Аудит расчетно-кассовых операций кредитной организации ОАО "Новосибирский Муниципальный Банк"
АННОТАЦИЯ
В данной дипломной работе проведен аудит расчетно-кассовых операций кредитной организации ОАО «Новосибирский Муниципальный Банк».
Дипломная работа состоит из трех глав, введения и заключения. В первой главе дипломной работы рассматриваются теоретические и правовые аспекты выполнения расчетно-кассовых операций кредитными организациями, во второй главе рассмотрены правовые и организационно-методические аспекты аудита расчетно-кассовых операций кредитных организаций. Третья глава посвящена практической реализации отдельных элементов аудиторской проверки расчетно-кассовых операций ОАО «Новосибирский Муниципальный Банк».
Дипломная работа изложена на 87 страницах, содержит 7 таблиц и две иллюстрации. Список использованных источников включает 36 наименований.
ВВЕДЕНИЕ
Постоянно совершающийся кругооборот хозяйственных средств вызывает непрерывное возобновление многообразных расчётов. Расчеты могут быть как внешними, так и внутренними, а организации могут выступать как продавцами, так и покупателями. Наиболее распространёнными видами внешних расчётов являются: расчёты с поставщиками и подрядчиками за сырьё, материалы, товары, расчеты с покупателями и заказчиками. Расчеты осуществляются в денежной форме. Денежные средства – это финансовые ресурсы организации, самые высоколиквидные активы. От их наличия зависит своевременность погашения кредиторской задолженности предприятия. Между организациями большинство расчетов производится безналичным путем. Безналичные расчеты ведутся путем перечисления денежных средств со счета плательщика на счет получателя с помощью различных банковских операций, замещающих наличные деньги в обороте. Поэтому большое значение имеет учет денежных средств и контроль за их обращением на расчетных и валютных счетах в банках. В условиях рыночной экономики следует исходить из принципа, что умелое использование денежных средств может приносить предприятию дополнительный доход, и следовательно, необходимо постоянно думать о рациональном вложении временно свободных денежных средств для получения дополнительной прибыли.
Привлечение юридических и физических лиц на расчетно-кассовое обслуживание связано с тем, что деньги, находящиеся на банковском счете, представляют собой привлеченные средства банка, в соответствии с объемом которых строится его деятельность.
Выбор клиентом банка для расчетно-кассового обслуживания обязывает и банк к обеспечению высокого качества оказания расчетных услуг, которые должны выполняться своевременно, экономично и надежно. Поскольку контакты с банком по расчетно-кассовому обслуживанию регулярны, то в зависимости от качества работы банка клиенты принимают решение о целесообразности дальнейшего сотрудничества с банком, о степени обоснованности установленных банком тарифов на расчетно-кассовые услуги. Организация расчетно-кассового обслуживания является "визитной карточкой" любого банка. Этим и обусловлена актуальность выбранной темы выпускной квалификационной работы.
Целью аудита расчетно-кассовых операций является проверка соблюдения банком требований законодательства в части совершения и отражения в учете расчетно-кассовых операции, выявления недостатков в организации и ведении расчетно-кассовой работы.
Целью работы является изучение теоретических и практических основ аудита расчетно-кассовых операций кредитных организаций.
Реализация данной цели потребовала рассмотрения ряда конкретных задач:
изучение теоретических основ организации расчетно – кассового обслуживания;
проведения аудита расчетно-касовых операций банков;
обобщение правовых аспектов аудита расчетно-кассовых операций;
выявление методических аспектов расчетно-кассовых операций;
описание организационно-методических аспектов расчетно-кассовых операций;
описание правовых аспектов расчетно-кассовых операций;
практическая реализация отдельных элементов аудита расчетно-кассовых операций в кредитной организации на примере ОАО «Новосибирский Муниципальный Банк»;
Объектом дипломной работы в широком смысле слова являются расчетно-кассовые операции кредитной организации.
Объектом дипломной работы в узком смысле слова является аудит расчетно-кассовых операций ОАО «Новосибирский Муниципальный Банк».
Предметом дипломной работы является аудит расчетно-кассовых операций кредитной организации.
В качестве теоретической и методической основ дипломной работы выступили труды российских ученых по банковскому делу и аудиту, а именно: Абрамовой Н. Ю., Белоглазовой Г.Н., Кроливецкой Л.П., Лебедевой Е.А., Банка В.Р., Банка С.В., Климовича В.П. и других.
Информационной базой дипломной работы являются законодательные и нормативные акты, данные бухгалтерской и статистической отчетности.
1. ТЕОРЕТИЧЕСКИЕ И ПРАВОВЫЕ АСПЕКТЫ ВЫПОЛНЕНИЯ РАСЧЕТНО-КАССОВЫХ ОПЕРАЦИЙ КРЕДИТНЫМИ ОРГАНИЗАЦИЯМИ
1.1 Теоретические и правовые аспекты кассовых операций кредитной организации
Кассовое обслуживание клиентов – комплекс услуг, предоставляемых юридическим и физическим лицам по операциям с денежной наличностью в национальной и иностранной валюте, другими ценностями и платежными документами.
Целью аудита кассовых операций является проверка соблюдения банком требований законодательства в части совершения и отражения в учете кассовых операции, выявления недостатков в организации и ведении кассовой работы. [23, C. 72]
В соответствии с Положением «О порядке ведения кассовых операций в кредитных организациях на территории Российской Федерации» № 199-П для осуществления кассового обслуживания физических и юридических лиц, а также для выполнения операций с наличными деньгами и другими ценностями кредитные организации в зданиях, принадлежащих или арендуемых ими, создают оборудованные и технически укрепленные помещения. [9]
Необходимость создания помещений для совершения операций с ценностями определяется руководителем кредитной организации исходя из выполняемых операций с ценностями.
Для обеспечения своевременной выдачи наличных денег с банковских счетов организаций, предприятий, учреждений независимо от организационно-правовой формы и физических лиц, осуществляющих предпринимательскую деятельность без образования юридического лица, а также со счетов по вкладам граждан кредитным организациям устанавливается сумма минимально допустимого остатка наличных денег в операционной кассе на конец дня. Фактический остаток денег в кассе не должен быть ниже установленного.
Минимальный остаток наличных денег в операционной кассе устанавливается учреждением Банка России исходя из объема оборота наличных денег, проходящих через кассу, графика поступления денежной наличности от клиентов, порядка ее обработки и других особенностей организации наличного денежного оборота и кассовой работы.
В целях улучшения кассового обслуживания населения кредитная организация может открывать операционные кассы вне кассового узла для совершения операций по приему и выдаче вкладов (в рублях и иностранной валюте), продаже и покупке ценных бумаг, приему коммунальных и других платежей от физических лиц.
Операционные кассы вне кассового узла, расположенные в организациях, производят, кроме вышеперечисленных операций, выдачу средств на заработную плату и выплаты социального характера, а также на командировочные расходы рабочим и служащим.
Операционные кассы вне кассового узла кредитной организации выполняют только те из числа перечисленных выше операций, на совершение которых у кредитной организации имеется лицензия, а у филиала - доверенность.
Для приема и выдачи денежной наличности кредитная организация может устанавливать банкоматы, автоматы для хранения, приема и выдачи денежной наличности с использованием персонального компьютера, установленного на рабочем месте кассира (далее по тексту - электронные кассиры), терминалы, функционирующие в автоматическом режиме и предназначенные для приема денежной наличности от клиентов и ее хранения, и другие программно-технические комплексы. [9]
Кредитная организация может застраховать денежную наличность операционной кассы, находящуюся в хранилищах ценностей самой кредитной организации и ее внутренних структурных подразделениях, программно-технических комплексах, а также жизнь кассовых работников, осуществляющих операции с денежной наличностью (ценностями).
В случае если денежная наличность кредитной организации застрахована на сумму не менее суммы установленного ей минимально допустимого остатка наличных денег в операционной кассе, требования к технической укрепленности помещений для совершения операций с ценностями и программно-техническим комплексам определяются кредитной организацией по согласованию с организацией, осуществляющей страховую деятельность в соответствии с законодательством Российской Федерации и заключившей с кредитной организацией договор страхования.
Кредитная организация осуществляет инкассацию и доставку собственных наличных денежных средств и ценностей, а также наличных денежных средств и ценностей, принадлежащих клиентам, самостоятельно либо на договорных условиях через другие кредитные организации, осуществляющие операции по инкассации, а также Российское объединение инкассации. [20, c. 115]
Руководитель подразделения инкассации совместно с должностным лицом из числа руководящего состава, назначенным приказом по кредитной организации, несут личную ответственность за организацию доставки ценностей, создание условий, обеспечивающих сохранность перевозимых ценностей и безопасность бригады инкассаторов.
Выдача наличных денег из касс кредитной организации производится в упаковке предприятий - изготовителей банкнот и монеты Банка России, учреждений Банка России или кредитных организаций.
Операции по выдаче и приему денежной наличности с использованием банковских карт осуществляются с соблюдением требований нормативных актов Банка России, регулирующих указанные вопросы.
Для комплексного кассового обслуживания физических и юридических лиц и обработки денежной наличности кредитная организация создает кассовое подразделение, состоящее из приходных, расходных, приходно-расходных, вечерних касс, касс пересчета и других. Целесообразность создания тех или иных касс, их количество и численность кассовых работников, а также необходимость установки банкоматов, электронных кассиров, автоматических сейфов определяются руководителем кредитной организации.
Кассовое подразделение возглавляется заведующим кассой, заведующим хранилищем ценностей, главным, старшим кассиром или другим кассовым работником кредитной организации, с которым заключается договор о полной материальной ответственности.
Руководитель, главный бухгалтер и заведующий кассой кредитной организации обеспечивают сохранность денежных средств и ценностей, осуществляют контроль за своевременным оприходованием денег, поступивших в кассы кредитной организации, организуют четкое кассовое обслуживание своих клиентов и несут ответственность в соответствии с действующим законодательством за обеспечение соблюдения законодательных актов Российской Федерации и нормативных актов Банка России.
В соответствии с письменным распоряжением руководителя кредитной организации ответственность за сохранность ценностей в хранилище может быть возложена на заместителей руководителя и главного бухгалтера кредитной организации или при наличии в кредитной организации подразделений, осуществляющих расчетно-кассовое обслуживание клиентов, - на должностных лиц этих подразделений, а также заведующего кассой.
Отражение операций, совершенных кредитной организацией и ее структурными подразделениями, по соответствующим счетам баланса осуществляется в соответствии с требованиями бухгалтерского учета в кредитных организациях в Российской Федерации.
Непосредственное выполнение операций с наличными деньгами осуществляют кассовые и инкассаторские работники кредитной организации. Операции, выполняемые указанными работниками, определяются функциональными обязанностями, возложенными на них письменным распоряжением руководителя кредитной организации.
С каждым кассовым и инкассаторским работником, выполняющим операции с наличными деньгами и другими ценностями, заключается договор о полной материальной ответственности.
По решению руководителя кредитной организации операции с ценностями могут осуществляться группами материально ответственных лиц, с которыми заключаются договоры о коллективной (бригадной) материальной ответственности. [23, c. 45]
Кассовые и инкассаторские работники несут полную материальную ответственность за сохранность вверенных им ценностей в соответствии с действующим законодательством Российской Федерации.
Кассовым работникам запрещается:
- передоверять выполнение порученной работы с ценностями другим лицам, а также выполнять работу, не входящую в круг их обязанностей, установленных положением и закрепленных приказом руководителя кредитной организации;
- выполнять поручения организаций по проведению операций с денежной наличностью по их счетам в кредитной организации, принимая объявления на взнос наличными или денежные чеки, минуя операционных работников;
- хранить свои деньги и другие ценности вместе с деньгами и ценностями кредитной организации.
Для хранения наличных денег и других ценностей в течение рабочего дня кассовые работники кредитной организации обеспечиваются металлическими шкафами, сейфами, тележками закрытого типа, специальными столами, имеющими индивидуальные секреты замков.
Операции по обработке денежной наличности выполняются с использованием средств механизации и автоматизации кассовых операций.
Оформление приходных и расходных кассовых документов (за исключением денежного чека), ведение кассовых журналов по приходу и расходу, заполнение кассовыми работниками справок и других документов о проведенных операциях за день могут производиться с применением компьютерного оборудования.
Книги учета денежной наличности и других ценностей, книги учета принятых и выданных денег (ценностей) также могут вестись с использованием компьютерного оборудования и соответствующего программного обеспечения, предусматривающего невозможность изменения одним работником данных, ранее внесенных другими работниками в вышеуказанные книги в электронной форме. Листы книг за каждый день распечатываются на бумажном носителе и подшиваются в отдельное дело. По окончании календарного года (или по мере необходимости) листы книг брошюруются в хронологическом порядке, общее количество листов подписывается руководителем, главным бухгалтером, заведующим кассой и заверяется печатью кредитной организации. [9]
Кассовые работники приходных и расходных касс снабжаются образцами подписей операционных работников, уполномоченных подписывать приходные и расходные документы, а операционные работники, связанные с оформлением приходно-расходных кассовых документов, - образцами подписей кассовых работников указанных касс. Образцы заверяются подписями руководителя и главного бухгалтера и скрепляются печатью кредитной организации.
Передача приходных и расходных документов между кассовыми и операционными работниками кредитной организации производится внутренним порядком.
Все работники кредитной организации, которым поручается работа с ценностями, обязаны знать и строго соблюдать установленный положением порядок ведения кассовых операций в кредитных организациях.
Допуск неподготовленных работников к совершению операций с ценностями запрещается.
Незнание кассовыми и инкассаторскими работниками требований положения № 199-П не может служить основанием для освобождения их от ответственности в случае допущения ими каких-либо нарушений.
Таким образом, для осуществления кассового обслуживания физических и юридических лиц и обработки денежной наличности в банке создается кассовое подразделение, состоящее из приходных, расходных, приходно-расходных, вечерних касс, касс пересчета и других касс. Кассовое подразделение возглавляется заведующим кассой, заведующим хранилищем ценностей, главным, старшим кассиром или другим кассовым работником, с которым заключается договор о полной индивидуальной материальной ответственности. Непосредственное выполнение операций с наличными деньгами осуществляют кассовые и инкассаторские работники. [26, c 120]
При проведении аудита кассовых операций кредитных организации следует руководствоваться следующими нормативными актами: Федеральным законом «О Центральном банке Российской Федерации (Банке России)»; положениями ЦБ РФ «О порядке ведения кассовых операций в кредитных организациях на территории Российской Федерации»; «О правилах ведения бухгалтерского учета в кредитных организациях, расположенных на территории Российской Федерации»; «О правилах организации наличного денежного обращения на территории Российской Федерации»; Указанием ЦБ РФ «О совершении операций с наличной иностранной валютой в операционных кассах уполномоченных банков»; письмом ЦБ РФ «Об организации работы операционных касс кредитной организации (филиала), совершающих операции с наличной иностранной валютой».
Для осуществления аудита кассовых операций могут быть использованы: Инструкция ЦБ РФ «О порядке проведения проверок кредитных организаций (их филиалов) уполномоченными представителями Центрального банка Российской Федерации»; Методические рекомендации ЦБ РФ по проверке кассовой работы кредитной организации.
Денежная наличность сдается предприятиями непосредственно в кассы учреждений банков или через объединенные кассы при предприятиях, а также предприятиям Государственного комитета Российской Федерации по связи и информатизации (Госкомсвязи России) для перевода на соответствующие счета в учреждения банков. Наличные деньги могут сдаваться предприятиями на договорных условиях через инкассаторские службы учреждений банков или специализированные инкассаторские службы, имеющие лицензию Банка России на осуществление соответствующих операций по инкассации денежных средств и других ценностей. [12]
Пунктом 2.7.1 Положения № 199-П установлено, что по усмотрению руководителя кредитной организации рублевая денежная наличность и иностранная валюта по окончании работы операционной кассы вне кассового узла либо ежедневно инкассируются кредитной организацией (сдаются кассовым работником операционной кассы вне кассового узла), либо хранятся в сейфе, который закрывается кассовым работником и сдается под охрану в порядке, установленном договором на охрану или приказом руководителя кредитной организации.
При этом согласно пункту 6.3.16 Положения № 199-П, инкассация денежной наличности и других ценностей из филиалов, операционных касс вне кассового узла кредитной организации осуществляется на основании препроводительных ведомостей или по описи. Опись составляется заведующим кассой филиала, кассовым работником операционной кассы вне кассового узла. Первый экземпляр описи вкладывается в сумку с ценностями. Также при инкассации операционной кассы вне кассового узла в сумку вместе с описью вкладывается сводная справка о кассовых оборотах. [9]
При сдаче денежной наличности в кассу непосредственно кассиром операционной кассы операция оформляется кассовыми ордерами.
Пункт 6.1.5 Положения № 199-П предусматривает составление описей только в случае отправки ценностей через инкассаторов.
Согласно пунктам 2.7.4 и 2.7.5 Положения № 199-П в конце операционного дня кассовый работник операционной кассы вне кассового узла сверяет имеющийся у него остаток денежной наличности с суммами, указанными в приходных и расходных кассовых документах по произведенным операциям, и авансом, составляет сводную справку о кассовых оборотах и сдает денежную наличность заведующему кассой кредитной организации на основании приходных кассовых ордеров. Составления описи или препроводительной ведомости на сдаваемые ценности в данном случае не требуется.
Однако в большинстве случаев подкрепление и инкассация денежной наличности и других ценностей из операционных касс вне кассового узла банка производятся аппаратом инкассации в целях обеспечения безопасности перевозимых ценностей.
При доставке и инкассации денежной наличности и других ценностей операционной кассы через инкассаторов на рублевую денежную наличность, иностранную валюту и ценности составляются отдельные описи, которые подписываются заведующим кассой кредитной организации, его подпись скрепляется печатью. В описях указываются: на рублевую денежную наличность - достоинство банкнот (монеты), сумма по каждому достоинству и общая сумма денег; на иностранную валюту и платежные документы в иностранной валюте - наименование (код) валюты, сумма номиналов по каждому виду наличной иностранной валюты, сумма рублевого эквивалента, определяемая по курсу Банка России на дату отправления валюты, и общая сумма в рублях; на ценности - вид, наименование ценностей, их номинальная или условная оценка, общая сумма вложения. Описи составляются в трех экземплярах.
Лицевая сторона дает следующую информацию: дату, месяц и год инкассации; откуда направлены валютные ценности; документы, вложенные в инкассаторскую сумку (использованные и неиспользованные бланки строгой отчетности); кем сформирована и сдана инкассаторская сумка; кем из инкассаторов принята сумка; кем приняты валютные и другие ценности кредитной организации; форму акта при расхождении фактической суммы вложенных валютных ценностей, документов с записью в препроводительных документах.
В частности, форма акта в этом документе больше соответствует требованиям к осуществлению валютных операций, чем форма сопроводительных документов к сумке с валютными ценностями, предлагаемая Положением № 199-П. [9]
На оборотной стороне документа имеется опись валютных и других ценностей, вложенных в сумку для направления в кассу банка.
Информационной базой для осуществления аудиторской проверки служат: приказы и распоряжения руководителя банка о назначении должностных лиц, ответственных за сохранность денежных средств и ценностей; договоры о полной индивидуальной материальной ответственности; договоры о коллективной (бригадной) материальной ответственности; положение о кассовом подразделении банка; заключение территориального учреждения ЦБ РФ по технической укрепленности кассового узла банка (его филиалов); письма территориального учреждения ЦБ РФ об установлении минимального остатка наличных денег в операционной кассе; книга учета принятых и выданных денег (ценностей); книга учета денежной наличности и других ценностей; кассовые журналы по приходу и расходу; кассовые документы дня; образцы подписей операционных работников банка; карточки образцов подписей должностных лиц клиентов; справки о сумме принятых денег и количестве поступивших в кассу денежных документов; журнал учета принятых сумок с ценностями и порожних сумок; справки о принятых сумках с денежной наличностью и порожних сумках; акты ревизий кассы (внезапные и при смене материально ответственных лиц) и другие документы по кассовым операциям.
Проверка кассовых документов осуществляется, как правило, выборочно, т. е. проверяются кассовые документы за выбранные дни.
1.2 Теоретические и правовые аспекты расчетных операций кредитной организации
Расчетные (текущие) счета - счета в банках, открытые на основании договора банковского счета, на которые зачисляются и с которых могут расходоваться денежные средства организаций; индивидуальных предпринимателей и физических лиц.
Законодательством РФ в целях укрепления платежной дисциплины установлен достаточно жесткий порядок открытия и ведения расчетных (текущих) счетов клиентов.
Расчетно-кассовые операции - ведение счетов юридических и физических лиц и осуществление расчетов по их поручению. Учитывая, что для юридических лиц в нашей стране хранение средств в коммерческих банках является обязательным, функция расчетно-кассового обслуживания является одной из приоритетных в деятельности коммерческого банка.- Коммерческий банк заинтересован в привлечении юридических лиц на расчетно-кассовое обслуживание. Это связано с тем, что деньги, находящиеся на банковском счете, представляют собой привлеченные средства коммерческого банка, в соответствии с объемом которых строится его предпринимательская деятельность. [27, C. 33]
Вместе с тем выбор клиентом коммерческого банка для расчетно-кассового обслуживания обязывает и коммерческий банк к обеспечению высокого качества оказания расчетных услуг, которые должны выполняться своевременно, экономично, надежно. Поскольку контакты с банком по расчетно-кассовому обслуживанию регулярны, то в зависимости от качества работы банка клиенты принимают решение о целесообразности дальнейшего сотрудничества с банком, о формах такого сотрудничества, о степени обоснованности установленных банком тарифов на расчетно-кассовые услуги. Именно поэтому организация расчетно-кассового обслуживания является «визитной карточкой» любого банка.
После открытия клиентом счета в коммерческом банке банк предоставляет набор услуг, связанных с: открытием и ведением расчетного, текущего и других счетов клиента; организацией и проведением безналичных расчетов; выполнением операций с наличными деньгами.
Порядок открытия и круг операций, осуществляемых с расчетного или текущего счета, регламентируется Центральным банком России, а механизм функционирования соответствующего счета (возможность овердрафта и т.д.) определяется коммерческим банком по согласованию с конкретным клиентом и закрепляется договором по расчетно-кассовому обслуживанию.
В соответствии с договором банк принимает на себя ряд обязательств: проводить по счету клиента в пределах своей компетенции все виды банковских операций, предусмотренных действующим законодательством; обеспечивать сохранность всех денежных средств, поступивших на счет клиента; проводить операции по списанию средств со счета клиента по безналичным расчетам по его поручению; обеспечивать конфиденциальность информации о хозяйственной деятельности клиента и операциях, проводимых по его счету; выдавать клиенту выписки с его счета. [19,C . 130]
Расчетный, текущий или любой другой счет может открываться клиенту как за отдельную плату, так и бесплатно. За услуги по расчетному обслуживанию банк взимает с клиента плату в размере установленного договором фиксированного процента от суммы совершаемого платежа. Открытие расчетного счета в банке бесплатно предполагает, что последний сможет предоставлять клиенту широкий набор и других, платных, услуг, что компенсирует затраты на бесплатное проведение операций по расчетному счету.
Согласно российскому законодательству (Закон РФ «О банках и банковской деятельности» (ст. 30)), клиент имеет право на свободный выбор банка для расчетно-кассового обслуживания и может открывать столько счетов, сколько ему необходимо. [3]
На основании договора открываются: расчетные счета: коммерческим организациям и гражданам, имеющим статус предпринимателя; текущие счета: бюджетным организациям и, как правило, филиалам, представительствам, отделениям и другим обособленным подразделениям юридических лиц на основании их ходатайства и с указанием, какого рода операции будут производиться по этим счетам.
Расчетный счет - счет для осуществления предпринимательской деятельности, который открывается предприятиям, работающим на принципах коммерческого расчета и имеющим статус юридического лица. По этому счету осуществляются все операции, связанные с реализацией товаров и услуг, обеспечением их производства, производственными и иными расходами. На этот счет зачисляется выручка. С этого счета списываются деньги для выдачи заработной платы, оплаты стоимости приобретаемых комплектующих и др., уплачиваются налоги. Этот счет позволяет совершать практически любые операции, поскольку владелец сам определяет направления использования средств, время и размеры производимых операций в соответствии с действующим законодательством.
Кроме того, выделяют следующие разновидности расчетного счета: счет для осуществления совместной деятельности; счет для выполнения работ по соглашениям о разделе продукции. Особенностью счета для осуществления совместной деятельности является множественный состав его владельцев; конкретное содержание счета определяется договором о простом товариществе. Счетом может распоряжаться один из участников договора, все участники в равной степени или все совместно. Совместное распоряжение счетом не распространено, поскольку предполагает получение согласия всех владельцев по каждому отдельному платежу. По счету осуществляются все операции, связанные с осуществлением совместной деятельности. Счет открывается и закрывается в соответствии с договором.
Счет для выполнения работ по соглашениям о разделе продукции открывается в отечественных и зарубежных банках в соответствии с Законом РФ «О соглашениях о разделе продукции» от 30.12.95 г. (ст. 15); особенностью этого счета является использование его исключительно для выполнения указанных работ. Этот счет открывается в рублях и в иностранной валюте. Для иностранных инвесторов предусматривается специальный порядок открытия и режим обслуживания счета, который по своей природе отнесен к валютным операциям. [8]
По счету для выполнения работ по соглашениям о разделе продукции осуществляются операции по зачислению и хранению выручки, выплате налога на прибыль, платежам за пользование недрами. Остаток средств инвестор использует свободно по своему усмотрению. Если выручка получена в валюте, то правило об обязательной продаже и зачислении рублевого эквивалента на счет в случае использования счета для выполнения работ по соглашениям о разделе продукции не действует.- Текущий счет - это счет для финансирования некоммерческих юридических лиц, представительств, структурных подразделений, не осуществляющих предпринимательской деятельности. Текущий счет предназначен для хранения денег, целевого финансирования его владельца, а также расчетных операций.
