Доходи та витрати комерційного банку
Міністерство освіти і науки України
Кіровоградський інститут імені Св. Миколая
Міжрегіональна Академія Управління Персоналом
КУРСОВА РОБОТА
З дисципліни: “Політична економія”
На тему: “Доходи та витрати комерційного банку”
Виконала:
Кіровоград 2007
З М І С Т
ВСТУП………………………………………………………………………….….3
1. Теоретичні основи формування ДОХОДІВ ТА витрат
комерційного банку……………………………………………………….5
1.1. Використання показників доходів та витрат…………………………..9
2. МЕТОДИКИ АНАЛІЗУ ДІЯЛЬНОСТІ
КОМЕРЦІЙНОГО БАНКУ…………………………………………………….18
2.1. Основні методики оцінки доходів…………………………………….……20
2.2. Оцінка витрат…………………………………………………….….....23
3. ВИКОРИСТАННЯ НОВИХ МЕТОДИК ОЦІНКИ ДОХОДІВ ТА
ВИТРАТ КОМЕРЦІЙНОГО БАНКУ……………………………….…………….24
3.1. Оцінка витрат……………………………………………...…...............24
3.2. Аналіз доходності банку……………………………..….….……........26
ВИСНОВОК………………………………………………………………..............30
СПИСОК ВИКОРИСТАНОЇ ЛІТЕРАТУРИ…………………….….…………....32
ВСТУП
Ринкова економіка вимагає від українських комерційних банків підвищення ефективності управління банківською діяльністю. Важлива роль у реалізації цієї задачі відводиться аналізу банківської діяльності. З його допомогою виробляються стратегія і тактика розвитку банку, обґрунтовуються плани й управлінські рішення, здійснюється контроль за їхнім виконанням, виявляються резерви підвищення ефективності проведення активних і пасивних операцій, оцінюються результати діяльності банку, його окремих підрозділів.
Таким чином, успішний розвиток і надійність банківської системи України в сформованих економічних умовах багато в чому залежить від постановки в комерційних банках аналітичної роботи, що дозволяє давати реальну і всебічну оцінку досягнутим результатам діяльності банків, виявляти їхні сильні і слабкі сторони, визначати конкретні шляхи вирішення виникаючих проблем. Аналіз банківської діяльності є основою ефективного управління банком, вихідною базою прийняття управлінських рішень на всіх рівнях банківського менеджменту.
Відомо, що, коли в банку будуть клієнти, то й банк у такому разі буде процвітати, і навпаки. Але у той же час, якщо банк переживатиме скрутне фінансове становище і не зможе вчасно і повністю виконувати свої зобов'язання, то клієнти такого банку так само можуть істотно постраждати, бо вони зберігають свої кошти на різних банківських рахунках. Варто також окремо виділити населення країни, чиї заощадження є одним із самих зручних видів банківських ресурсів (тому що це ресурси довгострокового характеру і порівняно недорогі, що сприяє одержанню банком порівняно високого прибутку). Тому держава, будучи за Конституцією України гарантом стабільності в країні (зокрема й у грошово-кредитній сфері), піклується про міць банківської системи. На це спрямовано діяльність такого державного органу як Національний банк України (НБУ), однією з функцій якого і є забезпечення стабільності банківської системи країни.
Актуальність теми даної курсової роботи полягає в стабільності економіки країни, яка в значній мірі залежить від стабільності банківських установ.
Фінансова стабільність банків стає питанням їх виживання, оскільки банкрутство в умовах ринку виступає вірогідним результатом діяльності нарівні з іншими можливостями. Надійність банків має значення не тільки для самих банків, а й для всієї країни в цілому, і, навпаки, банкрутство банків спричиняє збитки їх клієнтів (депонентів): підприємств і населення. Крім випадків кримінальних фінансових операцій, банкрутство банків звичайно є результатом банкрутства промислових і торгових підприємств (клієнтів банку), що у свою чергу викликає руйнування інших промислових і торгових підприємств, оскільки їхні кошти зберігаються на поточних та інших рахунках у банках. Наявність подібних випадків (банкрутств банків) негативно позначається на господарській діяльності всіх економічних суб'єктів, що врешті-решт відбивається і на добробуті суспільства (тому що це супроводжується падінням багатьох макроекономічних показників, таких як валовий внутрішній продукт, життєвий рівень населення країни тощо).
Для визначення надійності (стабільності) комерційного банку, перш за все, аналізують його доходи і витрати, які являються основними показниками результативності фінансової діяльності банку. Адже, чим більшими є доходи і меншими витрати – тим більшим є прибуток банку і, звісно, більш стабільнішим є банк.
Метою даної роботи є узагальнення і систематизація теоретичних знань щодо існуючих методик аналізу доходів та витрат комерційних банків, а також їх практичне застосування.
1. ТЕОРЕТИЧНІ ОСНОВИ ФОРМУВАННЯ ДОХОДІВ ТА ВИТРАТ КОМЕРЦІЙНОГО БАНКУ
Вся господарська діяльність комерційного банку – здійснення банківських угод має назву статутна діяльність. Її проведення вимагає від комерційного банку значних витрат, але крім витрат виникають доходи, як результат діяльності комерційного банку.
Витрати – це зменшення економічної вигоди у звітному періоді, у формі вибуття або використанні активів чи збільшення забов’язань, що призводить до зменшення власного капіталу за винятком розподілу капіталу між учасниками (акціонерами) чи його вилучення. Зростання банківських витрат, які неузгодженні зі збільшенням його прибутку може істотно погіршити фінансовий стан навіть крупному та авторитетному комерційному банку.
Доходи - це збільшення економічних вигод протягом звітного періоду у формі припливу або зростання активів, або зменшення зобов`язань, що спричиняють збільшення капіталу і не є внесками акціонерів.
Валовий дохід комерційного банку складається з валового операційного доходу. Він залежить від:
норми прибутку та активні операції
розміру плати за надані послуги
величина та структура активів
Результатом співставлення доходів та витрат є фінансовий результат статутної діяльності, який виступає у вигляді прибутку чи збитків.
Поняття доходності комерційного банки відображає позитивний сукупний результат діяльності банку у всіх сферах його господарсько-фінансової і комерційної діяльності. За рахунок доходів банку покриваються усі його операційні видатки, включаючи адміністративно-управлінські, формується прибуток банку, розмір якого визначає рівень дивідендів, збільшення власних коштів і розвиток пасивних і активних операцій.
Для оцінки доходів та видатків необхідно розрахувати загальну суму доходів банку, отриманої їм за період, із наступним поділом її на види доходів, що надійшли від проведення різноманітних видів банківських операцій.
Валові доходи банку прийнято розділяти на процентні і непроцентні.
До процентних доходів банку відносяться:
нараховані й отримані відсотки по позичках у гривневому виразі;
нараховані й отримані відсотки по позичках в іноземній валюті.
