Вексельная форма расчётов в условиях реформирования бухгалтерского учёта
С О Д Е Р Ж А Н И Е
Введение. ……………………………………………………………… 2
Вексельная форма расчётов в условиях
реформирования бухгалтерского учёта:……………………………. 4
1.1. Вексель как средство платежей……………………………………. 4
1.2. Надёжность векселя………………………………………………… 12
1.3. Риски при операциях с векселями…………………………………. 16
1.4. Анализ операций с векселями………………………………………. 20
2. Использование векселя на примере Бежецкого
муниципального предприятия городских электрических
и тепловых сетей (БМПГЭТС)……………………………………… 26
2.1 Форма векселя и платежи по ним. ………………………………... 26
2.2. Документальное оформление поступления векселей. ……………29
Заключение. …………………………………………………………30
Список используемой литературы. ………………………………..33
Приложения (на 7 листах).
ВВЕДЕНИЕ
Вексель в настоящее время является одной из наиболее распространенных ценных бумаг, уже несколько столетий применяется в мировой торговой практике и только в последние десять лет осваивается российскими предпринимателями и банками на внутреннем рынке, хотя в России, как показывает история, существовала нормативная база для его использования. Вексельное обращение становится особенно актуально в наше время взаимных неплатежей.
Формирование рыночных отношений приводит к постепенному восстановлению в России института коммерческого кредитования, связанного с предоставлением поставщикам (производителям) товаров (работ, услуг) своим покупателям кредита в виде отсрочки платежа, оформляемого либо векселем, либо открытием на имя покупателя банковского счета, в дебет которого и относится соответствующая задолженность.
В последние несколько лет на вексельном рынке наблюдается стремительный рост числа участников, увеличение объёма вексельной массы, расширение спектра предоставляемых профессиональными участниками услуг. К сожалению, уровень правовой проработки некоторых вопросов не всегда отвечает потребностям и интересам контрагентов, что порождает многочисленные трудности. Отчасти это объясняется недостаточной разработанностью соответствующей правовой базы, отчасти - ошибками самих участников вексельного обращения при применении существующих норм.
Российская система бухгалтерского учёта (РСБУ), основанная на потребностях бывшей плановой экономики наименее пригодна для принятия решений в условиях рынка. Это и приводит к ошибочным экономическим решениям и расчёте экономических ресурсов.
В мае 2000 года Международный центр реформы системы бухгалтерского учёта разработал «Рекомендации по реформе бухгалтерского учёта», в которых отмечается, что важность перехода на международные стандарты финансовой отчетности (МСФО) заключается не только в унификации систем бухгалтерского учёта во всём мире, но и в том, что внедрённые стандарты направлены на обеспечение прозрачности и отражение реальной экономической ситуации, что позволяет пользователям отчётности предприятий принимать правильные экономические решения.
Данная курсовая работа посвящена рассмотрению механизма расчётов с помощью векселей, который является особенно актуальным в условиях реформирования бухгалтерского учёта в России.
На примере Бежецкого муниципального предприятия городских электрических и тепловых сетей, занимающихся электроснабжением и теплоснабжением города Бежежецка, показано, как используются различные формы векселей при расчётах с покупателями и поставщиками товаров (работ и услуг).
При оформлении работы автор пользуется нормативными документами, учебными пособиями и статьями из специальных газет и журналов по вопросам вексельного обращения.
Вексельная форма расчетов в условиях реформирования бухгалтерского учёта.
1.1. Вексель как средство платежей
В России вексель начал действовать в эпоху Петра I из-за опасности перевозки денег из одного города в другой. Эти векселя имели название- казначейские. В 1709г. был опубликован первый вексельный устав. Затем в 1832г. появляется Устав о векселя, вошедший в Свод законов 1857г. Третий российский вексельный устав принимается в 1902г. по аналогии с германским 1848г., что заметно оживляет вексельное обращение в дореволюционной России.
В 1917г. вексельное право было ликвидировано, и только 20.03.1922г в период НЭПа появляется Положение о векселе, как о форме предоставления коммерческого кредита для торговых сделок. Во время кредитной реформы 1930-1932гг., обусловившей переход к политике централизации планирования и государственного регулирования экономики, вексельное право вновь было ликвидировано.
Постановлением от 7 августа 1937г ЦИК и СНК СССР утвердил ратифицированную в 25.11.1936г. Женевскую конвенцию, которая определила вексель как строго формальное, безусловное, абстрактное, денежное и передаваемое обязательство. Важным положением этой конвенции явилась также солидарная ответственность всех заинтересованных по векселю лиц, что было узаконено ещё в 1673г. во Франции. Однако векселя на внутрироссийском рынке до 1990г. не использовались.
Лишь 19.06.1990г. постановлением Совета Министров СССР №590 "Положение о ценных бумагах" векселя были "реабилитированы". Далее 24.06.1991г. постановлением Президиума Верховного Совета РСФСР №1451-1 "О применении векселей в хозяйственном обороте РСФСР" было разрешено предприятиям, организациям, учреждениям и предпринимателям осуществлять поставку продукции (выполнять работы, оказывать услуги) в кредит с взиманием с покупателей (потребителей, заказчиков) процентов, используя для оформления таких сделок векселя (при этом в качестве нормативной базы впредь до принятия соответствующего законодательства предлагалось использовать "Положение о переводном и простом векселе" 1937г - Женевская конвенция).