По сравнению с владельцем расчетного счета самостоятельность владельца текущего счета существенно ограничена, поскольку он распоряжается средствами на текущем счете в строгом соответствии со сметой, утвержденной вышестоящей организацией.
По текущим счетам допускается совершение операций расчетного счета. Так, зрелищным предприятиям по месту гастролей открываются текущие счета, на которые зачисляется выручка.
Разновидностями текущего счета являются: бюджетные счета, инвестиционные и конверсионные счета.
Бюджетные счета - это счета, открываемые предприятиям и организациям при выделении им денежных средств из федерального, регионального или местного бюджетов для осуществления определенных видов деятельности. Формой предоставления денежных средств могут быть субсидии, субвенции, дотации или иные виды государственных ассигнований и финансирования, если оно не осуществляется путем зачисления денег на текущий или расчетный счет.
Особенностью этого вида счета являются два признака: целевое назначение зачисляемых денег, контролировать которые по общему правилу должен собственник денег или лицо (орган), которому это поручено, хотя нередко такой контроль незаконно возлагают на банки; ограниченный срок существования счета, составляющий один год, поскольку бюджет в России утверждается ежегодно, и это означает, что в конце года такие счета должны быть закрыты, а остатки по ним перечислены в бюджет.
Инвестиционные и конверсионные счета - это счета, владельцами которых являются предприятия по учету средств федерального бюджета, предоставляемых на возвратной и платной основе на финансирование конверсионных и инвестиционных программ. Открытие таких счетов санкционировано Указом Президента РФ от 7 сентября 1995 г. «Об открытии отдельных текущих счетов по учету средств федерального бюджета, предоставляемых на возвратной и платной основе для финансирования конверсионных и инвестиционных программ».
Для открытия расчетного (текущего или иного) банковского счета клиент представляет в банк, в соответствии с действующим законодательством и банковскими правилами и обычаями, следующие документы: заявление на открытие счета; копии устава, учредительного договора, протокола № 1 общего собрания, свидетельства о регистрации предприятия, приказа о назначении главного бухгалтера; справки о присвоении кодов (из Государственного комитета по статистике) и постановке на учет (из территориальных органов Министерства по налогам и сборам РФ); копии документов, подтверждающие регистрацию в Пенсионном фонде, Фонде занятости населения, Фонде обязательного медицинского страхования, Фонде социального страхования; две карточки с образцами подписей и оттиска печати.
Учредительные документы должны быть удостоверены нотариальными или регистрирующими органами. При заполнении банковских карточек подписи фиксируются только в присутствии нотариуса или должностного лица вышестоящей организации. Банковские карточки могут быть заполнены так же как и заявление - от руки. Право первой подписи принадлежит руководителю предприятия или его заместителю, право второй - главному бухгалтеру, а при отсутствии этой должности в штате - лицу, на которое возложено ведение бухгалтерского учета. Предоставление права подписания документов указанным лицам должно быть оформлено приказом по предприятию. Наличие этих двух подписей на расчетных документах - важнейшее условие для принятия их к исполнению банком. Если на предприятии вместо должности главного бухгалтера предусмотрена должность с иным названием, то об этом должна быть сделана отметка в карточке. Если в штате предприятия нет должности бухгалтера или лица, выполняющего его функции, фиксируется лишь подпись руководителя.
В случае открытия подразделению расчетного субсчета вместе с банковскими карточками в банк представляются приказ головного предприятия о создании подразделения и заявление с перечислением тех операций, которые разрешается совершать по этому субсчету. При открытии и расчетного субсчета, и текущего счета в банк также представляется утвержденный головной организацией устав подразделения. Банковские карточки в случае открытия расчетного субсчета и текущего счета заверяются вышестоящей организацией, ее печатью, нотариальное заверение при этом не требуется.
Кредитная организация (банк) открывает клиенту банковский счет на условиях, согласованных с обеими сторонами. Кредитная организация не вправе отказать клиенту в открытии счета, если совершающиеся по нему операции предусмотрены законом, учредительными документами и лицензией банка, за исключением тех случаев, когда такой отказ вызван отсутствием у банка технической и производственной возможности принять на расчетно-кассовое обслуживание.
Открытие счета происходит на основании договора о расчетно-кассовом обслуживании, заключаемом между банком и клиентом. В соответствии с заключенным договором банк берет на себя обязательства: по своевременному комплексному расчетно-кассовому обслуживанию в соответствии с действующими нормативно-правовыми документами (проведение расчетов, выдача денежных и расчетных чековых книжек, выписок из лицевых счетов, осуществление почтовых и телеграфных услуг и др.); по обеспечению сохранности всех денежных средств, поступивших на счет клиента, и возврата их по первому требованию клиента, что гарантируется всем движимым и недвижимым имуществом банка, его денежными фондами и резервами, а также мерами, осуществляемыми им для обеспечения своей стабильности и ликвидности; по обеспечению банковской тайны о счетах и операциях клиента. Клиент соответственно обязуется: представлять в банк документы, необходимые для открытия и ведения счета; соблюдать действующее законодательство и имеющие обязательную юридическую силу для банков и юридических лиц, осуществляющих расчеты, нормативные акты по вопросам расчетного обслуживания, осуществления безналичных расчетов и кассовых операций; представлять в банк в установленные сроки бухгалтерскую и статистическую отчетность и другие документы, необходимые для организации расчетно-кассового обслуживания; предварительно в письменной форме уведомить банк о закрытии счета и др. [19, C. 140]
Как правило, расчетно-кассовое обслуживание осуществляется банками платно. В этом случае в договоре предусматривается специальный раздел о стоимости услуг и порядке расчетов за них. В договорах может предусматриваться плата за открытие счета, комиссионные за операции по расчетному счету (определенный процент от суммы дебетового оборота или от количества и вида обрабатываемых документов), за кассовое обслуживание клиентов (определенный процент от суммы выдаваемой наличности). Договор может включать размер процентной ставки, уплачиваемой клиентами за стабильный минимальный или средний остаток средств на расчетном счете клиента.
В договоре на расчетно-кассовое обслуживание предусматривается ответственность обеих сторон за невыполнение взятых на себя обязательств. Так, банк несет ответственность за несвоевременное или неправильное списание средств со счета клиента или зачисление банком сумм, причитающихся клиенту.
Клиент, в свою очередь, несет ответственность: за достоверность документов, представляемых для открытия счета и ведения операций по нему; за несвоевременное предоставление кассового прогноза на предстоящий квартал; за нарушение сроков оплаты услуг, оказываемых банком; за неполучение наличных денег, забронированных банком для него в день, указанный в заявке, и др.
В договоре могут фиксироваться размеры штрафов за каждое из перечисленных нарушений как для одной, так и для другой стороны. В договоре предусматривается порядок разрешения споров, срок его действия и особые или дополнительные условия.
После предоставления всех указанных документов на открытие счета, подписания договора на расчетно-кассовое обслуживание по распоряжению управляющего банком счету предприятия присваивается номер и заводится лицевой счет для учета его средств.
При переоформлении счета в связи с реорганизацией (слияние, присоединение и т.д.) в банк представляются те же документы, что и при открытии счета. При изменении наименования или подчиненности необходимо не позднее месяца со дня переименования или изменения подчиненности представить заявление владельца счета о соответствующих изменениях и копию данного решения.
Закрытие счета может быть осуществлено по решению владельца счета, собственника имущества предприятия, банка, арбитражного суда. По инициативе клиента договор банковского счета может быть расторгнут в любое время и без всяких условий. Банк может расторгнуть договор о расчетно-кассовом обслуживании в следующих случаях, если это специально предусмотрено договором: несоблюдение требования минимального размера остатка по счету; в течение месяца со дня предупреждения об этом клиента банка; при отсутствии операций по счету в течение года.
Прекращение договорных отношений осуществляется в два этапа: (1) расторжение договора; (2) закрытие счета. В семидневный срок после расторжения договора остаток, имеющийся на счету, должен быть либо выдан клиенту, либо перечислен на другой счет.- Счет может быть закрыт при признании предприятия банкротом, в случае принятия решения о запрете деятельности данного субъекта хозяйствования и в других предусмотренных законом случаях: при изменении характера деятельности, связанном с утратой хотя бы одного из признаков, необходимых для данного вида счета; по решению органа, создавшего предприятие.
При переходе предприятия на расчетное обслуживание в другой банк необходимо поставить в известность свой банк. В этом случае в новый банк перечисляются остатки средств по счетам, передаются документы по открытию расчетного счета, неоплаченные документы. Если у предприятия имеется кредитная задолженность перед банком, то при переходе на обслуживание в другой банк оно обязано возвратить ссуду или получить согласие банка-кредитора на переоформление обязательств по погашению кредита без изменения сроков.
Кроме договора банковского счета между предприятием и банком может быть заключен договор банковского вклада, по которому банк берет на себя обязательства хранения денежных средств, выплаты по ним доходов, возвращения данных сумм по требованию, выполнения поручений вкладчика по расчетам по вкладу. Вклад может быть внесен предприятием на определенный срок, с правом досрочного получения- под меньший процент дохода либо для целевого использования данных средств в соответствии с поручением предприятия. Банковский вклад может быть оформлен депозитным сертификатом, который представляет собой письменное свидетельство банка о вкладе, удостоверяющее право вкладчика или его преемника на получение суммы депозита и процентов по нему по истечении установленного срока.
Нормативно-правовой базой аудита расчетных операций кредитных организаций является Федеральный закон «О Центральном банке Российской Федерации (Банке России)»; Положение «О безналичных расчетах в Российской Федерации» от 03.10.2002. № 2-П, Инструкция «Об обязательной продаже части валютной выручки на внутреннем валютном рынке Российской Федерации» от 30.03.04 № 111-И, «О правилах ведения бухгалтерского учета в кредитных организациях, расположенных на территории Российской Федерации» (ред. 26.11.2004).
Безналичные расчеты осуществляются через кредитные организации (филиалы) и / или Банк России по счетам, открытым на основании договора банковского счета или договора корреспондентского счета (субсчета) (далее, в зависимости от необходимости, - счета или счет), если иное не установлено законодательством и не обусловлено используемой формой расчетов.
Расчетные операции по перечислению денежных средств через кредитные организации (филиалы) могут осуществляться с использованием:
1) корреспондентских счетов (субсчетов), открытых в Банке России;
2) корреспондентских счетов, открытых в других кредитных организациях;
3) счетов участников расчетов, открытых в небанковских кредитных организациях, осуществляющих расчетные операции;
4) счетов межфилиальных расчетов, открытых внутри одной кредитной организации. Списание денежных средств со счета осуществляется по распоряжению его владельца или без распоряжения владельца счета в случаях, предусмотренных законодательством и / или договором между банком и клиентом.
Списание денежных средств со счета осуществляется на основании расчетных документов, составленных в соответствии с требованиями Положения «О безналичных расчетах в Российской Федерации» от 3.10.2002. № 2-П, в пределах имеющихся на счете денежных средств, если иное не предусмотрено в договорах, заключаемых между Банком России или кредитными организациями и их клиентами. [11]
Порядок оформления, приема, обработки электронных платежных документов и осуществления расчетных операций с их использованием регулируется отдельными нормативными актами Банка России, за исключением случаев, указанных в Положении «О безналичных расчетах в Российской Федерации» от 3.10.2002. № 2-П, и заключаемыми между Банком России или кредитными организациями и их клиентами договорами, определяющими порядок обмена электронными документами с использованием средств защиты информации.
При недостаточности денежных средств на счете для удовлетворения всех предъявленных к нему требований списание средств осуществляется по мере их поступления в очередности, установленной законодательством. [11]
Об обязательной продаже части валютной выручки на внутреннем валютном рынке Российской Федерации «Об обязательной продаже части валютной выручки на внутреннем валютном рынке Российской Федерации» обязательной продаже подлежит валютная выручка, указанная в части 3 статьи 21 Федерального закона "О валютном регулировании и валютном контроле", получаемая резидентами в иностранной валюте. [6]
Для уменьшения подлежащей обязательной продаже суммы валютной выручки резидентов учитываются расходы и иные платежи, указанные в пунктах 1-3 части 5 статьи 21 Федерального закона "О валютном регулировании и валютном контроле", связанные с исполнением сделок, указанных в части 3 статьи 21 Федерального закона "О валютном регулировании и валютном контроле", расчеты по которым осуществляются в иностранной валюте. [6]
Обязательная продажа части валютной выручки резидента в соответствии с инструкцией осуществляется по распоряжению последнего непосредственно уполномоченному банку, либо через уполномоченный банк на валютных биржах, на внебиржевом валютном рынке, Центральному банку Российской Федерации.
2. ПРАВОВЫЕ И ОРГАНИЗАЦИОННО-МЕТОДИЧЕСКИЕ АСПЕКТЫ АУДИТА РАСЧЕТНО-КАССОВЫХ ОПЕРАЦИЙ КРЕДИТНЫХ ОРГАНИЗАЦИЙ
2.1 Правовые аспекты аудита расчетно-кассовых операций кредитных организаций
Нормативной базой аудита расчетно-кассовых операций кредитных организаций являются следующие Федеральные правила (стандарты) аудиторской деятельности (по состоянию на 1 декабря 2004г.) Утверждены постановлением Правительства РФ от 23 сентября 2002 г. № 696 (в редакции постановлений Правительства РФ от 4 июля 2003г. № 405 и от 7 октября 2004г. № 532), применимые к данному виду аудита (табл. 1, Прил. А).
Федеральные стандарты аудиторской деятельности являются обязательными для аудиторских организаций, индивидуальных аудиторов, а также для аудируемых лиц, за исключением положений, в отношении которых указано, что они носят рекомендательных характер. Федеральные стандарты аудита утверждаются Правительством Российской Федерации.
В настоящее время утверждены следующие федеральные стандарты аудиторской деятельности.
К нормативно-правовой базе, регулирующей аудит расчетно-кассовых операций относятся следующие федеральные стандарты аудита:
1. Федеральные правила (стандарты) аудиторской деятельности первой очереди, утвержденные Постановлением Правительства РФ № 696 от 23.09.02 (в ред. Постановления Правительства РФ № 532 от 07.10.04):
- «Цель и основные принципы аудита финансовой (бухгалтерской) отчетности» - устанавливает единые цели и основные принципы проведения аудита финансовой (бухгалтерской) отчетности, которые аудиторская организация и индивидуальный аудитор обязаны соблюдать;
- «Документирование аудита» - устанавливает единые требования к составлению документации в процессе аудита финансовой (бухгалтерской) отчетности;
- «Планирование аудита» - устанавливает единые требования к планированию аудита;
- «Существенность в аудите» - устанавливает единые требования, касающиеся концепции существенности и ее взаимосвязи с аудиторским риском.
- «Аудиторские доказательства» - устанавливает единые требования к количеству и качеству доказательств, которые необходимо получить при аудите финансовой (бухгалтерской) отчетности, а также к процедурам, выполняемым с целью получения доказательств.
- «Аудиторское заключение по финансовой (бухгалтерской) отчетности» - устанавливает единые требования к форме и содержанию аудиторского заключения, которое составляется по итогам проведенного аудита финансовой (бухгалтерской) отчетности. Большая часть этих требований может быть использована для подготовки аудиторских заключений по бухгалтерской информации, которая не является финансовой (бухгалтерской) отчетностью.
2. Федеральные правила (стандарты) аудиторской деятельности второй очереди, утвержденные Постановлением Правительства РФ № 405 от 04.07.03:
- «Внутренний контроль качества аудита» - устанавливает единые требования к контролю качества аудита»
- «Оценка аудиторских рисков и внутренний контроль, осуществляемый аудируемым лицом» - устанавливает единые требования к пониманию систем бухгалтерского учета и внутреннего контроля, а также аудиторского риска и его составных частей;
- «Аффицированные лица» - устанавливает единые требования к аффилированным лицам;
- «События после отчетной даты» - устанавливает единые требования к событиям после отчетной даты;
- «Применимость допущения непрерывности» - устанавливает единые требования к применимости допущения непрерывности аудита.
3. Федеральные правила (стандарты) аудиторской деятельности третьей очереди, утвержденные Постановлением Правительства РФ № 532 от 07.10.04:
- «Согласование условий проведения аудита» - устанавливает единые требования к порядку согласования условий проведения аудита с аудируемым лицом.
- «Обязанности аудитора по рассмотрению ошибок и недобросовестных действий в ходе аудита» - устанавливает единые требования к аудиторской организации и индивидуальному аудитору (далее именуются - аудитор) по рассмотрению ошибок и недобросовестных действий в ходе аудита финансовой (бухгалтерской) отчетности.
- «Учет требований нормативных правовых актов Российской Федерации в ходе аудита» - устанавливает единые требования в отношении обязанности аудиторской организации и индивидуального аудитора (далее именуются - аудитор) учитывать соблюдение аудируемым лицом нормативных правовых актов Российской Федерации в ходе аудита финансовой (бухгалтерской) отчетности этого аудируемого лица.
3. Федеральные правила (стандарты) аудиторской деятельности четвертой очереди, утвержденные Постановлением Правительства РФ № 228 от 16.04.05:
- «Получение аудитором подтверждающей информации из внешних источников» - устанавливает единые требования в отношении использования в ходе аудита подтверждающей информации из внешних источников (внешних подтверждений), используемой аудитором для получения аудиторских доказательств.
- «Аналитические процедуры» - устанавливает единые требования в отношении применения аналитических процедур в ходе аудита.
До утверждения правительством Российской Федерации федеральных стандартов аудиторской деятельности аудиторским организациям и индивидуальным аудиторам следует также руководствоваться стандартами аудиторской деятельности при Президенте Российской Федерации.
К аудиту расчетно-кассовых операций коммерческих банков также применимы следующие общероссийские стандарты, принятые КАД при Президенте РФ:
- «Образование аудитора» - стандарт устанавливает минимальные требования к образованию и повышению квалификации аттестованного аудитора и является обязательным для допуска претендентов к квалификационным экзаменам на получение аттестата на право осуществления аудита, предусматривающего подготовку официального аудиторского заключения.
- «Проведение аудита с помощью компьютеров» - определяет порядок и правила проведения аудита с помощью компьютеров.
- «Прочая информация в документах, содержащих проаудированную бухгалтерскую отчетность» - определяет действия аудиторской фирмы или аудитора, работающего самостоятельно в качестве индивидуального предпринимателя, в отношении прочей информации, включенной в документ, содержащий бухгалтерскую отчетность, аудит которой проводит (провела) данная аудиторская организация.
- «Порядок заключения договоров на оказание аудиторских услуг» - определение взаимоотношений аудиторской фирмы или аудитора, работающего самостоятельно в качестве индивидуального предпринимателя и экономического субъекта на этапе подготовки и заключения договора об оказании аудиторских услуг.
- «Заключении аудиторской организации по специальным аудиторским заданиям» устанавливает положения о форме и содержании заключения аудиторской фирмы или аудитора, работающего самостоятельно в качестве индивидуального предпринимателя, о выполнении специальных аудиторских заданий, полученных от государственных органов, экономических субъектов, заинтересованных пользователей бухгалтерской отчетности.
- «Общение с руководством экономического субъекта» - определяет принципы деловых отношений (аудиторской фирмы или аудитора, работающего самостоятельно в качестве индивидуального предпринимателя, с руководством экономического субъекта, в отношении бухгалтерской отчетности которого проводится аудит.
- «Права и обязанности аудиторских организаций и проверяемых экономических субъектов» - определяет основные (установленные действующими законодательными нормами, регулирующими аудиторскую деятельность в Российской Федерации) права и обязанности аудиторских фирм или аудиторов, работающих самостоятельно в качестве индивидуальных предпринимателей, а также прав и обязанностей проверяемых экономических субъектов для более четкого регулирования взаимоотношений между сторонами при проведении аудита.
- «Проверка прогнозной финансовой информации» - регламентирует проверку аудиторской фирмой или аудитором, работающим самостоятельно в качестве индивидуального предпринимателя, прогнозной финансовой информации экономического субъекта.
Стандарты аудиторской деятельность, действующие в профессиональных аудиторских объединениях, устанавливаются для членов таких объединений. При этом требования внутренних правил аудиторской деятельности не могут противоречить и быть ниже требований федеральных стандартов аудиторской деятельности.
Правила (стандарты) аудиторской деятельности, аудиторских организаций и индивидуальных аудиторов – это документы, детализирующие и регламентирующие единые требования к осуществлению и оформлению аудита, принятые и утвержденные аудиторской организацией с целью обеспечения эффективности практической работы и ее адекватности требованиям законодательства.
По своему назначению врутренние стандарты аудиторских организаций могут быть объединены в следующие группы:
- стандарты, содержащие общие положения по аудиту;
- стандарты, устанавливающие порядок проведения аудита;
- стандарты, устанавливающие порядок формировния выводов и заключений аудиторов;
- специализированные стандарты;
- стандарты, устанавливающие порядок оказания сопутствующих аудиту услуг;
- стандарты по образованию и подготовке кадров.
Существенность является одним из основных понятий аудита. Под существенностью понимается качественная характеристика информации, ее свойство оказывать влияние на решения пользователя финансовой отчетности. Информация считается существенной, если е отсутствие или искажение может повлиять на экономические решения пользователя финансовой отчетности, принятые на основании этой отчетности. На существенность могут оказывать влияние нормативные правовые акты Российской Федерации, а также факторы, имеющие отношение к отчетльным счетам бухгалтерского учета финансовой (бухгалтерской) отчетности и взаимосвязям между ними.
При планировании аудиторской проверки аудитор рассматривает вопрос о том, что могло бы повлечь существенное искажение финансовой (бухгалтерской) отчетности. В банковском аудите к фактам, свидетельствующим о недостоверности отчетности, относятся:
- невыполнение кредитной организацией требования по формированию резервов, создаваемых в соответствии с нормативными актами Банка России, а также значения обязательных нормативов, за исключением тех, за которые Банк России в соответствии с актами Банка России не применяет принудительные меры воздействия;
- уменьшение кредитной организацией величины собственного капитала по итогам отчетного месяца ниже размера уставного капитала, определенного учредительными документами кредитной организации, зарегистированными в порядке, установленном федеральными законами и принимаемыми в соответстии с ними нормативными актами Банка России;
- неисполнение кредитной организацией своевременно и в полном объеме своих денежных обязательств перед кредиторами (вкладчиками) или обязанности по уплате обязательных платежей.
В случае установления фактов существенной недостоверности отчетных данных Банк России может отозвать у кредитной организации лицензию на осуществление банковских операций.
С целью выявления существенных (с количественной точки зрения) искажений при разработке плана аудита устанавливается приемлемый уровень существенности и принимается во внимание характер (качество) искажений.
Уровень существенности – предельное значение искажения бухгалтерской отчетности, начиная с которой квалифицированный пользователь этой отчетности перестанет быть в состоянии делать на ее основе правильные выводы и принимать правильные экономические решения. [15]
Расчет уровня существенности в аудите проводится с помощью метода финансовых показателей, а также методом сальдо и оборотов по счетам.
Расчет общего уровня существенности с помощью метода финансовых показателей основан на определенных показателях бухгалтерской отчетности с учетом их весовых коэффициентов и рекомендован к применению Правилом (Стандартом) аудиторской деятельности "Существенность и аудиторский риск". [4]
Расчет общего уровня существенности методом сальдо и оборотов по счетам производится по данным остатков и оборотов по счетам бухгалтерского учета за анализируемый период. Порядок расчета по этому методу заключается в следующем:
Общая абсолютная величина существенности (S) в целом по предприятию рассчитывается аудитором на основании формулы:
,
(1)
где S - уровень существенности в денежном выражении (руб.);
В - остатки по счетам на конец отчетного периода, подлежащего аудиторской проверке (руб.);
р - процент существенности (%), определяемый по формуле:
,
(2)
где Т - оборот за период как сумма оборотов по всем счетам бухгалтерского учета (руб.).
Найденная общая сумма существенности в целом по отчетности может быть распределена между счетами бухгалтерского учета.
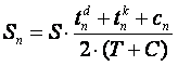
После определения общей величины существенности S, производится его распределение по счетам бухгалтерского учета в следующем порядке:
,
(3)
где
-
величина существенности, приходящаяся
на счет (субсчет) n (руб.);
-
дебетовый оборот за отчетный период по
счету (субсчету) n (руб.);
-
кредитовый оборот за отчетный период
по счету (субсчету) n (руб.);
-
сальдо на конец периода по счету
(субсчету) n (руб.);
Т - оборот за отчетный период по всем счетам (по дебету или по кредиту - они равны) (руб.);
С - сальдо за отчетный период по всем счетам (по дебету или по кредиту - они равны) (руб.).
Показатели Т и С берутся из оборотно-сальдовой ведомости на конец отчетного периода. Уровень cущественности, приходящийся на счет бухгалтерского учета, может быть в дальнейшем распределен по хозяйственным операциям.
2.2 Организационно-методические аспекты аудита расчетно-кассовых операций кредитных организаций
Расчетно-кассовое обслуживание банковских учреждений подразумевает выдачу, прием и сохранность денежных знаков.
Целью аудита кассы и кассовых операций является проверка соблюдения коммерческим банком банковского законодательства в сфере хранения, ведения и учета операций с денежной наличностью.
