Учет и аудит дебиторской задолженности
Введение
Бухгалтерский учет на предприятиях в условиях рыночных отношений приобретает особое значение. Он строится на основе общих принципов и положений, закрепленных в Стандартах бухгалтерского учета.
В современных условиях хозяйствования практически невозможно управлять сложным механизмом хозяйствующего субъекта без современной, полной и достоверной экономической информации, которую дает только четко налаженная система учета.
В Казахстане была проведена реформа бухгалтерского учета, введены в действие стандарты и разработанный на их основе Типовой план счетов бухгалтерского учета финансово-хозяйственной деятельности субъектов. Данная система соответствует Международным бухгалтерским стандартам и позволяет организовать бухгалтерский учет так, чтобы он полностью соответствовал специфике, формам организации, структуре деятельности и всем требованиям, предъявляемым пользователями к получаемой информации.
Работники экономической службы и, в первую очередь персонал бухгалтерии, должны хорошо знать всю систему учета и отчетности, упрощать и удешевлять ее, строго соблюдать положения, инструкции и другие нормативно-правовые акты, регламентирующие деятельность предприятий и организаций.
От четкой, слаженной работы бухгалтерии во многом зависит экономическое состояние предприятия. Принятая в Казахстане система бухгалтерского учета позволяет сделать предприятия более открытыми, следовательно, и более предпочтительными для внутренних и внешних инвесторов, что положительно сказывается на общем подъеме всей экономики Республики Казахстан.
В условиях перехода к рыночной экономике важное место в системе контроля отводится аудиторским службам, призванным осуществлять независимую экспертизу и анализ бухгалтерской отчетности предприятий и организаций. При плановой, централизовано управляемой экономике нашей страны потребность в независимом финансовом контроле не возникала. Его заменяла система ведомственного и вневедомственного контроля, сосредоточенная на поиске упущений и злоупотреблений в хозяйственной деятельности предприятий, взыскании ошибок в учете и отчетности, нахождением и наказании виновных.
Переход к рыночным отношениям, процесс приватизации, изменение структуры управления экономики, ликвидация отраслевых министерств и связанной с ними системы ведомственного контроля явились предпосылкой
развития внутреннего аудита. В условиях рынка и реальной конкуренции вмешательство государственных органов в финансовую деятельность предприятий ограничено. Укрепление статуса предприятия, как хозяйствующего субъекта, открыло перед ним широкие возможности самостоятельного решения многих финансовых и производственных вопросов. Принятие решений по этим вопросам основано большей частью на бухгалтерской отчетности и другой экономической информации, которая должна быть достоверной.
В Послании Президента Республики Казахстан к своему народу "Казахстан 2030" подчеркивается, что конечной целью развития нашей страны является экономический рост, что приоритет экономического роста "будет одним из самых важных сегодня, и завтра, и в течение следующих тридцати лет". Важную роль в достижении этой цели играет информация, развитие которой окажет воздействие не только на экономический рост, но и на социальную сферу, а также на интеграцию Казахстана в международное сообщество.
Изложение методики учета и аудита дебиторской задолженности хочется начать по следующим причинам:
во-первых, дебиторская задолженность принадлежит к числу наиболее подвижных и быстро реализуемых активов предприятия;
во-вторых, дебиторская задолженность носит массовый и распространенный характер;
в-третьих, подвижность дебиторской задолженности и распространенность операций по ней делают этот участок хозяйственной деятельности субъекта наиболее уязвимым с точки зрения различных нарушений и злоупотреблений;
в-четвертых, правильная действующая система влияет на жизненную силу, кругооборот доходов и расходов, который олицетворяет всю экономику.
Целью данной дипломной работы является комплексное исследование организации бухгалтерского учета дебиторской задолженности, раскрытие методики организации аудита на примере АО "Би-Логистикс", а также разработка рекомендаций по совершенствованию учета. Соответственно, основными задачами данной работы являются:
ознакомление с основными требованиями и положениями по учету дебиторской задолженности на предприятиях;
анализ их выполнения на предприятии;
формирование мнения о достоверности отражения операций по дебиторской задолженности на изучаемом предприятии;
выработка конкретных мер и рекомендаций по совершенствованию учета дебиторской задолженности, по преодолению выявленных в ходе исследования недостатков и несоответствий действующим требованиям.
Объектом исследования данной работы является АО "Би-Логистикс" - предприятие по предоставлению услуг в сфере строительной индустрии.
В дипломной работе использовались материалы финансовой и внутренней отчетности АО "Би-Логистикс"
Дипломная работа состоит из введения, трех глав, заключения, списка использованной литературы и приложений.
1. Экономическая сущность дебиторской задолженности
1.1 Платежная система в Республике Казахстан, виды и формы платежей
В обеспечении правильного кругооборота хозяйственных средств предприятий, его своевременного завершения большую роль играет избранная система расчетов. Рациональная их организация способствует своевременной реализации продукции и бесперебойному возобновлению кругооборота средств.
Платежная система представляет собой отношения, связанные с платежами и переводами денег, осуществляемыми между различными юридическими и физическими лицами-банками Республики Казахстан, организациями осуществляемыми отдельные виды банковских операций и иностранными банками.
Отношения, возникающие при осуществлении платежей и переводов денег в Республике Казахстан, регулируется законом Республики Казахстан "О платежах и переводах денег". Отношения, регулируемые настоящим Законом, возникают при осуществлении платежей и переводов денег в соответствии с условиями оплаты по гражданско-правовым сделкам, переводов денег по поручению клиента банка или организации, осуществляющей отдельные виды банковских операций, когда такие поручения не связаны с выполнением условий оплаты по гражданско-правовым сделкам, обязательных платежей и переводов денег, производимых в соответствии с законодательством Республики Казахстан.
Согласно этому Закону на территории Республики Казахстан применяются следующие способы осуществления платежей и переводов денег:
с участием наличности;
без участия наличности.
Безналичные расчеты в зависимости от экономического содержания делятся на 2 группы:
по товарным операциям
по финансовым обязательствам.
К первой группе относятся расчеты между предприятиями за товарно-материальные ценности (работы, услуги).
Ко второй - платежи в бюджет (налог на недвижимость, НДС, экономические санкции и другие платежи), погашение банковских ссуд, уплата процентов за кредит.
По месту нахождения поставщика и покупателя безналичные расчеты подразделяются на иногородние и одногородние. В зависимости от местонахождения поставщиков и покупателей, характера и содержания операций, организации взаимного контроля расчеты могут быть организованы по-разному. Совокупность способов и приемов осуществления платежей, порядок документооборота и оборота денежных средств между участниками расчетов и учреждениями банков представляют собой форму расчетов.
В настоящее время предприятия используют следующие формы безналичных платежей и переводов денег:
предъявление платежных поручений
предъявление платежных требований-поручений
оплата с аккредитивного счета
выдача чеков
выдача векселей
использование платежных карточек
инкассовое распоряжение.
Платежное поручение представляет собой распоряжение обслуживающему предприятию банку о перечислении определенной суммы со своего счета на счет бенефициара. Платежное поручение представляет в банк плательщика, т.к. он выступает здесь инициатором оплаты. При перечислении средств трем и более получателям, обслуживаемым одним учреждением банка, выписываются сводные поручения. В платежном поручении указывается назначение сумм, подлежащих перечислению. С помощью платежных поручений осуществляются расчеты:
за полученные товарно-материальные ценности, выполненные работы и услуги;
в порядке предварительной оплаты, т.е. авансом;
в порядке плановых платежей.
Платежи в порядке плановых перечислений применяются между предприятиями при постоянных, равномерных поставках ТМЦ или оказания услуг. Договором определяется постоянная, плановая сумма стоимости продукции или услуг, подлежащая оплате исходя из согласованной периодичности платежей и объема поставок или оказания услуг. При этом образовавшаяся разница может перечисляться отдельным платежным поручением, либо учитываться при очередном платеже.
Поставщик 1 Покупатель
4
2
Банк поставщика Банк покупателя
3
Схема 1 - Схема расчетов платежными поручениями.
отгрузка товара;
предъявление платежного поручения о списании средств со счета;
перевод денежных средств с расчетного счета покупателя на расчетный счет поставщика;
сообщение о перечислении денег.
Недостатком этой формы расчетов является то, что нет гарантии своевременного поступления денег.
При платежах, осуществляемых платежными требованиями-поручениями, получатель средств представляет в обслуживающий его банк требование-поручение, содержащее требование к плательщику об уплате определенной суммы за ТМЦ, выполненные работы и оказанные услуги. Получив платежное требование-поручение, банк плательщика передает его плательщику для акцепта. Плательщик должен его акцептовать, поручив банку перечислить с его расчетного счета указанную сумму поставщику. Об отказе полностью или частично оплатить платежное требование-поручение плательщик уведомляет обслуживающий его банк в течение 3-х дней.
Особенностью этой формы расчетов является то, что получатель средств предъявляет платежное требование - поручение к оплате после отгрузки ТМЦ, выполнения работ и оказания услуг.
1
5
5 1* 2 3
4
Схема 2 - Схема расчетов платежными требованиями-поручениями
1 - поступление товара;
1* - письменный запрос требования-поручения бенефициара;
2. направление платежного поручения отправителю;
3. направление решения (акцептовать / не акцептовать);
4. при акцептации перечисления со счета отправителя на счет бенефициара;
5. снятие денег со счета.
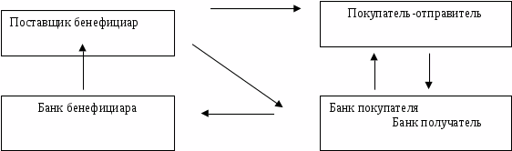
Аккредитивная форма расчетов основана на открытии плательщиком аккредитивного счета в банке получателя (поставщика). Денежные средства на аккредитивный счет перечисляются с расчетного счета плательщика или за счет кредита, полученного в банке. Каждый аккредитив для расчетов только с одним поставщиком и не может быть переадресован. Поставщик после отгрузки товаров, выполнения работ и оказания услуг предъявляет в свой банк отгрузочные и другие предусмотренные условиями договора документы при реестре счетов. Банк поставщика после проверки соблюдения поставщиком всех условий аккредитива, а также правильности оформления реестра счетов, производит перечисление средств с аккредитива на счет поставщика.
Аккредитив используется, когда поставщик товара не имеющий действенных мер воздействия на покупателя требует предоплаты, а покупатель сомневается в надежности поставщика и уклоняется от предоплаты. Эта форма расчетов экономически не выгодна для плательщика, за счет изъятия из оборота денежных средств, необходимых для открытия аккредитивного счета на срок его действия.

1
5
4 6 2
8
3
Схема 3 - Схема аккредитивной формы расчетов
заключение договора и сообщение поставщиком покупателю о готовности товара к отгрузке;
покупатель извещает банк-поставщика об открытии аккредитивного счета;
Банк-покупателя извещает Банк-поставщика об открытии аккредитивного счета;
Банк-покупателя извещает поставщика о готовности определенной суммы денег за конкретный товар;
отгрузка товара;
разрешение о списании денег с аккредитивного счета и перечислении его поставщику;
списание денег с аккредитивного счета;
перечисление денег в банк поставщика;
перечисление денег на счет поставщика.
Недостатками этой формы расчетов является большой и объемный документооборот и невозможность использования покупателем депонированных средств. Преимуществом же является стопроцентная гарантия платежа.
Платежи путем выдачи чеков также относятся к тем формам расчетов, которые снимают сомнения с поставщика в своевременности получения оплаты, а покупателя в своевременности получения товаров, выполнения услуг и работ. В соответствии со статьей № 9 Закона Республики Казахстан "О платежах и переводах денег" выдача чека - это способ осуществления платежа, при котором платеж производится путем выдачи чекодателем одноименного платежного документа чекодержателю. Выдача чека не является исполнением денежного обязательства чекодателя, во исполнение которого такой чек был выписан. Исполнение указанного обязательства происходит в момент получения денег по чеку. Чеки подразделяются на покрытые и непокрытые. Покрытыми являются чеки, которые обеспечены депозитом, предварительно внесенные чекодателем в банк. Непокрытыми являются чеки, которые не были предварительно обеспечены депозитом. Чеки могут содержать гарантию банка по их оплате, в т. ч. по непокрытым счетам. Права и обязанности чекодателя и банка, связанные с использованием чека, возникают на основании договора об использовании чеков между чекодателем и банком. Права чекодержателя возникают с момента получения чека от чекодержателя. Реализация указанных прав и обязанностей производится с момента выдачи чека чекодателем. У чекодержателя возникает право денежного требования к банку чекодателя в сумме, указанной в чеке. Банк чекодателя оплачивает чек, предъявленный чекодержателем, либо мотивированно отказывает в его оплате в сроки, предусмотренные нормативными правовыми актами Национального Банка Республики Казахстан.
1
2
3 4 7 8
5
6
Схема 4 - Схема чековой формы расчетов
просьба о выдаче чековой книжки;
выписка чековой книжки;
оплата товаров чеком;
поставка товаров;
отправка чека в банк;
получение денег из банка;
оповещение о получении чека;
перечисление денег со счета покупателя на счет поставщика.
В условиях дефицита платежных средств возникает настоятельная потребность в использовании векселей в расчетно-кредитных отношениях.
Согласно ст.10 "Вексель" Закона Республики Казахстан "О платежах и переводах денег" применение векселей в качестве способа платежа регулируется законодательством Республики Казахстан "О вексельном обращении".
Вексель - это платежный документ строго установленной формы, содержащий одностороннее безусловное денежное обязательство. Вексель дает его владельцу бесспорное право по истечении его срока требовать с должника уплаты обозначенной в векселе денежной суммы. Лицо, которое подписывает вексель и тем самым обязуется уплатить по нему, называется векселедателем. Лицо, которое получает платеж по векселю, называется ремитентом (векселедержатель). Вексель выдается для отсрочки платежа по сделкам и поставкам товаров. Он выступает одновременно как платежный документ и как средство кредитования. Если срок оплаты векселя составляет менее года, ремитент должен отразить его в балансе как векселя полученные в разделе ликвидных активов, а векселедатель, отражает как векселя выданные в разделе текущих обязательств. Обычно векселя полученные используются по одной или более причин:
продленные сроки выплаты (в покрытие просроченной дебиторской задолженности);
является более основательным доказательством задолженности, чем счет-фактура и прочие коммерческие документы;
официальное основание для взимания процентов;
возможность пуска в обращение.
В Казахстане действует Закон " О вексельном обращении в Республике Казахстан", который был принят 28 апреля 1997 года. Согласно этому вексельному законодательству вексель может быть простым и переводным.
Простой вексель (соло) - это безусловное обязательство векселедателя уплатить по требованию или в установленный срок, обозначенную в векселе сумму денег ремитенту.
Переводной вексель (тратта) - это безусловное предложение (приказ) векселедателя третьему лицу уплатить первому векселедержателю (ремитенту) по требованию или в установленный срок, обозначенную в векселе сумму денег.
Все юридические и физические лица на территории Республики Казахстан вправе использовать простой и переводной вексель в расчетах между собой при условии, что это предусмотрено в соответствующем договоре и не противоречит вексельному законодательству. Операции по кредитованию являются первостепенным источником векселей полученных. Векселя полученные также являются результатом обычной реализации, продлением срока погашения дебиторской задолженности, обмена долгосрочных активов, а также авансовых выплат служащим. Процентная ставка, указанная на векселе может не соответствовать рыночной ставке, превалирующей по обязательствам с аналогичной оценкой кредитоспособности или риском. Тем не менее, объявленная ставка всегда используется при определении процентных выплат. Если объявленная и рыночная ставки не совпадают, для оценки векселей и измерения процентного дохода используется рыночная ставка. Рыночная ставка является той ставкой, которая принимается обеими сторонами, имеющими противоположные интересы и вовлеченными в операции между независимыми сторонами.
Векселя делятся на процентные и беспроцентные. Процентные векселя предусматривают процентную ставку, применяемую к номинальной стоимости при калькулировании процентных выплат. На беспроцентных векселях процентная ставка не указывается, но она предусмотрена через номинальную стоимость, превышающую сумму первоначальной задолженности.
В свою очередь процентные векселя подразделяются на две категории, в соответствии с видом требуемых денежных выплат:
простые векселя предусматривают денежные выплаты только процентов, за исключением завершающей выплаты;
сложные векселя - денежные выплаты, по которым включают в себя как проценты, так и основную сумму.
Вексель как расчетный документ выписывается в 4-х экземплярах с приложением товарно-транспортных документов на отгрузку товаров. Поставщик направляет вексель вместе с отгрузочным документом непосредственно покупателю, который должен его акцептовать своей подписью и печатью. Покупатель, получив вексель, определяет возможность его оплаты и акцептует его. В срок, согласованный с поставщиком, покупатель предъявляет вексель в свой банк. Банк производит списание с его расчетного счета суммы средств, указанной в векселе и направляет необходимые документы банку поставщика для зачисления средств на его счет. Плательщик может и отказаться акцептовать вексель. При этом протест о неакцепте или неплатеже по векселю совершается нотариусом, путем произведения соответствующей надписи на нем, удостоверяющей факт неакцепта или неплатежа.
Платежная карточка - карточка, используемая юридическим или физическим лицом для безналичной оплаты товаров и услуг предприятий торговли и сервиса, получения наличных денежных средств, а также для обменных операций с иностранной валютой. Безналичные расчеты с использованием платежных карточек на территории Республики Казахстан осуществляются в соответствии с законодательством Республики Казахстан. Расчеты между предприятиями и владельцами платежных карточек осуществляются через банки, являющиеся участниками данной системы платежных карточек. Предприятия вправе принимать к оплате платежные карточки только той системы платежных карточек, участником которой оно является. Эмитенты платежных карточек и торговые организации, осуществляющие расчеты с физическими лицами на их основе, заключают договор о продаже товаров владельцам платежных карточек, в котором указываются порядок авторизации карт (проверка наличия обеспечения средств под карту), обеспечение магазина необходимыми техническими средствами, условия расчетов за товары и др. Обязательным приложением к договору должна быть инструкция о порядке обслуживания владельцев кредитных карт. Работник предприятия, ответственный за прием денежных средств, при оплате товаров и услуг владельцем платежной карточки обязан проверить принадлежность платежной карточки соответствующей системе карточек, срок действия карточки и ее пригодность к использованию. Работник имеет право проверить принадлежность платежной карточки лицу, осуществляющему оплату товаров или услуг с ее использованием. Перед проведением платежа предприятие вправе осуществить авторизацию платежа. Право проведения авторизации платежа должно быть оговорено в договоре о присоединении.
Авторизация платежа проводится в автоматизированном режиме (с использованием платежного терминала предприятия) или в режиме голосовой авторизации (по телефонной связи). При использовании платежной карточки с магнитной полосой авторизация платежа должна производиться в режиме работы on-line. On-line режим обмена информацией по платежам с использованием платежных карточек при непосредственной связи терминала предприятия с процессинговым центром в момент совершения оплаты товаров и услуг. Авторизация платежа в режиме работы off-line производится только при использовании платежных карточек с интегральной микросхемой. Off-line-режим обмена информацией по платежам с использованием платежных карточек без установления связи между процессинговым центром и платежным терминалом предприятия в момент совершения оплаты товаров и услуг. При вводе банковской карточки набирается личный код, известный только владельцу карточки. После подтверждения платежеспособности покупателя дается команда на списание со счета указанной суммы (стоимости покупки или услуги).
В Республике Казахстан оплата товаров и услуг с использованием платежной карточки должна быть подтверждена двумя экземплярами торгового чека на сумму покупки или Слипом. Первый экземпляр торгового чека остается на предприятии, второй - выдается владельцу платежной карточки. Торговый чек должен содержать следующие реквизиты:
сумму платежа;
дату совершения покупки;
идентификатор предприятия;
вид валюты.
Слип оформляется в трех экземплярах. Первый экземпляр слипа передается банку, второй остается на предприятии, третий выдается владельцу платежной карточки. Слип должен содержать следующие реквизиты:
идентификатор предприятия;
дату совершения покупки;
реквизиты платежной карточки;
вид валюты;
подпись владельца карточки;
подпись работника предприятия.
Подтверждением платежа при возникновении споров между сторонами, участвующими в расчетах, являются документы, свидетельствующие о платеже, оформленные надлежащим образом, и торговый чек предприятия или владельца платежной карточки или экземпляр слипа.
Расчеты инкассовыми распоряжениями. Эта форма расчетов применяется при списании средств со счетов в банке предприятия без его согласия. В инкассовом распоряжении, предъявленном в банк плательщика, указывается назначение платежа и делается ссылка на законодательный акт, предусматривающий право изъятия денег без согласия плательщика. К документам, на основании которых предъявляются инкассовое распоряжение относятся:
исполнительные листы и решения суда;
распоряжение органов налоговой службы (при взыскании недоимки по платежам в бюджет, штрафов);
распоряжения таможенных органов о принудительном взыскании платежей;
исполнительные надписи, учиненные нотариусом и другие документы, установленные законодательными актами Республики Казахстан.
Платежные взаимоотношения между плательщиком и получателем денег регулируется договором, заключенным на поставку товарно-материальных ценностей, выполненных работ и услуг. Форма платежа в договоре должна определяться с соблюдением принципа свободы выбора и экономической рациональности ее для обеих договаривающихся сторон. При использовании любой формы безналичных платежей следует добиваться своевременности расчетов и не допускать сомнительной и безнадежной к получению дебиторской задолженности.
1.2 Понятие и состав дебиторской задолженности, задачи их учета, анализа и аудита
Дебиторская задолженность - это все выражаемые в денежной форме обязательства юридических и физических лиц перед хозяйствующим субъектом.
Основная дебиторская задолженность формируется при расчетах с покупателями и заказчиками.
Отношения между субъектами начинают складываться при подписании договора или устного обязательства.
В каждой организации разрабатывается свой прайс-лист по реализации товаров, в котором указывается цена на каждый реализуемый товар.
При выполнении обязательства выписывается счет-фактура. Счет-фактура на оказанные услуги или выполненные работы выписывается только на основании акта выполненных работ. На реализацию товаров - на основании заявки покупателя. Согласно ст.21000 Налогового кодекса счет-фактура является обязательным документом для всех плательщиков налога на добавленную стоимость. Плательщик налога на добавленную стоимость, осуществляющий реализацию товаров (работ, услуг), облагаемых НДС, обязан выставить лицу, получающему указанные товары (работы, услуги), счет-фактуру с НДС. Если организация не является плательщиком НДС, выписывается счет-фактура без НДС как основание для отражения доходов в финансовой отчетности. При выписке счет-фактура регистрируется и нумеруется в "Книге учета счет-фактур". Счет-фактура должна иметь № и дату. Указываются реквизиты: наименование, РНН, адрес, № свидетельства по учету НДС (если есть) и расчетный счет, наименование банка. Реквизиты указываются как поставщика, так и покупателя. Если между сторонами заключен договор, указывается № и дата заключения договора. Бухгалтеру следует указать код назначения платежа (КНП) для избежания ошибок клиентом при платежах. В счете-фактуре указывается наименование товаров (работ или услуг), количество, цена, подсчитывается оборот, ставка НДС, сумма НДС (если плательщик НДС) и подсчитывается общая сумма. Документ должны подписать 3 лица:
руководитель;
главный бухгалтер;
ответственное лицо за выписку счета-фактуры.
После проверки правильности заполнения счета-фактуры ставится печать организации. Счет-фактура должна быть выписана не позднее даты совершения оборота по реализации.