Затем принимаются следующие нормативные документы:
Письмо ЦБ РФ от 09.09.1991г. №14-3/30 "О банковских операциях с векселями";
Закон РФ от 09.10.1992г. "О валютном регулировании и валютном контроле", где вексель оговаривался как платежный документ;
Указы президента РФ от 19.10.1993г. №1662 "Об улучшении расчётов в хозяйстве...";
и от 23.05.1994г. №1005 "О дополнительных мерах по нормализации расчётов...";
Постановление Правительства РФ от 26.09.1994г. №1094 "Об оформлении взаимной задолженности предприятий и организаций векселями единого образца ...";
Закон РФ от 22.04.96 № 39-ФЗ " О рынке ценных бумаг", передача дальнейшей власти в области ценных бумаг Федеральной Комиссии по рынку ценных бумаг (ФКЦБ России);
Гражданский кодекс Российской Федерации (часть 1 и 2) включая изменения. и доп. на 12.08.1996г.;
Закон РФ от 11.03.97 № 48-ФЗ "О переводном и простом векселе", которым и регулируется в настоящий момент вексельное обращение в России.
Ранее принятые законы, положения, письма действуют только в части не противоречащей этому закону, фактически являющемуся окончательным на сегодня утверждением Женевской конвенции на всей территории Российской Федерации.
Обеспечение производства оборотными средствами и средствами для расчетов является одной из узловых проблем нынешней экономической ситуации. Нужно иметь ввиду, что отказ от старого расчетно-платежного механизма, просуществовавшего с некоторыми изменениями с начала 30-х годов и вплоть до 90-х произошел в условиях, когда новый расчетный механизм создан не был и не был даже намечен в общих чертах. Его нужно создавать заново, хотя бы и с большим опозданием.
Лишившись дешевого и доступного банковского кредита, хозяйство, вполне естественно, пошло по пути наращивания коммерческого кредита в форме дебиторской и кредиторской задолженности. Однако этот коммерческий кредит столкнулся с отсутствием в хозяйстве тех форм, которые придали бы ему подвижность, мобильность, позволили бы временно свободным оборотным капиталам быстро переходить от одного хозяйства к другому, обслуживать хозяйственный оборот. Вместо цепочки расчетов возникла инертная масса неплатежей.
Сам факт огромной инертной массы дебиторской и кредиторской задолженности позволяют сделать три кардинальных вывода. Во-первых, в народном хозяйстве имеются ресурсы, которые могут быть реализованы и при определенных условиях пополнять оборотные средства. Во-вторых, необходимо возродить цивилизованные формы такой мобилизации – вексель и вексельное обращение. В-третьих, необходимо провести соответствующую корректировку кредитной политики, с тем, чтобы банковские ресурсы притекали в экономику, в частности, по каналам учета и переучета векселей. Отсюда следует и четвертый вывод – о переориентации (хотя бы частичной) эмиссионной политики Центробанка и политики рефинансирования на переучет векселей.
Теоретически существует, несколько путей решения проблемы
неплатежей, кроме внедрения коммерческого векселя и вексельного кредита. Это, прежде всего – прямой банковский кредит в оборотные средства.
Он рискован и может предоставляться под высокие проценты, не приемлемые для товаропроизводителей. Банковский кредит под обеспечение товарно-материальными ценностями извлекает из оборота эти ценности и тем самым замедляет хозяйственный оборот. Такая форма кредита приемлема в случае формирования больших сезонных запасов, но в других случаях она будет вызывать замедление оборота и еще большую потребность в оборотных средствах.
В отличие от прямого банковского кредита, вексельный кредит не нуждается в особом залоге и менее рискован, чем банковский кредит. В отличие от дебиторской задолженности, вексельный кредит не связывает оборотные средства кредиторов, ибо позволяет им расплачиваться векселями со своими поставщиками.
Другая альтернатива вексельному обращению основанному на оформлении векселями задолженности предприятий – широкое использование в обороте векселей банков. Векселя банков нужно отличать не только от векселей предприятий, оформляющих товарную сделку (коммерческих векселей), но и от известных вексельной практике, так называемых, финансовых векселей. Нынешние векселя банков - это форма частной эмиссии расчетных средств, не обеспеченных конкретной сделкой по продаже товара и услуги. По сути дела – это квази-деньги, частные банкноты, не обладающие силой законного платежного средства, но обеспеченные обязательством банка по обмену на банкноты Центробанка.
Векселя банков увеличивают общую денежную массу, восполняя недостаток денежной эмиссии Центробанка. Они не мобилизуют внутренние резервы хозяйства, а представляют собой суррогат денежной эмиссии и суррогат прямого банковского кредитования. При этом эмиссионный доход достается коммерческим банкам. Если векселя предприятий, уменьшают массу потребных экономике оборотных средств, то векселя банков расширяют оборотные средства хозяйства за счет внешних вливаний в экономику частных расчетных средств. Обращение векселей должно начинаться снизу с первичных хозяйственных звеньев. Вексель должен мобилизовать внутренние ресурсы хозяйства, придавать им мобильность, а не представлять собой дополнительную частную эмиссию банкнот и сертификатов в дополнение к денежной эмиссии Центробанка. Только в этом случае к обслуживанию вексельного обращения может быль подключена банковская система. Задача банков в этом случае – не эмиссия векселей банков, а учет векселей предприятий и соответствующее использование значительной части кредитных ресурсов.
В связи с обострением дефицита денег в экономике, достаточно большую роль в процессе кредитования реального сектора на современном этапе приобрело вексельное кредитование. Необходимо отметить, что вексель как финансовый инструмент играет двоякую роль для нынешнего состояния российской экономики. С одной стороны, он как и другие долговые обязательства, представляет собой все-таки квази-деньги, и вексельный оборот существенно повышает роль агрегата денежной массы М2 за счет повышения скорости денежного обращения и за счет того, что многие веселя фактически являются банковской эмиссией денег. В связи с этим, вполне естественно введение ЦБ РФ экономического норматива Н13, цель которого – ограничить объемы выпуска банковский векселей. С другой стороны, вексель способствует развитию новых форм денежного обращения, генерирует новые формы трансакций и трансфертов, частично решая, таким образом, проблему дефицита денег в экономике и проблему неплатежей. Поэтому неудивительно, что вексель сейчас остается одним из наиболее распространенных платежных инструментов на финансовом рынке России. А вексельное кредитование – одним из наиболее широко используемых видов кредитования корпоративных клиентов.