Аудитором проверяется:
- достаточная техническая укрепленность хранилища;
- достаточная оснащенность операционных касс;
- соблюдение банком установленного порядка ведения кассовых операций; соблюдение порядка расчетов наличными деньгами;
- соблюдение правил поступления наличных денег в кассу банка; соблюдение правил организации и учета получения наличных денег из кассы банка;
- соблюдение лимита расчета наличными деньгами;
- соблюдение кассового планирования и соблюдение лимита остатков кассы банка;
- соблюдение полноты и правильности учета ценностей в хранилище;
- состояние отчетности о кассовых оборотах банка;
- количество ревизий по кассе;
- состояние договоров о полной материальной ответственности с лицами, ответственными за работу с наличностью и другими ценностями.
Аудит кассовых операций проводится для проверки своевременного отражения в бухгалтерском учете операций с денежными средствами, правильного документального оформления этих операций, контроля за сохранностью денежных средств. Проверка проводится в три этапа: ознакомительный, основной, заключительный.
На ознакомительном этапе изучаются открытые расчетные и специальные счета. На основном этапе проводится анализ операций отчетного периода, сверка суммы остатка денежных средств с данными в журнале-ордере. При аудите кассовых операций проверяется правильность документального оформления; сохранность наличных денежных средств, правильность применения контрольно-кассовой техники, полнота и своевременность оприходования денежных средств, правильность списания денег в расход, соблюдение установленного лимита остатка денежных средств в кассе, организация хранения свободных денежных средств в кассах.
На основном этапе проводится проверка сохранности наличных денежных средств в кассе. Аудитор устанавливает, проводится ли инвентаризация кассы перед составлением годовой отчетности, при смене материально-ответственного лица, при выявлении фактов хищения и т.д. при проверке установленного лимита остатка денежных средств необходимо запросить расчет на установление лимита и оформление разрешения на расходование наличных денег из выручки. При проверке кассовых операций проводится проверка полноты, своевременности и правильности оприходования денежной наличности в результате поступлений. Итоги этой проверки оформляются в таблице. Проверяя расходование наличных денежных средств из кассы, аудитор должен обратить внимание на юридическую обоснованность выдачи денег. Результаты проверки полноты и своевременности оприходования налично-денежной выручки в кассу оформляются в таблице. Проверка организации хранения свободных денежных средств в кассах организации устанавливает соответствие Порядку ведения кассовых операций в РФ.
На заключительном этапе аудиторской проверки формируется пакет рабочих документов аудитора и составляется аудиторский отчет, который вместе с рабочей документацией представляется руководителю проверки.
От независимых аудиторских организаций требуется особое внимание к ведению в коммерческих банках кассовых операций с денежной наличностью. Вместе с тем необходимо отметить, что аудит кассовых операций вопреки сложившемуся убеждению далеко не аналогичен ревизии кассы.
Так, внезапная ревизия кассы является прерогативой служб самого банка (внутренний аудит), а не внешнего аудита (если только проведение ревизии кассы не предусмотрено договором). Не является задачей внешнего аудита и выявление лиц, виновных в найденных нарушениях. Аудиторы устанавливают только сам факт нарушения. Не должны аудиторы составлять или подписывать никакие акты (например, акты о сумме фактических остатков наличных денег и их соответствия кассовым документам). Они готовят только аудиторское заключение.
Особенностью аудиторской проверки операций с кассовой наличностью является то, что она ни в коем случае не должна нарушать нормального хода кассовых операций банка. Аудитор в течение рабочего дня не имеет права находиться в кассовом помещении операционной кассы, поэтому вопросы, возникающие в ходе аудиторской проверки, приходится выяснять после окончания операционного дня.
Наконец еще одним отличием аудиторской проверки от ревизии является то, что аудиторы не только выявляют недостатки в деятельности банка, но и по возможности дают свои рекомендации по улучшению работы.
Аудит кассовых операций осуществляется по следующим направлениям:
- проверка организационных вопросов кассовой работы;
- проверка порядка приема денежной наличности от организаций;
- проверка порядка выдачи денежной наличности организациям;
- проверка порядка заключения операционной кассы.
Кроме того, могут проводиться проверки организации работы с денежной наличностью при использовании банкоматов; по обслуживанию населения; операционной кассы вне кассового узла и др.
Проверку организационных вопросов кассовой работы целесообразно начинать с установления круга полномочий и обязанностей ответственных лиц за ведение кассовой работы, общего анализа организации кассовой работы в банке.
В ходе проверки необходимо:
- ознакомиться с имеющимися приказами и письменными распоряжениями руководителя кредитной организации о назначении должностных лиц, ответственных за сохранность денежных средств и ценностей, осуществление контроля за своевременным оприходованием поступающих в кассу денег и организацию четкого и бесперебойного обслуживания клиентов;
- проверить наличие у кредитной организации заключений о соответствии кассового узла кредитной организации (ее филиалов), внутренних структурных подразделений требованиям Банка России к устройству и технической укрепленности;
- убедиться в том, что должностные лица, ответственные за сохранность ценностей, действительно проверяют перед открытием хранилища ценностей повреждения дверей, замков, оттисков печатей, о чем расписываются в контрольном журнале приема под охрану и сдачи из-под охраны хранилища ценностей, а перед закрытием хранилища ценностей соответствие фактических остатков денежной наличности операционной кассы и других ценностей данным бухгалтерского учета и остаткам, указанным в книге учета денежной наличности и других ценностей;
- убедиться, все ли ценности, книги и документы внесены в хранилище ценностей;
- убедиться, все ли металлические шкафы, стеллажи, сейфы и тележки закрыты на ключ независимо от наличия в них ценностей;
- проверить наличие копий описи и сопроводительного письма, квитанции о сдаче дубликатов ключей от хранилища ценностей на хранение в филиал или другую кредитную организацию;
- проверить наличие индивидуальных замков в специальных столах кассиров, где они хранят деньги в течение рабочего дня;
- проверить соблюдение суммы минимально, допустимого остатка наличных в операционной кассе кредитной организации;
Проверка порядка приема денежной наличности от организаций. Проверка проводится с целью установления соблюдения банком действующих правил совершения кассовых операций по приему денежной наличности и правильности отражения этих операций в бухгалтерском учете.
Процедура порядка приема денежной наличности включает проверку:
- правильности оформления объявлений на взнос наличными: соответствие суммы цифрами сумме прописью; наличие и тождественность подписи операционного работника имеющемуся образцу; заполнение необходимых реквизитов (номер, дата, назначение взноса и др.);
- своевременности зачисления средств на счета клиентов (поступившие средства в операционную кассу зачисляются в тот же рабочий день, в вечернюю кассу - на следующий день). Сумма и дата внесения средств по объявлению на взнос наличными, отраженные в кассовом журнале по приходу по операциям вечерней кассы, сверяются с записями в лицевых счетах по ряду клиентов или с ордером к объявлению о взносе денег в вечернюю кассу, приложенному к выпискам по счетам клиентов;
- правильности документального оформления поступивших в кредитную организацию денег, в том числе:
- сверка каждой суммы в объявлениях на взнос наличными с суммой в кассовом журнале по приходу;
- сверка общей суммы в кассовом журнале по приходу со справками кассиров о сумме принятых денег и количестве поступивших в кассу денежных документов;
- проверка наличия подписей кассовых работников в кассовых журналах и операционных работников в справках кассиров о сумме принятых денег и количестве поступивших в кассу денежных документов;
- проверка наличия печати «Вечерняя касса» на приходных документах, принятых после операционного дня;
- проверка соответствия суммы поступивших денег по справке кассиров и сдаче их заведующему кассой в книге учета принятых и выданных денег (ценностей).
В ходе аудита порядка приема вечерней кассы сумок с денежной наличностью и другими ценностями от инкассаторов проверяют:
- наличие в журнале учета сумок с ценностями и порожних сумок подписей операционного и кассового работника, членов бригады инкассаторов за каждый день работы;
- правильность оформления справок о принятых вечерней кассой сумках с денежной наличностью и порожних сумках и наличия на них подписей контролирующего работника кассы пересчета;
- наличие распоряжения руководителя банка о закреплении комплекта ключей от сейфа и запасного ключа от шкафа или ящика стола, где хранится контрольный журнал приема под охрану и сдачи из-под охраны хранилища ценностей;
- наличие подписей кассира и контролирующего работника кассы пересчета в контрольных ведомостях по пересчету денежной наличности;
- правильность отражения в учете инкассированной в вечернюю кассу денежной выручки до и после пересчета денег.
Проверка порядка выдачи денежной наличности организациям. Проверка проводится с целью установления соблюдения банком действующих правил совершения кассовых операций по выдаче денежной наличности и правильности отражения этих операций в бухгалтерском учете.
Процедура проверки порядка выдачи наличных денег включает:
- проверку правильности оформления денежных чеков, в том числе соответствия номера чека и номера контрольной марки, соответствия суммы цифрами и суммы прописью, наличия подписи получателя денег и данных, удостоверяющих его личность, наличия подписей должностных лиц, оформивших, и проверивших денежный чек;
- проверку наличия записей в карточках образцов подписей, должностных лиц клиентов, имеющих право распоряжаться счетом, и оттиска печати, заверенной в установленном порядке, номеров денежных чеков выданной чековой книжке и их соответствия с номером денежного чека, по которому производилась выдача денег;
- сверку подписей лиц, подписавших денежный чек, с подписями клиента в карточке образцов подписей;
- проверку соответствия сумм выданных денег по кассовому журналу по расходу со справкой о сумме выданных денег и полученной сумме под отчет;
- проверку списания выданных сумм с соответствующих счетов клиентов (сравнить сумму и номер счета, указанные в денежном чеке с суммой и номером счета по лицевым счетам клиентов и кассовом журнале по расходу);
- проверку наличия операций, при которых клиент, не внося денег, предъявляет одновременно денежный чек и объявление на взнос наличными (сравнить в первичных документах по приходу и расходу наличие одинаковых сумм и номеров счетов клиентов либо эти же данные по приходному и расходному кассовым журналам);
- проверку своевременности отражения расходных операций в бухгалтерском учете (сопоставление суммы и даты проведения операций по кассовым документам дня с данными лицевых счетов клиентов и оборотной ведомости банка).
Проверка порядка заключения операционной кассы предусматривает выполнение следующих аудиторских процедур:
- сверяются остатки денег в справках о сумме принятых денег и количестве поступивших в кассу денежных документов и в справках о сумме выданных денег и полученной сумме под отчет с остатками в книге учета принятых и выданных денег (ценностей);
- сверяется соответствие количества и суммы документов, сданных кассовыми работниками, данным справок, включая справки кассовых работников операционных касс вне кассового узла;
- сверяется соответствие суммы денег, принятой от кассовых и инкассаторских работников, данным справок, распечаток банкоматов, контрольных ведомостей, журнала учета принятых сумок с ценностями и порожних;
- проверяется наличие подписей операционного работника в справках о сумме принятых денег и количестве поступивших в кассу денежных документов, в справках о сумме выданных денег и полученной сумме под отчет и в журнале учета принятых сумок с ценностями и порожних;
- проверить соблюдение порядка формирования и брошюровки кассовых документов за день;
- проверяется соблюдение порядка хранения кассовых документов.
Наиболее типичные нарушения, допускаемые работниками банка при осуществлении кассовых операций, следующие:
- учет ценностей, находящихся в хранилище, осуществляется на балансовых и внебалансовых счетах, не предназначенных для их учета;.
- ведение кассовых операций осуществляется при отсутствии кассового узла или кассовых узлов, не оборудованных в соответствии с требованиями;
- не разработаны должностные инструкции на каждого кассового работника и инкассатора собственной службы инкассации;
- не заключены договоры о полной материальной ответственности с кассовыми и инкассаторскими работниками кредитной организации;
- отсутствует письменное распоряжение руководителя кредитной организации о возложении ответственности за сохранность ценностей в хранилище ценностей на заместителей руководителя и главного бухгалтера;
- отсутствуют замки в специальных столах кассиров, где они хранят деньги в течение рабочего дня;
- хранилище ценностей при наличии в нем денег и других ценностей во время рабочего дня не закрыто на ключи; ключи от сейфов кассирами во время работы не изымаются из скважин замков;
- фактический остаток денег в операционной кассе кредитной организации в ряде случаев ниже установленного ЦБ РФ минимального остатка;
- кредитной организацией не соблюдаются сроки проведения ревизий банкнот, монеты и других ценностей в операционной кассе, не проводятся ревизии при временной смене должностных лиц, ответственных за сохранность ценностей;
- отсутствуют приказы на проведение ревизий, акты ревизий;
- деньги и другие ценности кассовых работников хранятся ' вместе деньгами и ценностями кредитной организации;
- не все наличные деньги и другие ценности по окончании операционного дня сдаются на хранение в хранилище ценностей;
- нарушен порядок хранения денег и других ценностей в хранилище ценностей;
- формирование банкнот в корешки, пачки осуществляется не в соответствии с требованиями;
- книга учета денежной наличности и других ценностей не прошнурована, не пронумерована, фактический остаток не заверяется подписями должностных лиц, исправления не заверяются подписями;
- в приходном кассовом документе имеются исправления, подчистки;
- в приходном кассовом документе не все реквизиты составлены по соответствующей форме;
- в приходном кассовом документе сумма цифрами не соответствует сумме прописью; подпись операционного работника не тождественна имеющейся в образцах; нет подписи операционного работника;
- не ведется или неправильно ведется кассовый журнал по приходу;
- зачисление денег на счет учета кассы производится в корреспонденции с теми счетами клиентов, по которым не разрешается проведение данной операции и не в тот день;
- не проведены суммы сданной наличности в операционное время по счетам клиентов в этот же операционный день, а суммы, сданные в послеоперационное время, - не проведены на следующий день-;
- не ведется кассиром приходной кассы или неправильно заполняется Книга учета принятых и выданных денег (ценностей);
- не составляется в конце операционного дня справка о сумме принятых денег и количестве поступивших в кассу денежных документов; обороты по справке не равны оборотам по кассовым журналам операционных работников;
- сверка оборотов не оформляется подписями кассового работника в кассовом журнале и операционного работника на справке кассового работника;
- сумма наличных денег в приходной кассе не соответствует сумме по приходным документам;
- не ставится на приходных документах после операционного дня печать «Вечерняя касса»;
- не имеется в кассовом журнале подписи заведующего кассой о приеме денег от кассира и операционного работника вечерней кассы утром следующего дня;
- не имеется подписи главного бухгалтера в кассовом журнале о сверке общей суммы по кассовому журналу с общей суммой по всем приходным документам вечерней кассы;
- в расходном кассовом документе имеются исправления, подчистки;
- в расходном кассовом документе не все реквизиты заполнены по соответствующей форме;
- в карточках образцов подписей и оттиска печати нет записей о выдаче клиентам чековых книжек; номера денежных чеков, по которым производилась выдача наличных денег, не соответствуют номерам денежных чеков в карточках с образцами подписей; подписи и оттиск печати в денежном чеке не соответствуют подписям и оттиску печати заявленным кредитной организации образцам подписей и оттиска печати;
- не отрывается от денежного чека «контрольная марка»; в денежном чеке не совпадает сумма прописью и цифрами; не указаны данные паспорта или удостоверения личности получателя, нет его подписи в получении денег; имеются не все подписи должностных лиц кредитной организации, оформивших и проверивших денежный чек, выдавших наличные деньги, подписи нетождественны имеющимся образцам;
- не составляется в конце операционного дня кассиром расходной кассы справка о сумме выданных денег и полученной сумме под отчет. При получении денег под отчет от заведующего кассой для расходных операций сумма под отчет не фиксируется заведующим кассой в Книге учета принятых и выданных денег (ценностей) с обязательными подписями лиц, получивших их под отчет;
- сверка оборотов не оформляется подписями кассового работника в кассовом журнале и операционного работника на справке кассового работника; нет подписи заведующего кассой в Книге учета принятых и выданных денег (ценностей) кассового работника после полной сдачи денежных средств заведующему кассой;
- денежный чек заполнен не чернилами или шариковой ручкой и не «от руки»;
- отсутствуют образцы подписей должностных лиц кредитной организации, уполномоченных подписывать расходные кассовые документы; производились операции, при которых клиент, не внося денег, предъявляет одновременно денежный чек и объявление на взнос наличными.
2.3 Организационно-методические аспекты аудита расчетных операций кредитной организации
В ходе аудита расчетных операций кредитных организаций выполняются следующие проверки:
- обоснованность открытия счетов;
- соблюдение порядка ведения счетов;
- осуществление безналичных расчетов по счетам клиентов;
- соблюдение порядка закрытия счетов.
Следует подробно рассмотреть содержание данных этапов проверки.
1) проверка обоснованности открытия счетов. Для открытия счета клиент представляет необходимые документы юридической службе банка, которая проверяет правильность оформления документов, оформляет договор банковского счета. Сформированное юридическое дело хранится в юридической службе. Проверка обоснованности открытия счетов предусматривает изучение на выборку юридических дел клиентов и включает несколько этапов. Прежде всего, проверяется комплектность юридического дела и правильность оформления документов, в него входящих. В состав юридического дела входят такие документы: заявление клиента на открытие расчетного (текущего) счета, нотариально заверенная копия свидетельства о государственной регистрации, нотариально заверенные копии устава и учредительного договора, карточки с образцами подписей и оттиска печати к каждому банковскому счету, свидетельство о постановке на учет в налоговом органе. В юридическом деле физического лица должна находиться копия документа, удостоверяющего личность. Документов, подтверждающих регистрацию юридических лиц и индивидуальных предпринимателей в качестве плательщиков взносов в государственные внебюджетные фонды, в настоящее время не требуется. Во многих банках для снижения операционных рисков по кажому юридическому делу даются заключения службы безопасности и юридической службы банка. Только после этого с клиентом заключается договор банковского счета, а руководителем банка дается распоряжение в бухгалтерию об открытии счета. На следующем этапе проверяется своевременность уведомления банком налоговых органов об открытии налогоплательщику расчетного (текущего) счета. Далее проверяются правильность и своевременность регистрации открытого банком счета в книге регистрации открытых счетов. В ней должны быть следующие данные: дата открытия счета; дата и номер договора об открытии счета; наименование клиента; наименование (цель) счета; номер лицевого счета; порядок и периодичность выдачи выписок счета; дата сообщения налоговым органам, фондам об открытии счета; дата закрытия счета; примечание.
2) проверка соблюдения порядка ведения счетов. Обоснованность списания средств со счета клиента проводится выборочно на основе приложений к выписке с лицевого счета клиента.
При этом необходимо учитывать следующее: платежи со счетов клиентов должны осуществляться банком по распоряжению их владельцев в установленной очередности платежей и в пределах остатка средств на счете;
- без распоряжения клиента списание денежных средств, находящихся на счете, допускается в случаях, установленных законом или предусмотренных между банком и клиентом и договоре;
- банк не имеет права определять и контролировать направления использования денежных средств клиента и устанавливать не предусмотренные законодательством или договором ограничения права распоряжения денежными средствами. [18, c. 45]
Контроль за соблюдением очередности платежей предусматривает проверку выполнения следующих требований:
- при наличии на счете денежных средств, достаточных для удовлетворения всех требований, списание осуществляется в порядке поступления распоряжений клиента и других документов на списание (календарная очередность), если иное не предусмотрено законом;
- при недостаточности денежных средств на счете для удовлетворения всех предъявленных к нему требований списание средств осуществляется в очередности, установленной ст. 855 ГК РФ, ст. 255 БК РФ и федеральным законом о федеральном бюджете на очередной финансовый год.
Следует также проверить, производилось ли списание средств со счета по требованиям, относящимся к одной очереди, в порядке поступления документов.
При контроле порядка осуществления платежей при отсутствии (недостатке) средств на расчетном счете проверяется ведение картотеки № 2 к активному внебалансовому счету «Расчетные документы, не оплаченные в срок», в том числе:
- приходование платежных документов, поступивших к расчетному счету;
- соблюдение очередности платежей и календарной очередности, своевременности списания оплаченных сумм с внебалансового счета «Расчетные документы, не оплаченные в срок» при поступлении денежных средств на счет клиента;
- проведение частичной оплаты документов, находящихся в картотеке № 2, при нехватке поступивших денежных средств на полную их оплату (проверка проводится по мемориальным платежным ордерам, составленным в день совершения частичного платежа).
Важным разделом проверки является контроль соблюдения:
- своевременности списания средств со счета клиента (все документы, поступающие в операционное время, оформляют и отражают по счетам кредитной организации в этот же день, а документы, поступившие во внеоперационное время, отражают по счетам на следующий рабочий день);
- порядка и своевременности выдачи клиентам выписок из их лицевых счетов (должны предоставляться клиентам на бумажных носителях в порядке и сроки, указанные в карточках образцов подписей и оттиска печати).
На заключительном этапе проводится проверка подтверждения остатков лицевых счетов клиентов по состоянию на 1 января проверяемого периода. Проверяется наличие подтверждения остатков по расчетным (текущим) счетам, представляемым клиентами в банк в письменном виде за подписью руководителя и главного бухгалтера, своевременность их представления и тождественность указанных в них остатков данным по балансу на 1 января проверяемого периода.
3) проверка осуществления безналичных расчетов по счетам клиентов. Платежи по распоряжению клиента, когда инициатором выступает сам клиент (плательщик), могут осуществляться с использованием следующих форм безналичных расчетов: платежных поручений, чеков, аккредитивов. Расчеты по требованию получателя средств (бенифициара), предусматривающие согласие плательщика произвести платеж (акцепт), осуществляются с помощью платежных требований-поручений. Бесспорное (безакцептное) списание средств со счета, т. е. без распоряжения (без согласия) плательщика, выполняется с помощью инкассовых поручений, платежных требований. [19, c. 130] В соответствии с этим в ходе аудита безналичных расчетов по счетам клиентов проверяемого банка выполняются следующие проверки расчетов:
- платежными поручениями;
- чеками;
- аккредитивами;
- платежными требованиями-поручениями;
- инкассовыми поручениями (платежными требованиями).
В качестве примера рассмотрим проверку расчетов платежными поручениями. Прежде всего, на выборку проверяется соответствие платежных поручений установленным требованиям. Платежные поручения, которые представляются в банк на бумажных носителях, должны быть подписаны собственноручными подписями уполномоченных лиц, заверены оттиском печати в соответствии с заявленными образцами. Подписи на документе должны быть сделаны чернилами или пастой шариковой ручки.
С развитием информационных технологий и внедрением в практику дистанционного банковского обслуживания все большее значение в проведении безналичных расчетов получают платежные поручения, составленные на электронных носителях и подписанные аналогом собственноручной подписи.
Для электронных платежных поручений, передаваемых по каналам связи, каждый банк определяет порядок приема таких документов, их защиты, оформления и подтверждения в соответствии с Положением ЦБ РФ «О порядке приема к исполнению поручений владельцев счётов, подписанных аналогами собственноручной подписи, при проведении безналичных расчетов кредитными организациями».
Далее проверяется выполнение требований в отношении перечня содержащихся в платежном поручении таких реквизитов, как номер расчетного документа, число, месяц и год его выписки, наименование плательщика, его ИНН, номер счета в банке, наименование и реквизиты банка плательщика, наименование получателя средств, его ИНН, номер его счета в банке, наименование и реквизиты банка получателя средств, назначение платежа, сумма платежа (цифрами и прописью). Назначение платежа должно быть четко прописано. В случае предоплаты указывается номер договора, при оплате полученного товара - номер накладной или счета фактуры. Контролируются подчистки и исправления в исполненных банком поручениях.
После проверки правильности заполнения и оформления платежных поручений обращают внимание на наличие в принятых к исполнению платежных поручениях даты поступления в банк платежного поручения, штампа банка и подписи ответственного исполнителя.
На следующем этапе на выборку проверяется своевременность исполнения принятых платежных поручений. Для этого следует убедиться в исполнении конкретного платежа через:
1) расчетную сеть Банка России;
2) корреспондентские счета ЛОРО или НОСТРО;
3) счета межфилиальных расчетов, а также установлена ли для конкретного платежа дата его перечисления.
Так, например, при перечислении платежа через расчетную сеть Банка России платежное поручение должно быть исполнено банком в срок, предусмотренный законодательством или в более короткий срок, установленный договором банковского счета, либо определяемый применяемыми в банковской практике обычаями делового оборота. При этом дата перечисления платежа не устанавливается.
Проверка осуществляется исходя из установленного Правилами ведения бухгалтерского учета в кредитных организациях, расположенных на территории Российской Федерации, порядка оплаты денежно-расчетных документов через расчетно-кассовые центры (РКЦ):
- платежные поручения принимаются кредитной организацией в течение 10 дней со дня их выписки, не считая дня выписки;
- все платежные поручения, принятые в операционное время, заносятся в реестр принятых документов, а утром следующего рабочего дня составляется сводное платежное поручение и платежные документы с описью передаются в РКЦ (следует проверить, помещается ли реестр в документы этого дня);
- соответствующие проводки по лицевым счетам клиентов и корреспондентскому счету банка в РКЦ выполняются тем же днем (хотя выписка по корсчету получена утром следующего дня);
- при наличии в проверяемом банке возможности оплаты документов в день их поступления в банк следует проверить, что эти документы в реестр принятых документов не включались, а бухгалтерские проводки выполнялись (после получения выписки) днем проведения операции по корреспондентскому счету, т. е. днем принятия документов.
4) проверка соблюдения, порядка закрытия счетов. В соответствии со ст. 859 ГК РФ договор банковского счета расторгается по заявлению клиента в любое время, является основанием для закрытия счета клиента.
При этом отсутствие средств на счете клиента и наличие неоплаченных по этой причине расчетных документов, предъявленных к счету клиента, не ограничивают его права на расторжение договора банковского счета по своему усмотрению.