Согласно ст.21000 Налогового кодекса налогоплательщики, осуществляющие реализацию электроэнергии, воды, газа, услуг связи, коммунальных услуг, железнодорожных перевозок, транспортно-экспедиторского обслуживания, банковских операций, облагаемых налогом на добавленную стоимость, вправе выписывать счета-фактуры по итогам налогового периода.
В счете-фактуре наименование товаров (работ, услуг) должно быть составлено по отдельности. Допускается указывать общий оборот, если приложен дополнительный документ, в котором указывается перечень реализуемых товаров (работ, услуг) и если в счете-фактуре будет ссылка на этот документ. Стоимость товаров (работ, услуг) и сумма НДС в счете-фактуре указываются в национальной валюте РК, за исключением случаев реализации товаров (работ, услуг) по внешнеторговым контрактам.
После выписки счета-фактуры выписывается накладная. Накладная выписывается в том случае, если происходит реализация товарно-материальных ценностей (товары для реализации, готовая продукция, остатки материальных запасов, основные средства). При отгрузке товарно-материальных ценностей от покупателя необходимо требовать доверенность на получение товарно-материальных ценностей. При реализации основных средств также составляется акт (накладная) приема передачи (ф. № ОС-1). Акт должен соответствовать сумме сделки по продаже активов на основании договора купли-продажи.
В соответствии с принципом начисления, при переходе права собственности на товар предприятие, продавшее товар получает доход. При этом записывается следующая корреспонденция:
На договорную стоимость Д-т счета 1210 К-т счета 6010
На сумму НДС 14% Д-т счета 1210 К-т счета 3130
Определенные виды хозяйственных и других расходов организации не могут быть оплачены с расчетного счета или непосредственно из кассы организации. В этих случаях допускается расход наличных денежных средств через подотчетных лиц, которыми являются сотрудники организации. Круг должностных лиц, имеющих право получать денежные средства под отчет, определяется и утверждается руководителем организации в учетной политике. Денежные средства, выдаваемые под отчет, классифицируются по направлениям расходования:
административно-хозяйственные расходы
операционные расходы.
Выдаваемые из кассы организации денежные средства расходуются строго на определенные цели: приобретение горюче-смазочных материалов (ГСМ), канцелярских принадлежностей, оплата мелких ремонтных работ, командировочные и представительские расходы в соответствии с приказом руководителя организации. Обязательными условиями выдачи денег под отчет являются: наличие утвержденного руководителем организации списка подотчетных лиц; сметы расходов с указанием основных статей расходов с разбивкой по кварталам; расходование выданных денежных средств строго по целевому назначению; полный расчет по ранее выданным суммам.
Расчеты с работниками по суммам, выданным под отчет на административно-хозяйственные и операционные расходы, осуществляются на счетах 1250 "Краткосрочная дебиторская задолженность работников" и 2150 "Долгосрочная дебиторская задолженность работников". На счете может образоваться дебетовое сальдо при задолженности подотчетных лиц перед организацией, кредитовое сальдо - при наличии задолженности организации перед работником, а также одновременно сальдо по дебету и кредиту счета.
Размер подотчетных сумм, выдаваемых на хозяйственные нужды, и сроки сдачи авансового отчета, а также возврата неиспользованных подотчетных сумм определяет руководитель организации. Передача другому лицу наличных денег, выданных под отчет, запрещена. Неизрасходованные подотчетные суммы должны быть возвращены в кассу.
Для учета денежных средств, выдаваемых подотчетным лицам на административно-хозяйственные нужды и операционные расходы, организации применяют авансовый отчет, которым подтверждается расходование полученных сумм. Авансовый отчет утверждается руководителем организации или лицом, на это уполномоченным.
Служебной командировкой признается поездка работника по распоряжению руководителя организации для выполнения служебного поручения вне места постоянной работы на срок не более 40 дней, не считая времени нахождения в пути. На период пребывания в командировке за работником сохраняется средний заработок. Фактическое время нахождения в командировке при расчете суточных определяется по отметкам в командировочном удостоверении, которое выписывается отделом кадров на основании приказа руководителя.
Размер средств, выдаваемых на командировочные расходы, зависит от срока командировки и места назначения:
командировки на территории РК;
командировки в государства СНГ;
командировки за рубеж.
При наличии приказа о направлении сотрудника в командировку выписывается командировочное удостоверение, в котором указываются:
фамилия, имя, отчество работника;
срок командировки;
место командировки;
цель командировки.
Кроме того, в командировочном удостоверении должны проставляться отметки о выбытии в командировку, прибытии в пункт назначения, выбытия из них и прибытии на место постоянной работы. После возвращения из командировки работник сдает в бухгалтерию организации командировочное удостоверение и составляет авансовый отчет, прилагая к нему документы, подтверждающие произведенные им расходы.
Командированному работнику возмещаются все фактически произведенные и документально им подтвержденные расходы.
Командированному работнику возмещаются следующие расходы по командировке при наличии приложенных оправдательных документов:
расходы по найму жилого помещения, в том числе и плата за бронирование мест в гостиницах;
расходы по проезду к месту командировки и обратно, в том числе плата за пользование в поездах постельными принадлежностями;
расходы по проезду транспортом общего пользования к месту командировки;
суточные за время пребывания в командировке, в том числе и за время нахождения в пути;
различные страховые и комиссионные сборы;
сборы за услуги аэропортов, вокзалов и трансагентств;
расходы на провоз багажа.
Если командированным утеряны проездные билеты, то их оплата зависит от решения руководителя организации.
Установлены нормативы размера суточных за время пребывания в командировке. Сверх нормы денежные средства могут выдаваться подотчет только с письменного приказа руководителя организации.
Если сумма расходов по авансовому отчету превышает сумму, ранее выданную под отчет, то разница выдается из кассы на основании расходного кассового ордера. Неиспользованные суммы выданных авансов сдаются подотчетным лицом в кассу организации в течение трех дней с момента прибытия из командировки вместе с авансовым отчетом (не считая дней невыходов на работу по уважительным причинам).
В случае несвоевременного возвращения в кассу неиспользованного аванса на командировочные расходы сумма подлежит удержанию на основании приказа (распоряжения) руководителя.
Направление работника в служебную командировку за границу оформляется приказом руководителя организации, в котором указываются: фамилия, имя, отчество, место, цель и срок командировки. Указать цель командировки необходимо, чтобы определить ее характер - производственный или непроизводственный - для правильного отнесения командировочных расходов на финансовые результаты деятельности организации. Отчет о проделанной в загранкомандировке работе представляется в том случае, если это предусматривается внутренними документами организации. Если местом командирования является страна СНГ, то работнику может выдаваться командировочное удостоверение, при командировании в страны дальнего зарубежья командировочное удостоверение не оформляется. Факт пребывания работника в загранкомандировке подтверждается отметками контрольно-пропускных пунктов о пересечении границы в загранпаспорте командируемого.
При направлении работника в загранкомандировку ему выдается под отчет сумма в валюте той страны, куда он направляется, на оплату расходов по проезду к месту командировки и обратно, расходов по найму жилья и выплачиваются суточные за все дни пребывания в командировке. Порядок покупки и выдачи иностранной валюты для оплаты расходов определен Национальным Банком РК.
Аванс выдается с учетом норм командировочных расходов, установленных приказом (распоряжением) руководителя организации, но не ниже норм, определенных законодательством.
Нормы суточных и расходов по найму жилья на территории иностранных государств, в том числе на территории СНГ, и порядок их применения устанавливаются соответствующими постановлениями Правительства РК и письмами Минфина РК. Эти нормы периодически уточняются, поэтому важно своевременно проследить их изменение.
При отсутствии на валютном счете необходимой иностранной валюты для оплаты командировочных расходов организация может купить ее через уполномоченные банки.
При возвращении из загранкомандировки работник в течение 10 дней обязан представить в бухгалтерию организации авансовый отчет на бланке типовой формы.
К авансовому отчету прилагаются документы, подтверждающие факт пребывания работника в загранкомандировке и произведенные расходы:
командировочное удостоверение или копия загранпаспорта с соответствующими отметками о местах пребывания в ходе служебной командировки. Командировочное удостоверение (при командировках на территорию стран СНГ) или копия загранпаспорта (при командировках в дальнее зарубежье) являются основанием для выплаты работнику суточных, так как именно этими документами подтверждается факт пребывания работника в командировке в местах и в сроки, определенные приказом руководителя организации;
проездные документы (железнодорожные и авиабилеты, автобусные билеты междугородных линий и др.), которые являются основанием для установления фактического времени пребывания в служебной командировке и определения размера суточных, а также компенсации расходов по проезду к месту командировки и обратно;
счета гостиниц, подтверждающие фактически произведенные расходы по найму жилья;
другие документы, подтверждающие произведенные в ходе командировки расходы (за хранение груза, провоз багажа, прописку паспорта и др.).
Авансовый отчет и приложенные к нему документы должны быть оформлены с соблюдением всех установленных требований по их заполнению и содержать все предусмотренные бланками документов сведения и необходимые подписи. Неоговоренные исправления в авансовых отчетах и приложенных к ним первичных документах не допускаются.
Авансовый отчет должен быть утвержден руководителем организации. Утверждающая подпись руководителя служит указанием работникам бухгалтерии для принятия к учету представленных в авансовом отчете расходов, а дата утверждения является датой совершения операции для осуществления записей в регистрах бухгалтерского учета и отнесения командировочных расходов на финансовые результаты деятельности организации. Неиспользованные суммы иностранной валюты возвращаются в кассу организации. В течение последних 10 дней указанная валюта должна быть сдана из кассы организации в банк. В банк представляется отчет об израсходованных суммах, составленный организацией.
При изменении курса иностранной валюты к тенге по авансам, выданным в иностранной валюте, возникают курсовые разницы. Суммы в иностранной валюте пересчитываются на дату совершения операции.
Датой совершения операции при расчетах в иностранной валюте по загранкомандировкам следует считать:
при выдаче работнику под отчет средств в иностранной валюте непосредственно в учреждении банка - дату выдачи;
при поступлении средств в иностранной валюте на загранкомандировки в кассу организации - дату принятия к учету денежных средств;
при выдаче под отчет денежных сумм командируемому работнику из кассы организации - дату выдачи;
при осуществлении расчетов с работником организации при его возвращении из командировки, а также списании командировочных расходов на результаты деятельности организации - дату утверждения авансового отчета;
при погашении задолженности по средствам, выданным на командировочные расходы, как со стороны командируемого, так и со стороны организации - дату погашения задолженности.
Курсовая разница при изменении курса тенге по отношению к иностранной валюте по валютным средствам, выданным в качестве аванса на командировочные расходы, учитывается по счетам 1250, 2150 между датой получения валютных средств и датой принятия авансового отчета по загранкомандировке к учету бухгалтерией организации (дата утверждения отчета руководителем организации). Курсовая разница подлежит зачислению на финансовые результаты в составе внереализационных доходов или расходов по мере их принятия к учету. Остатки средств в иностранной валюте на счетах денежных средств, средств в расчетах пересчитываются в тенге на отчетную дату составления отчетности.
Расходы, произведенные в загранкомандировке, не имеющие документального подтверждения или в соответствии с установленным порядком не предусмотренные к возмещению, подлежат включению в размер суточных только на основании распоряжения руководителя организации. Таким распоряжением может служить подпись руководителя организации, утверждающая представленный командируемым авансовый отчет. При отсутствии соответствующего распоряжения представленные к возмещению расходы не должны приниматься к учету при осуществлении расчетов с работником по загранкомандировке.
При наличии у командируемого лица перерасхода по авансу, выданному в наличной иностранной валюте на командировочные расходы, сумма задолженности перед командируемым лицом может погашаться одним из следующих способов:
переводом средств на его валютный счет в уполномоченном банке;
выдачей суммы задолженности в наличной иностранной валюте из кассы организации;
выдачей из кассы организации эквивалента суммы задолженности в тенге, исчисленной по курсу Национального Банка РК на дату погашения задолженности.
Валюта и форма расчетов с командируемым лицом, которые связаны с погашением перерасхода по авансу в наличной иностранной валюте на командировочные расходы, определяются по договоренности между организацией и командируемым лицом. При этом следует учитывать, что уполномоченный банк вправе потребовать от организации авансовый отчет командируемого и документы, подтверждающие его расходы за пределами РК, для проверки правильности проведенных расчетов. При непредставлении запрашиваемых документов банк вправе отказать в выдаче суммы задолженности в наличной иностранной валюте либо в осуществлении перевода на валютный счет командируемого.
В случае неполного использования командируемым лицом полученного аванса в наличной иностранной валюте для оплаты командировочных расходов сумма задолженности погашается командируемым лицом путем внесения в кассу организации наличной иностранной валюты.
Помимо командировочных расходов, на предприятии часто производиться выдача денежных средств на хозяйственные нужды: для срочного закупа канцелярских товаров, литературы, бланков налоговой отчетности и других материальных ценностей, для оплаты счетов и на другие цели.
При оплате работ, услуг, приобретении товаров у юридических лиц необходимо составить авансовый отчет с приложением следующих первичных документов:
счет-фактура;
накладная;
товарный чек;
квитанция к приходному кассовому ордеру;
фискальный чек.
При приобретении товаров на рынках необходимы следующие первичные документы:
закупочный aкт с указанием наименования рынка, даты закупа, № места, фамилии и инициалов продавца, РНН продавца, наименования и количества закупленных материальных ценностей, а также суммы закупа, подписи продавца, подписи должностного лица рынка и печати рынка;
товарный чек;
ксерокопия патента продавца или свидетельства.
При приобретении у частного предпринимателя материальных ценностей необходимы:
счет-фактура;
накладная;
товарный чек;
фискальный чек;
В организации должны быть установлены сроки представления отчетов о расходовании денежных средств на хозяйственные нужды. Эти сроки должны быть предусмотрены в учетной политике и могут быть оформлены в виде приказа. Обычно это 5-10 дней, но может быть и более длительные период, однако он должен быть ограничен 1 месяцем.
Данные операции оформляются следующей корреспонденцией счетов:
Выдана сумма из кассы подотчетному лицу Дебет 1250 Кредит 1010 5000 Тг
Приобретены канцелярские товары Дебет 1315 Кредит 1250 4000 Тг
Возвращен в кассу остаток Дебет 1010 Кредит 1250 1000 Тг
неиспользованной суммы
Аналитический учет расчетов с подотчетными лицами виден из авансовых отчетов, а синтетический учет по счетам 1250, 2150 ведется в ведомости № 7, где представлены сведения и о выдаче денежных средств в подотчет и об их расходовании.
Для учета дебиторской задолженность предназначены следующие счета перечня групп синтетических счетов рабочего плана счетов бухгалтерского учета:
Сомнительным долгом признается дебиторская задолженность субъекта, которая не погашена в установленный срок в соответствии с договором о сроках оплаты. Если сомнительная задолженность вероятна и может быть оценена по принципу сопоставимости, возможные расходы, связанные с ней, необходимо отражать в том отчетном периоде, когда произведена реализация. Расходы, связанные с сомнительной задолженностью, отражают путем формирования резерва по сомнительным долгам, который создается в конце года на основании данных инвентаризации дебиторской задолженности и отражается на пассивном счете 1290 "Резерв по сомнительным требованиям".
Дебиторская задолженность показывается в финансовой отчетности за вычетом резерва по сомнительным долгам.
Если сомнительная дебиторская задолженность признана безнадежным долгом (истек срок исковой давности, должник признан банкротом), а хозяйствующий субъект не создает резерва по сомнительным долгам, то сумма может быть списана непосредственно на расходы периода в момент признания безнадежного долга.
При образовании резерва по сомнительным долгам, предприятия вправе по своему усмотрению выбирать и предусматривать учетной политикой один из следующих методов:
метод процента от объема реализации, выполненных работ (оказанных услуг);
метод учета счетов по срокам оплаты.
Сущность первого метода заключается в определении процента сумм безнадежных долгов в общем объеме реализации для того, чтобы определить процент образования резерва по сомнительным долгам, необходимо проанализировать объем реализации товаров, выполненных работ (оказанных услуг) и сумму неоплаченных счетов минимум за три предыдущих года, просчитать средний процент соотношения суммы безнадежных долгов и объема реализации. Затем, полученный процент применить к объему реализации в текущем периоде и, тем самым, рассчитать сyммy резерва.
Например. Объем реализации за год составляет 2500 тыс. тенге. Для определения среднего процента неоплаченных счетов проанализированы пять периодов, предшествующих отчетному.
Таблица 1 - Средний процент неоплаченных долгов
|
Периоды |
Объем реализации, тыс. тенге |
Сумма безнадежныx долгов, тыс. тенге |
Процент,% |
|
1 |
2 |
3 |
4=3 / 2х100% |
|
Первый |
1300 |
17 |
1,31 |
|
Второй |
1400 |
13 |
0,93 |
|
Третий |
1600 |
21 |
1,31 |
|
Четвертый |
2100 |
30 |
1,1000 |
|
Пятый |
1900 |
18 |
0,95 |
|
Итого |
8300 |
99 |
1, 19 |
Средний процент неоплаченных счетов составляет 1,19% (99 / 8300 х 100%), соответственно сумма резерва по сомнительным долгам - 29,75 тыс. тeнгe (2500 х 1,19%).
Метод учета счетов по срокам оплаты заключается в определении процента сомнительных требований по сроку оплаты задолженности в общей сумме дебиторской задолженности.
Например. Величина неоплаченной дебиторской задолженности по результатам инвентаризации составляет 17080 тыс. тенге. По срокам оплаты эту величину можно разбить следующим образом:
первая категория - 6800 тыс. тeнгe;
вторая категория - 3400 тыс. тенге;
третья категория - 2500 тыс. тенге;
четвертая категория - 2800 тыс. тенге;
пятая категория - 1580 тыс. тенге.
Приведем таблицу определения суммы сомнительных требований, в которой прогнозируемый процент сомнительных долгов по категориям принят на основе опыта прошлых лет.
Таблица 2 - Сумма сомнительных требований
|
Сроки оплаты дебиторской задолженности |
Сумма, тыс. тенге |
Прогнозируемый процент долгов, считающихся сомнительными,% |
Суммы сомнительных требований, тыс. тенге |
|
Срок оплаты не наступил |
6800 |
5 |
340 |
|
Срок оплаты от 1 до 30 дней |
3400 |
10 |
340 |
|
Срок оплаты от 31 до 60 дней |
2500 |
12 |
300 |
|
Срок оплаты от 61 до 90 дней |
2800 |
20 |
560 |
|
Срок оплаты свыше 90 дней |
1580 |
50 |
790 |
|
Итого |
17080 |
2330 |
Таким образом, предполагаемая сумма сомнительных долгов составит 2330 тыс. тенге.
В отличие от метода образования резерва по сомнительным долгам по проценту от объема реализации, метод учета счетов по срокам оплаты позволяет подсчитывать конечное сальдо резерва по сомнительным долгам и дает более подробный и точный расчет суммы резервов по сомнительным долгам. Текущий остаток резерва в последующие периоды обновляется с помощью корректирующих записей.
Когда резерв по сомнительным долгам сформирован в первый раз, его общая сумма учитывается в финансовой отчетности как расходы периода.
Если резерв по сомнительным долгам уже имелся, но его размер увеличился, в качестве расходов периода в финансовой отчетности указывается его суммарное увеличение за отчетный период.
Если резерв по сомнительным долгам уже имелся, но его размер уменьшился, в финансовой отчетности отражается уменьшение расходов периода.
При создании резерва по сомнительным долгам производят запись по дебету счета 7440 "Расходы по созданию резерва и списанию безнадежных требований" и кредиту счета 1290 "Резерв по сомнительным требованиям ".
При списании дебиторской задолженности за счет созданного резерва по сомнительным долгам дебетуют счет 1290 и кредитуют счета 1210 "Краткосрочная дебиторская задолженность покупателей и заказчиков", 1220 "Краткосрочная дебиторская задолженность дочерних организаций", 1230 "Краткосрочная дебиторская задолженность ассоциированных и совместных организаций", 1240 "Краткосрочная дебиторская задолженность филиалов и структурных подразделений" - на сумму задолженности без налога на добавленную стоимость.
Налог на добавленную стоимость в сумме сомнительного требования подлежит корректировке путем отражения операции по дебету счета 3130 "Налог на добавленную стоимость" и кредиту счетов 1210 "Краткосрочная дебиторская задолженность покупателей и заказчиков", 1220 "Краткосрочная дебиторская задолженность дочерних организаций", 1230 "Краткосрочная дебиторская задолженность ассоциированных и совместных организаций", 1240 "Краткосрочная дебиторская задолженность филиалов и структурных подразделений".
Списание задолженности по истечении срока исковой давности не признается ее аннулированием, эти суммы должны учитываться на забалансовом счете "Списанная в убыток задолженность неплатежеспособных дебиторов". Бухгалтерия обязана следить за возможностью ее взыскания в случае изменения имущественного положения должников.
Аналитический учет по счету 1290 ведется в ведомости по каждому сомнительному требованию.
1.3 Финансово-экономическая характеристика АО "БИЛОГИСТИКС"
Филиал АО "Би-Логистикс" по г. Астана - в дальнейшем "Филиал"л", создан АО "Би-Логистикс", именуемый в дальнейшем "Общество", в соответствии со статьей 1000 Гражданского Кодекса Республики Казахстан, Уставом общества, а также согласно решением Советов Директоров Общества от 01 марта 2006 года № 1 путем перерегистрации Филиал"ла в г. Астана по адресу: г. Астана, улица Карасай батыра, 2, кабинет 112.
Филиал зарегистрировано Департаментом юстиции г. Астаны 22.12. 2005г. г. (свидетельство о государственной перерегистрации № 21240-1901-ф-л).
РНН 620300220459, присвоен НК Алматинского района г. Астаны свидетельством налогоплательщика РК от 29.12. 2005 г. № 010310002, серия 62.
Согласно статистическая карточке код по госудаственному классификатору ОКПО присвоено 09.10. 2007 г. под № 3951313040841
Согласно Положению о Филиале АО "Би-Логистикс" по г. Астана основными видами деятельности являются:
разработка мер по повышению эффективного использования финансовых средств Общества;
осуществление в установленном законодательством порядке деятельности по учёту, хранению6 оценке и реализации имущества, обращенного (поступившего) в республиканскую собственность по отдельным основаниям, а также арестованного имущества, изъятого в судебном порядке, по решению Комитета по судебному администрированию при Верховном Суде Республики Казахстан;
осуществление хозяйственной деятельности и принятие иных мер по материально-техническому обеспечению юридических лиц по договору;
содержание зданий, объектов социально-бытового назначения и иного имущества юридических лиц по договору;
автотранспортные услуги, организация автостоянок, АЗС и станций технического обслуживания для судебных автомашин судебных органов, а также иного автотранспорта по договору;
издательские и полиграфические услуги;
оказание платных юридических услуг, не связанных с адвокатской деятельностью;
оценка движимого и недвижимого имущества как физических, так и юридических лиц;
изготовление штемпельной продукции;
переводческие услуги;
сервисные услуги оргтехники, услуги в области информации и программирования;
обеспечение безопасности судей, работников судебной системы, а также других лиц по договору;
иная деятельность, не запрещенная законодательством РК.
Целью Филиал АО "Би-Логистикс" является извлечение дохода от основной деятельности и использование его в интересах учредителей Филиала АО "Би-Логистикс".
Филиал АО "Би-Логистикс" имеет самостоятельный баланс, расчетный и валютные счета, печать с указанием своего наименования на государственном и русском языках.
Ответственность за формирование учетной политики, ведение бухгалтерского учета, своевременное представление полной и достоверной финансовой отчетности несет главный бухгалтер АО, который возглавляет бухгалтерию (приложение А).
