принимаются неотложные меры к наложению ареста на имущество обвиняемых и возмещению материального ущерба.
Для записей результатов инвентаризации товаров и тары в предприятиях розничной торговли используют журнал К-3, отводится отдельная строка по каждому лицевому счёту материально ответственного лица, у которого она проводилась (см. Приложение 8).
Результаты инвентаризации отражаются в том месяце, в котором она проводилась с соответствующим отражением на счетах бухгалтерского учёта. При этом делаются следующие проводки (цифровой материал взят с приложения № 61).
|
Дебет |
Кредит |
|
|
84>1> |
41>2> |
217272 |
|
4 |
84>1> |
51206, 4 (73152-21945,6) |
|
42>3> |
84>1> |
21945,6 (73152х30 %) 72152 |
|
73>3> |
84>1> |
144120 (217272-73152) |
|
42>3> |
83>3> |
43236 (114120х30 %) |
|
50 |
73>3> |
144120 |
|
83>3> |
80>1> |
43236 |
если зачитывается пересортица по однообразным товарам:
|
41>2> |
41>2> |
Зачёт пересортицы |
|
41>2> |
81 |
Оприходование излишков |
|
41>2> |
42>3> |
увеличение торговой наценки за счёт излишков |
|
84>1> |
41>2> |
списание естественной убыли |
|
44>2> |
84>1> |
на издержки за минусом скидки |
|
42>3> |
84>1> |
уменьшение торговой наценки |
взыскание недостач с применением коэффициента по молочным и мясным продуктам:
|
84>1> |
41>2> |
отражение недостачи по учётной цене |
|
7 |
84>1> |
за счёт материально ответственного лица по учётным ценам |
|
73>1> |
83>2> |
взыскание суммы с применением коэффициента |
|
42>3> |
83>3> |
уменьшение набавки |
|
50 |
73>1> |
погашение недостачи в кассу |
|
83>2> |
68>3> |
перечисление в бюджет |
|
83>3> |
80>1> |
перечисление надбавки на прибыль |
оприходование излишков
|
41>2> |
80>1> |
На сумму излишков за минусом торговой надбавки |
|
41>2> |
42>3> |
На сумму торговой надбавки |
Используя материалы инвентаризации, можно выявить влияние результатов инвентаризации на финансовое состояние организации.
В 1997 году сумма выявленных недостач составила 7280 тыс. р., а процент взыскания недостач – 78,55 %. Если принять за 100 % сумму всех взысканных недостач из выявленных, то 100–78,55=21,45%.
Процент невзысканных недостач от 7280 тыс. рублей составляет 1561,56 тыс. рублей. Это означает, предприятие недополучило доходов на сумму 374,78 тыс. рублей (24% от 1561,56 тыс. рублей), 24% - средний процент реализованных торговых надбавок в данном периоде в УТК №5. Недополучение доходов влечёт за собой уменьшение собственных оборотных средств предприятия.
Для восполнения оборотных средств предприятие прибегает к использованию заемных средств. А так как процентная ставка за использование кредитом банка составила 120 %, то можно рассчитать дополнительные расходы, понесённые предприятием

Итого расходы составят 824,52 тыс. рублей (процент за кредит плюс возвращённая сумма), что незамедлительно скажется на финансовом состоянии. А ведь при должной сохранности средств этих расходов можно было бы избежать.
2.4. Использование ЭВМ при проведении инвентаризации и выведении её результатов.
В настоящее время широкое распространение при обработке инвентаризационных документов получили самые разнообразные средства вычислительной и организационной техники. Объясняется это прежде всего большим объёмом счётной технической работы, которую необходимо выполнить в сжатые сроки с наименьшими трудовыми запасами.
Но в настоящее время учёт инвентаризации в УТК № 5 не автоматизирован. Использование ЭВМ было бы большим подспорьем и привело бы к снижению трудоёмкости производимых работ.
А теперь рассмотрим как же используются средства вычислительной и организационной техники на предприятиях розничной торговли, где используются эти средства.
При изменении машинопечатных документов, в которые будут записываться данные о наличии ценностей стимулированным шрифтом, достигается восприятие их как человеком, так и ЭВМ. В качестве данного документа может быть использована шрифт карта, содержание которой идентично товарному ярлыку. Их применение обеспечит автоматическое считывание информации, минуя процесс формирования машинного носителя, позволит улучшить качество информации, её достоверность, снизить затраты труда и времени на получение результативной информации, что даёт возможность ускорить проведение инвентаризации.
Необходимо внедрить на практике оформление приёмки товаров с помощью контрольных ярлыков. Книжки контрольных ярлыков будут выдаваться материально ответственным лицам по разрешению главного бухгалтера, так как они являются бланком строгой отчётности. Контрольные ярлыки выдаются для каждого документа поставщиков, корешок приходного ярлыка будет прикладываться к приходному документу. Они заменяют собой многочисленные доверенности и штампы магазина о приёмке товарно-материальных ценностей. При получении товаров материально ответственное лицо заполняет очередной номер контрольного ярлыка, который работник, выдавший товары вместе с документом на выдачу товаров сдаёт в бухгалтерию. Представитель магазина сдаёт корешок ярлыка и документ на получение товаров вместе с товарно-денежным отчётом, указав в соответствующей графе его номер.
Во время инвентаризации товарно-материальных ценностей проводится и инвентаризация контрольных ярлыков. В товарно-денежных отчётах при оприходовании товаров ярлыки должны идти строго в порядке очерёдности номеров.
Введение такого порядка контроля за своевременностью и полнотой оприходования товарно-материальных ценностей полностью себя оправдывает, поскольку исключается возможность взаимодействия недостач товаров путём неоприходования ценностей до инвентаризации, отпадает необходимость в выписке многочисленных доверенностей1.
Известно, что инвентаризация товарно-материальных ценностей сопряжена с трудоёмкой работой по подсчёту, взвешиванию, обмеру, а затем по записи результатов. Для совершенствования и обеспечения этой работы необходимо механизировать и автоматизировать процесс снятия фактических остатков.
Например, для этого можно применять диктофон. Инвентаризатор диктует код товара, количество цену за единицу. Лента прослушивается, оператор набирает услышанные цифры, компьютер автоматически производит вычисления, фиксирует стоимость и подводит итоги по кодам, группам. Полученная информация печатается на бумажной ленте. При снятии фактических остатков можно широко применять перфокарты. Внесение записей на перфокарты не отличается от ручного способа, потому что информация записывается от руки на самой перфокарте, которая потом пробивается поиней, автоматически умножается на цену и общий результат печатается на табуляторе. Этим достигается наибольшая экономия труда и значительно сокращаются сроки проведения инвентаризации. Осуществление мер по совершенствованию действующего порядка организации бухгалтерского учёта использование машин при проведении инвентаризаций – всё это будет способствовать решению задач по обеспечению сохранности собственности предприятий.
При наличии в организации распределительных складов и ведении натурально-стоимостного учёта целесообразно использовать дуаль-карту, представляющую собой технический носитель информации. Дуаль-карта фактических остатков товарно-материальных ценностей заготавливается заранее, следующим образом: из массива перфокарт учётных остатков на них наносятся с помощью перфоратора и расшифровочной машины постоянные реквизиты, к которым относятся: код магазина, бригады, наименования и код ценностей, единица измерения, цена. Затем они передаются членами инвентаризационной комиссии, которые с помощью графических отметок фиксируют в них фактические данные о наличии товарно-материальных ценностей, ставят дату проверки и подписывают. После проверки дуаль-карты передаются на перфорацию для пробивки недостающих реквизитов, для счётной обработки на вычислительном перфораторе, ввода в ЭВМ и автоматизированного составления инвентаризационной или сличительной ведомостей.
В процессе инвентаризации на ЭВМ составляют инвентаризационную опись.
В которых таксировка или выведение на печать промежуточных итогов по каждой странице производится автоматически, описи составляются с одновременным получением машинного носителя. По окончании инвентаризации опись фактических остатков товаров и тары, проверенную и оформленную в установленном порядке, сдают в бухгалтерию. В результате машинной обработки, предусматривающей контроль цен, проверку таксировки и подсчёта итогов сопоставление учётных и фактических остатков, выдаётся сличительная ведомость.
Если выявлена недостача товаров, то машинным путём исчисляется их естественная убыль по нормам, заложенным в справочник, после чего выводится окончательный результат инвентаризации.
Следовательно, учёт товарных потерь информационно увязан с решением задачи инвентаризации товарно-материальных ценностей. Результаты инвентаризации отражают в бухгалтерском учёте. Поэтому при машинной обработке необходимо учесть многообразие отражения в бухгалтерском учёте результатов инвентаризации.
В магазинах в качестве первичных документов часто используют инвентаризационные товарные ярлыки. В процессе инвентаризации товарные ярлыки комплектуют по товарным группам в пачке по 30 штук, что соответствует заполнению одной странице инвентаризационной описи на машине.