Структура процентних доходів банку може бути подана також у вигляді:
процентних доходів, отриманих по міжбанківських позичках;
процентних доходів, що надійшли по комерційних позичках.
Непроцентні доходи складають:
доходи від інвестиційної діяльності (дивіденди по цінних паперах, доходи від участі в спільній діяльності підприємств і організації й ін.);
доходи від валютних операцій;
доходи від отриманих комісій і штрафів;
інші доходи.
Процентні витрати складають:
• нараховані і сплачені відсотки в гривнях;
• нараховані і сплачені відсотки у валюті.
До непроцентних витрат відносять:
операційні витрати:
сплачені комісійні по послугах і кореспондентських відносинах;
витрати по операціях із цінними паперами;
витрати по операціях на валютному ринку;
витрати по забезпеченню функціонування банку:
витрати на утримання апарата управління;
господарські витрати;
інші витрати:
штрафи, пені, неустойки сплачені; відсотки і комісійні минулого років і т.д.
Найбільше значними статтями операційних витрат банку традиційно є витрати:
• по виплаті відсотків по поточних і строкових вкладах;
• пов'язані з виплатою комісійних іншим банкам і іншим фінансово- кредитним заснуванням за надані послуги;
• по утриманню й експлуатації будинків і устаткування;
• на заробітну плату персоналу;
• на створення спеціальних резервів.
У останні роки спостерігається зріст питомої ваги видатків на виплату відсотків по вкладах клієнтів. Це пояснюється, по-перше, підвищенням рівня процентних ставок по депозитах у результаті посилення конкурентної боротьби і по-друге, збільшенням питомої ваги депозитних рахунків у загальній сумі притягнутих коштів.
Банки, що виконують міжнародні розрахункові операції, сплачують комісійні банку, що виконує доручення на здійснення операцій (акредитивних, інкасових і ін.). Але кінцевим платником виступає клієнт банку, із доручення якого проведена операція. Банк у повному обсязі списує з його рахунку сплачену їм комісію.
Видатки банку на утримання й експлуатацію будинків і устаткування, оплату персоналу і соціальні посібники носять щодо постійний характер. Їхня питома вага в загальній сумі видатків банку дуже значний.
Визначена частина коштів банка витрачається на створення резервів. Інші видатки в рахунку прибутків і збитків банку показуються по статті «Інші операційні видатки». Це внески, видатки на рекламу, інвентар і матеріали, на оплату послуг аудиторських фірм, судові і транспортні витрати, а також деякі види податків.
Зріст операційних видатків не тільки відбиває несприятливий стан кон'юнктури ринку, на якому банк залучає ресурси, але і може свідчити про погіршення менеджменту. Особлива увага заслуговує оцінка двох груп статей: видатки, пов'язані з забезпеченням функціонування банку (особливо адміністративно-господарські) і видатки, пов'язані з підвищенням ризикованості банківської діяльності (створення обов'язкових і інших страхових резервів).
Одна з основних цілей комерційних банків - це одержання прибутку, що є джерелом виплати дивідендів акціонерам (пайовикам), створення фондів банку, базою підвищення добробуту робітників банку і т.д. Прибуток банку являє собою різницю між його валовими доходом і витратами, тобто це – фінансові результати діяльності комерційного банку, які відображаються в звіті про фінансові результати комерційного банку.
Відповідно до діючої методики, комерційні банки визначають прибуток або збитки від своєї діяльності раз в квартал, в останній операційний день кварталу. Протягом кварталу прибутки і витрати враховуються наростаючим підсумком. Розподіл прибутку банку здійснюється по підсумкам діяльності за рік відповідно до рішення загальних зборів акціонерів (пайовиків) банку.
Прибуток комерційних банків оподатковується згідно Закону "Про оподаткування прибутку підприємств" по ставці 30 %.
Після сплати податків і штрафів, що накладаються податковою інспекцією, Національним банком України і іншими органами з прибутку банку проводяться відрахування в його резервний фонд в розмірі не менш ніж 5 % прибутку, що залишається в розпорядженні банку. Потім здійснюються відрахування в фонди економічного стимулювання банку, на добродійні і спонсорські заходи, на виплату винагород керівництву банку. З суми, що залишилася виплачуються дивіденди акціонерам (пайовикам). Якщо і після цього залишається нерозподілений прибуток, він може бути направлений на індексацію акцій (паїв) або ж на приріст капіталу банку.
Збитки банку по підсумкам діяльності за рік покриваються за рахунок резервного фонду, а при його недостатності - за рахунок зменшення капіталу.
При збитковій діяльності банку акціонерами (пайовиками) або Національним банком України вирішується питання про доцільність його подальшого функціонування : збереження, реорганізація або ліквідація.
1.1 Використання показників доходів та витрат
У роботі комерційних банків важливу роль відіграє процентна політика, оскільки одержання прибутків від вкладених коштів є для клієнтів суттєвим стимулом з активізації внесків. Розмір депозитного процента встановлює комерційний банк самостійно, виходячи з рівня інфляції, облікової ставки НБУ, стану грошового ринку і власної депозитної політики.
Рівень відсотків за різноманітними видами депозитних рахунків різний. Найнижчі проценти комерційні банки сплачують за рахунками до запитання, оскільки поїш характеризуються нестабільністю залишків. За такими рахунками, відкритими юридичним особам, проценти взагалі не можуть нараховуватися. Однак банки намагаються заохочувати клієнтів підгримувати стабільні залишки на рахунках до запитання. Це досягається через установлення підвищених процентів або виплати клієнтам премій за значні залишки коштів.
Хоча за рахунками до запитання, відкритими для фізичних осіб, проценти нараховуються в обов'язковому порядку, прибуток за ними набагато нижчий, ніж за терміновими депозитами.
При встановленні розміру процентної ставки за терміновими депозитами визначальним чинником є термін, на який розміщені кошти. Чим триваліший термін, тим вищі процентні ставки. Процентна ставка за терміновим депозитом може залежати і від частоти виплати прибутку: чим рідше здійснюються виплати, тим вищий рівень процентної ставки.
Якщо процентні витрати за депозитними вкладами збільшують витрати банка, то плата за користування банківськими кредитами є джерелом збільшення доходів.
Рівень процентної ставки по кредитам залежить від таких факторів:
- облікова ставка центрального банку;
- рівень інфляції;
- строк позички;
- ціна сформованих ресурсів;
- ризик;
- розмір позички;
- попит на банківські позички;
- якість застави;
- зміст заходів, що кредитуються;
- витрати на оформлення позички і контроль;
- .ставка банку-конкурента;
- характер відносин між банком і клієнтом;
- норма прибутку від інших активних операцій, та інші.
Вплив цих факторів на рівень процентної плати за користування банківськими позичками є взаємозв'язаним, тому важко визначити кількісне значення кожного з них, але враховувати їх у сукупності доцільно.