Руководство АО делегирует главному бухгалтеру полномочия самостоятельно принимать решения на основе правил, закрепленных учетной политикой, и профессионального суждения по вопросам формирования показателей финансовой отчетности, в т. ч. по вопросам классификации, признания, оценки и расчета элементов финансовой отчетности и их составляющих, а также раскрытия связанной с ними информации.
Финансовое положение предприятия в значительной степени зависит от целесообразности и правильности вложения финансовых ресурсов в активы. В процессе функционирования предприятия величина активов и их структура претерпевают постоянные изменения. Анализ состава и структуры имущества предприятия производится по данным бухгалтерского баланса. Баланс позволяет дать общую оценку изменения всего имущества предприятия, выделить в его составе оборотные и внеоборотные средства, изучить динамику структуры имущества (Приложение Б).
Анализ динамики состава и структуры имущества дает возможность установить размер абсолютного и относительного прироста или уменьшения всего имущества предприятия и определенных его видов.
Анализ состава и структуры имущества АО "БИ-ЛОГИСТИКС" показан в таблице 3.
Таблица 3 - Анализ состава и структуры имущества АО "БИ - ЛОГИСТИКС" (тыс. тенге)
|
Размещение имущества |
2006г. |
2007г. |
2008г. |
Изменения |
|
|
2007 / 2006 |
2008 / 2007 |
||||
|
1 |
2 |
3 |
4 |
5 |
6 |
|
Долгосрочные активы: В том числе: |
3330599 |
130906 |
376962 |
-191693 |
246056 |
|
Нематериальные активы |
65 |
61 |
86 |
-4 |
25 |
|
Основные средства |
11122 |
9951 |
821000 |
-1171 |
-1708 |
|
Долгосрочные инвестиции |
1290412 |
120894 |
120894 |
-190518 |
- |
|
Долгосрочная дебиторская задолженность |
- |
- |
247739 |
- |
247739 |
|
Текущие активы: в том числе: |
2689 |
250834 |
22266 |
248145 |
-228568 |
|
Запасы и затраты |
5200 |
6895 |
14480 |
1695 |
7585 |
|
Расчет с дебиторами |
1874 |
248892 |
2744 |
247018 |
-246148 |
|
Денежные средства |
815 |
247 |
1021000 |
-568 |
9995 |
|
ВСЕГО |
325288 |
381740 |
399228 |
56452 |
17488 |
Имущество АО "БИ-ЛОГИСТИКС" за 2006-2008 годы увеличилось на 73940 тыс. тенге, или на 22,7%, в том числе стоимость долгосрочных активов увеличилась на 510003100 тыс. тенге, а стоимость текущих активов на 19577 тыс. тенге.
В составе имущества долгосрочные активы на начало 2006 года составляли 3330599 тыс. тенге, или 99,2% в структуре имущества предприятия. Наибольший вес в составе долгосрочных активов занимают долгосрочные инвестиции. В 2006 году стоимость долгосрочных инвестиций составляла 1290412 тыс. тенге, или 96,5% в структуре долгосрочных активов. В 2007 году произошло снижение их стоимости на 190518 тыс. тенге. Сумма долгосрочных инвестиций в 2008 году не изменилась. Наименьший удельный вес в структуре долгосрочных активов на конец 2008 года занимают нематериальные активы - 0,02%.
Текущие активы (мобильные средства) на начало 2006 года составляли 2689 тыс. тенге, или 0,8% в структуре имущества предприятия. За анализируемый период (2006-2008гг.) произошло их увеличение на 19577 тыс. тенге. За 2007-2008 годы происходит увеличение стоимости запасов и затрат на 7585 тыс. тенге. Дебиторская задолженность за анализируемый период увеличивается на 870 тыс. тенге.
Наибольший удельный вес в структуре имущества АО "БИ-ЛОГИСТИКС" в 2008 г. занимают долгосрочная дебиторская задолженность (62,06%) и долгосрочные инвестиции (30,28%), наименьший - расчеты с дебиторами (0,68%). Удельный вес денежных средств в структуре имущества предприятия на конец 2008 года составляет 0,62% (рисунок 1).

Рисунок 1. Структура имущества АО "БИ-ЛОГИСТИКС" за 2008 г. (%)
Таким образом, в активе баланса отражаются с одной стороны, производственный потенциал, обеспечивающий возможный для осуществления основной деятельности хозяйства, а с другой стороны, активы, создающие условия для осуществления инвестиционной и финансовой деятельности.
Состояние расчетной дисциплины характеризуется наличием дебиторской задолженности и оказывает существенное влияние на устойчивость финансового положения предприятия. Несоблюдение договорной и расчетной дисциплины, несвоевременное предъявление претензий по возникающим долгам приводит к значительному росту неоправданной дебиторской задолженности, а следовательно, к нестабильности финансового состояния предприятия. / 39, С.5 /
Дебиторская задолженность - это суммы, причитающиеся от покупателей и заказчиков. Анализ состояния дебиторской задолженности в АО "БИ-ЛОГИСТИКС" за 2008 год приведен в таблице 4.
Как видно из таблицы 4, дебиторская задолженность АО "БИ-ЛОГИСТИКС" за 2008 год уменьшается на 246148 тыс. тенге и составляет на конец 2008 года 2744 тыс. тенге. Это произошло, главным образом, за счет погашения задолженности дочерних организаций.
Наибольший удельный вес в структуре дебиторской задолженности занимают расчеты с прочими дебиторами: на начало года она составляет 250 тыс. тенге, а на конец года - 2588 тыс. тенге, или 94,3%. Удельный вес дебиторской задолженности за товары, работы и услуги на конец 2008 года составляет 5,7%.
Таблица 4 - Состав и движение дебиторской задолженности в АО "БИ-ЛОГИСТИКС" за 2007-2008 гг. (тыс. тенге)
|
Состав дебиторской задолженности |
2007г. |
Возникло обязательств |
Погашение обязательств |
2008г. |
Изменение 2008 / 2007 |
|
Расчет с дебиторами - всего в том числе: |
248892 |
2458 |
248606 |
2744 |
-246148 |
|
-за товары, работы и услуги |
57 |
120 |
21 |
156 |
99 |
|
-задолженность дочерних организаций |
248585 |
- |
248585 |
- |
-248585 |
|
-с прочими дебиторами |
250 |
2338 |
2588 |
2338 |
|
|
В процентах к стоимости имущества |
65,2 |
х |
х |
0,69 |
-64,51 |
Сумма дебиторской задолженности АО "БИ-ЛОГИСТИКС" на конец 2008 года в структуре имущества предприятия занимает 0,69%.
Источниками образования активов баланса являются собственный капитал и заемные средства. Собственный капитал предприятия включает различные по экономическому содержанию, принципам формирования и использования источников: уставной капитал, резервный капитал, нераспределенный доход.
Причины увеличения или уменьшения имущества предприятий устанавливают, изучая изменения в составе источников его образования. Поступление, приобретение, создание имущества может осуществляться за счет собственных и заемных средств, характеристика соотношений которых раскрывает существо финансового положения предприятия. Так, увеличение доли заемных средств, с одной стороны, свидетельствует об усилении финансовой неустойчивости предприятия и повышения степени его финансовых рисков, а с другой - об активном перераспределении доходов от кредитов к предприятию - должнику.
Оценка динамики состава и структуры источников собственных и заемных средств производится по данным бухгалтерского баланса. Анализ состава и структуры источников средств АО "БИ-ЛОГИСТИКС" за 2006-2008 годы представлен в приложении В.
Как видно из приложения, общая стоимость имущества АО "БИ-ЛОГИСТИКС" за 2006-2008 годы увеличивается на 73940 тыс. тенге, или на 22,7%. Собственные средства предприятия за 2006-2008 годы увеличиваются на 117648 тыс. тенге и на конец 2008 года составляет 37010004 тыс. тенге.
Заемные средства предприятия за 2006-2008 годы снижаются на 1000708 тыс. тенге. Наибольший удельный вес в структуре заемных средств занимает кредиторская задолженность. На начало 2006 года она занимает 89,5%, а на конец 2008 года - 87,3% в структуре заемных средств. То есть за 2006-2008 годы происходит снижение кредиторской задолженности на 39728 тыс. тенге.
Наименьший удельный вес в структуре заемных средств на конец 2008 года занимают долгосрочные кредиты (12,7%). Их сумма на конец 2008 года составляет 3660 тыс. тенге. За анализируемый период происходит снижение суммы долгосрочных займов на 3980 тыс. тенге. Таким образом, основным источником средств АО "БИ-ЛОГИСТИКС" являются собственные средства.
Так как наибольший удельный вес в структуре заемных средств занимает кредиторская задолженность, то проанализируем ее состав и движение в АО "БИ-ЛОГИСТИКС". Кредиторская задолженность возникает, как правило, вследствие существующей системы расчетов между предприятиями, когда долг одного предприятия другому погашается по истечении определенного периода.
Например, расчетные документы за отпущенные покупателю товарно-материальные ценности или оказанные услуги оплачиваются после получения ценностей или оказания услуг.
Кредиторская задолженность возникает также в тех случаях, когда предприятие сначала отражает у себя в учете возникновение задолженности (перед работниками по оплате труда, перед бюджетом по разного рода платежам и т.п.), а по истечении определенного времени погашает эту задолженность (выплачивает заработную плату, перечисляет в бюджет деньги с расчетного счета и т.п.). Кроме того, кредиторская задолженность является следствием несвоевременного выполнения предприятием своих платежных обязательств.
Кредиторская задолженность - это сумма краткосрочных обязательств предприятия перед поставщиками, работниками по оплате труда, бюджетом и других финансовых обязательств. Ее объем, качественный состав и движение характеризуют состояние платежной дисциплины, которая, в свою очередь свидетельствует о степени устойчивости финансового состояния предприятия. Состав и движение кредиторской задолженности в анализируемом предприятии показан в таблице 5.
Таблица 5. Состав и движение кредиторской задолженности (тыс. тенге)
|
Состав кредиторской задолженности |
2007 год |
Возникло обязательств |
Погашение обязательств |
2008 год |
Изменение за 2008 год |
|
Кредиторская задолженность - всего в том числе: за товары, работы и услуги по оплате труда авансы полученные по расчетам с бюджетом по прочим кредиторам |
5665 12100 1074 2881 1417 117 |
20188 8528 1131000 318 |
709 119 590 |
25144 11538 955 1100023 2007 10005 |
+19479 +8528 119 +1131000 590 +318 |
Делая анализ таблицы 5, можно сказать, что общая кредиторская задолженность за 2008 год в АО "БИ-ЛОГИСТИКС" увеличивается на 19479 тыс. тенге и составляет на конец отчетного периода 25144 тыс. тенге. Это произошло, главным образом, за счет увеличения задолженности перед поставщиками за товары, работы и услуги, увеличения суммы полученных авансов.
Наибольший удельный вес в структуре кредиторской задолженности занимают авансы полученные (56,6%). Задолженность перед работниками по оплате труда, наоборот, уменьшается на 119 тыс. тенге. Ее удельный вес в структуре кредиторской задолженности составляет 3,8%. Задолженность перед поставщиками за товары, работы и услуги увеличивается на 8528 тыс. тенге и составляет на конец 2008 года 11538 тыс. тенге, по прочим кредиторам происходит увеличение задолженности за 2007 год на 318 тыс. тенге.
Таким образом, видно, что в анализируемом предприятии наблюдается тенденция увеличения суммы счетов к оплате по всем позициям, за исключением задолженности работникам по оплате труда и по расчетам с бюджетом.
Состояние производственного потенциала - важнейший фактор эффективности основной деятельности предприятия, а следовательно его финансовой устойчивости. Бухгалтерская отчетность позволяет достаточно подробно проанализировать наличие, состояние и изменение важнейшего элемента производственного потенциала предприятия - его основных средств. В процессе производства эксплуатируемые основные средства изнашиваются физически и устаревают морально.
Состояние основных средств анализируемого предприятия можно представить в таблице 6.
Таблица 6 - Характеристика состояния основных средств предприятия (тыс. тенге)
|
Показатели |
2006г. |
2007 г. |
2008 г. |
Изменение |
|
|
2007 / 2006 |
2008 / 2007 |
||||
|
Первоначальная стоимость |
11938 |
11827 |
11856 |
-111 |
29 |
|
Износ основных средств |
816 |
1876 |
3613 |
1060 |
1737 |
|
Поступление основных средств |
67,3 |
113,5 |
109,7 |
46,2 |
-3,8 |
|
Выбытие основных средств |
178,3 |
84,5 |
82,7 |
-93,8 |
-1,8 |
|
Коэффициент износа,% |
6,84 |
15,86 |
30,47 |
9,03 |
14,61 |
|
Коэффициент годности,% |
93,16 |
84,14 |
69,53 |
-9,03 |
-14,61 |
|
Коэффициент обновления,% |
0,56 |
0,96 |
0,93 |
0,40 |
-0,03 |
|
Коэффициент выбытия,% |
1,49 |
0,71 |
0,70 |
-0,78 |
-0,02 |
Анализируя состояние основных средств, можно сказать, что их техническое состояние является достаточно благоприятным для обеспечения основной деятельности, так как степень их годности на конец 2008 года составляет 69,53%. Обновление основных средств осуществляется низкими темпами. Об этом свидетельствует коэффициент обновления, который на конец анализируемого периода составляет 0,93%. Темпы выбытия основных средств за 2006-2008 годы снижается. Так, коэффициент выбытия на конец 2006 года составляет 1,49%, а на конец 2008 года - 0,7%. Стоимость выбывших основных средств за 2008 год составляет 82,7 тыс. тенге, что меньше на 95,6 тыс. тенге по сравнению с 2006 годом.
Улучшение финансового состояния предприятия сопровождается увеличением собственного капитала и снижением суммы заемных средств. Тем самым повышается финансовая устойчивость, то есть финансовая независимость предприятия, способность маневрировать собственными средствами, достаточная финансовая обеспеченность бесперебойного процесса деятельности.
При возникновении договорных отношений между предприятиями у них появляется обоюдный интерес к финансовой устойчивости друг друга как критерию надежности партнера.
Финансовая устойчивость предприятия характеризуется системой абсолютных показателей. Она определяется соотношением стоимости материальных оборотных средств (запасов и затрат) и величин собственных и заемных источников средств для их формирования. Обеспечение запасов и затрат источниками средств для их формирования является сущностью финансовой устойчивости предприятия.
Характеристика финансовой устойчивости АО "БИ-ЛОГИСТИКС" за 2006-2008 годы отражена в приложении В.
Как видно из приложения В, собственный капитал предприятия за 2006-2008 годы увеличивается на 117648 тыс. тенге. Стоимость внеоборотных активов также увеличивается на 510003100 тыс. тенге.
Сумма долгосрочных кредитов и заемных средств уменьшилась за анализируемый период на 3980 тыс. тенге, но несмотря на это предприятие испытывает недостаток собственных оборотных и долгосрочных заемных средств для формирования запасов и затрат. Общая величина запасов за 2006-2008 годы с 0 тыс. тенге увеличивается до 9280 тыс. тенге.
В целом с 2006-2008 годы уменьшается недостаток общей величины основных источников средств для формирования запасов и затрат с 62183 тыс. тенге до 2878 тыс. тенге.
Устойчивость финансового состояния предприятия характеризуется системой финансовых коэффициентов. Анализ финансовых коэффициентов заключается в сравнении их значений с базисными величинами, а также в изучении их динамики за отчетный период и за несколько лет.
Рыночные условия хозяйствования обязывают предприятие в любой период времени иметь возможность погасить внешние обязательства или краткосрочные обязательства. Одним из важных показателей, характеризующих платежеспособность предприятия, является его кредитоспособность.
Под кредитоспособностью хозяйствующего субъекта понимается наличие у него предпосылок для получения кредита и его возврата в срок. Кредитоспособность заемщика характеризуется его аккуратностью при расчетах по ранее полученным кредитам, текущим финансовым состоянием и возможностью при необходимости мобилизовать денежные средства из различных источников.
В условиях рыночной экономики важным источникам заемных средств является банковский кредит. Ссуды предоставляются банками приоритетно на цели и мероприятия, связанные с повышением эффективности производства, стимулирование выпуска новых высокоэффективных видов продукции, оказание разнообразных услуг населению и т.п.
Учреждения банков выдают кредиты на коммерческой основе на условиях строгого соблюдения принципов возвратности, срочности, платности, использования ссуд по целевому назначению и под обеспечение. В зависимости от срока, на который выдаются кредиты, они делятся на краткосрочные и долгосрочные. Краткосрочные кредиты выдаются на срок не более одного года, а долгосрочные - на срок свыше одного года.
Анализ кредитоспособности имеет своей целью дать качественную оценку заемщика, которая определяется банком до решения вопроса о возможности и условиях кредитования, предвидеть способность и готовность клиента возвратить взятые им в долг средства в соответствии с условиями кредитного договора. Банк, прежде чем предоставить кредит, определяет степень риска, который он готов взять на себя, и размер кредита, который может быть предоставлен.
Рыночные условия хозяйствования обязывают предприятие в любой период времени иметь возможность срочно погасить внешние обязательства, то есть быть платежеспособным. Предприятие считается платежеспособным, если его общие активы больше чем долгосрочные и краткосрочные обязательства. При этом важно учитывать, что для успешного финансового управления деятельностью предприятия наличные (денежные) средства более важны, чем доход. Их отсутствие на счетах в банке в силу объективных особенностей кругооборота средств (несовпадение момента потребности и высвобождения средств в каждый данный момент) может привести к кризисному финансовому состоянию предприятия.
Для определения платежеспособности предприятия используется такой абсолютный показатель, как превышение всех активов над внешними обязательствами. Он представляет собой разницу между активами предприятия и долгосрочными и краткосрочными долгами.
АО "БИ-ЛОГИСТИКС" может выполнить свои обязательства из общих активов в течении всего анализируемого периода, так как общая сумма активов превышает внешние обязательства. За анализируемый период наблюдается тенденция увеличения общей суммы активов (рисунок 8).

Общая сумма активов Внешние обязательства Превышение активов над внешними обязательствами
|
|
325288 |
72512 |
252776 |
|
|
381740 |
11665 |
370075 |
|
|
399228 |
28804 |
37010004 |
Рисунок 2 - Превышение активов над внешними обязательствами в АО "БИ-ЛОГИСТИКС" за 2006-2008 годы (тыс. тенге)
Так, например, если в 2006 году сумма активов составляла 325288 тыс. тенге, то в 2008 году их сумма составляет 399228 тыс. тенге, то есть происходит увеличение суммы активов на 73940 тыс. тенге. Сумма внешних обязательств на конец 2008 года составляет 28804 тыс. тенге, что меньше на 1000708 тыс. тенге по сравнению с суммой внешних обязательств на конец 2006 года.
В 2008 году в АО "БИ-ЛОГИСТИКС" сумма общих активов превышает внешние обязательства на 37010004 тыс. тенге, то есть предприятие в состоянии исполнить свои внешние обязательства за счет всех своих активов и может быть признано платежеспособным.
Для более точной оценки платежеспособности можно исчислить величину чистых активов.
Чистые активы представляют собой превышение активов предприятия над пассивами, принимаемые в расчет. В активы, участвующие в расчете, включаются денежное и не денежное имущество предприятия за исключением задолженности учредителей по их взносам в уставный капитал, налога на добавленную стоимость по приобретенным ценностям, убытков.
Пассивы, участвующие в расчете, включают часть собственных обязательств предприятия (целевые финансирования и поступления, арендные обязательства), внешние обязательства перед банками и иными юридическими и физическими лицами, кредиторская задолженность, резервы предстоящих расходов и платежей и прочие пассивы. Исчисление величины чистых активов и их динамика показано в приложении Г.
Как видно из приложения Г, в анализируемом предприятии наблюдается тенденция увеличения по всем статьям активов, кроме статей "Основные средства", и "Дебиторская задолженность". В целом за 2006-2008 годы стоимость активов увеличивается на 73940 тыс. тенге.
Сумма пассивов за анализируемый период уменьшается с 72513 тыс. тенге (2006 год) до 28804 тыс. тенге (2008 год), то есть происходит снижение на сумму 1000709 тыс. тенге.
Стоимость чистых активов определяется как разница между суммой активов предприятия. На конец 2006 года стоимость чистых активов АО "БИ-ЛОГИСТИКС" 252776 тыс. тенге, а на конец 2007 года - 370075 тыс. тенге. В 2008 году внешние обязательства предприятия ниже суммы активов на 37010004 тыс. тенге, то есть за анализируемый период сумма чистых активов увеличивается на 117648 тыс. тенге. Удельный вес чистых активов в общей сумме активов увеличился на 15,1 пункта. Таким образом, можно сделать вывод о том, что степень платежеспособности предприятия повышается.
Анализ ликвидности баланса в АО "БИ-ЛОГИСТИКС" за 2006-2008 годы представлен в приложении Д.
К
ак
видно из таблицы, ликвидность баланса
не является абсолютной, так как за
анализируемый период условия абсолютной
ликвидности баланса не выполняются:
2006 год 2007 год 2008 год
Характеризуя ликвидность баланса по данным приложения В необходимо отметить, что за рассматриваемый период наблюдался платежный недостаток наиболее ликвидных активов (денежных средств) для покрытия наиболее срочных обязательств: на конец 2006 года 64057 тыс. тенге; на конец 2007 года 5418 тыс. тенге, на конец 2008 года 14902 тыс. тенге.
Эти цифры говорят о том, что за 2006-2008 годы наиболее срочные обязательства не покрываются наиболее срочными активами. В конце 2008 года ожидаемые поступления от дебиторов были выше заемных средств на 2744 тыс. тенге. Следовательно, недостаток наиболее ликвидных и быстро реализуемых активов по сравнению с общей величиной текущих обязательств составил на конец анализируемого периода 12158 тыс. тенге. Медленно реализуемые активы (запасы и затраты) превышают долгосрочные пассивы на конец 2008 года на 37100053тыс. тенге, но данный платежный излишек по причине его низкой ликвидности, не может быть направлен на покрытие текущих обязательств предприятия.
При оценке кредитоспособности предприятия используется целый ряд показателей. Наиболее важным из них является общий коэффициент ликвидности.
Расчет общего коэффициента ликвидности представлен в таблице 7.
Таблица 7. Общая ликвидность текущих активов (тыс. тенге)
|
Показатели |
2006 год |
2007 год |
2008 год |
Изменение |
|
|
2007 / 2006 |
2008 / 2007 |
||||
|
Текущие активы, тыс. тенге в том числе |
2689 |
250834 |
22266 |
248145 |
-228568 |
|
- денежные средства, тыс. тенге |
815 |
247 |
1021000 |
-568 |
9995 |
|
-дебиторская задолженность, тыс. тенге |
1874 |
248892 |
1159 |
247018 |
-247733 |
|
-запасы и затраты (без расходов будущих периодов), тыс. тенге |
0 |
1695 |
9280 |
1695 |
7585 |
|
Краткосрочные обязательства, тыс. тенге |
64872 |
5665 |
25144 |
-59207 |
19479 |
|
Общий коэффициент ликвидности |
0,04 |
44,28 |
0,89 |
44,24 |
-1000,39 |
По данным таблицы 6 видно, что стоимость текущих активов за 2007-2008 годы уменьшается на 228568 тыс. тенге, а стоимость краткосрочных обязательств увеличивается на 19479 тыс. тенге. Таким образом, если в 2007 году текущие активы превышают краткосрочные обязательства на 245169 тыс. тенге, то на конец 2008 года краткосрочные обязательства превышают сумму текущих активов на 2878 тыс. тенге.