Договор может быть расторгнут судом по требованию банка в следующих случаях: когда сумма денежных средств, хранящихся на счете клиента, окажется ниже минимального размера, предусмотренного банковскими правилами или договором, если такая сумма не будет восстановлена в течение месяца со дня предупреждения банка об этом; либо если операции по этому счету не осуществлялись в течение года, если иное не предусмотрено договором.
На заключительном этапе проверяются факты: возврата банку чековой книжки с неиспользованными чеками и корешками по закрываемому счету; наличие отметки о закрытии счета в книге регистрации счетов и своевременность осуществления операций, связанных с переводом остатков средств по закрытому счету в другой банк.
В ходе проверки могут быть выявлены следующие нарушения порядка открытия и ведения расчетных (текущих) счетов клиентов:
- отсутствие отдельных документов в юридическом деле клиента или же документ оформлен неправильно;
- неправильно оформлены карточки с образцами подписей;
- неправильно присвоен номер балансового счета (ведет к искажению отчетности коммерческого банка);
- расхождение книги регистрации счетов и данных ведомости остатков;
- отсутствуют в книге регистрации отметки о закрытии счета; несоблюдение порядка хранения юридических дел.
Таким образом, проверка расчетных операций включает в себя проверку: правильности и своевременности осуществления операций по счетам клиентов; правильности оформления платежных документов, своевременности выставления и выполнения аккредитивов; формирования юридического “досье” клиентов в соответствии с действующими нормативными актами; своевременности извещения налоговых органов и Пенсионного фонда обо всех открытых счетах; законности открытия и закрытия расчетных, текущих, валютных и других счетов клиентов, корреспондентских счетов (субсчетов).
3. ПРАКТИЧЕСКАЯ РЕАЛИЗАЦИЯ ОТДЕЛЬНЫХ ЭЛЕМЕНТОВ АУДИТОРСКОЙ ПРОВЕРКИ РАСЧЕТНО-КАССОВЫХ ОПЕРАЦИЙ НА ПРИМЕРЕ КОММЕРЧЕСКОГО БАНКА «НОВОСИБИРСКИЙ МУНИЦИПАЛЬНЫЙ БАНК»
3.1 Расчет уровня существенности
В качестве объекта аудита расчетно-кассовых операций выбран ОАО Новосибирский Муниципальный банк (учрежден в апреле 1994 года, банковская лицензия № 2786 от 27 января 2003 года).
Для расчета уровня существенности можно применять методы, описанные в теоретической части дипломной работы. В данной работе выбран метод сальдо и оборотов по счетам.
Аудиторской проверке подлежат следующие остатки по счетам на конец отчетного периода ОАО «Новосибирский Муниципальный Банк» (табл. 2): 20202, 20207, 20208, 20209, 30102, 30109, 30110, 30202, 30204, 30213, 30221, 30223, 30601, 30602, 40502, 40503, 40601, 40602, 40603, 40701, 40702, 40703, 40704, 40802, 40817, 40901, 40905, 40906, 40909, 40910, 40911, 40912, 40913, 45915, 47405, 47407, 47408, 47411, 47416, 47422, 47423, 47425, 47426, 47427, 60301, 60302, 60303, 60304, 60305, 60306, 60307, 60308, 60309, 60310, 60312, 60314, 60323, 60324, 90901, 90902, 90907, 91003, 91004, 91802, 99998, 99999.
Сумма остатков на 01.01.2006 по анализируемым счетам составляет 32863210 тыс. руб (табл. 2, Прил. Б).
Сумма всех остатков на счетах оборотно-сальдовой ведомости составляет 38044556 тыс. руб.
Пользуясь данными оборотно-сальдовой ведомости (см. приложение), проведем расчет уровня существенности в денежном выражении по состоянию на 01.01.06:
=32863210*4,15/100 = 1364446,3 тыс. руб.
р = 2 (1+ √38044556/32863210) = 4,15%
Далее проведем аналогичный расчет по состоянию на 01.01.2005 и 01.01.2004.
Сумма остатков на 01.01.2005 по анализируемым счетам составляет 2931539,5 тыс. руб. (табл. 3, Прил. Б).
Сумма всех остатков на счетах оборотно-сальдовой ведомости составляет 5614441,0 тыс. руб.
=2931539,5 *4,65/100 = 2931539,5 тыс. руб.
р = 2 (1+ √5614441,0/2931539,5) = 4,65%
Уровень существенности по состоянию на 01.01.2004 составляет:
=1506541 *6,21/100 = 93572,9 тыс. руб.
р = 2 (1+ √6679043/1506541) = 6,21%,
где 1506541 тыс. руб. – сумма остатков на 01.01.2004 по анализируемым счетам (табл. 4, Прил. Б);
6679043,0 тыс. руб. - сумма всех остатков на счетах оборотно-сальдовой ведомости по состоянию на 01.01.2004.
Таким образом, как видно из проведенных расчетов видно, что уровень существенности в 2003 году составлял 6,21 % или 93572,9 тыс. руб., в 2004 году – 4,65 % или 2931539,5 тыс. руб., в 2005 году – 4,15 % или 1364446,3 тыс. руб. (рис. 1).

Рисунок 1 - Динамика уровня существенности
То есть наблюдается снижение уровня существенности. Причем можно отметить, что за 2005 год снижение уровня существенности составило 0,5 %, а за 2004 год снижение уровня существенности более значительно и составило 1,56%. Данное изменение можно объяснить изменениями, оказывающими существенное влияние на финансовую отчетность ОАО «Новосибирский Муниципальный Банк».
Так, по данным годового отчета кредитной организации, в 2005 году изменений (сделок), оказываемых существенное влияние на финансовую отчетность не происходило. В первом квартале 2004 г. банком было приобретено здание, расположенное по ул. Лазурная. 16/1, стоимость здания составляет 1 036 686.45 руб.
Сведения о существенных сделках, совершенных кредитной организацией - эмитентом за 2003 - 2004 гг., размер обязательств по которым составляет не менее 10% балансовой стоимости активов кредитной организации – по данным его бухгалтерской отчетности представлены в табл. 1.
Таблица 1 - Сведения о существенных сделках, совершенных кредитной организацией - эмитентом за 2003 - 2004 гг.
|
Дата |
Существенные сделки |
Изменение, % |
|
1 |
2 |
3 |
|
31.03.2003 |
Увеличение стоимости активов произошло за счет увеличения кредитного портфеля банка. |
32.45 |
|
30.06.2003 |
Увеличение стоимости активов произошло за счет увеличения объема ссудного портфеля банка. |
10.79 |
|
11.06.2003 |
Совершена разовая сделка (покупка векселей) на сумму 199 976,593 тыс.руб. |
24.70 |
|
11.06.2003 |
Совершена разовая сделка (продажа векселей) на сумму 199 998,890 тыс.руб. |
24.70 |
|
15.08.2003 |
Совершена разовая сделка (покупка векселей) на сумму 99 984,110 тыс.руб. |
10.9 |
|
15.08.2003 |
Совершена разовая сделка (продажа векселей) на сумму 99 999,220 тыс.руб. |
10.9 |
|
02.09.2003 |
Совершена разовая сделка (покупка векселей) на сумму 99 988,830 тыс.руб. |
11.52 |
|
02.09.2003 |
Совершена разовая сделка (продажа векселей) на сумму 99 999,660 тыс.руб. |
11.52 |
|
30.09.2003 |
Увеличение чистой прибыли произошло за счет роста процентных доходов Банка в связи с увеличением кредитного портфеля |
82.60 |
|
02.10.2003 |
Совершена разовая сделка (покупка векселей) на сумму 149 984,030 тыс.руб. |
17.34 |
|
02.10.2003 |
Совершена разовая сделка (продажа векселей) на сумму 99 999,990 тыс.руб. |
11.56 |
|
07.10.2003 |
Совершена разовая сделка (покупка векселей) на сумму 100 000,000 тыс.руб. |
11.09 |
|
07.10.2003 |
Совершена разовая сделка (новация векселей) на сумму 100 000,000 тыс.руб. |
11.09 |
|
31.12.2003 |
Увеличение чистой прибыли произошло за счет роста процентных доходов Банка в связи с увеличением кредитного портфеля |
51.90 |
|
31.12.2003 |
Увеличение стоимости активов произошло за счет увеличения объема ссудного портфеля банка. |
18.68 |
|
31.03.2004 |
Увеличение чистой прибыли произошло за счет роста процентных доходов Банка в связи с увеличением кредитного портфеля |
25.65 |
|
31.03.2004 |
Увеличение стоимости активов произошло за счет увеличения объема ссудного портфеля банка. |
34.70 |
Таким образом, изменение уровня существенности можно объяснить тем, что в период с 2003 по 2004 гг в деятельности ОАО «Новосибирский Муниципальный Банк» происходили сделки, оказывающие существенное влияние на состояние финансовой отчетности организации. В 2004-2005 гг. таких сделок не происходило.
3.2 Разработка тестов для аудита расчетно-кассовых операций
3.2.1 Разработка тестов для аудита кассовых операций
Основными документами, которые необходимо изучить при проверке кассовых операций, являются: кассовая книга; отчеты кассира; приходные кассовые ордера; расходные кассовые ордера; журнал (книга) регистрации приходных кассовых ордеров; журнал (книга) регистрации расходных кассовых ордеров; журнал (книга) регистрации выданных доверенностей; журнал (книга) регистрации депонентов; журнал (книга) регистрации платежных (расчетно-платежных) ведомостей; оправдательные документы к кассовым документам; авансовые отчеты.
Прежде чем приступить к сплошной проверке кассовых операций, аудитор должен спланировать эту проверку, так как «сплошная» проверка не означает, что один за другим будут просмотрены все кассовые документы. Эти документы могут просматриваться неоднократно, но каждый раз аудитор выполняет совершенно определенную процедуру, направленную на выявление одного из возможных нарушений. Каждая процедура имеет свое назначение, преследует определенную цель, а ее результаты необходимо оформить в виде специальной таблицы (рабочего документа аудитора).
Составлению плана проверки предшествует оценка состояния внутреннего контроля за движением и сохранностью денежных средств и других ценностей в кассе предприятия.
Аудитор с помощью специально составленного вопросника определяет состояние внутреннего контроля, дает предварительную оценку соблюдения на предприятии кассовой дисциплины, выявляет наиболее уязвимые с точки зрения злоупотреблений места, планирует состав основных контрольных процедур, определяет специфические черты ведения учета кассовых операций на предприятии, описание которых отсутствует в имеющемся у него наборе стандартных процедур.
Признаками отсутствия или недостаточности внутреннего контроля за движением денежных средств в кассе предприятия для аудитора служат:
- отсутствие на предприятии налаженной системы проведения внезапных ревизий кассы с полным пересчетом денежной наличности и проверкой других ценностей, находящихся в кассе;
- отсутствие на предприятии приказа руководителя, устанавливающего периодичность проверок;
- наличие признаков формального проведения ревизий кассы: назначение в комиссии по проведению ревизий постоянно одних и тех же лиц, отсутствие прилагаемых к акту рабочих записей ревизионной комиссии, свидетельствующих о полистном пересчете банкнот, проведение проверок кассы на отчетные даты, когда кассир знает о них и заранее готовится, и др.;
- предоставление права подписи приходных и расходных кассовых ордеров другим лицам помимо главного бухгалтера и руководителя предприятия, не отраженное в распоряжениях руководителя предприятия;
- формальное проведение ревизии кассы при смене (увольнении) кассиров;
- отсутствие в штате кассира и возложение этих функций на счетного работника без письменного распоряжения руководителя предприятия;
- отсутствие договоров с кассиром о полной материальной ответственности;
- отсутствие у кассира навыков подготовки к ревизии кассы, свидетельствующих о том, что такая процедура является для него обычной.
Ответственность за соблюдение порядка ведения кассовых операций возлагается на руководителей предприятий, главных бухгалтеров и кассиров, поэтому аудитор должен опросить каждого из перечисленных ответственных лиц.
Вопросник аудитора составляется таким образом, что в большинстве случаев ответ не надо вписывать, так как аудитор отмечает в вопроснике полученный ответ, номер процедуры и номер предварительного вывода. Вопросник построен по принципу блок-схемы: если нет необходимости задавать какой-либо вопрос, номер следующего вопроса указан в графе «Номер следующего вопроса».
Вопросник аудитора (табл. 3) составляется в трех экземплярах, на каждом из них проставляются должность, фамилия, имя и отчество лица, с которым будет проведена беседа.
Результаты опроса ответственных лиц могут не совпадать: кассир может не знать, имеется ли на предприятии приказ о внезапных ревизиях кассы, руководитель организации - о необходимости заключать договор о полной материальной ответственности с кассиром. Несовпадения в ответах на поставленные аудитором вопросы также свидетельствуют о слабых сторонах внутреннего контроля.
Ответы на вопросы могут быть типа «должен (должны) быть», т.е. отвечающий не уверен в своем ответе. В таком случае ответ на поставленный вопрос аудитору приходится находить самому или опрашивать других сотрудников предприятия.
По результатам опроса у аудитора складывается определенное мнение о состоянии кассовой дисциплины на предприятии. Представленный вопросник позволяет аудитору сделать ряд промежуточных выводов, совокупность которых дает право сделать основной вывод о том, что кассовая дисциплина у клиента не соблюдается, а порядок ведения кассовых операций нарушается.
Если по результатам опроса сотрудников проверяемого предприятия и данным экспресс-анализа отчетности кассовые операции составляют небольшой удельный вес в общем числе хозяйственных операций, то аудитор может планировать проверку кассовых операций в обычном порядке для оценки существенности статьи «Касса» в отчетности предприятия.
В общем случае по результатам опроса, а также непосредственного наблюдения за совершением операций по приему и выдаче денег из кассы у аудитора оказывается сформированным план проведения проверки кассовых операций и намечен состав процедур.
Таблица 2 - Вопросник для обследования учета кассовых операций и составления плана и программы проверки
|
№ п/п |
Вопрос |
Вариант ответа |
Информация или документ, который следует запросить |
Назначаемая аудиторская процедура |
Номер следующего вопроса |
Номер вывода |
|
1 |
2 |
3 |
4 |
5 |
6 |
7 |
|
1 |
Кому было предоставлено право подписи приходных и расходных кассовых ордеров в качестве главного бухгалтера |
Только главному бухгалтеру |
Образец подписи главного бухгалтера |
|
|
|
|
Уполномоченному лицу (лицам) |
|
|
|
|
||
|
2 |
Имеются ли письменные распоряжения руководителя предприятия о назначении уполномоченного лица ставить подписи на приходных и расходных кассовых ордерах в качестве главного бухгалтера |
Нет |
|
|
|
|
|
Да |
Письменные распоряжения руководителя. Сроки действия полномочий. Образцы подписей уполномоченных лиц |
|
|
|
||
|
3 |
Кому предоставлено право подписи расходных кассовых документов в качестве руководителя организации |
Только руководителю предприятия |
Образец подписи руководителя |
|
|
|
|
Уполномоченному лицу (лицам) |
|
|
|
|
||
|
4 |
Имеются ли письменные распоряжения руководителя организации о назначении уполномоченного лица ставить подписи на расходных кассовых ордерах и оправдательных документах в качестве руководителя организации |
Нет |
|
|
|
|
|
Да |
Письменные распоряжения руководителя. Сроки действия полномочий. Образцы подписей уполномоченных лиц |
|
|
|
||
|
5 |
Ведется ли в организации журнал регистрации приходных кассовых ордеров |
Нет |
|
|
|
|
|
Да |
Журнал регистрации приходных кассовых ордеров |
|
|
|
||
|
6 |
Ведется ли в организации журнал регистрации расходных кассовых ордеров |
Нет |
|
|
|
|
|
Да |
Журнал регистрации расходных кассовых ордеров |
|
|
|
||
|
7 |
В каком размере банком установлен лимит денег в кассе |
|
Лимит остатка денег в кассе предприятия, установленный банком |
|
|
|
|
8 |
Установлены ли руководителем организации сроки внезапной ревизии кассы приказом по предприятию |
Нет |
|
|
|
|
|
Да |
Приказ об установлении сроков внезапной ревизии кассы |
|
|
|
||
|
9 |
Сменялись ли кассиры на предприятии в проверяемом периоде |
Нет |
|
|
|
|
|
Да |
|
|
|
|
||
|
10 |
Была ли проведена ревизия при смене кассиров |
Нет |
|
|
|
|
|
Да |
Акт ревизии кассы |
|
|
|
||
|
11 |
Назначена ли приказом руководителя предприятия комиссия для проведения ревизии кассы |
Нет |
|
|
|
|
|
Да |
Приказ о назначении комиссии по ревизии кассы |
|
|
|
||
|
12 |
Соблюдались ли установленные сроки внезапных ревизий кассы |
Нет |
|
|
|
|
|
Да |
Акты внезапных ревизий кассы |
|
|
|
||
|
13 |
Заключен ли договор с кассиром о полной материальной ответственности |
Нет |
|
|
|
|
|
Да |
Договоры с кассирами о полной материальной ответственности |
|
|
|
По результатам опроса ответственных работников проверяемого предприятия по вопроснику аудитор может сделать выводы о том, что в нарушение:
- порядка ведения кассовых операций в РФ, кассовые ордера подписываются параллельно с главным бухгалтером лицами, полномочия которых не подтверждены письменным распоряжением (приказом) руководителя организации;
- порядка ведения кассовых операций в РФ, расходные кассовые ордера подписываются параллельно с руководителем предприятия лицами, полномочия которых не подтверждены письменным распоряжением (приказом) руководителя организации;
- порядка ведения кассовых операций в РФ, в бухгалтерии организации не ведется Журнал регистрации приходных и расходных кассовых документов;
- порядка ведения кассовых операций в РФ, в организации не установлены приказом (распоряжением) руководителя организации сроки внезапной ревизии кассы с полным полистным пересчетом денежной наличности и проверкой других ценностей, находящихся в кассе;
- порядка ведения кассовых операций в РФ, в организации при смене кассира не была проведена ревизия кассы;
- порядка ведения кассовых операций в РФ, приказом руководителя предприятия не назначена специальная комиссия для проведения ревизии кассы;
- порядка ведения кассовых операций в РФ и приказа руководителя предприятия № ____ от___________, в организации внезапные ревизии кассы не проводились;
- порядка ведения кассовых операций в РФ договор о полной материальной ответственности с кассиром не заключен;
- порядка ведения кассовых операций в РФ, в организации не ведется кассовая книга. Очевидно, что одна такая запись превышает значение всех предыдущих и последующих. Но такой вывод вполне может быть сделан и тогда, когда кассовая книга представляет собой разрозненные листы, или листы не пронумерованы, книга не прошнурована и не опечатана печатью организации;
- порядка ведения кассовых операций в РФ, при выдаче денег на хозяйственные нужды срок, на который они выданы, не устанавливается. Такое положение снижает возможность контроля за расходованием средств;
- порядка ведения кассовых операций в РФ, кассир при закрытии платежных (расчетно-платежных) ведомостей реестр депонированных сумм не составляет; принятых правил, внутренний контроль за выплатой депонированных сумм ослаблен отсутствием на предприятии журнала учета депонентов; принятых правил, внутренний контроль за выдачей депонированных сумм ослаблен тем, что обязанность ведения книги регистрации депонентов (картотеки депонентов) возложена на кассира, а не на счетного работника.
3.2.2 Разработка тестов для аудита расчетных операций
Для проведения аудиторской проверки расчетного, валютного и прочих счетов в банках аудитор должен помнить следующее. В соответствии с гл. 45 ГК РФ по договору банковского счета банк обязуется принимать и зачислять поступающие на счет, открытый клиенту (владельцу счета), денежные средства, выполнять распоряжения клиента о перечислении и выдаче соответствующих сумм со счета и проведении других операций по счету.
Банк может использовать имеющиеся на счете денежные средства, гарантируя право клиента беспрепятственно распоряжаться этими средствами. Банк не вправе определять и контролировать направления использования денежных средств клиента и устанавливать другие, не предусмотренные законом или договором банковского счета ограничения его права распоряжаться денежными средствами по своему усмотрению.
При заключении договора банковского счета клиенту или указанному им лицу открывается счет в банке на условиях, согласованных сторонами.
Банк обязан заключить договор банковского счета с клиентом, обратившимся с предложением открыть счет, на объявленных банком для открытия счетов данного вида условиях, соответствующих требованиям, предусмотренным законом и установленными в соответствии с ним банковскими правилами.
Банк не вправе отказать в открытии счета, совершение соответствующих операций по которому предусмотрено законом, учредительными документами банка и выданным ему разрешением (лицензией), за исключением случаев, когда такой отказ вызван отсутствием у банка возможности принять клиента на банковское обслуживание либо допускается законом или иными правовыми актами.
Права лиц, осуществляющих от имени клиента распоряжения о перечислении и выдаче средств со счета, удостоверяются клиентом путем представления банку документов, предусмотренных законом, соответствующих установленным им банковскими правилами и договору банковского счета.
Клиент может дать распоряжение банку о списании денежных средств со счета по требованию третьих лиц, в том числе связанному с исполнением клиентом своих обязательств перед этими лицами. Банк принимает такие распоряжения при условии указания в них в письменной форме необходимых данных, позволяющих при предъявлении соответствующего требования идентифицировать лицо, имеющее право на его предъявление.
Договором может быть предусмотрено удостоверение прав распоряжения денежными суммами, находящимися на счете, электронными средствами платежа и другими документами с использованием в них аналогов собственноручной подписи, кодов, паролей и иных средств, подтверждающих, что распоряжение дано уполномоченным на это лицом.
Банк обязан совершать для клиента операции, предусмотренные для счетов данного вида законом, установленными в соответствии с ним банковскими правилами и применяемыми в банковской практике обычаями делового оборота, если договором банковского счета не предусмотрено иное.
В случаях, когда в соответствии с договором банковского счета банк осуществляет платежи со счета, несмотря на отсутствие денежных средств (кредитование счета), банк считается предоставившим клиенту кредит на соответствующую сумму со дня осуществления такого платежа. Права и обязанности сторон, связанные с кредитованием счета, определяются правилами о займе и кредите, если договором банковского счета не предусмотрено иное.
В случаях, предусмотренных договором банковского счета, клиент оплачивает услуги банка по совершению операций с денежными средствами, находящимися на счете. Плата за услуги банка может взиматься банком по истечении каждого квартала из денежных средств клиента, находящихся на счете, или по мере движения средств на счете клиента.
Если иное не предусмотрено договором банковского счета, за пользование денежными средствами, находящимися на счете клиента, банк уплачивает проценты, сумма которых зачисляется на счет в сроки, предусмотренные договором, а в случае, когда такие сроки договором не предусмотрены, - по истечении каждого квартала. Проценты уплачиваются банком в размере, определяемом договором банковского счета, а при отсутствии в договоре соответствующего условия - в размере, обычно уплачиваемом банком по вкладам до востребования.
Денежные требования банка к клиенту, связанные с кредитованием счета и оплатой услуг банка, а также требования клиента к банку об уплате процентов за пользование денежными средствами прекращаются зачетом, если иное не предусмотрено договором банковского счета. Зачет указанных требований осуществляется банком. Банк обязан информировать клиента о произведенном зачете в порядке и в сроки, которые предусмотрены договором, а если соответствующие условия сторонами не согласованы, - в порядке и в сроки, которые являются обычными для банковской практики предоставления клиентам информации о состоянии денежных средств на соответствующем счете.
Списание денежных средств со счета осуществляется банком на основании распоряжения клиента. Без распоряжения клиента списание денежных средств, находящихся на счете, допускается по решению суда, а также в случаях, установленных законом или предусмотренных договором между банком и клиентом.
При наличии на счете денежных средств, сумма которых достаточна для удовлетворения всех требований, предъявленных к счету, списание средств со счета осуществляется в порядке поступления распоряжений клиента и других документов на списание (календарная очередность), если иное не предусмотрено законом. При недостаточности денежных средств на счете для удовлетворения всех предъявленных к нему требований списание денежных средств осуществляется в следующей очередности:
- в первую очередь - по исполнительным документам, предусматривающим перечисление или выдачу денежных средств со счета для удовлетворения требований о возмещении вреда, причиненного жизни и здоровью, а также требований о взыскании алиментов;
- во вторую очередь - по исполнительным документам, предусматривающим перечисление или выдачу денежных средств для расчетов по выплате выходных пособий и оплате труда с лицами, работающими по трудовому договору, в том числе по контракту, по выплате вознаграждений по авторскому договору;
в третью очередь - по платежным документам, предусматривающим перечисление или выдачу денежных средств для расчетов по оплате труда с лицами, работающими по трудовому договору (контракту);
- в четвертую очередь - по платежным документам, предусматривающим платежи в бюджет и внебюджетные фонды, отчисления в которые не предусмотрены в третьей очереди;
- в пятую очередь - по исполнительным документам, предусматривающим удовлетворение других денежных требований;
- в шестую очередь - по другим платежным документам в порядке календарной очередности.
Списание средств со счета по требованиям, относящимся к одной очереди, производится в порядке календарной очередности поступления документов.
В случаях несвоевременного зачисления на счет поступивших клиенту денежных средств либо их необоснованного списания банком со счета, а также невыполнения указаний клиента о перечислении денежных средств со счета либо о их выдаче со счета, банк обязан уплатить на эту сумму проценты в порядке и в размере, предусмотренным ст. 395 ГК РФ.
Банк гарантирует тайну банковского счета и банковского вклада, операций по счету и сведений о клиенте. Сведения, составляющие банковскую тайну, могут быть предоставлены только самим клиентам или их представителям. Государственным органам и их должностным лицам такие сведения могут быть предоставлены исключительно в случаях и в порядке, предусмотренных законом. В случае разглашения банком сведений, составляющих банковскую тайну, клиент, права которого нарушены, вправе потребовать от банка возмещения причиненных убытков.