Иногда на практике результаты, полученные при взвешивании товаров или их измерении, записывают непосредственно в инвентаризационную опись, оставляя операции таксировки и подсчёта итогов для последующей машинной обработки. В этом случае сведения описи служат в качестве исходных данных и имеют те же реквизиты, что и товарный ярлык.
В процессе инвентаризации используют и другие первичные документы (карточки материально ответственных лиц). Особенностью автоматизированной обработки данных инвентаризации является широкое использование результатов решения других задач. Так, массив остатков товаров на дату инвентаризации, служит основой сопоставления учётных и фактических остатков, полученных при учёте товарных потерь, необходимо для выявления окончательного результата инвентаризации в случае недостачи товаров.
На участке кодирования номенклатур, кодированию подлежат те же номенклатуры, что и на других участках, относящихся к подсистема «Бухгалтерский учёт». В то же время кодируют и специальные номенклатуры: естественная убыль товаров. Код норм естественной убыли товаров может быть построен на основе порядкового метода кодирования или с помощью кода повторения. Алгоритмы и технологические особенности обработки данных, данного комплекса задач достаточно разнообразны, но отличаются простотой тих реализации на машинах. С помощью подобных алгоритмов могут быть проверены регистры аналитического и синтетического учёта.
Некоторым своеобразием отличается алгоритм формирования на ЭВМ сличительной ведомости результатов инвентаризации. При получении сличительной ведомости необходимо для каждой позиции товара, содержащейся в массиве фактических остатков, отыскать по некоторым ключевым реквизитам (код товара, артикул, цена) соответствующую позицию в массиве учётных остатков. В случае совпадения значений ключевых реквизитов, а так же количества товара формируется так называемый массив «равно», а при несовпадении только количественной характеристике товара – соответственно массива «недостача» и «излишек». Сличительная ведомость выдаётся на печать по тем позициям товаров, по которым остаток, полученный на основе документального учёта, не совпадает с фактическим его наличием.
Сличительная ведомость результатов инвентаризации может быть составлена на ЭВМ двумя способами: путём ввода на печать всех учётных позиций или только тех, по которым обнаружены расхождения в учётных и фактических остатках.
Более предпочтителен второй способ – печать сличительной ведомости по отклонению. Расхождение граф в сличительной ведомости может быть разное. Одна из форм этой машинограммы включает такие графы: наименование и код товара, цена, количество (по учётным и фактическим данным, отклонение, сумма; по учётным и фактическим остаткам, отклонение). Итоги подсчитываются по товарной группе и по ведомости. При выявлении недостачи товаров до составления акта результатов инвентаризации определяют естественную норму товаров за инвентаризационный период.
В этом случае может быть получена машинограмма расчёта естественной убыли по предприятию, на основании которой недостача в пределах норм убыли списывается в установленном порядке. Акт результатов инвентаризации оформляют вручную. Однако более часто сличительная ведомость выдаётся на печатающее устройство ЭВМ в законченном виде, т. е. с учётом естественной убыли. Итоги ведомости подводятся по странице и в целом по документу. На ЭВМ может быть получен и акт результатов инвентаризации.
С помощью ЭВМ можно совершенствовать инвентаризационную работу следующим образом. При поступлении счёта поставщика при акцепте в платёжном требовании поставить код продукции. Затем необходимо обработать платёжное требование в вычислительном центре и передать на склад, где в это платёжное требование занести фактическое количество поступившего товара. Если имеются отклонения, то составляется соответствующий акт. Заведующий магазином должен дать информацию на ЭВМ о том, в какую ячейку заложен товар, код, место хранения, код товара, количество.
При отпуске товаров должны быть использованы отборочные листы, где материально ответственное лицо на основании товарно-транспортной накладной отмечает и в какой ячейке был выбран товар. Таким образом, можно иметь сведения о ценностях, находящихся на участках. Используя их на день инвентаризации выдаётся опись ценностей на месте хранения. Члены комиссии в этой же описи просчитывают ценности, записывают их в графу «фактическое наличие» и ежедневно по мере просчёта листов подписывают и сдают их на обработку, по графе «примечания» отмечают фиктивные ценности.
После сдачи последнего отборочного листа на вычислительном центре выдаётся сличительная ведомость. Этот метод способствует высвобождению работников, исключает ошибки, пропущенные позиции, экономит бумагу. Позволяет производить автоматический взаимный зачёт по пересортице.
Также передовым методом является АРМ «Баланс» – предназначен для введения системы бухгалтерских счетов (включая интересующий нас счёт 84>1>) предприятия, обработки бухгалтерских проводок, на основе реализации основного алгоритма бухгалтерского учёта – принципа двойной записи.
Функции АРМ «Баланса» заключаются в следующем:
введение системы синтетических счетов (в нашем случае без счётов, которые имеют отношение к счёту 84>1>), а также субсчетов и аналитических счетов;
обработка проводок;
разноска сумм проводок в соответствии с заданной пользователем системой синтетических и аналитических счетов;
выпуск машинограмм, аналогичных по содержанию главной книге, сводной оборотной ведомости, балансу (см. Приложение 9-11);
выпуск машинограмм по отдельным синтетическим и аналитическим счетам, аналогичных по содержанию главной книге, оборотной ведомости (см. Приложение 12-14);
как мы убедились из рассмотренного пункта значение использования ЭВМ при проведении инвентаризации и выведении её результатов, очень велико. Согласно рассмотренному материалу можно сделать следующий вывод.
Основными задачами машинной обработки на данном участке учёта являются : получение выходных документов в кратчайшие сроки, сокращение трудоёмкости инвентаризационных работ. Большой эффект при обработке инвентаризационных документов даёт применение ЭВМ. С их помощью составляют и инвентаризационную ведомость. На таких машинах можно составлять также сличительную ведомость. Применения ЭВМ создаёт условия для повышения уровня автоматизации рассмотренного участка учётных работ. С внедрением устройств регистрации автоматически считываемых кодов возникает совершенно новые возможности, связанные с резким сокращением сроков инвентаризации и повышением достоверности результатов обработки.
В универсальном торговом комплексе № 5 в связи с отсутствием автоматизации инвентаризационной работы и учёта её результатов, очень большой объём счётной информации, технической работы. На их проведение тратится много времени и трудовых ресурсов. Универсальному торговому комплексу № 5 можно только пожелать успехов в изыскании средств на автоматизацию инвентаризации.
Глава 3. Анализ инвентаризационной работы и пути её совершенствования.
3.1. Контроль и анализ достоверности и качества инвентаризационных материалов.
Значительное повышение эффективности инвентаризационной работы может быть достигнуто за счёт совершенствования методики проверки достоверности и качества материалов инвентаризации.
Высокое качество проведения инвентаризации обеспечивается за счёт соблюдения сроков и внезапности проведения; квалификационного подбора состава членов комиссии; точного пересчёта фактического наличия ценностей; правильного оформление инвентаризационных описей; своевременной и правильной подготовки данных бухгалтерского учёта и выведения результатов.
Анализ недостач, выявленных в последние годы, свидетельствует о том, что 46-60 % их возникает по причине некачественного и несвоевременного проведения инвентаризаций.
Низкое качество инвентаризационной работы вызывается:
несоблюдением принципа внезапности;
нарушением количественного и качественного подбора состава инвентаризационных комиссий;
неправильным составлением инвентаризационных описей;
нарушением сроков выявления результатов инвентаризаций.
Например, выявленные недостатки в универсальном торговом комплексе № 5, были вызваны нарушениями в инвентаризационной работе, приведённые в таблице 3.1.
Приведённые данные показывают тенденцию роста негативных явлений инвентаризационной работы. Значительное количество отклонений вызвано нарушениями сроков инвентаризаций, приписками товаров в инвентаризационных описях и несоблюдением внезапности проведения инвентаризации. Плохо осуществлялся контроль за качеством инвентаризаций, что вызвало рост суммы недостач товарно-материальных ценностей на 151,2 %.
Таблица 3.1
Причины низкого качества инвентаризаций, способствовавшие возникновению недостач в УТК № 5 за 1997 г.
|
причины |
прошлый год |
отчётный год |
отчётный год в % к прошлому году |
отклонение от прошлого года |
||||
|
кол-во случаев, ед. |
сумма, тыс. р. |
кол-во случаев, ед. |
сумма, тыс. р. |
В кол-ве случаев, |
В сумме. |
В кол-ве случаев, |
В сумме. |
|
|
1 |
2 |
3 |
4 |
5 |
6 |
7 |
8 |
9 |
|
Недоброкачественные инвентаризации |
18 |
780 |
26 |
1086 |
144 |
172,3 |
+8 |
+256 |
|
из них: |
||||||||
|
нарушение сроков инвентаризаций |
8 |
416 |
10 |
440 |
125 |
105,7 |
+2 |
+24 |
|
нарушение состава комиссий |
3 |
124 |
4 |
213 |
133 |
171,7 |
+1 |
+89 |
|
несоблюдение внезапности |
3 |
102 |
5 |
124 |
166,7 |
118 |
+2 |
+22 |
|
приписки товаров, не имевшихся в наличии |
4 |
138 |
7 |
259 |
175 |
187,6 |
+3 |
+121 |
|
из них в течение: |
||||||||
|
до 1 года |
– |
– |
2 |
67 |
– |
– |
– |
– |
|
от 1 до 2 лет |
1 |
56 |
1 |
68 |
– |
121,4 |
– |
+12 |
|
в том числе не проведение контрольных проверок качества инвентаризаций |
3 |
82 |
4 |
124 |
133 |
151,2 |
+1 |
+42 |
В связи с этим возникает необходимость решения следующих проблем:
определение рационального количества проведённых инвентаризаций;
сокращение сроков проведения и улучшения их качества в результате совершенствования методов.