Общий коэффициент ликвидности определяется отношением стоимости текущих активов к краткосрочным обязательствам предприятия. За анализируемый период наблюдается тенденция уменьшения общего коэффициента ликвидности. На конец 2008 года общий коэффициент ликвидности составляет 0,89, то есть платежные способности предприятия, оцениваемые при условии не только своевременных расчетов с дебиторами и благоприятной реализацией готовой продукций, но и продажи прочих материальных оборотных средств, снизилась. Таким образом, видно, что кредитоспособность предприятия с каждым годом ухудшается.
Анализ и оценка деловой активности и эффективности деятельности предприятия является завершающим этапом финансового анализа (таблица 8).
Таблица 8 - Оценка деловой активности АО "БИ-ЛОГИСТИКС" (тыс. тенге)
|
Показатель |
Расчет |
Значение |
|
1. Коэффициент общей оборачиваемости капитала |
399228 / 28117 |
14,2 |
|
2. Коэффициент оборачиваемости мобильных средств |
(9280+1021000) / 28117 |
0,69 |
|
3. Коэффициент оборачиваемости материальных оборотных активов |
9280 / 28117 |
0,33 |
|
4. Коэффициент оборачиваемости дебиторской задолженности |
2744 / 28117 |
0,097 |
|
5. Средний срок оборота дебиторской задолженности |
365 / 0,1 |
3762,9 |
|
6. Коэффициент оборачиваемости кредиторской задолженности |
25144 / 28117 |
0,89 |
|
7. Средний срок оборота кредиторской задолженности |
365 / 0,89 |
410,1 |
|
8. Коэффициент оборачиваемости собственного капитала |
37010004 / 28117 |
13,2 |
Деловая активность предприятия в финансовом аспекте проявляется прежде всего в скорости оборота его средств. Коэффициенты деловой активности имеют большое значение для оценки финансового положения предприятия, поскольку скорость оборота средств оказывает непосредственное влияние на платёжеспособность предприятия. К показателям деловой активности предприятия относятся следующие коэффициенты. При расчете показателей деловой активности используется форма № 1 "Бухгалтерский баланс", форма № 2 "Отчет о доходах и расходах".
Судя по общему коэффициенту оборачиваемости капитала, капитал оборачивается достаточно быстро, в 2008 г. он равен 14,2. Коэффициент оборачиваемости мобильных средств - 0,69 об., он показывает скорость оборота всех мобильных средств предприятия. Коэффициент оборачиваемости материальных оборотных активов (0,33) отражает число оборотов запасов предприятия за анализируемый период. Чем выше коэффициент по оборачиваемости запасов в оборотах, тем меньше идет затоваривание, быстрее можно реализовать товарно-материальные ценности и погасить долги в случае необходимости.
Оборачиваемость собственными средствами предприятия показывает коэффициент оборачиваемости собственного капитала. На каждую тенге собственных средств приходилось в отчетом году 13,2 тенге выручки oт реализации.
Таким образом, в результате проведенного анализа финансово-хозяйственной деятельности АО "БИ-ЛОГИСТИКС" можно сделать вывод о том, что финансовое положение предприятия не достаточно надежное. В течение трех лет произошло увеличение численности работников по основной деятельности на 30%, по численности работников занятых на не основной деятельности изменений не произошло. На анализируемом предприятии коэффициент текучести рабочей силы в 2008 г. выше, чем в 2007 г., и в 2006 г., а среднегодовая выработка и среднечасовая выработка работника предприятия в отчетном году ниже, чем за базисные периоды. Производственный процесс АО "БИ-ЛОГИСТИКС" может быть назван рентабельным. Наибольший удельный вес в структуре производства занимают добыча нефти и газовых конденсатов.
Можно выделить две основные проблемы, которые могут возникнуть у АО "БИ-ЛОГИСТИКС" в процессе его дальнейшей деятельности: платежеспособность и доходность. Причем методы решения этих проблем часто взаимоисключают друг друга. Сокращение излишних запасов влечет за собой уменьшение объемов используемых в текущей деятельности ресурсов. Следовательно, отдача на единицу используемого ресурса (рентабельность) растет. В тоже время падение объемов резервов (в том числе ликвидных активов) неминуемо повышает риск текущих неплатежей и может повлечь за собой банкротство компании. Оценку вероятности банкротства можно провести с помощью финансового анализа, так как именно он позволяет выяснить, в чём заключается конкретная "болезнь" экономики предприятия должника и что нужно делать, чтобы от неё "излечиться". Так же, в результате проведенного анализа финансового состояния АО "БИ-ЛОГИСТИКС" у предприятия выявлен недостаток общей величины основных источников формирования запасов и собственных оборотных средств.
2. Организация учета дебиторской задолженности в АО "БИ - ЛОГИСТИКС"
2.1 Учет расчетов с покупателями и заказчиками
Оказание услуг является источником доходов. Она обычно сопровождается физической поставкой товара и передачей права собственности на товар. Основным документом, которым оформляется факт продажи товара, является счет-фактура. Счет-фактура содержит детали сделки по продаже, включая количество единиц, общую цену, способ поставки и т.д. Счета к получению представляют собой суммы задолженности клиентов за товары и услуги, реализованные в течение обычной производственной деятельности компании. Счета к получению включают в себя претензии на денежные средства, товары, услуги и прочие не денежные активы других предприятий. Дебиторская задолженность бывает текущей и долгосрочной, в зависимости от срока оплаты счетов к получению или ожидаемой даты погашения долга. Счета торговой дебиторской задолженности включают в себя суммы к получению либо в течение года, следующего за балансовой датой, либо в течение операционного цикла предприятия (в зависимости от того, что длиннее). Обычным сроком погашения принято считать период от 30 до 60 дней, по истечении которого счета к получению считаются просроченными Отдельные счета к получению с кредитовым сальдо (в результате предоплаты или переплаты) должны быть переклассифицированы и отчитываться по ним нужно как по обязательствам. Эти кредитовые сальдо не включаются в дебиторскую задолженность.
Сроки оказания услуг оговариваются в договорах, которые заключаются на оказание услуг. Доходы от оказания услуг учитываются, как правило, в момент продажи. Здесь в основу положен принцип начисления, который предусматривает отражение в бухгалтерском учете и финансовой отчетности доходов от реализации товаров, выполненных работ, оказанных услуг с момента перехода права собственности на них к покупателю, независимо от времени поступления оплаты.
Расчеты с покупателями осуществляются с помощью чеков, векселей, путем перечисления денег на счет в банке или же наличными через кассу. При этом чеки и векселя подлежат обязательному учету на предприятии, характеризующих его дебиторскую задолженность. Аналитиков интересует среднее количество дней, необходимое для инкассирования дебиторской задолженности (оборот дебиторской задолженности).
Дебиторская задолженность оценивается по начальной стоимости за минусом корректировок на сомнительные долги, денежных скидок, возврата проданных товаров. В результате этого определяется чистая себестоимость счетов к получению. Проценты обычно не принимаются во внимание из-за краткости срока между реализацией и погашением. Исключением является штрафы и санкции за просрочку платежа. Однако не все долги погашаются вовремя, хотя в учете они отражены как доход предприятия. Поэтому, в случае возникновения безнадежной задолженности, предприятие вырабатывает способы для вычета этой задолженности из своих доходов. Имеются 2 метода: метод поправок и метод прямого списания. При методе поправок дебиторская задолженность рассматривается как часть операционных расходов в отчетном периоде. Для этого делают корректировочную запись на следующую задолженность: дебет счета "Расходы на безнадежные долги" и кредит счета "Поправка на безнадежные долги". Счет "Поправка на безнадежные долги" является корреспондирующим счетом к счету "Расчеты с покупателями". Поправка позволяет предприятию показать, что, не кредитуя счет "Расчеты с покупателями", какая-то сумма может быть не взыскана с должника. Если бы была точно известна сумма безнадежной задолженности, то ее можно было бы списать со счета "Расчеты с покупателями". Но так как точная сумма еще не известна, то списать нельзя. Когда долг какого-то покупателя признается окончательно безнадежным, то делают такие записи: дебет счета "Поправка на безнадежные долги" и кредит счета "Расчеты с покупателями". Счет "Расходы на безнадежные долги" в конце отчетного периода закрывается как все счета по учету текущих расходов предприятия. Счет "Поправка на безнадежные долги" в конце года не закрывается. По истечении нескольких лет сальдо этого счета покажет на сумму ошибок в оценках безнадежной задолженности, которую следует принимать во внимание при дальнейших оценках.
В противоположность рассмотренному методу метод прямого списания предусматривает списание неполученных сумм задолженности сразу же на счет "Расходы по безнадежным долгам".
Для недопущения безнадежной задолженности предприятия зарубежных стран используют различные формы расчетов, осуществляют постоянный контроль за платежеспособностью покупателей и их финансовым состоянием.
Для учета расчетов с покупателями и заказчиками предусмотрены счета 1200 подраздела "Задолженность покупателей и заказчиков". Они предназначены для обобщения информации о задолженности покупателей и заказчиков предприятию. Счет 1210 "Счета к получению" предназначен для отражения информации о расчетах по предъявленным покупателям и заказчикам и принятым банком к оплате расчетным документам за отгруженную продукцию, выполненные работы и оказанные услуги.
Например: 1210.1 - первые 4 цифры - счет, 1 последующей - субсчет, четыре последних - аналитический учет, т.е. лицевые счета покупателей. По дебету счета 1210 отражаются суммы предъявленных счетов к оплате за товары, работы и услуги с выделением суммы НДС, включенных в счет на основании налоговых счетов-фактур. По кредиту счета 1210 отражаются суммы платежей, поступивших от покупателей за товары, услуги и работы на счета в банке или наличными, а также уменьшение задолженности покупателей на суммы полученных от них авансов под поставку ТМЦ, оказанных услуг и выполнения работ, и суммы по взаимозачету задолженности, если оно имеет место в договоре. При предъявлении счетов к оплате покупателям за оказанные услуги от основной деятельности составляется запись: дебет счета 1210 "Счета к получению" и с кредита счетов 6010 " Доходы от реализации готовой продукции", 3130 "Налог на добавленную стоимость". При поступлении платежей от покупателей и заказчиков по предъявленным счетам составляется запись: дебет счета 1030 "Деньги на текущих корреспондентских счетах в национальной валюте" кредит счета 1210 "Счета к получению".
В АО "Би-Логистикс" аналитический учет ведется по программе 1С: Бухгалтерия. Здесь отражаются: наименование покупателей, заказчиков, остатки на начало месяца, суммы предъявленным к оплате счетам за оказанные в течение месяца услуги, остатки на конец месяца. Затем кредитовый оборот переносится в Главную книгу, а потом уже на баланс дистанции.
Сейчас уже наиболее часто встречается в практике, что предприятия предлагают денежную скидку - сумму на которую уменьшается общая сумма к оплате, если оплата будет получена в течение определенного срока. Денежные скидки применяются для повышения объемов реализации и стимулирования клиента к более ранней оплате. Они также помогают сократить сомнительные долги. Она отражается так: дебет счетов 6030 " Скидки с цены", 3130 "Налог на добавленную стоимость" с кредита счета 1210 "Счета к получению".
Еще одной разновидностью скидок является скидки с продаж. Они зависят от клиента и заказанного объема услуг. Такие скидки сокращают конечную цену реализации услуг. Например: если на оказанные услуги ценой в 100000 тенге скидка в 40% при закупке услуг свыше 120000 тенге. Таким образом, цена за услугу составляет 60000 тенге (100000 х 0,6). Процент скидки может меняться в зависимости от объемов заказа без изменения базовой цены в 100000 тенге. Общая цена, к которой применяется денежная скидка - это сумма к оплате минус торговая скидка. Она отражается следующим образом: дебет счета 712 "Скидки с продаж" с кредита счета 1210 "Счета к получению".
Существуют и такие факты, как возврат проданных товаров. Возврат проданного товара и компенсации за него сокращают как чистую дебиторскую задолженность, так и чистую реализацию. При отражении стоимости возвращенных товаров при аннулировании дебиторской задолженности составляется проводка: дебет счета 6020 "Возврат проданных товаров" с кредита счета 1210 "Счета к получению".
В условиях острого дефицита платежных средств возникает настоятельная потребность в использовании векселей в расчетно-кредитных отношениях.
Обычно, векселя полученные используются по одной или более причин, приведенных ниже:
продленные сроки выплаты (в покрытие просроченной дебиторской задолженности)
более основательные доказательства задолженности, чем счет-фактура и прочие коммерческие документы
официальное основание для взимания процентов
возможность пуска в обращение.
Операции по кредитованию являются первостепенным источником векселей полученных. АО "Би-Логистикс" не использует вексельную форму расчетов, хотя эта форма очень удобна и проста. Учет векселей ведется на сч.1280 "Векселя полученные". При отражении задолженности заказчиков, обеспеченные полученными векселями составляется проводка: дебет счета 1280 "Векселя полученные" с кредита счета 1210 "Счета к получению". При начислении процентов по векселям полученным производится запись: дебет счета 2170 "Начисленные вознаграждения" с кредита счета 6120 " Дивиденды по акциям и доходы в виде процентов"
При поступлении платежей от покупателей по векселям составляется проводка: дебет счета 1030 "Деньги на текущих корреспондентских счетах в национальной валюте" с кредита счета 1280 "Векселя полученные". При получении начисленных процентов по векселям дебетуется счет 1030 "Деньги на текущих корреспондентских счетах в национальной валюте" и кредитуется счет 2170 "Начисленные вознаграждения".
С введением в действие нового Налогового Кодекса для предприятий, которые занимаются оказанием услуг, появились некоторые льготы в области налогового учета. В соответствии со ст.52 Налогового Кодекса РК "взыскание суммы налоговой задолженности налогоплательщика со счетов его дебиторов".
В случае отсутствия денег на банковских счетах и наличных денег налогоплательщика налоговый орган имеет право в пределах образовавшейся налоговой задолженности обращать взыскание на деньги на банковских счетах третьих лиц, имеющих задолженность перед налогоплательщиком (т.е. дебиторов). Дебиторам направляется уведомление об обращении взыскания на деньги с их банковских счетов в счет погашения налоговой задолженности налогоплательщика в пределах сумм, признаваемых дебиторами перед налогоплательщиком как сумму дебиторской задолженности на текущий момент согласно договорам. Не позднее 20 рабочих дней с момента получения уведомления дебитор обязан предоставить в налоговый орган акт сверки взаиморасчетов, составленный совместно с налогоплательщиком. На основании акта сверки взаиморасчетов налоговый орган выставляет на банковский счет дебитора инкассовое распоряжение о взыскании суммы налоговой задолженности налогоплательщика. Банк или организация, осуществляющая отдельные виды банковских операций дебитора налогоплательщика обязан исполнить выставленное налоговым органам инкассовое распоряжение о взыскании суммы налоговой задолженности налогоплательщика. В первоочередном порядке и не позднее одного операционного дня, в пределах сумм, имеющихся на банковском счете. Если же денег недостаточно или они отсутствуют, инкассовое распоряжение исполняется по мере поступления денег на этот счет. Если же банковский счет налогоплательщика закрывается в соответствии с законодательством, банк возвращает указанное инкассовое распоряжение в налоговый орган вместе с уведомлением о закрытии банковского счета налогоплательщика.
2.2 Учет создания и использования резерва по сомнительным долгам
Сомнительным требованием признается дебиторская задолженность, которая не погашена в установленный срок и не обеспечена соответствующими гарантиями. Поскольку в Республике Казахстан все хозяйствующие субъекты определяют доход по методу начисления, то возникает необходимость создания резервов по сомнительным долгам. В соответствии с НСФО № 18 "Доход" субъект оценивает и признает сумму сомнительных долгов как расход в соответствии с определенным этим стандартом методом оценки. Резервы по сомнительным требованиям представляют собой своего рода фонд риска, страхующий от возможного непогашения того или иного долга.
В бухгалтерском балансе дебиторская задолженность показывается за вычетом резерва по сомнительным требованиям.
В соответствии со статьей 96 Налогового Кодекса Республики Казахстан "Вычеты по сомнительным требованиям":
сомнительными требованиями считаются требования, возникшие в результате реализации товаров, выполнения работ, оказания услуг юридическими и индивидуальными предприятиями резидентам Республики Казахстан, а также юридическим лицам-нерезидентам, осуществляющим деятельность в Республике Казахстан через постоянное учреждение и не удовлетворенные в течение трех лет с момента возникновения требования;
сомнительными также признаются требования, возникшие по реализованным товарам, выполненным работам, оказанным услугам, и не удовлетворенные в связи с признанием налогоплательщика-дебитора банкротом в соответствии с законодательством Республики Казахстан.
Вычету подлежат требования, признанные сомнительными в соответствии с настоящим Кодексом. Отнесение налогоплательщиком сомнительных требований на вычеты производится при соблюдении следующих условий:
при их отражении в бухгалтерском учете на момент отнесения на вычеты;
при наличии следующих документов, оформленных в установленном порядке: счет-фактур, письменного уведомления налогового органа по месту регистрации налогоплательщика об отнесении на вычеты данных расходов;
В случае признания дебитора банкротом, помимо указанных в предыдущих пунктах настоящей статьи документов, дополнительно необходимо представить решение суда о признании дебитора банкротом и решение органов юстиции об исключении его из Государственного регистра.
При соблюдении вышеназванных условий налогоплательщик вправе отнести на вычеты сумму сомнительного требования по итогам того налогового периода, в котором произошло признание налогоплательщика-дебитора банкротом. Соблюдение условий, указанных выше не требуется в случае возникновения сомнительных требований при расчетах с населением по коммунальным услугам и услугам связи. Списание безнадежной дебиторской задолженности производится по предложению Комиссии по работе с дебиторами и кредиторами за счет резерва по сомнительным долгам независимо от срока исковой давности и утвержденного приказа руководителя. Дебиторская задолженность признается безнадежной:
по истечении срока исковой давности, в соответствии с Гражданским Кодексом Республики Казахстан (ст.178), т.е. через три года после образования задолженности. В соответствии со статьей 177 Гражданского Кодекса Республики Казахстан сроки исковой давности предусмотрены законом и не могут быть изменены соглашением сторон;
при ликвидации предприятия-дебитора при условии отсутствия его правопреемников;
в иных случаях, когда имеется подтверждение невозможности расчета дебитора и обращение в суд нецелесообразно, поскольку повлечет рост суммы задолженности за счет судебных издержек.
Информация о состоянии и движении резервов по сомнительным требованиям обобщается на счете 1290 "Резервы по сомнительным требованиям". Резервы по сомнительным требованиям создаются на основе результатов проведенной в конце отчетного года инвентаризации дебиторской задолженности по поставщикам и покупателям. В Типовом плане счетов это единственный резерв, который формируется не из чистой, а валовой прибыли и уменьшает базу для налогообложения.
В зарубежной практике резервы по сомнительным требованиям поставщиков это предварительно зачтенные убытки предприятия, связанные с не поступлением оплаченных материальных ценностей. Вследствие этого резерв по сомнительным требованиям покупателей это по существу временно выведенные из-под налогообложения суммы валового дохода, которые как бы оказались преждевременно учтенными. Эта статья баланса особенно необходима для тех предприятий, которые учитывают реализацию продукции по методу начисления. Особенностью, присущей рассматриваемому счету, является невозможность предвидеть, какие счета не будут оплачены на момент составления финансовой отчетности.
Создание резерва и его оценка может значительно различаться и зависеть от расчетов бухгалтера, основанных на практике прошлых лет, с учетом изменений текущих экономических условий. При образовании резерва по сомнительным требованиям предприятие может применять один из следующих методов. Метод процента от чистой стоимости реализации, выполненных работ (оказанных услуг). При выборе этого метода в учетной политике должен быть указан средний процент безнадежных долгов, определенный на основе анализа объема реализованной продукции (выполненных работ, услуг) и неоплаченных долгов. При выборе метода учета счетов по срокам оплаты в учетной политике необходимо отразить классификацию счетов к получению по срокам оплаты и прогнозируемый процент сомнительных долгов по каждой классификационной группе.
АО "Би-Логистикс" производит расчет резерва по сомнительным требованиям. Бухгалтер использует первый метод-это метод процента от чистой стоимости от реализации, выполненных работ (оказанных услуг).
Сначала нужно определить процент для образования резерва по сомнительным требованиям на 2008 год. Для этого анализируем объем реализации товаров за предыдущие три года и суммы неоплаченных счетов, с тем, чтобы определить процент для образования резерва по сомнительным долгам. За 2008 год по АО "Би-Логистикс" выполнено работ на сумму 208801 тыс. тг. За предыдущие годы объем выполненных работ и суммы безнадежных долгов составляют:
Таблица 9 - Безнадёжные долги
|
Годы |
объем выполненных работ |
Сумма безнадежных долгов (тыс. тг) |
Процент |
|
2006 |
154820 |
300 |
0, 1937 |
|
2007 |
165300 |
560 |
0,3387 |
|
2008 |
178902 |
600 |
0,3354 |
|
ИТОГО |
499022 |
1460 |
0,2925 |
В среднем за три года процент списанных безнадежных долгов составил 0,2925%. Теперь определяем сумму резерва по сомнительным требованиям за 2008 год= (0,2925 х 208801) / 100% = 610,7 тыс. тг.
На эту сумму производится запись по дебету счет 7210 "Общие и административные расходы и по кредиту счет 1290 "Резерв по сомнительным требованиям" на сумму 610,7 тыс. тг.
В отчете о результатах финансово-хозяйственной деятельности эта сумма признается как расходы периода, а в бухгалтерском балансе дебиторская задолженность уменьшается на сумму созданного резерва. Если резерв по сомнительным требованиям уже имелся, однако его размер увеличился, в качестве расходов периода в отчете о результатах финансово-хозяйственной деятельности указывается его суммарное увеличение за отчетный год. Если резерв по сомнительным требованиям уже имелся, однако его размер уменьшился, то в отчете о результатах финансово-хозяйственной деятельности эта сумма приведет к уменьшению расходов периода. Также существует и второй метод начисления резерва по сомнительным требованиям. Его АО "Би-Логистикс" не применяет, т.к здесь необходимо покупателей классифицировать по следующим категориям:
счета, срок оплаты которых не наступил;
счета со сроком оплаты от 1 до 30 дней;
счета со сроком оплаты от 31 до 60 дней;
счета со сроком оплаты от 61 до 90 дней;
счета со сроком оплаты более 90 дней.
Для каждой категории определяется прогнозируемый процент сомнительных долгов. Субъект на опыте прошлых лет может предположить, что за отчетный период по счетам со сроком оплаты более 90 дней-80% дебиторской задолженности будут не оплачены, по счетам со сроком оплаты от 61 до 90 дней - 50%, от 31 до 60 дней-20%, от 1 до 30 дней-5%, и только 2% -по счетам, срок оплаты которых не наступил.
Используя эти данные и данные о дебиторской задолженности дистанции мы произвели расчет резерва по сомнительным долгам по методу учета счетов по срокам оплаты (таблица 10).
Таблица 10 - Расчет суммы резерва по сомнительным долгам.
|
Покупатель |
Всего по счетам |
Срок оплаты |
||||
|
Не наступил |
От 1 до 30 |
От 31 до 60 |
От 61 до 90 |
Более 90 |
||
|
1. МЧП "Алга" |
400 |
400 |
||||
|
2. Кооператив" Арман" |
120 |
120 |
||||
|
3. ТОО "Магдалена" |
50 |
50 |
||||
|
4. ГУ "Караганд. Районная эксплуат. Часть" |
30 |
30 |
||||
|
ИТОГО |
600 |
80 |
520 |
|||
|
процент сомнит.долгов |
2% |
5% |
20% |
50% |
80% |
Теперь, на основании этих данных определим предполагаемую сумму сомнительных долгов на 31 декабря 2008 г (таблица 11).
