Методы оценки запасов на предприятии
ФЕДЕРАЛЬНОЕ АГЕНТСТВО ПО ОБРАЗОВАНИЮ
Государственное образовательное учреждение высшего профессионального образования
Факультет экономический
Специальность Финансы и Кредит
Специализация Финансовый менеджмент
Методы оценки запасов на предприятии
Контрольная работа по курсу: Финансовая отчетность
2010
Оглавление
Введение
1. Материально-производственные запасы
1.1 Понятие и состав материально-производственных запасов в соответствии с действующим законодательством РФ
1.2 Требования, предъявляемые к учету материально-производственных запасов
2. Методы оценки материально-производственных запасов
2.1 Метод оценки: по себестоимости каждой единицы
2.2 Метод оценки: по средней себестоимости
2.3 Метод оценки: по себестоимости первых по времени приобретений (ФИФО)
3. Раскрытие информации о материально-производственных запасах в бухгалтерской отчетности
Заключение
Список использованных источников и литературы
Введение
Ни одно российское предприятие не обходится без применения материально-производственных запасов (МПЗ) в своей хозяйственной деятельности. Запасы представляют собой один из важнейших факторов обеспечения постоянства и непрерывности воспроизводства. Эту важную роль играют все составные части совокупного материального запаса, в том числе товарно-материальные ценности, находящиеся у предприятия отраслей обращения.
Непрерывность производства требует, постоянного наличия сырья и материалов, для полного удовлетворения потребностей производства в любой момент их использования. Контроль над этим обеспечивает правильный и своевременный учет МПЗ. Анализ этих данных учета имеет большое значение для эффективного финансового управления. Запасы могут составлять значительный удельный вес не только в составе оборотных активов, но и в целом в активах предприятия. Это может свидетельствовать о том, что предприятия испытывают затруднения со сбытом своей продукции, что в свою очередь может быть обусловлено низким качеством продукции, нарушением технологии производства и выбором неэффективных методов реализации. Нарушение оптимального уровня материально-производственных запасов приводит к убыткам в деятельности компании, поскольку увеличивает расходы по хранению этих запасов, отвлекает из оборота ликвидные средства, увеличивает опасность обесценения товаров и снижения их потребительских качеств.
Всестороннее изучение и правильное понимание сущности запасов товарно-материальных ценностей, их значения и роли в экономике предприятий, стоит в ряду важнейших проблем по экономии и рациональному использованию материальных ценностей страны и задач по совершенствованию материально-технического снабжения всех предприятий страны. Это определяет актуальность вопросов. Связанных с учетом производственных запасов на предприятиях.
Целью настоящей работы является, раскрытие теоретического аспекта материально-производственных запасов, описание методов оценки запасов.
Для достижения указанной цели, ставятся следующие задачи:
- материально-производственные запасы: раскрыть понятие, описать состав, требования предъявляемые к учету запасов;
- описать методы оценки материально-производственных запасов, с приведением примеров;
- описать, применительно к наименованию дисциплины «Финансовая отчетность», раскрытие информации о материально-производственных запасах в бухгалтерской отчетности.
1. Материально-производственные запасы
1.1 Понятие и состав МПЗ в соответствии с действующим законодательством РФ
Для осуществления бесперебойного процесса производства организации необходимо иметь в достаточном количестве различные производственные запасы. Они, как и другие оборотные средства, при потреблении полностью переносят свою стоимость на создаваемую продукцию, поэтому у хозяйствующих субъектов возникает необходимость в приобретении сырья и материалов для обеспечения производственных процессов.
Материально-производственные запасы (МПЗ) - понятие, неотъемлемо присущее экономике в целом и требующее адекватного отражения в бухгалтерском учете, применения в целях налогообложения.
Запасы - активы, предназначенные для продажи в ходе обычной деятельности или для производства товаров (услуг) для такой продажи, а также сырье и материалы, используемые в процессе производства. Запасы также включают недвижимость, предназначенную для перепродажи.1
Основным документом, регламентирующим порядок отражения в бухгалтерском учете операций с МПЗ, является Положение по бухгалтерскому учету "Учет материально-производственных запасов» (далее- ПБУ 5/01)2, и Методическими указаниями по бухгалтерскому учету материально-производственных запасов3. Вопросы учета и оценки в бухгалтерской отчетности сырья, материалов, готовой продукции, товаров и незавершенного производства рассматриваются в Положении по ведению бухгалтерского учета и бухгалтерской отчетности в Российской Федерации и иных нормативных актах по бухгалтерскому учету4.
В качестве материально-производственных запасов принимаются активы5:
- используемые в качестве сырья, материалов и т.п. при производстве продукции, предназначенной для продажи (выполнения работ, оказания услуг);
- предназначенные для продажи;
- используемые для управленческих нужд организации.
Готовая продукция является частью материально-производственных запасов, предназначенных для продажи (конечный результат производственного цикла, активы, законченные обработкой (комплектацией), технические и качественные характеристики которых соответствуют условиям договора или требованиям иных документов, в случаях, установленных законодательством).
Товары являются частью материально-производственных запасов, приобретенных или полученных от других юридических или физических лиц и предназначенные для продажи.
ПБУ 5/01 не применяется в отношении активов, характеризуемых как незавершенное производство и активов, используемых при производстве продукции, выполнении работ или оказании услуг либо для управленческих нужд организации в течение периода, превышающего 12 мес. или обычный операционный цикл, если он превышает 12 мес.
В связи с отсутствием в российских нормативных актах определения понятия "активы", соответственно, отсутствуют и общие критерии признания активов материально-производственными запасами.
Согласно ПБУ 5/01 формально признание материально-производственных запасов не связано с наличием у организации права собственности, хозяйственного ведения или оперативного управления. В то же время это Положение не позволяет четко определить момент признания в бухгалтерском учете запасов как определенного вида активов.
С одной стороны, производственные запасы можно признавать в учете независимо от наличия права собственности, с другой - нормы ПБУ 5/01 не устанавливают экономических критериев признания этой группы активов, а только через определение и порядок их оценки. Поэтому в связи с отсутствием четких норм в Положении организации вправе самостоятельно их толковать и, соответственно, определять порядок признания (или непризнания) производственных запасов в учете.