Схема вексельного кредитования достаточно проста. Когда предприятий нуждается в дополнительных оборотных средствах, но из-за высокой стоимости обычного банковского кредита не имеет возможности получить его "живыми" деньгами, оно может прибегнуть к вексельному кредитованию. В таком случае банк заключает с клиентом договор, по которому предприятие в качестве кредита получает пакте векселей на сумму, указанную в этом договоре. Кок правило, полученные векселя являются бездоходными. Ими предприятие рассчитывается с поставщиками и подрядчиками. По истечении срока кредитного договора предприятие – первых векселедержатель погашает полученные ранее "живыми" деньгами кредит, выплачивая проценты. Последний владелец векселя предъявляет его к оплате в указанный срок и получает вексельную сумму. Это лишь общая схема операций по кредитованию с векселями1. Возможны так же варианты досрочного предъявления векселей в банк и учета их с последующим дисконтом, последующего кредитования под залог банковских векселей, полученных от первого векселедержателя и т.д.
Досрочный учет собственных векселей является, пожалуй, наиболее интересной для банка активной операцией. Это связано не только с отсутствием риска при проведении сделок, но и существующим порядком отражения учетного дисконта непосредственно по счету доходов банка. Именно возможность последующего досрочного учета собственных векселей служит серьезным стимулом для выдачи коммерческими банками вексельных кредитов.
Предметом других учетных операций выступают прежде всего банковские векселя. Падение объемов вексельного кредитования вынудило коммерческие банки обратить внимание на отдельные корпоративные бумаги.
Из огромного перечня наводнивших российский рынок корпоративных векселей, только очень узкий круг их можно отнести к действительным векселям – безусловным долговым обязательствам.
Порядок обращения остальных бумаг регулируется не вексельным правом, а внутренними положениями отдельных векселедателей, которые зачастую не только не предполагают погашение векселей в денежной форме, но даже не предусматривают прием векселей к погашению задолженности при отсутствии сопроводительных писем или при наличии отдельных индоссаментов.
С учетом подобных моментов банки приобретают для собственного инвестиционного портфеля очень ограниченный круг корпоративных векселей, в частности РАО "Газпром", АО "Алмазы-России-Саха", АО "Сиданко"2. Векселя других предприятий в силу имеющихся особенностей их использования только в схемах взаиморасчетов выступают для банков исключительно предметом сделок типа "рэпо" либо брокерских операций.
При использовании вексельного кредитования не происходит реального отвлечения денежных средств на период выдачи ссуды. Кроме того, находящиеся в обращении банковские векселя выстраивает как предмет высоко ликвидного обеспечения при предоставлении банком каких-либо кредитных продуктов – кредитов, гарантий, аккредитивов и т.п. Устанавливая достаточно низкие ставки по вексельным кредитам, банк дополнительно привлекает и новых клиентов. При определении процентной ставки по вексельному кредиту принимаются во внимание следующие факторы:
необходимость резервирования остатков по вексельным счетам в фонде обязательных резервов ЦБ РФ, что обуславливает дополнительное привлечение средств аналогичной срочности;
вероятность дополнительного привлечения денежных средств при разрыве сроков предоставления кредита и сроках обращения векселя (на разницу в сроках);
необходимость учета процентной ставки при определении риска, возникающего при операции кредитования3.
Выгода, извлекаемая предприятиями при использовании вексельного кредита.
преодоление необоснованного и неэффективного ограничения платежеспособного спроса и в целом ряде случаев добиться роста производственной активности;
банковская гарантия платежа путем предоставления векселя снимает необходимость для предприятий предоплаты в тех нередких случаях, когда она служит исключительно для защиты от риска неплатежей, тем самым появляется возможность ускорения материального оборота;
банковские векселя, предоставленные клиентам банка под депозиты, которые являются для банка гарантией оплаты векселей, как правило, по сумме в два раза и более, превосходят размер депозита и, таким образом величина, оборотных средств оперативного управления предприятия увеличивается;
в прямой экономии на налоговых выплатах, налог на доход, полученный по векселю для предприятия - 15 %, налог на аналогичный доход на депозитном вкладе в банке - 35 %4;
ликвидность вложений; бурно развивающийся вексельный рынок предоставляет возможность продать вексель и учесть его в банке.
Решение проблемы дефицита денег в экономике, безусловно, облегчит доступ предприятий к получению кредитных «живых» денег, однако, не приведёт к полному отказу от векселей в качестве получения источника дополнительных оборотных средств, поскольку вексельное законодательство унифицировано, а стоимость «вексельных» денег всегда будет оставаться ниже стоимости «живых». Ситуация, которая сложилась в финансовой системе страны, такова, что только кредитование реального сектора может служить мощным источником улучшения положения промышленных предприятий и обслуживающих их комерческих банков. Поэтому, вексельное кредитование будет с успехом использоваться между банками и их клиентами.
1.2. Надежность векселя
Для повышения надежности векселя предусмотрен ряд процедур, позволяющих расширить круг лиц, ответственных по векселю, то есть обязанных платить по векселю при наступлении определенных обязательств:
акцепт векселя;
аваль векселя;
индоссамент;
протест векселя.