Договор банковского счета расторгается по заявлению клиента в любое время.
В соответствии со ст. 23 Налогового кодекса РФ налогоплательщики обязаны в десятидневный срок письменно сообщить в налоговый орган по месту учета об открытии или закрытии счетов.
Согласно ст. 46 Налогового кодекса РФ взыскание налога, сбора, а также пени может производиться за счет денежных средств, находящихся на счетах налогоплательщика (плательщика сборов) -организации или налогового агента-организации в банках. При этом инкассовое поручение (распоряжение) на перечисление налога в соответствующий бюджет и (или) внебюджетный фонд направляется налоговым органом в банк, где открыты счета налогоплательщика, плательщика сборов или налогового агента, и подлежит безусловному исполнению банком в очередности, установленной гражданским законодательством Российской Федерации.
Инкассовое поручение (распоряжение) налогового органа на перечисление налога должно содержать указание на те счета налогоплательщика или налогового агента, с которых должно быть произведено перечисление налога, и сумму, подлежащую перечислению.
Взыскание налога может производиться с рублевых расчетных (текущих) и (или) валютных счетов налогоплательщика или налогового агента, за исключением ссудных и бюджетных счетов.
Взыскание налога с валютных счетов налогоплательщика или налогового агента производится в сумме, эквивалентной сумме платежа в рублях по курсу Центрального банка РФ на дату продажи валюты. При взыскании средств, находящихся на валютных счетах, руководитель (его заместитель) налогового органа одновременно с инкассовым поручением направляет поручение банку на продажу не позднее следующего дня валюты налогоплательщика или налогового агента.
Не производится взыскание налога с депозитного счета налогоплательщика или налогового агента, если не истек срок действия депозитного договора. При наличии указанного договора налоговый орган вправе дать банку поручение (распоряжение) на перечисление по истечении срока действия депозитного договора денежных средств с депозитного счета на расчетный (текущий) счет налогоплательщика или налогового агента, если к этому времени не будет исполнено направленное в этот банк поручение налогового органа на перечисление налога.
При расчетах используются следующие первичные документы: платежные поручения; платежные требования-поручения; объявления на взнос наличными; чековые книжки; реестры чеков; аккредитивы; кредитные договоры; выписки банка.
Для составления плана и программы аудиторской проверки аудитор может воспользоваться следующим перечнем вопросов (табл. 3).
Таблица 3 - Вопросник для составления плана и программы аудиторской проверки
|
№ п/п |
Вопрос |
Вариант ответа |
Информация или документ, который следует запросить |
Назначаемая аудиторская процедура |
|
1 |
2 |
3 |
4 |
5 |
|
1 |
Правильно ли оформлены открытые счета банка |
Да |
Договор с банком, выписки банка, первичные документы |
|
|
Нет |
Договоры с банками, выписки банков, первичные документы |
|
||
|
Нет |
|
|
||
|
2 |
Внедрены ли мероприятия применяемые банком для защиты от фиктивных клиентов |
Да |
Внутренние документы банка (распоряжения, приказы о внедрении) |
|
|
Нет |
||||
|
3 |
Правильно ли оформлены счета (открытие, закрытие счета) |
Да |
Договоры с банками, выписки банков, первичные документы |
|
|
Нет |
||||
|
4 |
Оформляются ли сопроводительные первичные документы по каждому движению средств |
Да |
платежные поручения, мемориальные ордера |
|
|
Нет |
Так осуществляются отдельные элементы аудита расчетно-кассовых операций кредитных организаций. В следующем параграфе проведен анализ расчетно-кассовых операций «Новосибирский Муниципальный Банк».
3.3 Анализ расчетно-кассовых операций коммерческого банка
При анализе расчетно-кассовых операций коммерческого банка проверим правильность отражения данных операций в балансе банка.
В табл. 5 и 6 приведены расчетные операции «Новосибирский Муниципальный банк» (Прил. В). Из табл. 5 и 6 можно сделать вывод, что расчетно-кассовые операции верно отражены в балансе банка.
Проведем анализ расчетно-кассовых операций в динамике (табл. 4).
Таблица 4 – Расчетно-кассовые расчетно-кассовые операции банка
|
Наименование операций |
Значение на 01.01.06, тыс. руб. |
Уд. вес, % |
Значение на 01.01.05, тыс. руб. |
Уд. вес, % |
Изменение, тыс. руб. |
Изменение, % |
|
1 |
2 |
3 |
4 |
5 |
6 |
7 |
|
АКТИВЫ |
||||||
|
Наличная валюта и чеки |
223643 |
16,9 |
157561 |
8,96 |
66082 |
7,94 |
|
Корреспондентские счета |
215181 |
16,3 |
12024 |
0,68 |
203157 |
15,62 |
|
Счета кредитных организаций |
49422 |
3,74 |
33208 |
1,89 |
16214 |
1,85 |
|
Средства в расчетах |
0 |
0 |
0 |
0 |
0 |
0 |
|
Расчеты по отдельным операциям |
19688 |
1,49 |
10177 |
0,57 |
9511 |
0,92 |
|
Прочии счета по операциям с выпущенными ценными бумагами |
3602 |
0,28 |
0 |
0 |
3602 |
0,28 |
|
Расчеты с дебиторами и кредиторами |
33567 |
2,54 |
11394 |
0,65 |
22173 |
1,89 |
|
Расчетные операции |
774928 |
58,7 |
1534757 |
87,25 |
-759829 |
-28,55 |
|
Итого активные расчетно-кассовые операции |
1320031 |
100 |
1759121 |
100 |
439090 |
0,00 |
|
ПАССИВЫ |
||||||
|
Корреспондентские счета кредитных организаций-корреспондентов |
2535 |
0,37 |
4 |
0,00 |
2531 |
0,37 |
|
Незавершенные расчеты по операциям, совершаемым с использованием платежных карт |
12140 |
1,79 |
0 |
0,00 |
12140 |
1,79 |
|
Расчеты по ценным бумагам |
169 |
0,025 |
130 |
0,03 |
39 |
-0,05 |
|
Счета организаций, находящихся в федеральной собственности |
- |
- |
16758 |
3,5 |
-16758 |
-3,5 |
|
Счета организаций, находящихся в государственной (кроме федеральной) собственности |
33551 |
4,97 |
111839 |
23,53 |
-78288 |
-18,56 |
|
Счета негосударственных организаций |
327231 |
48,44 |
224277 |
47,89 |
102954 |
0,55 |
|
Прочие счета |
231771 |
34,3 |
12735 |
2,68 |
219036 |
31,62 |
|
Средства в расчетах |
31051 |
4,59 |
60987 |
12,83 |
-29936 |
-8,24 |
|
Расчеты по отдельным операциям |
28056 |
4,15 |
39553 |
8,32 |
-11477 |
-4,17 |
|
Расчеты с дебиторами и кредиторами |
9025 |
1,35 |
8989 |
1,89 |
36 |
-34,65 |
|
Итого пассивные расчетно-кассовые операции |
675529 |
100 |
475272 |
100 |
- |
200527 |
Более наглядно динамику расчетно-кассовых операций можно представить на рис. 2.
Как видно из табл. 4 и рис. 2, наиболее значительные изменения за анализируемый период произошли в расчетных операциях (увеличение на 28,55 %), по счетам организаций, находящихся в государственной (кроме федеральной) собственности (увеличение на 18,56), по прочим счетам (снижение на 31,62 %). Увеличились также средства в расчетах (на 8,24%) и расчеты по отдельным операциям (на 4,27 %). По остальным операциям существенных изменений не наблюдалось (рис. 2).

Рисунок 2 - Динамика расчетно-кассовых операций ОАО «Новосибирский Муниципальный Банк»
Основную часть расчетно-кассовых операций ОАО «Новосибирский Муниципальный банк» в 2005 году занимали расчетные операции, включающие расчетные документы, ожидающие акцепта для оплаты, расчетные документы, не оплаченные в срок, выставленные аккредитивы (58,7 %), по сравнению с 2004 годом расчетные операции снизились на 28,55 %.
Корреспондентские счета и наличная валюта в 2005 году составляли 16,3 и 16,9 % соответственно. По сравнению с 2004 годом наблюдаются следующие изменения: корреспондентские счета увеличились на 15,62 %, наличная валюта – увеличились на 7,94 %.
В 2005 году по сравнению с 2004 годом незначительно увеличись расчеты с дебиторами и кредиторами и составили 2,54% от всех активных расчетно-кассовых операций против 0,65 %, а также расчеты по отдельным операциям – 1,49 % против 0,57 %.
Счета кредитных организаций в 2005 году занимали 3,74 % от всех активных расчетных операций, против 1,89 % в 2004 году.
Следует отметить, что остатки на счетах «Наличная валюта и чеки» отражены в балансе ОАО «Новосибирский Муниципальный Банк» по статье «Денежные средства». Суммы на отчетную дату (01.01.06 и на 01.01.05) совпадают с указанными в оборотно-сальдовой ведомости и составляют 223643 тыс. руб. в 2005 году и 157561 тыс. руб. в 2004 году.
Можно отметить основную часть пассивных расчетно-кассовых операций в 2005 году занимали операции по счетам негосударственных организаций – 48,44 %, значительного изменения по сравнению с 2004 годом по данной статье не наблюдается (изменение составляет 0,55 %). В 2005 году в деятельности банка значительно увеличились операции по статье «прочие счета» - на 31,62% и составили 34,3 % от всех пассивных расчетно-кассовых операций, что составляет 231771 тыс. руб. против 2,68 % или 12735 тыс. руб. Данное изменение можно объяснить тем, что возросли операции по счетам индивидуальных предпринимателей и физических лиц.
Значительных изменений в расчетах по ценным бумагам, расчетам по отдельным операциям, а также в расчетах по счетам организаций, находящихся в федеральной собственности в 2005 году по сравнению с 2004 годом не произошло.
Счета организаций, находящихся в государственной (кроме федеральной) собственности снизились в 2005 году на 18,56 % в общей сумме всех пассивных расчетно-кассовых операций.
Следует также отметить, что корреспондентские счета кредитных организаций-корреспондентов отражены в балансе как статья «Счета кредитных организаций», расчетные данные соответствуют фактически значащимся в бухгалтерском балансе ОАО «Новосибирский Муниципальный Банк» на обе отчетные даты.
Произошедшие изменения в динамике расчетно-кассовых операций говорят о том, что объем расчетно-кассовых операций за анализируемый период увеличился: увеличилось количество расчетных счетов корпоративных клиентов банка, наблюдается увеличение объемов расчетно-кассового обслуживания физических лиц.
Таким образом, можно отметить, что в данной главе было выполнено следующее:
- с помощью метода сальдо и оборотов по счетам был рассчитан уровень существенности по аудиту расчетно-кассовых операций, который по состоянию на 01.01.2006 составил 4,15 % или 1364446,3 тыс. руб.
- были разработаны тесты аудитора при проверке кассовых и расчетных операций банка.
- был проведен анализ расчетно-кассовых операций банка на правильность отражения операций в бухгалтерском балансе, которые показал соответствие статей оборотно-сальдовой ведомости банка статьям бухгалтерского баланса;
- был проведен анализ статей расчетно-кассовых операций в динамике за два года, выявлены основные расхождения по статьям, которые вполне объяснимы текущей деятельностью банка.
ЗАКЛЮЧЕНИЕ
Поставленная в дипломной работе цель – изучение теоретических и практических основ аудита расчетно-кассовых операций – была достигута.
Для достижения цели в первой главе были рассмотрены теоретические и правововые аспекты расчетно-кассовых операций кредитных организаций.
Выполненная первая глава работы позволила сделать следующие выводы.
Расчетно-кассовое обслуживание банковских учреждений подразумевает выдачу, прием и сохранность денежных знаков. В соответствии с Положением «О порядке ведения кассовых операций в кредитных организациях на территории Российской Федерации» № 199-П для осуществления кассового обслуживания физических и юридических лиц, а также для выполнения операций с наличными деньгами и другими ценностями кредитные организации в зданиях, принадлежащих или арендуемых ими, создают оборудованные и технически укрепленные помещения. Необходимость создания помещений для совершения операций с ценностями определяется руководителем кредитной организации исходя из выполняемых операций с ценностями.
Для обеспечения своевременной выдачи наличных денег с банковских счетов организаций, предприятий, учреждений независимо от организационно-правовой формы и физических лиц, осуществляющих предпринимательскую деятельность без образования юридического лица, а также со счетов по вкладам граждан кредитным организациям устанавливается сумма минимально допустимого остатка наличных денег в операционной кассе на конец дня. Фактический остаток денег в кассе не должен быть ниже установленного.
Расчетно-кассовые операции - ведение счетов юридических и физических лиц и осуществление расчетов по их поручению. Порядок открытия и круг операций, осуществляемых с расчетного или текущего счета, регламентируется Центральным банком России, а механизм функционирования соответствующего счета (возможность овердрафта и т.д.) определяется коммерческим банком по согласованию с конкретным клиентом и закрепляется договором по расчетно-кассовому обслуживанию.
Вторая глава посвящена правовым и организационно-методическим аспектам аудита расчетно-кассовых операций кредитных организаций. Особое внимание во второй главе уделено понятию существенности и методичке расчета уровня существенности.
Вторая глава позволяет сделать следующие выводы.
Целью аудита кассы и кассовых операций является проверка соблюдения коммерческим банком банковского законодательства в сфере хранения, ведения и учета операций с денежной наличностью.
Аудитором проверяется:
- достаточная техническая укрепленность хранилища;
- достаточная оснащенность операционных касс;
- соблюдение банком установленного порядка ведения кассовых операций;
- соблюдение порядка расчетов наличными деньгами;
- соблюдение правил поступления наличных денег в кассу банка;
- соблюдение правил организации и учета получения наличных денег из кассы банка;
- соблюдение лимита расчета наличными деньгами;
- соблюдение кассового планирования и соблюдение лимита остатков кассы банка;
- соблюдение полноты и правильности учета ценностей в хранилище;
- состояние отчетности о кассовых оборотах банка;
- количество ревизий по кассе;
- состояние договоров о полной материальной ответственности с лицами, ответственными за работу с наличностью и другими ценностями.
Проверка расчетных операций включает в себя проверку:
- проверка обоснованности открытия и правильности ведения расчетных и текущих счетов в рублях резидентов РФ и нерезидентов;
- проверка обоснованности открытия и правильности ведения текущих счетов в иностранной валюте резидентов РФ и нерезидентов РФ;
- проверка соблюдения правил осуществления безналичных расчетов (платежными поручениями, аккредитивами);
- своевременности извещения налоговых органов и Пенсионного фонда обо всех открытых счетах;
- оценка учета расчетных операций.
Третья глава посвящена аудиту расчетно-кассовых операций в ОАО «Новосибирский Муниципальный Банк».В практической части работы было выполнено следующее:
- с помощью метода сальдо и оборотов по счетам был рассчитан уровень существенности по аудиту расчетно-кассовых операций, который по состоянию на 01.01.2006 составил 4,15 % или 1364446,3 тыс. руб., по состоянию на 01.01.2005 составил 4,65 % или 2931539,5 тыс. руб., по состоянию на 01.01.2004 – 6,15 % или 93572,9 тыс. руб.
- были разработаны тесты аудитора при проверке кассовых и расчетных операций банка.
- был проведен анализ расчетно-кассовых операций банка на правильность отражения операций в бухгалтерском балансе, которые показал соответствие статей оборотно-сальдовой ведомости банка статьям бухгалтерского баланса;
- был проведен анализ статей расчетно-кассовых операций в динамике за два года, выявлены основные расхождения по статьям, которые вполне объяснимы текущей деятельностью банка.
В целом дипломная работа позволила сделать следующие выводы.
Основными документами, которые необходимо изучить при проверке кассовых операций, являются: кассовая книга; отчеты кассира; приходные кассовые ордера; расходные кассовые ордера; журнал (книга) регистрации приходных кассовых ордеров; журнал (книга) регистрации расходных кассовых ордеров; журнал (книга) регистрации выданных доверенностей; журнал (книга) регистрации депонентов; журнал (книга) регистрации платежных (расчетно-платежных) ведомостей; оправдательные документы к кассовым документам; авансовые отчеты.
Прежде чем приступить к сплошной проверке кассовых операций, аудитор должен спланировать эту проверку, так как «сплошная» проверка не означает, что один за другим будут просмотрены все кассовые документы. Эти документы могут просматриваться неоднократно, но каждый раз аудитор выполняет совершенно определенную процедуру, направленную на выявление одного из возможных нарушений. Каждая процедура имеет свое назначение, преследует определенную цель, а ее результаты необходимо оформить в виде специальной таблицы (рабочего документа аудитора).
Составлению плана проверки предшествует оценка состояния внутреннего контроля за движением и сохранностью денежных средств и других ценностей в кассе предприятия.
Аудитор с помощью специально составленного вопросника определяет состояние внутреннего контроля, дает предварительную оценку соблюдения на предприятии кассовой дисциплины, выявляет наиболее уязвимые с точки зрения злоупотреблений места, планирует состав основных контрольных процедур, определяет специфические черты ведения учета кассовых операций на предприятии, описание которых отсутствует в имеющемся у него наборе стандартных процедур.
Признаками отсутствия или недостаточности внутреннего контроля за движением денежных средств в кассе предприятия для аудитора служат:
- отсутствие на предприятии налаженной системы проведения внезапных ревизий кассы с полным пересчетом денежной наличности и проверкой других ценностей, находящихся в кассе;
- отсутствие на предприятии приказа руководителя, устанавливающего периодичность проверок;
- наличие признаков формального проведения ревизий кассы: назначение в комиссии по проведению ревизий постоянно одних и тех же лиц, отсутствие прилагаемых к акту рабочих записей ревизионной комиссии, свидетельствующих о полистном пересчете банкнот, проведение проверок кассы на отчетные даты, когда кассир знает о них и заранее готовится, и др.;
- предоставление права подписи приходных и расходных кассовых ордеров другим лицам помимо главного бухгалтера и руководителя предприятия, не отраженное в распоряжениях руководителя предприятия;
- формальное проведение ревизии кассы при смене (увольнении) кассиров;
- отсутствие в штате кассира и возложение этих функций на счетного работника без письменного распоряжения руководителя предприятия;
- отсутствие договоров с кассиром о полной материальной ответственности;
- отсутствие у кассира навыков подготовки к ревизии кассы, свидетельствующих о том, что такая процедура является для него обычной.
Для проведения аудиторской проверки расчетного, валютного и прочих счетов в банках аудитор должен помнить следующее. В соответствии с гл. 45 ГК РФ по договору банковского счета банк обязуется принимать и зачислять поступающие на счет, открытый клиенту (владельцу счета), денежные средства, выполнять распоряжения клиента о перечислении и выдаче соответствующих сумм со счета и проведении других операций по счету.
Банк может использовать имеющиеся на счете денежные средства, гарантируя право клиента беспрепятственно распоряжаться этими средствами. Банк не вправе определять и контролировать направления использования денежных средств клиента и устанавливать другие, не предусмотренные законом или договором банковского счета ограничения его права распоряжаться денежными средствами по своему усмотрению.
При заключении договора банковского счета клиенту или указанному им лицу открывается счет в банке на условиях, согласованных сторонами.
Банк обязан заключить договор банковского счета с клиентом, обратившимся с предложением открыть счет, на объявленных банком для открытия счетов данного вида условиях, соответствующих требованиям, предусмотренным законом и установленными в соответствии с ним банковскими правилами.
Банк не вправе отказать в открытии счета, совершение соответствующих операций по которому предусмотрено законом, учредительными документами банка и выданным ему разрешением (лицензией), за исключением случаев, когда такой отказ вызван отсутствием у банка возможности принять клиента на банковское обслуживание либо допускается законом или иными правовыми актами.
Расчет уровня существенности в ОАО «Новосибирский Муниципальный Банк» показал, что в 2004 году по сравнению с 2003 годом изменение уровня существенности составило 1,5 %, а в 2005 году по сравнению с 2004 годом изменение уровня существенности составило 0,5 %. Это можно объяснить тем, что в 2005 году в деятельности ОАО «Новосибирский Муниципальный Банк» не происходило изменений, оказывающих существенное влияние на состояние финансовой отчетности, а в 2004 году банком был проведеден ряд сделок, повлиявших на состояние финансовой отчетности.
Анализ отражения расчетно-кассовых операций в балансе банка показал, что операции отражены верно.
Анализ динамики расчетно-кассовых операций банка показал, что объем производимых расчетно-кассовых операций в анализируемый период увеличивается. Наиболее значительные изменения за анализируемый период произошли в расчетных операциях (увеличение на 28,55 %), по счетам организаций, находящихся в государственной (кроме федеральной) собственности (увеличение на 18,56), по прочим счетам (снижение на 31,62 %). Увеличились также средства в расчетах (на 8,24%) и расчеты по отдельным операциям (на 4,27 %). По остальным операциям существенных изменений не наблюдалось
СПИСОК ИСПОЛЬЗОВАННЫХ ИСТОЧНИКОВ
Федеральный закон от 7 августа 2001 г. № 119-ФЗ «Об аудиторской деятельности» (в ред. от 30.12.01).
Федеральный закон от 8 августа 2001 г. № 128-ФЗ «О лицензировании отдельных видов деятельности».
Федеральный Закон «О банках и банковской деятельности» от 2 декабря 1990 года № 395-1 в ред. Федерального закона от 21.07.05 № 31-ФЗ
Федеральные правила (стандарты) аудиторской деятельности первой очереди, утвержденные Постановлением Правительства РФ № 696 от 23.09.02 (в ред. Постановления Правительства РФ № 532 от 07.10.04)
Федеральные правила (стандарты) аудиторской деятельности второй очереди, утвержденные Постановлением Правительства РФ № 405 от 04.07.03
Федеральные правила (стандарты) аудиторской деятельности третьей очереди, утвержденные Постановлением Правительства РФ № 532 от 07.10.04
Федеральные правила (стандарты) аудиторской деятельности четвертой очереди, утвержденные Постановлением Правительства РФ № 228 от 16.04.05
Общероссийские стандарты, принятые КАД при Президенте РФ
Федеральный закон от 10 июля 2002 г. № 86-ФЗ «О Центральном банке Российской Федерации (Банке России)».
Федеральный Закон РФ от 9.10.92 г. N 3615-1 "О валютном регулировании и валютном контроле" в редакции от 17 декабря 2003 г.
Федеральный закон от 21 ноября 1996 г. № 129-ФЗ «О бухгалтерском учете».
Федеральный Закон Российской Федерации «О соглашениях о разделе продукции» (с изменениями на 18 июня 2001 года) № 225-ФЗ
Положение ЦБ РФ «О порядке ведения кассовых операций в кредитных организациях на территории Российской Федерации» № 199-П
Положение ЦБ РФ от 05.12.02 № 205-П «О правилах ведения бухгалтерского учета в кредитных орагнизациях, расположенных на территории Российской Федерации»
Положение Центрального Банка «О безналичных расчетах в Российской Федерации» от 12 апреля 2001 г. N 2-П (с изменениями на 11 июня 2004 года)
Положение «О правилах организации наличного денежного обращения на территории Российской Федерации» (в ред. Указаний ЦБ РФ от 22.01.1999 N 488-У, от 31.10.2002 N 1201-У)
Инструкция «Об обязательной продаже части валютной выручки на внутреннем валютном рынке Российской Федерации от 30.03.04 № 111-И»
Инструкция ЦБ РФ от 27.02.95 № 27 «О порядке организации работы обменных пунктов на территории Российской Федерации, совершения и учета валютно-обменных операций уполномоченными банками» (в ред. от 28.09.99)
Абрамова, Н. Ю. Программа аудита выданных кредитов // Банковский аудит и консультации. 2002. № 6.
Аудит: Учебник для вузов/ В.И. Подольский, Г.Б. Поляк, А.А. Савин и др.; Под ред. проф. В.И. Подольского. – 3-е изд., перераб. и доп. – М.: ЮНИТИ-ДАНА, 2003. – 655 с.
Аудит банков. / Под ред. Г.Н.Белоглазовой, Л.П.Кроливецкой, Е.А.Лебедева. М.: «Финансы и статистика», 2002.
Банк. В. Р., Семенов, С. К. Организация и бухгалтерский учет банковских операций. М.: Финансы и статистика, 2004.
Банк С.В. Аудит в коммерческих банках. - М.: Экономистъ, 2006. – 156 с.
Банковское дело. / Под ред. Г.Н.Белоглазовой, Л.П.Кроливецкой. М.: «Финансы и статистика», 2003.
Белоглазова, Г. Н. Аудит банков / Г. Н. Белоглазова и др. М. : Финансы и статистика, 2003.
Бычкова С.М., Фомина Т.Ю. Аудит кассовых операций // Аудиторские ведомости 2005 г. № 6, стр. 26 – 34.
Климович В.П. Основы банковского аудита. – М.: М.: Форум: ИНФРА-М, 2005. – 192 с.
Крикунов А.В. Аудиторская деятельность: аттестация, лицензирование, отчетность и контроль качества. Учебное пособие. «Финансовая газета», 2003.
Ляховский В.С. Справочник по расчетным и кассовым операциям коммерческого банка. – М.: Гелиос АРВ, 2003. – 450 с.
Мамонова, И. Д. Банковский аудит / И. Д. Мамонова и др. М. : Финансы и статистика, 2004.
Прокофьева, О. К. Аудиторская проверка: вопросы качества управления // Банковский аудит и консультации. 2004. № 5.
