Формування резервів для відшкодування можливих втрат за кредитними операціями комерційних банків (на прикладі АКБ "Приватбанк")
Міністерство освіти і науки України
Київський Національний Економічний Університет ім. В. Гетьмана
ДИПЛОМНИЙ ПРОЕКТ
Тема: „Формування резервів для відшкодування можливих втрат за кредитними операціями комерційних банків” (на прикладі АКБ “Приватбанк”)
Студент спец. ____
__ група, ___ курсу
_______________
Науковий керівник
Київ 2008
РЕФЕРАТ
Дипломна робота містить 110 сторінок, 12 таблиць, 19 рисунків, список літератури з 62 найменувань, 8 додатків.
Тема: „Формування резервів для відшкодування можливих втрат за кредитними операціями комерційних банків” (на прикладі АКБ “Приватбанк”)
Мета дипломної роботи - проаналізувати методологію та практику формування резервів для відшкодування можливих втрат за кредитними операціями комерційних банків.
Предметом досліджень дипломної роботи є аналіз основних інструментів і методів керування кредитними ризиками в комерційному банку за допомогою формування резервів для відшкодування можливих втрат за кредитними операціями.
Об'єктом досліджень дипломної роботи є діяльність комерційного банку «Приватбанк»(Україна).
Згідно завдання на дослідження дипломної роботи:
В першому розділі роботи розглянуті теоретичні питання:
- сутності кредитних операцій та ризиків процесів банківського кредитування;
- методології формування резервів під кредитні операції як одного із шляхів мінімізації кредитних ризиків;
У другому розділі роботи:
- проведена економічна діагностика діяльності ЗАТ КБ “Приватбанк” за 2004 – 2007 роки;
- проведений аналіз кредитного портфелю та управління кредитним ризиком в ЗАТ КБ “Приватбанк”;
- проведений аналіз формування резервів покриття можливих втрат за кредитними операціями та використання резерву для відшкодування безнадійної заборгованості позичальників в АКБ “Приватбанк”;
У третьому розділі роботи :
- проаналізовані перспективність технології використання компьютерних банків інформації в методах оперативних автоматизованих технологій оцінки фінансового стану позичальника та його кредитоспроможності;
- досліджена сутність та досвід формування бюро кредитних історій позичальників в ринкових країнах світу;
- проведене дослідження шляхів оптимізації кредитних ризиків в АКБ “Приватбанк”.
Практичне значення отриманих результатів дипломної роботи полягає в обгрунтуванні основних перспективних шляхів забезпечення зниження впливу кредитних ризиків на діяльність АКБ “Приватбанк”:
- використання на робочих місцях кредитних інспекторів автоматизованих процедур визначення індивідуальних кредитних ризиків позичальників з використанням інформації банків бюро кредитних історій;
- впровадження контрольованих процедур оцінки реальної вартості та ліквідності застави для визначення її обсягу під забезпечення повернення кредиту з урахуванням індивідуального рівня кредитного ризику позичальника;
- впровадження контрольованих процедур визначення оптимальної ставки вартості кредиту з урахуванням оцінки реальної вартості та ліквідності застави,
прогнозу рівня резервування з урахуванням індивідуального рівня кредитного ризику позичальника;
- впровадження в експлуатацію комплекса постійної задачі оптимізації “Мінімізація ризику кредитування – рівень заставного забезпечення – рівень ринкової амортизації заставного забезпечення на протязі кредитного договору - рівень резервування – рівень податку на прибуток – рівень рентабельності активів банку”.
Одержані результати можуть бути використані в практиці роботи комерційних банків України
Рік виконання дипломної роботи – 2007
Рік захисту дипломної роботи - 2008
ЗМІСТ
ВСТУП
РОЗДІЛ 1. СУТНІСТЬ РИЗИКІВ КРЕДИТНИХ ОПЕРАЦІЙ БАНКІВ ТА СПОСОБИ ЇХ МІНІМІЗАЦІЇ
1.1 Кредитні операції комерційних банків
1.2 Кредитні ризики, притаманні банківській діяльності, та способи їх мінімізації
1.3 Методологія формування резервів під кредитні операції як один із шляхів мінімізації кредитних ризиків
РОЗДІЛ 2. РЕЗЕРВ НА ВІДШКОДУВАННЯ МОЖЛИВИХ ВТРАТ ЗА КРЕДИТНИМИ ОПЕРАЦІЯМИ ТА ПОРЯДОК ЙОГО ФОРМУВАННЯ В КОМЕРЦІЙНОМУ БАНКУ АКБ “ПРИВАТБАНК”
2.1 Аналіз кредитної діяльності АКБ “Приватбанк”
2.2 Оцінка кредитних ризиків кредитного портфелю АКБ “Приватбанк” та аналіз формування резервів покриття можливих втрат за кредитними операціями
2.3 Аналіз використання резерву для відшкодування безнадійної заборгованості позичальників в АКБ “Приватбанк”
РОЗДІЛ 3. ЕФЕКТИВНІСТЬ МЕНЕДЖМЕНТУ КРЕДИТНОЮ ДІЯЛЬНІСТЮ В АКБ “ПРИВАТБАНК” ТА ШЛЯХИ ЙОГО УДОСКОНАЛЕННЯ
3.1 Розвиток методологій внутрішньої системи управління кредитними ризиками
3.2 Зовнішня система управління кредитними ризиками за рахунок створення національних бюро кредитних історій позичальників
3.3 Шляхи оптимізації кредитних ризиків в АКБ “Приватбанк”
ВИСНОВКИ
СПИСОК ВИКОРИСТАНОЇ ЛІТЕРАТУРИ
ДОДАТКИ
ВСТУП
Актуальність теми дипломної роботи полягає в тому, що для банків України показники кредитного ризику, характеризуємі простроченою і сумнівною заборгованістю в їх кредитних портфелях, у два-три рази перевищують рівень аналогічних показників банків розвинутих країн. Тому питання керування банківським кредитним ризиком, від своєчасного рішення яких залежить ефективність діяльності кожного конкретного банку і стабільність функціонування всієї банківської системи країни, у сформованих умовах здобувають першочергове значення.
Незважаючи на значний обсяг проведених наукових робіт у працях таких вчених, як М.І. Баканов, І.В. Волошин, О.В. Дзоблюк, А.М. Мороз, М.І. Савлук, А.Д. Шеремета, залишається невирішеною проблема інтегральної оцінки кредитних ризиків і створення синтетичної методики аналізу кредитних операцій комерційного банку.
Мета дипломної роботи - проаналізувати методологію та практику формування резервів для відшкодування можливих втрат за кредитними операціями комерційних банків.
Предметом досліджень дипломної роботи є аналіз основних інструментів і методів керування кредитними ризиками в комерційному банку за допомогою формування резервів для відшкодування можливих втрат за кредитними операціями.
Об'єктом досліджень дипломної роботи є діяльність комерційного банку «Приватбанк»(Україна).
Згідно завдання на дослідження дипломної роботи:
1. В першому розділі роботи розглянуті теоретичні питання:
- сутності кредитних операцій та ризиків процесів банківського кредитування;
- методології формування резервів під кредитні операції як одного із шляхів мінімізації кредитних ризиків;
2. У другому розділі роботи:
- проведена економічна діагностика діяльності ЗАТ КБ “Приватбанк” за 2004 – 2007 роки;
- проведений аналіз кредитного портфелю та управління кредитним ризиком в ЗАТ КБ “Приватбанк”;
- проведений аналіз формування резервів покриття можливих втрат за кредитними операціями та використання резерву для відшкодування безнадійної заборгованості позичальників в АКБ “Приватбанк”;
3. У третьому розділі роботи :
- проаналізовані перспективність технології використання компьютерних банків інформації в методах оперативних автоматизованих технологій оцінки фінансового стану позичальника та його кредитоспроможності;
- досліджена сутність та досвід формування бюро кредитних історій позичальників в ринкових країнах світу;
- проведене дослідження шляхів оптимізації кредитних ризиків в АКБ “Приватбанк”.
Методи дослідження, застосовані в дипломній роботи – кількісні та якісні методи оцінки ефективності роботи комерційних банків, методи ретроспективного економічного аналізу результатів діяльності банку (горизонтально-вертикальні статистичні розрізи).
Інформаційно-методологічна база досліджень дипломної роботи — звітні документи ЗАТ КБ “Приватбанк” за 2001-2007 роки, інформаційні аналітичні бази Національного банку України та Асоціації українських банків, розташовані в глобальній мережі Інтернет, Закони України та нормативні документи Національного банку України з довідкової комп’ютерної бази “Ліга-Закон”.
Що стосується теоретичної літератури яка розглядає кредитування, то слід зазначити, що це питання досліджувалось ретельно російськими юристами і економістами серед яких: Г.Ф. Шершеневич , Я.А. Кунин, Е.А. Флейшиц, Е.С. Компанеец, Є.Г. Агарков та інші, тобто праці українських фахівців базувалися на теоретичних здобутках російських юристів і економістів, після ради-кальних структурних та функціональних змін кредитно-фінансової системи, це питання досліджувалось українськими фахівцями у сфері кредитування, такими як: С.В. Мочерний, В. Березовик, О.П. Устенко, С.И. Вильнянський, М.І Савлук, Б.С. Івасів, О.Р. Гриценко та інші. Значний обсяг робіт з цієї теми міститься у періодичних виданнях: Банківська справа; Вісник Національного банку України; Право України; Підприємництво, господарство, право; Фінанси України; Галицькі Контракти.
Практичне значення отриманих результатів дипломної роботи полягає в обгрунтуванні основних перспективних шляхів забезпечення зниження впливу кредитних ризиків на діяльність АКБ “Приватбанк”:
- використання на робочих місцях кредитних інспекторів автоматизова-них процедур визначення індивідуальних кредитних ризиків позичальників з використанням інформації банків бюро кредитних історій;
- впровадження контрольованих процедур оцінки реальної вартості та ліквідності застави для визначення її обсягу під забезпечення повернення кредиту з урахуванням індивідуального рівня кредитного ризику позичальника;
- впровадження контрольованих процедур визначення оптимальної ставки вартості кредиту з урахуванням оцінки реальної вартості та ліквідності застави,
прогнозу рівня резервування з урахуванням індивідуального рівня кредитного ризику позичальника;
- впровадження в експлуатацію комплекса постійної задачі оптимізації “Мінімізація ризику кредитування – рівень заставного забезпечення – рівень ринкової амортизації заставного забезпечення на протязі кредитного договору - рівень резервування – рівень податку на прибуток – рівень рентабельності активів банку”.
РОЗДІЛ 1 СУТНІСТЬ РИЗИКІВ КРЕДИТНИХ ОПЕРАЦІЙ БАНКІВ ТА СПОСОБИ ЇХ МІНІМІЗАЦІЇ
1.1 Кредитні операції комерційних банків
Кредит (від лат. Creditum – позичка, борг) є однією з найскладніших економічних категорій1. Передумовою його виникнення послужило майнове розмежування суспільства в період розкладання первіснообщинного ладу. Одначе виникнення умов, що додали кредиту характер об'єктивної необхідності, обумовлено становленням і розвитком товарно-грошових відносин.
Як економічна категорія кредит являє собою сукупність визначених економічних відносин. Їхнє відокремлення в окремий вид відбувається на основі особливостей суб'єктів і об'єктів цих відносин. З цих позицій кредит можна характеризувати як відносини між кредитором і позичальником із приводу зворотного руху вартості .
Кредитор – це суб'єкт кредитних відносин, що надає вартість у тимчасове користування. Джерелом засобів для видачі позички можуть бути як власні засоби кредитора, так і позикові.
Позичальник – суб'єкт кредитних відносин, що одержує позичку. Позичальниками можуть бути юридичні і фізичні особи, що мають недолік власних засобів, - держпідприємства, акціонерні товариства, приватні фірми, банки, держава, громадяни і т.д.
Основне призначення банків у кредитуванні - посередництво в переміщенні коштів від кредиторів до позичальників і від продавців до покупців. Поряд з банками переміщення коштів на ринках здійснюють і інші фінансові і кредитні установи: інвестиційні фонди, страхові компанії, брокерські фірми і т.д. Але банки як суб'єкти фінансового ринку мають дві істотних ознаки, що відрізняють їх від всіх інших суб'єктів:
Для банків характерний подвійний обмін борговими зобов'язаннями: вони розміщають свої власні боргові зобов'язання (депозити, ощадні сертифікати й ін.), а мобілізовані на цій основі засоби розміщають у боргові зобов'язання і цінні папери, випущені іншими. Це відрізняє банки від фінансових брокерів і дилерів, що здійснюють свою діяльність на фінансовому ринку, не випускаючи власних боргових зобов'язань.
Банки відрізняє прийняття на себе безумовних зобов'язань з фіксованою сумою боргу перед юридичними і фізичними особами, наприклад при розміщенні коштів клієнтів на рахунки і у внески, при випуску депозитних сертифікатів і т.п. Цим банки відрізняються від різних інвестиційних фондів, що мобілізують ресурси на основі випуску власних акцій (паїв). Фіксовані по сумі боргу зобов'язання несуть у собі найбільший ризик для посередників, банків, оскільки повинні бути сплачені повною мірою незалежно від ринкової кон'юнктури, у той час як інвестиційна компанія (фонд) усі ризики, пов'язані зі зміною вартості її активів і пасивів, розподіляє серед своїх акціонерів (пайовиків). Весь цей процес створення нових зобов'язань і обміну їх на зобов'язання інших контрагентів складає основу, суть фінансового посередництва. Подібна трансформація винятково важлива в ринковій економіці. Вона дозволяє перебороти складності прямого контакту вкладників і позичальників, що виникають через розбіжність пропонованих і необхідних сум, їхніх термінів, прибутковості і т.д. Акумулюючи грошові капітали з різних джерел, фінансові посередники створюють загальний знеособлений «пул» коштів і можуть задовольняти вимоги на кредит на всіляких умовах.
Кредитні операції - це відносини між кредитором і позичальником (дебітором) по наданню першим останньому визначеної суми коштів на умовах платності, терміновості, зворотності. Банківські кредитні операції підрозділяються на дві великі групи:
- активні, коли банк виступає в особі кредитора, видаючи позики;
- пасивні, коли банк виступає в ролі позичальника (дебітора), залучаючи гроші від клієнтів і інших банків у банк на умовах платності, терміновості, зворотності.
До заборгованості за кредитними операціями, що становлять кредитний портфель банку, належать [12]:
- строкові депозити, які розміщені в інших банках, і сумнівна заборгованість за ними;
- кредити, які надані іншим банкам, і сумнівна заборгованість за ними;
- вимоги, що придбані за операціями факторингу із суб'єктами господарювання, і сумнівна заборгованість за ними;
- кредити, що надані за операціями репо суб'єктам господарювання;
- кредити, що надані за врахованими векселями суб'єктам господарювання, і сумнівна заборгованість за ними;
- кредити суб'єктам господарювання в поточну діяльність, в інвестиційну діяльність і сумнівна заборгованість за ними;
- іпотечні кредити, що надані суб'єктам господарювання, і сумнівна заборгованість за ними;
- кредити, що надані органам державної влади та місцевого самоврядування, і сумнівна заборгованість за ними;
- іпотечні кредити, що надані органам державної влади та місцевого самоврядування, і сумнівна заборгованість за ними;
- кредити на поточні потреби та в інвестиційну діяльність, що надані фізичним особам, і сумнівна заборгованість за ними;
- іпотечні кредити, що надані фізичним особам, і сумнівна заборгованість за ними;
- кредити, що надані за врахованими векселями фізичним особам, і сумнівна заборгованість за ними;
- кредити овердрафт, що надані суб'єктам господарювання та фізичним особам;
- гарантії, поручительства, підтверджені акредитиви, акцепти та авалі, що надані банкам;
- сумнівна заборгованість за виплаченими гарантіями, виданими іншим банкам;
- гарантії та авалі, що надані клієнтам (крім банків);
- сумнівні гарантії, що надані банкам і клієнтам;
- сумнівна заборгованість за виплаченими гарантіями, виданими суб'єктам господарювання;
- сумнівна заборгованість за виплаченими гарантіями, виданими фізичним особам;
- зобов'язання з кредитування, що надані банкам і клієнтам. До розрахунку резерву береться 50 % від суми зобов'язань з кредитування, які обліковуються за позабалансовими рахунками.
Банківський кредит - дуже зручна й у багатьох випадках незамінна форма фінансових послуг, яка дозволяє гнучко враховувати потреби конкретного позичальника і пристосовувати до них умови одержання позики (у відмінність, наприклад, від ринку цінних паперів, де терміни й інші умови позики стандартизовані) [35].
Банківський кредит надається суб'єктам кредитування усіх форм власності у тимчасове користування на умовах раціонального кредитування , передбачених кредитним договором. Основними із них є: забезпеченість, повернення, строковість, платність та цільова направленість .
Принцип забезпеченості кредиту означає наявність у банку права для захисту своїх інтересів, недопущення збитків від неповернення боргу через неплатоспроможність позичальника.
Принцип повернення, строковості та платності означає, що кредит має бути поверненим позичальником банку у визначений у кредитному договорі строк з відповідною сплатою за його користування.
Цільовий характер використання передбачає вкладення позичкових коштів на конкретні цілі, передбачені кредитним договором.
Основними джерелами формування банківських кредитних ресурсів є власні кошти банків,залишки на розрахункових та поточних (валютних) рахунках, залучені кошти юридичних та фізичних осіб на депозитні рахунки до запитання та строкові, міжбанківські кредити та кошти, одержані від випуску цінних паперів.
Відповідно виділяється пряме банківське кредитування, коли кредитні відносини підприємства споконвічно виникають як відносини з банком, і непряме банківське кредитування, коли первісно виникають кредитні відносини між підприємствами, що згодом звертаються в банк у пошуках способу дострокового одержання коштів комерційного кредиту (за векселем).
Основними категоріями в процесі аналізу кредитних операцій виступають такі терміни: „кредит”, „кредитний ризик”, „кредитна операція”, „відсотки за кредитом” (плата за кредит), „позичальник”, „кредитор” (банк).
Сучасне правове регулювання кредитних правовідносин в Україні згідно з новим Господарським кодексом України [4] визначається у статті 345:
“Кредитні операції полягають в розміщенні банками від свого імені, на власних умовах і на власний ризик залучених коштів юридичних осіб (позичальників) і громадян. Кредитними визнаються банківські операції, визначені як такі законом про банки і банківську діяльність.
Кредитні відносини здійснюються на підставі кредитного договору, який укладається між кредитором і позичальником у письмовій формі. У кредитному договорі передбачаються мета, сума і термін кредиту, умови і порядок його видачі і погашення, види забезпечення зобов'язань позичальника, процентні ставки, порядок платні за кредит, обов'язки, права і відповідальність сторін по видачі і погашенню кредиту”.
Стаття 345 Господарського кодексу визначає кредитні операції і для позначення їх видів містить відсилання до Закону України “Про банки і банківську діяльність” [1].
Відповідно до ст. 49 Закону України “Про банки і банківську діяльність” [1] банки здійснюють наступні види кредитних операцій: розміщення залучених коштів від свого імені, на власних умовах і на власний ризик; організація купівлі і продажі цінних паперів за дорученням клієнтів; здійснення операцій на ринку цінних паперів від свого імені; надання гарантій і порук інших зобов'язань від третіх осіб, що передбачають їх виконання в грошовій формі; придбання права вимоги на виконання зобов'язань в грошовій формі за поставлені товари або надані послуги, приймаючи на себе ризик виконання таких вимог і прийом платежів (факторинг); лізинг.
Кредитний договір визначається також в Цивільному кодексі України (ст. 1054) [7] як договір, по якому банк або інша фінансова установа (кредитодавець) зобов'язується надати грошові кошти (кредит) позичальнику в розмірі і на умовах, встановлених договором, а позичальник зобов'язується повернути кредит і сплатити відсотки. До правовідносин за кредитним договором застосовуються положення, регулюючі правовідносини за договором позики, якщо інше не встановлене законодавством і не витікає з суті кредитного договору.
В дипломній роботі, згідно з методологією, прийнятою в документах Національного банку України, застосовується визначення кредитних операцій - як активних операції банку, що пов'язані з наданням клієнтам залучених коштів у тимчасове користування (надання кредитів у готівковій або безготівковій формі, на фінансування будівництва житла та у формі врахування векселів, розміщення депозитів, проведення факторингових операцій, операцій репо, фінансового лізингу тощо) або прийняттям зобов'язань про надання коштів у тимчасове користування (надання гарантій, поручительств, авалів тощо), а також операції з купівлі та продажу цінних паперів за дорученням клієнтів і від свого імені (включаючи андеррайтинг), будь-яке продовження строку погашення боргу, яке надано в обмін на зобов'язання боржника щодо повернення заборгованої суми.
Форми кредиту класифікуються за принципами [34]:
1. За джерелами кредитів :
зовнішнє кредитування;
внутрішнє кредитування;
2. За строками кредити поділяються на :
надстрокові – добові, тижневі, до трьох місяців;
середньострокові – між 1-5 роками;
довгострокові – понад 5-7 років;
3. За валютою позики :
у валюті країни-позичальника;
у валюті країни-кредитора;
у валюті третьої країни;
у міжнародній розрахунковій грошовій одиниці (СДР);
4. За забезпеченістю :
забезпечені (товарними документами, цінними паперами, векселями,нерухомістю тощо);
бланкові – під зобов ' язання боржника;
5. За суб'єктами кредитних відносин :
державний;
приватний;
кредит міжнародних фінансових організацій;
7. За видом ставки кредита :
фіксована;
плаваюча;
комбінація ставок;
8. За способом погашення кредита:
з рівномірним погашенням;
з нерівномірним погашенням;
з одночасним погашенням;
з ануїтентним погашенням ( відсотки погашаються разом з основним боргом);
9. За технологією реалізації кредиту :
- кредитна лінія ;
- револьверний кредит ;
- консорціумний кредит ;
- кредит «овернайт»;
- кредит «овердрафт»;
10. За типом позичальника
- банківська фінансова установа;
- небанківська фінансова установа;
- юридична особа – суб’єкт підприємницької діяльності;
- фізична особа – приватний підприємець;
- фізична особа – громадянин;
- інші типи позичальників (неприбуткові, релігійні,суспільні організації і об’єднання, політичні партії та інші).
Згідно з класифікацією «Плана рахунків в комерційних банках України»
[9], міжбанківські кредити розподілені на наступні підвиди кредитів (табл.1.2)
- міжбанківські кредити (табл.Ж.1 Додатку Ж);
- кредити, надані юридичним особам (табл.Ж.2 Додатку Ж);
- кредити, надані фізичним особам (табл.Ж.3 Додатку Ж).
1.2 Кредитні ризики, притаманні банківській діяльності, та способи їх мінімізації
Управління ризиками - це процес, за допомогою якого банк виявляє (ідентифікує) ризики, проводить оцінку їх величини, здійснює їхній моніторинг і контролює свої ризикові позиції, а також враховує взаємозв'язки між різними категоріями (видами) ризиків [20].
Ризики діяльності банку виникають на основі як внутрішніх (ендогенних), так і зовнішніх (екзогенних) факторів. Важливим є те, що значна частина зовнішніх факторів знаходиться поза межами контролю з боку банку, а відтак банк не може мати повної впевненості щодо результатів майбутніх подій та часу їх виникнення.
Успішна діяльність банку в цілому великою мірою залежить від обраної стратегії управління ризиками. Мета процесу управління банківськими ризиками полягає в їх обмеженні або мінімізації, оскільки повністю уникнути ризиків неможливо. Управління банківськими ризиками, як правило, спрямоване на забезпечення отримання банком відповідної винагороди за прийняття ризиків. Виняток становлять нецінові ризики, щодо яких не існує кореляції між їх рівнем та величиною винагороди банка (табл.1.2) [32].
З метою здійснення банківського нагляду Національний банк виділив дев'ять категорій ризику, а саме: кредитний ризик, ризик ліквідності, ризик зміни процентної ставки, ринковий ризик, валютний ризик, операційно-технологічний ризик, ризик репутації, юридичний ризик та стратегічний ризик. Ці категорії не є взаємовиключними; будь-який продукт або послуга може наражати банк на декілька ризиків. Однак для зручності аналізу Національний банк виявляє та оцінює ці ризики окремо.