Наибольший эффект будут иметь инвентаризации в том случае, если контрольно-инвентаризационные службы будут вести систематические наблюдения за деятельностью предприятий.
Тогда инвентаризационные бригады уже на этапе составления заданий и рабочих планов и инвентаризаций могли бы решать, в каких торговых предприятиях необходимо провести внезапные сплошные инвентаризации товарно-материальных ценностей, что придало бы плановым инвентаризациям больше целесообразности и повысило их эффективность, так как при выборе объектов для проведения инвентаризации ревизоры могли бы руководствоваться объективными выводами анализа данных отчётности.
На качество, оперативность и экономичность проведения инвентаризации значительно влияет количественный и качественный состав инвентаризационных комиссий. К проведению инвентаризационной работы должны привлекаться руководители или их заместители, товароведы, бухгалтера и другие работники, хорошо знающие цены, учёт и отчётность, не маловажное значение имеет образование, а так же стаж работы, непосредственно в торговле и стаж работы на занимаемой должности. Однако в торговле многие руководители не участвуют при проведении инвентаризации.
При проведении контроля материалы инвентаризаций, с целью их достоверности и качества инвентаризационной работы необходимо тщательно проанализировать все нарушения заполнения инвентаризационных описей, обращая особое внимание на признаки, свидетельствующие о хищениях. К ним относятся:
не оговорённое исправление цены, количества и суммы;
подчистки записей, добавление и дописки цифр;
неправильное сбалансирование единиц товаров по страницам инвентаризационных описей;
не соответствие количества единиц товаров по странице описи количеству, указанному инвентаризационной комиссией;
неправильная таксировка и подсчёт итогов на отдельных страницах и в инвентаризационной описи в целом;
указание в инвентаризационной описи завышенных остатков отдельных товаров;
записи об остатках определённых товаров в описи на конец отчётного периода в большем объёме, чем записи тех же товаров в описи на начало периода (если по этим товарам не было движения).
Для выявления хищений, характеризующиеся указанными признаками, необходимо провести их исследование путём тщательно проведённой проверки тех операций, которые содержат отдельные формальные признаки злоупотреблений, путём применения приёмов встречной проверки, взаимного контроля, контрольного сличения, с целью выявления факторов, указывающих на определённые способы сокрытия хищений и злоупотреблений. В целях пресечения злоупотреблений и нарушений при составлении инвентаризационных описей и сокращения сроков инвентаризационной работы необходимо совершенствовать технику её проведения. Для ускорения инвентаризаций применяют специальные книги, построенные по типу оборотных ведомостей. Первая инвентаризация отражается в них как обычно, последующие на вкладыша с указанием лишь количества и стоимости товаров. Это позволяет за счёт одноимённых товаров почти вдвое сокращать объём описи и экономить при проведении инвентаризации не менее 25 % времени.
Дальнейшее совершенствование методов проведения инвентаризаций должно быть направлено на применение многочисленных документов, в которые будут записываться данные о наличии ценностей специальным шрифтом, воспринимаемым как человеком, так и ЭВМ.
Рассмотренные методы проведения инвентаризаций позволяют сократить сроки её проведения, повысить достоверность и точность данных.
Определение результата инвентаризации является одним из ответственных моментов бухгалтерской обработки материалов инвентаризации. Между тем некоторые руководители не рассматривают инвентаризационные описи и не дают по ним своего заключения.
При тщательном изучении инвентаризационных описей представляется возможность определить товары в завышенных количествах и принять меры по рассмотрению или завозу отсутствующих товаров. Таким образом, инвентаризационные ведомости дают информацию для управления товарными запасами. Задача состоит в том, чтобы в наиболее краткие сроки обеспечить выведение результатов инвентаризации. Следует рекомендовать инвентаризационной комиссии определить предварительные результаты на месте, немедленно по окончании инвентаризации и до открытия предприятия. Предварительные результаты определяются путём сравнения остатков по товарно-денежному отчёту с фактическими остатками по описи. Предварительные результаты носят оперативный характер и документального отражения не находят.
Улучшению качеству проводимых инвентаризаций и повышению отчётности членов инвентаризационной комиссии и работников магазина способствуют контрольные проверки проведённых инвентаризаций. Поэтому необходимо проверять выполнение планов контрольных проверок, каковы их результаты, какие применяются меры к лицам, проводившим инвентаризацию на низком уровне. Исследования показывают, что иногда они проводятся формально и не компетентными лицами.
Контрольные проверки должны возглавлять авторитетные лица. Желательно, чтобы контрольные проверки осуществляли и вневедомственные органы.
Необходимо контролировать не только 10-15 % наименований наиболее ценных товаров, числящихся по описи, но и проверять нет ли припрятанных ценностей с целью сокрытия излишков товара и экономии естественной убыли товаров.
Проверке должны подлежать ценности, количество которых вызывает сомнение у проверяющего. Рекомендуется проверять одноимённые ценности, находящиеся в одном помещении, но записанные в разных местах инвентаризационной описи, а также ценности, записанные в конце описи.
Имели место случаи, когда результаты инвентаризаций искажались по причине некачественной и несвоевременной проверки бухгалтером товарно-денежных отчётов материально ответственных лиц за инвентаризационный период. Что свидетельствует о целесообразности проведения при необходимых обстоятельствах после инвентаризации документальной ревизии, анализа товарных запасов, поступления, реализации и внутреннего перемещения товаров, а так же своевременности и полноты оприходования товаров, отпущенных поставщиками по оплаченным и не оплаченным документам, сдачи выручки. Только при этом условии контрольные проверки будут действенны и достигнут цели.
3.2. Использование информации инвентаризаций для оценки имущественного состояния
Значительного улучшения инвентаризационной работы можно добиться за счёт более полного использования возможностей и приёмов экономического анализа. Источниками анализа служат: план распределения инвентаризаций между должностными лицами; журналы учёта проведённых инвентаризаций (контрольных проверок); табель учёта рабочего времени; оперативные сведения по растратам и недостачам; объяснительные записи к балансу; отчёт о контрольно-ревизионной работе (ф. № 2кр). Используется так же первичная документация, инвентаризационные описи товаров, сличительные ведомости, постановления (приказы по результатам проведённых инвентаризаций).
Анализ сохранности собственности предприятия и инвентаризационной работы проводится в двух разрезах: на уровне ОРП «Облторгсоюза» и по организации (предприятию), входящему в состав «Облторгсоюза».
Мы же начнём анализ сохранности собственности организации и инвентаризационной работы, сначала с оптово-розничного предприятия «Облторгсоюз», а затем перейдём к универсальному торговому комплексу № 5.
Анализ выявленных недостач и хищений в «Облторгсоюзе» начинается с оценки общего состояния сохранности средств, так как это оказывает существенное влияние на уровень издержек обращения, рентабельность и сохранность собственности. В таблице 3.2. приведены основные показатели сохранности средств за 1997 год.
Таблица 3.2
Основные показатели сохранности средств ОРП «Облторгсоюз» за 1997 год в тыс. руб.
|
Показатели |
годы |
отчётный год в % к базисному |
отклонение от прошлого года |
|
|
базисный 1996 |
отчётный 1997 |
|||
|
1 |
2 |
3 |
4 |
5 |
|
розничный т/об (тыс. руб.) |
270780000 |
289161000,4 |
106,79 |
+18388000,4 |
|
выявление недостач |
||||
|
количество |
364 |
380 |
104,39 |
+16 |
|
сумма (руб. руб.) |
22772 |
33880 |
148,78 |
+11108 |
|
недостача на 1 тыс. руб. товарооборота |
0,08 |
0,12 |
150 |
+0,04 |
|
средняя сумма недостачи на 1 случай (тыс. руб.) |
62,56 |
89,16 |
142,52 |
+26,6 |
|
Продолжение таблицы 3.2. |
||||
|
1 |
2 |
3 |
4 |
5 |
|
средняя сумма недостачи на 1 организацию (всего 7) (тыс. руб.) |
3253,14 |
4840 |
148,78 |
+1586,86 |
|
взыскано недостач (%) |
||||
|
а) с учётом недостач прошлых лет |
81,89 |
100,7, |
122,97 |
+18,81 |
|
б) из выявленных |
78,55 |
92,25 |
117,44 |
+13,7 |
Характеризуя показатели 1996 и 1997 годов можно сказать, что сумма недостач в отчётном году по сравнению с базисным составила 148,78 %, что на 11108 тыс. руб. больше чем в 1996 году. В результате этого недостачи на 1 тыс. руб. товарооборота увеличились на 5,04 руб. в отчётном периоде наблюдается увеличение количество случаев недостач при росте средней суммы на 26000 рублей. Сумма взысканных недостач из выявленных в отчётном году на 17,44 %, в сумме на 13700 рублей.