Смирнова, Л. Р. Банковский аудит. М.: Финансы и статистика, 2004.
Сотникова, Л. В. Внутренний контроль и аудит М.: Финстатинформ, 2004.
Шеремет А.Д., Суйц В.П. Аудит. Учебник, 4-е издание. М.: ИНФРА-М, 2003.
Шеремет А.Д. Сайфулин Р.С. Методика аудиторской деятельности – М.: Инфра-М., 2003г.
Официальный сайт Новосибирского Муниципального банка http://nmb.faktura.ru
ПРИЛОЖЕНИЕ А
Характерстика федеральных стандартов аудита, применимых к аудиту расчетно-кассовых операций
Таблица А1 – Характеристика федеральных стандартов аудита, применимых к аудиту расчетно-кассовых операций
|
№ стандарта |
Наименование стандарта |
Характеристика стандарта |
|
1 |
2 |
3 |
|
1 |
Цель и основные причины финансовой (бухгалтерской) отчетности |
Общий стандарт, который устанавливает единые цели и основные принципы проведения аудита. |
|
2 |
Документирование аудита |
устанавливает единые требования к составлению документации в процессе аудита финансовой (бухгалтерской) отчетности |
|
4 |
Существенность в аудите |
устанавливает единые требования, касающиеся концепции существенности и ее взаимосвязи с аудиторским риском |
|
5 |
Аудиторские доказательства |
устанавливает единые требования к количеству и качеству доказательств, которые необходимо получить при аудите финансовой (бухгалтерской) отчетности, а также к процедурам, выполняемым с целью получения доказательств |
|
6 |
Аудиторское заключение по финансовой (бухгалтерской) отчетности |
устанавливает единые требования к форме и содержанию аудиторского заключения, которое составляется по итогам проведенного аудита финансовой (бухгалтерской) отчетности. Большая часть этих требований может быть использована для подготовки аудиторских заключений по бухгалтерской информации, которая не является финансовой (бухгалтерской) отчетностью |
|
7 |
Внутренний контроль качества аудита |
устанавливает единые требования к пониманию систем бухгалтерского учета и внутреннего контроля, а также аудиторского риска и его составных частей |
|
12 |
Согласование условий проведения аудита |
устанавливает единые требования к порядку согласования условий проведения аудита с аудируемым лицом |
|
13 |
Обязанности аудитора по рассмотрению ошибок и недобросовестных действий в ходе аудита |
устанавливает единые требования к аудиторской организации и индивидуальному аудитору (далее именуются - аудитор) по рассмотрению ошибок и недобросовестных действий в ходе аудита финансовой (бухгалтерской) отчетности |
|
14 |
Учет требований нормативных правовых актов Российской Федерации в ходе аудита |
устанавливает единые требования в отношении обязанности аудиторской организации и индивидуального аудитора (далее именуются - аудитор) учитывать соблюдение аудируемым лицом нормативных правовых актов Российской Федерации в ходе аудита финансовой (бухгалтерской) отчетности этого аудируемого лица |
ПРИЛОЖЕНИЕ Б
Остатки по счетам на конец отчетного периода (2003-2005 гг) ОАО «Новосибирский Муниципальный Банк» для расчета уровня существенности
Таблица Б1 – Остатки по счетам на конец отчетного периода ОАО «Новосибирский Муниципальный Банк» (на 01.01.06)
|
Наименование счетов |
№ счета |
Актив |
Пассив |
|
1 |
2 |
3 |
4 |
|
Наличная валюта и чеки (в том числе дорожные чеки), номинальная стоимость которых указана в иностранной валюте |
|||
|
Касса кредитных организаций |
20202 |
91 222 |
|
|
Денежные средства в операционных кассах, находящихся вне помещений кредитных организаций |
20207 |
10 917 |
|
|
Денежные средства в банкоматах |
20208 |
26 306 |
|
|
Денежные средства в пути |
20209 |
29 116 |
|
|
Корреспондентские счета |
|||
|
Корреспондентские счета кредитных организаций в Банке России |
30102 |
9 911 |
|
|
Корреспондентские счета кредитных организаций-корреспондентов |
30109 |
|
4 |
|
Корреспондентские счета в кредитных организациях-корреспондентах |
30110 |
2 113 |
|
|
Счета кредитных организаций по другим операциям |
|||
|
Обязательные резервы кредитных организаций по счетам в валюте РФ, перечисленные в Банк России |
30202 |
29 415 |
|
|
Обязательные резервы кредитных организаций по счетам в иностранной валюте, перечисленные в Банк России |
30204 |
1 125 |
|
|
Счета участников расчетов в расчетных небанковских кредитных организациях |
30213 |
2 938 |
|
|
Незавершенные расчеты кредитной организации |
30221 |
0 |
|
|
Средства клиентов по незавершенным расчетным операциям при осуществлении расчетов через подразделения Банка России |
30223 |
|
0 |
|
Расчеты по ценным бумагам |
|||
|
Средства клиентов по брокерским операциям с ценными бумагами и другими финансовыми активами |
30601 |
|
130 |
|
Расчеты кредитных организаций-доверителей (комитентов) по брокерским операциям с ценными бумагами и другими финансовыми активами |
30602 |
0 |
|
|
Счета организаций, находящихся в федеральной собственности |
|||
|
Коммерческие организации |
40502 |
|
15 598 |
|
Некоммерческие организации |
40503 |
|
1 160 |
|
Счета организаций, находящихся в государственной (кроме федеральной) собственности |
|||
|
Финансовые организации |
40601 |
|
2 553 |
|
Коммерческие организации |
40602 |
|
13 874 |
|
Некоммерческие организации |
40603 |
|
95 412 |
|
Счета негосударственных организаций |
|||
|
Финансовые организации |
40701 |
|
8 181 |
|
Коммерческие организации |
40702 |
|
183 619 |
|
Некоммерческие организации |
40703 |
|
31 773 |
|
Средства для проведения выборов и референдумов. Специальный избирательный счет. |
40704 |
|
704 |
|
Прочие счета |
|||
|
Индивидуальные предприниматели |
40802 |
|
12 056 |
|
Физические лица |
40817 |
|
679 |
|
Средства в расчетах |
|||
|
Аккредитивы к оплате |
40901 |
|
4 144 |
|
Текущие счета уполномоченных и невыплаченные переводы |
40905 |
|
0 |
|
Инкассированная денежная выручка |
40906 |
|
0 |
|
Переводы в Российскую Федерацию |
40909 |
|
0 |
|
Переводы в Российскую Федерацию нерезидентам |
40910 |
|
0 |
|
Транзитные счета |
40911 |
|
19 543 |
|
Переводы из Российской Федерации |
40912 |
|
0 |
|
Переводы из Российской Федерации нерезидентами |
40913 |
|
0 |
|
Гражданам |
45915 |
1 |
|
|
Расчеты по отдельным операциям |
|||
|
Расчеты с клиентами по покупке и продаже иностранной валюты |
47405 |
|
0 |
|
Расчеты по конверсионным операциям и срочным сделкам |
47407 |
|
0 |
|
Расчеты по конверсионным операциям и срочным сделкам |
47408 |
0 |
|
|
Начисленные проценты по вкладам |
47411 |
|
7 418 |
|
Суммы, поступившие на корреспондентские счета до выяснения |
47416 |
|
10 079 |
|
Обязательства по прочим операциям |
47422 |
|
19 446 |
|
Требования по прочим операциям |
47423 |
7 345 |
|
|
Резервы на возможные потери |
47425 |
|
1 749 |
|
Обязательства по уплате процентов |
47426 |
|
841 |
|
Требования по получению процентов |
47427 |
2 832 |
|
|
Расчеты с дебиторами и кредиторами |
|||
|
Расчеты с бюджетом по налогам |
60301 |
|
461 |
|
Расчеты с бюджетом по налогам |
60302 |
503 |
|
|
Расчеты с внебюджетными фондами по начислениям на заработную плату |
60303 |
|
1 |
|
Расчеты с внебюджетными фондами по начислениям на заработную плату |
60304 |
0 |
|
|
Расчеты с работниками по оплате труда |
60305 |
|
0 |
|
Расчеты с работниками по оплате труда |
60306 |
0 |
|
|
Расчеты с работниками по подотчетным суммам |
60307 |
|
0 |
|
Расчеты с работниками по подотчетным суммам |
60308 |
0 |
|
|
Налог на добавленную стоимость, полученный |
60309 |
|
0 |
|
Налог на добавленную стоимость, уплаченный |
60310 |
0 |
|
|
Расчеты с поставщиками, подрядчиками и покупателями |
60312 |
2 363 |
|
|
Расчеты с организациями-нерезидентами по хозяйственным операциям |
60314 |
0 |
|
|
Расчеты с прочими дебиторами |
60323 |
8 528 |
|
|
Резервы на возможные потери |
60324 |
|
8 528 |
|
Расчетные операции |
|||
|
Расчетные документы, ожидающие акцепта для оплаты |
90901 |
56 377 |
|
|
Расчетные документы, не оплаченные в срок |
90902 |
1 474 236 |
|
|
Выставленные аккредитивы |
90907 |
4 144 |
|
|
Расчеты по обязательным резервам |
|||
|
Недовнесенная сумма в обязательные резервы по счетам в валюте Российской Федерации |
91003 |
|
0 |
|
Недовнесенная сумма в обязательные резервы по счетам в иностранной валюте |
91004 |
|
0 |
|
Задолженность по сумме основного долга, списанная из-за невозможности взыскания |
|||
|
Задолженность по кредитам и прочим размещенным средствам, предоставленным клиентам (кроме межбанковских), списанная за счет резервов на возможные потери |
91802 |
127 |
|
|
Счет для корреспонденции с пассивными счетами при двойной записи |
99998 |
157 807 |
|
|
Счет для корреспонденции с активными счетами при двойной записи |
99999 |
3 508 201 |
Таблица Б2 – Остатки по счетам на конец отчетного периода ОАО «Новосибирский Муниципальный Банк» (на 01.01.05)
|
Название разделов и счетов баланса |
Номер счета 2-го порядка |
Остатки |
|
|
Актив |
Пассив |
||
|
Касса кредитных организаций |
20202 |
91 222 |
|
|
Денежные средства в операционных кассах, находящихся вне помещений кредитных организаций |
20207 |
10 917 |
|
|
Денежные средства в банкоматах |
20208 |
26 306 |
|
|
Денежные средства в пути |
20209 |
29 116 |
|
|
Корреспондентские счета |
|||
|
Корреспондентские счета кредитных организаций в Банке России |
30102 |
9 911 |
|
|
Корреспондентские счета кредитных организаций-корреспондентов |
30109 |
|
4 |
|
Корреспондентские счета в кредитных организациях-корреспондентах |
30110 |
2 113 |
|
|
Счета кредитных организаций по другим операциям |
|||
|
Обязательные резервы кредитных организаций по счетам в валюте РФ, перечисленные в Банк России |
30202 |
29 415 |
|
|
Обязательные резервы кредитных организаций по счетам в иностранной валюте, перечисленные в Банк России |
30204 |
1 125 |
|
|
Счета участников расчетов в расчетных небанковских кредитных организациях |
30213 |
2 938 |
|
|
Незавершенные расчеты кредитной организации |
30221 |
0 |
|
|
Средства клиентов по незавершенным расчетным операциям при осуществлении расчетов через подразделения Банка России |
30223 |
|
0 |
|
Расчеты по ценным бумагам |
|||
|
Средства клиентов по брокерским операциям с ценными бумагами и другими финансовыми активами |
30601 |
|
130 |
|
Расчеты кредитных организаций-доверителей (комитентов) по брокерским операциям с ценными бумагами и другими финансовыми активами |
30602 |
0 |
|
|
Счета организаций, находящихся в федеральной собственности |
|||
|
Коммерческие организации |
40502 |
|
15 598 |
|
Некоммерческие организации |
40503 |
|
1 160 |
|
Счета организаций, находящихся в государственной (кроме федеральной) собственности |
|||
|
Финансовые организации |
40601 |
|
2 553 |
|
Коммерческие организации |
40602 |
|
13 874 |
|
Некоммерческие организации |
40603 |
|
95 412 |
|
Счета негосударственных организаций |
|||
|
Финансовые организации |
40701 |
|
8 181 |
|
Коммерческие организации |
40702 |
|
183 619 |
|
Некоммерческие организации |
40703 |
|
31 773 |
|
Средства для проведения выборов и референдумов. Специальный избирательный счет. |
40704 |
|
704 |
|
Прочие счета |
|||
|
Индивидуальные предприниматели |
40802 |
|
12 056 |
|
Физические лица |
40817 |
|
679 |
|
Средства в расчетах |
|||
|
Аккредитивы к оплате |
40901 |
|
4 144 |
|
Текущие счета уполномоченных и невыплаченные переводы |
40905 |
|
0 |
|
Инкассированная денежная выручка |
40906 |
|
0 |
|
Переводы в Российскую Федерацию |
40909 |
|
0 |
|
Переводы в Российскую Федерацию нерезидентам |
40910 |
|
0 |
|
Транзитные счета |
40911 |
|
19 543 |
|
Переводы из Российской Федерации |
40912 |
|
0 |
|
Переводы из Российской Федерации нерезидентами |
40913 |
|
0 |
|
Расчеты по отдельным операциям |
|||
|
Расчеты с клиентами по покупке и продаже иностранной валюты |
47405 |
|
0 |
|
Расчеты по конверсионным операциям и срочным сделкам |
47407 |
|
0 |
|
Расчеты по конверсионным операциям и срочным сделкам |
47408 |
0 |
|
|
Начисленные проценты по вкладам |
47411 |
|
7 418 |
|
Суммы, поступившие на корреспондентские счета до выяснения |
47416 |
|
10 079 |
|
Обязательства по прочим операциям |
47422 |
|
19 446 |
|
Требования по прочим операциям |
47423 |
7 345 |
|
|
Резервы на возможные потери |
47425 |
|
1 749 |
|
Обязательства по уплате процентов |
47426 |
|
841 |
|
Требования по получению процентов |
47427 |
2 832 |
|
|
Расчеты с дебиторами и кредиторами |
|||
|
Расчеты с бюджетом по налогам |
60301 |
|
461 |
|
Расчеты с бюджетом по налогам |
60302 |
503 |
|
|
Расчеты с внебюджетными фондами по начислениям на заработную плату |
60303 |
|
1 |
|
Расчеты с внебюджетными фондами по начислениям на заработную плату |
60304 |
0 |
|
|
Расчеты с работниками по оплате труда |
60305 |
|
0 |
|
Расчеты с работниками по оплате труда |
60306 |
0 |
|
|
Расчеты с работниками по подотчетным суммам |
60307 |
|
0 |
|
Расчеты с работниками по подотчетным суммам |
60308 |
0 |
|
|
Налог на добавленную стоимость, полученный |
60309 |
|
0 |
|
Налог на добавленную стоимость, уплаченный |
60310 |
0 |
|
|
Расчеты с поставщиками, подрядчиками и покупателями |
60312 |
2 363 |
|
|
Расчеты с организациями-нерезидентами по хозяйственным операциям |
60314 |
0 |
|
|
Расчеты с прочими дебиторами |
60323 |
8 528 |
|
|
Резервы на возможные потери |
60324 |
|
8 528 |
|
Расчетные документы, ожидающие акцепта для оплаты |
90901 |
56 377 |
|
|
Расчетные документы, не оплаченные в срок |
90902 |
1 474 236 |
|
|
Выставленные аккредитивы |
90907 |
4 144 |
|
|
Расчеты по обязательным резервам |
|||
|
Недовнесенная сумма в обязательные резервы по счетам в валюте Российской Федерации |
91003 |
|
0 |
|
Недовнесенная сумма в обязательные резервы по счетам в иностранной валюте |
91004 |
|
0 |
|
Разные ценности и документы |
|||
|
Бланки |
91207 |
4 |
|
|
Задолженность по сумме основного долга, списанная из-за невозможности взыскания |
|||
|
Задолженность по кредитам и прочим размещенным средствам, предоставленным клиентам (кроме межбанковских), списанная за счет резервов на возможные потери |
91802 |
127 |
|
|
Счет для корреспонденции с пассивными счетами при двойной записи |
99998 |
157 807 |
|
|
Счет для корреспонденции с активными счетами при двойной записи |
99999 |
|
3 508 201 |
Таблица Б3 – Остатки посчетам на конец отчетного периода ОАО «Новосибирский Муниципальный Банк» (на 01.01.04)
|
ПРИЛОЖЕНИЕ В
Расчетные операции ОАО «Новосибирский Мунициальный Банк»
Таблица В1 - Расчетные операции ОАО «Новосибирский Муниципальный банк» по состоянию на 1.01.2006
|
Название разделов и счетов баланса |
Номер счета 2-го порядка |
Остатки |
|
|
Актив |
Пассив |
||
|
1 |
2 |
3 |
4 |
|
Наличная валюта и чеки (в том числе дорожные чеки), номинальная стоимость которых указана в иностранной валюте |
|||
|
Касса кредитных организаций |
20202 |
121 215 |
|
|
Денежные средства в операционных кассах, находящихся вне помещений кредитных организаций |
20207 |
13 448 |
|
|
Денежные средства в банкоматах |
20208 |
50 551 |
|
|
Денежные средства в пути |
20209 |
38 429 |
|
|
Корреспондентские счета |
|||
|
Корреспондентские счета кредитных организаций в Банке России |
30102 |
208 887 |
|
|
Корреспондентские счета кредитных организаций-корреспондентов |
30109 |
|
2 535 |
|
Корреспондентские счета в кредитных организациях-корреспондентах |
30110 |
6 294 |
|
|
Счета кредитных организаций по другим операциям |
|||
|
Обязательные резервы кредитных организаций по счетам в валюте РФ, перечисленные в Банк России |
30202 |
36 673 |
|
|
Обязательные резервы кредитных организаций по счетам в иностранной валюте, перечисленные в Банк России |
30204 |
1 208 |
|
|
Счета участников расчетов в расчетных небанковских кредитных организациях |
30213 |
10 078 |
|
|
Незавершенные расчеты кредитной организации |
30221 |
0 |
|
|
Средства клиентов по незавершенным расчетным операциям при осуществлении расчетов через подразделения Банка России |
30223 |
|
0 |
|
Незавершенные расчеты по операциям, совершаемым с использованием платежных карт |
30232 |
|
1 240 |
|
Незавершенные расчеты по операциям, совершаемым с использованием платежных карт |
30233 |
1 463 |
|
|
Расчеты по ценным бумагам |
|||
|
Средства клиентов по брокерским операциям с ценными бумагами и другими финансовыми активами |
30601 |
|
169 |
|
Расчеты кредитных организаций-доверителей (комитентов) по брокерским операциям с ценными бумагами и другими финансовыми активами |
30602 |
0 |
|
|
Счета организаций, находящихся в государственной (кроме федеральной) собственности |
|||
|
Финансовые организации |
40601 |
|
2 829 |
|
Коммерческие организации |
40602 |
|
22 212 |
|
Некоммерческие организации |
40603 |
|
8 600 |
|
Счета негосударственных организаций |
|||
|
Финансовые организации |
40701 |
|
20 958 |
|
Коммерческие организации |
40702 |
|
266 046 |
|
Некоммерческие организации |
40703 |
|
40 227 |
|
Прочие счета |
|||
|
Индивидуальные предприниматели |
40802 |
|
24 633 |
|
Физические лица |
40817 |
|
208 138 |
|
Средства в расчетах |
|||
|
Аккредитивы к оплате |
40901 |
|
3 585 |
|
Текущие счета уполномоченных и невыплаченные переводы |
40905 |
|
0 |
|
Инкассированная денежная выручка |
40906 |
|
0 |
|
Переводы в Российскую Федерацию |
40909 |
|
0 |
|
Переводы в Российскую Федерацию нерезидентам |
40910 |
|
0 |
|
Транзитные счета |
40911 |
|
27 466 |
|
Переводы из Российской Федерации |
40912 |
|
0 |
|
Переводы из Российской Федерации нерезидентами |
40913 |
|
0 |
|
Расчеты по отдельным операциям |
|||
|
Расчеты с клиентами по покупке и продаже иностранной валюты |
47405 |
|
0 |
|
Расчеты по конверсионным операциям и срочным сделкам |
47407 |
|
10 |
|
Расчеты по конверсионным операциям и срочным сделкам |
47408 |
0 |
|
|
Начисленные проценты по вкладам |
47411 |
|
5 702 |
|
Суммы, поступившие на корреспондентские счета до выяснения |
47416 |
|
562 |
|
Обязательства по прочим операциям |
47422 |
|
21 792 |
|
Требования по прочим операциям |
47423 |
16 012 |
|
|
Резервы на возможные потери |
47425 |
|
1 678 |
|
Обязательства по уплате процентов |
47426 |
|
1 585 |
|
Требования по получению процентов |
47427 |
3 676 |
|
|
Прочии счета по операциям с выпущенными ценными бумагами |
|||
|
Обязательства по процентам и купонам по выпущенным ценным бумагам |
52501 |
|
747 |
|
Предстоящие выплаты по процентам, купонам и дисконтам по выпущенным ценным бумагам |
52502 |
3 602 |
|
|
Расчеты с дебиторами и кредиторами |
|||
|
Расчеты с бюджетом по налогам |
60301 |
|
502 |
|
Расчеты с бюджетом по налогам |
60302 |
0 |
|
|
Расчеты с внебюджетными фондами по начислениям на заработную плату |
60303 |
|
0 |
|
Расчеты с работниками по оплате труда |
60305 |
|
0 |
|
Расчеты с работниками по оплате труда |
60306 |
0 |
|
|
Расчеты с работниками по подотчетным суммам |
60307 |
|
0 |
|
Расчеты с работниками по подотчетным суммам |
60308 |
0 |
|
|
Налог на добавленную стоимость, полученный |
60309 |
|
0 |
|
Налог на добавленную стоимость, уплаченный |
60310 |
14 |
|
|
Расчеты с поставщиками, подрядчиками и покупателями |
60311 |
|
0 |
|
Расчеты с поставщиками, подрядчиками и покупателями |
60312 |
24 931 |
|
|
Расчеты с организациями-нерезидентами по хозяйственным операциям |
60314 |
113 |
|
|
Расчеты с прочими кредиторами |
60322 |
|
0 |
|
Расчеты с прочими дебиторами |
60323 |
8 523 |
|
|
Резервы на возможные потери |
60324 |
|
8 523 |
|
Расчетные операции |
|||
|
Расчетные документы, ожидающие акцепта для оплаты |
90901 |
3 071 |
|
|
Расчетные документы, не оплаченные в срок |
90902 |
766 009 |
|
|
Выставленные аккредитивы |
90907 |
5 848 |
|
|
Расчеты по обязательным резервам |
|||
|
Недовнесенная сумма в обязательные резервы по счетам в валюте Российской Федерации |
91003 |
|
0 |
|
Недовнесенная сумма в обязательные резервы по счетам в иностранной валюте |
91004 |
|
0 |
Таблица В2 - Расчетные операции ОАО «Новосибирский Муниципальный банк» по состоянию на 1.01.2005
|
Название разделов и счетов баланса |
Номер счета 2-го порядка |
Остатки |
|
|
Актив |
Пассив |
||
|
1 |
2 |
3 |
4 |
|
Наличная валюта и чеки (в том числе дорожные чеки), номинальная стоимость которых указана в иностранной валюте |
|||
|
Касса кредитных организаций |
20202 |
91 222 |
|
|
Денежные средства в операционных кассах, находящихся вне помещений кредитных организаций |
20207 |
10 917 |
|
|
Денежные средства в банкоматах |
20208 |
26 306 |
|
|
Денежные средства в пути |
20209 |
29 116 |
|
|
Корреспондентские счета |
|||
|
Корреспондентские счета кредитных организаций в Банке России |
30102 |
9 911 |
|
|
Корреспондентские счета кредитных организаций-корреспондентов |
30109 |
|
4 |
|
Корреспондентские счета в кредитных организациях-корреспондентах |
30110 |
2 113 |
|
|
Счета кредитных организаций по другим операциям |
|||
|
Обязательные резервы кредитных организаций по счетам в валюте РФ, перечисленные в Банк России |
30202 |
29 415 |
|
|
Обязательные резервы кредитных организаций по счетам в иностранной валюте, перечисленные в Банк России |
30204 |
1 125 |
|
|
Счета участников расчетов в расчетных небанковских кредитных организациях |
30213 |
2 938 |
|
|
Незавершенные расчеты кредитной организации |
30221 |
0 |
|
|
Средства клиентов по незавершенным расчетным операциям при осуществлении расчетов через подразделения Банка России |
30223 |
|
0 |
|
Расчеты по ценным бумагам |
|||
|
Средства клиентов по брокерским операциям с ценными бумагами и другими финансовыми активами |
30601 |
|
130 |
|
Расчеты кредитных организаций-доверителей (комитентов) по брокерским операциям с ценными бумагами и другими финансовыми активами |