Таблиця 1.1
Стратегічні концепції мінімізації та управління банківськими ризиками
|
Характеристика ризику |
Концепція |
Ціль концепції |
|
Фінансові (цінові ризики) |
||
|
Ризики, щодо яких існує кореляція між їх рівнем та величиною винагороди банка |
Управління ризиком |
Оптимізувати співвідношення – “ризик/дохідність” для 2-х можливих варіантів: 1. Максимізуючи дохідність для заданого рівня ризику; 2. Мінімізуючи ризик для забезпечення заданого рівня дохідності |
|
Нецінові ризики (юридичний ризик, ризик репутації, стратегічний ризик, операційно-технологічний ризик) |
||
|
Ризики, щодо яких не існує кореляція між їх рівнем та величиною винагороди банка |
Мінімізація ризику чи його уникнення |
Знизити ризики до певного граничного рівня, намагаючись при цьому понести щонайменші витрати |
Кредитний ризик - це наявний або потенційний ризик для надходжень та капіталу, який виникає через неспроможність сторони, що взяла на себе зобов'язання, виконати умови будь-якої фінансової угоди із банком (його підрозділом) або в інший спосіб виконати взяті на себе зобов'язання. Кредитний ризик є в усіх видах діяльності, де результат залежить від діяльності контрагента, емітента або позичальника. Він виникає кожного разу, коли банк надає кошти, бере зобов'язання про їх надання, інвестує кошти або іншим чином ризикує ними відповідно до умов реальних чи умовних угод незалежно від того, де відображається операція - на балансі чи поза балансом.
Під час оцінки кредитного ризику доцільно розрізняти індивідуальний та портфельний кредитний ризик. Джерелом індивідуального кредитного ризику є окремий, конкретний контрагент банку - позичальник, боржник, емітент цінних паперів. Оцінка індивідуального кредитного ризику передбачає оцінку кредито-спроможності такого окремого контрагента, тобто його індивідуальну спроможність своєчасно та в повному обсязі розрахуватися за взятими зобов'язаннями. Портфельний кредитний ризик виявляється у зменшенні вартості активів банку (іншій, аніж унаслідок зміни ринкової процентної ставки). Джерелом портфельного кредитного ризику є сукупна заборгованість банку за операціями, яким притаманний кредитний ризик, - кредитний портфель, портфель цінних паперів, портфель дебіторської заборгованості тощо. Оцінка портфельного кредитного ризику передбачає оцінку концентрації та диверсифікації активів банку.
Міжнародному кредитуванню, крім кредитного ризику, притаманний ризик країни, який виникає через особливості економіки, соціального ладу та політичного устрою країни позичальника. Ризик країни особливо помітний у разі кредитування іноземних урядів або їхніх установ, оскільки таке кредитування зазвичай не забезпечене. Проте цей ризик має завжди враховуватися в кредитній та інвестиційній діяльності - не має значення, у якому секторі - державному чи приватному. Існує також компонент ризику країни, відомий як трансферний ризик, що виникає в тому випадку, коли заборгованість позичальника не номінована в національній валюті. Незважаючи на фінансовий стан позичальника, валюта заборгованості може виявитися недоступною для нього.
Для оцінки кредитного ризику мають враховувати викладені нижче фактори. Ці фактори є рекомендованими критеріями; їх перелік може бути розширений в разі потреби. Вони є оглядом моментів, які можуть допомогти приймати рішення в межах системи оцінки ризиків. Фактичні дані наявної в банку постійно діючої системи оцінки та контролю ризиків мають забезпечувати прийняття керівництвом адекватних та ефективних рішень і враховуються під час оцінки ризику банку.
Фактори оцінки такі [11]:
- існування адекватної, ефективної, доведеної до виконавців внутрішньої нормативної бази (положень, процедур тощо) щодо управління кредитним ризиком, затвердженої відповідними органами банку, виходячи з принципів корпоративного управління, а також відповідної практики виконання її вимог;
склад портфелів активів (кредитний, інвестиційний тощо) та існування концентрацій. Суттєві фактори включають такі:
а)продукти;
б)види економічної діяльності;
в)класифікація/рейтинги ризику;
г)походження заборгованості;
д)клієнти;
е)розмір кредитів;
ж)географічні регіони;
з)непов'язані/споріднені контрагенти;
и)джерела погашення;
к)застава;
- рівень забезпечення кредитного ризику заставою. Під час оцінки застави мають аналізуватися вид застави, якість, рівень покриття заборгованості заставою, адекватність та періодичність переоцінки застави, можливість реалізації, а також рівень і характер винятків у документації;
- обсяг умовних зобов'язань банку (гарантій, непокритих і резервних акредитивів, кредитних ліній, обов'язкових та не обов'язкових до надання тощо);
- тенденції щодо зростання обсягів активних операцій, прострочень, негативно класифікованих кредитів і збитків від активних операцій;
- достатність резервів банку під можливі втрати за активними операціями;
- наявність своєчасної, достовірної та повної управлінської інформації;
- ефективність кредитного адміністрування, включаючи кредитний аналіз, моніторинг, роботу з проблемними активами, оцінку застави і документальне оформлення застави;
- адекватність методів, що використовуються для визначення кредитних проблем;
- рівень комплектації і кваліфікація кадрів, зважаючи на обсяг та складність активних операцій банку;
- чи застосовуються належні облікові підходи щодо балансових та позабалансових активів та резервів;
- наявність належних механізмів контролю (аудит, внутрішні перевірки кредитної діяльності, відповідні процедури тощо) для класифікації портфелів, забезпечення точності даних і моніторингу дотримання положень або законів.
Система управління кредитним ризиком банку складається із регламентних документів - політик, положень, процедур, процесів тощо, - які затверджуються спостережною радою або правлінням банку відповідно до обраної ним форми корпоративного управління, з урахуванням розміру банку та складності його операцій [11].
Система управління кредитним ризиком має включати, як мінімум, такі компоненти:
- політику та положення щодо управління кредитним ризиком, які мають бути розглянуті та затверджені спостережною радою або правлінням банку, відповідно до принципів корпоративного управління. Такі політика та положення повинні підлягати періодичному перегляду;
- Положення щодо кредитування, які враховують як балансові, так і позабалансові операції банку, а саме:
а) регламентують типи і умови кредитів, які надаватиме установа;
б) враховують характер ринків та галузей, яким надаватимуться кредити;
в) передбачають розгляд до взяття зобов'язання про надання кредиту: загального фінансового стану позичальника, характеру та вартості застави, характеру позичальника та його готовності погасити кредит згідно з угодою, а також фінансової відповідальності гаранта;
д) адекватно враховують концентрацію кредитного ризику і пов'язаних із ним потенційних ризиків;
е)інші питання, що пов'язані із кредитуванням, зокрема, порядок та процедуру визначення процентної ставки за кредитом та необхідної застави.
- положення щодо лімітів ризику на одного контрагента, групу взаємопов'язаних контрагентів, за галузями або секторами економіки, за географічними регіонами або іншими кредитними операціями, які можна розглядати в сукупності (експозиціями); ці положення мають враховувати всі компоненти кредитного ризику, як балансові, так і позабалансові, на які наражається установа, а також можливий вплив інших категорій ризиків;
- чітко визначену і продуману систему повноважень з прийняття рішень щодо ухвалення кредитних операцій;
- комплексну систему оцінки кредитного ризику;
- належну інформаційну базу, яка:
- дозволяє керівництву приймати обґрунтовані кредитні рішення і оцінювати ризик на постійній основі;
- надає інформацію про розмір, призначення та джерело заборгованості, а також дозволяє оцінити здатність позичальника своєчасно її погасити;
- забезпечує можливість застосування відповідних правових санкцій проти позичальника;
- надає можливість здійснювати адекватне адміністрування і моніторинг кредиту;
- дозволяє підтримувати зберігання і обробку даних за попередні періоди.
- процес ідентифікації кредитів, якість яких погіршується, та належної роботи із проблемними активами, яка включає наступне:
- процес безперервного управління кредитними експозиціями (операціями в їхній сукупності), що вимагають посиленої уваги;
- періодичні перевірки якості активів для ідентифікації проблемних активів;
- методику ідентифікації, оцінки, обліку кредитів, чия якість погіршується, та створення під них відповідних резервів;
- порівняння загальних сум проблемних активів з капіталом;
- оцінку потенційних збитків за проблемними активами і формування резервів, достатніх для поглинання таких збитків;
- підготовку та подання періодичних звітів керівництву і спостережній раді із достатньою інформацією для оцінки рівня ризику. Ці звіти мають включати наступне, але не обмежуватись цим:
- перелік кредитів у розрізі класифікації за ризиком;
- аналіз проблемних кредитів;
- оцінку напрямку ризику у кредитному портфелі;
- інформацію про проблемні кредити за кредитними інспекторами, філіями, галузями, видами забезпечення тощо;
- аналіз змін рівня резервів банку на основі рівня і тенденцій змін проблемних активів і загальної суми кредитів;
- аналіз концентрації кредитів за клієнтами, пов'язаними з ними особами, галузями економіки і регіонами;
- функцію незалежних перевірок кредитної діяльності, чиїм призначенням є аналіз якості як окремих кредитів, так і кредитного портфеля(ів) у цілому. Результати цього аналізу мають надаватися правлінню і спостережній раді на регулярній основі.
Крім того, для більш ефективного управління кредитним ризиком рекомендується:
- створити, запровадити в експлуатацію та постійно актуалізовувати систему внутрішніх кредитних рейтингів;
- на основі реальних спостережень принаймні щоквартально обчислювати матрицю ймовірностей міграції кредитних рейтингів та оцінювати на основі такої матриці величину необхідних резервів під кредитні збитки у наступних періодах;
- проводити бек-тестування міграції внутрішніх кредитних рейтингів на реальних даних за максимально можливий період часу.
Кредитна діяльність банків пов'язана з кредитним ризиком або нездатністю контрагента виконувати частково або в повному обсязі свої зобов'язання згідно з угодою, тому банки зобов'язані оцінювати кредитоспроможність своїх контрагентів, вчасно ідентифікувати погані активи (тобто активи, за якими існує ймовірність отримання збитків), створювати необхідні резерви для списання безнадійних до погашення активів.
Процес управління ризиками складається з таких етапів:
ідентифікація – усвідомлення ризику, визначення причин його виникнення та ризикових сфер;
квантифікація – вимірювання, аналіз та оцінювання величини ризику;
мінімізація – зниження чи обмеження ризиків за допомогою відповідних методів управління;
моніторинг – здійснення постійного контролю за рівнем ризиків з механізмом зворотного зв'язку.
Для оцінки величини фінансових ризиків банку в основному використовують три групи показників:
- статистичні величини (стандартне відхилення, варіація, дисперсія, коефіцієнт бета);
- непрямі показники ризиковості діяльності, обчислені зазвичай у формі фінансових коефіцієнтів за даними публічної звітності;
- аналітичні показники (індикатори), призначені для оцінки конкретного виду ризику (валютного, відсоткового, кредитного, інвестиційного, незбалансованої ліквідності та ін.) в процесі внутрішнього аналізу діяльності банку.
Сучасні методи управління кредитним банківським ризиком, застосовуємі вітчизняними банками, в основному, директивно встановлені Національним банком України та розподіляються на:
- непряме регулювання ризиків нормативним регулюванням співвідношення власного капіталу та окремих агрегатів активних та пасивних операцій банку, при якому власний капітал банку вважається основним страховим резервом для відшкодування можливих втрат залучених коштів клієнтів банку та інших банків;
- заставне забезпечення за рахунок активів позичальників сум виданих кредитів;
- створення за рахунок прибутку банку спеціальних резервів на відшкодування можливих втрат від активних операцій – кредитних операцій, ненадходження нарахованих кредитних доходів банку;
- страхування активів, які не мають заставного забезпечення та, в основ-ному, вкладених в операції з комерційними цінними паперами.
З метою зменшення банківських ризиків Національний банк установлює нормативи кредитного ризику, недотримання яких може призвести до фінансових труднощів у діяльності банку [10].
Таблиця 1.2
Коефіцієнти для аналізу та обмеження кредитного ризику банку
|
№ |
Коефіцієнт |
Методика розрахунку |
Нормативне значення |
|
|
1 |
Норматив максимального розміру кредитного ризику на одного контрагента (Н7), |
Показник розміру кредитного ризику на одного контрагента визначається як співвідношення суми всіх вимог банку до цього контрагента та всіх позабалансових зобов'язань, виданих банком щодо цього контрагента, до капіталу банку. |
Не більше 25% |
|
|
2 |
Норматив великих кредитних ризиків (Н8) |
Норматив великих кредитних ризиків визначається як співвідношення суми всіх великих кредитних ризиків, наданих банком щодо всіх контрагентів або груп пов'язаних контрагентів, з урахуванням усіх позабалансових зобов'язань, виданих банком щодо цього контрагента або групи пов'язаних контрагентів, до регулятивного капіталу банку. |
не має перевищувати 8-кратний розмір регулятивного капіталу банку |
|
|
3 |
Норматив максимального розміру кредитів, гарантій та поручительств, наданих одному інсайдеру (Н9) |
Норматив максимального розміру кредитів, гарантій та поручительств, наданих одному інсайдеру, визначається як співвідношення суми всіх зобов'язань цього інсайдера перед банком і всіх позабалансових зобов'язань, виданих банком щодо цього інсайдера, та статутного капіталу банку. |
Не більше 5% |
|
|
№ |
Коефіцієнт |
Методика розрахунку |
Нормативне значення |
|
|
4 |
Норматив максимального сукупного розміру кредитів, гарантій та поручительств, наданих інсайдерам (Н10); |
Норматив максимального сукупного розміру кредитів, гарантій та поручительств, наданих інсайдерам, визначається як співвідношення сукупної заборгованості зобов'язань усіх інсайдерів перед банком і 100 відсотків суми позабалансових зобов'язань, виданих банком щодо всіх інсайдерів, та статутного капіталу банку. |
Не більше 30% |
Базою для розрахунку економічних нормативів Н7, Н8 є регулятивний капітал банку. Базою для розрахунку економічних нормативів Н9, Н10 є статутний капітал банку.
Для ефективного функціонування банків важливо передбачити, зважувати і страхувати можливі ризики. Передусім це стосується ризиків за активними операціями, які тісно взаємопов’язані – один такий ризик тягне за собою цілу низку інших.
Велике значення має вибір як методів розрахунку ризиків, так і методів їх мінімізації. Серед основних методів регулювання або зменшення ризиків такі:
- систематичний аналіз і постійний контроль за фінансовим станом клієнта банку, його платоспроможністю;
- резервування;
- страхування ризику;
- використання застави;
- розподіл ризику у випадку, коли загальна сума кредиту, а відповідно і ризик, розподіляється між кількома банками;
- диверсифікація ризиків;
- обмеження ризику шляхом дотримання економічних нормативів, які встановлюються Національним банком;
- зважування ризиків;
- використання плаваючих процентних ставок.
Керування кредитним ризиком здійснюється за допомогою наступних банківських інструментів та процедур:
1. Оцінка кредитоспроможності. Кредитні працівники звичайно віддають перевагу саме цьому методу, оскільки він дозволяє запобігти практично цілком усі можливі втрати, зв'язані з неповерненням кредиту. До визначення кредитоспроможності позичальника існує безліч різних підходів. Однак останнім часом у практиці закордонних банків усе більше поширення одержує метод, заснований на бальній оцінці позикоодержувача. Цей метод припускає розробку спеціальних шкал для визначення рейтингу клієнта. Критерії, по яких виробляється оцінка позичальника, строго індивідуальні для кожного банку і базуються на його практичному досвіді. Ці критерії періодично переглядаються, що забезпечує підвищення ефективності аналізу кредитоспроможності.
2. Диверсифікованість кредитного ризику припускає розосередження наявних у банку можливостей по кредитуванню й інвестуванню. Кредитний ризик зростає в міру збільшення загального обсягу кредитування і ступені концентрації кредитів серед обмеженого числа позичальників. Крім того, виробляється розподіл кредитів по термінах, по призначенню кредитів, по виду забезпечення, по способі встановлення ставки за кредит, по галузях і так далі. З метою диверсифікованості здійснюється раціонування кредиту - ліміти кредитування, що плавають, понад які кредити не надаються поза залежністю від рівня процентної ставки.
3. Зменшення розміру видаваних кредитів одному позичальнику. Цей спосіб застосовується, коли банк не цілком упевнений у достатній кредитоспроможності клієнта. Зменшений розмір кредиту дозволяє скоротити величину втрат у випадку його неповернення.
4. Страхування кредитів. Страхування кредиту припускає повну передачу ризику його неповернення організації, що займається страхуванням. Існує багато різних варіантів страхування кредитів, але усі витрати, зв'язані з їх здійсненням, як правило, відносяться на позикоодержувачів.
5. Залучення достатнього забезпечення. Такий метод практично цілком гарантує банку повернення виданої суми й одержання відсотків. При цьому важливим моментом є той факт, що розмір забезпечення позички повинний покривати не тільки саму суму виданого кредиту, але і суму відсотків по ньому. Однак усе-таки пріоритет при захисті від кредитного ризику повинний віддаватися не залученню достатнього забезпечення, призначеного для покриття збитків, а аналізу кредитоспроможності позичальника, спрямованому на недопущення цих збитків, оскільки позичка видається не в розрахунку на те, що для її погашення прийдеться продати активи, що служать забезпеченням, а на те, що вона буде повернута відповідно до кредитного договору.
6. Видача дисконтних позичок. Дисконтні позички лише в невеликому ступені дозволяють знизити кредитний ризик. Такий спосіб надання кредитів гарантує, як мінімум, одержання плати за кредит, а питання про її повернення залишається відкритим, якщо не використовуються інші методи захисту від кредитного ризику.
7. Оцінка вартості видаваних кредитів і наступний їхній супровід виражається в класифікації кредитів по групах ризику і створенням резерву по сумнівних боргах у залежності від групи ризику.
1.3 Методологія формування резервів під кредитні операції як один із шляхів мінімізації кредитних ризиків
Резервування – один із напрямів мінімізації ризиків. Чим вищій ступінь ризику бере на себе банк, тим вищім повинен бути прибуток, на який він може розраховувати. Тому основна задача банківської організації заключається в досягненні оптимального поєднання ризиковості та прибутковості, виконуємих банком операцій [32].
Таким чином, ключове завдання кожного банку пов’язано з управлінням ризиками з метою їх мінімізації, один із шляхів якої полягає у створенні резервів.
Зараз у роботі комерційних банків України використовуються наступні види та типи резервів: резервний фонд в складі власного капіталу, обов’язковий резерв, страхування вкладів фізичних осіб, резерв компенсацій втрат від активних операцій, який, у свою чергу, поділяється на спеціальні резерви:
під кредитні операції,
під операції з цінними паперами;
під дебіторську заборгованість;
під нараховані доходи від активних операцій;
під кошти розташовані на кореспондентських рахунках інших банків.
Резерв для відшкодування можливих втрат за кредитними операціями банків (далі - резерв під кредитні ризики) є спеціальним резервом, необхідність формування якого обумовлена кредитними ризиками, що притаманні банківській діяльності. Створення резерву під кредитні ризики - це визнання витрат для відображення реального результату діяльності банку з урахуванням погіршення якості його активів або підвищення ризиковості кредитних операцій [12].
Бухгалтерський облік формування та використання резервів здійснюється відповідно до Інструкції з бухгалтерського обліку кредитних, вкладних (депозитних) операцій та формування і використання резервів під кредитні ризики в банках України, затвердженої постановою Правління Національного банку України від 15.09.2004 N 435 [8]. Податковий облік регулюється Законом України "Про оподаткування прибутку підприємств" [3].
З метою недопущення збитків від неповернення боргу через неплатоспроможність позичальників (контрагентів банку) оцінка кредитних ризиків здійснюється за всіма кредитними операціями та коштами, що розміщені на кореспондентських рахунках, які відкриті в інших банках як у національній, так і в іноземній валюті.
Банки самостійно визначають рівень ризику кредитних операцій, оцінюють фінансовий стан позичальників (контрагентів банку) та вартість застави в межах чинного законодавства.
З метою розрахунку резерву під кредитні ризики банки мають здійснювати класифікацію кредитного портфеля за кожною кредитною операцією залежно від фінансового стану позичальника, стану обслуговування позичальником кредитної заборгованості та з урахуванням рівня забезпечення кредитної операції. За результатами класифікації кредитного портфеля визначається категорія кожної кредитної операції: "стандартна", "під контролем", "субстандартна", "сумнівна" чи "безнадійна".
Загальна заборгованість за кредитними операціями становить валовий кредитний ризик для кредитора.
Для цілей розрахунку резервів на покриття можливих втрат за кредитними операціями визначається чистий кредитний ризик (в абсолютних показниках) шляхом зменшення валового кредитного ризику, класифікованого за ступенями ризику, на вартість прийнятного забезпечення.
Банки зобов'язані створювати та формувати резерви для відшкодування можливих втрат на повний розмір чистого кредитного ризику за основним боргом, зваженого на відповідний коефіцієнт резервування, за всіма видами кредитних операцій у національній та іноземних валютах.
Не здійснюється формування резерву: за бюджетними кредитами; за кредитними операціями між установами в системі одного банку; за операціями фінансового лізингу, якщо об'єктом цих операцій є нерухоме майно; за коштами, що розміщені банком на умовах субординованого боргу; за позабалансовими зобов'язаннями з кредитування (крім зобов'язань, наданих банкам), за якими банк не повинен надавати кошти за першою вимогою контрагента (тобто за якими банк не несе ризику); за коштами в іноземній валюті, що перерахована Національному банку.
Банки зобов'язані формувати резерв на всю суму коштів, розміщених на кореспондентських рахунках у банках (резидентах і нерезидентах), які визнані банкрутами або ліквідовуються за рішенням уповноважених органів, або які зареєстровані в офшорних зонах.
За коштами, розміщеними на кореспондентських рахунках, відкритих у банках-нерезидентах (балансові рахунки 1500, 1580), банки зобов'язані формувати резерв з урахуванням ризику країни відповідно до вимог глави 8 цього Положення.
Резерв під кредитні ризики поділяється на резерви під стандартну та нестандартну заборгованість за кредитними операціями. Резерви під нестандартну заборгованість формуються за кредитними операціями, класифікованими як "під контролем", "субстандартні", "сумнівні", а також "безнадійні":
- "стандартні" кредитні операції - це операції, за якими кредитний ризик є незначним і становить один відсоток чистого кредитного ризику.
- "під контролем" - це кредитні операції, за якими кредитний ризик є незначним, але може збільшитися внаслідок виникнення несприятливої для позичальника ситуації та становить п'ять відсотків чистого кредитного ризику.