Таблица 11 - Расчет предполагаемой суммы сомнительных долгов на 31 декабря 2008 года
|
По срокам оплаты |
Сумма |
Процент долгов, считающихся сомнительными |
Сумма сомнительных долгов |
|
1. Срок оплаты не наступил |
2 |
||
|
2. От 1 до 30 дней |
5 |
||
|
3. от 31 до 60 дней |
20 |
||
|
4. от 61 до 90 дней |
80 |
50 |
40 |
|
5. Свыше 90 дней |
520 |
80 |
416 |
|
ИТОГО |
600 |
456 |
На основании полученных результатов можно сделать вывод, что счета на сумму 456 тыс. тенге из общей суммы, равный 600 тыс. тенге, предполагается, не будут оплачены.
Таким образом, сумма сомнительных требований составит 456 тыс. тенге. В бухгалтерском учете это отразится следующим образом: по дебету счет 7212 "Общие и административные расходы и по кредиту счет 1290 "Резерв по сомнительным требованиям" на сумму 456 тыс. тенге.
Мы считаем, что метод учета счетов по срокам оплаты несколько лучше метода процента от чистой стоимости реализации, выполненных работ (оказанных услуг) тем, что он дает более подробный и точный расчет суммы резервов по сомнительным требованиям.
Целью первого метода является точное измерение расходов, возникших в результате сомнительной дебиторской задолженности.
Целью второго метода является точное измерение чистой стоимости дебиторской задолженности. Оба этих метода могут быть использованы вместе. Каждый из них используется для подтверждения другого. Дебиторская задолженность, по которой в соответствии с Законодательством Республики Казахстан истек срок исковой давности, признается безнадежным долгом и подлежит списанию за счет созданного резерва по сомнительным требованиям. В этом случае составляется запись: по дебету счет 1290 "резерв по сомнительным требованиям", кредит счетов подраздела 30 и подраздела 32.
Если предприятие не создает резерв по сомнительным требованиям или его недостаточно для списания сомнительного долга, то сумма задолженности списывается непосредственно на расходы периода и включается в отчет о результатах финансово-хозяйственной деятельности. При этом в бухгалтерском учете делается запись: дебет счета 7210 "Общие и административные расходы, кредит счетов подраздела 1200 и подраздела 1220.
Учет списанной с баланса сомнительной задолженности необходимо вести за балансом в течение пяти лет с момента списания на убытки для наблюдения за возможностью ее взыскания в случае изменения имущественного положения должника. Учет такой задолженности ведется на забалансовом счете 007. При этом будет запись по дебету счета 007 на сумму 600000 тенге.
Учет списанной задолженности неплатежеспособных дебиторов осуществляется в соответствии с Указанием по учету операций на забалансовых счетах. Если же покупатель (заказчик), дебиторская задолженность которого списана как безнадежный долг, в последующих отчетных периодах полностью или частично погасит 500000 тенге, то в бухгалтерском учете составляется проводка по дебету 1030 "Наличность на расчетном счете" и по кредиту счет 6280 "Прочие доходы от не основной деятельности" и одновременно кредитуется счет 007 на сумму 500000 тенге.
По истечении пяти лет не взысканная с должников задолженность в сумме 100000 тенге списывается и с забалансового счета по кредиту счета 007 "Списанная в убыток задолженность неплатежеспособных дебиторов". По истечении 3 лет, если не была произведена оплата по счету (даже если она не учитывается на забалансовом счете) формируется сторнировочная запись на уменьшение суммы НДС, подлежащей взносу в бюджет по дебету 1290 "резерв по сомнительным требованиям" и кредитуется счет 3130 "Налог на добавленную стоимость". Если оплата по счету поступила после истечения 2 лет с момента возникновения дебиторской задолженности (сумма НДС была уменьшена) и до списания задолженности с баланса составляются проводки: на всю сумму задолженности по дебету 1030 "Деньги на текущих корреспондентских счетах в национальной валюте", по кредиту 1210 "Счета к получению"; на сумму НДС, подлежащего восстановлению, дебетуется счет 1290 "Резерв по сомнительным требованиям" и кредитуется счет 3130 "Налог на добавленную стоимость". В ведомости №10 отражают кредитовые обороты по счету 1290 "Резервы по сомнительным требованиям".
В Республике Казахстан еще не накоплен опыт в исчислении резерва по сомнительным долгам. В экономически развитых странах компании в процессе подготовки отчетности чаще всего начисляют резерв в процентах по отношению к общей сумме дебиторской задолженности, при этом вариация может быть весьма существенной.
Так, американская компания VS Steel начисляют резерв в размере 0,78%, корпорации Eastman Kodak, General Electric от 3 до 6%. Проведенные Министерством торговли США исследование показало, что доля безнадежных долгов находится в прямой зависимости от продолжительности периода, в течение которого дебитор обязуется погасить свою зависимость такова: в общей сумме дебиторской задолженности со сроком погашения до 30 дней около 4% относится к разряду безнадежной, 31-60 дней - 10%, 61-90 дней - 17%, 91-120 дней - 26%. При дальнейшем увеличении срока погашения на очередные 30 дней доля безнадежных долгов повышается на 3-4%. Это исследование показывает, что процентное соотношение дебиторской задолженности США намного ниже процентного соотношения дебиторской задолженности Республики Казахстан. Это означает, что свою дебиторскую задолженность американские компании тщательно прослеживают, например: если в Республике Казахстан при просроченном сроке оплаты свыше 90 дней - 80% дебиторской задолженности будут не оплачены, то в США составляет всего 26%, что почти в три раза меньше. Нашим отечественным предприятиям необходимо анализировать свою дебиторскую задолженность и своевременно ее взыскивать.
2.3 Организация учета расчетов с подотчетными лицами АО "БИ-ЛОГИСТИКС"
В процессе своей производственно-хозяйственной деятельности АО "Би-Логистикс" защитных лесонасаждений №4 филиал Республиканского Государственного Предприятия "Казахстан Темир Жолы" посылает работников в служебные командировки, приобретает в магазинах канцелярские принадлежности, оплачивает почтовые переводы. Эти расходы не всегда возможно оплатить путем безналичных расчетов через учреждения банков. Поэтому для оплаты всех вышеперечисленных и других расходов работникам выдают в подотчет наличные деньги. Выдача наличности в подотчет производится в следующих случаях:
только тем сотрудникам, список которых утвержден руководителем дистанции;
после полного расчета сотрудника по ранее полученным подотчетным суммам. Лица, не предоставившие отчеты и не сдавшие неизрасходованные остатки подотчетных сумм в установленные сроки, подвергаются дисциплинарной, а в необходимых случаях уголовной ответственности;
авансы выдаются не ранее наступления действительной надобности в расходах.
Деньги выдаются согласно расчету, утвержденному руководителем дистанции в пределах сумм, причитающихся командируемым лицам на оплату проезда к месту командировки и обратно, возмещения расходов суточных расходов по найму помещений на срок командировки. Расходование подотчетных сумм подтверждается документами, для обобщения которых предназначен авансовый отчет (форма№286), который предоставляется в бухгалтерию в течение трех дней со дня приезда из командировки.
Субъект имеет право удержать из суммы оплаты труда работника не возмещенный им своевременно остаток аванса, если работник не оспаривает основания и размер удержания. Удержание может быть произведено единовременно или с рассрочкой независимо от того, какая часть оплаты труда остается свободной от всех других взысканий с данного работника. Распоряжение об удержании должно быть дано не позднее одного месяца со дня окончания срока, установленного для возврата аванса. При пропуске этого срока администрация теряет право на удержание соответствующих сумм в бесспорном порядке. В этом случае, взыскание сумм производится в судебном порядке. Перерасходованные по авансовому отчету суммы выдаются работнику из кассы. Бухгалтерия проверяет авансовые отчеты подотчетных лиц и приложенные к ним документы. Авансовый отчет утверждается руководителем дистанции.
В практической работе бухгалтера, возникает ряд вопросов при учете расчетов с сотрудниками, выезжающими в командировки как по Республике Казахстан, так и в другие страны. Все отношения, возникающие между работодателем и работником, направленным в служебную командировку, регулируются нормами трудового законодательства и постановлениями правительства РК.
Направление работников в командировку производится на основании приказа руководителя дистанции, в котором определяется срок командировки. Фактическое время пребывания в месте командировки определяется по отметкам в командировочном удостоверении о дне прибытия в место командировки и дне выбытия из него.
Командировочное удостоверение должно быть оформлено надлежащим образом, а именно: на лицевой стороне удостоверения должны быть проставлены:
подпись руководителя дистанции;
круглая печать;
в левом верхнем углу канцелярский штамп;
номер и дата приказа, на основании которого командируется сотрудник.
Обратная сторона удостоверения должна содержать следующие реквизиты:
отметки (дата, круглая канцелярская печать, роспись инспектора по кадрам) о дне выбытия и прибытия в место постоянной работы (г. Астана) и отметки (дата, печать объекта, на который направляется командированный сотрудник, роспись лица, осуществляющего отметку) о дне прибытия и выбытия из места командировки;
если работник направляется в командировку в различные города, то отметки в командировочном удостоверении делаются в каждом их них по отдельности.
Днем выезда в командировку считается день отправления транспорта из места постоянной работы командированного, а днем приезда день прибытия транспорта в место постоянной работы. За командированным работником сохраняется место работы (должность) и средний заработок за время командировки, и в том числе, и за время нахождения в пути. Срок командировки, как правило, не должен превышать сорока дней, не считая времени нахождения в пути.
Сотрудникам, направленным в служебные командировки, оплачиваются:
суточные за время нахождения в командировке;
расходы по проезду к месту назначения и обратно;
расходы по найму жилого помещения.
За время нахождения в командировке выплачиваются суточные в установленных размерах за каждый день пребывания в командировке не более 2 минимальных расчетных показателей, устанавливаемого законодательно (в 2004году он равен 919 тенге. Значит 919 х 2 = 1838 тенге - установленный размер суточных), не исключая выходных и праздничных дней, а также дней нахождения в пути, в том числе и за время вынужденной остановки в пути. Оплата проезда к месту командировки и обратно, а также расходы по найму жилья осуществляется по фактическим расходам, подтвержденным соответствующими документами, например: проездными билетами, квитанциями гостиниц.
Если отсутствуют проездные документы к месту командировки и обратно к месту постоянной работы возмещение расходов в каждом конкретном случае решается руководителем в установленном порядке.
Фактическое пребывание в месте командировки определяется по отметкам в командировочном удостоверении. В возмещаемые расходы включаются стоимость за бронирование проездных билетов и мест в гостинице, а также за пользование постельными принадлежностями в поездах при наличии оправдательных документов.
В АО "Би-Логистикс" следующая структура подотчетных сумм (таблица 12).
Таблица 12 - Структура подотчётных сумм
|
№ п / п |
Виды расходов |
2007г. |
2008г. |
||
|
Сумма |
Удельный вес |
сумма |
Удельный вес |
||
|
1 |
Командировочные расходы: заграничные внутри страны |
248 |
69% |
1609 |
89% |
|
2 |
На приобретение материалов |
92 |
25% |
45 |
3% |
|
3 |
На хозяйственные нужды |
21 |
6% |
146 |
8% |
|
ИТОГО |
361 |
100% |
1800 |
100% |
Анализируя структуру подотчетных сумм можно делать вывод, что по сравнению с 2007 г. в 2008 г. увеличился удельный вес по командировочным расходами на 20% и на хозяйственные нужды на 2%. Расходы же на приобретение материалов снизились на 22%. Оплата сверх норм расходов по командировкам дистанции не производится. Следовательно, и не начисляется подоходный налог с превышенной суммы командировочных расходов.
При оформлении командировок за границу необходимо руководствоваться Постановлением Кабинета Министров РК №1080 от 29.10. 1993 г. с изменениями и дополнениями от 01.09. 1994 г. №981 "О мерах по упорядочению расходования валютных средств на заграничные командировки" с изменениями и дополнениями, Постановлением правительства РК от 19.04. 1996 г. №479 "О мерах по усилению контроля за использованием валютных средств на заграничные командировки" с изменениями и дополнениями, а также Положением " О порядке расходования валютных средств на заграничные командировки, утвержденным приказом Министерства финансов РК от 07.04. 1994 г. с изменениями и дополнениями, №74 "О нормах возмещения командировочных расходов в иностранной валюте" с изменениями и дополнениями, приложения к приказу Министерства финансов РК № 534 от 16.11. 1998 г.
Зарубежные командировки не оформляются командировочными удостоверениями. Оформление производится на основании приказа руководителя с указанием цели, срока командировки и страны пребывания. При командировках за границу помимо расходов по проезду и найму жилого помещения, работник имеет право на возмещение расходов по провозу багажа весом до 30 кг, на получение заграничного паспорта и виз, за прописку, комиссионные при обмене чека в банке на иностранную валюту. Однако при заграничных командировках существуют ограничения на оплату за проезд, т.к. проезд воздушным, железнодорожным и водным транспортом должен оплачиваться работникам по тарифам 2-го класса, на самолетах по тарифу экономического класса, на судах туристического класса. Возмещение расходов по найму жилого помещения производится только при наличии квитанции (счета гостиницы) по нормам, исходя из стоимости одноместного номера в гостиницах среднего разряда. День выезда и день приезда при исчислении суточных считаются за один день. Учитывая то обстоятельство, что за рубежом отели обычно предоставляют постояльцам целый комплекс услуг, стоимость которых включаются в общую стоимость счета, суммы, уплаченные за питание в гостиничных барах, кафе и ресторанах, а также другие личные услуги, включенные в счет по найму жилого помещения, оплачиваются за счет суточных.
Особенностью авансового отчета по заграничным командировкам является то, что в ней иностранная валюта выданная, израсходованная и неизрасходованная пересчитывается в тенге по курсу Национального банка РК:
выданная в подотчет на день выдачи;
израсходованные средства на основании оправдательных документов на даты их оформления;
неизрасходованные на дату составления и утвержденного отчета.
Возникающие при этом курсовые разницы подлежат отражению в учете и относятся на затраты предприятия.
Согласно методическим рекомендаций и стандарту бухгалтерского учета №9 "Учет операций в иностранной валюте" курсовая разница - это разница, возникающая в результате отражения в системе бухгалтерского учета и финансовой отчетности одного и того же количества единиц иностранной валюты в отчетной валюте при изменении курса.
В бухгалтерском учете и отчетности отражается курсовая разница, возникающая по операциям, связанным с полным или частичным погашением дебиторской и кредиторской задолженности, выраженной в иностранной валюте, если курс Национального банка Республики Казахстан на дату расчет отличался от курса на дату отражения этой дебиторской и кредиторской задолженности в системе бухгалтерского учета в отчетном периоде либо от курса на дату составления финансовой отчетности за предыдущий отчетный период, в котором эта дебиторская и кредиторская задолженность была пересчитана в последний раз. Курсовые разницы отражаются в бухгалтерском учете и финансовой отчетности в том отчетном периоде, к которому относится дата их расчета, за который составлена финансовая отчетность. Курсовые разницы зачисляются в состав доходов и расходов субъекта и отражаются в системе бухгалтерского учета в финансовой отчетности отдельно от других видов доходов и расходов от деятельности субъекта.
Суточные за время пребывания в командировке выплачиваются:
при проезде по территории Республики Казахстан - в тенге по нормам, установленным законодательством об оплате служебных командировок в пределах РК;
при проезде и за время пребывания на иностранной территории других стран - в иностранной валюте по нормам, установленным для работников, выезжающих во временные командировки из Республики Казахстан за границу.
В случае выезда в командировку и возвращения в Республику Казахстан в тот же день работнику выплачиваются суточные в иностранной валюте в размере 100% установленных норм.
При направлении в командировку в две или более страны суточные за день перемещения из страны в страну выплачиваются в размере 100% в иностранной валюте по нормам страны, в которую направляется работник.
В тех случаях, когда работники, выезжающие в служебные командировки за границу, обеспечиваются в стране пребывания бесплатным питанием, выплата суточных производится в размере 30% от установленных норм суточных, включая установленные надбавки.
В АО "Би-Логистикс" защитных лесонасаждений нет заграничных командировок, так как в этом нет необходимости. Учет расчетов с подотчетными лицами ведется на счете 1251 " Задолженность работников и других лиц".
Например:
1251 и по табельным номерам работников (1251.01.02170) - по суммам, выданным в подотчет на административные и операционные расходы.
1252 и по табельным номерам работников - по служебным командировкам.
Приказы Командировочное
удостоверение

Расходный Приходный Авансовый
кассовый кассовый отчет
ордер ордер
Ведомость №7
По Дебету и Кредиту
Счета 333
Главная
Книга
Финансовая
Отчетность
Схема 5 - Схема организации учета задолженности и других лиц
Бухгалтер составляет следующие основные бухгалтерские проводки:
При выдаче в подотчет работникам на операционные, административно-хозяйственные расходы и служебные командировки наличными дебетуются счета 1251 и 1252 и кредитуются счета 1010 "Наличность в кассе в национальной валюте", 1010 "Наличность в кассе в иностранной валюте". При списании сумм, израсходованных подотчетными лицами, на основании авансовых отчетов и для отражения налога на добавленную стоимость дебетуются счета 1330 "Товары приобретенные" и 110000 "Налог на добавленную стоимость к возмещению", кредитуется счет 1251 При списании сумм, израсходованных на административные расходы и на служебные командировки, составляется проводка: дебет счета 7210 "Общие и административные расходы" с кредита счета 1252 При возврате неизрасходованных подотчетных дебетуется счет 1010 "Наличность в кассе в национальной валюте" и кредитуются счета 1251, 1252. При удержании неизрасходованных подотчетных сумм из заработной платы работника дебетуется счет 3350 "Расчеты с персоналом по оплате труда" и кредитуются счета 1251.01, 1251.02.
С 1 января 2007 года несколько изменится порядок налогообложения командировочных расходов. В частности, согласно статье 93 (п.1) нового Налогового кодекса на вычеты относятся следующие компенсации при служебных командировках:
фактически произведенные расходы на проезд к месту командировки и обратно, включая оплату расходов за бронь;
фактически произведенные расходы на наем жилого помещения, включая оплату расходов за бронь;
суточные, выплачиваемые за время нахождения в командировке (в пределах Казахстана - в размере не более 2 МРП в сутки, за рубежом - в пределах норм, установленных Правительством РК).
Таким образом, в 2007 году расходы на проезд и проживание по служебным командировкам, как в пределах Казахстана, так и за рубежом относятся на вычеты по их фактической стоимости, подтвержденных документально. Напомним, что раньше вычеты расходов на проезд и проживание ограничивались установленными нормами. Согласно статье 144 (п.1/16) нового Налогового кодекса компенсации при служебных командировках, выплачиваемые в вышеуказанных размерах, не подлежат обложению подоходным налогом с физических лиц. Также указанные компенсации не будут облагаться социальным налогом (статья 316, п.1).
Пример: Работник направлен в 2008 году в служебную командировку по Казахстану на 7 суток. По возвращении он предоставил авиабилеты и счет гостиницы. В данном случае стоимость авиабилета и гостиницы относится на вычеты в полном размере и не включается в доход работника. Расходы на питание относятся на вычеты и не включаются в доход работника в размере 2 МРП * 7 суток. Если возмещаемые суточные превышают установленный предел, то сумма превышения на вычеты не относится и включается в доход работника, облагаемый подоходным и социальным налогами.
Согласно Постановлению Правительства РК от 27.12. 2001г. №1726 "Об утверждении размеров выплат" с изменениями и дополнениями, в случаях, когда постоянная работа протекает в пути или имеет разъездной характер, либо в связи со служебными поездками в пределах обслуживания участков, не подлежащих налогообложению размер выплат для работников, у которых работа носит разъездной характер, составляет 0,35 МРП. Расходы по найму жилья в этих случаях не предусмотрены. Документ, подтверждающий время нахождения в разъезде, должен быть определен учетной политикой компании. При выборе документа следует учесть специфику деятельности. Например: путевой лист для водителя, отчет о реализации продукции для менеджера по продажам, табель учета времени для геологоразведочных работ.
С 2008 года в Налоговом кодексе не предусмотрена ставка подоходного налога 10% с косвенных доходов работника. Таким образом, все доходы работника подлежат обложению подоходным налогом совокупно по ставкам п.1 ст.145 Налогового кодекса. Согласно п.1 ст.315 Налогового кодекса объектом налогообложения социальным налогом является расходы работодателя, выплачиваемые работникам в виде любых доходов. Согласно п.3 постановления Правительства РК от 15.03. 1999г. №245 "Правила исчисления, удержания и перечисления обязательных пенсионных взносов в НПФ" с изменениями и дополнениями, удержание обязательных пенсионных взносов производится из доходов, выплачиваемых работникам.
Таким образом, командировочные расходы сверх норм, установленных п.1 ст.93 Налогового кодекса, подлежат обложению индивидуальным подоходным налогом, социальным налогом и удерживаются обязательные пенсионные взносы.
Таблица 13 - Нормы командировочных расходов по оплате найма жилого помещения за пределами РК, подлежащих вычету при определении налогооблагаемого дохода.
|
Оплата по найму жилого помещения (в сутки на 1 человека) |
|
|
А) для первых руководителей |
По фактическим расходам (но не более стоимости одноместного стандартного номера пяти звездочного отеля) |
|
Б) для заместителей первых руководителей, главных бухгалтеров |
По фактическим расходам (но не более стоимости одноместного стандартного номера 4-х звездочного отеля) |
|
В) для заместителей главного бухгалтера и руководителей структурных подразделений |
По фактическим расходам (но не более стоимости одноместного номера трех звездочного отеля) |
|
Г) для иного персонала предприятия, учреждений, организаций |
По фактическим расходам (но не более стоимости одноместного стандартного номера отеля иной категории) |
На основании Постановления Правительства РК от 24.12. 2001г. №1676 "О нормах командировочных расходов, подлежащих вычету при определении налогооблагаемого дохода" с изменениями и дополнениями, установлено, что юридические и физические лица, занимающиеся предпринимательской деятельностью, производят вычеты командировочных расходов за пределами РК при определении налогооблагаемого дохода по следующим нормам (таблица 13)
Согласно Постановлению Правительства РК от 24.12. 2001г. №1677 "Об утверждении норм представительских расходов и суточных, выплачиваемых за время нахождения в командировке за пределами РК, подлежащих вычету при определении налогооблагаемого дохода утверждены следующие нормы (таблица 14).
Таблица 14 - Нормы представительских расходов, подлежащих вычету при определении налогооблагаемого дохода
|
Наименование расходов |
Стоимость (МРП) |
|
1. Расходы на проведение официального приёма лиц (из расчета 1 человека в день) |
До 8,0 |
|
2. Буфетное (фуршетное) обслуживание во время переговоров (из расчета на 1 человека в день, включая переводчика и сопровождающих лиц) |
До 1,5 |
|
3. Оплата услуг переводчиков, не состоящих в штате организации, принимающих делегацию (в час) |
До 1,0 |
|
4. Транспортное обслуживание (в час) |
До 1,0 |
Примечание:
Во время проведения официального приема лиц количество участников с принимающей стороны не должно превышать количество участников со стороны принимающей делегации.
При составе делегации свыше 5 человек количество сопровождающих лиц и переводчиков, обслуживающих делегацию, должно определяться из расчета один переводчик или сопровождающий не менее чем на пять членов делегации.