1.2 Требования, предъявляемые к учету МПЗ
Министерство финансов РФ ставит следующие задачи учета МПЗ6:
а) формирование фактической себестоимости запасов;
б) правильное и своевременное документальное оформление операций и обеспечение достоверных данных по заготовлению, поступлению и отпуску запасов;
в) контроль за сохранностью запасов в местах их хранения (эксплуатации) и на всех этапах их движения;
г) контроль за соблюдением установленных организацией норм запасов, обеспечивающих бесперебойный выпуск продукции, выполнение работ и оказание услуг;
д) своевременное выявление ненужных и излишних запасов с целью их возможной продажи или выявления иных возможностей вовлечения их в оборот;
е) проведение анализа эффективности использования запасов.
Одновременно требуя выполнения следующих пунктов7:
- сплошное, непрерывное и полное отражение движения (прихода, расхода, перемещения) и наличия запасов;
- учет количества и оценка запасов;
- оперативность (своевременность) учета запасов;
- достоверность учета;
- соответствие синтетического учета данным аналитического учета на начало каждого месяца (по оборотам и остаткам);
- соответствие данных складского учета и оперативного учета движения запасов в подразделениях организации данным бухгалтерского учета.
Все операции по движению (поступление, перемещение, расходование) запасов должны оформляться первичными учетными документами. Формы первичных учетных документов утверждаются8:
а) Государственным комитетом Российской Федерации по статистике по согласованию с МФ РФ - унифицированные формы первичной учетной документации;
б) соответствующими министерствами и иными органами федеральной исполнительной власти - отраслевые формы;
в) организациями - формы первичных документов для оформления хозяйственных операций, по которым не предусмотрены унифицированные и отраслевые формы. При разработке и утверждении указанных форм учитывается специфика деятельности этих организаций.
Первичные учетные документы должны включать в себя обязательные реквизиты, установленные Федеральным законом "О бухгалтерском учете"9:
- наименование документа;
- дату составления документа;
- наименование организации, от имени которой составлен документ;
- содержание хозяйственной операции;
- измеритель хозяйственной операции в натуральном и денежном выражениях;
- наименование должностных лиц, ответственных за совершение хозяйственной операции и правильность ее оформления;
- личные подписи указанных лиц и их расшифровки.
Для обеспечения достоверности данных бухгалтерского учета и бухгалтерской отчетности организации обязаны проводить инвентаризацию запасов, в ходе которой проверяются и документально подтверждаются их наличие, состояние и оценка.
Порядок (количество инвентаризаций в отчетном году, даты их проведения, перечень запасов, проверяемых при каждой из них, и т.д.) проведения инвентаризации определяется руководителем организации, за исключением случаев, когда проведение инвентаризации обязательно.
Проведение инвентаризации обязательно10:
- при передаче имущества в аренду, выкупе, продаже, а также при преобразовании государственного или муниципального унитарного предприятия;
- перед составлением годовой бухгалтерской отчетности (кроме имущества, инвентаризация которого проводилась не ранее 1 октября отчетного года). В организациях, расположенных в районах Крайнего Севера и приравненных к ним местностях, инвентаризация товаров и материалов проводится в период их наименьших остатков;
- при смене материально ответственных лиц;
- при выявлении фактов хищения, злоупотребления или порчи имущества;
- в случае стихийного бедствия, пожара или других чрезвычайных ситуаций, вызванных экстремальными условиями;
- при реорганизации или ликвидации организации;
- в других случаях, предусмотренных законодательством Российской Федерации.
Бухгалтерская служба организации обязана:
- осуществлять контроль за своевременностью и полнотой проведения инвентаризаций;
- требовать сдачи материалов инвентаризаций в бухгалтерскую службу;
- следить за своевременным завершением инвентаризаций и документальным оформлением их результатов;
- отражать на счетах бухгалтерского учета выявленные при инвентаризации расхождения между фактическим наличием имущества и данными бухгалтерского учета.
По результатам инвентаризаций и проверок принимаются соответствующие решения по устранению недостатков в хранении и учете запасов и возмещению материального ущерба.
Выявленные при инвентаризации расхождения между фактическим наличием имущества и данными бухгалтерского учета отражаются в следующем порядке11:
а) излишки запасов приходуются по рыночным ценам, и одновременно их стоимость относится:
- в коммерческих организациях - на финансовые результаты;
- в некоммерческих организациях - на увеличение доходов;
б) суммы недостач и порчи запасов списываются со счетов учета по их фактической себестоимости, которая включает в себя договорную (учетную) цену запаса и долю транспортно-заготовительных расходов, относящуюся к этому запасу. Порядок расчета указанной доли устанавливается организацией самостоятельно. В бухгалтерском учете данная операция отражается по дебету счета "Недостачи и потери от порчи ценностей" и кредиту счетов учета запасов - в части договорной (учетной) цены запаса и дебету счета "Недостачи и потери от порчи ценностей" и кредиту счета "Отклонение в стоимости материалов", при использовании в учетной политике организации счетов заготовления и приобретения материалов или соответствующего субсчета к счетам учета запасов в части доли транспортно-заготовительных расходов.
При порче запасов, которые могут быть использованы в организации или проданы (с уценкой), последние одновременно приходуются по рыночным ценам с учетом их физического состояния с уменьшением на эту сумму потерь от порчи.
Недостача запасов и их порча списываются со счета "Недостачи и потери от порчи ценностей" в пределах норм естественной убыли на счета учета затрат на производство или (и) на расходы на продажу; сверх норм - за счет виновных лиц. Если виновные лица не установлены или суд отказал во взыскании убытков с них, то убытки от недостачи запасов и их порчи списываются на финансовые результаты у коммерческой организации, на увеличение расходов у некоммерческой организации. Нормы убыли могут применяться лишь в случаях выявления фактических недостач.
Недостача запасов в пределах установленных норм естественной убыли определяется после зачета недостач запасов излишками по пересортице. В том случае, если после зачета по пересортице, произведенного в установленном порядке, все же оказалась недостача запасов, то нормы естественной убыли должны применяться только по тому наименованию запасов, по которому установлена недостача. При отсутствии норм убыль рассматривается как недостача сверх норм.
Взаимный зачет излишков и недостач в результате пересортицы может производиться по решению руководства организации только за один и тот же проверяемый период, у одного и того же проверяемого лица, в отношении запасов одного и того же наименования и в тождественных количествах.
О допущенной пересортице материально ответственные лица представляют подробные объяснения инвентаризационной комиссии.
В том случае, когда при зачете недостач излишками по пересортице стоимость недостающих запасов выше стоимости запасов, оказавшихся в излишке, то указанная разница относится на виновных лиц.
Результаты инвентаризации должны быть отражены в учете и отчетности того месяца, в котором была закончена инвентаризация, а по годовой инвентаризации - в годовой бухгалтерской отчетности.