30602 |
0 |
|
|
Счета организаций, находящихся в федеральной собственности |
|||
|
Коммерческие организации |
40502 |
|
15 598 |
|
Некоммерческие организации |
40503 |
|
1 160 |
|
Счета организаций, находящихся в государственной (кроме федеральной) собственности |
|||
|
Финансовые организации |
40601 |
|
2 553 |
|
Коммерческие организации |
40602 |
|
13 874 |
|
Некоммерческие организации |
40603 |
|
95 412 |
|
Счета негосударственных организаций |
|||
|
Финансовые организации |
40701 |
|
8 181 |
|
Коммерческие организации |
40702 |
|
183 619 |
|
Некоммерческие организации |
40703 |
|
31 773 |
|
Средства для проведения выборов и референдумов. Специальный избирательный счет. |
40704 |
|
704 |
|
Прочие счета |
|||
|
Индивидуальные предприниматели |
40802 |
|
12 056 |
|
Физические лица |
40817 |
|
679 |
|
Средства в расчетах |
|||
|
Аккредитивы к оплате |
40901 |
|
4 144 |
|
Текущие счета уполномоченных и невыплаченные переводы |
40905 |
|
0 |
|
Инкассированная денежная выручка |
40906 |
|
0 |
|
Переводы в Российскую Федерацию |
40909 |
|
0 |
|
Переводы в Российскую Федерацию нерезидентам |
40910 |
|
0 |
|
Транзитные счета |
40911 |
|
19 543 |
|
Переводы из Российской Федерации |
40912 |
|
0 |
|
Переводы из Российской Федерации нерезидентами |
40913 |
|
0 |
|
Расчеты по отдельным операциям |
|||
|
Расчеты с клиентами по покупке и продаже иностранной валюты |
47405 |
|
0 |
|
Расчеты по конверсионным операциям и срочным сделкам |
47407 |
|
0 |
|
Расчеты по конверсионным операциям и срочным сделкам |
47408 |
0 |
|
|
Начисленные проценты по вкладам |
47411 |
|
7 418 |
|
Суммы, поступившие на корреспондентские счета до выяснения |
47416 |
|
10 079 |
|
Обязательства по прочим операциям |
47422 |
|
19 446 |
|
Требования по прочим операциям |
47423 |
7 345 |
|
|
Резервы на возможные потери |
47425 |
|
1 749 |
|
Обязательства по уплате процентов |
47426 |
|
841 |
|
Требования по получению процентов |
47427 |
2 832 |
|
|
Расчеты с дебиторами и кредиторами |
|||
|
Расчеты с бюджетом по налогам |
60301 |
|
461 |
|
Расчеты с бюджетом по налогам |
60302 |
503 |
|
|
Расчеты с внебюджетными фондами по начислениям на заработную плату |
60303 |
|
1 |
|
Расчеты с внебюджетными фондами по начислениям на заработную плату |
60304 |
0 |
|
|
Расчеты с работниками по оплате труда |
60305 |
|
0 |
|
Расчеты с работниками по оплате труда |
60306 |
0 |
|
|
Расчеты с работниками по подотчетным суммам |
60307 |
|
0 |
|
Расчеты с работниками по подотчетным суммам |
60308 |
0 |
|
|
Налог на добавленную стоимость, полученный |
60309 |
|
0 |
|
Налог на добавленную стоимость, уплаченный |
60310 |
0 |
|
|
Расчеты с поставщиками, подрядчиками и покупателями |
60312 |
2 363 |
|
|
Расчеты с организациями-нерезидентами по хозяйственным операциям |
60314 |
0 |
|
|
Расчеты с прочими дебиторами |
60323 |
8 528 |
|
|
Резервы на возможные потери |
60324 |
|
8 528 |
|
Расчетные операции |
|||
|
Расчетные документы, ожидающие акцепта для оплаты |
90901 |
56 377 |
|
|
Расчетные документы, не оплаченные в срок |
90902 |
1 474 236 |
|
|
Выставленные аккредитивы |
90907 |
4 144 |
|
|
Расчеты по обязательным резервам |
|||
|
Недовнесенная сумма в обязательные резервы по счетам в валюте Российской Федерации |
91003 |
|
0 |
|
Недовнесенная сумма в обязательные резервы по счетам в иностранной валюте |
91004 |
|
0 |
|
Название разделов и счетов баланса |
Номер счета 2-го порядка |
Остатки |
|
|
Актив |
Пассив |
||
|
А. Балансовые счета |
|||
|
Уставный капитал кредитных организаций, созданных в форме акционерного общества, сформированный за счет обыкновенных акций принадлежащих: |
|||
|
Российской Федерации |
10201 |
|
3 321 |
|
субъектам Российской Федерации и органам местного самоуправления |
10202 |
|
2 269 |
|
государственным организациям |
10203 |
|
1 950 |
|
негосударственным организациям |
10204 |
|
92 402 |
|
физическим лицам |
10205 |
|
58 |
|
Добавочный капитал |
|||
|
Прирост стоимости имущества при переоценке |
10601 |
|
24 345 |
|
Фонды |
|||
|
Резервный фонд |
10701 |
|
5 000 |
|
Фонды специального назначения |
10702 |
|
1 609 |
|
Фонды накопления |
10703 |
|
39 279 |
|
Наличная валюта и чеки (в том числе дорожные чеки), номинальная стоимость которых указана в иностранной валюте |
|||
|
Касса кредитных организаций |
20202 |
121 215 |
|
|
Денежные средства в операционных кассах, находящихся вне помещений кредитных организаций |
20207 |
13 448 |
|
|
Денежные средства в банкоматах |
20208 |
50 551 |
|
|
Денежные средства в пути |
20209 |
38 429 |
|
|
Корреспондентские счета |
|||
|
Корреспондентские счета кредитных организаций в Банке России |
30102 |
208 887 |
|
|
Корреспондентские счета кредитных организаций-корреспондентов |
30109 |
|
2 535 |
|
Корреспондентские счета в кредитных организациях-корреспондентах |
30110 |
6 294 |
|
|
Счета кредитных организаций по другим операциям |
|||
|
Обязательные резервы кредитных организаций по счетам в валюте РФ, перечисленные в Банк России |
30202 |
36 673 |
|
|
Обязательные резервы кредитных организаций по счетам в иностранной валюте, перечисленные в Банк России |
30204 |
1 208 |
|
|
Счета участников расчетов в расчетных небанковских кредитных организациях |
30213 |
10 078 |
|
|
Незавершенные расчеты кредитной организации |
30221 |
0 |
|
|
Средства клиентов по незавершенным расчетным операциям при осуществлении расчетов через подразделения Банка России |
30223 |
|
0 |
|
Незавершенные расчеты по операциям, совершаемым с использованием платежных карт |
30232 |
|
1 240 |
|
Незавершенные расчеты по операциям, совершаемым с использованием платежных карт |
30233 |
1 463 |
|
|
Расчеты по ценным бумагам |
|||
|
Средства клиентов по брокерским операциям с ценными бумагами и другими финансовыми активами |
30601 |
|
169 |
|
Расчеты кредитных организаций-доверителей (комитентов) по брокерским операциям с ценными бумагами и другими финансовыми активами |
30602 |
0 |
|
|
Кредиты, предоставленные кредитным организациям |
|||
|
на 1 день |
32002 |
0 |
|
|
на срок от 2 до 7 дней |
32003 |
0 |
|
|
Депозиты и иные размещенные средства в кредитных организациях |
|||
|
до востребования |
32201 |
144 |
|
|
Предстоящие поступления и выплаты по межбанковским операциям |
|||
|
Предстоящие поступления по операциям, связанным с предоставлением (размещением) межбанковских кредитов, депозитов и иных размещенных средств |
32801 |
|
2 |
|
Предстоящие выплаты по операциям, связанным с привлечением денежных средств по межбанковским кредитам, депозитам и иным привлеченным средствам |
32802 |
1 |
|
|
Средства бюджетов субъектов Российской Федерации и местных бюджетов |
|||
|
Средства местных бюджетов |
40204 |
|
73 852 |
|
Средства местных бюджетов, выделенные государственным организациям |
40205 |
|
2 971 |
|
Средства местных бюджетов, выделенные негосударственным организациям |
40206 |
|
15 |
|
Прочие средства бюджетов |
|||
|
Средства, поступающие во временное распоряжение бюджетных учреждений |
40302 |
|
123 |
|
Счета организаций, находящихся в федеральной собственности |
|||
|
Коммерческие организации |
40502 |
|
27 258 |
|
Некоммерческие организации |
40503 |
|
3 308 |
|
Счета организаций, находящихся в государственной (кроме федеральной) собственности |
|||
|
Финансовые организации |
40601 |
|
2 829 |
|
Коммерческие организации |
40602 |
|
22 212 |
|
Некоммерческие организации |
40603 |
|
8 600 |
|
Счета негосударственных организаций |
|||
|
Финансовые организации |
40701 |
|
20 958 |
|
Коммерческие организации |
40702 |
|
266 046 |
|
Некоммерческие организации |
40703 |
|
40 227 |
|
Прочие счета |
|||
|
Индивидуальные предприниматели |
40802 |
|
24 633 |
|
Физические лица |
40817 |
|
208 138 |
|
Средства в расчетах |
|||
|
Аккредитивы к оплате |
40901 |
|
3 585 |
|
Текущие счета уполномоченных и невыплаченные переводы |
40905 |
|
0 |
|
Инкассированная денежная выручка |
40906 |
|
0 |
|
Переводы в Российскую Федерацию |
40909 |
|
0 |
|
Переводы в Российскую Федерацию нерезидентам |
40910 |
|
0 |
|
Транзитные счета |
40911 |
|
27 466 |
|
Переводы из Российской Федерации |
40912 |
|
0 |
|
Переводы из Российской Федерации нерезидентами |
40913 |
|
0 |
|
Депозиты коммерческих организаций, находящихся в государственной (кроме федеральной) собственности |
|||
|
на срок до 30 дней |
41802 |
|
0 |
|
на срок от 31 до 90 дней |
41803 |
|
5 000 |
|
Депозиты негосударственных финансовых организаций |
|||
|
до востребования |
42001 |
|
2 300 |
|
на срок от 181 дня до 1 года |
42005 |
|
1 200 |
|
на срок от 1 года до 3 лет |
42006 |
|
2 500 |
|
Депозиты негосударственных коммерческих организаций |
|||
|
на срок до 30 дней |
42102 |
|
300 |
|
на срок от 31 до 90 дней |
42103 |
|
50 200 |
|
на срок от 91 до 180 дней |
42104 |
|
19 260 |
|
на срок от 181 дня до 1 года |
42105 |
|
23 951 |
|
на срок от 1 года до 3 лет |
42106 |
|
9 000 |
|
Депозиты негосударственных некоммерческих организаций |
|||
|
на срок от 31 до 90 дней |
42203 |
|
2 200 |
|
на срок от 91 до 180 дней |
42204 |
|
2 100 |
|
на срок от 181 дня до 1 года |
42205 |
|
1 700 |
|
на срок от 1 года до 3 лет |
42206 |
|
700 |
|
Депозиты и прочие привлеченные средства физических лиц |
|||
|
Депозиты до востребования |
42301 |
|
16 528 |
|
Депозиты на срок от 31 до 90 дней |
42303 |
|
6 401 |
|
Депозиты на срок от 91 до 180 дней |
42304 |
|
78 923 |
|
Депозиты на срок от 181 дня до 1 года |
42305 |
|
308 939 |
|
Депозиты на срок от 1 года до 3 лет |
42306 |
|
274 552 |
|
Депозиты на срок свыше 3 лет |
42307 |
|
13 524 |
|
Депозиты и прочие привлеченные средства физических лиц-нерезидентов |
|||
|
Депозиты до востребования |
42601 |
|
414 |
|
Кредиты, предоставленные финансовым органам субъектов Российской Федерации и органов местного самоуправления |
|||
|
на срок от 31 до 90 дней |
44205 |
0 |
|
|
Резервы на возможные потери |
44215 |
|
0 |
|
Кредиты, предоставленные коммерческим организациям, находящимся в федеральной собственности |
|||
|
на срок от 31 до 90 дней |
44604 |
0 |
|
|
на срок от 91 до 180 дней |
44605 |
0 |
|
|
Резервы на возможные потери |
44615 |
|
0 |
|
Кредиты, предоставленные коммерческим организациям, находящимся в государственной (кроме федеральной) собственности |
|||
|
на срок до 30 дней |
44903 |
0 |
|
|
на срок от 31 до 90 дней |
44904 |
5 000 |
|
|
Резервы на возможные потери |
44915 |
|
50 |
|
Кредиты, предоставленные негосударственным финансовым организациям |
|||
|
кредит, предоставленный при недостатке средств на расчетном (текущем) счете ("овердрафт") |
45101 |
0 |
|
|
на срок от 31 до 90 дней |
45104 |
20 000 |
|
|
Кредиты, предоставленные негосударственным коммерческим организациям |
|||
|
кредит, предоставленный при недостатке средств на расчетном (текущем) счете ("овердрафт") |
45201 |
41 474 |
|
|
на срок до 30 дней |
45203 |
8 450 |
|
|
на срок от 31 до 90 дней |
45204 |
226 148 |
|
|
на срок от 91 до 180 дней |
45205 |
448 845 |
|
|
на срок от 181 дня до 1 года |
45206 |
314 583 |
|
|
на срок от 1 года до 3 лет |
45207 |
9 695 |
|
|
Резервы на возможные потери |
45215 |
|
19 208 |
|
Кредиты, предоставленные негосударственным некоммерческим организациям |
|||
|
на срок от 31 до 90 дней |
45304 |
25 000 |
|
|
Кредиты, предоставленные индивидуальным предпринимателям |
|||
|
кредит, предоставленный при недостатке средств на расчетном (текущем) счете ("овердрафт") |
45401 |
5 723 |
|
|
на срок от 31 до 90 дней |
45404 |
100 |
|
|
на срок от 91 до 180 дней |
45405 |
4 995 |
|
|
на срок от 181 дня до 1 года |
45406 |
5 554 |
|
|
на срок от 1 года до 3 лет |
45407 |
2 900 |
|
|
Резервы на возможные потери |
45415 |
|
35 |
|
Кредиты, предоставленные физическим лицам |
|||
|
на срок до 30 дней |
45502 |
1 000 |
|
|
на срок от 31 до 90 дней |
45503 |
6 050 |
|
|
на срок от 181 дня до 1 года |
45505 |
23 124 |
|
|
на срок от 1 года до 3 лет |
45506 |
99 401 |
|
|
на срок свыше 3 лет |
45507 |
22 788 |
|
|
Кредит, предоставленный при недостатке средств на депозитном счете ("овердрафт") |
45509 |
21 640 |
|
|
Резервы на возможные потери |
45515 |
|
134 |
|
Просроченная задолженность по предоставленным кредитам и прочим размещенным средствам |
|||
|
Негосударственным коммерческим организациям |
45812 |
10 773 |
|
|
Индивидуальным предпринимателям |
45814 |
5 700 |
|
|
Гражданам |
45815 |
42 |
|
|
Резервы на возможные потери |
45818 |
|
16 478 |
|
Расчеты по отдельным операциям |
|||
|
Расчеты с клиентами по покупке и продаже иностранной валюты |
47405 |
|
0 |
|
Расчеты по конверсионным операциям и срочным сделкам |
47407 |
|
10 |
|
Расчеты по конверсионным операциям и срочным сделкам |
47408 |
0 |
|
|
Начисленные проценты по вкладам |
47411 |
|
5 702 |
|
Суммы, поступившие на корреспондентские счета до выяснения |
47416 |
|
562 |
|
Обязательства по прочим операциям |
47422 |
|
21 792 |
|
Требования по прочим операциям |
47423 |
16 012 |
|
|
Резервы на возможные потери |
47425 |
|
1 678 |
|
Обязательства по уплате процентов |
47426 |
|
1 585 |
|
Требования по получению процентов |
47427 |
3 676 |
|
|
Предстоящие поступления и выплаты по операциям с клиентами |
|||
|
Предстоящие поступления по операциям, связанным с предоставлением (размещением) денежных средств клиентам |
47501 |
|
3 674 |
|
Предстоящие выплаты по операциям, связанным с привлечением денежных средств от клиентов |
47502 |
7 286 |
|
|
Акции, приобретенные для перепродажи и по договорам займа |
|||
|
Прочие акции |
50606 |
745 |
|
|
Переоценка ценных бумаг - отрицательные разницы |
50610 |
0 |
|
|
Некотируемые акции |
|||
|
Прочие акции |
50706 |
115 |
|
|
Резервы на возможные потери |
50709 |
|
1 |
|
Векселя кредитных организаций |
|||
|
до востребования |
51401 |
59 |
|
|
со сроком погашения до 30 дней |
51402 |
39 |
|
|
со сроком погашения от 31 до 90 дней |
51403 |
9 694 |
|
|
со сроком погашения от 91 до 180 дней |
51404 |
8 346 |
|
|
со сроком погашения от 181 дня до 1 года |
51405 |
899 |
|
|
Прочие векселя |
|||
|
до востребования |
51501 |
4 488 |
|
|
со сроком погашения до 30 дней |
51502 |
500 |
|
|
со сроком погашения от 181 дня до 1 года |
51505 |
2 000 |
|
|
со сроком погашения свыше 3 лет |
51507 |
319 |
|
|
не оплаченные в срок и неопротестованные |
51509 |
187 |
|
|
Резервы на возможные потери |
51510 |
|
548 |
|
Выпущенные векселя и банковские акцепты |
|||
|
до востребования |
52301 |
|
37 255 |
|
со сроком погашения до 30 дней |
52302 |
|
27 049 |
|
со сроком погашения от 31 до 90 дней |
52303 |
|
15 272 |
|
со сроком погашения от 91 до 180 дней |
52304 |
|
10 000 |
|
со сроком погашения от 181 дня до 1 года |
52305 |
|
24 964 |
|
со сроком погашения свыше 1 года до 3 лет |
52306 |
|
8 602 |
|
Обязательства по выпущенным ценным бумагам к исполнению |
|||
|
Векселя к исполнению |
52406 |
|
848 |
|
Прочии счета по операциям с выпущенными ценными бумагами |
|||
|
Обязательства по процентам и купонам по выпущенным ценным бумагам |
52501 |
|
747 |
|
Предстоящие выплаты по процентам, купонам и дисконтам по выпущенным ценным бумагам |
52502 |
3 602 |
|
|
Прочее участие |
|||
|
Средства, внесенные в уставные капиталы организаций |
60202 |
0 |
|
|
Резервы на возможные потери |
60206 |
|
0 |
|
Расчеты с дебиторами и кредиторами |
|||
|
Расчеты с бюджетом по налогам |
60301 |
|
502 |
|
Расчеты с бюджетом по налогам |
60302 |
0 |
|
|
Расчеты с внебюджетными фондами по начислениям на заработную плату |
60303 |
|
0 |
|
Расчеты с работниками по оплате труда |
60305 |
|
0 |
|
Расчеты с работниками по оплате труда |
60306 |
0 |
|
|
Расчеты с работниками по подотчетным суммам |
60307 |
|
0 |
|
Расчеты с работниками по подотчетным суммам |
60308 |
0 |
|
|
Налог на добавленную стоимость, полученный |
60309 |
|
0 |
|
Налог на добавленную стоимость, уплаченный |
60310 |
14 |
|
|
Расчеты с поставщиками, подрядчиками и покупателями |
60311 |
|
0 |
|
Расчеты с поставщиками, подрядчиками и покупателями |
60312 |
24 931 |
|
|
Расчеты с организациями-нерезидентами по хозяйственным операциям |
60314 |
113 |
|
|
Расчеты с прочими кредиторами |
60322 |
|
0 |
|
Расчеты с прочими дебиторами |
60323 |
8 523 |
|
|
Резервы на возможные потери |
60324 |
|
8 523 |
|
Основные средства |
|||
|
Основные средства (кроме земли) |
60401 |
98 122 |
|
|
Амортизация основных средств |
60601 |
|
27 655 |
|
Вложения в сооружение (строительство), создание (изготовление) и приобретение основных средств и нематериальных активов |
60701 |
48 |
|
|
Материальные запасы |
|||
|
Запасные части |
61002 |
732 |
|
|
Материалы |
61008 |
2 197 |
|
|
Инвентарь и принадлежности |
61009 |
179 |
|
|
Издания |
61010 |
8 |
|
|
Выбытие и реализация |
|||
|
Выбытие (реализация) имущества |
61202 |
0 |
|
|
Доходы будущих периодов |
|||
|
Доходы будущих периодов по ценным бумагам |
61302 |
|
60 |
|
Переоценка средств в иностранной валюте - положительные разницы |
61306 |
|
0 |
|
Расходы будущих периодов |
|||
|
Расходы будущих периодов по другим операциям |
61403 |
2 009 |
|
|
Переоценка средств в иностранной валюте - отрицательные разницы |
61406 |
0 |
|
|
Доходы |
|||
|
Проценты, полученные по предоставленным кредитам, депозитам и иным размещенным средствам |
70101 |
|
0 |
|
Доходы, полученные от операций с ценными бумагами |
70102 |
|
0 |
|
Доходы, полученные от операций с иностранной валютой, чеками (в том числе дорожными чеками), номинальная стоимость которых указана в иностранной валюте |
70103 |
|
0 |
|
Другие доходы |
70107 |
|
0 |
|
Расходы |
|||
|
Проценты, уплаченные за привлеченные кредиты |
70201 |
0 |
|
|
Проценты, уплаченные юридическим лицам по привлеченным средствам |
70202 |
0 |
|
|
Проценты, уплаченные физическим лицам |
70203 |
0 |
|
|
Расходы по операциям с ценными бумагами |
70204 |
0 |
|
|
Расходы по операциям с иностранной валютой, чеками (в том числе дорожными чеками), номинальная стоимость которых указана в иностранной валюте |
70205 |
0 |
|
|
Расходы на содержание аппарата |
70206 |
0 |
|
|
Другие расходы |
70209 |
0 |
|
|
Прибыль |
|||
|
Прибыль отчетного года |
70301 |
|
47 325 |
|
Использование прибыли |
|||
|
Использование прибыли отчетного года |
70501 |
14 132 |
|
|
В. Внебалансовые счета |
|||
|
Неразмещенные ценные бумаги |
|||
|
Бланки собственных ценных бумаг для распространения |
90701 |
7 |
|
|
Собственные ценные бумаги, предъявленные для погашения |
90704 |
0 |
|
|
Ценные бумаги прочих эмитентов |
|||
|
Ценные бумаги на хранении по договорам хранения |
90803 |
44 056 |
|
|
Расчетные операции |
|||
|
Расчетные документы, ожидающие акцепта для оплаты |
90901 |
3 071 |
|
|
Расчетные документы, не оплаченные в срок |
90902 |
766 009 |
|
|
Выставленные аккредитивы |
90907 |
5 848 |
|
|
Расчеты по обязательным резервам |
|||
|
Недовнесенная сумма в обязательные резервы по счетам в валюте Российской Федерации |
91003 |
|
0 |
|
Недовнесенная сумма в обязательные резервы по счетам в иностранной валюте |
91004 |
|
0 |
|
Разные ценности и документы |
|||
|
Бланки |
91207 |
5 |
|
|
Обеспечение размещенных средств и обязательства по предоставлению кредитов |
|||
|
Неиспользованные кредитные линии по предоставлению кредитов |
91302 |
|
3 700 |
|
Ценные бумаги, принятые в залог по выданным кредитам |
91303 |
61 675 |
|
|
Полученные гарантии и поручительства |
91305 |
1 937 466 |
|
|
Имущество, принятое в залог по выданным кредитам, кроме ценных бумаг |
91307 |
1 420 908 |
|
|
Неиспользованные лимиты по предоставлению кредита в виде "овердрафт" и "под лимит задолженности" |
91309 |
|
237 092 |
|
Обеспечение под привлечение средств, выданные гарантии и требования по получению средств |
|||
|
Выданные гарантии и поручительства |
91404 |
|
30 582 |
|
Арендные и лизинговые операции |
|||
|
Арендованные основные средства |
91503 |
6 855 |
|
|
Арендованное другое имущество |
91504 |
9 |
|
|
Задолженность по процентным платежам по основному долгу, не списанному с баланса |
|||
|
Неполученные проценты по кредитам и прочим размещенным средствам (кроме межбанковских), предоставленным клиентам |
91604 |
9 286 |
|
|
Задолженность по процентным платежам по основному долгу, списанному из-за невозможности взыскания |
|||
|
Неполученные проценты по кредитам и прочим размещенным средствам (кроме межбанковских), предоставленным клиентам, списанным с баланса кредитной организации |
91704 |
51 |
|
|
Задолженность по сумме основного долга, списанная из-за невозможности взыскания |
|||
|
Задолженность по кредитам и прочим размещенным средствам, предоставленным клиентам (кроме межбанковских), списанная за счет резервов на возможные потери |
91802 |
127 |
|
|
Счет для корреспонденции с пассивными счетами при двойной записи |
99998 |
271 374 |
|
|
Счет для корреспонденции с активными счетами при двойной записи |
99999 |
|
4 255 373 |
|
Д. Счета депо |
|||
|
Ценные бумаги на хранении в депозитарии |
98000 |
23 |
|
|
Ценные бумаги на хранении в ведущем депозитарии (НОСТРО депо базовый) |
98010 |
3 353 277 |
|
|
Ценные бумаги в пути, на проверке, на переоформлении |
98020 |
0 |
|
|
Ценные бумаги владельцев |
98040 |
|
3 341 642 |
|
Ценные бумаги, принадлежащие депозитарию |
98050 |
|
11 658 |
|
Ценные бумаги вне обращения |
98090 |
|
0 |
Открытое акционерное общество Новосибирский коммерческий муниципальный банк
Регистрационный номер: 2786
Форма N101
Данные оборотной ведомости по счетам бухгалтерского учета- по состоянию на 1 января 2005 г.