- "субстандартні" кредитні операції - це операції, за якими кредитний ризик є значним, надалі може збільшуватись і становить 20 відсотків чистого кредитного ризику, а також є ймовірність несвоєчасного погашення заборгованості в повній сумі та в строки, що передбачені кредитним договором.
- "сумнівні" кредитні операції - це операції, за якими виконання зобов'язань з боку позичальника/контрагента банку в повній сумі (з урахуванням фінансового стану позичальника та рівня забезпечення) під загрозою, ймовірність повного погашення кредитної заборгованості низька та становить 50 відсотків чистого кредитного ризику.
- "безнадійні" кредитні операції - це операції, імовірність виконання зобов'язань за якими з боку позичальника/контрагента банку (з урахуванням фінансового стану позичальника та рівня забезпечення) практично відсутня, ризик за такими операціями дорівнює сумі заборгованості за ними.
Резерв під кредитні ризики формується в тій валюті, у якій враховується заборгованість.
Резерв під кредитні ризики використовується лише для покриття збитків за непогашеною позичальниками заборгованістю за кредитними операціями за основним боргом, стягнення якої є неможливим.
Банки зобов'язані здійснювати розрахунок резервів під стандартну та нестандартну заборгованість (з урахуванням строків погашення боргу за кредитними операціями) протягом місяця, у якому здійснено кредитну операцію (або укладено угоду на її здійснення3). Формування резервів банки зобов'язані здійснювати щомісяця в повному обсязі незалежно від розміру їх доходів за групами ризику відповідно до сум заборгованості за кредитними операціями (у тому числі наданих зобов'язань з кредитування) за станом на перше число місяця, наступного за звітним, до встановленого строку для подання оборотно-сальдового балансу (щомісяця).
Безнадійна кредитна заборгованість списується банком за рахунок резерву під нестандартну заборгованість за рішенням правління банку.
Банки зобов'язані розробити та затвердити за рішенням відповідного органу банку внутрішньобанківське положення про порядок проведення кредитних операцій та методику проведення оцінки фінансового стану позичальника (контрагента банку). Ці документи повинні подаватися на вимогу вповноважених працівників Національного банку для перевірки достовірності оцінки фінансового стану позичальників, правильності їх класифікації та достатності резервів під кредитні ризики. Відсутність чи неподання цих документів для ознайомлення уповноваженим працівникам Національного банку вважається підставою для негативних висновків щодо якості активів та управління банку.
Якщо банк здійснює довгострокове кредитування інвестиційних проектів, то внутрішні положення банку мають містити правила щодо порядку видачі такого кредиту, методики оцінки інвестиційного проекту, методики аналізу бізнес-плану реалізації інвестиційного проекту та його самоокупності, порядку проведення обстеження позичальника, методики оцінки його інвестиційної кредитоспроможності, визначення схем кредитування інвестиційних проектів і регламенту підготовки прийняття рішень про надання інвестиційного кредиту.
Банки можуть класифікувати заборгованість за кредитними операціями та на підставі цієї класифікації формувати портфель однорідних споживчих кредитів, а також резерв за цим портфелем.
З метою розрахунку обсягу резерву під кредитні ризики та визначення чистого кредитного ризику банк повинен проаналізувати кредитний портфель.
Аналіз кредитного портфеля та класифікація кредитних операцій (валового кредитного ризику) здійснюється за такими критеріями:
- оцінка фінансового стану позичальника (контрагента банку);
- стан обслуговування позичальником (контрагентом банку) кредитної заборгованості за основним боргом і відсотків (комісій та інших платежів із обслуговування боргу) за ним у розрізі кожної окремої заборгованості та спроможність позичальника надалі обслуговувати цей борг;
- рівень забезпечення кредитної операції.
Критерії оцінки фінансового стану позичальника встановлюються кожним банком самостійно його внутрішніми положеннями щодо проведення активних операцій (кредитних) та методикою проведення оцінки фінансового стану позичальника (контрагента банку) з урахуванням вимог цього Положення, у яких мають бути визначені ґрунтовні, технічно виважені критерії економічної оцінки фінансової діяльності позичальників (контрагентів банку) на підставі аналізу їх балансів і звітів про фінансові результати в динаміці тощо. Методика проведення оцінки фінансового стану позичальника (контрагента банку), яка розроблена банком, є невід'ємним додатком до внутрішньобанківського положення банку про кредитування.
Для здійснення оцінки фінансового стану позичальника - юридичної особи банк має враховувати такі основні економічні показники його діяльності:
платоспроможність (коефіцієнти миттєвої, поточної та загальної ліквідності);
фінансова стійкість (коефіцієнти маневреності власних коштів, співвідношення залучених і власних коштів);
- обсяг реалізації;
- обороти за рахунками (співвідношення надходжень на рахунки позичальника і суми кредиту, наявність рахунків в інших банках; наявність картотеки неплатежів - у динаміці);
- склад та динаміка дебіторсько-кредиторської заборгованості (за останній звітний та поточний роки);
- собівартість продукції (у динаміці);
- прибутки та збитки (у динаміці);
- рентабельність (у динаміці);
- кредитна історія (погашення кредитної заборгованості в минулому, наявність діючих кредитів).
Банки повинні визначати значення показників платоспроможності позичальника та його фінансової стійкості з урахуванням статистичних даних галузі господарства, у якій він працює, і даних про результати його діяльності.
Класифікація позичальників - юридичних осіб (у тому числі банків) здійснюється за результатами оцінки їх фінансового стану:
Клас "А" - фінансова діяльність добра, що свідчить про можливість своєчасного виконання зобов'язань за кредитними операціями, зокрема погашення основної суми боргу та відсотків за ним відповідно до умов кредитної угоди; економічні показники в межах установлених значень (відповідно до методики оцінки фінансового стану позичальника, затвердженої внутрішніми документами банку); вище керівництво позичальника має відмінну ділову репутацію; кредитна історія позичальника - бездоганна; крім того, позичальники-банки (резиденти) і банки-нерезиденти, що зареєстровані в країнах - членах СНД, дотримуються економічних нормативів. Одночасно можна зробити висновок, що фінансова діяльність і надалі проводитиметься на високому рівні. До цього класу можуть належати інші позичальники-банки (нерезиденти), що мають кредитний рейтинг не нижче ніж показник А, підтверджений у бюлетені однієї з провідних світових рейтингових компаній (Fitch IBCA, Standard & Poor's, Moody's тощо).
Клас "Б" - фінансова діяльність позичальника цієї категорії близька за характеристиками до класу "А", але ймовірність підтримування її на цьому рівні протягом тривалого часу є низькою. Позичальники/контрагенти банку, які належать до цього класу, потребують більшої уваги через потенційні недоліки, що ставлять під загрозу достатність надходжень коштів для обслуговування боргу та стабільність одержання позитивного фінансового результату їх діяльності; крім того, позичальники-банки (резиденти) і банки-нерезиденти, що зареєстровані в країнах - членах СНД, дотримуються економічних нормативів. Аналіз коефіцієнтів фінансового стану позичальника може свідчити про негативні тенденції в діяльності позичальника. Недоліки в діяльності позичальників, які належать до класу "Б", мають бути лише потенційними. За наявності реальних недоліків клас позичальника потрібно знизити. До цього класу можуть належати інші позичальники-банки (нерезиденти), що мають кредитний рейтинг не нижче ніж "інвестиційний клас", що підтверджений у бюлетені однієї з провідних світових рейтингових компаній (Fitch IBCA, Standard & Poor's, Moody's тощо).
Клас "В" - фінансова діяльність задовільна і потребує більш детального контролю, крім того, позичальники - банки (резиденти) і банки країн - членів СНД дотримуються економічних нормативів. Надходження коштів і платоспроможність позичальника свідчать про ймовірність несвоєчасного погашення кредитної заборгованості в повній сумі та в строки, передбачені договором, якщо недоліки не будуть усунені. Одночасно спостерігається можливість виправлення ситуації і покращання фінансового стану позичальника. Забезпечення кредитної операції має бути ліквідним і не викликати сумнівів щодо оцінки його вартості, правильності оформлення угод про забезпечення тощо. До цього класу можуть належати позичальники-банки (нерезиденти), що мають кредитний рейтинг не нижче ніж показник В, підтверджений у бюлетені однієї з провідних світових рейтингових компаній (Fitch IBCA, Standard & Poor's, Moody's тощо).
Клас "Г" - фінансова діяльність незадовільна (економічні показники не відповідають установленим значенням) і спостерігається її нестабільність протягом року; є високий ризик значних збитків; ймовірність повного погашення кредитної заборгованості та відсотків/комісій за нею є низькою; проблеми можуть стосуватися стану забезпечення за кредитом, потрібної документації щодо забезпечення, яка свідчить про наявність (схоронність) і його ліквідність тощо. Якщо під час проведення наступної класифікації немає безсумнівних підтверджень поліпшити протягом одного місяця фінансовий стан позичальника банку або рівень забезпечення за кредитною операцією, то його потрібно класифікувати на клас нижче (клас "Д"). До цього класу належить позичальник/контрагент банку, проти якого порушено справу про банкрутство.
Клас "Д" - фінансова діяльність незадовільна і є збитковою; показники не відповідають установленим значенням, кредитна операція не забезпечена ліквідною заставою (або безумовною гарантією), ймовірності виконання зобов'язань позичальником/контрагентом банку практично немає. До цього класу належить позичальник/контрагент банку, що визнаний банкрутом в установленому чинним законодавством порядку.
За результатами оцінки фінансового стану позичальник зараховується до відповідного классу(табл..1.3).
Таблиця 1.3
Класифікація кредитного портфеля [12]
|
Фінансовий стан позичальника (клас) |
Обслуговування боргу позичальником (група) |
||
|
"добре" |
"слабке" |
"незадовільне" |
|
|
"А" |
"стандартна" |
"під контролем" |
"субстандартна" |
|
"Б" |
"під контролем" |
"субстандартна" |
"субстандартна" |
|
"В" |
"субстандартна" |
"субстандартна" |
"сумнівна" |
|
"Г" |
"сумнівна" |
"сумнівна" |
"безнадійна" |
|
"Д" |
"сумнівна" |
"безнадійна" |
"безнадійна" |
Під час визначення чистого кредитного ризику для розрахунку резерву сума валового кредитного ризику окремо за кожною кредитною операцією може зменшуватися на вартість прийнятного забезпечення, що зазначене в цьому пункті, або об'єкта фінансового лізингу (рухомого майна).
Безумовні гарантії, що беруться до розрахунку резерву під кредитні ризики (табл.1.4):
Кабінету Міністрів України;
- банків, які мають офіційний кредитний рейтинг не нижчий, ніж "інвестиційний клас";
- урядів країн категорії "А" ;
- міжнародних багатосторонніх банків (Міжнародний банк реконструкції та розвитку, Європейський банк реконструкції та розвитку);
- забезпечені гарантії банків України.
Предмети застави (майно та майнові права позичальника чи третіх осіб - майнових поручителів), що беруться до розрахунку резерву під кредитні ризики:
- майнові права на грошові депозити, що розміщені в банку, який має офіційний кредитний рейтинг не нижчий, ніж "інвестиційний клас";
- іменні ощадні сертифікати, що випущені банком-кредитором, або майнові права на грошові кошти позичальника чи майнового поручителя, що розміщені на депозиті в банку-кредиторі, за умови безперечного контролю та доступу банку-кредитора до цих коштів, обумовленого договором, у разі невиконання позичальником зобов'язань за кредитом. Не приймаються до розрахунку резерву майнові права на грошові кошти банку, який одночасно є позичальником і кредитором та кошти якого розміщені в банку-кредиторі на подібних з отриманим у нього кредитом або залученим депозитом умовах (сума, строк та вид валюти).
- дорогоцінні метали, які належать позичальнику і знаходяться на зберіганні в банку-кредиторі, та за умови безперечного права звернення банком-кредитором стягнення, обумовленого договором, на ці метали в разі невиконання позичальником зобов'язань за кредитом;
- державні цінні папери;
- недержавні цінні папери - облігації та акції підприємств, що мають активний ринок, ощадні сертифікати на пред'явника, що випущені банком-кредитором, ощадні сертифікати інших банків, інвестиційні сертифікати;
- зареєстроване нерухоме майно (яке перебуває на території України);
- рухоме майно (майно в матеріальній формі, яке не є нерухомістю);
- іпотечні облігації та іпотечні сертифікати;
Сума забезпечення береться до розрахунку резервів під кредитні ризики з урахуванням коефіцієнтів залежно від категорії кредитної операції (табл.Л.1 Додатку Л).
На підставі класифікації валового кредитного ризику та враховуючи прийнятне забезпечення, банк визначає чистий кредитний ризик за заборгованістю за кожною кредитною операцією (крім заборгованості за кредитними операціями, що включена до портфеля однорідних споживчих кредитів) і зважує його на встановлений коефіцієнт резервування.
За заборгованістю, що включена до портфеля однорідних споживчих кредитів, сума загального кредитного ризику зважується на встановлений коефіцієнт резервування залежно від категорії, до якої віднесена ця заборгованість (табл.1.5).
Таблиця 1.4
Коефіцієнти безумовних гарантій [12]
|
Класифіковані кредитні операції |
Відсоток вартості забезпечення (гарантії), що береться до розрахунку чистого кредитного ризику за окремою кредитною операцією |
|||
|
Кабінету Міністрів України |
урядів країн категорії "А" |
міжнародних багатосторонніх банків |
банків з рейтингом не нижче ніж "інвестиційний клас", забезпечені гарантії банків України |
|
|
"Стандартна" |
100 |
100 |
100 |
100 |
|
"Під контролем" |
100 |
100 |
100 |
100 |
|
"Субстандартна" |
50 |
100 |
100 |
100 |
|
"Сумнівна" |
20 |
20 |
20 |
20 |
|
"Безнадійна" |
0 |
0 |
0 |
0 |
Таблиця 1.5
Коефіцієнт резервування (за ступенем ризику) за кредитними операціями [12]
|
Категорія кредитної операції |
Коефіцієнт резервування (за ступенем ризику) за кредитними операціями |
|||
|
у гривні |
в іноземній валюті |
за однорідними споживчими кредитами |
||
|
з позичальниками, у яких є джерела надходження валютної виручки |
з позичальниками, у яких немає джерел надходження валютної виручки |
|||
|
"Стандартна" |
1 % |
2 % |
2 % |
2 % |
|
"Під контролем" |
5 % |
7 % |
10 % |
10 % |
|
"Субстандартна" |
20 % |
25 % |
40 % |
40 % |
|
"Сумнівна" |
50 % |
60 % |
80 % |
80 % |
|
"Безнадійна" |
100 % |
100 % |
100 % |
100 % |
Для врахування ризику країни при розрахунку резерву за коштами, що містяться на кореспондентських рахунках, які відкриті в інших банках, депозитами до запитання в інших банках і сумнівною заборгованістю за цими коштами використовується встановлений міжнародними рейтинговими агентствами рейтинг, який підтверджено в бюлетені однієї з провідних світових рейтингових компаній (Fitch IBCA, Moody's, Standard & Poors тощо). Розмір резерву визначається шляхом зваження суми коштів, що обліковується на коррахунку окремого банку, на відповідний коефіцієнт резервування (табл.1.6).
Банки та інші позичальники, що розташовані в країнах, рейтинг яких не підтверджений однією з провідних світових рейтингових компаній, належать до групи 7. До групи 8 належать банки (резиденти і нерезиденти) та інші позичальники, що визнані банкрутами або ліквідовуються за рішенням уповноважених органів, а також банки, що зареєстровані в офшорних зонах. Ризики за коштами, що розміщені на кореспондентських рахунках, відкритих в інших банках, які віднесені до груп 1 - 2, вважаються "стандартними", а віднесені до груп 3 - 8 - "нестандартними".
Таблиця 1.6
Коефіцієнт резервування (за ступенем ризику) за коштами на кореспондентських рахунках інших банків [12]
|
N групи |
Коефіцієнт резервування ( %) |
|
1 |
0 |
|
2 |
2 |
|
3 |
10 |
|
4 |
20 |
|
5 |
30 |
|
6 |
40 |
|
7 |
50 |
|
8 |
100 |
РОЗДІЛ 2 РЕЗЕРВ НА ВІДШКОДУВАННЯ МОЖЛИВИХ ВТРАТ ЗА КРЕДИТНИМИ ОПЕРАЦІЯМИ ТА ПОРЯДОК ЙОГО ФОРМУВАННЯ В КОМЕРЦІЙНОМУ БАНКУ АКБ “ПРИВАТБАНК”
2.1 Аналіз кредитної діяльності АКБ “Приватбанк”
ПриватБанк заснований як товариство з обмеженою відповідальністю згідно з рішенням зборів засновників від 07.02.1992 року і зареєстрований НБУ 19.03.1992 року, про що внесено запис у Книгу реєстрації комерційних банків України № 92. У 2000 році банк реорганізований у Закрите акціонерне товариство комерційний банк «ПриватБанк» і перереєстрований НБУ 4 вересня 2000 року, реєстраційний № 92 [59].
Нова редакція Статуту зареєстрована Національним банком України 18 липня 2001 р., реєстраційний № 92. Останні зміни та доповнення до Статуту зареєстровані Національним банком України 01 жовтня 2006 року за реєстраційним № 92.
Форма власності – приватна (код-10). Юридична адреса і фактичне місце знаходження банку: 49094, м. Дніпропетровськ, вул. Набережна Перемоги, 50, тел./факс: 778-54-74. Кореспондентський рахунок № 32009100400 в ОУ НБУ м. Дніпропетровськ, МФО 305299, код ЄДРПОУ 14360570.
Станом на кінець дня 31.12.2006 року до складу системи ПриватБанку входять:
Головний офіс, розташований у м. Дніпропетровськ (Україна);
Регіональні підрозділи у складі 39 філій, у тому числі філія на Кіпрі, та 2172 відділення;
Представництва в м. Київ (Україна), м. Алмати (Республіка Казахс-тан).
Діяльність Банку здійснюється відповідно до:
банківської ліцензії № 22, виданої НБУ 04.12.2001 р.
дозволу № 22-1, виданого НБУ 04.12.2001 р.
дозволу № 22-2, виданого НБУ 29.07.2003 р.
В консолідовану групу ЗАТ КБ «ПриватБанк» у 2006 році входили дві банківські компанії та ще дванадцять юридичних осіб різної організаційно-правової форми (табл.2.1).
Станом на 01.01.2006 року (за результатами 2005 року) АКБ „Приватбанк” був лідером банківської системи України і займав наступні рейтингові місця [60]:
- Обсяг валюти активів балансу – 21 664,360 млн.грн.( 1 місце);
- Обсяг власного капіталу – 2 307,466 млн.грн.( 1 місце);
- Обсяг статутного капіталу – 189,228 млн.євро( 2 місце);
- Обсяг кредитно-інвестиційного портфеля – 16 763,230 млн.грн.( 1 місце);
- Обсяг поточних і строкових депозитів фізичних осіб - 9 966,027 млн.грн.( 1 місце);
- Обсяг поточних і строкових депозитів юридичних осіб – 4 016,333 млн.грн.( 3 місце);
- Обсяг балансового прибутку – 472,042 млн.грн.( 1 місце);
- Прибутковість статутного капіталу – 41,774 % ( 11 місце);
- Прибутковість активів балансу – 2,179 % ( 6 місце);
Станом на 01.01.2007 року (за результатами 2006 року) АКБ „Приватбанк” закріпив позиції лідера і займає наступні рейтингові місця в банківській системі України [60] та відносні частки фінансів банківської системи України:
- Обсяг валюти активів балансу – 32 680,0 млн.грн.( 1 місце – 10,31%);
- Обсяг власного капіталу – 4 0290,442 млн.грн.( 1 місце – 9,49%);
- Обсяг статутного капіталу – 312,971 млн.євро( 2 місце);
- Обсяг кредитно-інвестиційного портфеля – 27 532,83 млн.грн.( 1 місце – 10,9%);
- Обсяг поточних і строкових депозитів фізичних осіб – 14 735,393 млн.грн.( 1 місце – 15,1%);
- Обсяг поточних і строкових депозитів юридичних осіб – 8 240,128 млн.грн.( 1 місце – 9,534%);
- Обсяг балансового прибутку – 471,775 млн.грн.( 1 місце – 11,91%);
- Прибутковість статутного капіталу – 22,66 % (24 місце);
- Прибутковість активів балансу – 1,444 % (33 місце);
Станом на 01.07.2007 року (за результатами 1 півріччя 2007 року) АКБ „Приватбанк” продовжив закріплення позиції лідера по обсягам агрегатів валюти балансу і займає наступні рейтингові місця в банківській системі України [60] та відносні частки фінансів банківської системи України (Додаток А):
- Обсяг валюти активів балансу – 40 132,3 млн.грн.( 1 місце – 9,82%);
- Обсяг власного капіталу – 4 296,584 млн.грн.( 1 місце – 8,64%);
- Обсяг статутного капіталу – 306,29 млн.євро (3 місце);
- Обсяг кредитно-інвестиційного портфеля
– 33 502,38 млн.грн.( 1 місце – 10,16%);
- Обсяг поточних і строкових депозитів фізичних осіб
– 17 289,41 млн.грн.( 1 місце – 14,84%);
- Обсяг поточних і строкових депозитів юридичних осіб
– 12 409,121 млн.грн.( 1 місце – 11,53%);
- Обсяг балансового прибутку – 259,76 млн.грн. (2 місце – 10,78%);
- Прибутковість статутного капіталу – 24,95 % (21 місце);
- Прибутковість активів балансу – 1,295 % (43 місце);
В Додатку Б приведені баланси та звіти про результати діяльності АКБ «Приватбанк» у 2003 – 2007 роках [58], [59].
Таблиця 2.1
Склад консолідованої фінансово-промислової групи “Приват” начолі з ЗАТ АКБ “Приватбанк” у 2006 році
|
Назва юридичної особи |
Місцезнаходження |
Частка в статутному капіталі |
Основний вид діяльності |
|
ЗАТ МКБ «Москомприватбанк» |
Росія, м. Москва, вул. Космонавта Волкова, 16 |
50,0 |
банківська діяльність |
|
AS «PARITATE BANKA» |
Латвійська Республіка, LV-1011, м. Рига, Тербатос, 4 |
95,1 |
банківська діяльність |
|
ЗАТ «Кобос» |
м. Дніпропетровськ, вул. Титова, 9, к. 2 |
99,9 |
здача в оренду нерухомого майна |
|
ЗАТ «Комсомольська правда Україна» |
м. Київ, вул. Фрунзе, 104А |
50,0 |
видавнича діяльність |
|
ТОВ «Юридична фірма «А-Лекс» |
м. Дніпропетровськ, вул. Набережна Перемоги, 32, к. 506 |
60,0 |
юридичні послуги |
|
ТОВ «Бюро кредитних історій» |
м. Київ, вул. Грушевського, 1Д |
50,0 |
посередництво в кредитуванні |
|
ТОВ «Бюро кредитних історій України» |
м. Київ, вул. Грушевського, 1Д |
50,0 |
посередництво в кредитуванні |
|
ТОВ «Перше Українське бюро кредитних історій» |
м. Київ, вул. Грушевського, 1Д |
50,0 |
посередництво в кредитуванні |
|
ТОВ «Українське бюро кредитних історій» |
м. Київ, вул. Грушевського, 1Д |
50,0 |
посередництво в кредитуванні |
|
ТОВ «Приват-електрон» |
м. Дніпропетровськ, вул. Ленінградська, 5 |
100,0 |
оптова торгівля |
|
ТОВ «Ченел-люкс» |
м. Дніпропетровськ, вул. Шолохова, 7 |
90,0 |
телерадіомовлення |
|
ТОВ «Бріг» |
м. Дніпропетровськ, вул. Набережна Перемоги, 50 |
50,0 |
рекламні послуги |
|
АТ «Белросэлетекс» |
Білорусь |
22,5 |
науково-технічна діяльність |
|
ТОВ «Студія «Факт-Інфо» |
м. Павлоград, вул. Радянська, 81/75 |
20,0 |
телерадіомовлення |
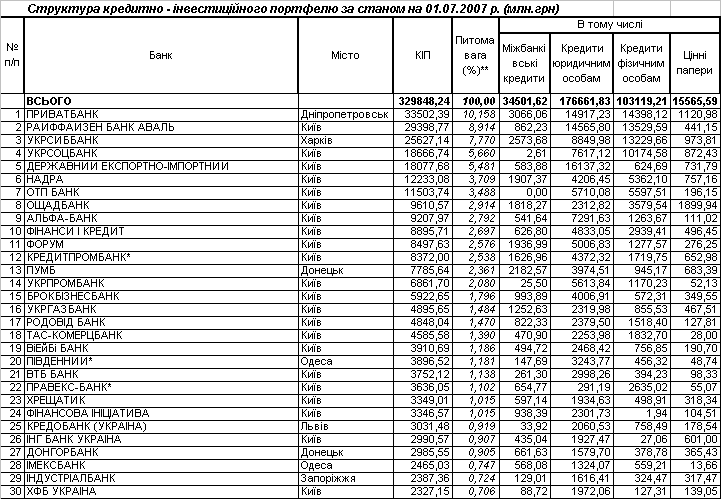
Кредитна заборгованість ЗАТ КБ «ПриватБанк» станом на кінець дня 31.12.2006 р. становить (рис.2.1) :
- 25 708 027 тис. грн (за вирахуванням резервів 3 059 473 тис. грн.);
- питома вага кредитного портфеля становить 76,11% загальних активів;
- порівняно з 2005 роком обсяг кредитного портфеля за 2006 рік збільшився на 11 426 785 тис. грн (+ 80,01%).
Кредитна заборгованість ЗАТ КБ «ПриватБанк» станом на кінець дня 30.09.2007 р. (за 3 квартали 2007 року) становить (рис.2.1):
- 36 099 479 тис. грн (за вирахуванням резервів 4 033 779 тис. грн.);
- питома вага кредитного портфеля становить 74,55% загальних активів;
- порівняно з 2006 роком обсяг кредитного портфеля за 3 квартали 2007 року збільшився на 10 391 452 тис. грн (+40,42%).
Найбільша питома вага в кредитному портфелі Банку належить таким галузям, як (Додаток В):
|
– |
кредити, надані фізичним особам |
– |
40,18% |
|
– |
оптова торгівля і посередництво в торгівлі |
– |
24,49% |
|
– |
металургія |
– |
6,81% |
|
– |
послуги, надані переважно юридичним особам |
– |
5,78% |
|
– |
індивідуальні послуги |
– |
3,81% |
|
– |
сільське господарство |
– |
3,26% |
На рис.2.2 – 2.4 та в Додатках В і Г наведені графічні результати дослідження структури кредитного портфелю АКБ “Приватбанк” (2005 –2007 роки) у розрізі:
- галузева структура кредитів (Додаток В);
- тривалість наданих кредитів (Додаток Г);
- валютна структура наданих кредитів;
- динаміка ланцюгових темпів приросту валюти балансу та валюти кредитного портфелю.