Материальные запасы, утраченные (уничтоженные) в результате стихийных бедствий, пожаров, аварий и других чрезвычайных ситуаций, списываются с кредита счетов учета запасов в дебет счета "Недостачи и потери от порчи ценностей" по фактической себестоимости этих запасов с последующим отражением на счете учета финансовых результатов как чрезвычайные расходы.
Страховые возмещения, поступающие в качестве компенсации потерь от стихийных бедствий, пожаров, аварий и других чрезвычайных ситуаций, учитываются в составе чрезвычайных доходов организации.
запас оценка учет
2. Методы оценки материально-производственных запасов
Материально-производственные запасы принимаются к бухгалтерскому учету по фактической себестоимости согласно п. 5 ПБУ 5/0112.
В отличие от ПБУ 5/01, Международная система финансовой отчетности (далее - МСФО (IAS) 2) предписывает в обязательном порядке оценивать запасы по наименьшей из двух величин - себестоимости и возможной чистой стоимости реализации.
ПБУ 5/01 устанавливает порядок определения фактической себестоимости при поступлении в организацию запасов в следующих хозяйственных ситуациях:
- приобретение за плату;
- изготовление самой организацией;
- получение в счет вклада в уставный (складочный) капитал организации;
- получение по договору дарения или безвозмездно;
- оприходование остающихся от выбытия основных средств и другого имущества;
- поступление МПЗ по договорам, предусматривающим исполнение обязательств неденежными средствами;
- поступление МПЗ, не принадлежащих организации, в ее пользование или распоряжение в соответствии с условиями договора.
Методическими указаниями по учету МПЗ предусмотрена оценка запасов также для ситуации, когда осуществляется оценка запасов, оказавшихся в излишке (обнаруженных при инвентаризации).
Перечень затрат, признаваемый в фактической себестоимости материально-производственных запасов, приобретенных за плату, не является закрытым.
Таким образом, единственно необходимым условием включения затрат в фактическую себестоимость материально-производственных запасов при приобретении за плату является их непосредственная связь с приобретением запасов.13
С 1 января 2008 года определение фактической себестоимости материальных ресурсов (кроме товаров, учитываемых по продажной стоимости), списываемых в производство, а также при ином выбытии возможно производить только одним из следующих трех методов оценки (в зависимости от условий учетной политики):
- по себестоимости каждой единицы;
- по средней себестоимости;
- по себестоимости первых по времени приобретений (ФИФО).
Положения, предусматривающие возможность использования метода ЛИФО (по себестоимости последних по времени приобретений), исключены из ПБУ 5/01 и Методических указаний по учету МПЗ Приказом Минфина России от 26.03.2007 года14.
Организация может применять предусмотренные законодательством способы в любом сочетании, соблюдая правило "один вид (группа) запасов - один способ".15
2.1 Метод оценки: по себестоимости каждой единицы
Способ оценки материально-производственных запасов по стоимости единицы предполагает ведение поштучного их учета. При передаче МПЗ в производство при этом методе в расходы включается фактическая их себестоимость.
Минфин России рекомендует применять этот способ оценки по запасам, которые не могут обычным образом заменять друг друга, а также по МПЗ, используемым организацией в особом порядке (п. 17 ПБУ 5/01). К таковым финансисты относят драгоценные металлы, драгоценные камни и т.п.
Списывать поштучно удобно и дорогостоящие товары, которые продаются в единственном экземпляре или небольшими партиями. Например, автомобили, предметы искусства, ювелирные изделия.16
Пример
Организация занимается продажей дорогих автомобилей.
При продаже автомобиля в расходы включается его фактическая себестоимость. Так как учетной политикой организации предусмотрено для данной группы товаров использование способа оценки - по себестоимости единицы МПЗ.
Списание материально-производственных запасов по стоимости каждой единицы позволяет получить точные сведения о себестоимости проданных активов. Сформированные с его использованием показатели отчетности наиболее реальные, так как они получены без каких-либо усреднений или отклонений. Данные бухгалтерской отчетности при этом способе оценки МПЗ могут быть использованы напрямую и для управленческого учета.
Метод оценки по стоимости единицы запасов также может использоваться и в налоговом учете при определении размера материальных расходов при списании сырья и материалов, используемых при производстве (изготовлении) товаров (выполнении работ, оказании услуг) и стоимости приобретения покупных товаров при их реализации.
2.2 Метод оценки: по средней себестоимости
При списании (отпуске) материалов, оцениваемых организацией по средней себестоимости, последняя определяется по каждой группе (виду) запасов как частное от деления общей себестоимости группы (вида) запасов на их количество, складывающихся соответственно из себестоимости и количества по остатку на начало месяца и по поступившим запасам в этом месяце17. Таким образом, для определения величины средней себестоимости по каждой группе (виду) запасов при их списании по средней себестоимости используется следующая формула:
Сср = (Сост + Спост) : (Кост + Кпост),
где Сср - средняя себестоимость МПЗ;
Сост и Спост - стоимости остатка МПЗ на начало месяца и поступивших за месяц;
Кост и Кпост - количество единиц запасов, оставшихся на начало месяца и оприходованных за месяц.
Произведение полученной таким образом величины средней себестоимости по каждой группе (виду) запасов на количество списываемых МПЗ и будет давать величину, включаемую в расходы.18
Пример
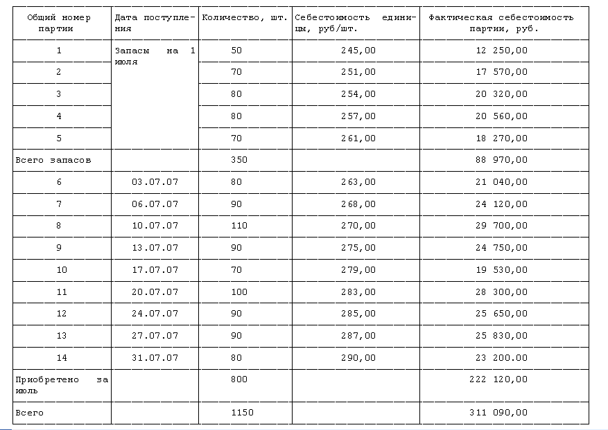
На 1 июля остаток МПЗ составляет 350 единиц, их фактическая себестоимость - 88 970 руб. Остатки сложились из поступлений пяти партий запасов в следующей последовательности. В первой партии поступило 50 ед. по фактической себестоимости 245 руб/ед., во второй - 70 ед. по 251 руб/ед., в третьей - 80 ед. по 254 руб/ед., в четвертой - 80 ед. по 257 руб/ед., в пятой - 70 ед. по 261 руб/ед.
