Скорость вращения галактик
Скорость вращения галактик
Скорость вращения галактик
Под скоростью вращения галактики подразумевается скорость вращения различных компонентов галактики вокруг её центра. Данная скорость — это суммарная скорость, приобретённая в ходе различных процессов. Скорость вращения галактики следует отличать от круговой скорости V>c>, которая обусловлена только силой гравитации и равна, по определению, необходимой скорости тела, движущегося по кругу под действием силы притяжения к центру. Скорость же вращения в общем случае обусловлена также радиальным градиентом давления P межзвёздного газа.

Здесь Φ — гравитационный потенциал, а ρ>g> — плотность газа.
Для разных компонентов галактики скорость вращения оценивается по-разному. Для газа — по доплеровскому смещению эмиссионных линий. Для звёзд — по доплеровскому смещению абсорбционных линий звёзд. Схема получения скорости вращения следующая.
Непосредственно получаемая из наблюдений скорость — это сумма скорости движения галактики как целого и скорости внутреннего движения. Обычно скорость галактики в целом (V>0>) отождествляется со скоростью движения центральной области. Для далёких галактик эта скорость обусловлена хаббловским расширением Вселенной, собственная скорость пренебрежимо мала.
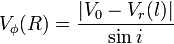
Скорость, получившаяся после учёта скорости движения галактики как целого, — скорость по лучу зрения (V>r>), и чтобы вычислить скорость вращения галактики на данном расстоянии, необходимо учесть эффекты проекции. Для этого необходимо знать угол наклона оси галактики к лучу зрения i, а также угол φ между большой осью галактики и прямой, проходящей через центр галактики и наблюдаемую точку. Таким образом, чтобы перейти от V>r> к V>φ>, необходимо знать пять параметров: скорость движения галактики V>0>, углы i и φ, две координаты центра галактики (относительно любой точки изображения).
Если галактика выглядит асимметричной, то задача упрощается, так как углы ориентации и положения центра можно вычислить по распределению яркости диска. И если щель спектрографа расположить вдоль её большой оси, можно получить:

где l — расстояние от центра галактики вдоль щели.
Однако наиболее полную информацию о движении в галактике даёт анализ поля скоростей — совокупности измерений лучевых скоростей для большого числа точек по диску галактики. Для получения поля скоростей применяют двумерную спектроскопию. Обычно применяется либо многоканальный приёмник, либо интерферометр Фабри — Перо. Радионаблюдения газа в линиях H I также позволяют получить двумерную картину распределения скоростей в галактике.
Движение газа и звёзд
Так как звёзды расположены далеко друг от друга и вероятность их столкновения мала, звёзды, как в галактиках, так и в скоплениях, представляют собой бесстолкновительную среду. Это легко показать. Будем называть столкновением двух звёзд случай, когда две звезды при сближении под действием силы гравитации изменят направление движения, сохранив при этом полную энергию. Тогда рассмотрим это сближение относительно центра масс звёзд. Для упрощения расчётов будем считать, что массы звёзд равны, и их скорости на начало сближения (формально на бесконечно большом расстоянии) тоже. Для первой оценки это вполне допустимое приближение. Запишем закон сохранения механической энергии:
,
где V — текущая скорость звёзд (скорости должны быть одинаковы из-за соображений симметрии), r — расстояние между звёздами, V>0> — скорость на бесконечности до взаимодействия, а G — гравитационная постоянная. Будем считать, что звёзды испытали столкновение, если в момент их сближения кинетическая энергия удвоилась.
Тогда, подставив значение прицельного параметра d в уравнение, написанное выше, получим:
.
Тогда диаметр сечения столкновения тел и, соответственно, площадь сечения взаимодействия равны:
,
.
Оценим характерное время столкновения для звёзд окрестностей Солнца (n = 3×10−56 см−3, а относительная скорость движения 20 км/с). Получим:
.
Полученное время больше времени жизни Вселенной на три порядка. И даже в звёздных скоплениях, где концентрация звёзд на три порядка больше, ситуация не улучшается. Заметим, что можно было бы провести более точный расчёт, с учётом закона сохранения импульса и т. д., но результаты получились бы схожими. Из бесстолкновительности среды напрашивается вывод о неравновесности системы и распределении случайных скоростей звёзд не максвелловским образом. Характерное время его установления должно быть много большим времени свободного пробега звезды. Однако в действительности всё оказалось гораздо сложнее.
Измерения показали, что звёзды, за исключением самых молодых, представляют собой частично «прорелаксировавшую» систему: распределение случайных скоростей звёзд максвелловское, но с различными дисперсиями по различным осям. Более того, в одном и том же объёме пространства наблюдается систематический, хотя и замедляющийся, рост случайных скоростей для старых звёзд. Таким образом, можно утверждать, что звёздный диск со временем нагревается
Данная проблема не решена окончательно, по-видимому, решающую роль играют всё же столкновения, но не со звёздами, а с массивными газовыми облаками.