Визначення розмірів процентних ставок досить складний процес для банків, тому що потрібно враховувати всі зазначені вище фактори та, щоб за даними ставками діяльність банків була максимально ефективною та приносила йому прибуток.
Отже, існує необхідність дослідження питань, пов'язаних зі спрощенням розрахунків розмірів процентних ставок та оптимізацією розмірів» банківських відсотків, за якими б діяльність банку була найбільш ефективною та прибутковою.
Для визначення фінансового стану банків НБУ використовує систему рейтингу банків, що має назву CAMEL. Для визначення рейтингу банку за цією системою, розраховується дужо багато різних показників, що робить її досить громіздкою й складною. Тому є доцільним подальше удосконалення відомих методів та розробка нових методик рейтингової оцінки, які були б простіші у використанні.
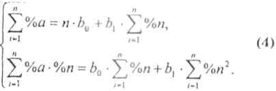
Відомо, що найбільшу питому вагу в доходах банку займають його процентні доходи, а основу прибутку банку складає його чистий процентний дохід, що визначається як різниця між процентними доходами і процентними витратами, тобто, величина чистого процентного доходу визначається в такий спосіб:
ЧПрД = А * %а - II * %п, (1)
• де ЧПрД - чистий процентний дохід; А - загальна величина активних операцій, що приносять банку процентний дохід; П - загальна величина пасивних операцій банку, що складають його процентні витрати; %а - прибутковість банку за всіма активними операціями, що приносять йому процентний дохід, або середньозважена відсоткова ставка за сукупним кредитним портфелем; %п - прибутковість клієнтів банку за всіма його пасивними операціями, що складає процентні витрати банку, або середньозважена відсоткова ставка за сукупним депозитним портфелем. Отже, можна зробити висновок, що основними факторами, що впливають на розмір чистого процентного доходу, є %а і %п.
Отже, для оптимізації необхідно визначити взаємозв'язок між цими двома факторами, тобто треба визначити таку величину %а (при заданій %п),при якій, на величину %а впливає %п, тому що величина %п визначає розміри процентних витрат, які необхідно покрити процентними доходами. Для того, щоб залучити кошти, банк здійснює певні витрати, а також передбачає деяку норму прибутку. Отже можна припустити, що залежність між %а і %п може мати вид:
%а = Ь>0> + Ь * %п, (2)
де b>0> і b1 - коефіцієнти, які враховують фактори, що впливають на %а.
За станом на 01.01.2004 НБУ, у відповідності з системою рейтингової оцінки банків CAMEL, виділив 4 групи банків. Кожна група буде мати свою структуру доходів і витрат, показники рентабельності і ліквідності, тому можна припустити, що для кожної групи банків запропонована вище модель (1) буде мати свій вигляд.
Для того,
щоб максимізувати прибуток банку,
розрахуємо оптимальну %п для даної
%п, використовуючи запропоновану
модель,
а також
статистичні дані,
представлені
в таблицях 1 та 2. Номера банків з 1 до 5 -
належать до 1-ї групи, з 6 до 10 - до 2-ї, з
11 до 15 - до 3-ї, з 16 до 20 -
до 4-ї
групи.
Відповідно
до методу найменших квадратів, для
кожної групи банків розрахуємо коефіцієнти
Ь0
і Ь>1>
за допомогою системи рівнянь:

Таблиця 1.
Статистичні дані по банкам за станом на 01.01.2004
|
№ |
№ рейт. |
Банк |
Чист.проц.дохід дохід |
П |
А |
% |
% а |
|
1 |
3 |
Промінвестбанк |
141757 |
6469554 |
5770245 |
7,3 |
15,8 |
|
2 |
5 |
Укрсоцбанк |
236795 |
4528238 |
3690948 |
8,2 |
16,5 |
|
3 |
7 |
Укрсиббанк |
174909 |
3294859 |
3284732 |
10,7 |
16,1 |
|
4 |
6 |
Укрексім |
258490 |
3384766 |
2962242 |
6,3 |
15,9 |
|
5 |
1 |
"Аваль" |
461749 |
8918609 |
8163885 |
9,1 |
15,6 |
|
6 |
24 |
"Хрещатик" |
29541 |
830295 |
803889 |
12,6 |
16,7 |
|
7 |
12 |
Правекс - банк |
44527 |
1460079 |
1287471 |
11,4 |
16,4 |
|
8 |
17 |
"Форум" |
50634 |
1011864 |
1006510 |
11,1 |
16,2 |
|
9 |
22 |
"Укрпромбанк" |
34049 |
868449 |
912510 |
13,3 |
16,4 |
|
10 |
23 |
Вабанк |
33512 |
832414 |
798371 |
12,1 |
16,8 |
|
11 |
47 |
"Ажіо" |
22049 |
295356 |
352733 |
12,0 |
16,3 |
|
12 |
28 |
"Біг Енергія" |
27796 |
598474 |
633265 |
12,8 |
16,5 |
|
18 |
44 |
"Таврика" |
20597 |
347211 |
358989 |
11,0 |
16,4 |
|
14 |
37 |
Альфа-банк |
11975 |
365235 |
446267 |
16,6 |
16,3 |
|
15 |
36 |
"Київ" |
23832 |
396515 |
469664 |
13,9 |
16,8 |
|
16 |
73 |
Промекономбанк |
7490 |
177504 |
195197 |
14,0 |
16,6 |
|
17 |
87 |
"Золоті ворота" |
4697 |
133270 |
144144 |
14,2 |
16,4 |
|
18 |
90 |
Реал банк |
6923 |
129364 |
155163 |
14,6 |
16,6 |
|
19 |
88 |
Ікар - банк |
7478 |
129281 |
153592 |
14,2 |
16,8 |
|
20 |
100 |
Агробанк |
6700 |
109545 |
122986 |
12,4 |
16,5 |
Таблиця 2.