На основании данного Постановления Правительства РК от 24.12. 2001г. №1677 с изменениями и дополнениями, утверждены также и нормы суточных, выплачиваемых за время нахождения в командировке за пределами РК, подлежащих вычету при определении налогооблагаемого дохода (таблица 15)
Таблица 15 - Нормы суточных, выплачиваемых за время нахождения за пределами РК, подлежащих вычету при определении налогооблагаемого дохода
|
Страны |
Суточные (в долларах США) |
|
1. США, Великобритания, Германия, Италия, Франция, Канада, Япония |
70 |
|
2. Австралия, Бельгия, Греция, Дания, Ирландия, Исландия, Испания, Лихтенштейн, Люксембург, Нидерланды, Норвегия, Португалия, Турция, Финляндия, Швеция, Швейцария, Сингапур, Южная Корея, Израиль, Австралия |
60 |
|
3. Албания, Словакия, Словения, Египет, Китай, Латвия, Литва |
50 |
|
4. Страны Содружества Независимых Государств (СНГ) |
30 |
|
5. Другие страны |
40 |
3. Аудит и анализ дебиторской задолженности
3.1 Задачи аудита и информационная база аудита
Аудит представляет собой независимую проверку аудиторами и аудиторскими организациями финансовой отчетности и иных документов юридических и физических лиц, оценки достоверности и соответствия совершенных финансовых и хозяйственных операций законодательству Республики Казахстан. Видами аудита являются обязательный аудит и инициативный аудит. Обязательный аудит проводится в случаях, установленных законодательством 'Республики Казахстан. Инициативный аудит проводится по инициативе аудируемого субъекта с учетом конкретных задач, сроков и объемов аудита предусмотренных договором на проведение аудита между аудируемым субъектом аудитором, аудиторской организацией.
Основополагающими документами информационной базы аудита являются: Закон Республики Казахстан об аудиторской деятельности от 20 ноября 1998г. с изменениями и дополнениями, казахстанские стандарты аудита, некоторые статьи Конституции РК, положения и нормативные акты, утвержденные Палатой аудиторов РК, Департаментом бухгалтерского учета РК, а также: финансовая отчетность проверяемого предприятия, учетные регистры (журналы-ордера), первичные документы данного хозяйствующего субъекта.
В методологии аудита есть общепринятые позиции. План аудиторской проверки, используемый для большинства предприятий, состоит из следующих процедур, каждая из которых требует получения выходного документа:
Получение справочной информации о предприятии.
Аудит учредительных документов. Устава.
Аудит учетной политики.
Аудит организации бухгалтерского учета и отчетности
Аудит состояния бухучета и отчетности.
Аудит по направлениям:
Безналичные расчеты;
Кассовые операции;
Учет товарно-материальных ценностей;
Учет основных средств;
Расчеты с подотчетными лицами;
Учет расчетов с поставщиками и покупателями;
Учет заработной платы;
Расчеты с бюджетом и внебюджетными фондами
Составление аудиторского заключения.
Для каждого раздела аудита по направлениям для конкретного предприятия может быть разработана своя программа на базе типовой.
Методы аудита. Для проведения аудиторской проверки любого вида имущества применяются специальные приемы и методы контроля. Методы проверки принято подразделять на две группы: методы фактической проверки; методы документальной проверки. К основным методам фактической проверки, которыми могут пользоваться аудиторы, исходя из права самостоятельно определять формы и методы проверки, руководствуясь требованиями нормативных актов и условий договора с субъектом или содержания поручения государственных органов, относятся:
осмотр;
обследование;
инвентаризация;
контрольный запуск сырья и материалов в производство;
лабораторный анализ качества материалов, товаров, сырья и готовой продукции;
экспертная оценка;
опрос;
проверка объемов выполненных работ.
Осмотр. С помощью этого метода можно выяснить, например, условия хранения имущества, документов; состояние производственных, складских торговых помещений. Осмотру подвергают разнообразные объекты: территорию, места хранения материальных активов, документов, производственное и торговое оборудование, готовую продукцию, контрольно-кассовые машины. В процессе осмотра могут быть обнаружены доказательства, свидетельствующие о нарушениях или злоупотреблениях.
Обследование. Обследование представляет собой как бы продолжение осмотра, но с одновременным ознакомлением с документами как нормативными, так и оправдательными; с получением объяснений от ответственных лиц. Эффективные результаты дает обследование при проверках технологии производства продукции в цехах, порядка приема, хранения, отпуска и реализации продукции, товаров.
Инвентаризация. В соответствии с законом "О бухгалтерском учете" предприятия обязаны проводить инвентаризацию имущества и обязательств, в ходе которой необходимо проверять и документально подтверждать их наличие, состояние и оценку.
Основными целями инвентаризации в соответствии с Методическими указаниями по инвентаризации имущества и финансовых обязательств, (далее - Методические указания) являются:
выявление фактического наличия имущества;
сопоставление фактического наличия имущества с данными бухгалтерского учета;
проверка полноты отражения в учете обязательств.
Инвентаризация является наиболее эффективным методом фактической проверки достоверности показателей баланса, являющегося составной частью бухгалтерской отчетности. Разновидностью выборочных инвентаризаций являются контрольные проверки с целью определения правильности включения инвентаризационной комиссией в опись фактических остатков материалов, денежных средств, товаров и иного имущества. К порядку проведения инвентаризации предъявляются определенные требования. Отсутствие хотя бы одного члена комиссии при проведении инвентаризации может служить основанием для признания ее результатов недействительными. Очень важно, чтобы к документам, представляемым для оформления описания недостачи ценностей и порчи сверх норм естественной убыли, были обязательно приложены решения следственных или судебных органов, подтверждающие отсутствие виновных лиц, либо отказ на взыскание ущерба с виновных лиц, либо заключение о факте порчи ценностей, полученное от отдела технического контроля или соответствующих специализированных организаций (инспекций по качеству и др.).
Данные результатов инвентаризаций, проведенных в отчетном году, должны быть обобщены в организации в ведомости результатов, выявленных инвентаризацией.
Работа аудитора - это строго организованный процесс, которому присущи определенные этапы и порядок ведения и составления документации, проведения аудиторских процедур.
1) ознакомление с предприятием;
2) заключение договора на аудиторскую проверку;
3) составление плана и программы аудита;
4) аудит показателей финансовой отчетности;
5) составление отчета по результатам аудита и представление его клиенту, а также подписание акта приемки-сдачи работ по договору об аудиторской проверке.
В соответствии с Законом об аудиторской деятельности в Республике Казахстан основной целью аудиторской деятельности является установление достоверности финансовой отчетности и соответствия совершаемых финансово-хозяйственных операций законодательству. С другой стороны, клиенту необходимы рекомендации по оптимизации налогового планирования отражению в учете различных работ, договоров, операций. Поэтому словами, аудитор должен удовлетворить клиента, не вступая в противоречия с действующей нормативной базой. Однако общий аудиторский план остается объектом непосредственно аудиторской ответственности.
Кроме названной, целями аудита могут быть: экспертиза оценки состояния бухгалтерского учета и системы внутреннего контроля; подтверждение данных проспекта эмиссий акций и других ценных бумаг; анализ показателей финансовой отчетности и разработка предложений по укреплению рыночной устойчивости предприятия; консультирование по вопросам, интересующим клиента, и т.д.
Одна из основных его целей - оценка аудиторского риска и составление аудиторских процедур, необходимых для снижения его до допустимо низкого уровня.
Аудиторский риск - это субъективно установленный уровень риска, который готов взять на себя аудитор, и состоящий в том, что в финансовой отчетности будут обнаружены существенные погрешности уже после завершения аудита и представления положительного аудиторского заключения. Он включает в себя три компонента: неотъемлемый риск, риск внутреннего контроля и риск не обнаружения.
Неотъемлемый, или собственный, риск - это подверженность финансовой отчетности существенным погрешностям при условии отсутствия внутреннего контроля.
Риск внутреннего контроля - это риск, который заключается в том, что ошибки в остатках счетов или видах операций могут быть существенными в отдельности или в совокупности с другими ошибками до выявления или исправления с помощью систем учета и внутреннего контроля. Иными словами, это риск, связанный с тем, что системы учета и внутреннего контроля своевременно не предупредили о возникновении ошибки или не обнаружили ее.
Риск не обнаружения - это риск, который заключается в том, что процедуры аудиторской проверки на материальность не позволяют обнаружить искажение, которое содержится в остатках счетов или видах операций и может быть существенным, превышающим допустимую величину, сели такие ошибки имеются. Иными словами, риск не обнаружения - риск, что ошибки, пропущенные системой внутреннего контроля, не будут обнаружены аудитором.
3.2 Аудит состояния дебиторской задолженности
С переходом к рыночным отношениям аудиторская деятельность в нашей стране получает все большее развитие. В мировой практике аудиторский контроль не является новшеством и широко применяется во всех сферах деятельности. Независимый контроль (аудит) проводится аудиторами, аудиторными организациями, осуществляющими свою деятельность на договорной коммерческой основе за счет заказчика-клиента (проверяемого субъекта).
Главная цель аудиторской проверки деятельности экономических субъектов предпринимательства заключается в подтверждении достоверности показателей их финансовые отчеты.
В Республике Казахстан проведена большая работа по созданию независимого аудиторского контроля, подготовке кадров аудиторов и лицензированию их деятельности, регламентации профессиональных обязанностей, прав и ответственности аудиторов в соответствии с принятыми отдельными законодательными актами, в т. ч. стандартами аудита.
Типовой план проверки любой аудиторской компании включает в себя и аудит дебиторской задолженности хозяйствующего субъекта. В то же время в актах аудиторских проверок не всегда находит достаточное отражение этот аспект финансово-хозяйственной деятельности аудируемого предприятия. Как правило, освещение этого вопроса ограничивается констатацией фактов образования задолженности с указанием даты ее возникновения и перечисления предприятий - дебиторов. Вместе с тем дебиторская задолженность может иметь определяющее значение в жизнедеятельности предприятия, поскольку такая задолженность - это всегда отвлечение оборотных средств.
Аудит дебиторской задолженности включает в себя проверку расчетных операций, спорными долгами и претензиями, исполнительными документами и другими расчетными отношениями. Используя сплошные и выборочные наблюдения, основанные на первичной документации, выявляется устойчивая задолженность с первоочередным ее исследованием. При этом проверяется достоверность учетных данных по каждой расчетной операции за аудируемый период, далее по аналитическому учету определяется сумма задолженности по отдельным дебиторам. В целом методика проведения аудита дебиторской задолженности сложностей не имеет, требуется лишь сплошное изучение документа, касающихся данного вопроса. Первые годы рыночной экономики характеризовались высоким уровнем инфляции, резким спадом производства и в то же время бурным подъемом предпринимательства. Предпринимательством занялась значительная часть населения, в том числе и далекая от понимания законов не только экономики. Если, например для крупных промышленных и торговых предприятий возникновение дебиторской задолженности отчасти стало следствием возникшей проблемы неплатежей, то у ряда небольших и средних предприятий возникновение такой задолженности было связано с иными причинами, а именно нежеланием платить налоги и существовавшей в те годы проблемой повсеместного недостатка наличных денег. Резкое нарастание массы дебиторской задолженности у некоторых предприятий стимулировалось так называемым обналичиванием или переводом денежных средств с расчетного счета в наличные деньги посредством вторых, а иногда и третьих лиц. Осуществлялось оно, как правило, незамысловато, путем перевода денег безналичным расчетом соответствующей фирме, однако такой расход требовал обоснования, и перечисление осуществлялось как бы за приобретение товара, операция оформлялась необходимыми документами. Возникала дебиторская задолженность, которая в учете могла числиться значительное время. В отдельных случаях задолженность исчезла с появлением на счетах бухгалтерского учета и балансе стоимости несуществующего товара. При этом он приходовался и числился в дальнейшем по цене, отраженной в расчетно-платежных документах. Отсутствие товара в таких случаях легко было установить инвентаризацией товарно-материальных запасов, но как в то время, так и сейчас инвентаризации осуществляются в редких случаях. Деньги обесценивались стремительно и через полгода или год, путем внесения в кассу денег в сумме, равной балансовой стоимости товара, он списывался как реализованный за наличный расчет. К слову сказать, по правилам налогообложения того периода НДС не возникал, так как товар реализовывался как бы по цене первоначального приобретения. Возможно, для нейтрализации последствий таких операций и была определена налогооблагаемая база для НДС, как оборот по реализации, при этом если товар списывается ниже стоимости его приобретения, то НДС начисляется на стоимость реализуемого товара, но не ниже сложившихся в учете затрат на его приобретение. В то же время по учтенному, но не существующему товару НДС относился в зачет, при этом при списании его ниже себестоимости НДС к начислению не возникал, и бюджет становился должником такого предприятия, т.е. возникала дебиторская задолженность теперь уже по налогу. В период высокой инфляции дебиторская задолженность быстро теряла в цене, и списание ее происходило безболезненно, а после введения национальной валюты - простым округлением до десятых, а то и до сотых тысяч тенге. Позднее списание дебиторской задолженности стало проблематичным, и применяться стали так называемые взаимозачеты. Ни в коем случае не утверждая, что любая дебиторская задолженность является результатом незаконных операций, тем не менее результаты аудиторских проверок прошлых лет говорят о том, что в некоторых случаях таким путем списывалась нереальная дебиторская задолженность. Налоговое законодательство на такие прецеденты среагировало адекватно. Теперь дебиторская задолженность, списанная в бухгалтерском учете на убытки на основании истечения срока исковой давности, а также нереальной к взысканию в целях налогообложения, в расчет не принимается. Что касается взаимозачетов, то очевидно, что при списании требований и обязательств несопоставима стоимость дебиторской задолженности, образовавшейся скажем, в 1993-94 гг., и кредиторской задолженности, возникшей в 1996-97 гг. Понятно, что такие показатели несопоставимы по реальной стоимости денег во времени, хотя в суммовом выражении они, как правило, при взаимозачетах идентичны. Здесь мы касаемся вопроса списания и кредиторской задолженности, но это тема для отдельного обсуждения. В определенный момент остро встала проблема взаимных платежей между хозяйствующими субъектами, что соответственно явилось причиной снижения налоговых поступлений в бюджет. Метод начисления дохода по мере отгрузки товара, оказания услуг и выполнения работ первоначально был введен в бухгалтерском, а затем и в налоговом учете. Существующее налоговое законодательство не акцентирует внимание на дебиторской задолженности, единственное условие отнесения ее на вычеты является истечением 2 - летнего срока по сомнительному долгу и только при условии ведения в последние 2 года учета методом начисления. Таким образом, дебиторская задолженность по оказанию услуг означает и начисление дохода с соответствующими налоговыми обязательствами. По истечении установленного срока оплаты такая задолженность признается сомнительным долгом. По прошествии 2 лет эти долги относятся на вычеты. Налоговое законодательство при признание долгов сомнительными не расшифровывает их признаков и обоснований. Следует подчеркнуть, что в бухгалтерском учете и системе налогообложения подход к дебиторской задолженности имеет существенные отличия. Поэтому при аудите этого аспекта результатов деятельности предприятия следует разграничивать и его освещении в акте аудиторской проверки. Учитывая изложенное и опыт аудиторских проверок за ряд лет, можно в общих чертах сформулировать задачи аудита дебиторской задолженности:
необходимо установить причины образования задолженности;
выяснить, насколько правильно отражены по статьям баланса соответствующие остатки задолженности.
Проверке подвергаются основные операции по расчетам с установлением реальности, достоверности и законности расчетных операций по дебиторской задолженности. Известны факты, когда одно предприятие отгружает другому товар, при этом поставки осуществляются в течение длительного периода по разным контрактам. В то же время другое предприятие также производит отпуск товара своему партнеру, но уже по другим контрактам. Предприятия, как те, так и другие, являются одновременно по отношению друг к другу и дебиторами и кредиторами. В определенный момент предприятия, в силу невозможности рассчитаться между собой денежными средствами, либо осуществляют взаимозачет требований и обязательств, либо переоформляют задним числом взаимной поставки как бартерные сделки. Последняя процедура находится вне сферы компетенции аудита.
Возможно, в бухгалтерском учете отразить погашение и дебиторской и кредиторской задолженности на основании акта о взаимозачете. Однако в налоговом учете такое списание дебиторской задолженности произойдет незамеченным, возможно, следовало бы подождать два года и затем сумму задолженности, как сомнительный долг, учесть в вычетах. Тем более что и другому предприятию, списавшему свою кредиторскую задолженность, пользы такое списание тоже не принесет, так как любое списание требований для предприятия является его доходом, включенным в совокупный годовой доход.
Значительные суммы дебиторской задолженности крайне отрицательно сказываются на платежеспособности предприятия и ликвидности баланса. Существование длительное время дебиторской задолженности и одновременно убытка, переходящего из года в год, свидетельствует о том, что предприятие живет в долг, т.е. за счет заемных или временно находящихся в его распоряжении средств. Применение методов финансового анализа может достаточно полно раскрыть влияние дебиторской задолженности на финансово-хозяйственной деятельности за период деятельности предприятия. Такой анализ необходимо проводить не только при аудите дебиторской задолженности, но и в целом по перечню вопросов плана аудиторской проверки.
Проверке следует подвергать все статьи дебиторской задолженности с изучением первичной документации, сопоставляя их данные с показателями, отраженными в учете, а также контрактов, договоров с целью установления законности, достоверности и соответствия произведенной операции, результатом которой является возникновение дебиторской задолженности.
В составе дебиторской задолженности могут числиться и суммы, перечисленные за поставку товаров, выполненных работ и оказание услуг, которые без видимых оснований длительное время поставщиками и подрядчиками не выполняются. Затем суммы, ранее перечисленные таким предприятиям, возвращаются плательщику с мотивировкой невозможности выполнения предусмотренных контрактами условий. Во многих случаях данная операция свидетельствует о кредитовании или предоставлении займов, при этом уплачивается пени или штраф за невыполнение условий поставки является своеобразной формой выплаты вознаграждения (интереса). Для того, чтобы удостовериться в реальности произведенной операции, необходима встречная проверка, однако проведение такой проверки затруднительно в связи с рядом причин, в том числе и возможностей отдаленностью предприятий-должников. Как правило, такие контракты имеют форму договора-поручения с целью изыскания какой-либо продукции или товара, причем сумма контракта оплачивается сразу, а на изыскание необходимого товара, случается, дается 3 и более месяцев.
Накопительная ведомость, составляемая при проведении аудита дебиторской задолженности, должна иметь сведения, касающиеся образования задолженности. В том числе:
наименование дебитора;
вид задолженности;
дата возникновения;
дата платежного документа;
причины образования;
меры, принимаемые для истребования задолженности.
Такая накопительная ведомость составляется только на дебиторскую задолженность отклонениями, при этом аудитор должен дать свое суждение по тому или иному виду дебиторской задолженности.
Помимо расчетов с поставщиками, подрядчиками, покупателями и заказчиками необходимо изучить состояние расчетов как с подотчетными лицами, так и по заработной плате рабочих и служащих, ссудам работникам предприятия и других расчетов с личным составом хозяйствующего субъекта в части задолженности таких лиц, включая недостачи денежных средств и товарно-материальных запасов.
Завершением аудита дебиторской задолженности следует считать обобщение результатов по ее структуре и составу, определению ликвидности, вероятности получения сумм задолженности в полном размере. Рост дебиторской задолженности в динамике связан с уменьшением вероятности ее погашения, что может быть связано не только с финансовыми проблемами покупателей, но и недостаточной организацией деятельности бухгалтерии и юридической службы в части претензионно-исковой работы предприятии.
Основными задачами, стоящими перед аудиторами при проверке дебиторской задолженности является:
проверка реальности и юридической обоснованности, числящихся на балансе предприятия сумм дебиторской задолженности;
проверка соблюдения правил расчетной и финансовой дисциплины;
проверка правильности получения сумм за отгруженные материальные ценности и полноты их списания, наличия оправдательных документов, при совершении расчетных операций и правильности их оформления;
проверка своевременности и правильности оформления и предъявления претензий дебиторам, а также организации контроля за движением этих дел и проверка порядка организации взыскания сумм причиненного ущерба и других долгов, вытекающих из расчетных взаимоотношений;
разработка рекомендаций по упорядочению расчетов, снижению дебиторской задолженности.
Проверяя расчеты с дебиторами, аудитор должен выяснить, правильно ли отражена дебиторская задолженность в балансе.
Проверку состояния дебиторской задолженности следует начать с анализа материалов инвентаризации расчетов с дебиторами. Учитывая, что сами предприятия инвентаризацию расчетов с ними, как правило, проводят некачественно, эту работу должен организовать аудитор. Аудитор и члены инвентаризационной комиссии устанавливают причины и виновников образования дебиторской задолженности, давность ее возникновения: реальность получения (т.е. имеются ли акты сверки расчетов либо письма, в которых дебиторы признают свою задолженность, не пропущены ли сроки исковой давности (3 года), какие меры принимаются для взыскания задолженности). Иногда следует проводить сверки расчетов с организациями, за которыми числится значительная дебиторская задолженность. Встречные проверки в первую очередь проводятся в торговых и снабженческих организациях.
Чаще всего в хозяйственной деятельности предприятия встречаются расчеты с покупателями и заказчиками за товары, работы и услуги. Эта статья занимает, поэтому наибольший удельный вес в общей сумме дебиторской задолженности, показанной в балансе предприятия. При проверке ее необходимо обратить внимание на следующее:
имеются ли договоры на поставку продукции (выполнения работ, услуг) и правильность их оформления;
правильно ли получены суммы за отгруженные товарно-материальные ценности;
правильно ли списана дебиторская задолженность на себестоимость продукции (работ, услуг) и дебиторская задолженность с истекшим сроком исковой давности. Дебиторская задолженность, по которой срок исковой давности истек, списывается по решению руководителя предприятия и относится соответственно на счет средств резерва по сомнительным долгам.
В действующем налоговом законодательстве (ст.28) отмечается, что сомнительные долги - это "долги, возникающие в результате реализации продукции (работ, услуг) и не погашены в течение двух лет с момента начисления дохода".
Для списания сомнительного долга на предприятии создаются резервы по сомнительным долгам.
Аудитор должен проверить обоснованность создания резервов по сомнительным долгам, правильность их использования и списания с баланса дебиторской задолженности с истекшим сроком исковой давности. Для обобщения информации о состоянии и движении резервов по сомнительным долгам предназначен счет 1290 "Резервы по сомнительным требованиям" одноименного подраздела. Величина резерва определяется отдельно по каждому сомнительному долгу в зависимости от финансового состояния (платежеспособности) должника и оценок вероятности погашения в полной и частичной сумме.
Аудитору необходимо проверить правильность отражения хозяйственных операций на этом счете. Так, на сумму создаваемых резервов производятся записи по кредиту счета 1290 "Резервы по сомнительным требованиям" дебету счета 7212 "Общие и административные расходы" подраздела 82 "Общие и административные". При списании с баланса дебиторской задолженности с истекшим сроком исковой давности производится запись по дебету счета 1290 "Резервы по сомнительным требованиям" в корреспонденции с кредитом соответствующих счетов подраздела 30 "Задолженность покупателей и заказчиков". Если до конца следующего за годом создания резерва по сомнительному долгу этот резерв не использован, то неизрасходованные суммы методом "красное сторно" восстанавливается записью по дебету счета 7212 "Общие и административные расходы " и кредиту счета 1290 "Резервы по сомнительным требованиям". Аудитор должен установить, не завышен ли размер резерва по сомнительным долгам и восстановлена ли неиспользованная его величина.