В течение июля приобретено 800 единиц МПЗ на сумму 222 120 руб. Запасы поступали девятью партиями (далее они нумеруются с шестой по четырнадцатую). Даты их поступлений, себестоимость единицы и фактическая стоимость каждой партии приводятся в таблице № 1:

Через один рабочий день (2, 4, 6, 10, 12, 16 июля и т.д.) по 80 единиц МПЗ передается в производство. Всего за месяц осуществлено 11 передач.
(В этом примере и во всех нижеприведенных:
при перемножении может возникать отличие в значениях копеек. Объясняется это тем, что расчеты проводились с точностью до десятой ее доли; считается, что при поступлении и выбытии МПЗ в один и тот же день вначале происходит их выбытие, а затем - оприходование новой партии.)
Общее количество и общая стоимость материально-производственных запасов определяются как совокупность количества и стоимости запасов на начало месяца и поступивших в течение месяца. Эти значения составят соответственно 1150 ед. (350 + 800) и 311 090 руб. (88 970 + 222 120). Исходя из этого средняя себестоимость единицы - 270,51 руб/ед. (311 090 руб. : 1150 ед.). Так как за июль было осуществлено 11 передач МПЗ, то общее количество выбывших запасов - 880 ед. (80 ед. х 11). Поэтому стоимость переданных в производство МПЗ в течение месяца, включаемая в расходы по обычным видам деятельности, составит 238 051,48 руб. (270,51 руб/ед. х 880 ед.).
Стоимость же оставшихся 270 ед. (1150 - 880) МПЗ на конец месяца (на начало августа) - 73 038,52 руб. (270,51 руб/ед. х 270 ед.).
Способ оценки по средней себестоимости самый распространенный. При большом ассортименте используемых материально-производственных запасов (продаваемых товаров) и при условии их закупки небольшими партиями отследить, к какой партии относится каждая передаваемая (продаваемая) единица такого МПЗ, достаточно сложно. Этот же метод позволяет избавиться от требуемого "отслеживания".
В примере средняя себестоимость единицы МПЗ определялась исходя из среднемесячной фактической себестоимости, т.е. применялась взвешенная оценка. Вышеупомянутые же Методические указания позволяют использовать и иной вариант расчета, когда фактическая себестоимость материально-производственных запасов определяется в момент их отпуска. При этом в расчет средней оценки включаются количество и стоимость МПЗ на начало месяца и все поступления до момента отпуска. Так как в этом случае фактическая себестоимость единицы МПЗ определяется каждый раз в момент их выбытия, иными словами операция исчисления как бы "скользит" от одной выбывающей партии запасов к следующей, то такой вариант и был назван скользящей оценкой.19
2.3 Метод оценки: по себестоимости первых по времени приобретений (ФИФО)
Оценка по себестоимости первых по времени приобретения материально-производственных запасов основана на допущении, что запасы используются в течение месяца (иного периода) в последовательности их приобретения (поступления). Иными словами, МПЗ, первыми поступающие в производство (продажу), должны быть оценены по себестоимости первых по времени приобретений с учетом запасов, числящихся на начало месяца. Исходя из этого оценка МПЗ, находящихся в запасе на конец месяца, производится по фактической себестоимости последних по времени приобретений, а в себестоимости проданных товаров (продукции, работ, услуг) учитывается фактическая себестоимость запасов, ранних по времени приобретений (п. 19 ПБУ 5/01).20
Пример
Применим способ ФИФО к стоимостным показателям поступивших партий МПЗ указанных в таблице № 1, параграф 2.2 настоящей работы.
При передаче в производство 2 июля 80 ед. МПЗ будут учтены: величина фактической себестоимости первой партии запасов целиком - 12 250 руб. (245 руб/ед. х 50 ед.) и частично величина второй - 7530 руб. (251 руб/ед. х (80 ед. - 50 ед.)), находящихся в остатках на 1 июля. Таким образом, в расходы по обычным видам деятельности следует включить 19 780 руб. (12 250 + 7530).
При отпуске запасов 4 июля учитывается оставшаяся величина фактической себестоимости второй партии МПЗ - 10 040 руб. (17 570 - 7530), приходящаяся на 40 ед. (70 - 30) запасов и половина фактической себестоимости третьей партии МПЗ - 10 160 руб. (251 руб/ед. х 40 ед.). Таким образом, в расходы в этот день включается 20 200 руб. (10 040 + 10 160).
Фактическая себестоимость второй половины этой партии - 10 160 руб. (20 320 - 10 160) в совокупности с первой половиной четвертой партии МПЗ - 10 280 руб. (257 руб/ед. х 40 ед.) будет учтена в расходах как стоимость запасов, переданных в производство 6 июля. Эта совокупность - 20 440 руб. (10160 + 10 280).
При отпуске в производство МПЗ 10 июля в расходах учитывается стоимость оставшейся половины запасов из четвертой партии МПЗ 10 280 руб. (20 560 -10 280) и стоимость 40 ед. пятой партии - 10 440 руб. (261 руб/ед. х 40 ед.). Искомое значение фактической себестоимости отпущенных МПЗ - 20 720 руб. (10 280 + 10 440).
12 июля отпуск в производство МПЗ ознаменован тем, что в этот день используются последние остатки запасов на 1 июля - 30 ед. пятой партии и начинается использование МПЗ, поступивших в первой партии (шестая - при общем подсчете) в этом месяце (3-го числа) - 50 ед. (80 - 30). Следовательно, в этот день в расходах будет учтено 20 980 руб. ((18 270 руб. - 10 440 руб.) + (263 руб/ед. х 50 ед.)).
В оставшиеся шесть дней, когда осуществляется передача МПЗ в производство, - 16,18, 20, 24, 26 и 30 июля - требуемые 80 единиц будут "складываться" соответственно из:
30 ед. (80 - 50) шестой партии и 50 ед. (80-30) седьмой партии поступивших МПЗ;
40 ед. (90 - 50) седьмой и восьмой (80 -40) партий;
70 ед. (110 - 40) восьмой партии и 10 ед. (80 - 70) девятой;
80 ед. (90 - 10) девятой партии;
70 ед. десятой партии и 10 ед. (80 - 70) одиннадцатой;
80 ед. одиннадцатой партии.