Статистичні дані по банкам за станом на 01.04.2004
|
№ |
№ рейт. |
Банк |
Чист.проц. дохід |
П |
А |
%п |
%а |
|
1 |
3 |
Промінвестбанк |
113256 |
6952543 |
6391888 |
12,7 |
15,6 |
|
2 |
5 |
Укрсоцбанк |
53945 |
4576909 |
4045131 |
12,8 |
15,8 |
|
3 |
7 |
Укрсиббанк |
56665 |
3584688 |
3412708 |
13,3 |
15,6 |
|
4 |
6 |
Укрексім |
56038 |
3761051 |
3297397 |
12,0 |
15,4 |
|
5 |
1 |
"Аваль" |
107388 |
9524413 |
8758279 |
12,8 |
15,2 |
|
б |
24 |
"Хрещатик" |
8699 |
763427 |
742786 |
13,9 |
15,5 |
|
7 |
12 |
Правекс-банк |
13503 |
1239816 |
1109064 |
12,7 |
15,4 |
|
8 |
17 |
"Форум" |
18610 |
1153040 |
1185442 |
14,4 |
15,6 |
|
9 |
22 |
"Укрпромбанк" |
21561 |
1080080 |
1159978 |
15,0 |
15,8 |
|
10 |
23 |
Вабанк |
10237 |
819883 |
747048 |
13,1 |
15,7 |
|
11 |
47 |
"Ажіо" |
6087 |
232444 |
254483 |
14,5 |
15,6 |
|
12 |
28 |
"Біг Енергія" |
5956 |
629448 |
691154 |
16,4 |
15,8 |
|
13 |
44 |
"Таврика" |
7703 |
345689 |
392322 |
15,8 |
15,9 |
|
14 |
37 |
Альфа-банк |
5449 |
462913 |
464276 |
14,8 |
15,9 |
|
15 |
36 |
"Київ" |
6188 |
534766 |
519785 |
14,5 |
16,1 |
|
16 |
73 |
Промекономбанк |
2176 |
163099 |
159753 |
14,3 |
16,0 |
|
17 |
87 |
"Золоті ворота" |
1570 |
242482 |
240619 |
14,9 |
15,7 |
|
18 |
90 |
Реал банк |
1963 |
128288 |
152808 |
17,3 |
15,8 |
|
19 |
88 |
Ікар-банк |
2091 |
116203 |
132954 |
16,5 |
16,0 |
|
20 |
100 |
Агробанк |
2959 |
126197 |
146527 |
16,1 |
15,9 |
У результаті рішення системи для коленої групи банків були одержані залежності %а під %н:
- для 1 групи: %а = 16,554 - 0,076 • %n ;
- для 2 групи: %а = 18,939 - 0,223 • %n;
- для 3 групи: %а = 17,510- 0,095 • %n;
- для 4 групи: %а = 18,961 - 0,184 • %n.
Отримані результати можна пояснити таким чином: відповідно до офіційної статистики значення середньозважених процентних станок по портфелю кредитні і депозитів у цілому по банківській системі України на 01.01.2004 складали 16,1 і 7,9% відповідно, а па 01.04.2004 - 15,5 і 8,1 відповідно. Тобто, у цілому по банківській системі разом зі зростанням процентних станок по депозитам відбувалося зменшення процентних станок по кредитам. Звідси і вийшла зворотна залежність між % а і % п, що знайшла своє відображення у запропонованій моделі.
Далі були зроблені розрахунки для кожної групи банків %а на підставі наявних статистичних даних щодо %п. При цьому приховувалося, що розрахункова %а не повинна бути менше облікової станки НБУ. яка на цей час складала 7%. Крім того, для кожної моделі, щоб оцінити її адекватність, були розраховані мат очікування (М), середньоквадратичне відхилення (?) і стандартне відхилення (V). Результати розрахунків представлені у таблицях 3 - (і, крім того, для кожної групи банків були побудовані графіки відхилений розрахункових даних від статистичних (рис. 1 -4), які свідчать, що отриману модель залежності %а від %п для кожної групи банків можна вважати прийнятною.
Таблиця 3.
Зіставлення розрахункових і статистичних даних для банків 1 групи
|
№ банка |
дата |
№ |
%п |
% а |
%ар |
|
1 |
01.01.2004 |
1 |
7,3 |
15,8 |
15,999 |
|
01.04.2004 |
2 |
12,7 |
15,6 |
15,583 |
|
|
2 |
01.01.2004 |
3 |
8,2 |
16,5 |
15,926 |
|
01.04.2004 |
4 |
12,8 |
15,8 |
15,577 |
|
|
3 |
01.01.2004 |
5 |
10,7 |
16,1 |
15,733 |
|
01.04.2004 |
6 |
13,3 |
15,6 |
15,540 |
|
|
4 |
01.01.2004 |
7 |
6,3 |
15,9 |
16,074 |
|
01.04.2004 |
8 |
12,0 |
15,4 |
15,636 |
|
|
5 |
01.01.2004 |
9 |
9,1 |
15,6 |
15,859 |
|
01.04.2004 |
10 |
12,8 |
15,2 |
15,572 |
|
|
М |
10,5 |
15,75 |
15,75 |
||
|
S |
0,366 |
0,199 |
|||
|
d |
0,287 |
Таблиця 4.
Зіставлення розрахункових і статистичних даних для банків 2 групи
|
№ банка |
дата |
№ |
%п |
%а |
%ар |
|
6 |
01.01.2004 |
1 |
12,6 |
16,7 |
16,128 |
|
01.04.2004 |
2 |
13,9 |
15,5 |
15,832 |
|
|
7 |
01.01.2004 |
3 |
11,4 |
16,4 |
16,395 |
|
01.01.2004 |
4 |
12,7 |
15,4 |
16,111 |
|
|
8 |
01.01.2004 |
5 |
11,1 |
16,2 |
16,463 |
|
01.04.2004 |
6 |
14,4 |
15,6 |
15,724 |
|
|
9 |
01.01.2004 |
7 |
13,3 |
16,4 |
15,972 |
|
01.04.2004 |
8 |
15,0 |
15,8 |
15,602 |
|
|
10 |
01.01.2004 |
9 |
12,1 |
16,8 |
16,245 |
|
01.04.2004 |
10 |
13,1 |
15,7 |
16,029 |
|
|
М |
13,0 |
16,05 |
16,05 |
||
|
s |
0,513 |
0,279 |
|||
|
d |
0,402 |
Таблиця 5.
Зіставлення розрахункових і статистичних даних для банків З групи
|
№ банка |
дата |
№ |
%п |
%а |
% ар |
|
11 |
01.01.2004 |
1 |
12,0 |
16,3 |
16,4 |
|
01.04.2004 |
2 |
14,5 |
15,6 |
16,1 |
|
|
12 |
01.01.2004 |
3 |
12,8 |
16,5 |
16,3 |
|
01.04.2004 |
4 |
10,4 |
15,8 |
16,0 |
|
|
13 |
01.01.2004 |
5 |
11,0 |
16,4 |
16,5 |
|
01.04.2004 |
6 |
15,8 |
15,9 |
16,0 |
|
|
14 |
01.01.2004 |
7 |
16,6 |
10,3 |
15,9 |
|
01.04.2004 |
8 |
11,8 |
15,9 |
16,1 |
|
|
15 |
01.01.2004 |
9 |
13,9 |
16,8 |
16,2 |
|
01.04.2004 |
10 |
14,5 |
10,1 |
16,1 |
|
|
М |
14,2 |
16,16 |
16,16 |
||
|
s |
0,366 |
0,176 |
|||
|
d |
0,279 |
Таблиця 6.