Учет расчетов с покупателями и заказчиками осуществляется на счетах: 1210 "Счета к получению, 1280 "Векселя полученные" и 303 "Прочие" подраздела 30 "Задолженность покупателей и заказчиков". По дебету счета 1210 "Счета к получению" отражается стоимость отгруженной (отпущенной) продукции, выполненных работ и оказанных услуг по предъявленным покупателям и заказчикам и принятым банком к оплате расчетным документам в корреспонденции с кредитом соответствующих счетов раздела VII "Доходы", а также суммы НДС, начисленная в связи с отгрузкой (отпуском) продукции, выполнением работ и оказанием услуг в корреспонденции с кредитом счета 3130 "Налог на добавленную стоимость" подраздела 3100 "Расчеты с бюджетом". По кредиту счета 1210"Счета к получению" отражается сумма полученных платежей в корреспонденции с дебетом счетов подразделов 1030 Денежные средства на текущих банковских счетах, 1050 Денежные средства на сберегательных счетах, 1010 Денежные средства в кассе, а также суммы, подлежащие зачету, в корреспонденции с дебетом счетов 16100 "Авансы полученные, 14210 "Расчеты с поставщиками и подрядчиками", 3397 "Прочая кредиторская задолженность и начисления".
Аналитический учет по счету 1210 "Счета к получению" ведется по каждому покупателю или заказчику.
Особое внимание аудитор должен обратить на правильность отражения операций при оплате векселями. Задолженность по расчетам с покупателями и заказчиками, обеспеченная полученными векселями, учитывается на счете 1280 "Векселя полученные". Этот счет кредитуется при погашении задолженности по векселям в корреспонденции с дебетом соответствующих счетов учета денежных средств. При расчетах векселями могут применяться простые и переводные векселя. При аудите необходимо проверить правильность учета векселей по видам, предприятиям-плательщикам, срокам наступления платежа, обоснованность оформления ссуд векселями, законность списания на внереализационные убытки векселей, задолженность, по которой оказалась безнадежной к получению или по которым просрочены сроки исковой давности.
В целом же при аудите расчетов с покупателями и заказчиками необходимо установить:
заключены ли договоры поставок продукции;
реальность задолженности покупателей, что должно быть подтверждено актами инвентаризации (сверки) расчетов;
правильность ведения аналитического учета по счетам подраздела 30 "Задолженность покупателей и заказчиков". При этом построение аналитического учета должно обеспечить возможность получения данных о задолженности по расчетам с покупателями и заказчиками, обеспеченной векселями, срок поступления денежных средств по которым не наступил, векселями, дисконтированными (учтенными) в банках, по которым денежные средства не поступили в срок;
правильность составления бухгалтерских проводок по счетам подраздела 30 "Задолженность покупателей и заказчиков";
соответствие записей аналитического учета по счетам подраздела 30 "Задолженность покупателей и заказчиков" в журнале-ордере №11, Главной книге и балансе.
Далее аудитор должен проверить правильность отражения на счетах бухгалтерского учета операций, связанных с дебиторской задолженностью дочерних (зависимых) товариществ для обобщения информации о всех видах текущей дебиторской задолженности дочерних (зависимых) товариществ и совместно контролируемых юридических лиц используются счета: 1240 "Задолженность дочерних товариществ", 3330 "Задолженность зависимых товариществ", 3330 "Задолженность совместно контролируемых юридических лиц" подраздела 1240 "Дебиторская задолженность дочерних (зависимых) товариществ". Счета этого подраздела дебетуются в корреспонденции с кредитом соответствующих счетов раздела VI "Доходы" на суммы, на которые предъявлены расчетные документы покупателя, и счета 3130 "Налог на добавленную стоимость" подраздела 3100 "Расчеты с бюджетом" на сумму налога на добавленную стоимость. По кредиту счетов подраздела 32 "Дебиторская задолженность дочерних (зависимых) товариществ в корреспонденции с дебетом соответствующих счетов денежных средств, подразделов 1000-45 отражаются сумма полученных платежей, а с дебетом счетов 16100 "Авансы полученные", 14210 "Расчеты с поставщиками и подрядчиками" и 3397 "Прочая кредиторская задолженность и начисления" отражаются суммы, подлежащие зачету.
Пристальное внимание аудитор должен уделить на изучение статьи баланса "Прочая дебиторская задолженность". Аудитор должен проверить правильность отражения хозяйственных операций на этих счетах, показанных в ведомости №8, и обобщенных ежемесячными итогами в Главной книге.
Прочая дебиторская задолженность включает счета: 1421" Налог на добавленную стоимость к возмещению", 2170 "Начисленные вознаграждения", 1251"Задолженность работников и других лиц ", 1284 "Прочие". Счет 1421 "Налог на добавленную стоимость к возмещению" отражает информацию о суммах налога на добавленную стоимость по приобретенным субъектам товароматериальным запасам. По дебету его показывается сумма НДС по акцептовым счета за приобретенные товарно-материальные запасы, выполненные работы и оказанные услуги в корреспонденции со дебетом счета 1421 "Счета к оплате", а по кредиту сумма НДС, подлежащая к зачету, в корреспонденции с дебетом счета 3130 "Налог на добавленную стоимость" подраздела 3100 "Расчеты с бюджетом".
Счет 2170"Начисленные вознаграждения" предназначен для отражения информации о дебиторской задолженности по начисленным процентам. По дебету его отражается начисление процентов, причитающихся к получению (например: по аренде основных средств, полученным векселям и предоставленным займам), в корреспонденции с кредитом счета 6120 "Дивиденды по акциям и доходы в виде процентом" подраздела 60 "Доход от не основной деятельности", а по кредиту в корреспонденции соответствующих счетов денежных средств подразделов 1000-45 - погашение задолженности.
Особое внимание аудитор должен обратить на правильность отражения хозяйственных операций на счете 1251 "Задолженность работников и других лиц" на этом счете учитывается информация о дебиторской задолженности работников и других лиц: по суммам, выданным в подотчет на административно-хозяйственные и операционные расходы, а также на служебные командировки, по возмещению материального ущерба, по представленным работникам займам и прочим операциям. Подотчетными суммами называется денежные авансы, выданные работникам предприятия из кассы на мелкие хозяйственные расходы (административно-хозяйственные и операционные, которые не могут быть произведены путем безналичных расчетов) и на расходы по командировкам. Аналитический учет расчетов с подотчетными лицами ведут по каждой авансовой выдаче. Аудитор проводит сплошную проверку авансовых отчетов и приложенных к ним документов, сличая записи в накопительных ведомостях с данными авансовых отчетов, утвержденных распорядителями кредитов. Прежде всего, он выясняет, кому выданы авансы. Авансы на командировочные расходы, как правило, должны выдаваться лицам, работающим на данном предприятии. Из практики работы известны случаи выдачи таких авансов работникам вышестоящих организаций.
В некоторых бухгалтериях допускается скрытое авансирование рабочих и служащих на личные нужды под видом выдачи авансов на хозяйственные и командировочные расходы. Поэтому можно определить, имеются ли командировочные удостоверения на командирования работников, их срок, стоимость проезда, сумма на оплату суточных по действующим нормам: своевременно ли подотчетные лица предоставляют отчеты по авансам и сдают неизрасходованные остатки средств. Аудитор обязан тщательно проверять достоверность приложенных к авансовым отчетам документов и законность оплаты по ним. При необходимости проводятся встречные проверки. К вопросам, которые могут быть включены в программу для проверки аудитором в процессе аудита можно отнести:
аудит тождественности показателей бухгалтерской отчетности и регистров бухгалтерского учета;
аудит оформления первичных учетных документов по учету расчетов с подотчетными лицами;
установление объема и состава документов, подлежащих проверке в соответствии с установленной материальностью и рабочим планом проверки;
проверка правильности проведения инвентаризации расчетов с подотчетными лицами;
проверка соответствия записей по выдаче, использованию и возврату подотчетных сумм и данных ведомости №7;
установление фактов выдачи денежных средств под отчет при наличии остатков не израсходованного предыдущего аванса и проверка своевременности возврата неиспользованных подотчетных сумм;
проверка наличия приказа об установлении круга лиц, которым предоставлено право получать деньги под отчет;
проверка соблюдения сроков, на которые выдаются авансы на операционно-хозяйственные расходы;
аудит правильности отнесения на себестоимость операционно-хозяйственных расходов из подотчетных сумм и оприходование приобретенных подотчетными лицами материальных ценностей;
аудит обоснованности предъявления бюджету НДС по приобретенным материальным ценностям, оплаченным работам и услугам через подотчетных лиц;
аудит правильности отнесения на себестоимость расходов по командировкам, в том числе ведения раздельного учета произведенных затрат в соответствии с установленными нормами и сверхнормативных расходов;
аудит правомерности включения в совокупный доход работников для цели налогообложения сумм, превышающих расходы в пределах установленных норм (кроме сверхнормативных расходов по найму жилого помещения), а также расходов на личные нужды;
проверка правильности расчетов с лицами, не работающими в организации, по служебным поездкам за счет проверяемой организации;
аудит обоснованности предъявления бюджету НДС по транспортным документам, счетам гостиниц, за пользование постельными принадлежностями;
проверка правильности ведения раздельного учета расчетов с подотчетными лицами в валюте и параллельно в тенге;
аудит правильности учета курсовой разницы по расчетам с подотчетными лицами в иностранной валюте.
В ряде случаев денежные средства при расчетах как правило, присваивает сам бухгалтер предприятия или это происходит при активном его участии, причем одновременно фальсифицируются записи в учете. Поэтому аудитору следует знать способы, связанные с преступным использованием методов и средств учета.
Основными ошибками, выявляемыми при проверке расчета компенсируемых расходов, являются:
неверный расчет квартирных расходов: при подсчете количества суток для компенсации расходов по найму жилого помещения не должно учитываться время нахождения работника в пути. В количество дней, принимаемых для расчета расходов по найму жилого помещения, не включается и период пребывания работника на стационарном режиме;
неверный расчет командировочных расходов и социальных выплат при наступлении случая временной нетрудоспособности работника в период нахождения работника в командировке: как правило, бухгалтер ограничивается начислением суточных расходов за период нахождения работника в командировке, скорректированный на количестве дней болезни. Но в соответствии с п.12 инструкции "О служебных командировках", в случае временной нетрудоспособности работнику должны быть возмещены суточные за время, пока он по состоянию здоровья не может приступить к выполнению служебного поручения или вернуться к месту своего постоянного жительства, но не свыше двух месяцев. За период временной нетрудоспособности командированному работнику выплачиваются не только суточные, но и пособие по временной нетрудоспособности. Время нетрудоспособности командированного работника, а также невозможность по состоянию здоровья вернуться к месту постоянного жительства должны быть удостоверены документально (больничный лист, заключение врача);
неверный расчет расход по найму жилого помещения за границей: с октября 1998 года наиболее часто при проверке командировочных расходов встречаются случаи нарушения требований постановления Правительства РК № 967 от 29.09.98 г. "О нормах возмещения командировочных расходов в иностранной валюте" и приказа Министерства финансов РК № 534 от 16.11.98 г. "О возмещении командировочных расходов в иностранной валюте" с изменениями в части возмещения работникам расходов по найму жилого помещения за границей. Так, работникам многих предприятий возмещается расходы без учета разряда отеля, в котором они проживали. Согласно вышеназванным нормативным документам, находящимся в командировках за границей, производится по фактическим расходам и с учетом разряда отеля. Например, если менеджер совместного казахстанско-венгерского предприятия проживал в Венгрии в номере стоимостью 115 долл. США в сутки (т.е. свыше 100 долл. США в сутки, установленных приказом Министерства Финансов Республики Казахстан № 534 от 16.11.98г), то разницу в размере 15 долларов США следует считать сверхнормативным расходом, облагаемым подоходным налогом по ставкам Закона "О налогах и других обязательных платежах в бюджет" (по усмотрению руководства предприятия). Здесь же можно отметить, что многих бухгалтеров смутил п.4 приказа Министерства финансов Республики Казахстан от 16.11.98г. № 534, отменяющий действие приказа Министерства Финансов Республики Казахстан от 07.04.94 г. № 74. В результате бухгалтеры прекратили начисление компенсации расходов по найму жилого помещения в размере 50% от нормы суточных при непредставлении счетов гостиниц. Но это правило введено приказом № 5 от 10.01.94 г. (см. п.5 приложения № 2 к приказу Министерства Финансов Республики Казахстан от 10.01.94 г. № 5), и его не отменяли;
неверный расчет суточных расходов при выезде работника в командировку за счет приглашающей стороны: если работник, выезжающий в загранкомандировку, обеспечивается в стране пребывания бесплатным питанием, выплата суточных расходов должна производится в размере 30% от установленных норм суточных;
неверный расчет суточных и расходов по найму жилого помещения за время проезда (нахождения) работника, командированного за границу, по (на) территории Республики Казахстан: как правило, в таких случаях бухгалтерия пренебрегает нормами, установленными законодательством, и за время нахождения на территории Республики Казахстан компенсирует работнику расходы по нормам страны назначения;
неверный окончательный расчет работникам, пребывавшим в загранкомандировке: в соответствии с абзацем 3 письма Министерства финансов РК от 28.04.94 г. № 3ф-22-1-6 / 2194 после возвращения из командировки перерасчет суточных и расходов по найму жилого помещения должны производится исходя из расчета курса валют на день окончания командировки, а не на день предоставления авансового отчета;
неверный расчет заработной платы за время пребывания работника в командировке: не производился расчет средней заработной платы работникам за период их нахождения в командировке, что противоречит требованиям;
обеспечивается ли контроль за взысканием задолженности по исполнительным листам. Иногда торопятся списывать присужденные долги на убытки. Предприятие должно это делать, как правило, при наличии решения суда о несостоятельности ответчика и невозможности обращения взыскания на его имущество. Практика показывает, что имущественное состояние некоторых ответчиков меняется, вследствие чего предприятиям рекомендуется в течение пяти лет учитывать задолженность этих должников на забалансовом счете 007 "Списание в убыток задолженность неплатежеспособных дебиторов", чтобы наблюдать, не появится ли возможность взыскать задолженность впоследствии.
Изучая состояние расчетной дисциплины, аудитор должен знать, что несвоевременный возврат долгов может объясняться запущенностью бухгалтерского учета расчетных операций. Поэтому необходимо обращать внимание на своевременность и правильность отражения в аналитическом и синтетическом учете операций по расчетам с дебиторами, так как дебиторская задолженность может быть зафиксирована на других синтетических счетах, в том числе нереальная к получению, по которой истекли сроки исковой давности.
К дебиторской задолженности относится и статья "Авансы выданные". В соответствии с действующей системой расчетов предприятия могут выдавать авансы другим предприятиям под поставку товарно-материальных запасов, выполнение работ и оказание услуг. Для обобщения информации по выданным авансам под поставку товарно-материальных запасов либо под выполнение работ, а также по оплате продукции и работ принятых от заказчиков по частной готовности, предназначены счета 1610 "Авансы, выданные под поставку товарно-материальных запасов" и 1610 "Авансы, выданные под выполнение работ и оказание услуг". Суммы выданных авансов, а также произведенной оплаты при частичной готовности продукции и работ отражаются по дебету соответствующих счета 1610 "Авансы выданные" в корреспонденции со счетами учета денежных средств (с кредитом счетов подразделов 1000 раздела № 1 "Денежные средства). По кредиту соответствующих счетов подраздела 35 "Авансы выданные" отражаются суммы выданных авансов и оплаты частичной готовности работ, зачтенные поставщиком при оплате законченных работ в корреспонденции с дебетом счета 14210 "Счета к оплате". Аналитический учет по счету 1620 "Авансы выданные" ведется по каждому дебитору.
При проверке расчетных операций по авансам аудитор должен установить реальность числящейся задолженности по указанному счету. Объектом проверки здесь служат не только бухгалтерские записи, но и заключенные договоры с поставщиками и подрядчиками. Особое внимание аудитор обращает на сомнительную задолженность по авансам с точки зрения причин ее возникновения и виновных лиц. Реальной считается задолженность в случае, если она подтверждена заинтересованными сторонами актами выверки взаимных расчетов.
Установив достоверность дебиторской задолженности, отраженной в балансе предприятия, аудитор должен изучить изменения ее структуры, дать оценку с точки зрения ее реальной стоимости, распределить дебиторскую задолженность по срокам образования, определить качество и ликвидность этой задолженности.
Следует отметить, что на финансовое положение предприятия влияет не само наличие дебиторской задолженности, а ее размер, движение и форма, т.е. то, чем вызвана эта задолженность. Возникновение дебиторской задолженности представляет собой объективный процесс в хозяйственной деятельности при системе безналичных расчетов, так же как и появление кредиторской задолженности. Дебиторская задолженность не всегда образуется в результате нарушения порядка расчетов и не всегда ухудшает финансовое положение. Поэтому ее нельзя в полной мере считать отвлечением собственных средств из оборота, т.к часть ее служит объектом банковского кредитования и не влияет на платежеспособность предприятия.
После общего ознакомления с составом и структурой дебиторской задолженности аудитору необходимо дать оценку ее с точки зрения реальной стоимости. Это связано с тем, что не вся дебиторская задолженность может быть взыскана. Возвратность ее определяется на основе прошлого опыта и текущих условий. Бухгалтерский риск состоит в том, что прошлый опыт может быть неадекватной мерой будущего убытка или что текущие условия могут быть не полностью учтены. В результате убытки могут быть существенными. Аудитору необходимо знать реальность и правильность оформления и определения вероятности возврата дебиторской задолженности. Расчет процента невозврата долгов производится по средним данным за несколько лет. Например, для расчета взяты данные за три года, которые составили 0,19%, 0,3387%, 0,3354%. Средний процент невозврата дебиторской задолженности за три года равен 0,2925%. Однако нельзя его распространять за изучаемый период механически. Следует учитывать реальные условия, например, наметившуюся тенденцию роста невозврата. Поэтому целесообразно изучить:
какой процент невозврата дебиторской задолженности приходится на одного или нескольких главных должников (этот процент характеризует концентрацию невозврата задолженности); будет ли влиять неплатеж одного из главных должников на финансовое положение предприятия;
каково распределение дебиторской задолженности по срокам образования;
какую долю векселей в дебиторской задолженности представляет продление старых векселей;
были ли приняты в расчет скидки и другие условия в пользу потребителя.
Далее аудитору необходимо изучить показатели качества и ликвидности дебиторской задолженности. Под качеством понимается вероятность получения этой задолженности в полной сумме, которая зависит от срока образования задолженности.
В зависимости от конкретных условий могут быть приняты и другие интервалы сроков возникновения задолженности. Наличие такой информации за длительный период позволяет выявить как общие тенденции расчетной дисциплины, так и конкретных покупателей, наиболее часто попадающих в число ненадежных плательщиков. Обобщенным показателем задолженности является оборачиваемость. Показатель ликвидности дебиторской задолженности характеризует скорость, с которой она будет превращена в денежные средства (наличность), т.е. это тоже оборачиваемость. Таким образом, показателем качества и ликвидности дебиторской задолженности может быть ее оборачиваемость.
3.3 Анализ состояния дебиторской задолженности
Значительное влияние на оборачиваемость капитала, вложенного в текущие активы, а, следовательно, и на финансовое состояние предприятия оказывает увеличение или уменьшение дебиторской задолженности. Резкое увеличение дебиторской задолженности и ее доли в текущих активах свидетельствует о неосмотрительной кредитной политике предприятия по отношению к покупателям либо об увеличении объема продаж, либо неплатежеспособности и банкротстве части покупателей. С другой стороны, предприятие может сократить оказание услуг, тогда счета дебиторов уменьшатся. Следовательно, рост дебиторской задолженности не всегда оценивается отрицательно. Просроченная дебиторская задолженность создает финансовые затруднения, так как предприятие будет чувствовать недостаток финансовых ресурсов для приобретения производственных запасов, выплаты заработной платы. Кроме того, замораживание средств в дебиторской задолженности приводит к замедлению оборачиваемости капитала. Просроченная дебиторская задолженность означает также рост риска непогашение долгов и уменьшение прибыли. Поэтому каждое предприятие заинтересовано в сокращении сроков погашения причитающихся ему платежей. Также значительные суммы дебиторской задолженности крайне отрицательно оказываются на платежеспособности предприятия и ликвидности баланса.
По результатам анализа дебиторской задолженности по АО "Би-Логистикс" защитных лесонасаждений №4 наблюдается следующая картина: на данном предприятии имеется как краткосрочная (текущая), так и долгосрочная дебиторская задолженность. Здесь задолженность перед предприятием возникает в основном за оплату услуг по озеленению фасада зданий дебиторов, а также за сдачу в аренду помещений. Используя данные о дебиторской задолженности за 2000 и 2001г. определяем время ее обращения и коэффициент погашаемости.
Таблица 16 - Показатели дебиторской задолженности по АО "Би-Логистикс" за 2007 и 2008 года. (Тыс. тг)
|
Дата |
2007г. |
Дата |
2008г. |
|
На 01.01 |
1118 |
На 01.01 |
612 |
|
01.02 |
830 |
01.02 |
600 |
|
01.03 |
830 |
01.03 |
3397 |
|
01.04 |
983 |
01.04 |
600 |
|
01.05 |
63100 |
01.05 |
664 |
|
01.06 |
611 |
01.06 |
684 |
|
01.07 |
604 |
01.07 |
600 |
|
01.08 |
604 |
01.08 |
610 |
|
01.09 |
604 |
01.09 |
61000 |
|
01.10 |
604 |
01.10 |
655 |
|
01.11 |
604 |
01.11 |
655 |
|
01.12 |
604 |
01.12 |
670 |
Определяем среднюю сумму дебиторской задолженности по формуле средней хронологической:
S2000г.=1/2*1118+830+830+983+63100+611+604+604+604+604+604+604*1/2=7798=708,9
12-111
S2001г.=1/2*612+600+3397+600+664+684+600+610+61000+655+655+670*1/2 =7038 =31009,8
12-111
Определяем время обращения дебиторской задолженности =
средняя сумма дебиторской задолженности х количество дней в периоде
в
ыручка
от реализации
2000 г. = 708,9 * 365 = 1,45
78902
2001г. = 31009,8* 365 = 1,12
208801
= 1,12
208801
Суть времени обращения состоит в том, за сколько дней предприятие за счет прибыли сможет покрыть дебиторскую задолженность. Из нашего примера видно, что в 2007 году за 1,45 дней, а в 2008 г. за 1,12 дней.
Определяем процент погашаемости дебиторской задолженности =
= Средняя сумма дебиторской задолженности
В
ыручка от
реализации товаров
2000г. = 708,9= 3,96
178902
2001г. = 31009,8= 3,06
208801
Процент погашаемости дебиторской задолженности показывает, на каком уровне находится предприятие. АО "Би-Логистикс" защитных лесонасаждений в 2007 году находилась на уровне 3,96. Так как критическое значение процента погашаемости дебиторской задолженности составляет 3,8%, а данное предприятие имело процент погашаемости выше критического это означало, что у них были проблемы со своими дебиторами. Это объясняется тем, что был удельный вес средней суммы дебиторской задолженности и низкая выручка от реализации. Но абсолютно другая картина наблюдается за 2008 г. Здесь критическое значение составило 3,06, которое говорит о том, что предприятие вышло из критического состояния за счет увеличения выручки от реализации и уменьшение средней суммы дебиторской задолженности. На это повлияли меры, принятые к дебиторам. Для определения факторов, влияющих на изменение процента погашаемости дебиторской задолженности и время обращения дебиторской задолженности, мы составили таблицу 17.