Рис.2.1. - Динаміка росту кредитного портфелю АКБ “Приватбанк” у 2005 – 2007 роках (поквартально)

Рис.2.2. – Динаміка темпів приросту валюти балансу та кредитного портфелю АКБ “Приватбанк” у 2005 – 2007 роках (поквартально)

Рис.2.3. – Розподіл сум кредитів, наданих юридичним та фізичним особам, по тривалості кредитування в кредитному портфелі АКБ “Приватбанк” станом на 01.01.2007 року

Рис.2.4. – Валютна структура кредитного портфелю АКБ “Приватбанк” в 2005 та 2006 роках
Аналіз графіків рис.2.1 показує, що зростання у 2004 –2007 роках абсолютного обсягу кредитного портфелю АКБ “Приватбанк” з рівня 8,1 млрд.грн. до рівня 40,1 млрд.грн. змінило рівень питомої ваги резервів на кредитні ризики з 12,9% обсягу кредитного портфеля (2004 рік) до 10,05% обсягу кредитного портфеля (2007 рік) практично тільки за рахунок зміни співвідношення обсягів кредитів юридичних осіб до обсягів кредитів фізичним особам з рівня 1,86 (2004 рік) до рівня 1,31 (2007 рік).
Дослідження динаміки темпів приросту валюти балансу та кредитного портфелю АКБ “Приватбанк” у 2005 – 2007 роках (поквартально), наведене графіками рис.2.2 показало, що:
- ланцюговий темп приросту валюти баланса банку має постійне позитивне значення та знаходиться в діапазоні 8-16% за квартал;
- ланцюговий темп приросту обсягу кредитного портфелю банку має постійне позитивне значення та знаходиться в діапазоні 5-22% за квартал;
- на протязі 2005-2007 року існують часові інтервали перерозподілу кредитно-інвестиційного портфелю банку між кредитами клієнтам та іншими активними операціями, характеризуємі більш інтенсивним приростом валюти балансу, ніж приріст кредитного портфелю.
Аналіз строків кредитування в кредитному портфелі банку станом на 01.01.2007 року показує (рис.2.3):
а) для кредитів, наданих юридичним особам:
- максимум в 3,7 млрд.грн. розташований в часовому інтервалі від 1 до 3 місяців;
- в часових інтервалах від 3 місяців до 5 років загальні суми кредитів поступово знижуються від 2,5 млрд.грн. до 1,5 млрд.грн. в кожному з часових інтервалів;
- в часовому інтервалі більше 5 років юридичні особи практично не кредитуються;
б) для кредитів, наданих фізичним особам особам:
- перший максимум в 3,2 млрд.грн. розташований в часовому інтервалі від 8 днів до 1 місяця (поточні беззаставні кредити під наступну заробітну плату);
- другий максимум в 2,0 млрд.грн. розташований в часовому інтервалі від 3 до 5 років (автомобільне заставне кредитування);
- третій максимум в 1,4 млрд.грн. розташований в часовому інтервалі понад 10 років (іпотечне житлове кредитування).
Повалютно кредитний портфель АКБ “Приватбанк” має тенденцію до підвищення структурної частини кредитів в національній валюті та складається (рис.2.4):
- 58,0% (2005 рік) – 64,8%(2006 рік) – гривні;
38,8% (2005 рік) – 32,8%(2006 рік) – долари США;
кредити в євро та рублях – до 1,0 –2,0 % кредитного портфелю.
2.2 Оцінка кредитних ризиків кредитного портфелю АКБ “Приватбанк” та аналіз формування резервів покриття можливих втрат за кредитними операціями
Обґрунтована кредитна політика ЗАТ КБ «ПриватБанк», створення та впровадження механізму її реалізації дозволили Банку досягти відповідних фінансових результатів.
Банк здійснює кредитні операції на підставі ліцензії НБУ, Статуту Банку, нормативних актів НБУ та внутрішніх положень відповідно до основних напрямків кредитної діяльності Банку.
Під час видачі кредитів з метою зменшення ризиків фахівцями Банку перевіряється фінансовий стан позичальника з урахуванням вимог Національного банку України, проводиться оцінка кредитоспроможності та фінансової стійкості позичальника, ступінь ліквідності майна, що передається під заставу, обґрунтовується надійність повернення кожного кредиту і виноситься на розгляд Кредитного комітету, який приймає рішення.
Аналіз фінансового стану позичальника здійснюється Банком на момент надання кредиту, а також щоквартально відповідно до Методики оцінки фінансового стану позичальника.
Формування резерву на покриття можливих збитків за кредитними операціями у банку здійснюється відповідно до вимог Постанови НБУ № 279 від 06.07.2000 р. [12] і розробленого на його основі внутрішньобанківського Положення.
Розмір резерву за кожною конкретною кредитною операцією дорівнює чистому кредитному ризику, помноженому на відповідну норму резервування залежно від рейтингу цієї операції.
Під час визначення чистого кредитного ризику для розрахунку резерву сума валового кредитного ризику за кожною кредитною операцією окремо зменшується на вартість прийнятого забезпечення. Вартість забезпечення зважується на відповідний коефіцієнт залежно від виду забезпечення і від рейтингу кредитної операції.
Для визначення рейтингу кредитної операції оцінюється фінансовий стан позичальників [32]:
юридичних осіб відповідно до внутрішньобанківської методики;
банків на підставі затвердженої методики оцінки фінансового стану банку-контрагента;
фінансового стану позичальника – фізичної особи на основі затвердженої методики.
Оцінка обслуговування боргу проводиться щомісяця.
Контроль за адекватністю рейтингів кредитних операцій, а також за коректністю формування страхових резервів за активними операціями здійснює напрямок «Фінанси і ризики». Регіональні підрозділи банку проводять коригування резерву за станом на останній робочий день кожного місяця, після чого Головним офісом проводиться системний розрахунок сформованих резервів за кредитними операціями і централізовано формуються коригуючі бухгалтерські проводки.
Загальна сума сумнівної заборгованості (сумнівні) за кредитами складала (табл.2.2):
- станом на 01.01.2005 - 93 613 тис. грн (або 1,09%) від загального розміру кредитного портфеля банку;
- станом на 01.01.2006 - 61 147 тис. грн (або 0,43%) від загального розміру кредитного портфеля банку;
- станом на 01.01.2007 - 67 021 тис. грн (або 0,26%) від загального розміру кредитного портфеля банку;
На графіку рис.2.5 та графіках Г.1-Г.5 Додатку Г наведена структура кредитного портфеля АКБ “Приватбанк” станом на 01.01.2007 у розрізі груп стандартних та нестандартних кредитів.
Таблиця 2.2
Структура сумнівних та прострочених кредитів в кредитному портфелі АКБ “Приватбанк” у 2004 – 2006 роках [59]


Рис.2.5. – Загальна структура кредитного портфелю (без міжбанківських кредитів) в АКБ «Приватбанк» станом на 01.01.2007 [59]

Рис.2.6. – Структура ризикованості кредитів в кредитному портфелю в АКБ «Приватбанк» та структура створених резервів по ступеням ризикованості станом на 01.01.2006 [59]

Рис.2.7. – Структура ризикованості кредитів в кредитному портфелю в АКБ «Приватбанк» та структура створених резервів по ступеням ризикованості станом на 01.01.2007 [59]

Рис.2.8. – Динаміка темпів ланцюгового приросту кредитів юридичним та фізичним особам в кредитному портфелю в АКБ «Приватбанк» та темпу приросту створених резервів станом на 01.01.2007 [58], [59]
На графіках рис.2.6 –2.7 наведені структури ризикованості кредитів в кредитному портфелю в АКБ «Приватбанк» та структури створених резервів по ступеням ризикованості станом на 01.01.2006 та на 01.01.2007 року.
Як показує аналіз графіків рис.2.23 –2.24:
- на компенсацію ризиків сумнівних та безнадійних кредитів та позабалансової кредитної заборгованості (наданих кредитних гарантій) створено 45,5% портфелю резервів кредитного ризику станом на 01.01.2006 року та 31,8% портфелю резервів кредитного ризику станом на 01.01.2007 року;
- питома вага сумнівних та безнадійних кредитів та позабалансової кредитної заборгованості (наданих кредитних гарантій) становить 2,7 % обсягу кредитного портфелю станом на 01.01.2006 року та 2,15% кредитного портфелю станом на 01.01.2007 року;
Як показує аналіз графіків рис.2.8:
- динаміка та фази приросту резервів на кредитні ризики співпадають з динамікою та фазами приросту в кредитному портфелі АКБ “Приватбанк” кредитів, наданих юридичним особам;
- динаміка та фази приросту резервів на кредитні ризики знаходяться в противофазах з динамікою та фазами приросту в кредитному портфелі АКБ “Приватбанк” кредитів, наданих фізичним особам.
2.3 Аналіз використання резерву для відшкодування безнадійної заборгованості позичальників в АКБ “Приватбанк”
У 2006 році відбулося погашення 164 кредитів, списаних раніше за рахунок сформованого резерву. Загальна сума погашення склала 25 895 тис. грн. [59].
Формування резервів проводиться кожного місяця з використанням балансового рахунку 7701, 1590 (для нестандартної заборгованості), 1591 (для стандартної заборгованості) для банків та 7702, 2400 (для нестандартної заборгованості), 2401 (для стандартної заборгованості) для клієнтів. Використання сформованих резервів для покриття ризиків відбувається лише з дотриманням вимог НБУ та Закону України «Про оподаткування прибутку підприємств» [3].
Кредитна заборгованість, що визнана згідно з чинним законодавством безнадійною щодо повернення, списується за рішенням Правління банку за рахунок сформованих резервів, її облік переноситься на позабалансову групу 961.
В табл.2.3 та на графіках рис. 2.310 наведений рух резервів під заборгованість за кредитами в АКБ “Приватбанк” у 2004 -2006 роках станом на кінець дня 31 грудня 2006 року. Як показує аналіз наведеної інформації обсяг списання сумнівної заборгованості за рахунок резервів в АКБ “Приватбанк” поступово зростає:
- з 1,89% обсягу створеного резерва у 2004 році до 2,93% у 2005 році;
- з 2,93% обсягу створеного резерва у 2005 році до 6,43% у 2006 році;
Це свідчить про неефективність створення заставного забезпечення для повернення кредитів. Так, аналіз графіків рис. 2.9 та графіків Е.1–Е.5 Додатку Е по структурі отриманої застави під забезпечення кредитних позичок показує, що застава за безнадійними кредитами має зовні благополучні джерела:
- 75,2% - земельні ділянки, будівлі, квартири, обладнання;
- 15,9% - сировина, матеріали в виробництві;
але,оскільки вона знаходилась поза контролем банку, то була чи кримінально реалізована без згоди банку, чи не має необхідних правовстановлюючих документів на власність, тобто мають місце неконтрольовані процедури оформлення кредиту, коли в заставу надані вже заставлена нерухомість в іншому банку.
Таблиця 2.3
Рух резервів під заборгованість за кредитами
у 2004 -2006 роках станом на кінець дня 31 грудня 2006 року [59]
|
Рядок |
Найменування статті |
2006 рік |
2005 рік |
2004 рік |
|
1 |
Залишок на 1 січня |
1 814 614 |
1 266 338 |
826 551 |
|
2 |
Відрахування у резерви під нові та існуючі кредити (при погіршенні кредитного портфелю): |
+ 3 706 736 |
+ 1 341 195 |
+ 1 227 338 |
|
2.1 |
нестандартну заборгованість |
+ 3 584 226 |
+ 1 272 906 |
+ 1 191 060 |
|
2.2 |
стандартну заборгованість |
+ 122 510 |
+ 68 289 |
+ 36 278 |
|
3 |
Списання активу за рахунок резервів |
116 713 |
37 069 |
-15 632 |
|
3.1 |
Відсоткова частин резерву, списана при погашенні безнадійних кредитів |
6,43% |
2,93% |
1,89% |
|
4 |
Зменшення резерву під існуючі кредити : |
- 2 345 164 |
- 755 850 |
- 771 919 |
|
4.1 |
нестандартну заборгованість (у разі покращення кредитного портфеля або погашення кредиту) |
2 299 983 |
708 058 |
- 732 569 |
|
4.2 |
стандартну заборгованість (у разі погіршення кредитного портфеля або погашення кредиту) |
- 45 181 |
- 47 792 |
- 39 350 |
|
5 |
Залишок станом на кінець 31 грудня |
3 059 473 |
1 814 614 |
1 266 338 |

Рис.2.9. – Структура загального обсягу застави та гарантій часткового забезпечення кредитного ризику в АКБ «Приватбанк» ( стан 01.01.2007 року)