Акцепт векселя — операция, посредством которой подтверждается согласие плательщика на оплату векселя. Акцептант — лицо, подтверждающее свое согласие на оплату. Если в качестве акцептанта выступает банк (банковский акцепт), то вексель приобретает статус первоклассного (то есть наименее рискованного, высшего качества) обязательства. Акцептование — своеобразная гарантия от предъявления неправомерных требований. Обязательства трассата (плательщика) по переводному векселю возникают лишь с момента принятия им акцепта векселя. Предъявление векселя к акцепту может быть произведено во всякое время, начиная со дня его выдачи и кончая моментом наступления срока платежа. Акцепт не является обязательным, но выступает в качестве необходимого условия для того, чтобы вексель имел хождение, свободно обращаясь на рынке.
Аваль векселя представляет собой поручительство по векселю. Авалист, совершивший аваль векселя, принимает на себя ответственность за выполнение обязательств обязанным по векселю лицом. Вексельные поручительства чаще всего встречаются в международных сделках. Например, если экспортер недостаточно знаком с импортером, он может потребовать при поставке товара с оплатой векселем в качестве дополнительного обеспечения оплаты проставления аваля банком-импортером за импортера. Аваль дает дополнительные гарантии по погашению векселя.
Поручитель расписывается на векселе и добавляет слова “аваль за… или как гарантия за…“. Обязательно указание авалистом за кого дается аваль. Если этого указания нет, аваль считается данным за векселедателя.
Если аваль дан за акцептанта, авалист отвечает за платеж без необходимости протеста векселя. Если аваль дан за векселедателя или за индоссанта, авалист отвечает за платеж только при наличии протеста.
Оплатив вексель, авалист приобретает все вытекающие из векселя права против того, за кого дана гарантия, и против тех, кто является предшествующими надписателями и обязаны по векселю перед последним.
Кредитор по векселю может оставить его в своей собственности и в день, когда наступит срок платежа, предъявить вексель к оплате, может передать вексель следующему держателю с помощью передаточной надписи-индоссамента.
Для осуществления передачи векселя необходимы:
Общее согласие передающего вексель последнего держателя и принимающего вексель очередного держателя.
Оформление передаточной надписи (индоссамента) на самом векселе.
Физический переход векселя от предыдущего держателя к последующему.
-
Передача векселя
Продажа векселя банку
(учет, дисконтирование)Передача векселя банку на инкассо
Передача векселя
другому кредитору (погашение держателем своего долга перед кредитором)
Рис. 3. Варианты передачи векселя
Различается индоссамент:
«полный»;
«именной»;
«бланковый»;
порученческий;
залоговый.
Индоссирование при помощи полного или бланкового индоссаментов позволяет перенести все права, вытекающие из векселя.
Индоссат — лицо, получающее вексель от последнего держателя по передаточной надписи, становится владельцем векселя. Полный индоссамент отличается от бланкового тем, что в нем, в противоположность бланковому, индоссантом указывается очередной держатель векселя — индоссат. Индоссирование векселя возможно только на всю вексельную сумму. Лицо, получившее вексель по бланковой надписи, может передавать его другим лицам, без всяких подписей простым вручением векселя, как любую ценную бумагу на предъявителя.
Если вексель должен быть предан для получения причитающегося по нему платежа (на инкассо), индоссант (лицо, передающее вексель с помощью передаточной надписи) остается кредитором по векселю, а сам вексель останется в собственности индоссанта. Индоссамент же должен в данном случае содержать поручение на «инкассо», «валюта к получению» или «как доверенному» и т.п. Инкассовая индоссамент позволяет заключить договор-поручение между индоссантом и индоссатом без какого-либо дополнительного оформления их взаимоотношений. Подпись под индоссаментом индоссанта будет означать согласие с его стороны поручить индоссату совершение действий от имени индоссанта, а физическое принятие векселя по инкассовому индоссаменту индоссатом будет означать согласие индоссата совершить действия по векселю от имени индоссанта. Аналогичные последствия наступают и при передаче векселя в залог по залоговому индоссаменту, который заменяет собой заключение между кредитором и должником договора о залоге.
Взаимную ответственность сторон вексельной сделки повышает протест векселя, дающий право векселедержателю предъявить к индоссантам, авалистам, акцептантам и векселедержателю регрессионный иск. Предъявление требований этим лицам возможно лишь при условии, что после отказа должника погасить вексель, кредитор своевременно и с соблюдением соответствующих формальностей выдвинул против него протест. Если это же не сделано, то владелец векселя теряет право на финансовые претензии к выставителю, индоссантам и поручителю векселя. Протест векселя — это официальный документ, в котором установлено определенное неисполнение обязательств по векселю.
Виды протеста векселя:
1. Протест в связи с отказом от акцепта.
Такой протест векселя подается в
случае, если трассат вообще отказывается
принять вексель к оплате.
2. Протест в связи с отказом от оплаты векселя. Это наиболее часто встречающийся вид протеста. В течении четырех рабочих дней после совершения протеста в неплатеже или акцепте, векселедержатель обязан известить об этом своего индоссанта и векселедателя. Каждый последующий индоссант в течении двух рабочих дней, следующих за днем получения им извещения, сообщает своему предшественнику о полученном им извещении и так до векселедателя. Извещение авалисту и индоссанту, за которого он поручился, выставляется одновременно.
Оговорки об освобождении держателя от протеста могут быть внесены в вексель векселедержателем или любым индоссантом («оборот без издержек», «без протеста»). Если векселедатель делает на векселе оговорку об освобождении от протеста, он запрещает протест векселя. Он обязуется сам заплатить по векселю в случае вексельного иска без предъявления протеста. Оговорка об освобождении от протеста, сделанная индоссантом, обязывает платить без протеста только этого индоссанта. Векселедержатель все-таки должен протестовать такой вексель, чтобы не потерять право на вексельный иск в отношении всех остальных индоссантов.