С учетом этого в расходы в качестве фактической себестоимости передаваемых в эти дни в производство МПЗ будут включаться следующие суммы:
21 290 руб. (263 руб/ед. х 30 ед. + 268 руб/ед. х 50 ед.);
21 520 руб. (268 руб/ед. х 40 ед. + 270 руб/ед. х 40 ед.);
21 650 руб. (270 руб/ед. х 70 ед. + 275 руб/ед. х 10 ед.);
22 000 руб. (275 руб/ед. х 80 ед.);
22 360 руб. (279 руб/ед. х 70 ед. + 283 руб/ед. х 10 ед.);
22 640 руб. (283 руб/ед. х 80 ед.). Таким образом, за июль было отпущено в производство 880 ед. (80 ед/парт. х 11 парт.). Совокупность их фактических себестоимостей - 233 580 руб. (19 780 + 20 200 + 20 440 + 20 720 + 20 980 + 21 290 + 21 520 + 21 650 + 22 000 + 22 360 + 22 640) - будет учтена в расходах в этом месяце.
На 1 августа из одиннадцатой партии поступивших МПЗ осталось 10 ед. (100 -10 - 80), количество МПЗ, входящих в двенадцатую (90 ед.), тринадцатую (90 ед.) и четырнадцатую (80 ед.) партии, сохранились в целостности. Исходя из этого у организации на начало августа в наличии осталось 270 ед. МПЗ. Их стоимость составит 77 510 руб. (283 руб/ед. х 10 ед. + 25 650 руб. + 25 830 руб. + 23 200 руб.).
Упомянутые Методические указания позволяют применять при способе ФИФО как взвешенную, так и скользящую оценку (п. 78 Методических указаний). Но заложенный для этого случая алгоритм списания фактической себестоимости наиболее ранних партий МПЗ нивелирует разницу между значениями, определяемыми с использованием взвешенной и скользящей оценки. Как в первом варианте, так и во втором будет одна и та же последовательность списания запасов при одном и том же порядке учета поступающих партий МПЗ. Поэтому независимо от того, как производится расчет по итогам месяца (взвешенная оценка) или же на момент передачи МПЗ (скользящая оценка), при расчете будут использованы одни и те же значения.
Алгоритм, приведенный в примере, называют прямым. Такой порядок расчетов предполагает наличие точных сведений о том, к каким именно партиям относятся списанные материально-производственные запасы и к каким - оставшиеся на конец месяца. Однако стоимость проданных за месяц МПЗ можно вычислить и другим способом - расчетным, или "обратным". О возможности применения его в бухгалтерском учете финансисты указали в пункте 4 приложения 1 к Методическим указаниям по бухгалтерскому учету материально-производственных запасов21. Данный способ удобен тем, что позволяет избавиться от необходимости определения, к каким партиям относятся выбывшие МПЗ (проданные товары). Достаточно, чтобы на конец месяца имелись точные (в разрезе партий) сведения об остатках запасов.22
3. Раскрытие информации материально-производственных запасах в бухгалтерской отчетности
Материально-производственные запасы отражаются в бухгалтерской отчетности в соответствии с их классификацией, что необходимо для более детального выделения тех или иных видов активов, которые имеют принципиальное значение для оценки финансового положения организации.23
На конец отчетного периода все МПЗ, кроме товаров, учитываемых по продажной стоимости, отражаются в балансе по стоимости, определяемой исходя из используемых способов оценки запасов при их выбытии24.
Это позволяет обеспечить единообразие методики расчета фактической себестоимости МПЗ, использованных в течение года, соответствие данных аналитического учета показателям синтетического учета, препятствует манипуляциям в исчислении финансовых результатов деятельности организации.
Не вполне ясен вопрос: как отражаются в отчетности товары, учитываемые по продажным ценам?
Если исходить из нормы п. 24 ПБУ 5/01, то получается, что в балансе товары должны быть отражены по продажным ценам. Но тогда в балансе должно найтись место для отражения торговой наценки.
Ранее Методическими указаниями о порядке формирования показателей бухгалтерской отчетности предписывалось отражать товары в балансе по стоимости приобретения, а величину торговой наценки указывать в пояснениях к балансу - в форме 5.25
В 1993 года покупная цена и торговая наценка указывались в активе баланса как статьи-расшифровки к статье "Продажная цена".26 При этом указывалось, что показатели "Продажная цена" и "Торговая наценка" не входят в валюту баланса.
Ввиду неясности норм организация должна разработать порядок оценки товаров в отчетности для случая, когда такие товары учитываются по продажным ценам. Например, можно было бы считать соответствующим современным нормам формирования показателей отчетности представление в отчетности товаров двумя статьями "Продажная цена" и "Торговая наценка". При этом величина торговой наценки указывалась бы с минусом (в круглых скобках).27
ПБУ 4/99 "Бухгалтерская отчетность организации" (п. 35) предписывает отражать числовые показатели в балансе в нетто-оценке, иначе говоря, за вычетом регулирующих величин. Одним из видов этих величин являются резервы под снижение материальных ценностей.
Создание резервов вызвано соблюдением требования осмотрительности. В п. 7 ПБУ 1/98 "Учетная политика организации" требование осмотрительности определено как большая готовность организации к признанию в бухгалтерском учете расходов и обязательств, чем возможных доходов и активов. Согласно этому принципу запасы организации следует отражать в балансе следующим образом:
- если текущая рыночная стоимость запасов выше их себестоимости, то в балансе этот актив отражается по себестоимости;
- если текущая рыночная стоимость запасов ниже его себестоимости, то в балансе актив учитывается по текущей рыночной стоимости на конец отчетного года.
Таким образом, если текущая рыночная стоимость запасов окажется выше их себестоимости, резерв не создается.
Необходимость создания резервов под снижение стоимости материальных ценностей определена в п. 25 ПБУ 5/01.28 В этом пункте указаны три ситуации, приводящие к созданию резерва:
1) материально-производственные запасы морально устарели;
2) полностью или частично потеряли свое первоначальное качество;
3) текущая рыночная стоимость, стоимость продажи материально-производственных запасов снизились.
Резерв создается на разницу между текущей рыночной стоимостью МПЗ и их себестоимостью, по которой они приняты к учету.
При этом под себестоимостью понимается остаток по счетам учета материальных ценностей (10, 41, 43), увеличиваемый на сумму транспортно-заготовительных расходов и корректируемый на сумму отклонений учетной цены от фактической себестоимости.
При создании резерва отклонения и транспортно-заготовительные расходы при условии их несущественности могут не учитываться. Такой подход основывается на допущении, что учетной ценой, как правило, является договорная цена, указываемая в документах поставщика и соответствующая уровню рыночных цен.