Зіставлення розрахункових і статистичних даних для банків 4 групи
|
№ банка |
дата |
№ |
%п |
%а |
%ар |
|
16 |
01.01.2004 |
1 |
14,0 |
16,6 |
16,4 |
|
01.04.2004 |
2 |
14,3 |
16 |
16,3 |
|
|
17 |
01.01.2004 |
3 |
14,2 |
16,4 |
16,3 |
|
01.04.2004 |
4 |
14,9 |
15,7 |
16,2 |
|
|
18 |
01.01.2004 |
5 |
14,6 |
16,6 |
16,3 |
|
01.04.2004 |
6 |
17,3 |
15,8 |
15,8 |
|
|
19 |
01.01.2004 |
7 |
14,2 |
16,8 |
16,4 |
|
01.04.2004 |
8 |
16,5 |
16 |
15,9 |
|
|
20 |
01.01.2004 |
9 |
12,4 |
16,5 |
16,7 |
|
01.04.2004 |
10 |
16,1 |
15,9 |
16,0 |
|
|
М |
14,9 |
16,23 |
16,23 |
||
|
з |
0,392 |
0,261 |
|||
|
а |
0,324 |
Рис 1.
Відхилення розрахункових даних від статистичних у банків 1 групи

Рис 2.
Відхилення розрахункових даних від статистичних у банків 2 групи

Рис 3.
Відхилення розрахункових даних від статистичних у банків 3 групи

Рис 4.
Відхилення розрахункових даних від статистичних у банків 4 групи

Розроблену модель можна використовувати для рейтингової оцінки банків. Для перевірки цієї можливості, а також і адекватності отриманої моделі у часі було розглянуто статистичні дані декількох банків (табл.7) і визначено оптимальний % а для кожного з них, а також їх рейтингову оцінку (табл.8).
При цьому, рейтингова оцінка проводилася шляхом зіставлення статистичної %а і розрахункової, шляхом підстановки в кожну з чотирьох моделей %п. Та розрахункова %а, для якої відхилення під статистичної %а мінімальне і назначало для даного банку його оцінку, а також оптимальну %а.
Таблиця 7
Статистичні дані по банкам за станом на 01.01.2001 та 01.04.2004
|
Дата |
№ рейт. |
Банк |
Чист. проц. дохід |
П |
А |
%п |
%а |
|
01.01.01 |
2 |
Приватбанк |
512571 |
8604111 |
8169813 |
9,0 |
15,8 |
|
01.04.01 |
13 |
Перший Український Міжнародний Банк |
23610 |
1181651 |
1230366 |
14,3 |
15,7 |
|
01.01.04 |
09 |
"Базис" |
13905 |
178706 |
146018 |
5,8 |
16,6 |
|
01.04.04 |
69 |
"Базис" |
2614 |
142929 |
159090 |
15,8 |
15,8 |
Таблиця 8
Визначення оптимальної %а й рейтингова оцінка банків
|
Дата |
№ рейт. |
Банк |
Розрахункові % а |
Рейтингова оцінка |
|||
|
гр.1 |
гр.2 |
гр.3 |
гр.4 |
||||
|
01.01.04 |
2 |
Приватбанк |
15,86 |
16,92 |
16,65 |
17,30 |
1 група |
|
01.04.04 |
13 |
Перший Український Міжнародний Банк |
15,46 |
15,74 |
16,15 |
16,32 |
2 група |
|
01.01.04 |
69 |
"Базис" |
16,11 |
17,65 |
16,96 |
17,90 |
3 група |
|
01.04.04 |
69 |
"Базис" |
15,35 |
15,43 |
16,02 |
16,06 |
3 група |
2. МЕТОДИКИ АНАЛІЗУ ДІЯЛЬНОСТІ КОМЕРЦІЙНОГО БАНКУ
При проведенні аналізу банківської діяльності важливо використовувати таку методику, яка б найбільшою мірою сприяла його ефективності.
Під методикою варто розуміти сукупність способів, правил і заходів щодо найбільш доцільного виконання якої-небудь роботи. В аналізі банківської діяльності методика являє собою сукупність аналітичних способів і правил дослідження діяльності банку, спрямованих на дослідження різних об'єктів аналізу, що допомагають одержати найбільш повну оцінку про фінансову стійкість і прибутковість банку, що б бралося до уваги керівництвом банку при прийнятті управлінських рішень щодо вироблення подальшої політики розвитку банку.
Для одержання об'єктивних результатів, що реально служили б підвищенню ефективності функціонування банку, при аналізі банківської діяльності доцільно виділити такі етапи його проведення:
на першому етапі уточнюються об'єкти, мета і задачі аналізу, складається план аналітичної роботи;
на другому етапі розробляється система різних показників, за допомогою яких характеризується об'єкт аналізу;
на третьому етапі збирається і готується до аналізу необхідна інформація (перевіряється її точність, приводиться в порівнянний вид і т.д.);
на четвертому етапі проводиться порівняння фактичних результатів з показниками плану за звітний період, фактичними даними минулих років (періодів) з основними показниками банків-конкурентів і т.д.;
на п'ятому етапі проводиться детальний аналіз зібраної інформації за допомогою різних методів аналізу банківської діяльності;
на шостому етапі виявляються відхилення фактично отриманих результатів від планових або нормативних, а також причини таких відхилень і можливості по їхньому усуненню (або поліпшенню);
на сьомому етапі на підставі результатів аналізу пропонуються рекомендації з удосконалення управління активно-пасивними операціями (зміна структури активів і пасивів з мінімальним рівнем різних банківських ризиків).
При проведенні аналізу банківської діяльності необхідно мати аналітичні матеріали, які б дозволили одержати достовірну, повну і всебічну інформацію про банк: його фінансове становище і результати його діяльності. Такою інформацією насамперед є: баланс банку і звіт про прибутки і збитки.
2.1 Основні методики оцінки доходів
Для оцінки доходів та видатків, необхідно спочатку визначити питому вагу груп доходів та видатків в загальній сумі доходів та видатків. Для цього ми розносимо доходи та видатки по вищезазначених групах та визначаємо їх питому вагу в валових доходах та витратах.
Зростання процентних доходів переважно може відбуватися внаслідок двох факторів:
* збільшення середніх залишків за виданими кредитами;
* підвищення середнього рівня застосовуваної процентної ставки за кредит.
Вплив першого фактору на одержання банком доходу може бути визначений формулою:
DVP = (V1 – V2)*r1,
в якій V2 — середні залишки за виданими кредитами в періоді, що аналізується;
V1 — те ж саме в попередньому періоді;
r1 — середній рівень процентної ставки в попередньому періоді.
Виміряти вплив зміни середнього рівня процентної ставки на дохід банку можна згідно із формулою:
DRr=(r2 – r1 )*V1,
в якій r2 — середній розмір процентної ставки, що береться за користування кредитом у періоді, який аналізується;
r1 — середній розмір процентної ставки, що є платою за користування кредитом у попередньому періоді;
V1 — середні залишки за виданими кредитами в попередньому періоді.
Вплив обох факторів на динаміку банківського доходу можна виразити за допомогою формули: DP=DPV*DRr.