1,3. Риски при операциях с векселями
Операции по учету векселей являются для банков в значительной степени рискованными. Риск потерь связан не только с финансовым положением векселедателя, но определяется помимо этого рядом других факторов.
В частности, наблюдается информационная закрытость рынка. Эта проблема наиболее остра и связана с труднодоступностью информации о находящихся в обращении векселях, процедуре выпуска, погашении, фактах утери или хищении векселей, сводных данных, финансовой отчетности векселедателя.
Участники рынка пока не могут пользоваться общепринятой технологией совершения операций. Это связано с тем, что отсутствует унифицированный порядок выпуска и погашения векселей, проверки их на подлинность, устоявшегося документа оборота и порядка расчетов по совершаемым сделкам на вторичном рынке.
Сегодня отсутствует и торговая система или общепризнанная торговая площадка по операциям с векселями. Сделки с ними осуществляются на неорганизованном не биржевом рынке. Процедуры из заключения, совершение расчетов, передача долговых обязательств определяются индивидуально. Поэтому участники вексельного обращения практикуют различные способы исполнения сделок: на условиях предоплаты или предпоставки бумаг, закрытым или открытым индоссаментом.
Высок и риск мошенничества. Он связан с документарной формой векселя как долгового инструмента и усугубляется возможностью передачи векселей по бланковому индоссаменту, что усиливает риск злоупотребления.
При работе с векселями возникают различные коллизии по отдельным вопросам уголовного, гражданского и вексельного права. Например, существующая в рамках уголовного и гражданского прав процедура "ареста" денежных средств в обеспечении платежа или долговых обязательств, являющихся предметом спора, выступает в противоречии с нормами вексельного права. Такая ситуация делает рискованными не только активные операции банка по учету, но и пассивные – по привлечению ресурсов.
Определенный вклад в снижение степени риска по операциям с векселями могут внести принятые в рамках ассоциации участников вексельного рынка (АУВЕР) единые стандарты раскрытия информации, выпуска и погашения а также обращения векселей, обязательных для исполнения участниками ассоциации.
Следующим шагом, видимо, должна быть организация вексельной торговой площадки в рамках ассоциации. Ее создание повысит ликвидность обращающихся векселей, ускорят торговые операции, снизят риск совершаемых сделок, сократит издержки для конечных участников, это приведет к повышению "прозрачности" вексельного рынка.
Одной из операций, получающих развитие, является авалирование коммерческими банками векселей сторонних векселедателей. При этом банк становится солидарно обязанным по векселям и в виде компенсации за риск получает комиссионный вознаграждения. Такая операция не влечет за собой отвлечение ресурсов, но требует тщательной проработки обеспечения сделки. Чаще всего в его роли выступает залог ликвидных материальных ценностей. Тогда уровень риска по сделке для банка определяется найденным механизмом перехода права собственности или реализации залога.
Вексельный рынок в России очень подвижен, поэтому и операции банков с векселями отличаются высокой динамичностью. Представляется, что чисто портфельные операции на вексельном рынке теряют значимость в силу снижения объемов вексельного кредитования и выравнивания доходности по региону.
Перспективным направлением становится ориентация банков на корпоративную клиентуру, разработка и внедрение различных расчетных схем с использованием как собственных векселей, так и обращающихся на рынке других долговых обязательств.
В зависимости от конкретной ситуации банк может брать на себя выполнение ряда функций – от разработки схемы до совершения комиссионных операций по поручению клиента, выполнение функций платежного агента. При этом банк, как посредник имеет ряд преимуществ относительно других финансовых институтов, представляемых на вексельном рынке. Прежде всего, они заключаются в более жестком контроле за финансовым состоянием со стороны Центробанка России, опыте работы на вексельном рынке, широком круге контрагентов, информационной обеспеченности и наличии финансовых ресурсов5.
1.4. Анализ операций с векселями.
Вексель может быть выпущен как с дисконтом, так и с выплатой фиксированного процента к номиналу в момент погашения (процентный вексель).
С
точки зрения количественного анализа
в первом случае вексель представляет
собой дисконтную бумагу, доход по которой
представляет разницу между ценой покупки
и номиналом. Поэтому доходность такого
векселя определяется аналогично
доходности любого обязательства,
реализуемого с дисконтом и погашаемого
по номиналу:
где t –число дней до погашения;
Р – цена покупки;
N – номинал;
К – курсовая стоимость;
В – используемая временная база;
Как правило, в операциях с векселями используются обыкновенные проценты (360/360).
Абсолютный дисконт по дисконтному векселю S равен:
S=FV-PV=N-P=100-K. (2)
Если вексель продается (покупается) до срока погашения, доход будет поделен между продавцом и покупателем с учетом величины рыночной ставки процента и числа дней, оставшихся до погашения:

где Y - рыночная ставка (норма доходности покупателя);
t - число дней от момента сделки до срока погашения;
Соответственно, доход продавца будет равен:
S>прод> = S - S>пок>> >, (4)
Если вексель размещается по номиналу, его доход определяется объявленной процентной ставкой r. В этом случае вексель представляет собой ценную бумагу с выплатой фиксированного дохода в момент погашения.
С учетом введенного выше обозначения r абсолютный размер дохода по векселю может быть определен, как:

где r - ставка по векселю;
N - номинал;
t - срок погашения в днях;
B - временная база;
Соответственно, годовая доходность погашения Y, исчисленная по простым процентам, будет равна:

Из (5) и (6) следует, что если обязательства размещено по номиналу и держится до срока погашения его доходность будет равна указанной в контракте ставки процента (т.е. Y=r).