Порядок образования резервов подробно разъясняется в п. 20 Методических указаний по учету МПЗ.29 В нем определены требования по уровню детализации объектов, для которых создаются резервы. Так, резервы следует формировать по каждой единице МПЗ, принятой к учету, а также по отдельным видам (группам) аналогичных или связанных запасов.
В соответствии с п. 3 ПБУ 5/01 это могут быть партии товара, номенклатурный номер материала, однородная группа и т.д.
Не допускается создание резервов под снижение стоимости по таким укрупненным группам (видам), как основные или вспомогательные материалы, готовая продукция, товары, запасы определенного операционного или географического сегмента.
Как следует из Методических указаний по учету МПЗ (п. 20), если в организации имеются материально-производственные запасы, морально устаревшие или потерявшие первоначальные качества, то при создании резерва надо учесть следующее. Такие запасы организация нередко использует в производстве другой продукции как более дешевый аналог.
Нужно в данном случае создавать резерв или нет - зависит от стоимости произведенной готовой продукции. Если на конец отчетного года текущая рыночная стоимость этой продукции соответствует или превышает ее фактическую себестоимость, резерв для МПЗ не создается.
Порядок учета и отражения на счетах бухгалтерского учета резервов, создаваемых под снижение стоимости материальных ценностей, описан в Инструкции по применению Плана счетов30.
Отражение показателей в бухгалтерском балансе в нетто-оценке соответствует применяемому в МСФО понятию так называемой справедливой стоимости. В отличие от себестоимости справедливая стоимость более точно отражает текущую доходность актива.
В отношении товаров, учитываемых по продажным ценам, в ПБУ 5/01 не определен вопрос о создании резервов под снижение их стоимости. В соответствии с Инструкцией по применению Плана счетов (пояснения к счету 14) резервы под снижение стоимости материальных ценностей образуются также и для товаров.
Резерв в отношении товаров, учитываемых по продажным ценам, должен рассчитываться как разница между продажной ценой и рыночной. Однако в этом случае при отражении в отчетности товара по покупным ценам вычет суммы резерва приведет к искажению информации, так как в резерве учтена и часть снижения стоимости наценки.
Пример
Покупная стоимость товара - 100 руб., торговая наценка - 20 руб. Итого продажная стоимость - 120 руб. Пусть рыночная стоимость - 108 руб., величина резерва - 12 руб.
Очевидно, что если в балансе товар будет представлен по первоначальной стоимости за вычетом резерва, то его стоимость не будет рыночной.
Действительно, стоимость будет равна 88 руб. (100 руб. - 12 руб.), а рыночная - 108 руб.
Из сложившейся ситуации необходимо сделать следующий вывод: при создании резерва в отношении товара, учитываемого по продажным ценам, снижение стоимости вначале должно быть учтено за счет торговой наценки, а уж потом - за счет покупной стоимости.31
Отдельного пояснения требует следующая норма п. 26 ПБУ 5/0132:
"МПЗ, принадлежащие организации, но находящиеся в пути либо переданные покупателю под залог, учитываются в бухгалтерском учете в оценке, предусмотренной в договоре".
Прежде всего отметим, что указанный пункт, видимо, попал "не в свой раздел" ПБУ 5/01, поскольку разъясняет особенности бухгалтерского учета, а не отвечает целям раскрытия информации в бухгалтерской отчетности.
В соответствии с Планом счетов МПЗ, принадлежащие организации, но находящиеся в пути, отражаются в учете по дебету счета 15 "Заготовление и приобретение материальных ценностей" в корреспонденции со счетами 60 "Расчеты с поставщиками и подрядчиками", 20 "Основное производство", 23 "Вспомогательные производства", 71 "Расчеты с подотчетными лицами", 76 "Расчеты с разными дебиторами и кредиторами" и т.п. в зависимости от того, откуда поступили те или иные ценности, и от характера расходов по заготовке и доставке материально-производственных запасов в организации.
Следовательно, МПЗ в пути могут учитываться в оценке, предусмотренной не только в договоре (как указывается в п. 26 ПБУ 5/01), но и в прочих расчетно-сопроводительных документах поставщика (грузоотправителя), в стоимости, указанной в оправдательных документах, прикладываемых к авансовому отчету подотчетного лица.
Таким образом, норму п. 26 ПБУ 5/01 в части оценки запасов в пути можно рассматривать как недостаточно полную.
Пункт 26 ПБУ гласит33:
"МПЗ, принадлежащие организации, но переданные покупателю под залог, в бухгалтерском учете отражаются в оценке, предусмотренной в договоре, с последующим уточнением фактической себестоимости".
В адрес данной нормы также имеется ряд замечаний.
Заложенное имущество остается у залогодателя, если иное не предусмотрено договором. В большинстве случаев предмет залога, ввиду того что подразумевается его возврат, не вывозится со склада собственника.
ПБУ 5/01, видимо, имеет в виду менее распространенный вариант: вывоз заложенных ценностей со склада поставщика, поскольку планируется последующее уточнение их фактической себестоимости. Здесь возможность изменения фактической себестоимости МПЗ ставится под сомнение, поскольку ключевым вопросом в данном случае будет цель залога.
За счет каких затрат предполагается корректировка себестоимости переданных под залог МПЗ? Фактическая себестоимость в данном случае не может корректироваться на сумму транспортно-заготовительных расходов по причине их отсутствия.
Транспортно-заготовительные расходы при залоге не возникают, поскольку в момент залога материально-производственные запасы в организацию не поступают и не заготавливаются.
Залог имущества обычно сопряжен с рядом других расходов, которые возникают у залогодателя: страхование предмета залога, оплата услуг сторонних организаций, связанных с залогом, независимая оценка предмета залога, оплата услуг нотариуса за удостоверение договора залога, расходы при реализации заложенного имущества. Даже если залогодатель своими силами доставляет заложенное имущество до склада покупателя, транспортные расходы признаются таковыми исходя из их направленности.34
Пример
Поставщик нарушил сроки поставки товаров по договору купли-продажи. Стоимость не поставленного по договору товара - 70 тыс. руб. В качестве обеспечения своих обязательств поставщик передает покупателю под залог полуфабрикаты на сумму 100 тыс. руб. Расходы, связанные с залогом (страхование, независимая оценка, доставка и т.д.), составляют 6 тыс. руб.
Расходы по залогу в сумме 6 тыс. руб. логично отнести на счет 44 "Расходы на продажу", поскольку экономическая природа этих расходов связана с продажей товаров, а не с заложенными полуфабрикатами.