Углубляя анализ, изучаем, в каких отраслях хозяйственной деятельности возникли недостачи и хищения (Таблица 3.3.).
Таблица 3.3
Анализ недостач и хищений выявленных в ОРП «Облторгсоюз» в 1997 году.
|
Группы недостач |
Выявлено (тыс. руб.) |
||
|
кол-во случаев |
сумма |
в % |
|
|
1 |
2 |
3 |
4 |
|
всего недостач по отраслям |
380 |
33880 |
100 |
|
торговля |
252 |
24120 |
71,2 |
|
общепит |
56 |
4436 |
13,1 |
|
Продолжение таблицы 3.3. |
|||
|
причины возникновения недостач и хищений |
|||
|
безответственное отношение МОЛ к работе |
106 |
8215 |
24,2 |
|
присвоение материальных ценностей и денежных средств в личных целях |
24 |
2304 |
6,8 |
|
злоупотребления служебным положением |
60 |
5244 |
15,5 |
|
несвоевременная сдача выручки |
72 |
3652 |
10,8 |
|
нарушения принципов подбора кадров на ответственные должности |
54 |
5148 |
15,2 |
|
плохой учёт и бухгалтерский контроль |
38 |
4117 |
12,2 |
|
раздача денег в долг |
26 |
5200 |
15,3 |
|
ИТОГО: |
380 |
33880 |
100 |
|
классификация МОЛ по возрасту |
|||
|
до 20 лет |
72 |
6312 |
18,6 |
|
до 25 лет |
138 |
13500 |
39,8 |
|
до 30 лет |
46 |
4538 |
13,5 |
|
свыше 30 лет |
124 |
9500 |
32,8 |
|
ИТОГО: |
380 |
33880 |
100 |
|
выявлены недостачи при: |
|||
|
планированные инвентаризации |
174 |
14194 |
42 |
|
передачи ТМЦ |
126 |
10194 |
30 |
|
денежных ревизиях |
56 |
5872 |
17,3 |
|
сверке расчётов |
24 |
3620 |
10,7 |
|
ИТОГО: |
380 |
33800 |
100 |
Наибольший процент недостач приходится на материально ответственных лиц в возрасте до 25 лет - 39,8 % при стаже работы до 2 лет. При этом первые места занимают следующие обстоятельства обнаружения недостач: при передаче товарно-материальных ценностей – 30 % и при плановых инвентаризациях – 42 %. Таким образом, многочисленные случаи растрат происходят в следствие неправильного подбора и отсутствия контроля за работой молодых кадров.
Изучение недостач целесообразно производить не только в цело по «Облторгсоюзу», но и в разрезе организаций, которые оно объединяет. В таблице № 5 представлены сведения о недостачах, выявленных в предприятиях и организациях «Облторгсоюза» за 1996 и 1997 годы. Таким образом, таблица 3.4 даёт возможность произвести более углубленный анализ недостач по организациям «Облторгсоюза» за базисный и отчётный годы.
Таблица 3.4.
Сведения о недостачах, выявленных в организациях и предприятиях ОРП «Облторгсоюза» за 1997 год в тыс. руб.
|
Организация |
1996 |
1997 |
Отчётный в % к прошлому |
Отклонение |
|||||||
|
Недостачи |
Удельный вес в % |
Недостачи |
Удельный вес в % |
В кол-ве случаев |
В сумме |
||||||
|
В кол-ве случаев |
В сумме |
В кол-ве случаев |
В сумме |
В кол-ве случаев |
В сумме |
В кол-ве случаев |
В сумме |
||||
|
1 |
2 |
3 |
4 |
5 |
6 |
7 |
8 |
9 |
10 |
11 |
12 |
|
ОРП «Верас» |
54 |
5462 |
14,84 |
23,99 |
63 |
7280 |
16,59 |
21,49 |
133,28 |
+9 |
+1818 |
|
«Эмальпосуда» |
59 |
4362 |
16,21 |
19,16 |
59 |
6402 |
15,53 |
18,9 |
146,77 |
– |
+2040 |
|
«Космос» |
60 |
2936 |
16,48 |
18,16 |
62 |
3098 |
16,32 |
9,14 |
105,52 |
+2 |
+162 |
|
ОРБ «Ткацторг» |
66 |
4136 |
18,13 |
18,16 |
68 |
7340 |
17,89 |
21,66 |
177,47 |
+2 |
+3204 |
|
ОРБ «Плодовощторг» |
55 |
2722 |
15,11 |
11,95 |
56 |
4436 |
17,74 |
13,09 |
162,97 |
+1 |
+1714 |
|
ТЦ «Виктория» |
70 |
3154 |
19,23 |
13,85 |
72 |
5324 |
18,95 |
15,71 |
168,8 |
+2 |
+2170 |
|
ИТОГО: |
364 |
22772 |
100 |
100 |
380 |
33880 |
100,2 |
100 |
148,78 |
+16 |
11108 |
В целом по организациям «Облторгсоюза» количество случаев недостач возросло на 16, что в сумме составило 11108 тыс. рублей.
Анализ состояния инвентаризационной работы и выявление недостач в универсальном торговом комплексе № 5 начинается с оценки общего состояния сохранности средств. В таблице 3.5 приведены основные показатели сохранности средств за отчётный год.
Таблица 3.5.
Основные показатели сохранности средств по универсальному торговому комплексу № 5 за 1997 год в тыс. руб.
|
Показатели |
годы |
отчётный год в % к базисному |
отклонение от прошлого года |
|
|
базисный 1996 |
отчётный 1997 |
|||
|
1 |
2 |
3 |
4 |
5 |
|
розничный т/об (тыс. руб.) |
44630000 |
46860000,2 |
104,99 |
+2230000,2 |
|
выявлено недостач |
||||
|
количество |
54 |
63 |
116,67 |
+9 |
|
сумма (руб. руб.) |
5462 |
7280 |
133,28 |
+1818 |
|
недостача на 1 тыс. руб. товарооборота |
0,12 |
0,16 |
133,33 |
+0,04 |
|
средняя сумма недостачи на 1 случай (тыс. руб.) |
101,15 |
155,56 |
114,25 |
+14,41 |
|
средняя сумма недостачи на 1 магазин(31 маг.) тыс. руб. |
176,19 |
234,83 |
133,28 |
+58,64 |
|
взыскано недостач (%) |
||||
|
а) с учётом недостач прошлых лет |
99,68 |
110,2 |
110,55 |
+10,52 |
|
б) из выявленных |
93,81 |
100,00 |
106,59 |
+6,91 |
Анализируя показатели 1996 и 1997 годов можно сказать, что сумма недостач в отчётном году по сравнению с базисным увеличилась на 133,28 %, что в сумме составляет 1818 тыс. рублей. В результате этого недостачи на 1 тысячу рублей товарооборота увеличилась на 0, 04. В отчётном периоде наблюдается увеличение количества случаев недостач при росте их средней суммы на 14410 рублей. Сумма взысканных недостач с учётом недостач прошлых лет в отчётном году увеличилась на 10,55 %, что в сумме составило 10520 рублей, а сумма взысканных недостач из выявленных в отчётном году увеличилась на 6,59 % в сумме 6190 рублей.
Изучение и анализ недостач производится не только в целом по ОРП «Облторгсоюзу», но и в разрезе универсального торгового комплекса № 5, который входит его состав. В таблице 3.6 представлены сведения о недостачах и хищениях, выявленных в УТК № 5 за 1997 год.
Таблица 3.6.