Если вексель продается (покупается) между датами выпуска и погашения, абсолютная величина дохода S будет распределена между продавцом и покупателем в соответствии с рыночной ставкой (нормой доходности покупателя) Y на данный момент времени и пропорционально сроку хранения ценной бумаги каждой из сторон. Часть дохода, причитающаяся покупателю за оставшийся до погашения срок t>2>, будет равна:

где t>2> - число дней от момента покупки до погашения векселя.
Соответственно, продавец получит величину:
S>прод> = S – S>пок> (8)
Соотношение (7) и (8) отражают ситуацию равновесия на рынке (т.е. "справедливое" распределение доходов в соответствии с рыночной ставкой Y и пропорционально сроку хранения бумаги каждой из сторон). Любое отклонение в ту или иную сторону повлечет за собой перераспределение дохода в пользу одного из участников сделки.
Предельная величина рыночной ставки Y, при которой продавец бумаги получит доход, должна удовлетворять неравенству:
г
де
r - ставка по векселю;
Y - рыночная ставка;
t>1> - число дней до погашения в момент покупки;
t>2> - число дней до погашения в момент перепродажи;
П
ри
этом доходность операции будет равна:

где YTM - эффективная доходность.
Оценка стоимости финансовых векселей.
Процесс оценки стоимости векселя, выпущенного с дисконтом, заключается в определении современной величины элементарного потока платежей по формуле простых процентов исходя из требуемой нормы доходности Y.
С учетом используемых обозначений
формула текущей стоимости (цены) подобного
обязательства будет иметь вид:
Поскольку номинал дисконтного векселя принимается за 100%, его курсовая стоимость равна:

Определение современной стоимости процентных векселей. С учетом накопления на момент проведения операции дохода стоимость обязательства (Р), соответствующая требуемой норме доходности Y может быть определена из соотношения:

где – t число дней до погашения.
При Y=r рыночная стоимость обязательства на момент выпуска будет равна номиналу (т.е. Р=N). Соответственно, при Y>r будет Р<N и вексель размещается с дисконтом, а в случае Y<r с премией (т.е. Р>N).
Таким образом, рыночная стоимость векселя с учетом накопленного дохода, определяемая из (14), может отклоняться от номинала. Однако в биржевой практике принято котировать в процентах к номиналу, т.е. за 100 единиц на дату сделки. При этом ставка дохода по обязательствам r показывается отдельно.
Курсовая стоимость обязательства К, проводимая в биржевых сводках, определяется как:

где t - число дней до погашения;
S>1> – абсолютная величина дохода, накопленная к дате совершения сделки.
В свою очередь величина S>1> может быть найдена из следующего соотношения:

где t>1> - число дней от момента выпуска до даты сделки.
Таким образом, полная рыночная стоимость векселя Р может быть так же определена как:
P = K + S>1>
Анализ учета векселей.
При учете вексель выполняет две функции: коммерческого кредита и средства платежа.
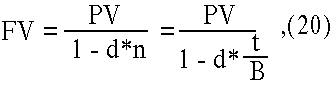
Абсолютная величина дисконта определяется как разность между номиналом векселя и его современной стоимостью на момент проведения операции. При этом дисконтирование осуществляется по учетной ставке d, устанавливаемой банком:

где t - число дней до погашения;
d - учетная ставка банка;
P - сумма, уплаченная владельцу при учете векселя;
N - номинал;
С
овременная
стоимость PV (ценные обязательства Р)
при учете векселя по формуле:
Суть данного метода заключается в том, что проценты начисляются на сумму, подлежащую уплате в конце срока операции. При этом применяется учетная ставка d.
При дисконтировании по учетной ставке чаще всего используют временную базу 360/360 или 360/365. Используемую при этом норму приведения называют антисипативной ставкой процентов6.
Учетная ставка d иногда применяется и для наращивания по простым процентам. Необходимость в таком наращивании возникает при определении будущей суммы контракта, например, общей суммы векселя. Формула определения будущей величины в этом случае имеет вид:7
2
.
Использование векселей на примере
Бежецкого муниципального предприятия
городских электрических и тепловых
сетей (БМПГЭТС)
2.1 Формы векселей и платежи по ним.
Для целей бухгалтерского учёта операций с векселями можно разделить на две группы:
-покупатель БМПГЭТС от своего имени выдаёт поставщику теплоэнергии ЗАО «з-д Бежецксельмаш» вексель для оформления отсрочки платежа за теплоэнергию (см приложение №2). Этот вексель покупатель приобрел в Бежецком отделении №1558 АК СБ РФ ОАО (см. приложение №1). Такая отсрочка согласно статье 823 ГК РФ называется договором комерческого кредита. Учёт в одном случае ведётся согласно письму Министерства финансов России от 31.10.94 года. №142 (в редакции от 15.07.96 года №62);
-все остальные операции с векселями. В этих случаях учёт ведётся по правилам учёта финансовых вложений .
При вексельной оплате поступающих ресурсов или продаваемой продукции
(работ, услуг) в организации используются простые и переводные векселя.
ПРОСТОЙ ВЕКСЕЛЬ – это письменное долговое денежное обязательство одной стороны (векселедателю) по совершённым сделкам или в уплату за выполненные работы или оказанные услуги. (см. приложение №6)
ПЕРЕВОДНОЙ ВЕКСЕЛЬ - (тратта) выписывается кредитором (трассантом) и сдержит приказ дебитору (трассату) уплатить указанную в векселе сумму третьему лицу (ремитенту) или предприятию ( см. приложения №№ 3;4;5.). этот документ превращается в долговое обязательство после его акцепта трассантом. С помощью передаточной надписи (индосамента) вексель может использоваться неоднократно, выполняя функцию универсального кредитно-расчётного документа. Существенно ускоряя оборот средств учёта (дисконтирование) векселей в банках.