Таким образом, фактическая себестоимость продаж увеличивается на 6 тыс. руб. и на момент исполнения обязательств по договору купли-продажи составляет 76 тыс. руб. (70 тыс. руб. - себестоимость товара и 6 тыс. руб. - затраты на продажу). При этом фактическая себестоимость полуфабрикатов осталась неизменной - 100 тыс. руб.
Пример
Покупатель нарушил сроки оплаты оприходованных материалов по договору купли-продажи ввиду отсутствия свободных денежных средств на банковском счете.
В качестве обеспечения своих обязательств до момента оплаты полученных материалов покупатель передает поставщику под залог готовую продукцию в сумме 80 тыс. руб. Расходы, связанные с залогом (страхование, независимая оценка, доставка и т.д.), составляют 3 тыс. руб.
На следующий день после поступления денежных средств от покупателя на счет поставщика готовая продукция возвращается покупателю.
Расходы по залогу в сумме 3 тыс. руб. могут быть признаны общехозяйственными расходами организации текущего периода. При этом фактическая себестоимость готовой продукции остается неизменной - 80 тыс. руб.
Таким образом, в случае залога переданные под залог МПЗ могут увеличивать расходы организации, но не могут влиять на изменение своей фактической себестоимости.35
Данный вопрос никак не комментируется Методическими указаниями по учету МПЗ. Уточнение фактической себестоимости переданных в залог МПЗ может иметь место только в случае реализации предмета залога при невыполнении должником обязательств по первоначальному договору.
На балансе собственника заложенные МПЗ рекомендуется учитывать на отдельном субсчете.36
Пример
5 июля на баланс организации от поставщика поступили товары по фактической себестоимости (35 тыс. руб.), которые в тот же день были приняты на учет по дебету счета 41, субсчет "Товары на складах".
27 августа подписан акт о передаче в залог покупателю указанных товаров. Стоимость товара по договору залога составляет 32 тыс. руб.
27 августа организация в отношении поступившего товара делает проводку на сумму 32 тыс. руб.:
Дебет 41/"Товары, переданные в залог" - Кредит 41/"Товары на складах".
При этом по дебету счета 41, субсчет "Товары на складах", возникает сальдо на разницу между фактической себестоимостью и стоимостью договора залога в размере 3 тыс. руб.
Характер таких отклонений и порядок их учета не раскрываются ни в ПБУ 5/01, ни в Методических указаниях по учету МПЗ.
Таким образом, норма п. 26 ПБУ 5/01 об учете запасов, переданных покупателю под залог, в оценке, предусмотренной в договоре, является противоречивой.
В бухгалтерской отчетности подлежит раскрытию с учетом существенности информация о следующих показателях:
- способах оценки МПЗ по их группам (видам);
- последствиях изменений этих способов;
- стоимости запасов, переданных в залог;
- величине и движении резервов под снижение стоимости материальных ценностей.
Указанную информацию необходимо отразить в пояснительной записке к годовому отчету и (или) непосредственно в годовом отчете в виде отдельных таблиц (форм) и показателей.37
Заключение
Правильность ведения учета материально-производственных запасов влияет на принятие решений, развитие и прибыль организации. Учет движения материально-производственных запасов на предприятии связан с учетом и в других сферах– производство, денежные потоки, финансовые результаты и прочее. Для получения актуальной и достоверной информации о готовой продукции необходима достоверная информация о движении материалов на складах и в производстве. А достоверная информация о движении готовой продукции предопределяет получение надежной и точной информации о прибыли и финансовых результатов в принципе.
По своему экономическому содержанию, раздел финансовой отчетности отражающий показатели материально-производственных запасов, произведенный на основании одного из методов оценки запасов, для предприятий косвенно характеризует конечный финансовый результат работы предприятия, выполнения своих обязательств перед потребителями, степень участия в удовлетворении потребностей рынка. Процесс реализации завершает кругооборот хозяйственных средств предприятия, что позволяет ему выполнять обязательства перед государственным бюджетом, банком по ссудам, рабочими и служащими, поставщиками и возмещать производственные затраты. Невыполнение плана реализации вызывает замедление оборачиваемости оборотных средств, штрафы за невыполнение договорных обязательств перед покупателями, задерживает платежи, ухудшает финансовое положение предприятия.
Информация о балансовой стоимости запасов и степень изменений в этих активах полезна для пользователей отчетности. Обычно запасы классифицируются согласно следующим подгруппам: "Товары", "Сырье", "Материалы", "Незавершенное производство" и "Готовая продукция". Запасы организации сферы услуг признаются "Незавершенным производством".
Финансовая отчетность в обязательном порядке должна, в частности, раскрывать:
- учетную политику, принятую для оценки запасов;
- общую балансовую стоимость запасов и балансовую стоимость по статьям классификации, принятой организацией;
- балансовую стоимость запасов, учтенных по справедливой стоимости, за вычетом затрат на продажу;
- соответствующую сумму запасов, признанных в качестве расходов в течение периода;
- любую сумму уценки стоимости запасов, признанную в качестве расхода в периоде;
- любую сумму восстановления списанной стоимости запасов;
- те обстоятельства, которые привели к восстановлению списанных запасов;
- балансовую стоимость запасов, заложенных в качестве обеспечения обязательств.
Список использованных источников и литературы
Нормативные документы:
1. Федеральный закон от 21.11.1996 N 129-ФЗ (ред. От 28.09.2010) "О бухгалтерском учете".
2. Приказ Минфина РФ от 09.06.2001 N 44н (ред. От 26.03.2007) "Об утверждении Положения по бухгалтерскому учету "Учет материально-производственных запасов" ПБУ 5/01".
3. Приказ Минфина РФ от 28.12.2001 N 119н (ред. От 26.03.2007) "Об утверждении Методических указаний по бухгалтерскому учету материально-производственных запасов".
4. Приказ Минфина РФ от 06.07.1999 N 43н (ред. От 18.09.2006) "Об утверждении Положения по бухгалтерскому учету "Бухгалтерская отчетность организации" (ПБУ 4/99)".
5. Приказ Минфина РФ от 26.03.2007 N 26н "О внесении изменений в нормативные правовые акты по бухгалтерскому учету".
6. Приказ Минфина РФ от 28.06.2000 N 60н "О Методических рекомендациях о порядке формирования показателей бухгалтерской отчетности организации".
8. Письмо Минфина России от 13.10.1993 N 114 "Об объеме и формах годового бухгалтерского отчета предприятий за 1993 год и о порядке его заполнения".