Сведения о недостачах и хищениях, выявленных в универсальном торговом комплексе № 5 за 1997 год в тыс. руб.
|
Наименование торгового предприятия |
1996 |
1997 |
Отчётный в % к прошлому |
Отклонение от прошлого года |
|||||||
|
Недостачи |
Удельный вес в % |
Недостачи |
Удельный вес в % |
В кол-ве случаев |
В сумме |
||||||
|
В кол-ве случаев |
В сумме |
В кол-ве случаев |
В сумме |
В кол-ве случаев |
В сумме |
В кол-ве случаев |
В сумме |
||||
|
1 |
2 |
3 |
4 |
5 |
6 |
7 |
8 |
9 |
10 |
11 |
12 |
|
Отдел № 4 |
3 |
345 |
5,56 |
6,32 |
4 |
352 |
6,35 |
4,84 |
102,3 |
+1 |
+7 |
|
Отдел № 2 |
4 |
95 |
7,41 |
1,74 |
3 |
634 |
4,76 |
8,71 |
667,37 |
-1 |
+539 |
|
Отдел № 3 |
2 |
1683 |
3,7 |
30,81 |
3 |
87 |
4,76 |
1,19 |
5,17 |
+1 |
+1596 |
|
Отдел № 28 |
3 |
56 |
5,56 |
1,03 |
3 |
255 |
4,76 |
3,5 |
455,3 |
– |
+199 |
|
Отдел № 36 |
3 |
124 |
5,56 |
2,27 |
5 |
354 |
7,94 |
4,86 |
285,48 |
+2 |
+230 |
|
Отдел № 14 |
6 |
525 |
11,1 |
9,61 |
4 |
236 |
6,35 |
3,24 |
44,95 |
-2 |
-211 |
|
Отдел № 23 |
4 |
202 |
7,41 |
3,69 |
4 |
517 |
6,35 |
7,1 |
225,94 |
– |
+315 |
|
Ларёк на Косарево |
2 |
24,1 |
3,7 |
0,44 |
4 |
95 |
6,35 |
1,3 |
394,19 |
+2 |
+700 |
|
Отдел № 5 |
3 |
149 |
5,56 |
2,73 |
4 |
594 |
6,35 |
8,16 |
398,66 |
+1 |
+445 |
|
Отдел № 9 |
2 |
63 |
3,7 |
1,15 |
3 |
208 |
4,76 |
2,86 |
330,16 |
+11 |
+145 |
|
Отдел № 18 |
5 |
124 |
9,56 |
2,27 |
4 |
450 |
6,35 |
6,18 |
362,9 |
-1 |
+326 |
|
Ларёк на Косарево «Купава» |
2 |
67 |
3,7 |
1,23 |
3 |
362 |
4,76 |
4,97 |
540,29 |
+1 |
+290 |
|
Магазин № 76 |
3 |
935 |
5,56 |
17,12 |
4 |
956 |
6,35 |
13,13 |
102,25 |
+1 |
+121 |
|
Продолжение таблицы 3.6. |
|||||||||||
|
1 |
2 |
3 |
4 |
5 |
6 |
7 |
8 |
9 |
10 |
11 |
12 |
|
Магазин № 236 |
2 |
289 |
3,7 |
5,29 |
3 |
102 |
4,76 |
1,4 |
35,29 |
+1 |
-187 |
|
Магазин № 61 |
4 |
150 |
7,41 |
2,75 |
1 |
936 |
1,59 |
12,86 |
624 |
-3 |
+716 |
|
Отдел № 21 |
3 |
450 |
5,56 |
8,24 |
5 |
635 |
7,94 |
8,72 |
141,11 |
+2 |
+185 |
|
Магазин № 23 |
2 |
163 |
3,7 |
2,98 |
3 |
142 |
4,76 |
1,95 |
87,12 |
+1 |
-21 |
|
Магазин № 1 |
1 |
17,9 |
1,85 |
0,33 |
3 |
365 |
4,76 |
5,03 |
2039,11 |
+2 |
+347,1 |
|
ИТОГО: |
54 |
5462 |
100 |
100 |
63 |
7280 |
100 |
100 |
133,28 |
9 |
1818 |
Анализируя выявленные недостачи можно сказать, что наибольший удельный вес в количестве случаев недостач в базисном году занимал отдел № 14 (11,1 %), а в сумме отдел № 3 (30,11 %), в отчётном году количество случаев недостач по магазину № 14 несколько снизилось и наибольший удельный вес по количеству недостач заняли отделы № 36, 21 (7, 94 %), а в сумме магазин № 76 (13,13 %).
В целом по УТК № 5 можно сказать, что количество случаев недостач в отчётном году возросло на 9 случаев, что в сумме составило 1818 тыс. рублей. Эти данные служат серьёзным сигналом о неблагоприятном состоянии дел с сохранностью средств (не смотря на всё растущую информацию, ведущую к увеличению суммы недостач, ведь растёт и количество случаев недостач) побуждают к принятию решений и действительных мер по улучшению работы по сохранности, уменьшению недостач и хищений.
В таблице 3.7 представлены сведения о кражах и ограблениях, совершённых в УТК № 5 за отчётный год.
Таблица 3.7.
Сведения о кражах и ограблениях, совершённых в универсальном торговом комплексе № 5 за 1997 год в тыс. руб.
|
Наименование торгового предприятия |
1996 |
1997 |
Отчётный в % к прошлому |
Отклонение от прошлого года |
|||||||
|
Совершено краж |
Удельный вес в % |
Совершено краж |
Удельный вес в % |
В кол-ве случаев |
В сумме |
||||||
|
В кол-ве случаев |
В сумме |
В кол-ве случаев |
В сумме |
В кол-ве случаев |
В сумме |
В кол-ве случаев |
В сумме |
||||
|
Продолжение таблицы 3.7. |
|||||||||||
|
1 |
2 |
3 |
4 |
5 |
6 |
7 |
8 |
9 |
10 |
11 |
12 |
|
Отдел № 13 |
1 |
956 |
25 |
29,19 |
2 |
1843 |
50 |
59,66 |
192,78 |
+1 |
+2 |
|
Отдел № 8 |
2 |
1534 |
50 |
46,85 |
– |
– |
– |
– |
– |
– |
– |
|
Отдел № 48 |
1 |
784 |
25 |
23,95 |
2 |
1246 |
50 |
40,35 |
158,93 |
-1 |
+462 |
|
ИТОГО: |
4 |
3274 |
100 |
100 |
4 |
3089 |
100 |
100 |
94,35 |
– |
+185 |
Анализируя данные можно сделать вывод о том, что в отчётном году количество случаев краж и ограблений не возросло и в сумме снизилось на 185 тыс. рублей.
В отчётном году наибольший удельный вес в сумме занимает отдел № 13, что является серьёзным скачком по сравнению с прошлым годом. Данные таблицы 8 будут использованы для углублённого анализа, в первую очередь, наиболее поражёнными недостачами и хищениями, а затем с целью обобщения и распространения опыта, исследования работы организаций, в которых с криминальной обстановкой дело обстоит более благополучно.
В таблице 3.8 представлены данные о проведённых инвентаризациях и контрольных проверках по УТК № 5за отчётный год в целом по предприятию.
Таблица 3.8.
Данные о проведении инвентаризаций и контрольных проверок по универсальному торговому комплексу № 5 за 1997 год.
|
Отделы |
Кол-во отделов |
Кол-во проведённых инвентаризаций |
Затрачено дней |
Средняя продолжительность инвентаризаций (в днях) |
Проведено контрольных проверок |
Отделы с бригадной формой ответственности |
||||
|
По распоряжению |
Фактически |
Отклонение |
Кол-во отделов |
Кол-во МОЛ |
Создание комиссий |
|||||
|
1 |
2 |
3 |
4 |
5 |
6 |
7 |
8 |
9 |
10 |
11 |
|
продовольственные |
31 |
123 |
164 |
172 |
8 |
1,3 |
15 |
11 |
48 |
11 |
С помощью этой таблицы можно судить о степени расстановки сил, направленные на более успешное проведение инвентаризационной работы: количестве проведённых инвентаризаций, контрольных проверок, затраченного времени на инвентаризации по распоряжению и фактически и об отклонениях.
Так, по продовольственным отделам, входящим в состав УТК № 5 имеются положительные отклонения по дням, затраченным фактически на проведение инвентаризаций. Это свидетельствует о нерациональной технике труда работников, проводящих инвентаризацию, что в дальнейшем как правило, повлияет на ухудшение финансового результата.
При анализе инвентаризационной работы важное значение имеет выполнение плана инвентаризаций не только в целом за год, но и за отдельные его периоды (месяцы, кварталы). Выполнение плана инвентаризаций из месяца в месяц говорит о регулярности контроля за работой материально ответственных лиц, позволяет вовремя выявить недостачи, не наращивая их до крупных размеров, своевременно выявлять соответствие фактических данных учётным и предотвратить ошибки в работе.
В таблице 3.9 представлены данные о выполнении плана проведения инвентаризаций в УТК № 5 по кварталам отчётного года.
Таблица 3.9.
Выполнение плана проведения инвентаризаций в универсальном торговом комплексе № 5 по кварталам 1997 года.
|
кварталы |
План |
Фактически |
Отклонения от плана |
Процент выполнения плана |
Среднее кол-во проведённых инвентаризаций в месяц |
||||
|
Кол-во |
Удельный вес в % |
Кол-во |
Удельный вес в % |
По кол-ву |
В удельном весе в % |
План |
фактически |
||
|
1 |
2 |
3 |
4 |
5 |
6 |
7 |
8 |
9 |
10 |
|
I |
23 |
19,49 |
25 |
20,33 |
+2 |
+0,84 |
108,7 |
7,7 |
8,3 |
|
II |
30 |
25,42 |
31 |
25,20 |
+1 |
-0,22 |
103,3 |
10 |
10,3 |
|
III |
36 |
30,51 |
38 |
30,89 |
+2 |
+0,38 |
105,6 |
12 |
12,7 |
|
IV |
29 |
24,58 |
29 |
23,58 |
– |
-1 |
100 |
9,7 |
9,7 |
|
ИТОГО |
118 |
100 |
123 |
100 |
5 |
– |
104,2 |
9,8 |
10,3 |
В отчётном году наблюдалось неравномерное планирование и фактическое проведение инвентаризаций. Наиболее напряжёнными были II и III кварталы, на долю которых приходилось 56,09 % (25,20 % + 30,89 %) всех инвентаризаций. Среднее количество проведённых инвентаризаций за месяц в этих кварталах составило 10,3 и 12,7. План инвентаризаций выполнен во всех кварталах отчётного года.