В этом случае векселедержатель по средством индоссамента передаёт вексель банку до наступления срока платежа и получает вексельную сумму за вычетом учётного процента в пользу банка, называемого дисконтом.
Учёт расчётов векселями у покупателей
В настоящее время учёт расчётов с использованием векселей ведётся по упрощённой схеме на тех же счетах, на которых отражаются расчёты без использования векселей. Выделение расчётов с использованием векселей осуществляется в аналитическом учёте.
Выданные векселя под приобретение товарно-материальных ценностей отражают по К60 «Расчёт с поставщиками и потребителями» (по старому и новому плану счетов). Или других подобных счетов. На этих счетах задолженность, обеспеченная векселем, числится до момента её получения. По мере погашения задолженности по векселям она списывается с Д60 с кредита счетов по учёту денежных средств (50;51;52-по старому и новому плану счетов). Векселя с просроченным сроком оплаты отражаются в аналитическом учёте отдельно.
Учёт векселей у поставщика.
Организации, получившие векселя от покупателей, учитывают полученные векселя на счёт 62 «расчёты с покупателями и заказчиками» (по старому и новому плану счетов), субсчёт 3 «Векселя полученные». Счёт 62 дебетуется на указанные в векселях суммы с кредитом счетов учёта реализации готовой продукции 46 (по новому плану счетов сч.90 «Продажи») или другого вида имущества ( сч. 47 и 48 –по новому плану счетов сч.91 «Прочие доходы и расходы»).
Оплаченные векселя отражаются по Д-ту счетов учета денежных средств и К 62.
Проценты по векселю обычно включают в его номинальную цену. Если %% по векселю оплачивают сверх номинальной суммы векселя, то величину начисленных %% отражают по К 80 «Прибыли и убытки» (по новому плану счетов сч.99 « Прибыли и убытки») и Д 62.
До наступления срока оплаты по векселю организация-векселедержатель может получить в банках ссуды под вексель.
При включении %% по векселю в его номинальную цену операция учета
(дисконта) векселей и иных долговых обязательств отражается организацией-векселедержателем по номинальной стоимости векселей по К 90
«Краткосрочные кредиты банков» ( по новому плану счетов К 66 «Расчеты по краткосрочным кредитам и займам» ) или К 92 «Долгосрочные кредиты банков» (по новому плану счетов К 67 «Расчеты по долгосрочным кредитам и займам») и Д 50;51;52 в фактически полученных суммах, а также сч.80 (по новому плану счетов – сч.99) на сумму учетного %, уплаченного банку. При этом задолженность по расчетам с покупателями, обеспеченная векселями, продолжает учитываться по счетам дебиторской задолженности (сч.62 и др.).
При невыполнении векселедателем или другим плательщиком долговых обязательств организация-векселедержатель обязана возвратить полученные в результате дисконтирования векселей денежные средства банку.
Перечисленные средства списываются с К 50;51 в Д 90 или Д92.
Просроченные обязательства по векселям остаются на счетах учета дебиторской задолженности.
БМПГЭТС приобретало векселя в банке как объект финансовых вложений. В дальнейшем их можно погасить, реализовать до наступления сроков погашения, а также произвести векселем расчет за товары (работы, услуги).
Рассмотрим эти операции.
1.Приобретение векселя.
Учитывается как приобретение ценной бумаги (на сумму фактических затрат):
Д 08 – К 76
Д 58 – К 08
Д 76 – К 51
2.Погашение векселя.
Отражается проводками:
Д 76 – К 48 на сумму векселя по номиналу (если вексель беспроцентный)
Д 48 – К 58 списывается учетная стоимость векселя
Д 48 (80) – К 80 (48) выявляется финансовый результат
Д 51 – К 76.
3.Реализация векселя до наступления сроков погашения отражается в таком же порядке, как погашение векселя.
2.2. Документальное оформление поступления векселей.
Приказом Минфина России от 15.01.97 г. №2 введен в действие Порядок отражения в бухгалтерском учете операций с ценными бумагами, который распространяется и на векселя (пункт 1).
Пунктом 6 Порядка установлено, что все ценные бумаги, хранящиеся в организации, должны быть описаны в Книге учета ценных бумаг. В БМПГЭТС заведены Книга регистрации векселей и Книга движения векселей, которая сброшюрована, пронумерована, скреплена печатью организации и подписями руководителя и главного бухгалтера.
В этой книге отражается приход и выбытие всех векселей (см. приложение №7).
Кроме этого, на каждый вексель оформляется акт приема-передачи (см. приложения №№.1;2;5).
Бухгалтерская служба организации очень ответственно относится к документальному оформлению движения векселей и к использованию их в качестве средства платежей.
З А К Л Ю Ч ЕН И Е
На вексельном рынке, как видно из средств массовой информации наметились чёткие тенденции к упорядочению. Так для банков [16] с 01.10.1997г. введен экономический норматив Н>13>, который ставит объём выпущенных в обращение векселей, а также выданных вексельных поручительств в прямую зависимость от величины собственного капитала банка (видимо стоит придерживаться подобной технике и предприятиям). Объём и качество учётных операций банка с векселями также регулируется со стороны ЦБ РФ. В зависимости от качества портфеля учтённых векселей банк обязан формировать резервы аналогично резервам на возможные потери по ссудам. Сверхприбыльности операций с векселями, которая наблюдалась год и два года назад теперь уже практически нет, что в свою очередь приводит равномерному развитию и установлению чётких связей на вторичном рынке. Фондовые фирмы стали объединятся в ассоциации, например - ассоциация участников вексельного рынка (АУВЕР), где принимаются единые стандарты раскрытия информации, выпуска, погашения и обращения векселей, обязательные для исполнения участниками. И всё это строится на чётком соблюдении закона. В рамках АУВЕР и подобных организаций будут созданы вексельные торговые площадки, благодаря чему повысится ликвидность обращающихся векселей, ускорятся торговые операции, снизится риск сделок, сократятся издержки для конечных участников. Это приведет к "прозрачности" вексельного рынка. Доступ на вексельный рынок несколько снизиться и уменьшится число подложных операций. Наверняка получит развитие система авалирования векселей предприятий банками, что разовьет факторинговые операции, при этом банки будут иметь дополнительный доход при тщательной проработке обеспеченности сделок или залоге материальных ценностей и имущества.