Рис.2.10. – Динаміка руху резервів під кредитні ризики в в АКБ «Приватбанк» у 2004 -2006 роках
Таким чином, аналіз кредитного портфелю АКБ “Приватбанк” та стану створення резервів під кредитні ризики портфелю показав:
1) Кредитна заборгованість ЗАТ КБ «ПриватБанк» станом на кінець дня 31.12.2006 р. :
- становить 25 708 027 тис. грн (за вирахуванням резервів 3 059 473 тис. грн.);
- питома вага кредитного портфеля становить 76,11% загальних активів;
- порівняно з 2005 роком обсяг кредитного портфеля за 2006 рік збільшився на 11 426 785 тис. грн (+ 80,01%).
2) Кредитна заборгованість ЗАТ КБ «ПриватБанк» станом на кінець дня 30.09.2007 р. ( за 3 квартали 2007 року):
- становить 36 099 479 тис. грн (за вирахуванням резервів 4 033 779 тис. грн.);
- питома вага кредитного портфеля становить 74,55% загальних активів;
- порівняно з 2006 роком обсяг кредитного портфеля за 3 квартали 2007 року збільшився на 10 391 452 тис. грн (+40,42%).
Найбільша питома вага в кредитному портфелі Банку належить таким галузям, як [59]:
|
– |
кредити, надані фізичним особам |
– |
40,18% |
|
– |
оптова торгівля і посередництво в торгівлі |
– |
24,49% |
|
– |
Металургія |
– |
6,81% |
|
– |
послуги, надані переважно юридичним особам |
– |
5,78% |
|
– |
індивідуальні послуги |
– |
3,81% |
|
– |
сільське господарство |
– |
3,26% |
Повалютно кредитний портфель АКБ “Приватбанк” складається:
- 58,0% (2005 рік) – 64,8%(2006 рік) – гривні;
38,8% (2005 рік) – 32,8%(2006 рік) – долари США
Аналіз структури ризикованості кредитів в кредитному портфелю в АКБ «Приватбанк» та структури створених резервів по ступеням ризикованості станом на 01.01.2006 та на 01.01.2007 року показав:
- на компенсацію ризиків сумнівних та безнадійних кредитів та позабалансової кредитної заборгованості (наданих кредитних гарантій) створено 45,5% портфелю резервів кредитного ризику станом на 01.01.2006 року та 31,8% портфелю резервів кредитного ризику станом на 01.01.2007 року;
- питома вага сумнівних та безнадійних кредитів та позабалансової кредитної заборгованості (наданих кредитних гарантій) становить 2,7 % обсягу кредитного портфелю станом на 01.01.2006 року та 2,15% кредитного портфелю станом на 01.01.2007 року;
Як показує аналіз темпів приросту резервів кредитних ризиків та темпів приросту кредитів в кредитному портфелі банку:
- динаміка та фази приросту резервів на кредитні ризики співпадають з динамікою та фазами приросту в кредитному портфелі АКБ “Приватбанк” кредитів, наданих юридичним особам;
- динаміка та фази приросту резервів на кредитні ризики знаходяться в противофазах з динамікою та фазами приросту в кредитному портфелі АКБ “Приватбанк” кредитів, наданих фізичним особам;
Аналіз руху резервів під заборгованість за кредитами в АКБ “Приватбанк” у 2004 -2006 роках станом на кінець дня 31 грудня 2006 року показує, що обсяг списання сумнівної заборгованості за рахунок резервів в АКБ “Приватбанк” поступово зростає:
- з 1,89% обсягу створеного резерва у 2004 році до 2,93% у 2005 році;
- з 2,93% обсягу створеного резерва у 2005 році до 6,43% у 2006 році;
Це свідчить про наявність тенденції погіршення ефективності створення заставного забезпечення для повернення кредитів та потребує розробки нових шляхів попередження негативного вплтву кредитних ризиків на діяльність банку.
РОЗДІЛ 3 ЕФЕКТИВНІСТЬ МЕНЕДЖМЕНТУ КРЕДИТНОЮ ДІЯЛЬНІСТЮ В АКБ “ПРИВАТБАНК” ТА ШЛЯХИ ЙОГО УДОСКОНАЛЕННЯ
3.1 Розвиток методологій внутрішньої системи управління кредитними ризиками
У процесі аналізу кредитних ризиків, які виникають за рахунок економічних ризиків діяльності позичальників, банк може використати різноманітні джерела інформації, які в цілому складаються з трьох груп [32]:
- інформація, отримана безпосередньо від клієнта;
- внутрішньобанківська інформація;
- зовнішні джерела інформації.
До першої групи належать:
Фінансова звітність;
Документація, яка підтверджує правовий і юридичний статус клієнта: статут, договір засновників, свідоцтво про реєстрацію, дані про юридичну адресу та ін.;
Документація, пов'язана з кредитним заходом – техніко-економічне обґрунтування, розрахунки очікуваних надходжень від реалізації проекту, для середньо- і довгострокових кредитів – бізнес-план, копії контрактів, договорів та інших документів, які стосуються реалізації заходу, зобов'язання із забезпечення своєчасного повернення кредиту (договір застави, гарантійний листок, страхове свідоцтво та ін.);
Інформація, одержана у процесі попередньої бесіди з майбутнім позичальником, під час якої кредитний працівник має оцінити моральні, етичні та професійні якості працівників підприємства (директора, заступників директора, головного бухгалтера), визначити перспективи розвитку та зростання, виявити специфічні особливості та деталі, пов'язані з цим кредитом, сформувати думку про клієнта. Усі дані, одержані під час зустрічі з клієнтом, мають бути занотовані й зберігатися в кредитній справі. У багатьох банках розроблено спеціальні формуляри та анкети, які складаються зі стандартизованих запитань, на які повинен відповісти клієнт;
Додаткова інформація, яка подається за вимогою банку, – довідки про наявність рахунків в інших банках, витяги з рахунків в інших банках, довідки з податкової інспекції, довідки про юридичні права на заставу, технічна документація, пов'язана з деякими видами застави, та ін.
Внутрішньобанківські джерела інформації складаються з відомостей про попередні контакти з клієнтом у сфері і кредитних, і некредитних стосунків. Велике значення в цьому разі мають архіви банку, такі як картотека кредитної інформації (ККІ), де зберігаються дані про кредити, які раніше було видано клієнтові, про затримки та порушення під час погашення позики.
Створення та ведення ККІ має стати для банків одним з невідкладних завдань. У деяких розвинених країнах ця проблема вирішується на рівні держави, і банки зобов'язані вести такі картотеки, які стають складниками загальнодержавної системи контролю за кредитами. Близько тридцяти років діє така державна інформаційна система в Канаді, і будь-який банк може одержати інформацію про кредитні стосунки з будь-яким клієнтом, який упродовж цього часу звертався за кредитом до різних установ, а це майже всі фірми та населення країни. Крім інформаційної, така загальна система виконує і контролюючу функцію, оскільки кожний клієнт знає, що інформація про порушення умов кредитної угоди зберігатиметься і, можливо, стане перепоною під час одержання нового кредиту.
В Україні завдання створення картотеки кредитної інформації на загальнодержавному рівні є глобальним і невідкладним, про що й наголошують банківські працівники. Однак складність цього завдання – і організаційна, і технічна – не дає можливості розраховувати на швидке її вирішення.
До третьої групи джерел інформації належать відомості, здобуті за межами банку, що надійшли:
Від департаменту банківського нагляду;
Інших банків, які обслуговували цього клієнта;
Ділових партнерів, які мали контакти з позичальником;
Засобів масової інформації (реклами, рейтинги, дані про участь у виставках, оголошення та ін.);
Статистичних агенцій і статистичних інформаційних збірників, звідки можна взяти дані про загальний стан виробництва в галузі та перспективи розвитку, а також про місце підприємства та його продукції на ринку;
Відвідування підприємства, у процесі якого важливо виявити рівень компетенції працівників, які очолюють бухгалтерську, фінансову та маркетингові служби, адміністративний апарат, скласти уявлення про склад і стан майна підприємства, оцінити якість і конкурентоспроможність продукції та послуг підприємства, можливості експорту, залежність від джерел сировини та ін.
Кожне інформаційне джерело слугує для висвітлення конкретного аспекта діяльності клієнта, коли аналізується його кредитоспроможність. Однак найважливішою є інформація, здобута з ринкових джерел поза межами банку.
По-перше , завдяки тому, що існує чимало різноманітних ринкових джерел одержання інформації, забезпечується об'єктивність і різнобічність аналізу.
По-друге , ця інформація є найоперативнішою, оскільки саме ринок найпершим реагує на зміни в стані підприємства ще до того, як ці зміни знайдуть відображення у фінансовій звітності. Завдання кредитного працівника полягає передусім у перевірці сигналів, які надходять з ринкових джерел інформації, та виявленні причин їх виникнення.
Одним із найсучаснішим методом оцінки кредитоспроможності позичальника є використання технології міжбанківських компьютерних банків інформації (бюро кредитних історій) в методах оперативних автоматизованих технологій оцінки фінансового стану позичальника та його кредитоспроможності. Ця технологія є економічно вигідною при масовому мікрокредитуванні малих та середніх підприємств, а також приватних підприємців, коли 1 інспектор обслуговує сотні клієнтів.
Новим напрямком у стратегії планування резервів кредитних ризиків є впровадження в практиці АКБ “Приватбанк” міжнародновизнаних рекомендацій Базельського комітету з банківського нагляду [40].
Перша угода про достатність капіталу, опублікована Базельським комітетом з банківського нагляду в 1988 р. (Basel Capital Accord, Базель I), суттєво вплинула на розвиток світової банківської системи. Саме відповідно до принципів цієї угоди в даний час здійснюється банківське регулювання і пруденціальний нагляд у більшості країн, у тому числі й в Україні. Подальший розвиток принципи регулювання знайшли в Новій базельській угоді по капіталу (Basel II Capital Accord, Базель II) [41, с.3].
Ціль «Базель-2» – підвищення стабільності і рівних умов конкуренції міжнародної фінансової системи. При цьому, вихідним пунктом служить стимулювання банків (з боку банківського нагляду) у більш тонкому «юстируванні» процесу виміру кредитного ризику. Основні риси методології:
– посилення орієнтування банків при резервуванні власного капіталу на фактичні ризики;
– поліпшення внутрішнього ризик-менеджменту банків, особливо через створення стимулів до переходу на подальші методи виміру ризиків для контрольних цілей;
– поліпшення умов міжнародної конкуренції за допомогою введення єдиних світових правил банківського контролю;
– створення правил, що можуть застосовуватися банками різного рівня, складності і розмірів.
По діючим у даний час згідно правилам Базель-1 банки при видачі кредитів підприємствам для випадку втрат від їх неплатоспроможності повинні паушально резервувати власний капітал у розмірі 8% від балансової вартості кредиту. При цьому реальна кредитоспроможність підприємства – ААА або З – не грає ніякої ролі. Таке положення більше не відповідає вимогам банківської економіки і створює невірні стимули: кредитоотримувач з гарною кредитоспроможністю платить занадто велику, а кредитоотримувач зі слабкою кредитоспроможністю - занадто малу надбавку за ризик.
Мінімально необхідний власний капітал банку (СК) може бути розрахований по наступній формулі [42]:
СК = (Сума кредитів) х (Вага ризику) х (Відсоток резервування) (3.1)
Сьогодні для підприємств вага ризику складає 100% незалежно від його ризикової ситуації, що веде до 8% резервування СК банку. Істотна зміна, внесена Базель-2, полягає в тому, щоб вимоги до кредитних інститутів по власному капіталу зробити залежними від економічного ризику наданих кредитів або, так називаного, ризику неплатоспроможності («випадання») кредиту або клієнта.
Ризик випадання клієнта – кредитоспроможність клієнта – розслідується без обліку наявного в клієнта забезпечення (застави, гарантій) через власну банківську, статистичну оцінку (Probability of Default – PD) на наступний річний період. Клієнти з поганою кредитоспроможністю мають більш високу імовірність випадання, ніж клієнти з низькою кредитоспроможністю. Тому що PD-оцінка робиться без обліку наявного в клієнта забезпечення, банк зобов'язаний одержати від клієнта необхідну інформацію навіть у тому випадку, якщо кредит цілком забезпечений заставами і гарантіями
Якщо настає випадок випадання клієнта, тоді банк повинний визначити розмір виниклих збитків. Розмір збитків (Loss given Default – LGD) поряд з витратами і терміном реалізації забезпечення залежить від того, у якому обсязі надане це забезпечення. Незабезпечені кредитні вимоги в такий спосіб мають тенденциально більш високі LGD, ніж забезпечені.
Таким чином, вага ризику, що значно впливає на розмір резервуємого СК, у свою чергу істотно залежить від ймовірності випадання (PD) і розміру втрат при випаданні (LGD).
Інші фактори – це термін кредиту, сума кредиту до дати його випадання (Exposure at Default – Ea) і для підприємств із річним оборотом до 50 млн. євро (Німеччина) - індивідуальний річний оборот підприємства (Sizefaktor). Зі збільшенням терміну і суми кредиту збільшується і сума резервируемого капіталу банку. У діапазоні річного обороту підприємства від 50,0 млн. до 5,0 млн. євро розмір резервируемого капіталу за інших рівних умов зменшується (максимальна пільга до 20%). Вище 50,0 і нижче 5,0 млн. величина річного обороту не має впливу на розмір резервування капіталу.
З розходження між визначенням PD і розміром збитків LGD, якщо наступає випадок випадання кредиту, стає зрозуміло, що потрібно розрізняти два, так званих, рейтингові виміри:
- Рейтинг кредитоспроможності (1-й вимір)
- Рейтинг транзакції (2-й вимір)
Обоє виміри повинні аналізуватися й оцінюватися окремо. Далі рейтинг кредитоспроможності і рейтинг транзакции об'єднуються в рейтинг кредитного договору. Базою для цього є очікуваний збиток (Expected Loss – EL) від такого договору. EL розраховується по формулі [42]:
EL = PD x LGD (3.2)
Оцінюване значення EL використовується потім банком у калькуляції индивидуальных для клієнта витрат на ризик, а очікувані втрати, як показано вище, беруть участь у розрахунку резервируємого СК. Обидва параметри мають важливе значення для розрахунку ціни пропозиції по кредиту.
Базель-2 розрізняє три різних підходи, по яких банки можуть розраховувати необхідний власний капітал. Поряд з «модифікованим стандартним» підходом, при якому рейтинг не грає ніякої ролі, мається два підходи, що базуються на внутрішньому банківському рейтингу (IRB = Internal Ratings Based):
- IRB – базовий підхід
- IRB – прогресивний підхід
Важлива відмінність у підходах для підприємств полягають у тім, що при базовому підході банкам не дозволяється використовувати усі види забезпечення кредиту для ліквідації збитків. Усе-таки можна виходити з того, що забезпечення по кредиту, що розглядається банком досить коштовним, може бути прийнятим в увагу для внутрібанківських цілей (наприклад, для визначення витрат по ризику) навіть у тому випадку, якщо вони не визнаються законно. Тому таке законодавче обмеження грає у відносинах «банк-клієнт» трохи підлеглу роль.
Реалізація вимог Базельської угоди відбувається у всіх странах поетапно. З урахуванням стану фінансових ринків і рівня розвитку банківського сектора до 2008–2009 років Національним банком України передбачається наступний варіант реалізації угоди:
— спрощений стандартизований підхід по оцінці кредитного ризику (Simplified Standardised Approach) у рамках першого компонента Угоди (підходи до розрахунку достатності капіталу (Minimum Capital Requirements, Pillar 1));
— другий і третій компоненти Базеля II (процедури нагляду за достатністю капіталу з боку органів банківського нагляду (Supervisory Review Process, Pillar 2) і вимоги по розкриттю банками інформації про капітал і ризики з метою посилення ринкової дисципліни (Market Discipline, Pillar 3)).
Як показують дослідження, виконанні в дипломному проекті (табл.3.1, рис.3.1), аналізуєма система резервування кредитних ризиків в АКБ “Приватбанк” характеризується:
- самим високим рівнем питомої ваги резервів на кредитні ризики в кредитному портфелі (10 –11%) у порівнянні з першими 15 банками БС України (2-5,5%);
- утриманням самої високої питомої ваги створюваних резервів в діапазо-ні 35-40% від операційного доходу в витратах банку.
Таблиця 3.1
Відносний розмір резерву під кредитні ризики до кредитного портфелю, %
|
№ п/п |
Назва банка |
4 квартал 2005 |
4 квартал 2006 |
3 квартал 2007 |
|
1 |
Приватбанк |
11,27 |
10,64 |
10,05 |
|
2 |
Раффайзенбанк Аваль |
4,59 |
3,93 |
3,35 |
|
3 |
Укрсиббанк |
4,45 |
3,71 |
3,74 |
|
4 |
Укрсоцбанк |
2,80 |
2,08 |
2,15 |
|
5 |
Укрексімбанк |
5,04 |
3,05 |
3,00 |
|
6 |
Промінвестбанк |
5,55 |
6,42 |
5,83 |
|
7 |
Надра |
4,54 |
4,23 |
4,11 |
|
8 |
Ощадбанк |
19,18 |
7,74 |
4,70 |
|
9 |
ОТП банк |
5,38 |
3,96 |
3,96 |
|
10 |
ПУМБ |
2,76 |
2,52 |
3,17 |
|
11 |
Фінанси та кредит |
2,95 |
2,75 |
3,31 |
|
12 |
Форум |
4,26 |
3,00 |
3,02 |
|
13 |
Кредитпромбанк |
5,98 |
2,80 |
2,64 |
|
14 |
Укрпромбанк |
6,28 |
5,67 |
4,75 |
|
15 |
Брокбізнесбанк |
2,39 |
3,21 |
3,12 |
|
|
В середньому перші 15 банків БС |
6,20 |
5,13 |
4,70 |
|
|
В середньому по БС України |
5,52 |
4,68 |
4,39 |