Проведений аналіз дає фінансовому менеджерові можливість здійснювати кількісну оцінку того, який з двох факторів більшою мірою відобразиться в процентному доході.
Зростання середнього рівня позичкового процента, зумовлене підвищенім частки високо ризикових кредитів і простроченою заборгованістю, потребує поглибленого додаткового аналізу з метою забезпечення ліквідності банку й фінансової стійкості банку.
Наступний етап аналізу процентних доходів полягає в дослідженні їхньої структури. В цілому серед українських банків останніми роками спостерігається тенденція зниження частки процентних доходів в їхньому загальному обсязі. При цьому непроцентні доходи збільшуються переважно за рахунок розширення обсягу касово-розрахункового обслуговування. З одного боку, це явище позитивне, бо свідчить про розширення кількості клієнтів, збільшення кількості послуг за розрахунково-касовим обслуговуванням. З іншого боку, ці цифри також свідчать про нерозвиненість в Україні ринку послуг взагалі і факторингових, лізингових, трастових, які посідають істотне місце в діяльності західних банків, зокрема.
В аналізі та управлінні процентними доходами, на наш погляд, слід виходити з деяких висновків.
По-перше, зростання надходжень процентів за короткостроковими, позиками порівняно з довгостроковими в умовах інфляції слід розцінювати позитивно, тому що лише короткострокові й над короткострокові вкладення можуть виявитися ефективними і визначити швидкість знецінення національної грошової одиниці.
По-друге, з точки зору перспективи не можна повністю відмовитися довгострокових позик, які найбільшою мірою зазнають негативного впливу інфляції. Участь банку в довгострокових проектах може в майбутньому принести значні доходи, що окупить теперішні втрати. За довгостроковими позиками доцільно встановлювати "плаваючу" процентну ставку. Оптимальна частка процентів, що надходить за довгостроковими позиками, в загальному обсязі процентних доходів, очевидно, не повинна перевищувати 15% для банків, які не займаються інвестиційною діяльністю.
По-третє, питома вага надходжень за простроченими позиками в загальному обсязі процентних доходів не повинна перевищувати 2—3%. Якщо і рівень не втримується, то його перевищення можна кваліфікувати як сигнал про незадовільний стан якості кредитного портфеля банку і можливу загрозу для ліквідності й фінансової стійкості банку.
По-четверте, зростання доходів від міжбанківських кредитів свідчить про спеціалізацію банку на міжбанківських операціях. Міжбанківські позики - істотне джерело надходження процентів, але менш дохідне, ніж короткострокові позики комерційним структурам, які одночасно є і ризиковішими. Здійснений аналіз процентних доходів показано на схемі 1:
Схема 1

















2.2 Оцінка витрат
План рахунків комерційного банку передбачає поділ операційних витрат на декілька груп, для яких відкриваються самостійні балансові рахунки другого порядку: відсотки, сплачені за притягнуті кредити (рах. 70201), відсотки, сплачені юридичним особам по запозичених засобах (рах. 70202), відсотки, сплачені фізичним особам по депозитах (рах. 70203), витрати по операціях із цінними паперами (рах. 70204), витрати по операціях з іноземною валютою (рах. 70205), інші витрати (рах. 70209).
Витрати на утримання апарата керування враховуються на рахунку 70207, а штрафи, пені і неустойки - на рахунку 70208.
Таким чином, нова система урахування дає більш детальне угруповання витрат по якісній ознаці, дозволяє розділити процентні і безпроцентні витрати, тобто забезпечує більш повну інформацію про діяльність банку.
Деякі витрати можуть ставитися на видаткові рахунки банку, тобто на собівартість його операцій, у межах Законодавчих норм. Це - витрати на відрядження, компенсації за службові поїздки на особистих автомобілях, представительські витрати, витрати на рекламу, процентні витрати на оплату міжбанківського кредиту.
Виділяється також група витрат, що ставиться безпосередньо на рахунок «Прибутку і збитки звітного року»: збитки від розкрадань, прорахунки і недостачі по касових операціях, збитки від прийняття неплатоспроможних і фальшивих грошових знаків і монети. Всі ці витрати по утриманню подають прямі збитки банку.
Таким чином для оцінки видатків необхідно провести структурний аналіз, котрий допоможе визначити питому вагу кожної групи видатків в загальній їх суммі.
3. ВИКОРИСТАННЯ НОВИХ МЕТОДИК ОЦІНКИ ДОХОДІВ ТА ВИТРАТ КОМЕРЦІЙНОГО БАНКУ
В наш час на Україні банківська система розвивається, змінюються також і методи оцінки ефективності діяльності комерційного банку. Показники, що показують рівень та якість доходів, витрат та прибутку замінюються на нові – більш сучасніші, які краще відповідають сучасним вимогам української банківської системи. Вітчизняні фахівці розробляють їх, спираючись на міжнародний досвід.
3.1 Оцінка витрат
Фахівці банків світу оцінюють ризик накладних витрат банку. Ризик накладних витрат банку - це ризик, при якому темпи росту непроцентних витрат будуть випереджати темпи зростання доходів банку і, як результат, зниження прибутковості і рентабельності роботи банку. Банк може досягти цілі росту комерційних результатів діяльності тільки в тому випадку, якщо він здійснює суворий контроль за своїми витратами.
Стратегія банку в цьому напрямку включає:
• пошук щодо дешевих коштів на фінансових ринках;
• досягнення економії при існуючому обсязі ресурсів і рості обсягу виробництва;
• економію при збільшенні числа банківських продуктів і послуг, наданих одним банківським робітником, ріст продуктивності праці, взаємозамінність, економію на поєднанні функцій, полівалентність;
• економію як результат досвіду робітників банку. Західні експерти підтверджують, що крім освіти банкіру потрібно ще, як мінімум, 5 років, щоб стати гарним менеджером по керуванню кредитним портфелем;
• забезпечення темпів росту, що випереджають, доходів банку над темпами росту його витрат;
• проведення оптимальної політики ціноутворення на банківські продукти і послуги як результат поглибленого вивчання витрат банку і контролю за його діяльністю.
Одним із показників, використовуваних для оцінки результативності політики банку по керуванню ризиком непроцентних прибутків і витрат, є коефіцієнт продуктивності праці. Він має такий вид:
Кпр = Непроцентні витрати / Доходи банку = Непроцентні витрати / (Чистий процентний доход + Інші доходи)
Критеріальний рівень даного коефіцієнта складає біля 60%. Якщо банком управляють добре, то коефіцієнт знижується приблизно до рівня 55%, але знижувати його до 50% уже небезпечно, тому що значну долю в чисельнику формули займає заробітна плата банківських робітників. Якщо вона буде знижуватися, те, природно, банк загубить частину робітників, а слідом за цим і долю ринку.