|
Название разделов и счетов баланса |
Номер счета 2-го порядка |
Остатки |
|
|
Актив |
Пассив |
||
|
А. Балансовые счета |
|||
|
Уставный капитал кредитных организаций, созданных в форме акционерного общества, сформированный за счет обыкновенных акций принадлежащих: |
|||
|
Российской Федерации |
10201 |
|
3 320 |
|
субъектам Российской Федерации и органам местного самоуправления |
10202 |
|
2 269 |
|
государственным организациям |
10203 |
|
1 950 |
|
негосударственным организациям |
10204 |
|
92 402 |
|
физическим лицам |
10205 |
|
59 |
|
Добавочный капитал |
|||
|
Прирост стоимости имущества при переоценке |
10601 |
|
24 345 |
|
Фонды |
|||
|
Резервный фонд |
10701 |
|
5 000 |
|
Фонды специального назначения |
10702 |
|
2 333 |
|
Фонды накопления |
10703 |
|
12 501 |
|
Наличная валюта и чеки (в том числе дорожные чеки), номинальная стоимость которых указана в иностранной валюте |
|||
|
Касса кредитных организаций |
20202 |
91 222 |
|
|
Денежные средства в операционных кассах, находящихся вне помещений кредитных организаций |
20207 |
10 917 |
|
|
Денежные средства в банкоматах |
20208 |
26 306 |
|
|
Денежные средства в пути |
20209 |
29 116 |
|
|
Корреспондентские счета |
|||
|
Корреспондентские счета кредитных организаций в Банке России |
30102 |
9 911 |
|
|
Корреспондентские счета кредитных организаций-корреспондентов |
30109 |
|
4 |
|
Корреспондентские счета в кредитных организациях-корреспондентах |
30110 |
2 113 |
|
|
Счета кредитных организаций по другим операциям |
|||
|
Обязательные резервы кредитных организаций по счетам в валюте РФ, перечисленные в Банк России |
30202 |
29 415 |
|
|
Обязательные резервы кредитных организаций по счетам в иностранной валюте, перечисленные в Банк России |
30204 |
1 125 |
|
|
Счета участников расчетов в расчетных небанковских кредитных организациях |
30213 |
2 938 |
|
|
Незавершенные расчеты кредитной организации |
30221 |
0 |
|
|
Средства клиентов по незавершенным расчетным операциям при осуществлении расчетов через подразделения Банка России |
30223 |
|
0 |
|
Расчеты по ценным бумагам |
|||
|
Средства клиентов по брокерским операциям с ценными бумагами и другими финансовыми активами |
30601 |
|
130 |
|
Расчеты кредитных организаций-доверителей (комитентов) по брокерским операциям с ценными бумагами и другими финансовыми активами |
30602 |
0 |
|
|
Кредиты, полученные кредитными организациями от кредитных организаций |
|||
|
на 1 день |
31302 |
|
0 |
|
на срок от 2 до 7 дней |
31303 |
|
0 |
|
на срок от 8 до 30 дней |
31304 |
|
10 000 |
|
на срок от 31 до 90 дней |
31305 |
|
0 |
|
Кредиты, предоставленные кредитным организациям |
|||
|
на 1 день |
32002 |
0 |
|
|
на срок от 2 до 7 дней |
32003 |
0 |
|
|
Депозиты и иные размещенные средства в кредитных организациях |
|||
|
для расчетов с использованием банковских карт |
32210 |
183 |
|
|
Предстоящие поступления и выплаты по межбанковским операциям |
|||
|
Предстоящие поступления по операциям, связанным с предоставлением (размещением) межбанковских кредитов, депозитов и иных размещенных средств |
32801 |
|
2 |
|
Предстоящие выплаты по операциям, связанным с привлечением денежных средств по межбанковским кредитам, депозитам и иным привлеченным средствам |
32802 |
0 |
|
|
Средства бюджетов субъектов Российской Федерации и местных бюджетов |
|||
|
Средства бюджетов субъектов Российской Федерации |
40201 |
|
105 |
|
Средства бюджетов субъектов Российской Федерации, выделенные государственным организациям |
40202 |
|
0 |
|
Средства бюджетов субъектов Российской Федерции, выделенные негосударственным организациям |
40203 |
|
3 |
|
Средства местных бюджетов |
40204 |
|
13 758 |
|
Средства местных бюджетов, выделенные государственным организациям |
40205 |
|
14 139 |
|
Средства местных бюджетов, выделенные негосударственным организациям |
40206 |
|
1 696 |
|
Прочие средства бюджетов |
|||
|
Средства, поступающие во временное распоряжение бюджетных учреждений |
40302 |
|
138 |
|
Средства государственных внебюджетных фондов |
|||
|
Внебюджетные фонды органов исполнительной власти субъектов Российской Федерации и местного самоуправления |
40410 |
|
932 |
|
Счета организаций, находящихся в федеральной собственности |
|||
|
Коммерческие организации |
40502 |
|
15 598 |
|
Некоммерческие организации |
40503 |
|
1 160 |
|
Счета организаций, находящихся в государственной (кроме федеральной) собственности |
|||
|
Финансовые организации |
40601 |
|
2 553 |
|
Коммерческие организации |
40602 |
|
13 874 |
|
Некоммерческие организации |
40603 |
|
95 412 |
|
Счета негосударственных организаций |
|||
|
Финансовые организации |
40701 |
|
8 181 |
|
Коммерческие организации |
40702 |
|
183 619 |
|
Некоммерческие организации |
40703 |
|
31 773 |
|
Средства для проведения выборов и референдумов. Специальный избирательный счет. |
40704 |
|
704 |
|
Прочие счета |
|||
|
Индивидуальные предприниматели |
40802 |
|
12 056 |
|
Физические лица |
40817 |
|
679 |
|
Средства в расчетах |
|||
|
Аккредитивы к оплате |
40901 |
|
4 144 |
|
Текущие счета уполномоченных и невыплаченные переводы |
40905 |
|
0 |
|
Инкассированная денежная выручка |
40906 |
|
0 |
|
Переводы в Российскую Федерацию |
40909 |
|
0 |
|
Переводы в Российскую Федерацию нерезидентам |
40910 |
|
0 |
|
Транзитные счета |
40911 |
|
19 543 |
|
Переводы из Российской Федерации |
40912 |
|
0 |
|
Переводы из Российской Федерации нерезидентами |
40913 |
|
0 |
|
Депозиты негосударственных финансовых организаций |
|||
|
на срок от 181 дня до 1 года |
42005 |
|
6 500 |
|
на срок от 1 года до 3 лет |
42006 |
|
2 500 |
|
Депозиты негосударственных коммерческих организаций |
|||
|
на срок от 31 до 90 дней |
42103 |
|
600 |
|
на срок от 91 до 180 дней |
42104 |
|
8 000 |
|
на срок от 181 дня до 1 года |
42105 |
|
7 000 |
|
на срок от 1 года до 3 лет |
42106 |
|
9 000 |
|
Депозиты негосударственных некоммерческих организаций |
|||
|
на срок от 31 до 90 дней |
42203 |
|
500 |
|
на срок от 91 до 180 дней |
42204 |
|
400 |
|
на срок от 181 дня до 1 года |
42205 |
|
816 |
|
на срок от 1 года до 3 лет |
42206 |
|
200 |
|
Депозиты и прочие привлеченные средства физических лиц |
|||
|
Депозиты до востребования |
42301 |
|
144 973 |
|
Депозиты на срок от 31 до 90 дней |
42303 |
|
19 354 |
|
Депозиты на срок от 91 до 180 дней |
42304 |
|
63 477 |
|
Депозиты на срок от 181 дня до 1 года |
42305 |
|
262 657 |
|
Депозиты на срок от 1 года до 3 лет |
42306 |
|
133 688 |
|
Депозиты на срок свыше 3 лет |
42307 |
|
4 390 |
|
для расчетов с использованием банковских карт |
42308 |
|
57 |
|
Депозиты и прочие привлеченные средства физических лиц-нерезидентов |
|||
|
Депозиты до востребования |
42601 |
|
440 |
|
Кредиты, предоставленные финансовым органам субъектов Российской Федерации и органов местного самоуправления |
|||
|
на срок от 2 до 7 дней |
44203 |
0 |
|
|
на срок от 8 до 30 дней |
44204 |
20 000 |
|
|
на срок от 31 до 90 дней |
44205 |
70 950 |
|
|
Резервы на возможные потери |
44215 |
|
0 |
|
Кредиты, предоставленные коммерческим организациям, находящимся в федеральной собственности |
|||
|
на срок от 31 до 90 дней |
44604 |
0 |
|
|
Резервы на возможные потери |
44615 |
|
0 |
|
Кредиты, предоставленные коммерческим организациям, находящимся в государственной (кроме федеральной) собственности |
|||
|
на срок до 30 дней |
44903 |
30 000 |
|
|
на срок от 31 до 90 дней |
44904 |
30 000 |
|
|
Резервы на возможные потери |
44915 |
|
600 |
|
Кредиты, предоставленные негосударственным финансовым организациям |
|||
|
на срок до 30 дней |
45103 |
10 000 |
|
|
на срок от 31 до 90 дней |
45104 |
10 000 |
|
|
Кредиты, предоставленные негосударственным коммерческим организациям |
|||
|
кредит, предоставленный при недостатке средств на расчетном (текущем) счете ("овердрафт") |
45201 |
35 156 |
|
|
на срок до 30 дней |
45203 |
76 000 |
|
|
на срок от 31 до 90 дней |
45204 |
150 678 |
|
|
на срок от 91 до 180 дней |
45205 |
373 381 |
|
|
на срок от 181 дня до 1 года |
45206 |
179 255 |
|
|
на срок от 1 года до 3 лет |
45207 |
9 000 |
|
|
Резервы на возможные потери |
45215 |
|
14 846 |
|
Кредиты, предоставленные негосударственным некоммерческим организациям |
|||
|
на срок до 30 дней |
45303 |
0 |
|
|
на срок от 91 до 180 дней |
45305 |
21 500 |
|
|
Резервы на возможные потери |
45315 |
|
215 |
|
Кредиты, предоставленные индивидуальным предпринимателям |
|||
|
кредит, предоставленный при недостатке средств на расчетном (текущем) счете ("овердрафт") |
45401 |
4 278 |
|
|
на срок от 31 до 90 дней |
45404 |
11 018 |
|
|
на срок от 91 до 180 дней |
45405 |
9 200 |
|
|
на срок от 181 дня до 1 года |
45406 |
22 800 |
|
|
на срок от 1 года до 3 лет |
45407 |
300 |
|
|
Резервы на возможные потери |
45415 |
|
4 |
|
Кредиты, предоставленные физическим лицам |
|||
|
на срок от 31 до 90 дней |
45503 |
0 |
|
|
на срок от 91 до 180 дней |
45504 |
305 |
|
|
на срок от 181 дня до 1 года |
45505 |
14 199 |
|
|
на срок от 1 года до 3 лет |
45506 |
16 702 |
|
|
на срок свыше 3 лет |
45507 |
23 177 |
|
|
Кредит, предоставленный при недостатке средств на депозитном счете ("овердрафт") |
45509 |
9 201 |
|
|
Резервы на возможные потери |
45515 |
|
145 |
|
Просроченная задолженность по предоставленным кредитам и прочим размещенным средствам |
|||
|
Негосударственным коммерческим организациям |
45812 |
9 773 |
|
|
Гражданам |
45815 |
2 104 |
|
|
Резервы на возможные потери |
45818 |
|
10 849 |
|
Просроченные проценты по предоставленным кредитам и прочим размещенным средствам |
|||
|
Гражданам |
45915 |
1 |
|
|
Средства, предоставленные негосударственным финансовым организациям |
|||
|
на срок до 30 дней |
47002 |
0 |
|
|
Расчеты по отдельным операциям |
|||
|
Расчеты с клиентами по покупке и продаже иностранной валюты |
47405 |
|
0 |
|
Расчеты по конверсионным операциям и срочным сделкам |
47407 |
|
0 |
|
Расчеты по конверсионным операциям и срочным сделкам |
47408 |
0 |
|
|
Начисленные проценты по вкладам |
47411 |
|
7 418 |
|
Суммы, поступившие на корреспондентские счета до выяснения |
47416 |
|
10 079 |
|
Обязательства по прочим операциям |
47422 |
|
19 446 |
|
Требования по прочим операциям |
47423 |
7 345 |
|
|
Резервы на возможные потери |
47425 |
|
1 749 |
|
Обязательства по уплате процентов |
47426 |
|
841 |
|
Требования по получению процентов |
47427 |
2 832 |
|
|
Предстоящие поступления и выплаты по операциям с клиентами |
|||
|
Предстоящие поступления по операциям, связанным с предоставлением (размещением) денежных средств клиентам |
47501 |
|
2 831 |
|
Предстоящие выплаты по операциям, связанным с привлечением денежных средств от клиентов |
47502 |
8 259 |
|
|
Акции, приобретенные для перепродажи и по договорам займа |
|||
|
Прочие акции |
50606 |
577 |
|
|
Переоценка ценных бумаг - отрицательные разницы |
50610 |
0 |
|
|
Векселя кредитных организаций |
|||
|
до востребования |
51401 |
67 |
|
|
со сроком погашения до 30 дней |
51402 |
9 926 |
|
|
со сроком погашения от 31 до 90 дней |
51403 |
10 389 |
|
|
со сроком погашения от 91 до 180 дней |
51404 |
13 080 |
|
|
со сроком погашения от 181 дня до 1 года |
51405 |
994 |
|
|
Прочие векселя |
|||
|
до востребования |
51501 |
5 147 |
|
|
со сроком погашения до 30 дней |
51502 |
980 |
|
|
со сроком погашения от 181 дня до 1 года |
51505 |
2 000 |
|
|
со сроком погашения свыше 1 года до 3 лет |
51506 |
400 |
|
|
не оплаченные в срок и неопротестованные |
51509 |
187 |
|
|
Резервы на возможные потери |
51510 |
|
1 141 |
|
Выпущенные депозитные сертификаты |
|||
|
со сроком погашения от 31 до 90 дней |
52102 |
|
8 000 |
|
со сроком погашения от 91 до 180 дней |
52103 |
|
5 000 |
|
со сроком погашения от 181 дня до 1 года |
52104 |
|
0 |
|
Выпущенные векселя и банковские акцепты |
|||
|
до востребования |
52301 |
|
20 679 |
|
со сроком погашения до 30 дней |
52302 |
|
46 585 |
|
со сроком погашения от 31 до 90 дней |
52303 |
|
20 100 |
|
со сроком погашения от 91 до 180 дней |
52304 |
|
9 500 |
|
со сроком погашения от 181 дня до 1 года |
52305 |
|
6 819 |
|
со сроком погашения свыше 1 года до 3 лет |
52306 |
|
4 890 |
|
Обязательства по выпущенным ценным бумагам к исполнению |
|||
|
Выпущенные депозитные сертификаты к исполнению |
52403 |
|
1 654 |
|
Проценты, удостоверенные сберегательными и депозитными сертификатами к исполнению |
52405 |
|
58 |
|
Векселя к исполнению |
52406 |
|
229 |
|
Прочии счета по операциям с выпущенными ценными бумагами |
|||
|
Обязательства по процентам и купонам по выпущенным ценным бумагам |
52501 |
|
455 |
|
Предстоящие выплаты по процентам, купонам и дисконтам по выпущенным ценным бумагам |
52502 |
1 911 |
|
|
Прочее участие |
|||
|
Средства, внесенные в уставные капиталы организаций |
60202 |
100 |
|
|
Резервы на возможные потери |
60206 |
|
21 |
|
Расчеты с дебиторами и кредиторами |
|||
|
Расчеты с бюджетом по налогам |
60301 |
|
461 |
|
Расчеты с бюджетом по налогам |
60302 |
503 |
|
|
Расчеты с внебюджетными фондами по начислениям на заработную плату |
60303 |
|
1 |
|
Расчеты с внебюджетными фондами по начислениям на заработную плату |
60304 |
0 |
|
|
Расчеты с работниками по оплате труда |
60305 |
|
0 |
|
Расчеты с работниками по оплате труда |
60306 |
0 |
|
|
Расчеты с работниками по подотчетным суммам |
60307 |
|
0 |
|
Расчеты с работниками по подотчетным суммам |
60308 |
0 |
|
|
Налог на добавленную стоимость, полученный |
60309 |
|
0 |
|
Налог на добавленную стоимость, уплаченный |
60310 |
0 |
|
|
Расчеты с поставщиками, подрядчиками и покупателями |
60312 |
2 363 |
|
|
Расчеты с организациями-нерезидентами по хозяйственным операциям |
60314 |
0 |
|
|
Расчеты с прочими дебиторами |
60323 |
8 528 |
|
|
Резервы на возможные потери |
60324 |
|
8 528 |
|
Основные средства |
|||
|
Основные средства (кроме земли) |
60401 |
67 968 |
|
|
Амортизация основных средств |
60601 |
|
17 353 |
|
Вложения в сооружение (строительство), создание (изготовление) и приобретение основных средств и нематериальных активов |
60701 |
0 |
|
|
Материальные запасы |
|||
|
Запасные части |
61002 |
148 |
|
|
Материалы |
61008 |
495 |
|
|
Инвентарь и принадлежности |
61009 |
126 |
|
|
Издания |
61010 |
0 |
|
|
Выбытие и реализация |
|||
|
Выбытие (реализация) имущества |
61202 |
0 |
|
|
Доходы будущих периодов |
|||
|
Доходы будущих периодов по ценным бумагам |
61302 |
|
60 |
|
Переоценка средств в иностранной валюте - положительные разницы |
61306 |
|
0 |
|
Расходы будущих периодов |
|||
|
Расходы будущих периодов по другим операциям |
61403 |
2 163 |
|
|
Переоценка средств в иностранной валюте - отрицательные разницы |
61406 |
0 |
|
|
Доходы |
|||
|
Проценты, полученные по предоставленным кредитам, депозитам и иным размещенным средствам |
70101 |
|
0 |
|
Доходы, полученные от операций с ценными бумагами |
70102 |
|
0 |
|
Доходы, полученные от операций с иностранной валютой, чеками (в том числе дорожными чеками), номинальная стоимость которых указана в иностранной валюте |
70103 |
|
0 |
|
Штрафы, пени, неустойки полученные |
70106 |
|
0 |
|
Другие доходы |
70107 |
|
0 |
|
Расходы |
|||
|
Проценты, уплаченные за привлеченные кредиты |
70201 |
0 |
|
|
Проценты, уплаченные юридическим лицам по привлеченным средствам |
70202 |
0 |
|
|
Проценты, уплаченные физическим лицам |
70203 |
0 |
|
|
Расходы по операциям с ценными бумагами |
70204 |
0 |
|
|
Расходы по операциям с иностранной валютой, чеками (в том числе дорожными чеками), номинальная стоимость которых указана в иностранной валюте |
70205 |
0 |
|
|
Расходы на содержание аппарата |
70206 |
0 |
|
|
Штрафы, пени, неустойки уплаченные |
70208 |
0 |
|
|
Другие расходы |
70209 |
0 |
|
|
Прибыль |
|||
|
Прибыль отчетного года |
70301 |
|
33 759 |
|
Использование прибыли |
|||
|
Использование прибыли отчетного года |
70501 |
4 538 |
|
|
В. Внебалансовые счета |
|||
|
Неразмещенные ценные бумаги |
|||
|
Бланки собственных ценных бумаг для распространения |
90701 |
3 |
|
|
Собственные ценные бумаги, предъявленные для погашения |
90704 |
0 |
|
|
Ценные бумаги прочих эмитентов |
|||
|
Ценные бумаги на хранении по договорам хранения |
90803 |
79 645 |
|
|
Расчетные операции |
|||
|
Расчетные документы, ожидающие акцепта для оплаты |
90901 |
56 377 |
|
|
Расчетные документы, не оплаченные в срок |
90902 |
1 474 236 |
|
|
Выставленные аккредитивы |
90907 |
4 144 |
|
|
Расчеты по обязательным резервам |
|||
|
Недовнесенная сумма в обязательные резервы по счетам в валюте Российской Федерации |
91003 |
|
0 |
|
Недовнесенная сумма в обязательные резервы по счетам в иностранной валюте |
91004 |
|
0 |
|
Разные ценности и документы |
|||
|
Бланки |
91207 |
4 |
|
|
Обеспечение размещенных средств и обязательства по предоставлению кредитов |
|||
|
Неиспользованные кредитные линии по предоставлению кредитов |
91302 |
|
2 600 |
|
Ценные бумаги, принятые в залог по выданным кредитам |
91303 |
134 888 |
|
|
Полученные гарантии и поручительства |
91305 |
862 074 |
|
|
Имущество, принятое в залог по выданным кредитам, кроме ценных бумаг |
91307 |
879 345 |
|
|
Неиспользованные лимиты по предоставлению кредита в виде "овердрафт" и "под лимит задолженности" |
91309 |
|
141 069 |
|
Обеспечение под привлечение средств, выданные гарантии и требования по получению средств |
|||
|
Выданные гарантии и поручительства |
91404 |
|
14 138 |
|
Арендные и лизинговые операции |
|||
|
Арендованные основные средства |
91503 |
12 189 |
|
|
Арендованное другое имущество |
91504 |
9 |
|
|
Задолженность по процентным платежам по основному долгу, не списанному с баланса |
|||
|
Неполученные проценты по кредитам и прочим размещенным средствам (кроме межбанковских), предоставленным клиентам |
91604 |
5 109 |
|
|
Задолженность по процентным платежам по основному долгу, списанному из-за невозможности взыскания |
|||
|
Неполученные проценты по кредитам и прочим размещенным средствам (кроме межбанковских), предоставленным клиентам, списанным с баланса кредитной организации |
91704 |
51 |
|
|
Задолженность по сумме основного долга, списанная из-за невозможности взыскания |
|||
|
Задолженность по кредитам и прочим размещенным средствам, предоставленным клиентам (кроме межбанковских), списанная за счет резервов на возможные потери |
91802 |
127 |
|
|
Счет для корреспонденции с пассивными счетами при двойной записи |
99998 |
157 807 |
|
|
Счет для корреспонденции с активными счетами при двойной записи |
99999 |
|
3 508 201 |
|
Д. Счета депо |
|||
|
Ценные бумаги на хранении в депозитарии |
98000 |
51 |
|
|
Ценные бумаги на хранении в ведущем депозитарии (НОСТРО депо базовый) |
98010 |
3 187 619 |
|
|
Ценные бумаги в пути, на проверке, на переоформлении |
98020 |
0 |
|
|
Ценные бумаги владельцев |
98040 |
|
3 176 139 |
|
Ценные бумаги, принадлежащие депозитарию |
98050 |
|
11 531 |
|
Ценные бумаги вне обращения |
98090 |
|
0 |
|
Открытое акционерное общество Новосибирский коммерческий муниципальный банк |
|
|
Регистрационный номер: 2786 |
|
|
Форма N101 |
|
|
Данные оборотной ведомости по счетам бухгалтерского учета- по состоянию на 1 января 2004 г. |
|
|
тыс. рублей |
|
|
Наименование статьи |
Данные на отчетную дату |
Данные на соответствующую дату прошлого года |
|
Активы |
||
|
1. Денежные средства |
223643 |
157561 |
|
2. Средства кредитных организаций в Центральном банке России |
246768 |
40451 |
|
2.1. Обязательные резервы |
37881 |
30540 |
|
3. Средства в кредитных организациях |
16372 |
5051 |
|
4. Чистые вложения в торговые ценные бумаги |
745 |
577 |
|
5. Чистая ссудная задолженность |
1293346 |
1154471 |
|
6. Чистые вложения в инвестиционные ценные бумаги, удерживаемые до погашения |
86 |
0 |
|
7. Чистые вложения в ценные бумаги, имеющиеся в наличии для продажи |
10 |
79 |
|
8. Основные средства, нематериальные активы и материальные запасы |
73631 |
51384 |
|
9. Требования по получению процентов |
3735 |
2892 |
|
10. Прочие активы |
43942 |
9849 |
|
Всего активов |
1902278 |
1422315 |
|
Пассивы |
||
|
12. Кредиты Центрального банка РФ |
0 |
0 |
|
13. Средства кредитных организаций |
2535 |
10004 |
|
14. Средства клиентов (некредитных организаций) |
1552082 |
1084749 |
|
14.1. Вклады физических лиц |
699281 |
629036 |
|
15. Выпущенные долговые обязательства |
123990 |
123456 |
|
16. Обязательства по уплате процентов |
8034 |
8772 |
|
17. Прочие обязательства |
24475 |
33062 |
|
18. Резервы на возможные потери по условным обязательствам кредитного характера, прочим возможным потерям и по операциям с резидентами оффшоных зон |
1692 |
1679 |
|
Всего обязательств |
1712808 |
1261722 |
|
20. Средства акционеров (участников) |
100000 |
100000 |
|
20.1. Зарегистрированные обыкновенные акции и доли |
100000 |
100000 |
|
20.2. Зарегистрированные привилегированные акции |
0 |
0 |
|
20.3. Незарегистрированный уставный капитал неакционерных кредитных организаций |
0 |
0 |
|
21. Собственные акции, выкупленные у акционеров |
0 |
0 |
|
22. Эмиссионный капитал |
0 |
0 |
|
23. Переоценка основных средств |
24345 |
24345 |
|
24. Расходы будущих периодов и предстоящие выплаты, влияющие на собственные средства (капитал) |
9162 |
9440 |
|
25. Фонды и неиспользованная прибыль прошлых лет в распоряжении кредитной организации (непогашенные убытки прошлых лет) |
44279 |
17501 |
|
26. Прибыль (убыток) за отчетный период |
30008 |
28187 |
|
27. Всего источников собственных средств |
189470 |
160593 |
|
Всего пассивов |
1902278 |
1422315 |
|
Внебалансовые обязательства |
||
|
29. Безотзывные обязательства кредитной организации |
240792 |
143669 |
|
30. Гарантии, выданные кредитной организацией |
30582 |
14138 |