Также интерес представляют данные о выявленных недостачах и проведённых инвентаризациях на 1 января 1998 года.
В таблице 3.10 представлены сведения в разрезе магазинов, материально ответственных лиц, даны сведения об отпусках, предоставленных материально ответственным лицам.
Таблица 3.10
Сведения о проведённых инвентаризациях и предоставленных отпусках по универсальному торговому комплексу № 5 на 01.01.98 г.
|
фамилия имя отчество материально ответственного лица |
№ магазина |
Фактические товарные запасы тыс. руб. |
Остаток тары |
Дата проведения инвентаризации |
Результат тыс. руб. |
Кто проводил инвентаризацию |
С какого времени работает в должности |
Дата последнего отпуска |
||
|
Предыдущей |
Последней |
Недостача |
Излишек |
|||||||
|
1 |
2 |
3 |
4 |
5 |
6 |
7 |
8 |
9 |
10 |
11 |
|
Толкачёва Л. М. |
4 |
27541000 |
257630 |
30.06 |
14.08.97 |
97 |
– |
Агеенко М. Н. |
05.87 |
08.97 |
|
Черенкова Р. И. |
11 |
29301800 |
117458 |
26.06 |
07.10.97 |
112 |
17,8 |
Агеенко М. Н. |
04.92 |
10.97 |
|
Галицкая М. С. |
14 |
19406000 |
635400 |
26.05 |
11.08.97 |
15 |
– |
Волкова О. М. |
08.88 |
05.97 |
|
Пысь С. И. |
238 |
21527000 |
346560 |
10.08 |
08.10.97 |
93 |
45 |
Семёнова Л. М. |
03.79 |
10.97 |
|
Курносенко Л.Н |
56 |
32144000 |
259000 |
09.09 |
08.12.97 |
54 |
– |
Семёнова Л. М. |
23.81 |
08.97 |
|
ЛукьяненоС.Ю. |
74 |
23672500 |
700500 |
20.10 |
09.12.97 |
102 |
33 |
Агеенко М. Н. |
10.94 |
09.97 |
|
Корасева Н. И. |
23 |
18475300 |
423800 |
21.09 |
14. 12. 97 |
212 |
47,3 |
Волкова О. М. |
21.05.97 |
Вновь приб. |
По данным видно, что наибольшая сумма недостач выявлена у материально ответственных лиц с меньшим стажем работы на данном месте. Такое явление стало на практике устойчивым и неизменным не только для такой отрасли как розничная торговля.
3.3. Оценка эффективности инвентаризационной работы
С целью более полного контроля за состоянием инвентаризационной работы целесообразно проводить анализ её эффективности. При этом необходимо учитывать возможные упущения в этой деятельности.
Наиболее характерными недостатками инвентаризаций являются следующие: инвентаризационные комиссии действуют как временный орган; специалисты, проверяющие плохо ознакомлены с нормативными актами и слабо знают свои обязанности, права и обязанности, права и ответственность, отсутствует чёткая регламентация инвентаризаций (проведения, оформления, подведения итогов и принятия решений по результатам проверки, реализаций через правоохранительные органы); нет методик зачёта пересортицы и описаний естественной убыли; не обоснован порядок расчёта материального ущерба; отсутствует контроль за состоянием инвентаризационной работы; 41,3 % членов инвентаризационных комиссий не имеют специального образования.
В связи с этим необходимо осуществлять контроль за инвентаризациями по следующим направлениям: наличие разработанных и утверждённых планов; полнота охвата объектов и своевременность инвентаризаций; правомочность и компетентность комиссий; качество инвентаризационного процесса; достоверность и правильность составления инвентаризационных описей и сличительных ведомостей; своевременность, объективность и законность реализации материалов инвентаризаций; правильность отражения на счетах бухгалтерского учёта и в учётных регистрах.
Исходным моментом для определения непосредственных результатов деятельности должно являться степень или уровень выполнения определённых задач, прохождение этапов проверки. Для этого необходимо, чтобы существовала система показателей, отражающих полноту, своевременность и оперативность выполнения работы; единство в совокупности показателей; сравнимость результатов. Этому требованию в наибольшей мере соответствуют относительные величины. Общий принцип подсчёта отдельных показателей заключается в том, что выбираются отдельные, наиболее важные элементы цикла ревизионной работы или функциональных обязанностей, конечный результат которых поддаётся количественному определению. При этом рассчитанные коэффициенты будут характеризовать эффективность и качество труда.
Состояние и эффективность инвентаризационной работы целесообразно проверять по следующим показателям.
Показатель своевременности. Данный показатель характеризует проведение инвентаризаций в срок, установленный планом. Он определяется отношением количестве своевременно проведённых инвентаризаций ко всем планируемым инвентаризациям.
Показатель выполнения плана проведения инвентаризаций, рассчитываемый как отношение фактически проведённых инвентаризаций к их плановому количеству.
Показатель соблюдения сроков выведения результатов инвентаризаций. Он исчисляется как отношение числа инвентаризаций, по которым результаты выведены в срок, ко всем проведённым инвентаризациям.
Показатель участия руководителя, его заместителя и главного бухгалтера предприятия в проведении инвентаризаций. Он исчисляется как отношение числа инвентаризаций, проведённых под председательством этих должностных лиц, ко всем проведённым инвентаризациям.
Таким же образом можно определить показатель участия руководителя (его заместителей и главного бухгалтера) в проведении контрольных проверок качества инвентаризаций.
Коэффициент качества инвентаризаций. Он определяется отношением количества достоверных инвентаризаций ко всем проводимым инвентаризациям.
Коэффициент охвата инвентаризаций контрольными проверками, учитывающий уровень проверки достоверности проводимых инвентаризаций. Определяется путём отношения количества проводимых контрольных проверок данных инвентаризаций к общему числу инвентаризаций.
Коэффициент возмещения выявленного ущерба. Указанный показатель рассчитывают как отношение размера возмещённого ущерба к общей сумме выявленной недостачи.
Предлагаемые показатели дают возможность определить качество и эффективность инвентаризаций, сравнить и определить лучшие предприятия по организации и проведению инвентаризационной работы, усилить контроль за качеством мер, связанных с обеспечением собственности предприятия.
Вместе с тем целесообразно дополнять сведениями о принятых мерах по возмещению скрытого в процессе инвентаризации ущерба в денежном выражении. Результатами качественно и эффективно проведённой инвентаризации могут быть: взыскание выявленных недостач, оприходование неучтённых излишков, погашение вскрытой дебиторской задолженности, обеспечение внесения в кассу денежных начётов. При этом следует сравнивать затраты на инвентаризацию с дополнительными доходами, полученными от возмещения материального ущерба. Инвентаризация эффективна, если полученный доход превышает затраты на её организацию при соблюдении всех требований к её методике и технике проведения.
Используя данные представленных ранее таблиц, можно рассчитать влияние факторов на изменение суммы недостач. Для этого нужно использовать метод цепной постановки.
Таблица 3.11.
Влияние средней суммы недостачи и количества недостач по универсальному торговому комплексу № 5 на динамику выявленных недостач за 1997 год в тыс. руб.
|
Показатели |
Прошлый год 1996 |
Отчётный год 1997 |
|
1 |
2 |
3 |
|
Сумма недостач |
5462 |
7280 |
|
Количество недостач |
54 |
63 |
|
Средняя сумма 1 недостачи |
101,15 |
115,56 |
Подстановки
101,75 х 63 = 6372,45
115,56 х 63 = 7280,21
Изменение средней суммы недостач влияет:
7280 – 6372,45 = 907,55
Изменение количества недостач влияет:
6372,45 – 5462 = 910,45
Совокупное влияние
907,55 + 910,45 = 1818
Увеличение суммы недостач в 1997 году по сравнению с 1996 годом на 1818 тысяч рублей по универсальному торговому комплексу № 5 произошла за счёт увеличения средней суммы недостач (907,55 тыс. руб.) и увеличение количества недостач (910,45 тыс. руб.)
Интересен анализ некоторых данных по результатам инвентаризаций, выполненный приёмом корреляции.
Например. Рассчитаем связь между товарными запасами и суммами недостач по данным таблицы № 11.
Таблица 3.12.