3.2. Аналіз доходності банку
Визначення доходності власного капіталу західного банку здійснюється за формулою: ROE = Net income : Equity
де ROE (return on equity) - рентабельність капіталу;
Net income - чистий прибуток;
Equity - власний капітал банку (прості акції + нерозподілений прибуток).
Це загальна оцінка діяльності банку, що дозволяє порівняти ефективність функціонування різних банків (у тому числі приналежним різним країнам).
Використовуючи факторний аналіз, ROE можна уявити у вигляді рівняння з тим, щоб визначити чинники, що впливають на його рівень
ROE=ROA•Lf
де ROA (return on assets) - чистий доход активів,
Lf (leverige factor) - фінансовий важіль, мультиплікатор капіталу (розраховується як відношення активів до капіталу банку).
Таким чином формула для розрахунку ROE має такий вид:
ROE = ROA • Lf = (Чистий доход/ Активи) * (Активи / Капітал ) = (Чистий доход / Капітал )
Більш докладний аналіз факторів, що роблять вплив на рівень ROA, проведемо з використанням формули:
ROA =( Net income/ Total income)*( Total income/ Assets) = (Чистий прибуток/ Валовий прибуток)*( Валовий прибуток/ Активи)
Отже, ми визначили 3 основних елемента, що визначають прибуткову роботу банку. Такий підхід дозволяє аналізувати, контролювати й управляти їхнім станом і в кінцевому рахунку здійснювати найбільше ефективне керування банком із позицій доходності його діяльності.
Цим же цілям слугує і відома формула Дюпона:
roe = (Net income/ Total income)*( Total income/ Assets)*( Assets/ Equity) = (NI/ TI)*( TI/А)*(А/ Equity)
Формула Дюпона – це єфективна моддель контроля і керування діяльністю комерційного банку .
Аналіз проводиться за визначений період (наприклад, за 5 років) із тим, щоб визначити динаміку зміни значень даних факторів. По відхиленнях приймаються міри, спрямовані на підвищення ефективності діяльності банку.
Отже, основною ціллю моделювання за допомогою формули Дюпона є аналіз найважливіших факторів, що визначають прибутковість роботи конкретного банки, і порівняння отриманих результатів із даними його конкурентів.
У банківській справі особливе значення надаєтся аналізу впливу фінансового важеля, оскільки його значення в банківському секторі значно вище, чим, наприклад, у промисловості. Скажемо, при однаковому рівні ROE у банку і промислового підприємства (15%) доходність на активи істотно різниться (припустимо, 0,6% у банку і 6% у підприємства), але в цьому випадку і фінансовий важіль банку, як відношення активів до власного капіталу, буде в 10 разів вище (25 у порівнянні з 2,5) . Це пов'язано з тим, що загальний рівень ризику банка визначається насамперед операційним ризиком і фінансовими ризиками. При цьому якщо операційному ризику щодо невисокий, те банк може проводити більш ризиковану політику, тобто виконувати операції з підвищеним рівнем фінансового ризику. Тому в банківській справі банкіри можуть дозволити собі високий рівень фінансового важеля. Таким чином, у банківському бізнесі надзвичайно важливо дотримувати рівноваги між операційним і фінансовим ризиками, що дозволить одержати оптимальний рівень загального ризику банку.
ВИСНОВОК
Досить дискусійною є проблема пов'язана з банківською таємницею. У загальній схемі це є протидія легалізації (відмиванню) доходів, здобутих злочинним шляхом. З одного боку, закони, що гарантують певний рівень таємності у діяльності фінансових закладів, перешкоджають правоохоронним органам виявляти злочини у зазначеній сфері, відстежувати злочинне походження доходів; з іншої - банківська таємниця є важливим виміром як особистої, так і корпоративної таємниці. «Приховування фінансової інформації від конкурентів постачальників, кредиторів і клієнтів - право, яке ділові люди сприймають із самого початку..., конфіденційність і розумне використання інформації є загальноприйнятим у бізнесі як компонент правил гри в ринкову економіку».
Інститут банківської таємниці в банківському праві є одним із недостатньо розроблених. Аналіз правової літератури дозволяє зробити висновок про те, що стосовно проблеми правового режиму банківської таємниці до теперішнього часу це склалось єдиної точки зору. Це стосується як визначення сутності банківської таємниці, так і її змісту та порядку падання відомостей, то містять банківську таємницю.
У літературі правовий режим визначається як порядок регулювання, реалізований через комплекс правових засобів, що характеризують особливе поєднання взаємодіючих дозволів, заборон, з також позитивних зобов'язань, що зумовлюють особливу спрямованість регулювання.
При характеристиці правового режиму банківської таємниці необхідно враховувати деякі загальні положення, які полягають у тому, що:
• поняття банківської таємниці є одним із видів правових режимів інформації, що має обмежений доступ;
• режим банківської таємниці співвідноситься з правовими режимами інших таємниць (службової, комерційної, державної, слідчої тощо);
• підпорядковуючись загальним правилам, режим банківської таємниці наділений спеціальними правилами та процедурами, регламентованими па законодавчому рівні. За останні десятиліття досить швидко зросла кількість країн, що пропонують захист у вигляді банківської таємниці. Відповідно до традиційної форми захисту клієнтів переконували в тому, що банк гарантує конфіденційність, а у випадку розголошення співробітниками банку відомостей, що складають банківську таємницю, клієнти мають право на відшкодування банком заподіяних збитків.
Не виникає ніяких сумнівів стосовно того, що банківська таємниця може бути ефективним засобом приховування злочинних доходів. Проте важливим є аналіз низки чинників, що ускладнюють протидію використання банківської таємниці у злочинних схемах. Надзвичайно важливо зрозуміти, що банківська таємниця може набувати різноманітних форм, які мають різне походження, функції, ступені захисту, у тому числі:
• можуть існувати абсолютно анонімні рахунки, про які ніхто в банку може і не підозрювати, якщо тільки самі клієнти не розкриють інформацію про те, хто є дійсним власником таких рахунків. Певною мірою вони дають можливість приховувати грошові кошти, здобуті в результаті скоєння злочину, проте у зв'язку з тим, що подальший переказ коштів із цих рахунків забороняється, їх значення надзвичайно низьке.
Таким чином, вимоги щодо збереження банківської таємниці можуть створювати достатньо серйозні проблеми у виявленні фінансових операцій з легалізації злочинних доходів.
Незважаючи на те, що таємність може бути ознакою обману, а послуги з надання фінансової таємності - засобом прикриття незаконної діяльності, зазначені послуги можуть використовуватися бізнесменами для цілком легальних і законних цілей. Іншими словами, ті самі правові, фінансові та бухгалтерські інструменти, що приховують нелегальну економічну діяльність, сприяють зростанню і розвитку офіційної економіки. У випадку коли використання банківської таємниці сприяє проведенню сумнівних операцій, коли зловживання такими послугами створює труднощі для економіки, а також, коли такі послуги сприяють хабарництву та корупції, тобто коли таємність є ознакою обману, виникає необхідність у відповідних діях. При цьому регуляторні органи повинні проводити свою політику таким чином, щоб механізм виявлення зловживань щодо використання банківської таємниці не спричиняв значних труднощів і витрат для тих, хто забезпечує і використовує такі послуги в законному і легальному порядку.