Таблица 17 - Факторы, влияющие на изменение процента погашаемости дебиторской задолженности и время обращения дебиторской задолженности. (Тыс. тг)
|
Показатели |
Прошедший год |
Текущий год |
Откло- нение |
|
1. Выручка от реализации 2. Средняя дебиторская задолженность 3. Процент погашаемости дебиторской задолженности 4. Время обращения дебиторской задолженности. |
178902 708,9 3,96 1,45 |
208801 31009,8 3,06 1,12 |
+29899 69,1 0,9 0,33 |
1. Определяем факторы, влияющие на процент погашаемости дебиторской задолженности.
а) определим скорректированный процент погашаемости
31009,8 / 178902 = 3,58
б) расчет влияния факторов:
выручка от реализации = 3,58-3,96 = - 0,38
средней дебиторской задолженности = 3,06-3,58 = - 0,52
совокупное влияние = - 0,38 - 0,52 = - 0,9
А теперь проанализируем как выручка от реализации и средняя дебиторская задолженность повлияли на процент погашаемости дебиторской задолженности и время погашения. За счет увеличения выручки от реализации снизился процент погашаемости на 0,38, а снижение суммы дебиторской задолженности привело к снижению процента погашаемости на 0,52
Определяем факторы, влияющие на время дебиторской задолженности:
а) определим скорректированное время обращения дебиторской задолженности
3,69 / 178902 х 365 = 1,3
б) расчет влияния факторов
выручка от реализации = 1,3 - 1,45 = - 0,15
средней дебиторской задолженности = 1,12 - 1,3 = - 0,18
совокупное влияние = - 0,15 - 0,18 = - 0,33
За счет увеличения выручки от реализации снизилось время обращения на 0,15, а снижение суммы дебиторской задолженности привело к снижению времени обращения на 0,18.
Значительные суммы дебиторской задолженности крайне отрицательно сказываются на платежеспособности предприятия и ликвидности баланса. Существование длительное время дебиторской задолженности, переходящей из года в год, свидетельствует о том, что предприятие живет в долг, т.е. за счет заемных или временно привлеченных средств. Вопросы взаимоотношений с дебиторами в форме безналичных расчетов должны особо рассматриваться на предприятии при осуществлении налогового планирования. Для построения системы управления дебиторской задолженностью на предприятии необходимы следующие условия:
установление наиболее благоприятного периода расчетов с партнерами;
сбор и анализ информации о кредитоспособности партнера;
установление формы контракта, предусматривающего возможность расчета с партнером в форме предоплаты;
определение предельной суммы сделки с целью максимизации дохода;
истребование дебиторской задолженности;
организация внутреннего контроля за управлением дебиторской задолженностью.
Управление дебиторской задолженностью определяется многими факторами:
вид продукции;
емкость рынка;
степень насыщенности рынка данной продукцией;
принятая на предприятии система расчетов.
Последний фактор особенно важен для финансового менеджера. В условиях нестабильной экономики преобладающей формой расчетов становится предоплата. Управление дебиторской задолженностью предполагает прежде всего контроль за оборачиваемостью средств в расчетах. Ускорение оборачиваемости в динамике рассматривается как положительная тенденция. Большое значение имеют отбор потенциальных заказчиков и определение условий оплаты услуг, предусматриваемых в контрактах. Оплата услуг постоянными клиентами обычно производится в кредит, причем условия кредита зависят от множества факторов.
В экономически развитых странах широко распространенной является схема "2 / 10 полная 30", означающая, что:
покупатель получает 2% скидку в случае оплаты полученного товара в течение 10 дней с начала периода кредитования (например, с момента получения товара);
покупатель оплачивает полную стоимость товара, если оплата совершается в период с 11 до 30 день кредитного периода,
в случае неуплаты в течение месяца покупатель будет вынужден дополнительно оплатить штраф, величина которого может варьировать в зависимости от момента оплаты.
Контроль за дебиторской задолженностью включает в себя ранжирование дебиторской задолженности по срокам ее возникновения. Наиболее распространенная классификация предусматривает следующую группировку (дней):
1 группа - 0-30 дней;
2 группа - 31-60 дней;
3 группа - 61-90 дней;
4 группа - 91-120 дней;
5 группа - свыше 120.
Возможны и иные группировки. Кроме того, необходим контроль безнадежных долгов с целью образования необходимого резерва.
Рассмотрим общую схему контроля и анализа дебиторской задолженности:
задается критический уровень дебиторской задолженности, все расчетные документы, относящиеся к задолженности, превышающей критический уровень, подвергаются проверке в обязательном порядке,
из оставшихся расчетных документов делается контрольная выборка.
Способы контрольной выборки при анализе дебиторской задолженности:
простейший является n-процентный тест (так, при n=10% проверяют каждый десятый документ, отбираемый по какому-либо признаку, например по времени возникновения обязательства);
проверяется реальность сумм дебиторской задолженности в отборных расчетных документах. В частности, могут направляться письма контрагентам с просьбой подтвердить реальность проставленной в документе или проходящей в учете суммы;
оценивается существенность выявленных ошибок. Например: национальными учетными стандартами Австралии отклонение между учетной и подтвержденной в результате контрольной проверки суммами в размере, превышающим 10%, признается существенным (материальным).
Если отклонение варьирует от 5 до 10%, решение о его существенности принимает аналитик по своему усмотрению. Отклонение, не превышающее 5%-ного уровня, признается несущественным. Иногда считают, что дебиторская задолженность может быть любой, лишь бы она не превышала кредиторскую, и что при анализе следует принимать во внимание только разность между ними. Это мнение глубоко ошибочное, т.к предприятие обязано погашать свою кредиторскую задолженность независимо от того, получает оно долги от своих дебиторов или нет.
В мировой учетно-аналитической практике сопоставление дебиторской и кредиторской задолженности обычный и весьма распространенный аналитический прием.
Особое внимание следует уделять анализу данных о резервах по сомнительным долгам и фактических потерях, связанных с непогашением дебиторской задолженности.
В нашей стране же еще не накоплен опыт в исчислении резерва по сомнительным долгам. В экономически развитых странах компании в процессе подготовки отчетности чаще всего начисляют резерв в процентах по отношению к общей сумме дебиторской задолженности, при этом вариация может быть весьма существенной.
Текущее управление занимает большую часть общего управленческого времени и персонала предприятия. Если для долгосрочного (стратегического) управления достаточно небольшого числа высококвалифицированных сотрудников, то для управления на рабочих местах необходимо большое число руководителей низшего звена - мастеров, начальников, которое осуществляют текущий контроль.
Таблица 18 - Планирование дебиторской задолженности.
|
Наименование |
Текущее планирование |
Контроль |
Принятие решений |
|
Дебиторская задолженность |
Планирование производства исходя из плана реализации |
Контроль за соблюдением размера, сроками возникновения |
Выбор метода уменьшения размера (факторинг, скидки) |
Функции, осуществляемые в ходе текущего управления, можно квалифицировать на:
текущее планирование хозяйственной деятельности;
контроль за выполнение текущих планов;
принятие отдельных краткосрочных решений.
Одной из основных задач текущего управления является дебиторская задолженность. Существующий порядок планирования дебиторской задолженности можно отразить в таблице, что позволит нам своевременно контролировать и принимать решения для недопущения образования просроченных долгов.
Целью управления дебиторской задолженности является ее минимизация. Предприятие не заинтересовано в росте дебиторской задолженности, т.к. она представляет собой отвлечение из оборота денежных средств. В идеале предприятие предпочло бы вообще не иметь дебиторов и осуществляет реализацию по предоплате, однако это недостижимо. Поэтому на практике предприятия стремятся удержать оборачиваемость задолженности в пределах, установленных в практике. Система управления дебиторской задолженностью предполагает применение досудебного урегулирования спорных вопросов, изложенного в Гражданском Кодексе Республики Казахстан. Если спор не решен в досудебном порядке, то необходимо предъявить иски, что является обязательным доказательством факта истребования дебиторской задолженности.
В результате изучения проблемы можно сделать вывод о том, что необходимо уделять особое внимание рассмотрение дебиторской задолженности на каждом предприятии, т.к ее доля в общей стоимости текущих активов является одним из основных показателей, характеризующих финансовую устойчивость и перспективность дела.
В качестве рекомендации АО "Би-Логистикс" советуем выбрать наиболее рациональные формы расчетов, которые сократят разрыв между временем получения покупателям ТМЗ и совершением платежа. А также наиболее употребительными способами воздействия на дебиторов является направление писем, телефонные звонки, персональные визиты, продажа задолженности специальным организациям. В зависимости от размера дебиторской задолженности, количества расчетных документов и дебиторов анализ ее уровня можно проводить как сплошным, так и выборочным методом.
Заключение
Изученный теоретический материал показал, что в обеспечении правильного кругооборота хозяйственных средств предприятий, его своевременного завершения большую роль играет избранная система расчетов. Рациональная их организация способствует своевременной реализации продукции и бесперебойному возобновлению кругооборота средств.
Платежная система представляет собой отношения, связанные с платежами и переводами денег, осуществляемыми между различными юридическими и физическими лицами-банками Республики Казахстан, организациями осуществляемыми отдельные виды банковских операций и иностранными банками.
Отношения, возникающие при осуществлении платежей и переводов денег в Республике Казахстан, регулируется законом Республики Казахстан "О платежах и переводах денег"
Согласно этому Закону на территории Республики Казахстан применяются следующие способы осуществления платежей и переводов денег:
с участием наличности;
без участия наличности.
Безналичные расчеты в зависимости от экономического содержания делятся на 2 группы:
по товарным операциям (около 75%)
по финансовым обязательствам (около 25%).
В настоящее время предприятия используют следующие формы безналичных платежей и переводов денег:
предъявление платежных поручений
предъявление платежных требований-поручений
оплата с аккредитивного счета
выдача чеков
выдача векселей
использование платежных карточек
инкассовое распоряжение.
Под дебиторской задолженностью понимаются обязательства покупателей или других контрагентов бизнеса перед компанией. Дебиторская задолженность представляет собой один из элементов финансовой отчетности, а именно активов.
В соответствии с "Концептуальной основой" для подготовки и предоставления финансовой отчетности активы субъекта является результатом прошлых сделок или других событий. Так, дебиторская задолженность связана с юридическими правами. В соответствии со Стандартом МСФО дебиторская задолженность подразделяется на краткосрочную, которая должна будет получена в течение 1 года от отчетной даты, и долгосрочную - свыше 1 года.
В соответствии с МСФО № 18 "Доход" дебиторская задолженность определяется как счета и векселя к получению, возникающие в результате реализации товаров и оказания услуг. Дебиторская задолженность включает в себя также арендные платежи, проценты и прочие суммы к получению, начисленные за отчетный период. Дебиторская задолженность признается только тогда, когда признается связанный с ней доход.
В Типовом плане счетов бухгалтерского учета финансово-хозяйственной деятельности субъектов для обобщения информации обо всех видах дебиторской задолженности предназначены счета 3 раздела "Дебиторская задолженность и другие активы". Возникновение дебиторской задолженности при системе безналичных расчетов представляет собой объективный процесс в хозяйственной деятельности компании.
Объектом исследования дипломной работы послужило АО "БИ-ЛОГИСТИКС".
Согласно Положению о Филиале АО "Би-Логистикс" по г. Астана основными видами деятельности являются:
разработка мер по повышению эффективного использования финансовых средств Общества;
осуществление в установленном законодательством порядке деятельности по учёту, хранению6 оценке и реализации имущества, обращенного (поступившего) в республиканскую собственность по отдельным основаниям, а также арестованного имущества, изъятого в судебном порядке, по решению Комитета по судебному администрированию при Верховном Суде Республики Казахстан;
осуществление хозяйственной деятельности и принятие иных мер по материально-техническому обеспечению юридических лиц по договору;
содержание зданий, объектов социально-бытового назначения и иного имущества юридических лиц по договору;
автотранспортные услуги, организация автостоянок, АЗС и станций технического обслуживания для судебных автомашин судебных органов, а также иного автотранспорта по договору;
издательские и полиграфические услуги;
оказание платных юридических услуг, не связанных с адвокатской деятельностью;
оценка движимого и недвижимого имущества как физических, так и юридических лиц;
изготовление штемпельной продукции;
переводческие услуги;
сервисные услуги оргтехники, услуги в области информации и программирования;
обеспечение безопасности судей, работников судебной системы, а также других лиц по договору;
иная деятельность, не запрещенная законодательством РК.
АО "БИ-ЛОГИСТИКС" осуществляет свою деятельность в соответствии с действующим законодательством РК в виде реализации арестованного имущества.
Для более полного ознакомления с предприятием был проведен анализ финансово-хозяйственной деятельности предприятия за последние два года.
Увеличение активов положительно характеризует работу предприятия, поскольку свидетельствует о его дальнейшем развитии, что и происходит в АО "БИ-ЛОГИСТИКС": стоимость имущества за анализируемый период увеличилась на 2,5 млн тенге. Увеличение стоимости имущества происходило за счет пополнения состава основных средств на 2,3 млн. тенге и увеличения дебиторской задолженности на 1,8 млн. тенге, при этом снизился размер денежных средств на 0,9 млн. тенге и уменьшилась стоимость производственных запасов на 0,8 млн. тенге.
За анализируемый период практически не изменился такой источник имущества, как уставный капитал, т.е.90 тыс. тг. Резервный капитал еще на предприятии не сформирован, поскольку предприятие только начало действовать в анализируемом периоде
К положительным изменениям в пассиве баланса можно отнести то, что за анализируемый период нераспределенный доход увеличивается и в абсолютном значении и темпе роста. Анализируя текущие обязательства, можно отметить, что АО "БИ-ЛОГИСТИКС" для развития деятельности пользуется краткосрочными кредитами. Изучая кредиторскую задолженность как источник формирования имущества можно сделать следующие выводы: за период она увеличилась и состояла из авансов, полученных и задолженности перед Накопительными пенсионными фондами. Увеличение задолженности по налогам связано с возникновением обязательств по НДС.
За анализируемый период показатели, характеризующие финансовые результаты деятельности предприятия увеличиваются. Так доход от основной деятельности увеличился в 10,5 раз. Аналогично возросла и себестоимость реализованной продукции. Следует отметить, что себестоимость реализованной продукции увеличилась большими темпами по сравнению с выручкой за реализованную продукцию, что нежелательно. В связи с ростом предыдущих показателей увеличивается и валовой доход. Расходы периода, подлежащие вычету из валового дохода, за полугодие снизились на 3,3 тыс. тенге, что положительно характеризуется для предприятия.
Доход за вычетом расходов периода увеличился почти в 13,6 раз, что также является положительным моментом в развитии предприятия.
В итоге, чистый доход за данный период увеличился почти в 29 раз, что для предприятия характеризуется положительно.
В целом, такую ситуацию можно определить следующим образом: финансовая устойчивость предприятия повышается, улучшается, т.к доля собственного капитала в общей структуре источников имущества увеличивается, что характеризуется для предприятия положительно, т.к ведь чем больше у предприятия собственных средств, тем легче обеспечить бесперебойную работу и справиться с условиями рынка. Поэтому необходимо и дальше наращивать сумму собственного капитала путем создания различного рода резервных фондов и прямого зачисления в уставный капитал нераспределенного дохода. АО "БИ-ЛОГИСТИКС" имеет тенденцию к расширению деятельности, увеличению объемов продаж и финансовых результатов, что является положительным фактором для предприятия.
В качестве рекомендации предприятию советуем выбрать наиболее рациональные формы расчетов, которые сократят разрыв между временем получения покупателям ТМЗ и совершением платежа. А также наиболее употребительными способами воздействия на дебиторов является направление писем, телефонные звонки, персональные визиты, продажа задолженности специальным организациям. В зависимости от размера дебиторской задолженности, количества расчетных документов и дебиторов анализ ее уровня можно проводить как сплошным, так и выборочным методом.
В Республике Казахстан активно развивается внутренний факторинг. В наших экономических условиях факторинг может завоевать большую популярность, обеспечив интенсивный рост компании при существенной нехватке оборотных средств и денежных ресурсов для дальнейшего развития. Предприятие, получив деньги от кредитного учреждения, возвращать их не должно - это сделает покупатель продукции. Факторинг представляет собой инкассирование дебиторской задолженности покупателя и является специфической разновидностью краткосрочного кредитования и посреднической деятельности. Факторинг включает в себя:
взыскание (инкассирование) дебиторской задолженности покупателя;
предоставление продавцу краткосрочного кредита;
освобождение продавца от кредитных рисков по операциям.
Основной целью факторинга является получение средств немедленно или в срок, определенный договором. В результате продавец не зависит от платежеспособности покупателя. Факторинг - это не кредит. Здесь нет долговременных и дорогостоящих процедур, связанных с получением кредита и оформлением залога, нет долговых платежей, нет фиксированного срока, нет залога. Факторинг помогает нам использовать наши собственные долговые активы для получения денег, необходимых для предприятия сегодня. Факторинговые операции регламентируются главой 37 Особенной части Гражданского кодекса РК и Налоговым кодексом РК "Финансирование под уступку денежного требования (факторинг)".
В ходе факторингового обслуживания может быть профинансирована поставка на любую, даже самую незначительную сумму. Так как факторинг является долгосрочной программой финансирования оборотного капитала, договор факторингового обслуживания заключается на неопределенный срок и действует до тех пор, пока обе стороны удовлетворены взаимным сотрудничеством.
АО "БИ-ЛОГИСТИКС" предлагается воспользоваться услугами факторингового отдела банка, так как оно является выгодным. Предлагаем несколько преимуществ факторингового финансирования:
факторинговое финансирование выплачивается в день оказания услуг;
оно не требует никакого обеспечения;
оно погашается из денег, выплачиваемых дебиторами клиента.
Факторинг необходим АО "БИ-ЛОГИСТИКС", так как оно в будущем планирует увеличить объем оказываемых услуг, а факторинг обеспечивает значительными оборотными средствами. Современный факторинг может выступать как средство защиты от потерь, связанных с "плохими долгами", не допускать рост таких долгов выше допустимого уровня.
Список использованной литературы
Закон Республики Казахстан "О бухгалтерском учете и финансовой отчетности" от 26 декабря 1995 года за № 2732 (с изменениями и дополнениями на 24.06. 2006г).
Методические рекомендации по применению международного стандарта бухгалтерского учета 1. Рекомендовано к применению Экспертным Советом Министерства финансов Республики Казахстан по вопросам бухгалтерского учета и аудита согласно Протоколу от "28" декабря 2007 года № 5
Приказом Департамента по методологии бухгалтерского учета и аудита МФ от 31 декабря 1997 г. № 455 утвержден стандарт бухгалтерского учета "Организация бухгалтерской службы", который вступил в силу с 1 января 1999 г.
Стандарты бухгалтерского учета. Национальная комиссия РК. Алматы - 2002.
Стандарты аудита. Департамент методологии бухгалтерского учета и аудита Министерства финансов РК. Алматы - 2006.
Ажибаева З.Н., Сейдахметова Ф.С. Учет и анализ дебиторской задолженности. // Библиотека бухгалтера и предпринимателя, 2001 г, №1, с.12
Белявская Е.Ю. Реализация права требования по обязательствам должника при взыскании дебиторской задолженности // Бухгалтерский учет, №92001 г., с.14
Бухгалтеру об аудите // Библиотека бухгалтера и предпринимателя. 2002, №5, с.23
Дюсембаев К.Ш. Аудит и анализ в системе управления финансами. Алматы: Жеті Жаргы, 2001 г., с.412
И. Дюсембаев К.Ш. Теория аудита / Под ред. В.К. Радостовца / Учебник Алматы: Экономика, 1995г., с.123
Изотов К.Д. Обработка учетной информации в США. М.: Экономика, 1968г., с.457
Ковалев А.И., Привалов В.П. Анализ финансового состояния предприятия. М.: Экономика, 2001 г., с.241
Концептуальная основа для подготовки и представления финансовых отчетов. Стандарты бухгалтерского учета. Алматы: Жеті Жаргы, 2000 г., с.114-124
Коржегулова А.А. Организация бухгалтерского и налогового учета основных средств. Дис. к. э. н. 2001 г., с.58-65
Маркарян Э.А., Герасименко Г.П. Финансовый анализ. М.: Экономика, 1997г., с.45
Назарбаев Н.А. Казахстан - 2030. А.: Жеті Жаргы, 1998г., с.24-265
Нидлз Б. И др. Принципы бухгалтерского учета. М.: Финансы и статистика, 1997 г., с. И 0-123
Нургазиева Л.А. Бухгалтерский учет, аудит и анализ внешнеэкономической деятельности промышленных предприятий. Алматы: Жеті Жаргы, 1997 г., с.152
Пипко В.А., Булавина Л.Н. Настольная книга бухгалтера и аудитора. - М.: Просвещение, 2000 г., с.140-152
Радостовец В.В. Сквозной пример по бухгалтерскому и налоговому учету. А.: Жеті Жаргы, 2001 г., с.12-23
Радостовец В.К. Финансовый и управленческий учет на предприятии - А.: Жеті Жаргы, 1997г., с.147
Сабирова Г.В. Учет резерва по сомнительным долгам. // Бюллетень бухгалтера №12 2001 г., с.27-29
Савицкая Г.В. Анализ хозяйственной деятельности предприятия: 2-ое издание перераб. и доп. - Мн.: ИП "Экоперспектива", 1997 г., с.21 -
Сейдахметова Ф.С. Международные стандарты бухгалтерского учета. А.: Жеті Жаргы, 2002 г., с.24-68.
Сейдахметова Ф.С. Бухгалтерский учет в современных условиях. А.: Жеті Жаргы, 2002г., с.27-37
Торшаева Ш.М. Основы аудита. Караганда: Экспресс, 2001г.
Тулегенов Э.Т. Бухгалтерские информационные системы. А.: Жеті Жаргы, 2001г., с.24-30
Учет и аудит Казахстана / Научно-практический журнал, 2001, №3, с.224
Уфимова Р.Г. Учетная политика, основные средства // Финансы Казахстана, 2001, №2, с.24
Хендриксен Э.С., Ван Бреда М.Ф. Теория бухгалтерского учета. М.: Парма, 1997г., с.452 32.
Ян Р.Т. Бухгалтерский учет. М.: Просвещение, 1999г., с.214-235.
Приложения
Приложение А
Анализ состава и структуры источников
средств АО "Би-Логистикс" за
2006-2008 годы
(тыс.
тенге)
|
Источники средств |
2006 год |
2007 год |
2008 год |
Изменение |
||||
|
тыс. тнг |
% к итогу |
тыс. тнг |
% к итогу |
тыс. тнг |
% к итогу |
2006 / 2007 |
2007 / 2006 |
|
|
Собственные средства В том числе: Уставной капитал Нераспределенный доход Непокрытый убыток Заемные средства: В том числе: Долгосрочные кредиты Долгосрочные займы Кредиторская задолженность ВСЕГО |
252776 66 252710 72512 7640 64872 325288 |
77,7 0,02 77,68 22,3 2,3 20,0 100 |
370075 66 370009 11665 6000 5665 381740 |
96,9 0,02 96,88 3,1 1,6 1,5 100 |
370424 66 370358 28804 3660 25144 399228 |
92,8 0,02 92,78 7,2 0,9 6,3 100 |
117299 117299 60847 1640 59207 56452 |
349 349 17139 2340 19479 17488 |
Приложение Б





















Приложение В
Бухгалтерский баланс АО "Би-Логистикс" за 2008 год


Приложение В
Отчёт о прибылях и убытках АО "Би-Логистикс"

Приложение Г
Отчет о движении денежных средств АО "Би-Логистикс"

Приложение Д
Отчёт об изменениях в собственном капитале АО "Би-Логистикс"

Продолжение приложения Д

2006
2008
2008