Показатели по товарным запасам и недостачам по универсальному торговому комплексу № 5 за 1997 год в тыс. руб.
|
Предприятие |
Товарные запасы х |
Недо-стачи у |
х2 |
ху |
|
1 |
2 |
3 |
4 |
5 |
|
Магазин 4 |
27541 |
0,97 |
758506681 |
26714,77 |
|
Магазин 11 |
29301,8 |
0,112 |
858595483,24 |
3281,8016 |
|
Магазин 14 |
19406,2 |
0,15 |
376600598,44 |
2910,93 |
|
Магазин 238 |
21527 |
0,93 |
463411729 |
20020,11 |
|
Магазин 56 |
32144 |
0,54 |
1033236736 |
17357,76 |
|
Магазин 74 |
23672,5 |
0,102 |
560387256,25 |
2414,595 |
|
Магазин 23 |
18475,3 |
0,212 |
341336710,09 |
3916,7636 |
|
х= |
y= |
x2 = |
xy= |
|
|
ИТОГО: |
172067,8 |
3,016 |
4392075194,02 |
76616,7302 |
n=7

y(27541)=0,8733172-0,000018х27541=0,3775792
y(29301,8)=0,8733172-0,000018х29301,8=0,3458848
y(19406,2)=0,8733172-0,000018х19406,2=0,5240056
y(21527)=0,8733172-0,000018х21527=0,4858312
y(32144)=0,8733172-0,000018х32144=0,2947252
y(23672,5)=0,8733172-0,000018х23672,5=0,4472122
y(18475,3)=0,8733172-0,000018х18475,3=0,5407618
3,016
корреляционное отношение


y-y>x> (y-y>x>)2
0,97-0,3775792=0,5924208 0,350962
0,112-0,3458848=-0,2338848 0,054702
0,15-0,5240056=-0,3740056 0,139880
0,93-0,4858312=0,4441688 0,197286
0,54-0,2947252=0,2452748 0,060159
0,102-0,4472122=-0,3452122 0,119171
0,212-0,5407618=-0,3287618 0,108084
(y-y>x>)2=1,030244


0,97-0,430857=0,539143 0,290675
0,112-0,430857=-0,318857 0,101669
0,15-0,430857=-0,280857 0,078881
0,93-0,430857=0,499143 0,249144
0,54-0,430857=0,109143 0,011912
0,102-0,430857=-0,328857 0,108147
0,212-0,430857=-0,218857 0,047898


Итак, по результатам расчётов можно сделать вывод о том, что между товарными запасами и суммой недостач по УТК № 5 существует не тесная связь. При увеличении товарных запасов на 1000 рублей сумма недостач увеличивается.
Следует отметить, что происходит это по следующей причине. При существующей инфляции товарооборот растёт более быстрыми темпами и товарные запасы могут превышать норматив. Поэтому при возрастании товарных запасов над нормативом и существует обратная зависимость между суммой недостач и товарным запасом.
3.4. Анализ результатов инвентаризаций в условиях использования ЭВМ.
В настоящее время широкое распространение при проведении анализа инвентаризационной работы получило использование ЭВМ. Объясняется это прежде всего большим объёмом счётной и технической работы, которую необходимо выполнить в сжатые сроки с наименьшими трудовыми затратами.
Так, например, при применении метода корреляционного и регрессивного анализа, который широко используется для определения тесноты связи между показателями не находящимися в функциональной зависимости, как мы уже убедились, для прямолинейной зависимости исчисляется коэффициент корреляции и процесс этот очень трудоёмок.
Применение ЭВМ позволяет ускорить этот процесс, так как пользователь вводит в машину только данные его интересующие, а машина сама делает вычисления и выводит конечный результат на печать (см. Приложение 15).
Как мы видим из приложения коэффициент корреляции составляет 0,2064491, что говорит о не тесной связи между выбранными для анализа, нами показателями. Объясняется это тем, что при существующей инфляции товарооборот растёт более быстрыми темпами и товарные запасы могут превышать норматив. Поэтому при возрастании товарных запасов над нормативом и существует обратная зависимость между суммой недостач и товарных запасов.
Также в системе обработки табличных данных существует интересная возможность, обеспечивающая отображение полученных результатов в виде разнообразных графических диаграмм. Часто такой способ позволяет представить данные в более удобной для восприятия человеком форме. Эту задачу выполняет «Суперкалк-4».
«Суперкалк» обеспечивает работу с диаграммами семи различных типов. Кроме основных элементов, характеризующих числовые данные электронной таблицы, каждая диаграмма может включать оформительские элементы, улучшающие её внешний вид и информативность.
Существуют следующие виды диаграмм:
круговая;
столбиковая;
совмещённая;
линейная;
диаграмма х-у;
площадей;
интервальная.
Из всего сказанного в этом пункте можно сделать следующий вывод. Основными задачами на данном участке являются: получение анализа инвентаризационной работы в кратчайшие сроки, сокращение трудоёмкости работы, отображение полученных результатов в виде графических диаграмм, что позволяет представить данные в более удобной для восприятия человеком форме.
заключение
В результате исследования, проведённого при написании дипломной работы, нами установлено, что сохранность собственности предприятия в универсальном торговом комплексе № 5 находится не на должном уровне. Имеются факты недостач и хищений, в последнее время наблюдается их рост.
Однако следует отметить то, что недостачи взыскиваются в полном объёме. Так в 1997 году выявленные недостачи возмещены на 100 %.
С целью улучшения состояния сохранности средств предприятия руководителю, главному бухгалтеру, ревизорам можно порекомендовать некоторые предприятия.
В первую очередь нужно совершенствовать сам процесс проведения инвентаризаций. Для этого необходимо пользоваться наиболее эффективными и рациональными её методами:
ярлычный метод;
применение специальных книг, построенных по типу оборотных ведомостей;
обмер и последующий подсчёт;
Также необходимо увеличить процент охвата инвентаризаций контрольными проверками, увеличивающих достоверность инвентаризационных данных.
Для увеличения товарооборота необходимо сокращать до минимальных размеров сроки проведения инвентаризаций. Этого можно достигнуть применяя рациональные приёмы их проведения, а также использование электронно-вычислительной техники при выведении результатов инвентаризаций.
Необходимо уделять огромное внимание кадрам, особенно молодым. Повысить роль квалификационных комиссий по приёму на работу лиц, связанных с материальной ответственностью, что позволяет практически исключить проникновение на эти должности граждан, имеющих судимость или уволенных по недоверию.
На УТК № 5 особое внимание уделяется повышению профессионального уровня материально ответственных лиц. Принимаются различные меры по улучшению инвентаризационной работы. Утверждаются списки работников системы, привлекаемых для проведения инвентаризаций. Инвентаризации проводятся только правомочными комиссиями, в состав которых в обязательном порядке входят два специалиста от правления организации, член комиссии контроля за работой торгового предприятия и материально ответственное лицо .
Особое внимание уделяется совершенствованию работы с кадрами, воспитанию у них чувства ответственности за порученное дело, укреплению трудовой и производственной дисциплины.
Лица, не внушающие доверия, судимые и допустившие недостачи в больших объёмах освобождены или же освобождаются от занимаемой должности.
Продолжается работа по дальнейшему укреплению счётно-бухгалтерского аппарата.
Это позволит более оперативно управлять предприятием, вскрывать недостатки в работе предприятий и принимать меры по их устранении, что играет огромную роль в деле сохранения собственности особенно в условиях рыночных отношений.
Список использованной литературы.
О бухгалтерском учёте и отчётности. Закон Республики Беларусь: Постановление Верховного Совета Республики Беларусь от 18 октября 1994 г. № 3322-XII.–Мн.: Экаунт, 1994 – С. 12.
Об изменениях сроков и порядке проведения инвентаризаций товарно-материальных ценностей, денежных средств и расчётов, а также ревизий в предприятиях и организациях потребительской кооперации: Постановление правления Центросоюза № 19 от 24 января 1989.
Сост. Ковалевич И. Н. Бухгалтерский учёт и контроль в Республике Беларусь: Сб. норматив. актов: в 6-ти т. Т. 4 Учёт имущества – Мн.: Амалфея, 1996. – 832 с.
Исправление отчётных данных по результатам инвентаризации и проверок, проводимых самой организацией и налоговыми органами // Экономика и учёт в торговле.–1998.–№1.–С. 46-50.
Списание сумм недостач и хищений материальных ценностей: Письмо № 142 от 23.12.93. НЭГ № 1 1994 г.
Андреев В. Д. Использование экономического анализа в ревизионной работе – Экономика, 1985.
Андреев В. Д. Ревизия и аудит: Учебное пособие – Мн.: Высшая шк.,1996
Белый И. Н., Сушкевич А. Н. Организация бухгалтерского учёта и внутреннего аудита на предприятиях и в организациях.–Мн.: Экаунт,–1996.
Белый И. Н. и др. Теория бухгалтерского учёта: Учебник для уч-ся сред. спец. учеб. заведений// Мн.: Мисанта, 1997. –153 с.