Рис.3.1. – Питома вага витрат на управління банком та на створення резервів під кредитні ризики в відсотках від обсягу операційного доходу банку в АКБ “Приватбанк” у 2004 – 2007 роках
3.2 Зовнішня система управління кредитними ризиками за рахунок створення національних бюро кредитних історій позичальників
“Кредитне бюро”(бюро кредитних історій)- це установа, основний вид діяльності якої становить збір, накопичення, обробка, збереження та надання інформації (позитивної та негативної) про виконання фінансових зобов’язань фізичними та юридичними особами [27].
Метою діяльності бюро є допомога організаціям, що надають кредити чи послуги з відстрочкою платежу у мінімізації ризиків в споживчому кредитуванні та кредитуванні малого та середнього бізнесу.
Світова практика діяльності кредитних бюро довела, що існують досить відчутні загальні переваги від діяльності кредитного бюро. Основні аргументи економічного характеру на користь створення та функціонування кредитного бюро, що містяться в світовій літературі, полягають в наступному:
- наявність кредитної звітності стимулює позичальників погашати кредити, оскільки в протилежному випадку вони ризикують в майбутньому не отримати кредит в іншій кредитній організації. Тобто виникає стимулюючий механізм для підвищення платіжної дисципліни;
- обмін інформацією між кредиторами допомагає їм відрізнити добросовісного позичальника від недобросовісного, і відмовити недобросовісному в отриманні кредиту або встановити більш високі процентні ставки та отримати додаткове забезпечення і гарантії;
- зниження кількості часу та коштів на отримання інформації позитивно відображається на вартості кредиту для позичальників. При відсутності кредитного бюро отримання банками самостійно інформації по окремому позичальнику щодо виконання ним фінансових зобов’язань, при масовому споживчому кредитуванні практично неможливо;
- отримуючи інформацію з кредитної історії, кредитори мають змогу визначатись з наявністю заборгованості по кредитах, які позичальник отримав в інших банках, і визначитись чи не є рівень заборгованості занадто великим для цього позичальника;
- задоволення потреби в надійній та повній інформації знижує вимоги до розміру забезпечення або гарантій для надійних позичальників та збільшує загальні об’єми кредитування;
- створення “кредитної історії” розширює доступ до фінансових послуг суб’єктів малого, середнього бізнесу та фізичних осіб.
Створення механізму обміну інформацією через кредитні бюро позитивно впливає на [20]:
- керування ризиками (процентна ставка визначається в залежності від вірогідності повернення кредиту, що розраховується на підставі даних кредитного бюро);
збільшення загальних об’ємів кредитування;
прискорення процесу прийняття рішень;
якість кредитного портфелю банків;
стабільність банківської системи;
збільшення участі банківського капіталу в економічних процесах країни.
Робота кредитних бюро спрямована на створення конкурентного ринкового середовища, в якому добросовісні позичальники мають переваги перед недобросовісними.
Крім того, має місце рівна можливість доступу кредиторів до інформації. Не тільки позичальники мають можливість вибирати кредиторів, але і кредитні організації мають можливість вибирати позичальників з тими чи іншими необхідними якостями.
Аналіз функціонування кредитних бюро різних країн показує, що не існує уніфікованого підходу щодо організації роботи, форми власності, обсягу інформації кредитних бюро, але є загальні тенденції щодо організації роботи бюро.
Переважна кількість розвинених країн у вирішенні цього питання керується законами, що регулюють відносини у сфері захисту персональних даних та інформації, а також споживчого кредитування.
Наприклад, при здійсненні діяльності німецьке кредитне бюро керується спеціальним федеральним законом (Federal Data Protection Act); кредитне бюро Франції у своїй діяльності керується законом щодо захисту персональної інформації (Data Protection Act, 1984).
Бюро кредитних історій Канади функціонує відповідно до закону щодо захисту персональної інформації та електронних документів (Personal Information Act). Проте слід зазначити, що кожна провінція Канади має власні особливості функціонування та діяльності кредитних бюро.
У Європі та США застосовуються різні підходи до збору та захисту персональних даних [57].
У США діють декілька законів, що регулюють збір та розповсюдження персональних даних. Щодо надання кредитних звітів кредитними бюро то у 1971 році (зі змінами 1966 р.) США прийнятий окремий Закон про сумлінну кредитну інформацію (Federal Fair Credit Reporting Act), що докладно регулює видачу кредитних історій. Цей закон визначив право продавати інформацію про споживача без його згоди. На думку багатьох фахівців дія цього правового акту не гарантує достатнього захисту особистого життя громадян, що є суттєвим недоліком. Також недоліком американського законодавства є покладання на громадян обов’язку робити активні дії з метою обмеження використання і розповсюдження інформацій щодо них, замість зобов’язання кредитних бюро на отримання згоди від громадян на використання персональних даних щодо них.
Законодавство країн-членів Європейського союзу підпорядковано Директивам ЄС і відображає їх основні принципи. Вимоги ЄС з питань захисту персональних даних при їх збиранні та обробці викладені у декількох документах ЄС, основними з яких:
1) Конвенція Ради Європи про захист особи у зв’язку з автоматичною обробкою персональних даних (28.01.1981 р.).
2) Директива 95/46/ЄС Європейського парламенту і Ради Європейського союзу від 24 жовтня 1995 року ”Про захист прав приватних осіб відповідно до обробки персональних даних і вільному пересуванні таких даних” (1995 рік). (“Директива про приватність”).
3) Директива 97/66/ЄС Європейського парламенту і Ради Європейського Союзу від 15 грудня 1997 року стосовно обробки персональних даних і захисту приватності у телекомунікаційному секторі.
Політика ЄС спрямована на те, щоб країни-члени ЄС в своїх законах керувались принципами, закладеними в Директивах ЄС.
Спільним у законодавстві наведених вище країн є підходи щодо цільового використання інформації, визначення кола осіб, яким може бути надана ця інформація, визначення строку її зберігання, відповідальність за порушення закону та визначення регулюючих органів.
Розбіжності в національних підходах стосуються таких питань, як сфера дії законодавчого акту, акцентування в ньому різних елементів системи захисту, різні норми щодо ліцензування діяльності та механізмів контролю у вигляді спеціальних органів нагляду, визначення даних, що не підлягають розголошенню, методи забезпечення відкритості та індивідуальної участі.
Україні, враховуючи Закон України “Про загальнодержавну програму адаптації законодавства України до законодавства ЄС” доцільно при встановлені підходів до збору, обробки, захисту персональних даних орієнтуватися на Директиви Європейського Союзу.
Основні принципи, що стосуються збору, якості та захисту персональних даних, що встановлені в Європейському законодавстві, є наступними:
- “Персональні дані” – означають будь-яку інформацію, яка пов’язана з ідентифікованою або ідентифікуємою фізичною особою (суб’єктом даних). Ідентифікуємою особою є особа, яка може бути ідентифікована прямо або опосередковано, зокрема, шляхом посилання на ідентифікаційний номер або на один чи декілька факторів, специфічних для її фізичної, психологічної, культурної або соціальної ідентичності. (Директива 95/46/ЄС).Персональні дані повинні:
1. Оброблятись коректно і законно.
2. Збиратись для об’явлених і законних цілей.
3. В подальшому не оброблятись будь-яким чином, що є несумісним з цими цілями.
4. Бути адекватними, відноситись тільки до справи і не бути надмірними по відношенню до цілей, для яких вони збираються.
5. Дані повинні бути точними і в разі необхідності оновлюватися.
6. Повинні бути зроблені відповідні кроки, щоб неточні, або неповні дані, відповідно до цілей, для яких вони збирались уточнювалися чи були видалені.
7. Дані повинні зберігатися у формі, що дозволяє ідентифікацію суб’єктів даних не довше, ніж це необхідно для цілей, для яких ці дані збиралися.
- за виконанням вимог щодо якості персональних даних, які збираються повинен бути встановлений контроль.
- на деякі персональні дані накладені обмеження щодо їх збирання, обробки і розповсюдження.Це дані, що стосуються: національності, расового чи етнічного походження; політичних поглядів; релігійних чи інших філософських переконань; стану здоров’я; сексуального життя; членства в профспілках.
- держави-учасниці повинні забезпечити, щоб особисті дані оброблялись лише у випадках, коли:
1) суб’єкт даних недвозначно давав свою згоду;
2) обробка даних необхідна в цілях забезпечення законних інтересів контролера чи третьої сторони (строк), яким розкриті дані, окрім випадків, коли такі інтереси перекривляються інтересами фундаментальних прав та свобод суб’єкта даних, захист яких вимагається згідно законодавства.
- для суб’єкта даних повинно бути надано право бути повідомленим:
а) про наявність автоматизованої бази персональних даних;
б) про контролера бази даних або його представника чи місцезнаходження;
в) про цілі обробки, для яких призначені дані;
г) про одержувачів чи категорії одержувачів даних;
д) чи є відповідь на запитання обов’язковою і добровільною, а також можливі наслідки відмови від відповіді.
- для суб’єкта даних повинно бути встановлено:
1) право доступу до даних, що стосуються його особи;
2) права вимагати уточнення даних, що його стосуються в тій мірі, в якій потрібна додаткова інформація, що стосується конкретних обставин, при яких збираються дані для гарантування коректної обробки стосовно до суб’єкта даних;
3) право вимагати знищення даних, якщо вони оброблені з порушенням положень національного права.
- обробник інформації повинен забезпечувати конфіденційність та безпеку обробки інформації, повинен повідомити наглядовий орган щодо даних, які він збирається збирати та обробляти.
- країни-учасники повинні визначити, які операції по обробці даних можуть представляти ризик для прав суб’єктів даних і повинні контролювати та перевіряти такі операції до їх початку, та встановити заходи по забезпеченню гласності операцій по обробці таких даних.
Тенденція розвитку кредитних бюро у світі свідчить про те, що переважна кількість бюро створюється в якості приватних, комерційних установ.
Основними засновниками кредитних бюро, які створюються в останній час, виступають самі кредитні установи. В основному, це банки за участю Асоціацій банків (Туреччина, Польща, Мексика, Естонія, Нідерланди, Сінгапур тощо).
При цьому, не зважаючи на множинність кредитних бюро у деяких країнах, де кредитні бюро діють багато років, прослідковується велика ступінь концентрації капіталу, коли домінуючу роль грають одне, два кредитних бюро, які надають весь комплекс інформації (США, Велика Британія, Японія, Австралія, Німеччина тощо). Інші кредитні бюро займають дрібні ніші, надаючи окремі види інформації.
В окремих країнах, поряд з приватними кредитними бюро, діють як інформаційні посередники, так звані інститути державної реєстрації кредитів - Public Credit Registers (PCR). Відмінність PCR від кредитних бюро в тому, що в основному надання даних є обов’язковим і встановлено окремим правилом; інформація є стандартизованою (кредити вище встановленого рівня), і основні дані стосуються кредитів, а не позичальника. В основному PCR керуються центральними банками чи органами банківського нагляду. При цьому доступ до інформації в основному мають працівники центрального банку і банки, що надають інформацією.
Учасниками кредитних бюро є організації-кредитори, які, з одного боку, є джерелами постачання інформації (передають дані по позичальниках), а з другого боку, виступають в якості користувачів кредитних звітів.
Учасниками кредитного бюро виступають банки, кредитні спілки, лізингові компанії, компанії емітенти кредитних карток, страхові компанії, фірми, які надають послуги з відстрочкою платежу (підприємства стільникового зв’язку, підприємства-орендодавці) тощо.
Основний підхід щодо участі у кредитному бюро базується на тому, щоб основна діяльність організації була пов’язана з наданням кредитів, інших послуг у кредит та учасник брав на себе зобов’язання щодо постійної передачі інформації до кредитного бюро, не розповсюджував отриману з Бюро інформацію і чітко виконував правила роботи з кредитним бюро та інформацію.
Суб’єктами кредитних історій можуть виступати як фізичні, так і юридичні особи. Світова практика дозволяє зробити висновок, що не існує уніфікованого підходу до визначення суб’єктів (юридичних чи фізичних осіб), щодо яких збираються кредитні історії. Головна причина цьому – відмінність законодавчого поля країн, у яких створені системи обміну інформацією.
Країни, де порівняно недавно створені системи обміну інформацією на основі приватних кредитних бюро (Мексика, Туреччина, Італія) тощо, рухаються шляхом створення загальних баз даних суб’єктів кредитних історій як юридичних, так і фізичних осіб.
Більшість європейських країн (Німеччина, Бельгія, Великобританія і т. д.) потребує отримання згоди суб’єктів кредитних історії на надання інформації при передачі даних від кредитора до бюро кредитних історій, при передачі сформованого звіту від кредитного бюро кредитору і при наданні інформації третім особам.
Законодавство ЄС вимагає отримання згоди суб’єкта кредитної історії на надання інформації щодо нього, яка повинна бути “недвозначною”. При цьому кредитори можуть включати відповідні згоди в кредитний договір.
Система функціонуюча в США побудована інакше – кредитори мають право розповсюджувати інформацію про позичальника на свій власний розсуд, якщо на те не існує заборони з боку суб’єкта кредитної історії у письмовій формі. Американське законодавство дозволяє розголошувати кредитну інформацію у маркетингових цілях. Ні кредитор, ні кредитне бюро не зобов’язані інформувати громадян про можливе маркетингове використання даних, а повинні лише опублікувати в засобах масової інформації загальне повідомлення стосовно запланованих дій.
Для України більше підходить європейський підхід, який відповідає Конституції України та чинному законодавству і найбільш повно захищає права людини.
Закордонні аналітики поділяють інформацію на два види: так звану “чорну” та “білу”.
“Чорна” інформація – це негативна інформація, що може вплинути на рішення кредитора щодо надання кредиту. Вона містить у собі відомості про прострочки платежів, непогашення кредиту та інші подібні події.
“Біла” інформація – це детальний звіт, який містить повний комплекс інформації про фінансові зобов’язані позичальника, гарантії, структуру заборгованості по строках та часу погашення, дані по кредитних лініях тощо.
Існує також і третій вид інформації, який швидше має відношення до оцінки кредитоспроможності, ніж безпосередньо до кредитної історії – це інформація загального характеру (освіта позичальника, трудова діяльність і т. д.), яка збирається в залежності від практики роботи бюро в країні.
Питання щодо того, яка інформація надається користувачам, належить законодавчому регулюванню кожної окремої країни.
Є країни, де кредитні бюро збирають тільки “чорну” інформацію і розповсюдження позитивної інформації заборонено. Але прослідковується тенденція, що більшість Бюро збирають повний обсяг інформації як негативної, так і позитивної.
У США, наприклад, надається “ чорна” і “біла” кредитна інформація, а також інформація загального характеру, за виключенням “кредитних розслідувань”, тобто інформації, яка збирається шляхом особистих бесід з друзями, роботодавцями позичальника, даних про його репутацію, спосіб життя.
У Канаді кредитна інформація збирається як негативна, так і позитивна. Кредитний файл не повинен містити інформацію щодо етнічного походження, стану здоров’я, політичних поглядів тощо.
Німецьке кредитне бюро SCHUFA збирає кредитні історії приватних осіб, надає інформацію як позитивну, так і негативну. SCHUFA не збирає інформацію про дітей, прибутки, місце роботи і майновий стан фізичних осіб.
Польське АТ “Бюро Кредитної Інформації” надає інформацію про борги та оборотах по банківських рахунках в межах, в яких ця інформація потрібна у зв’язку із наданням кредитів, грошових позик, банківських гарантій та порук.
Керуючись міжнародним досвідом, можна зробити висновки, що підхід, за якого надається позитивна і негативна, а не лише негативна інформація про позичальника, має ряд суттєвих переваг:
- користувач інформації може мати загальну картину заборгованості, що дає кредитору можливість виявити платоспроможних клієнтів, які здатні погасити заборгованість;
- існує чіткий поділ між неплатниками і нерегулярними платниками;
- є можливість визначення перспективи погашення боргів та стратегії стягнення заборгованості.
Відносно порядку надання інформації про суб’єктів кредитних історій існують два підходи: обов’язкове надання кредиторами на підставі вимог закону негативної або негативної та позитивної інформації; добровільне, на підставі договору, надання як позитивної, так і негативної інформації.
Ефективніше всього працюють системи, де існує договірний порядок надання інформації. При цьому, згідно законів країни чи директив ЄС, не збирається інформація, на збір якої накладена заборона (стан здоров’я, етнічне походження, політичні погляди тощо).
Майже в усіх країнах, де існують системи збору кредитної інформації, законодавством забезпечена можливість для суб’єктів кредитних історій заперечення щодо помилкових даних і вимога їх виправлення. Різниця повноти реалізації цієї можливості пов’язана із ступенем деталізації цієї процедури у законодавстві кожної окремої країни.
Найбільш повно ця процедура висвітлюється американським законодавством, згідно якого:
- позичальник має право заявити кредитору про розходження по кредитних питаннях, і в цьому випадку кредитор повинен представити інформацію про позичальника в кредитне бюро з вказівкою про наявність суперечки. Кредитне бюро зобов’язане включити інформацію про те в кредитні звіти, які надає;
- позичальник також має право повідомити про суперечку у кредитне бюро, після чого кредитор повинен перевірити інформацію і підтвердити або відхилити скаргу позичальника;
- у випадку незгоди кредитора з позицією позичальника, кредитор зобов’язаний повідомити про це кредитне бюро. В цьому випадку інформація кредитора зостається в кредитній історії без змін, а кредитне бюро додає до неї заяву позичальника щодо спірних даних;
- кредитне бюро має право відмовити у розслідуванні, якщо причини останнього недостатньо обґрунтовані;
- якщо інформація не може бути перевірена кредитором чи є неправильною, то кредитор повинен повідомити про це всі кредитні бюро, членом яких він виступає з тим, щоб у кредитну історію позичальника були внесені зміни;
- при наданні невірних довідок кредитор і кредитне бюро несуть відповідальність за свою неуважність або навмисне викривлення інформації у вигляді штрафних санкцій.
Інформація щодо позичальника згідно із законодавством США повинна зберігатися 7 років, а якщо мало місце банкрутство, то термін її зберігання становить 10 років, після чого інформація видаляється з файла. В розвинутих країнах – членах Європейського союзу, згідно “Директиви про приватність”, інформація зберігається стільки, “скільки це визнається розумно потрібним”. Питання застосування цього правила на практиці вирішуються згідно законодавства кожної окремої країни – члена ЄС.
Розглядаючи питання доступу до кредитної інформації, слід зазначити, що існуюча практика діяльності кредитних бюро свідчить про майже єдині підходи до цього питання, крім США.
Право на отримання кредитних історій мають тільки особи, які збираються провести кредитний правочин з позичальником-суб’єктом кредитної історії.
Згідно Європейського законодавства для отримання доступу до кредитної історії необхідно мати згоду суб’єкта кредитної історії.
Відповідно доступ кредиторів до кредитних історій здійснюється при зверненні позичальників за отриманням кредиту виключно за наявності дозволу суб’єктів кредитних історій (незалежно від виду інформації, з якої складається кредитна історія – позитивної чи негативної).
В більшості приватних кредитних бюро доступ до інформації мають члени кредитних бюро, які за своєю діяльністю є кредиторами і надають інформацію до кредитних історій і несуть відповідальність за збереження інформації.
В США, де існують різні види кредитних бюро, доступ до інформації про наявність кредитної історії необмежений. Кредитні бюро можуть збирати інформацію від кредиторів без згоди позичальника і отримувача інформації можуть бути організації, які не є членами кредитного бюро.
Законодавство дозволяє надання кредитних звітів, якщо кредитне бюро “має підстави вважати”, що той, хто звернувся за кредитною історією, займається законною діяльністю – страхуванням, кредитуванням, збором платежів, працевлаштуванням тощо. Крім того, в США дозволено надавати кредитні історії комерційним організаціям з метою використання інформації для маркетингу, тобто для направлення пропозицій щодо нового кредитного продукту, страховки тощо.
У всіх країнах, де існують кредитні бюро, обов’язково забезпечується доступ до власної кредитної історії суб’єктів кредитних історій. Суб’єкт кредитної історії отримує також інформацію про осіб, які мали доступ до його кредитної історії, та дату їх звернень.
В багатьох країнах світу розвиток кредитного та товарного ринків стимулював виникнення спеціалізованих структур (інформаційних посередників), основним завданням яких є акумулювання та надання інформації щодо виконання позичальниками своїх фінансових зобов’язань та кредитних ризиків.
Створення в Україні надійної системи ідентифікації ділової та фінансової репутації компаній та приватних позичальників є однією з фундаментальних умов подальшого розвитку ринків кредитів та інвестицій, особливо в сфері кредитування малого та середнього бізнесу, іпотечного та споживчого кредитування.
З метою зниження кредитних ризиків, підвищення надійності роботи банківської системи НБУ в 2001 році створив “Єдину інформаційну систему обліку позичальників (боржників), які мають прострочену заборгованість за кредитами” – ЄІС “Реєстр позичальників” [13].
Створення Реєстру вирішило частину проблеми доступу до інформації щодо позичальників – банки отримали можливість ознайомитись з негативною інформацію про позичальника. Разом з тим це не надало можливості відслідковувати поведінку боржника на ринку за деякий період, і за межами Реєстру залишилась інформація щодо добросовісного позичальника.
Над вивченням міжнародного досвіду роботи кредитних бюро у 2002 – 2005 роках працювали Національний банк України, Асоціація українських банків, Центр “Економіка і право” АУБ, Українська Міжбанківська Асоціація Членів Europay International (EMA), Центр комерційного права. За підтримки Світового банку, USAID, фахівцями НБУ, Асоціацій – АУБ та ЕМА, Центру комерційного права були проведені (із залученням іноземних консультантів-представників кредитних бюро: Великобританії, США, Ісландії, Канади, Кіпру, Польщі тощо) конференції та семінари з питань перспектив впровадження в Україні Інституту кредитних бюро.
Ця робота надала можливість розробити та затвердити у 2005 році Закон України “Про організацію обігу та формування кредитних історій” [5], який вступив в дію з 1 лютого 2006 року та в якому враховується міжнародний досвід діяльності кредитних бюро.
Закон [5] визначає правові та організаційні засади формування і ведення кредитних історій, права суб'єктів кредитних історій та користувачів бюро кредитних історій, вимоги до захисту інформації, що складає кредитну історію, порядок утворення, діяльності та ліквідації бюро кредитних історій.
Метою цього Закону є врегулювання суспільних відносин, що виникають у сфері збору, оброблення, зберігання, захисту та використання інформації про виконання особами грошових зобов'язань, функціонування інституцій, пов'язаних з обміном інформацією про грошові зобов'язання та забезпеченням прав та інтересів суб'єктів кредитної історії.
Згідно Закону впроваджені наступні терміни:
- бюро кредитних історій (далі - Бюро) - юридична особа, виключною діяльністю якої є збір, зберігання, використання інформації, яка складає кредитну історію;
- ведення кредитної історії - діяльність Бюро із збирання, оброблення, зберігання, захисту, використання інформації, яка складає кредитну історію;
- кредитна історія - це сукупність інформації про юридичну або фізичну особу, що її ідентифікує, відомостей про виконання нею зобов'язань за кредитними правочинами, іншої відкритої інформації відповідно до Закону;
- користувач Бюро (далі - Користувач) - юридична або фізична особа - суб'єкт господарської діяльності, яка укладає кредитні правочини та відповідно до Договору надає і має право отримувати інформацію, що складає кредитну історію;
- Договір - правочин, сторонами якого є Користувач і Бюро і предметом якого є врегулювання питань надання та отримання інформації, що складає кредитну історію;
- Положення Бюро - правила формування і ведення кредитних історій, які затверджуються виконавчим органом Бюро та погоджуються Уповноваженим органом;
- кредитний звіт - сукупність інформації про суб'єкта кредитної історії, яка є повним або частковим відображенням його кредитної історії;
- кредитний правочин - правочин, за яким виникає, змінюється або припиняється зобов'язання фізичної або юридичної особи щодо сплати грошових коштів Користувачу протягом певного часу в майбутньому (в тому числі договір страхування);
- кредитний бал - особлива форма кредитного звіту, який відображається у цифровому значенні;
- суб'єкт кредитної історії - будь-яка юридична або фізична особа, яка уклала кредитний правочин та щодо якої формується кредитна історія;
- Уповноважений орган - орган виконавчої влади, визначений Кабінетом Міністрів України, що здійснює державне регулювання діяльності Бюро.
Принципами формування та доступу до інформації, яка складає кредитну історію, є:
- забезпечення конституційних прав і свобод суб'єктів кредитних історій;
- адекватність обсягів інформації цілям, для яких вони збираються;
- значимість, всебічність, об'єктивність, повнота і достовірність інформації;
- регулярність та безперервність надходження інформації;
- цільове використання інформації;
- строковість зберігання інформації;
- конфіденційність інформації та її захист;
- збір і надання інформації, що складає кредитну історію, виключно за згодою суб'єкта цієї кредитної історії;
- незалежність Бюро.
Джерелами формування кредитних історій є:
- відомості, що надаються Користувачем до Бюро за письмовою згодою суб'єкта кредитної історії відповідно до цього Закону;
- відомості державних реєстрів, інформація з інших баз даних публічного користування, відкритих для загального користування джерел за винятком відомостей (інформації), що становлять державну таємницю.
Бюро має право отримувати відомості та інформацію на договірних засадах. Органи або уповноважені особи (держателі, адміністратори державних реєстрів тощо) зобов'язані на запит Бюро надавати відомості з державних реєстрів в електронному вигляді (у форматі бази даних) у разі наявності письмової згоди суб'єктів інформації.
Користувачами Бюро можуть бути банки, небанківські фінансові установи та інші суб'єкти господарської діяльності, які надають послуги з відстроченням платежу або надають майно в кредит.
Кредитна історія містить таку інформацію:
1) відомості, що ідентифікують особу:
а) для фізичних осіб:
- прізвище, ім'я та по батькові;
- дата народження;
- паспортні дані;
- місце проживання;
- ідентифікаційний номер згідно з Державним реєстром фізичних осіб - платників податків та інших обов'язкових платежів (у разі наявності) (далі - ідентифікаційний номер);
- відомості про поточну трудову діяльність;
- сімейний стан особи та кількість осіб, які перебувають на її утриманні;
- дата і номер державної реєстрації, відомості про орган державної реєстрації та основний предмет господарської діяльності фізичної особи - суб'єкта підприємницької діяльності;
б) для юридичних осіб:
- повне найменування;
- місцезнаходження;
- дата і номер державної реєстрації, відомості про орган державної реєстрації;
- ідентифікаційний код у Єдиному державному реєстрі підприємств та організацій України (далі - ідентифікаційний код);
- прізвище, ім'я та по батькові, паспортні дані керівника і головного бухгалтера;
- основний вид господарської діяльності;
- відомості, що ідентифікують власників, які володіють 10 і більше відсотками статутного капіталу юридичної особи:
- для фізичних осіб - власників: прізвище, ім'я та по батькові, паспортні дані, ідентифікаційний номер і місце проживання;
- для юридичних осіб - власників: повне найменування, місцезна-ходження, дата і номер державної реєстрації, відомості про орган державної реєстрації, ідентифікаційний код;
2) відомості про грошове зобов'язання суб'єкта кредитної історії:
а) відомості про кредитний правочин та зміни до нього (номер і дата укладання правочину, сторони, вид правочину);
б) сума зобов'язання за укладеним кредитним правочином;
в) вид валюти зобов'язання;
г) строк і порядок виконання кредитного правочину;
ґ) відомості про розмір погашеної суми та остаточну суму зобов'язання за кредитним правочином;
д) дата виникнення прострочення зобов'язання за кредитним правочином, його розмір і стадія погашення;
е) відомості про припинення кредитного правочину та спосіб його припинення (у тому числі за згодою сторін, у судовому порядку, гарантом тощо);
є) відомості про визнання кредитного правочину недійсним і підстави такого визнання;
3) інформацію про суб'єкта кредитної історії, яка складається із сукупності документованої інформації про особу з державних реєстрів, інших баз даних публічного користування, відкритих для загального користування джерел:
а) наявність заборгованості за податками та обов'язковими платежами;
б) рішення судів, що стосуються виникнення, виконання та припинення зобов'язань за укладеним кредитним правочином;
в) рішення судів та органів виконавчої влади, що стосуються майнового стану суб'єкта кредитної історії;
г) інші відомості, що впливають на спроможність виконання суб'єктом кредитної історії власних зобов'язань;
4) відомості про операції з інформацією, яка складає кредитну історію:
а) дата оновлення кредитної історії;
б) найменування Користувача, який надав інформацію до кредитної історії, у разі його згоди на це;
в) коментар суб'єкта кредитної історії у випадках, передбачених цим Законом.
Інформація для формування кредитної історії надається Користувачем до Бюро лише в разі наявності письмової згоди юридичної або фізичної особи, яка уклала кредитний правочин з Користувачем.
Користувач у разі укладення кредитного правочину та отримання письмової згоди суб'єкта кредитної історії на збір, зберігання, використання та поширення через Бюро інформації щодо нього надає до Бюро інформацію:
1) про себе, що ідентифікує його як Користувача;
2) про суб'єкта кредитної історії.
Користувач зобов'язаний повідомити суб'єкта кредитної історії про назву та адресу Бюро, до якого передаватиме інформацію для формування його кредитної історії.
Бюро надають інформацію з кредитних історій у формі кредитних звітів. Кредитні звіти містять усю інформацію з кредитної історії, якщо інші обсяги інформації не передбачені Положенням Бюро або Договором.
Користувачі мають право звернутися до Бюро за отриманням кредитних звітів упродовж дії укладеного правочину між ним та суб'єктом кредитної історії, а також за наявності у Користувача письмової згоди суб'єкта кредитної історії на доступ до його кредитної історії.
Користувачі мають право звернутися до Бюро за отриманням кредитних звітів у разі звернення суб'єкта кредитної історії до них з метою укладення кредитного правочину, а також надання Користувачу письмової згоди на доступ до його кредитної історії.
Суб'єкт кредитної історії має право ознайомитися з інформацією, що міститься у його кредитній історії, а саме:
1) кредитним звітом;
2) інформацією з реєстру запитів.
Бюро створюється у формі господарського товариства відповідно до законодавства з урахуванням особливостей, передбачених цим Законом.
Засновниками Бюро можуть бути юридичні та фізичні особи. Засновники Бюро - юридичні особи повинні здійснювати діяльність не менше трьох років з дня реєстрації та не мати заборгованості із сплати податків та інших обов'язкових платежів за останні три роки.
Статутний капітал Бюро формується виключно за рахунок грошових коштів засновників Бюро і має бути не менше п'яти мільйонів гривень. У назві Бюро обов'язково зазначаються слова "бюро кредитних історій". Слова "бюро кредитних історій" та похідні від них дозволяється використовувати в назві лише тим юридичним особам, діяльністю яких є виключно ведення кредитних історій.
Предметом діяльності Бюро є виключно ведення кредитних історій, а також здійснення іншої діяльності, що має на меті реалізацію положень цього Закону. Бюро починає здійснення своєї діяльності з моменту отримання ліцензії. Ліцензія надається Міністерством юстиції України на підставі заяви Бюро.
На сьогоднішній день в Україні зареєстровані та функціонують 3 бюро кредитних історій :
1. ТОВ “Українське бюро кредитних історій” (засновники ЗАТ КБ “ПриватБанк” і іноземна компанія BigOptima Limited).
Державна реєстрація ТОВ “Українське бюро кредитніх історій” датована 6 червня 2005 року [61].
На сьогоднішній день ТОВ “Українське бюро кредитних історій” є єдиним реально діючим та може надати доступ до більш ніж 10 000 000 кредитних історій як фізичних, так юридичних осіб, що складає близько 40 % усього працездатного населення України.
2. Перше всеукраїнське бюро кредитних історій (засновники Асоціація українських банків, 30 банків і дві страхові компанії) [26].
3. Національне бюро кредитних історій — вже третє кредитне бюро в Україні [27]. Його засновники — Національна асоціація кредитних спілок України, міжнародна холдингова компанія Creditinfo Group, а також інвестиційно-фінансова група «ТАС».
3.3 Шляхи оптимізації кредитних ризиків в АКБ “Приватбанк”
Для вироблення пропозицій по шляхам оптимізації кредитних ризиків в АКБ “Приватбанк” в дипломному дослідженні на базі інформації по першим 15 банкам банківської системи України [58] проведений статистично-порівняльний аналіз:
- впливу питомої ваги створеного резерву на кредитні ризики в кредитному портфелі банку на часткове зниження ефективності – рентабельності активів банку по чистому прибутку після оподаткування;
- впливу структурного співвідношення в кредитному портфелі кредитів, виданих юридичним особам, до кредитів, виданих фізичним особам, на рівень створеного резерву під кредитні ризики;
- впливу рівня питомої ваги створеного резерву на кредитні ризики в кредитному портфелі банку на відносний рівень податку на прибуток банку ( в % від операційного доходу);
- впливу абсолютного росту обсягу кредитного портфелю банку на рівень питомої ваги створеного резерву на кредитні ризики в кредитному портфелі;
- виявлення індивідуальних технологій банківського резервування кредитного ризику.
Результати розрахункового дослідження наведені на графіках рис.3.2 – 3.9. Як показують графіки рис.3.2, 3.4 для групи з 15 банків наблюдаються:
- індивідуальні характери діапазонів рівня питомої ваги резерву під кредитні ризики (2005 –2007 роки):
а) максимальний діапазон 11-12% у АКБ “Приватбанк”;
б) мінімальний діапазон 2,0 – 2,5% у АКБ “Укрсоцбанк”;
в) середній діапазон 4,0 – 6,0% у інших банків вибірки;
- невелика ( 1%) ширина діапазону змін резерву під кредитні ризики у банків аналізуємої вибірки (окрім “Ощадбанка” та “Кредитпромбанка”);
- загальна тенденція зниження рівня кредитного резерву з 2005 по 2007 рік.