Фінансова індустрія намагається створити безпечний економічним простір для того, щоб діяти законно і створювати репутацію в суспільстві, засновану на довірі та надійності. Безсумнівно, послуги банківської таємниці посіли важливе місце у більшості фінансових шахрайств і злочинів. Саме з цієї причини наведені логічні обґрунтування є предметом різних нападок. Незважаючи на це, закони про банківську таємницю мають тривалу і цілком законну історію, а всі наведені пояснення більшою чи меншою мірою справедливі. Тому важливим завданням є контроль над зловживанням фінансовими послугами без застосування покарання до тих, хто використовує ці послуги для легальних і законних цілей.
Головний висновок, який можна зробити на основі вищевикладеного, торкається оцінки доходів, видатків комерційного банку загалом. Різні показники можуть бути корисні для оцінки діяльності банків і її регулювання.
Розглянуті в роботі методики аналізу доходів та видатків комерційних банків, що використовуються в українській практиці і за кордоном, свідчать про те, що всі вони по суті оцінюють одні і ті ж об'єктивно існуючі чинники, що впливають на функціонування банку. Однак всі ці методики відрізняться один від одного безліччю конкретних підходів до обліку цих чинників, набором чинників, системою конкретних оцінних показників, що відображають різні сторони банківської діяльності; оцінкою значущості тих або інших чинників в загальній сукупності і відповідно визначенням їх критеріальних значень; системою угрупування оцінних показників в єдину модель і отримання результату оцінки доходів, видатків та прибутку банку загалом.
Всі підходи до оцінки фінансового становища комерційного банку можна поділити на емпіричні, економіко-математичні, статистичні і змішаних.
Емпіричний підхід передбачає, що відбір, угрупування, зважування і визначення критеріальних значень чинників аналізу доходів, видатків та прибутку банку проводяться на основі суб'єктивної думки однієї або групи експертів. Таким чином можна сказати, що емпіричний підхід являє собою алгоритмізацію думок відповідальних працівників банків і фахівців в області оцінки фінансового становища останніх. Відомо, що саме експертний підхід в цей час є переважаючим не тільки в українській, але і в світовій практиці. Причиною подібного підходу є:
складність формалізації і оцінки в кількісному вираженні окремих сторін діяльності банку;
якісна різнорідність чинників, що впливають на кінцеві результати роботи банків, що ускладняє визначення ваги, значущості кожного чинника в загальній їх сукупності і оцінки їх математичним шляхом.
Економіко-математичні і статистичні методи оцінки фінансового становища комерційного банку передбачають широке використання математичного інструментарію при створенні системи оцінних показників. Сучасна практика аналізу роботи банків свідчить про те, що подібного роду методики в чистому вигляді, як правило, не зустрічаються, а застосовуються нарівні з емпіричними, т. е. банки створюють звичайно методики, в основі яких лежить змішаний підхід.
Таким чином, в світі не існує єдиного підходу до проведення подібної роботи, але необхідність і доцільність аналізу не викликає сумнівів. Саме тому необхідно консолідувати зусилля всіх зацікавлених сторін по широкому застосуванню на практиці існуючих методів оцінки доходів, видатків та прибутку та удосконаленням існуючих підходів до їх аналізу.
ЛІТЕРАТУРА
О. Користін “банківська таємниця та легалізація злочинних
доходів//Підприємство, господарство і право ” 2005р. №7.- с.39-43
2. Божко В.”Використання показників доходів та витрат/ Економіка. Фінанси.
Право. – 2004р. №10 – ст. 17- 23”
Гладких Д. “Аналіз структури доходів і витрат банків України за підсумками
2004р. Вісник НБУ”
Білецька Н. “Розрахунок доходів та витрат банку внаслідок впровадження
національної системи масових електронних платежів – 2002р.”
Гладких Д. “Особливості планування доходів та витрат банківської установи
// Вісник НБУ ” 2001р. Ст.6-8
6. Примостка Л.О. Фінансовій менеджмент банку: Навч. посібник.-
К.:КНЕУ, 1999-280с.
7. Операції комерційних банків /Р.Коцовська, В.Ричаківська, Г.Табчук,
Я.Грудзевич, М. Вознюк, - 3-еє вид,- К.: Алеута; Львів: ЛБІ НБУ, 2003. –
500ст.
8. Щомісячний науково - практичний журнал Національного банку
"Вісник Національного банку України" №3 (97).
9. Банківський менеджмент: Навч. посіб. /О.А. Кириченко.І.В. Гіленко.С.Л.
Роголь та ін.;За ред. О.А. Кириченка. - 3-тє вид., перероб. ідоп. -
К.:3нання Прес,2002. - 438 с.
10. Паламарчук В.О., Бойченко О.К. Банківська діяльність за умов
перехідної економіки: економіко-правові аспекти // Фінанси України. –
1998. – №3. – c. 62.
11. Вовчак О.Д. Роль банків в економіці України // Фінанси України. – 1999.
№10. – c. 15.
12. Бутинець Ф. Ф., Герасимович А. М. “Аналіз діяльності комерційного
банку.” Житомир: РУТА, 2001 р. – 324 c.
13. Банківські операції: Підручник. - 2-ге вид., випр. і доп./ А.М. Мороз, М.І.
Савлук, М.Ф. Пуховкіна та ін.; За ред. д-ра екон. наук, проф. А.М.
Мороза. – К.:КНЕУ,2002. - 476 с.
14. Васюренко О.В. Банківські операції: Навч. посіб. - 3-тє вид., стер. - К.: Т-
во "Знання", КОО, 2002. - 255 с. - (Вища освіта XXI століття).
15. Закон України "Про банки і банківську діяльність" із змінами та
доповненнями від 07.12.2000 р. №2121-111.
16. Примостка Л.О. Фінансовій менеджмент банку: Навч.посібник.-К.:КНЕУ,
1999-280с.
17. Кредитний ризик комерційного банку: Навч. посіб./ В.В.Вітлінський,
О.В.Пернарівський, Л.С.Наконечний, Г.І.Великоіваненко; за ред.
В.В.Бітлінського. -К.: Т-во „Знання",КОО.2000.-251с.
18. Тосунян Г.А. Місце банківського права в системі російського права //
Юридичний світ. – 1998. - №8.
19. Олійник О.М. Теоретичні основи банківського права: Автореф. Дис…дра
юрид. наук. – М.,1998р.
20. В.П. Божко, Є.В. Попов “ Фінанси” (Використання показників доходів та
витрат) 2004р.