Вещунова Н. Л., Фомина Л. Ф. Бухгалтерский учёт в торговле и общественном питании: Практ. пособие.–М.: МАГИС, 1996. –421 с.: табл.
Кондраков Н. П. Бухгалтерский учёт: Учеб. пособие. –Мн.: ИНФРА-М, 1997.–560 с.
Кожарский В. В., Кравченко Л. И. Бухгалтерский учёт в торговле – Мн.: Вышэйшая школа, 1996.
Крятова Л. Вопросы теории бухгалтерского учёта: Документация хоз. операций. Классификация документов. Инвентаризация. Техника и форма бух. учёта. Формы бух. учёта. Бух. (фин.)
Лебедева Н. В., Бычкова С. М. Инвентаризация при аудите товарно-материальных ценностей // Бухгалтерский учёт.–1997.–№ 1.–С. 40-45.
Криницкий Р. И. Контроль и ревизия в условиях автоматизации бухгалтерского учёта –М.: Финансы и статистика, 1990.
Патров В. В. Бухгалтерский учёт товарных операций.– 2-е изд., перераб. и доп. – М.: Бух. учёт.,1997.–208 с.
Полецкий А. В. Эффективность ревизии.// Бухгалтерский учёт, 1991 –№ 8.
Понотиленко А. А. О проведении инвентаризации в условиях рыночных отношений.// Бухгалтерский учёт, 1990.–№ 12.
Соловьёв А. А. Торговля. Материальная ответственность: Практическое пособие.–М.: Приор, 1997.–144 с.
Тишков И. Е. Бухгалтерский учёт. Мн.: Высшая школа, 1996.
ПРИЛОЖЕНИЯ
ПРИЛОЖЕНИЕ 9
Журнал по счёту № 84. 1 Недостачи и потери
с 01.01.97 по 31.01.97
-
итого
Остаток на начало
оборот
Остаток на конец
Д
0.00
217272.00
217272.00
К
0.00
217272.00
217272.00
Д/К
Дата
№ док.
Кореспонд.счет
Наименование
Сумма
Код
Содержение оп
Д
23.01.97
84
41. 2. 1. .
Маг.21 ЛЕОНОВА В.Н.
217272.00
1
Списано с МОЛ
К
23.01.97
84
73. 3. . .
Расч.по мед.кроме м.
144120.00
3
Списано на вин. л
К
23.01.97
84
44. 2. . .
ИО в розн. торговле
51206.40
2
Списано на ИО
К
23.01.97
84
42. 3. . .
Торговая надб.в розн
21945.60
4
Торговая надбавка
Бухгалтер _______
ПРИЛОЖЕНИЕ 10
Главная книга
Счет 84 Недостачи
с 01.01.97 по 31.01.97
|
ИТОГИ |
Остаток на начало |
Оборот |
Остаток на конец |
|
|
Д |
0.00 |
217272.00 |
0.00 |
|
|
К |
0.00 |
217272.00 |
0.00 |
|
|
Д/К |
Счет |
Наименование |
Сумма |
|
|
Д |
41 |
Товары и тара |
217272.00 |
|
|
ИТОГО |
217272.00 |
|||
|
К |
42 |
Торговая наценка |
21945.60 |
|
|
К |
44 |
Издержки обращения |
51206.40 |
|
|
К |
73 |
Расч.с пер.прочие |
144120.00 |
|
|
ИТОГО |
217272.00 |
Бухгалтер _________________________
ПРИЛОЖЕНИЕ 11
Оборотная ведомость с 01.01.97 по 31.01.97
84 Недостачи
|
Сч.сс.а/с1.а/с2.а/с3 |
Наименование |
Остаток на начало |
Оборот |
Остаток на конец |
|||
|
Дебет |
Кредит |
Дебет |
Кредит |
Дебет |
Кредит |
||
|
84. 1. 1. . |
Выявлено недостач |
0.00 |
0.00 |
217272.00 |
0.00 |
217272.00 |
0.00 |
|
84. 1. 2. . |
Спис.на виновных лиц |
0.00 |
0.00 |
0.00 |
144120.00 |
0.00 |
144120.00 |
|
84. 1. 3. . |
Спис. на ИО ест. уб |
0.00 |
0.00 |
0.00 |
51206.40 |
0.00 |
51206.40 |
|
84. 1. 4. . |
Спис. торг. надб. |
0.00 |
0.00 |
0.00 |
21945.00 |
0.00 |
21945.60 |
|
84. 1. . . |
Недостачи и потери |
0.00 |
0.00 |
217272.00 |
217272.00 |
217272.00 |
217272.00 |
|
84. . . . |
Недостачи |
0.00 |
0.00 |
217272.00 |
217272.00 |
0.00 |
0.00 |
Бухгалтер _________________
ПРИЛОЖЕНИЕ 12
Ведомость по одам операций
84 Недостачи
|
Код |
Содержание операции |
Дата |
№.док |
Дебет |
Кредит |
Сумма |
|
1 |
Списано с МОЛ |
23.01.97 |
84 |
84. 1. 1. . |
41. 2. 1. . |
217272.00 |
|
Итого по операции |
217272.00 |
|||||
|
2 |
Списано на ИО |
23.01.97 |
84 |
44. 2. . . |
84. 1. 3. . |
51206.40 |
|
Итого по операции |
51206.40 |
|||||
|
3 |
Списано на вин. Лиц |
23.01.97 |
84 |
73. 3. . . |
84. 1. 2. . |
144120.00 |
|
Итого по операции |
144120.00 |
|||||
|
4 |
Торговая надбавка |
23.01.97 |
84 |
42. 3. . . |
84. 1. 4. . |
21945.60 |
|
Итого по операции |
21945.60 |
Бухгалтер _____________
ПРИЛОЖЕНИЕ 13
Главная книга
Счет 84. 1 Недостачи и потери
с 01.01.97 по 31.01.97
|
ИТОГИ |
Остаток на начало |
Оборот |
Остаток на конец |
|
|
Д |
0.00 |
217272.00 |
217272.00 |
|
|
К |
0.00 |
217272.00 |
217272.00 |
|
|
Д/К |
Счет |
Наименование |
Сумма |
|
|
Д |
41 |
Товары и тара |
217272.00 |
|
|
ИТОГО |
217272.00 |
|||
|
К |
42 |
Торговая наценка |
21945.60 |
|
|
К |
44 |
Издержки обращения |
51206.40 |
|
|
К |
73 |
Расч.с пер.прочие |
144120.00 |
|
|
ИТОГО |
217272.00 |
Бухгалтер _________________________
ПРИЛОЖЕНИЕ 14
Оборотная ведомость по счету № 84. 1 Недостачи и потери с 01.01.97 по 31.02.97
|
Счет |
Наименование |
Остаток на начало |
Оборот |
Остаток на конец |
|||
|
Дебет |
Кредит |
Дебет |
Кредит |
Дебет |
Кредит |
||
|
1 |
Выявлено недостач |
0.00 |
0.00 |
217272.00 |
0.00 |
217272.00 |
0.00 |
|
2 |
Спис. на виновных лиц |
0.00 |
0.00 |
0.00 |
144120.00 |
0.00 |
144120.00 |
|
3 |
Спис. на ИО ест. уб. |
0.00 |
0.00 |
0.00 |
51206.40 |
0.00 |
51206.00 |
|
4 |
Спис. торг. надб. |
0.00 |
0.00 |
0.00 |
51945.60 |
0.00 |
21945.60 |
|
Итого |
0.00 |
0.00 |
217272.00 |
217272.00 |
217272.00 |
217272.00 |
Бухгалтер _____________
1 Кожарский В. В., Кравченко П. И. Бухгалтерский учёт в торговле. – Мн.: Вышэйшая школа, 1996. – С. 78.
1 Андреев В. Д. Ревизия и аудит: учеб. пособие для уч-ся УПК Белкоопсоюза. – Мн.: Выш. шк., 1996. – С. 103.
1 Андреев В. Д. Ревизия и аудит: учеб. пособие для уч-ся УПК Белкоопсоюза. – Мн.: Выш. шк., 1996.
1 Тишков И. Е. Бухгалтерский учёт.–Мн.: Высшая школа, 1996.
1 Тишков И. Е. Бухгалтерский учёт.–Мн.: Высшая школа, 1996.
1 Отражение недостачи ТМЦ в рознице на счетах бухгалтерского учёта
№Экономический смысл опрецииДебетКредит1Отражена недостача 84>1>41>2>2Списана на издержки за минусом скидки44>2>84>1>3Уменьшена торговая наценка42>3>84>1>4Взыскана недостача за счёт МОЛ73>3>84>1>5Уменьшена надбавка42>3>83>3>6Погашена недостача в кассу50737Перчислена надбавка на прибыль83>3>80>1>
1 Криницкий Р. И. Контроль и ревизия в условиях автоматизации бухгалтерского учёта. – М.: Финансы и статистика, 1990. – С. 44.
4>2>
3>1>