Рис.3.2. – Порівняння рівнів питомої ваги резервів на кредитні ризики в кредитних портфелях перших 15 банків банківської системи України та в цілому в банківській системі України

Рис.3.3. – Регресійний пошуковий аналіз впливу питомої ваги резервів на кредитні ризики в кредитних портфелях перших 15 банків банківської системи України на рівень рентабельності активів у 2005 – 2007 роках

Рис.3.4. – Аналіз рівнів питомої ваги резервів на кредитні ризики в кредитних портфелях перших 15 банків банківської системи України у 2005 – 2007 роках

Рис.3.5. – Пошуковий аналіз впливу питомої ваги резервів на кредитні ризики в кредитних портфелях перших 15 банків банківської системи України у 2005 – 2007 роках на рівень витрат операційного доходу на сплату податку на прибуток

Рис.3.6. – Динаміка зниження обсягу резервів на кредитні ризики в кредитному портфелі АКБ “Приватбанк” при зміні співвідношення кредитів, наданих юридичним та фізичним особам в 2004 –2007 роках

Рис.3.7. – Динаміка зниження обсягу резервів на кредитні ризики в кредитному портфелі АКБ “Надра” при зміні співвідношення кредитів, наданих юридичним та фізичним особам в 2005 –2007 роках

Рис.3.8. – Регресійний аналіз зниження обсягу резервів на кредитні ризики в кредитних портфелях АКБ “Приватбанк” та АКБ “Надра” при зміні співвідношення кредитів, наданих юридичним та фізичним особам в 2004 –2007 роках

Рис.3.9. – Пошуковий регресійний аналіз змін обсягу резервів на кредитні ризики в кредитному портфелі АКБ “Приватбанк” при зростанні обсягів кредитного портфелю в 2004 –2007 роках
Як показано на графіках рис.3.3 – результати регресійного пошукового аналізу впливу питомої ваги резервів на кредитні ризики в кредитних портфелях перших 15 банків банківської системи України на рівень рентабельності їх активів у 2005 – 2007 роках можна трактувати як негативні, тобто вплив рівня резервів кредитного ризику на рівень рентабельності активів статистично не доведений.
Як показано на графіках рис.3.5. – пошуковий аналіз впливу питомої ваги резервів на кредитні ризики в кредитних портфелях перших 15 банків банківської системи України у 2005 – 2007 роках на рівень витрат операційного доходу на сплату податку на прибуток дає позитивні результати, які слід трактувати наступним чином:
- підвищення рівня створення резервів кредитного портфелю за рахунок зростання валових витрат банку дозволяє суттєво зменшити оподатковуємий прибуток, а відповідно зменшити і податок на прибуток;
- при регулюванні звітною доходністю банка за рахунок створення резервів на кредитні ризики слід одночасно забезпечити середній рівень рентабельності активів банку по чистому прибутку після оподаткування, що і виконується в АКБ “Приватбанк” (рис. 3.3);
- тобто, АКБ “Приватбанк”, який створив найбільший рівень резерву на кредитні ризики (10-12% кредитного портфелю) платить найнижчий рівень податку на прибуток (0 –2% від операційного доходу), а АКБ “Укрсоцбанк”, який створив найменший рівень резерву на кредитні ризики (2,0 –2,5% кредитного портфелю) платить найвищий рівень податку на прибуток (6,0 –7,0% від операційного доходу). При цьому стратегія АКБ “Приватбанк” є більш ефективною – по результатам 3 кварталів 2007 року рентабельність активів в АКБ “Приватбанк” становить 1,85%, що значно вище рівня рентабельності активів в АКБ “Укрсоцбанк” – 1,20%;
- дослідження показують, що процедурний рівень заставного забезпечення кредитів в АКБ “Укрсоцбанк” значно вищий процедурного рівня заставного забезпечення кредитів в АКБ “Приватбанк” за рахунок використання в АКБ “Приватбанк” технології оцінки ризику позичальника згідно методології “Базель-2”, тобто з використанням даних банків кредитних історій клієнтів. При цьому більш низький рівень низьколіквідного заставного забезпечення клієнтами кредитів в АКБ “Приватбанк” компенсується підвищенням рівня високоліквідного грошового резервування кредитного ризику за рахунок зростання валових витрат. Враховуючи, що за даними бюро кредитних історій ризик неповернення кредиту – невеликий, створений високоліквідний резерв миттєво повертається в доходи банку при поверненні кредиту.
Як показано графіками рис.3.6 – 3.8 наблюдається регресійна залежність зниження обсягу резервів на кредитні ризики в кредитному портфелі АКБ “Приватбанк” та АКБ “Надра” при зменшенні рівня співвідношення кредитів, наданих юридичним та фізичним особам в 2004 –2007 роках. Тобто зростання питомої ваги кредитів фізичним особам в кредитному портфелі банків знижує рівень необхідного резервування за рахунок високоліквідності заставного забезпечення кредитів фізичним особам.
Як показують графіки рис.3.9, підвищення у 2004 –2007 роках абсолютного обсягу кредитного портфелю АКБ “Приватбанк” з рівня 8,1 млрд.грн. до рівня 40,1 млрд.грн. змінило рівень питомої ваги резервів на кредитні ризики з 12,9% обсягу кредитного портфеля (2004 рік) до 10,05% обсягу кредитного портфеля (2007 рік) практично тільки за рахунок зміни співвідношення обсягів кредитів юридичних осіб до обсягів кредитів фізичним особам з рівня 1,86 (2004 рік) до рівня 1,31 (2007 рік).
Таким чином, основними перспективними шляхами забезпечення зниження впливу кредитних ризиків на діяльність АКБ “Приватбанк” є:
- використання на робочих місцях кредитних інспекторів автоматизованих процедур визначення індивідуальних кредитних ризиків позичальників з використанням інформації банків бюро кредитних історій;
- впровадження контрольованих процедур оцінки реальної вартості та ліквідності застави для визначення її обсягу під забезпечення повернення кредиту з урахуванням індивідуального рівня кредитного ризику позичальника;
- впровадження контрольованих процедур визначення оптимальної ставки вартості кредиту з урахуванням оцінки реальної вартості та ліквідності застави,
прогнозу рівня резервування з урахуванням індивідуального рівня кредитного ризику позичальника;
- впровадження в експлуатацію комплекса постійної задачі оптимізації “Мінімізація ризику кредитування – рівень заставного забезпечення – рівень ринкової амортизації заставного забезпечення на протязі кредитного договору - рівень резервування – рівень податку на прибуток – рівень рентабельності активів банку”.
ВИСНОВКИ
Досліджений в дипломному проекті АКБ “Приватбанк” станом на 01.07.2007 року (за результатами 1 півріччя 2007 року) продовжив закріплення позиції лідера по обсягам агрегатів валюти балансу і займає наступні рейтингові місця в банківській системі України та відносні частки фінансів банківської системи України:
- Обсяг валюти активів балансу – 40 132,3 млн.грн.( 1 місце – 9,82%);
- Обсяг власного капіталу – 4 296,584 млн.грн.( 1 місце – 8,64%);
- Обсяг статутного капіталу – 306,29 млн.євро (3 місце);
- Обсяг кредитно-інвестиційного портфеля
– 33 502,38 млн.грн.( 1 місце – 10,16%);
- Обсяг поточних і строкових депозитів фізичних осіб
– 17 289,41 млн.грн.( 1 місце – 14,84%);
- Обсяг поточних і строкових депозитів юридичних осіб
– 12 409,121 млн.грн.( 1 місце – 11,53%);
- Обсяг балансового прибутку – 259,76 млн.грн. (2 місце – 10,78%);
- Прибутковість статутного капіталу – 24,95 % (21 місце);
- Прибутковість активів балансу – 1,295 % (43 місце);
Аналіз кредитного портфелю АКБ “Приватбанк” та стану створення резервів під кредитні ризики портфелю показав:
1) Кредитна заборгованість ЗАТ КБ «ПриватБанк» станом на кінець дня 31.12.2006 р. :
- становить 25 708 027 тис. грн (за вирахуванням резервів 3 059 473 тис. грн.);
- питома вага кредитного портфеля становить 76,11% загальних активів;
- порівняно з 2005 роком обсяг кредитного портфеля за 2006 рік збільшив-ся на 11 426 785 тис. грн (+ 80,01%).
2) Кредитна заборгованість ЗАТ КБ «ПриватБанк» станом на кінець дня 30.09.2007 р. ( за 3 квартали 2007 року):
- становить 36 099 479 тис. грн (за вирахуванням резервів 4 033 779 тис. грн.);
- питома вага кредитного портфеля становить 74,55% загальних активів;
- порівняно з 2006 роком обсяг кредитного портфеля за 3 квартали 2007 року збільшився на 10 391 452 тис. грн (+40,42%).
Найбільша питома вага в кредитному портфелі Банку належить таким галузям, як :
|
– |
кредити, надані фізичним особам |
– |
40,18% |
|
– |
оптова торгівля і посередництво в торгівлі |
– |
24,49% |
|
– |
Металургія |
– |
6,81% |
|
– |
послуги, надані переважно юридичним особам |
– |
5,78% |
|
– |
індивідуальні послуги |
– |
3,81% |
|
– |
сільське господарство |
– |
3,26% |
Проведений аналіз показав, що зростання у 2004 –2007 роках абсолютного обсягу кредитного портфелю АКБ “Приватбанк” з рівня 8,1 млрд.грн. до рівня 40,1 млрд.грн. змінило рівень питомої ваги резервів на кредитні ризики з 12,9% обсягу кредитного портфеля (2004 рік) до 10,05% обсягу кредитного портфеля (2007 рік) практично тільки за рахунок зміни співвідношення обсягів кредитів юридичних осіб до обсягів кредитів фізичним особам з рівня 1,86 (2004 рік) до рівня 1,31 (2007 рік).
Дослідження динаміки темпів приросту валюти балансу та кредитного портфелю АКБ “Приватбанк” у 2005 – 2007 роках (поквартально) показало, що:
- ланцюговий темп приросту валюти баланса банку має постійне позитивне значення та знаходиться в діапазоні 8-16% за квартал;
- ланцюговий темп приросту обсягу кредитного портфелю банку має постійне позитивне значення та знаходиться в діапазоні 5-22% за квартал;
- на протязі 2005-2007 року існують часові інтервали перерозподілу кредитно-інвестиційного портфелю банку між кредитами клієнтам та іншими активними операціями, характеризуємі більш інтенсивним приростом валюти балансу, ніж приріст кредитного портфелю.
Аналіз строків кредитування в кредитному портфелі банку станом на 01.01.2007 року показує:
а) для кредитів, наданих юридичним особам:
- максимум в 3,7 млрд.грн. розташований в часовому інтервалі від 1 до 3 місяців;
- в часових інтервалах від 3 місяців до 5 років загальні суми кредитів поступово знижуються від 2,5 млрд.грн. до 1,5 млрд.грн. в кожному з часових інтервалів;
- в часовому інтервалі більше 5 років юридичні особи практично не кредитуються;
б) для кредитів, наданих фізичним особам особам:
- перший максимум в 3,2 млрд.грн. розташований в часовому інтервалі від 8 днів до 1 місяця (поточні беззаставні кредити під наступну заробітну плату);
- другий максимум в 2,0 млрд.грн. розташований в часовому інтервалі від 3 до 5 років (автомобільне заставне кредитування);
- третій максимум в 1,4 млрд.грн. розташований в часовому інтервалі понад 10 років (іпотечне житлове кредитування).
Повалютно кредитний портфель АКБ “Приватбанк” має тенденцію до підвищення структурної частки кредитів в національній валюті та складається :
- 58,0% (2005 рік) – 64,8%(2006 рік) – гривні;
38,8% (2005 рік) – 32,8%(2006 рік) – долари США;
кредити в євро та рублях – до 1,0 –2,0 % кредитного портфелю.
Аналіз структури ризикованості кредитів в кредитному портфелю в АКБ «Приватбанк» та структури створених резервів по ступеням ризикованості станом на 01.01.2006 та на 01.01.2007 року показав:
- на компенсацію ризиків сумнівних та безнадійних кредитів та позабалансової кредитної заборгованості (наданих кредитних гарантій) створено 45,5% портфелю резервів кредитного ризику станом на 01.01.2006 року та 31,8% портфелю резервів кредитного ризику станом на 01.01.2007 року;
- питома вага сумнівних та безнадійних кредитів та позабалансової кредитної заборгованості (наданих кредитних гарантій) становить 2,7 % обсягу кредитного портфелю станом на 01.01.2006 року та 2,15% кредитного портфелю станом на 01.01.2007 року;
Як показує аналіз темпів приросту кредитів юридичним та фізичним особам в кредитному портфелі банку та темпів приросту резервів на кредитні ризики:
- динаміка та фази приросту резервів на кредитні ризики співпадають з динамікою та фазами приросту в кредитному портфелі АКБ “Приватбанк” кредитів, наданих юридичним особам;
- динаміка та фази приросту резервів на кредитні ризики знаходяться в противофазах з динамікою та фазами приросту в кредитному портфелі АКБ “Приватбанк” кредитів, наданих фізичним особам;
Аналіз руху резервів під заборгованість за кредитами в АКБ “Приватбанк” у 2004 -2006 роках станом на кінець дня 31 грудня 2006 року показує, що обсяг списання сумнівної заборгованості за рахунок резервів в АКБ “Приватбанк” поступово зростає:
- з 1,89% обсягу створеного резерва у 2004 році до 2,93% у 2005 році;
- з 2,93% обсягу створеного резерва у 2005 році до 6,43% у 2006 році;
Це свідчить про наявність тенденції погіршення ефективності створення заставного забезпечення для повернення кредитів та необхідності впроваджен-ня удосконалених технологій зменшення впливу кредитних ризиків на діяльність банку.
Одним із найсучаснішим методом оцінки кредитного ризику, створюємого позичальником є використання технології міжбанківських компьютерних банків інформації (бюро кредитних історій) в методах оперативних автоматизованих технологій оцінки фінансового стану позичальника та його кредитоспроможності. Ця технологія є економічно вигідною при масовому мікрокредитуванні малих та середніх підприємств, а також приватних підприємців, коли 1 інспектор обслуговує сотні клієнтів.
Новим напрямком у стратегії планування резервів кредитних ризиків є впровадження в практиці АКБ “Приватбанк” міжнародно-визнаних рекомендацій Базельського комітету з банківського нагляду.
Ціль «Базель-2» – підвищення стабільності і рівних умов конкуренції міжнародної фінансової системи. При цьому, вихідним пунктом служить стимулювання банків (з боку банківського нагляду) у більш тонкому «юстируванні» процесу виміру кредитного ризику. Основні риси методології:
– посилення орієнтування банків при резервуванні власного капіталу на фактичні ризики;
– поліпшення внутрішнього ризик-менеджменту банків, особливо через створення стимулів до переходу на подальші методи виміру ризиків для контрольних цілей;
По діючим у даний час згідно правилам “Базель-1” банки при видачі кредитів підприємствам для випадку втрат від їх неплатоспроможності повинні паушально резервувати власний капітал у розмірі 8% від балансової вартості кредиту. Оскільки при цьому реальна кредитоспроможність підприємства не грає ніякої ролі - таке положення більше не відповідає вимогам банківської економіки і створює невірні стимули: кредитоотримувач з гарною кредитоспроможністю платить занадто велику, а кредитоотримувач зі слабкою кредитоспроможністю - занадто малу надбавку за ризик.
Як показують дослідження, виконанні в дипломному проекті, аналізуєма система резервування кредитних ризиків в АКБ “Приватбанк” характеризується:
- самим високим рівнем питомої ваги резервів на кредитні ризики в кре-дитному портфелі (10 –11%) у порівнянні з першими 15 банками БС України (2,0 - 5,5%);
- утриманням самої високої питомої ваги створюваних резервів в діапазоні 35-40% від операційного доходу в витратах банку.
Для вироблення пропозицій по шляхам оптимізації кредитних ризиків в АКБ “Приватбанк” в дипломному дослідженні на базі інформації по першим 15 банкам банківської системи України проведений статистично-порівняльний аналіз:
- впливу питомої ваги створеного резерву на кредитні ризики в кредитному портфелі банку на часткове зниження ефективності – рентабельності активів банку по чистому прибутку після оподаткування;
- впливу структурного співвідношення в кредитному портфелі кредитів, виданих юридичним особам, до кредитів, виданих фізичним особам, на рівень створеного резерву під кредитні ризики;
- впливу рівня питомої ваги створеного резерву на кредитні ризики в кредитному портфелі банку на відносний рівень податку на прибуток банку ( в % від операційного доходу);
- впливу абсолютного росту обсягу кредитного портфелю банку на рівень питомої ваги створеного резерву на кредитні ризики в кредитному портфелі;
- виявлення індивідуальних технологій банківського резервування кредитного ризику.
Результати проведеного дослідження для групи з перших 15 банків банківської системи України показали:
1) індивідуальні характери діапазонів рівня питомої ваги резерву під кредитні ризики (2005 –2007 роки):
а) максимальний діапазон 11-12% у АКБ “Приватбанк”;
б) мінімальний діапазон 2,0 – 2,5% у АКБ “Укрсоцбанк”;
в) середній діапазон 4,0 – 6,0% у інших банків вибірки;
2) невелику ( 1%) ширину діапазону змін резерву під кредитні ризики у банків аналізуємої вибірки (окрім “Ощадбанка” та “Кредитпромбанка”);
3) загальна тенденція зниження рівня кредитного резерву з 2005 по 2007 рік.
Результати регресійного пошукового аналізу впливу питомої ваги резервів на кредитні ризики в кредитних портфелях перших 15 банків банківської системи України на рівень рентабельності їх активів у 2005 – 2007 роках можна трактувати як негативні, тобто вплив рівня резервів кредитного ризику на рівень рентабельності активів статистично не доведений.
Пошуковий аналіз впливу питомої ваги резервів на кредитні ризики в кредитних портфелях перших 15 банків банківської системи України у 2005 – 2007 роках на рівень витрат операційного доходу на сплату податку на прибуток дає позитивні результати, які слід трактувати наступним чином:
- підвищення рівня створення резервів кредитного портфелю за рахунок зростання валових витрат банку дозволяє суттєво зменшити оподатковуємий прибуток, а відповідно зменшити і податок на прибуток;
- при регулюванні звітною доходністю банка за рахунок створення резервів на кредитні ризики слід одночасно забезпечити середній рівень рентабельності активів банку по чистому прибутку після оподаткування, що і виконується в АКБ “Приватбанк”;
- тобто, АКБ “Приватбанк”, який створив найбільший рівень резерву на кредитні ризики (10-12% кредитного портфелю) платить найнижчий рівень податку на прибуток (0 –2% від операційного доходу), а АКБ “Укрсоцбанк”, який створив найменший рівень резерву на кредитні ризики (2,0 –2,5% кредитного портфелю) платить найвищий рівень податку на прибуток (6,0 –7,0% від операційного доходу). При цьому стратегія АКБ “Приватбанк” є більш ефективною – по результатам 3 кварталів 2007 року рентабельність активів в АКБ “Приватбанк” становить 1,85%, що значно вище рівня рентабельності активів в АКБ “Укрсоцбанк” – 1,20%;
- дослідження показують, що процедурний рівень заставного забезпечення кредитів в АКБ “Укрсоцбанк” значно вищий процедурного рівня заставного забезпечення кредитів в АКБ “Приватбанк” за рахунок використання в АКБ “Приватбанк” технології оцінки ризику позичальника згідно методології “Базель-2”, тобто з використанням даних банків кредитних історій клієнтів. При цьому більш низький рівень низьколіквідного заставного забезпечення клієнтами кредитів в АКБ “Приватбанк” компенсується підвищенням рівня високоліквідного грошового резервування кредитного ризику за рахунок зростання валових витрат. Враховуючи, що за даними бюро кредитних історій ризик неповернення кредиту – невеликий, створений високоліквідний резерв миттєво повертається в доходи банку при поверненні кредиту.
Наблюдається регресійна залежність зниження обсягу резервів на кредитні ризики в кредитному портфелі АКБ “Приватбанк” (слабкий тип кореляції) та АКБ “Надра”(сильний тип кореляції) при зменшенні рівня співвідношення кредитів, наданих юридичним та фізичним особам в 2004 –2007 роках. Тобто зростання питомої ваги кредитів фізичним особам в кредитному портфелі банків знижує рівень необхідного резервування за рахунок високоліквідності заставного забезпечення кредитів фізичним особам та позитивної кредитної історії.
Підвищення у 2004 –2007 роках абсолютного обсягу кредитного портфелю АКБ “Приватбанк” з рівня 8,1 млрд.грн. до рівня 40,1 млрд.грн. змінило рівень питомої ваги резервів на кредитні ризики з 12,9% обсягу кредитного портфеля (2004 рік) до 10,05% обсягу кредитного портфеля (2007 рік) практично тільки за рахунок зміни співвідношення обсягів кредитів юридичних осіб до обсягів кредитів фізичним особам з рівня 1,86 (2004 рік) до рівня 1,31 (2007 рік).
Таким чином, основними перспективними шляхами забезпечення зниження впливу кредитних ризиків на діяльність АКБ “Приватбанк” є:
- використання на робочих місцях кредитних інспекторів автоматизованих процедур визначення індивідуальних кредитних ризиків позичальників з використанням інформації банків бюро кредитних історій;
- впровадження контрольованих процедур оцінки реальної вартості та ліквідності застави для визначення її обсягу під забезпечення повернення кредиту з урахуванням індивідуального рівня кредитного ризику позичальника;
- впровадження контрольованих процедур визначення оптимальної ставки вартості кредиту з урахуванням оцінки реальної вартості та ліквідності застави,
прогнозу рівня резервування з урахуванням індивідуального рівня кредитного ризику позичальника;
- впровадження в експлуатацію комплекса постійної задачі оптимізації “Мінімізація ризику кредитування – рівень заставного забезпечення – рівень ринкової амортизації заставного забезпечення на протязі кредитного договору - рівень резервування – рівень податку на прибуток – рівень рентабельності активів банку”.
СПИСОК ВИКОРИСТАНОЇ ЛІТЕРАТУРИ
1. ЗАКОН УКРАЇНИ «Про банки і банківську діяльність» від 7 грудня 2000 року N 2121-III // Із змінами і доповненнями, внесеними Законами України станом від 27 квітня 2007 року N 997-V - Комп’ютерна законодавчо-довідкова система законодавства України “Ліга-закон”, 2007
2. Закон України “Про Національний банк України” від 20 травня 1999 року N 679-XIV // Із змінами і доповненнями, внесеними Законами України станом на 1 грудня 2005 року N 3163-IV - Комп’ютерна законодавчо-довідкова система законодавства України “Ліга-закон”, 2007
3. Закон України „Про оподаткування прибутку підприємств” від 22 травня 1997 р. N 283/97-ВР // станом змін від від 7 липня 2006 р. N 2771-IV - Комп’ютерна законодавчо-довідкова система законодавства України “Ліга-закон”, 2007
4. Господарський кодекс України від 16 січня 2003 року N 436-IV(діє з 01.01.2004) // Із змінами і доповненнями, внесеними Законами України від 9 січня 2007 року N 549-V, ОВУ, 2007 р., N 8, ст. 276
5. Закон України “Про організацію формування та обігу кредитних історій” від 23 червня 2005 року N 2704-IV - Комп’ютерна законодавчо-довідкова система законодавства України “Ліга-закон”, 2007
6. ЗАКОН УКРАЇНИ „Про заставу” від 2 жовтня 1992 року N 2654-XII // Із змінами і доповненнями, внесеними Законами України станом від 27 квітня 2007 року N 997-V - Комп’ютерна законодавчо-довідкова система законодавства України “Ліга-закон”, 2007
7. Цивільний Кодекс України від 16 січня 2003 року N 435-IV // Із змінами і доповненнями, внесеними законами України станом від 31 травня 2007 року N 1111-V - Комп’ютерна законодавчо-довідкова система законодавства України “Ліга-закон”, 2007
8. Інструкція з бухгалтерського обліку кредитних, вкладних (депозитних) операцій та формування і використання резервів під кредитні ризики в банках України // Постанова Правління Національного банку України від 15 вересня 2004 року N 435 - Комп’ютерна законодавчо-довідкова система законодавства України “Ліга-закон”, 2007
9. Про затвердження Плану рахунків бухгалтерського обліку банків України та Інструкції про застосування Плану рахунків бухгалтерського обліку банків України // Постанова Правління Національного банку України від 17 червня 2004 року N 280 - Комп’ютерна законодавчо-довідкова система законодавства України “Ліга-закон”, 2007
10. Про затвердження Інструкції про порядок регулювання діяльності банків в Україні // Постанова Правління Національного банку України від 28 серпня 2001 року N 368 - Комп’ютерна законодавчо-довідкова система законодавства України “Ліга-закон”, 2007
11. Про методичні рекомендації щодо організації та функціонування систем ризик-менеджменту в банках України // Постанова Правління Національного банку України від 02.08.2004 N 361- Комп’ютерна законодавчо-довідкова система законодавства України “Ліга-закон”, 2007
12. Про затвердження Положення про порядок формування та викорис-тання резерву для відшкодування можливих втрат за кредитними операціями банків // Постанова Правління Національного банку України від 6 липня 2000 року N 279 ( Із змінами і доповненнями, внесеними постановами Правління Національного банку України станом від 6 липня 2007 року N 248) - Комп’ю-терна законодавчо-довідкова система законодавства України “Ліга-закон”, 2007
13. Про створення єдиної інформаційної системи обліку позичальників /боржників/ // Постанова Правління Національного банку України від 27 червня 2001 року N 245 - Комп’ютерна законодавчо-довідкова система законодавства України “Ліга-закон”, 2007
14. Аналіз банківської діяльності: Підручник / А.М. Герасимович та ін.; За ред. А.М. Герасимовича. — К.: КНЕУ, 2003.— 599 с.
15. Андреева Г.В. Скоринг как метод оценки кредитного риска // Журнал “Банковские технологии”, № 6, 1999 // http://www.cfin.ru
16. Банківські операції: Підручник / За ред. А.М. Мороз. — К.: КНЕУ, друге видання. — 2002. — 476 с.
17. Банковское дело: Учебник /Под ред. О.И. Лаврушина – Москва, «Фи-нансы и статистика», 1998 – 576 с.
18. Банківські операції: Підручник/ А.М. Мороз, М.І. Савлук, М.Ф. Пуховкіна та ін.; За ред.д-ра екон.наук,проф.А.М. Мороза.- К.: КНЕУ, 2000.- 384с.
19. Банки и банковские операции: Учебник для вузов / Под ред. проф. Е.Ф. Жукова.- М.: Банки и биржи, ЮНИТИ, 1997. - 471 с.
20. Беляков А.В. Банковские риски: проблемы учета, управления и регулирования - М.:Издательская группа "БДЦ-ПРЕСС", 2003г. , 256 стр.
21. Гриджук Д.М. Забезпечення кредитних зобов"язань у діяльності банків/ Д.М. Гриджук, В.О. Олійник.- Київ: Істина, 2001.- 256с.
22. Гроші та кредит: Підручник / За ред. проф. М.І. Савлука. — К.: КНЕУ, 2002. — 578 с.
23. Деньги, кредиты, банки : Учебник/ Под ред. О.И. Лаврушина. -2-е изд. Перераб. и доп. -М.: Финансы и статистика, 2000
24. Деньги, кредит, банки: Справочное пособие / Г.И. Кравцова, Б.С. Войтешенко, Е.И. Кравцов и др. ;под общ. ред. Г.И. Кравцовой , - Мн.: Мерка-ванне, 1994.- 270 с.
25. Деньги. Кредит. Банки: Учебник для вузов/ под ред. Профессора Е.Ф. Жукова. - М.: Банки и биржи, ЮНИТИ, 1999. - 622 с.
26. Задерей Н. Перше всеукраїнське бюро кредитних історій// Український дiловий тижневик "Контракти" / № 24 вiд 13-06-2005, www.kontrakty.com.ua
27. Задерей Н. Група «ТАС» захопилася створенням бюро кредитних історій// Український дiловий тижневик "Контракти" / № 41 вiд 10-10-2005
28. Економічний словник-довідник: За ред. док. екон. наук, проф. С.В. Мочерного - К.: Феміна, 1995.- 368 с.
30. Ширинская Е.Б. Операции коммерческих банков : российский и зарубежный опыт. -М.: Финансы и статистика 1995.- 450 с.
31. Коцовська Р., Ричаківська В та інш. Операції комерційних банків – Львів : ЛБІ НБУ, 2001 – 276 с.
32. Кредитний ризик комерційного банку. Навч. посіб./ В.В. Вітлінський, О.В. Пернарівський, Я.С. Наконечний, Г.І. Великоіваненко; за ред В.В. Вітлінського.- К.: Т-во "Знання", КОО, 2000.- 251с.
33. Кредитование / Пер. с англ. Под. ред. М. А. Гольцберга - К.:Торгово- издательское бюро BHV , 1994. 384 с. (INKO)
34. Лагутин В.Д. Кредитование : теория и практика. Учебное пособие.- 3 –е изд. К.: «Знание», 2002, 215 с.
35. Лаврушин О.И., Афанасьева О.Н., Корниенко С.Л. Банковское дело. Современная система кредитования. -Учебное пособие. - М.:КноРус , 2006 г., 256 стр.
36. Ляховский В.С., Коробейников Д.В., Серебряков П.А. Справочник по управлению рисками банковской деятельности. - М.:Гелиос АРВ , 2006г., 575 стр.
37. Орлов А. Скоринговая модель: возможность стать ближе к клиенту стоит недешево – 25.04.2006 // http://www.uabanker.net
38. Панова Г.С. Кредитная политика коммерческого банка .- М.: ИКЦ «Дис», 1997.- 464 с.
39. Полфреман Д. Основы банковского дела /Пер. с англ. – М.:ИНФРА-М, 1996. – 624 с.
40. Практическое руководство для самостоятельного определения кредитного рейтинга предприятия и условий предоставления кредита «Базель-2 на практике: саморейтинг предприятия» // Max Hait, www.finance-dms.com/rating-basel.html
41. Пресс-релиз о Новом соглашении по достаточности капитала Базельского комитета по банковскому надзору // «Вестник банка России», 34 (758), 16 июня 2004 года, с. 2.
42. Принципы управления кредитным риском // Базельський комитет по банковскому надзору (N 75 вересень 2000 року).
43. Примостка Л.О. Аналіз банківської діяльності: сучасні концепції, методи та моделі: Монографія. — КНЕУ, 2002.— 316 с.
44. Примостка Л.О. Фінансовий менеджмент у банку: Підручник. — 2-е вид., доп. і перероб. — К.: КНЕУ. 2004. — 468 с.
45. Редхэд К., Хьюс С. Управление финансовыми рисками / Пер.с англ. – М.: ИНФРА - М, 1996. – 288 с.
46. Роуз П.С. Банковский менеджмент. Пер. с англ. со 2-го изд.— М.: «Дело ЛТД»,1995.— 768 с.
47. Руководство по кредитному менеджменту / Пер. с англ. Под ред. Б. Эдвардса 3-е изд. – М.:ИНФРА-М ,1996. – 464 с.
48. Словник сучасної економіки Макміллана: Пер. з англ. – К.: АртЕк, 2000. – 640 с.
49. Словник банківських термінів: термінологічний словник / А. Загородній, О. Сліпушко та ін. – К.: Аконіт, 2000. – 605 с.
50. Соложенцев Е.Д. Прозрачность методик оценки кредитных рисков и рейтингов. - СПб.:Издательство Cанкт-Петербургского университета, 2005г., 196 стр.
51. Сорока А. (Київський національний економічний університет- Концептуальні проблеми аналізу кредитних операцій у комерційному банку // К.: КНЕУ, 2005 - 19 с.
52. Субботин А.В. Базельское соглашение II: требования, перспективы // Методический журнал «Внедрение МСФО в кредитной организации» № 3(13)/2005
53. Сусіденко В.Т. Стратегія управління кредитною діяльністю комерцій-ного банку –К.,1998. – 345 с.
54.Уваров К., Куценко О. Методичні рекомендації щодо організації та функціонування систем ризик-менеджменту в банках України: орієнтир на майбутнє // Вісник Національного банку України. – 2005. – № 1. – С. 60–63.
55. Шевченко Р.І. Банківські операції : Навч.-метод. посіб. для самост. вивч.дисципліни / Київський національний економічний ун-т - К. : КНЕУ, 2003. – 276с.
56. Шевченко Р. І. Кредитування і контроль : Навч.-метод. посібник для самостійного вивчення дисципліни / Київський національний економічний ун-т. - К. : КНЕУ, 2002. - 183с.
57. Эдгар М. Управление финансами в коммерческих банках / Пер.с англ. – М.: Альпина Бизнес Букс, 2004. – 208 с.
58. HTTP://www.bank.gov.ua - Офіційний сайт НБУ
59. HTTP://WWW.PRIVATBANK.DP. UA - Офіційний сайт АКБ “Приватбанк”
60. HTTP://WWW.AUB.COM. UA - Офіційний сайт Асоціації банків України
61. http://www.ubki.com.ua - Офіційний сайт Товариства з обмеженою відповідальністю «Українське бюро кредитних історій»
62. HTTP://WWW.LIGA-ZAKON.COM.UA - Комп’ютерна законодавчо-довідкова система законодавства України “Ліга-закон”, 2007
ДОДАТКИ
Додаток А
Таблица А.1
Кредитно-інвестиційний портфель перших 30 банківських установУкраїни станом на 01.01.2005 року [86]