На сегодняшний день основными вопросами вексельного рынка являются региональная замкнутость вексельных расчетов, технологическая не ликвидность документарных векселей, слабая регулируемость вексельного рынка со стороны государства, отсутствие информационной базы по надежности векселей и индоссантов.
Подводя итог, назовем ряд причин, сдерживающих широкое распространение настоящих векселей:
частое отсутствие должного доверия к деловым партнерам;
неуверенность в возможности предельно быстрого удовлетворения своих интересов через процедуру судебного рассмотрения исков о погашении векселей (если партнеры оказались нечестными, либо неплатежеспособными);
отсутствие ускоренной процедуры внеочередного судебного рассмотрения исков о погашении векселей;
отсутствие широко описанных прецедентов регрессных требований по векселям в случае отказа векселедателей от платежа, что насторожило бы нечистых на руку;
отсутствие у большинства банков опыта учетно-ссудных операций с векселями и невозможность в настоящее время их переучета в ЦБ РФ;
опасения получить фальшивый вексель - известны подделки векселей Сбербанка, Ленэнерго и др.
Следует отметить- векселя в России необходимы, поскольку активизация вексельного обращения приводит: во-первых, к ускорению расчетов и оборачиваемости оборотных средств; во-вторых, уменьшается потребность в банковском кредите, соответственно снижаются процентные ставки за его использование и в результате сокращается эмиссия денег. Оборот векселей в ближайшее время должен оставаться массовым.
Есть надежда, что в дальнейшем вексельное обращение в России примет более цивилизованные формы, когда досконально будут исполняться законы (п.1.3.) и не будут эмитировать векселя вместо обычных товарных обязательств (п.2.3.), предприятия-должники будут самостоятельно выпускать векселя, получать под них вексельное поручительство банка и расплачиваться авалированным векселем со своими кредиторами.
Список используемой литературы.
Нормативные документы:
1.Постановление Правительства РФ от 26.09.94 г. №1094 «Об оформлении взаимной задолженности предприятий и организаций векселями единого образца и развитии вексельного обращения»;
2.Письмо Минфина РФ от 31.10.94 г. №142 ( с изменениями и дополнениями, внесенными письмом Минфина РФ от 16.07.96 г. №62 ) «О порядке отражения в бухгалтерском учете и отчетности операций с векселями, применяемыми при расчетах организациями за поставку товаров, выполненные работы и оказанные услуги»;
3.Закон РФ от 22.04.96 г. № 39-ФЗ «О рынке ценных бумаг»;
4.Гражданский кодекс РФ (часть 1 и 2);
5.Федеральный закон «О бухгалтерском учете» от 21.11.96 г. №129-ФЗ с изменениями и дополнениями, внесенными Федеральным законом от 23.07.98 г. №123-ФЗ;
6.Закон РФ от 11.03.97 г. №48-ФЗ «О переводном и простом векселе»;
7.Программа реформирования бухгалтерского учета в соответствии с международными стандартами финансовой отчетности», утвержденная Постановлением Правительства РФ от 06.03.98 г. №283;
8.Положение по ведению бухгалтерского учета и бухгалтерской отчетности в РФ, утвержденное приказом Минфина РФ от 29.07.98 г. №34 н;
9.Российские стандарты – ПБУ, утвержденные Минфином РФ .
Учебная литература.
1.Кондраков Н.П. «Бухгалтерский учет»-учебное пособие.1999.
2.Лукасевич И.Я. «Анализ финансовых операций» - М:1998.
3.Палий В.Ф., Палий В.В. «Финансовый учет» - ч.1 учебное пособие:1998.
Периодическая литература.
1.Джаарбеков С.М. «Бухгалтерский учет и налогообложение операций с простыми векселями»//Консультант,2000.
2.Маневич В.Е., Перламутров В.Л. «Вексельное обращение и вексельный кредит»//Финансы,1996, №3.
3.Мешкова Е. «Скромное «обаяние» векселя и управление рисками»//Экономика и жизнь»,1997,№ 45.
4.Митин Б.М. «Проблемы налогообложения вексельных операций с учетом части 2 НК РФ // Российский налоговый курьер,2000.
5.Митин Б.М. «Учет операций с векселями по новому плану счетов» // Российский налоговый курьер, 2001, №1.
1 Грицун Ю.Н. Проблемы дефицита денег и особенности вексельного кредитования.
Финансы №12, 1997 г.
2 Мешкова Е. Скромное "обаяние" векселя и управление рисками. Экономика и жизнь №45, 1997 г.
3 Маневич В.Е., Перламутров В.Л. Вексельное обращение и вексельный кредит. Финансы №5, 1996 г.
4 Сименкова Е.В. Операции с ценными бумагами. М. 1997 г.
5 Мешкова Е. Скромное "обаяние" векселя и управления рисками. Экономика и жизнь. №45, 1997 г.
6
7 Лукасевич И.Я. Анализ финансовых операций. М. 1998 г.