Таблица А.2
Кредитно-інвестиційний портфель перших 30 банківських установУкраїни станом на 01.01.2006 року [86]

Таблица А.3
Кредитно-інвестиційний портфель перших 30 банківських установУкраїни станом на 01.01.2007 року [86]

Таблица А.4
Кредитно-інвестиційний портфель перших 30 банківських установУкраїни станом на 01.07.2007 року [86]

Додаток Б
Фінансові характеристики АКБ ”Приватбанк” за 2003 – 2005 роки
Таблиця Б.1

Продовження табл.Б.1

Таблиця Б.2
Звіт про фінансові результати діяльності АКБ “Приватбанк” у 2003 – 2005 роках

Продовження табл.Б.2

Фінансові характеристики АКБ ”Приватбанк” за 2006 – 2007 роки
Таблиця Б.3

Продовження табл.Б.3

Таблиця Б.4
Звіт про фінансові результати діяльності АКБ “Приватбанк” у 2006 – 2007 роках

Продовження табл.Б.4

Додаток В
Галузева структура наданих кредитів АКБ «Приватбанк» у 2004 -2006 роках


Рис.В.1. – Галузева структура наданих кредитів АКБ “Приватбанк” станом на 01.01.2005 року

Рис.В.2. – Галузева структура наданих кредитів АКБ “Приватбанк” станом на 01.01.2006 року

Рис.В.3. – Галузева структура наданих кредитів АКБ “Приватбанк” станом на 01.01.2007 року


Рис.В.4. Структура споживчого кредитування фізичних осіб в АКБ «Приватбанк» станом на кінець 4 кварталу 2003 року [85]

Р
ис.В.5.
Структура споживчого кредитування
фізичних осіб в АКБ «Приватбанк» станом
на кінець 1 кварталу 2005 року [85]


Рис.В.6. Структура споживчого кредитування фізичних осіб в АКБ «Приватбанк» станом на кінець 1 кварталу 2006 року [85]

Р
ис.В.7.
Структура споживчого кредитування
фізичних осіб в АКБ
«Приватбанк» станом на кінець 1 кварталу
2007 року [85]
Додаток Г

Рис.Г.1. – Загальна структура тривалості наданих кредитів юридичним та фізичним особам в кредитному портфелі АКБ “Приватбанк” станом на 01.01.2007 року

Рис.Г.2. – Структура тривалості наданих кредитів юридичним особам (без іпотечних) в кредитному портфелі АКБ “Приватбанк” станом на 01.01.2007 року

Рис.Г.3. – Структура тривалості наданих іпотечних кредитів юридичним особам в кредитному портфелі АКБ “Приватбанк” станом на 01.01.2007 року

Рис.Г.4. – Структура тривалості наданих кредитів фізичним особам (без іпотечних) в кредитному портфелі АКБ “Приватбанк” станом на 01.01.2007 року

Рис.Г.5. – Структура тривалості наданих іпотечних кредитів фізичним особам в кредитному портфелі АКБ “Приватбанк” станом на 01.01.2007 року
Додаток Е

Рис.Д.1. – Структура стандартних кредитів в кредитному портфелю в АКБ «Приватбанк» станом на 01.01.2007

Рис.Д.2. – Структура кредитів під контролем в кредитному портфелю в АКБ «Приватбанк» станом на 01.01.2007

Рис.Д.3. – Структура субстандартних кредитів в кредитному портфелю в АКБ «Приватбанк» станом на 01.01.2007

Рис.Д.4. – Структура сумнівних кредитів в кредитному портфелю в АКБ «Приватбанк» станом на 01.01.2007

Рис.Д.5. – Структура безнадійних кредитів в кредитному портфелю в АКБ «Приватбанк» станом на 01.01.2007
Додаток Е

Рис.Е.1. – Структура застави та гарантій часткового забезпечення кредитного ризику в категорії «Стандартні кредити» в АКБ «Приватбанк» ( стан 01.01.2007 року)

Рис.Е.2. – Структура застави та гарантій часткового забезпечення кредитного ризику в категорії «Нестандартні кредити» в АКБ «Приватбанк» ( стан 01.01.2007 року)

Рис.Е.3. – Структура застави та гарантій часткового забезпечення кредитного ризику в категорії «Сумнівні кредити» в АКБ «Приватбанк» ( стан 01.01.2007 року)

Рис.Е.4. – Структура застави та гарантій часткового забезпечення кредитного ризику в категорії «Проблеині кредити» в АКБ «Приватбанк» ( стан 01.01.2007 року)

Рис.Е.5. – Структура застави та гарантій часткового забезпечення кредитного ризику в категорії «Безнадійні кредити» в АКБ «Приватбанк» ( стан 01.01.2007 року)
Додаток Ж
Таблиця Ж.1
Видова та облікова класифікація міжбанківських кредитів в комерційних банках України [ ]
|
152 |
Кредити, що надані іншим банкам |
|
|
1521 |
А |
Кредити овернайт, що надані іншим банкам |
|
1522 |
А |
Кредити, що надані іншим банкам за операціями репо |
|
1523 |
А |
Короткострокові кредити, що надані іншим банкам |
|
1524 |
А |
Довгострокові кредити, що надані іншим банкам |
|
1525 |
А |
Фінансовий лізинг (оренда), що наданий іншим банкам |
|
1527 |
А |
Прострочена заборгованість за кредитами, що надані іншим банкам |
|
158 |
Сумнівна заборгованість інших банків |
|
|
1580 |
А |
Сумнівна заборгованість за коштами на вимогу в інших банках |
|
1581 |
А |
Сумнівна заборгованість за строковими вкладами (депозитами), що розміщені в інших банках |
|
1582 |
А |
Сумнівна заборгованість за кредитами, що надані іншим банкам |
|
1589 |
А |
Сумнівна заборгованість за виплаченими гарантіями, виданими іншим банкам |
|
159 |
Резерви під заборгованість інших банків |
Таблиця Ж.2
Видова та облікова класифікація кредитів юридичним особам в комерційних банках України [9]
|
20 |
Кредити, що надані суб'єктам господарювання |
|
|
201 |
Кредити, що надані за операціями репо суб'єктам господарювання |
|
|
2010 |
А |
Кредити, що надані за операціями репо суб'єктам господарювання |
|
202 |
Кредити, що надані за врахованими векселями суб'єктам господарювання |
|
|
2020 |
А |
Кредити, що надані за врахованими векселями суб'єктам господарювання |
|
2027 |
А |
Прострочена заборгованість за кредитами, що надані за врахованими векселями суб'єктам господарювання |
|
203 |
Вимоги, що придбані за операціями факторингу із суб'єктами господарювання |
|
|
2030 |
А |
Вимоги, що придбані за операціями факторингу із суб'єктами господарювання |
|
2037 |
А |
Прострочена заборгованість за вимогами, що придбані за операціями факторингу із суб'єктами господарювання |
|
206 |
Кредити в поточну діяльність, що надані суб'єктам господарювання |
|
|
2062 |
А |
Короткострокові кредити в поточну діяльність, що надані суб'єктам господарювання |
|
2063 |
А |
Довгострокові кредити в поточну діяльність, що надані суб'єктам господарювання |
|
2067 |
А |
Прострочена заборгованість за кредитами в поточну діяльність, що надані суб'єктам господарювання |
|
207 |
Кредити в інвестиційну діяльність, що надані суб'єктам господарювання |
|
|
2071 |
А |
Фінансовий лізинг (оренда), що наданий суб'єктам господарювання |
|
2072 |
А |
Короткострокові кредити в інвестиційну діяльність, що надані суб'єктам господарювання |
|
2073 |
А |
Довгострокові кредити в інвестиційну діяльність, що надані суб'єктам господарювання |
|
207 |
Кредити в інвестиційну діяльність, що надані суб'єктам господарювання |
|
|
2071 |
А |
Фінансовий лізинг (оренда), що наданий суб'єктам господарювання |
|
2072 |
А |
Короткострокові кредити в інвестиційну діяльність, що надані суб'єктам господарювання |
|
2073 |
А |
Довгострокові кредити в інвестиційну діяльність, що надані суб'єктам господарювання |
|
2074 |
А |
Довгострокові кредити, що надані суб'єктам господарювання за участю кредитів Національного банку України |
|
2077 |
А |
Прострочена заборгованість за кредитами в інвестиційну діяльність, що надані суб'єктам господарювання |
|
208 |
Іпотечні кредити, що надані суб'єктам господарювання |
|
|
2082 |
А |
Короткострокові іпотечні кредити, що надані суб'єктам господарювання |
|
2083 |
А |
Довгострокові іпотечні кредити, що надані суб'єктам господарювання |
|
2087 |
А |
Прострочена заборгованість за іпотечними кредитами, що надані суб'єктам господарювання |
|
209 |
Сумнівна заборгованість за кредитами, що надані суб'єктам господарювання |
Таблиця Ж.3
Видова та облікова класифікація кредитів фізичним особам в комерційних банках України [9]

Додаток К
Таблиця К.1
Кількісні параметри кредитного ризику [11]
|
Незначна |
Помірна |
Значна |
|
Здійснюється ефективна диверсифікація кредитного ризику |
Диверсифікація в цілому задовільна, але існують певні концентрації |
Диверсифікація кредитного ризику є незадовільною |
|
Рівень наданих кредитів і зобов'язань про надання кредитів є низьким відносно загальних активів |
Рівень наданих кредитів і зобов'язань про надання кредитів є помірним відносно загальних активів |
Рівень наданих кредитів і зобов'язань про надання кредитів є високим відносно загальних активів |
|
Відношення кредитів і кре-дитних зобов'язань до регуля-тивного капіталу є низьким |
Відношення кредитів і кре-итних зобов'язань до регуля-тивного капіталу є помірним |
Відношення кредитів і кре-дитних зобов'язань до регуля-тивного капіталу є високим |
|
Зростання активів, що генерують кредитний ризик, є плановим і відповідає досвіду та/або операційним можливостям керівництва і персоналу |
Певне зростання активів, що генерують кредитний ризик, не є плановим або перевищує заплановані рівні і, можливо, є випробуванням для досвіду та/або операційних можливостей керівництва і персоналу |
Зростання активів, що гене-рують кредитний ризик, не є плановим або перевищує зап-лановані рівні і є непосильним для досвіду та/або операцій-них можливостей керівництва і персоналу. Зростання відбу-вається за рахунок нових про-дуктів або позичальників, що знаходяться поза межами тра-диційної для банку сфери бізнесу |
|
У разі розширення обсягів кредитування застосовується консервативний підхід до структури, термінів, рівня зростання або способів розрахунків |
Розширення обсягів кредитування є виправданим щодо структури, термінів, рівня зростання або способів розрахунків |
Банк занадто високими темпами нарощує обсяги нового кредитування, запроваджує нові продукти, з точки зору їхньої структури, умов та практики погашення |
|
У разі розширення обсягів кредитування застосовується консервативний підхід до структури, термінів, рівня зростання або способів розрахунків |
Розширення обсягів кредитування є виправданим щодо структури, термінів, рівня зростання або способів розрахунків |
Банк занадто високими темпами нарощує обсяги нового кредитування, запроваджує нові продукти, з точки зору їхньої структури, умов та практики погашення |
|
Винятків із належних процедур та практики здійснення активних операцій немає або вони робляться дуже рідко |
Є обмежена кількість винятків із встановлених процедур та практики здійснення активних операцій |
Є велика кількість винятків із встановлених процедур та практики здійснення активних операцій |
|
Вартість та якість забезпечення є адекватною розміру кредитного ризику |
Вартість та якість забезпечення захищає від кредитного ризику |
Забезпечення є неліквідним або його вартість та якість є недостатньою |
|
Рівень прострочених та безнадійних кредитів за балансовою класифікацією є низьким, і тенденція є стабільною |
Рівень прострочених та безнадійних кредитів за балансовою класифікацією є помірним, і тенденція є стабільною |
Рівень прострочених та безнадійних кредитів за балансовою класифікацією є високим, а тенденція стабільною, або рівень є помірним, а тенденція такою, що зростає |
|
Рівень негативно класифіко-ваних активів невеликий |
Рівень негативно класифіко-ваних активів помірний |
Рівень негативно класифіко-ваних активів високий |
|
Негативно класифіковані активи можуть бути повернуті у звичайному режимі роботи з контрагентом |
Негативно класифіковані активи можуть бути повернуті, але за умови вжиття банком певних заходів |
Повернення негативно класифікованих активів викликає сумнів або може потребувати тривалого часу та/або значних витрат |
|
Резерви під втрати за активними операціями є достатніми і покривають можливі збитки. Потенційні втрати надходжень або капіталу через кредитний ризик є мінімальними |
Можливі втрати за активними операціями не повинні серйозно вичерпати існуючі резерви або вимагають створення більш ніж звичайних резервів. Потенційні втрати надходжень або капіталу через кредитний ризик є контрольованими |
Втрати за активними операціями можуть серйозно вичерпати існуючі резерви або вимагати значних додаткових резервів. Потенційні втрати надходжень або капіталу через кредитний ризик є значними |
|
Методологія розрахунку резервів під можливі втрати за активними операціями є правильною, забезпечується належне покриття ризиків |
Методологія розрахунку резервів під можливі втрати за активними операціями є загалом адекватною, забезпечується прийнятне покриття ризиків |
Методологія розрахунку резервів під можливі втрати за активними операціями має багато недоліків. Покриття ризиків, наявних у портфелях, недостатнє |
Додаток Л
Таблиця Л.1
Предмети застави беруться до розрахунку резерву під кредитні ризики за такими коефіцієнтами [12]
|
Класифіковані кредитні операції |
Відсоток вартості забезпечення (застави), що береться до розрахунку чистого кредитного ризику за окремою кредитною операцією |
||||||||||
|
майнових прав на грошові депозити, іменні депозитні сертифікати, випущені банком кредитором, майнових прав на грошові кошти за операціями з розміщення / залучення коштів між двома банками, що здійснюються в різних валютах |
банківських металів |
державних цінних паперів |
недержавних цінних паперів |
нерухомого майна, що належить до житлового фонду, іпотечних облігацій та іпотечних сертифікатів |
іншого нерухомого майна |
майнових прав на майбутнє нерухоме майно, що належить до житлового фонду (береться до розрахунку протягом 2 років з дати отримання кредиту) |
рухомого майна, дорогоцінних металів |
інших майнових прав |
|||
|
у валюті, що відповідає валюті наданого кредиту, або ВКВ |
у валюті, що є відмінною від валюти наданого кредиту |
за кредитами в гривнях |
за кредитами в іноземній валюті |
||||||||
|
"Стандартна" |
100 |
90 |
80 |
100 |
40 |
70 |
50 |
50 |
50 |
50 |
30 |
|
"Під контролем" |
100 |
90 |
80 |
80 |
20 |
70 |
50 |
50 |
40 |
40 |
20 |
|
"Субстандартна" |
100 |
90 |
60 |
50 |
10 |
40 |
40 |
40 |
20 |
20 |
10 |
|
"Сумнівна" |
100 |
90 |
20 |
20 |
0 |
20 |
20 |
20 |
10 |
10 |
5 |
|
"Безнадійна" |
0 |
0 |
0 |
0 |
0 |
0 |
0 |
0 |
0 |
0 |
0 |
1 Лаврушин О.И., Афанасьева О.Н., Корниенко С.Л. Банковское дело. Современная система кредитования. -Учебное пособие. - М.:КноРус , 2006 г., 256 стр.