9. Приказ Минфина РФ от 31.10.2000 N 94н (ред. От 18.09.2006) "Об утверждении Плана счетов бухгалтерского учета финансово-хозяйственной деятельности организаций и Инструкции по его применению".
Литература:
1. Рассказова-Николаева С.А., Калинина Е.М., Михина С.В. Основные средства и материально-производственные запасы: учет по правилам ПБУ // Экономико-правовой бюллетень. 2008. N 5.
2. Статья: Запасы в МСФО: основы учета ("Расчет", 2009, N 11)
3. Практический бухгалтерский учет", N 7, 8, июль, август 2007 г.
4. Статья «Об оценке материально-производственных запасов организации» журнал Все для бухгалтера, N 9, май 2007 г.
1 Статья «Об оценке материально-производственных запасов организации» журнал Все для бухгалтера, N 9, май 2007 г.
2 Приказ Минфина РФ от 09.06.2001 N 44н (ред. От 26.03.2007) "Об утверждении Положения по бухгалтерскому учету "Учет материально-производственных запасов" ПБУ 5/01".
3 Приказ Минфина РФ от 28.12.2001 N 119н (ред. От 26.03.2007) "Об утверждении Методических указаний по бухгалтерскому учету материально-производственных запасов".
4 Приказ Минфина РФ от 06.07.1999 N 43н (ред. От 18.09.2006) "Об утверждении Положения по бухгалтерскому учету "Бухгалтерская отчетность организации" (ПБУ 4/99)".
5 Приказ Минфина РФ от 09.06.2001 N 44н (ред. От 26.03.2007) "Об утверждении Положения по бухгалтерскому учету "Учет материально-производственных запасов" ПБУ 5/01".
6 Приказ Минфина РФ от 28.12.2001 N 119н (ред. От 26.03.2007) "Об утверждении Методических указаний по бухгалтерскому учету материально-производственных запасов".
7 Приказ Минфина РФ от 28.12.2001 N 119н (ред. От 26.03.2007) "Об утверждении Методических указаний по бухгалтерскому учету материально-производственных запасов".
8 Приказ Минфина РФ от 28.12.2001 N 119н (ред. От 26.03.2007) "Об утверждении Методических указаний по бухгалтерскому учету материально-производственных запасов".
9 Федеральный закон от 21.11.1996 N 129-ФЗ (ред. От 28.09.2010) "О бухгалтерском учете".
10 Федеральный закон от 21.11.1996 N 129-ФЗ (ред. От 28.09.2010) "О бухгалтерском учете".
11 Федеральный закон от 21.11.1996 N 129-ФЗ (ред. От 28.09.2010) "О бухгалтерском учете".
12 Приказ Минфина РФ от 09.06.2001 N 44н (ред. От 26.03.2007) "Об утверждении Положения по бухгалтерскому учету "Учет материально-производственных запасов" ПБУ 5/01".
13Рассказова-Николаева С.А., Калинина Е.М., Михина С.В. Основные средства и материально-производственные запасы: учет по правилам ПБУ // Экономико-правовой бюллетень. 2008. N 5.
14Приказ Минфина РФ от 26.03.2007 N 26н "О внесении изменений в нормативные правовые акты по бухгалтерскому учету".
15Рассказова-Николаева С.А., Калинина Е.М., Михина С.В. Основные средства и материально-производственные запасы: учет по правилам ПБУ // Экономико-правовой бюллетень. 2008. N 5.
16 Практический бухгалтерский учет", N 7, 8, июль, август 2007 г.
17 Приказ Минфина РФ от 28.12.2001 N 119н (ред. От 26.03.2007) "Об утверждении Методических указаний по бухгалтерскому учету материально-производственных запасов".
18 Практический бухгалтерский учет", N 7, 8, июль, август 2007 г.
19 Практический бухгалтерский учет", N 7, 8, июль, август 2007 г.
20 Практический бухгалтерский учет", N 7, 8, июль, август 2007 г.
21 Приказ Минфина РФ от 28.12.2001 N 119н (ред. От 26.03.2007) "Об утверждении Методических указаний по бухгалтерскому учету материально-производственных запасов".
22 Практический бухгалтерский учет", N 7, 8, июль, август 2007 г.
23 Рассказова-Николаева С.А., Калинина Е.М., Михина С.В. Основные средства и материально-производственные запасы: учет по правилам ПБУ // Экономико-правовой бюллетень. 2008. N 5.
24 Приказ Минфина РФ от 09.06.2001 N 44н (ред. От 26.03.2007) "Об утверждении Положения по бухгалтерскому учету "Учет материально-производственных запасов" ПБУ 5/01".
25 Приказ Минфина РФ от 28.06.2000 N 60н "О Методических рекомендациях о порядке формирования показателей бухгалтерской отчетности организации".
26 Письмо Минфина России от 13.10.1993 N 114 "Об объеме и формах годового бухгалтерского отчета предприятий за 1993 год и о порядке его заполнения".
27 Рассказова-Николаева С.А., Калинина Е.М., Михина С.В. Основные средства и материально-производственные запасы: учет по правилам ПБУ // Экономико-правовой бюллетень. 2008. N 5.
28 Приказ Минфина РФ от 09.06.2001 N 44н (ред. От 26.03.2007) "Об утверждении Положения по бухгалтерскому учету "Учет материально-производственных запасов" ПБУ 5/01".
29 Приказ Минфина РФ от 28.12.2001 N 119н (ред. От 26.03.2007) "Об утверждении Методических указаний по бухгалтерскому учету материально-производственных запасов".
30 Приказ Минфина РФ от 31.10.2000 N 94н (ред. От 18.09.2006) "Об утверждении Плана счетов бухгалтерского учета финансово-хозяйственной деятельности организаций и Инструкции по его применению".
31 Рассказова-Николаева С.А., Калинина Е.М., Михина С.В. Основные средства и материально-производственные запасы: учет по правилам ПБУ // Экономико-правовой бюллетень. 2008. N 5.
32 Приказ Минфина РФ от 09.06.2001 N 44н (ред. От 26.03.2007) "Об утверждении Положения по бухгалтерскому учету "Учет материально-производственных запасов" ПБУ 5/01".
33 Приказ Минфина РФ от 09.06.2001 N 44н (ред. От 26.03.2007) "Об утверждении Положения по бухгалтерскому учету "Учет материально-производственных запасов" ПБУ 5/01".
34 Рассказова-Николаева С.А., Калинина Е.М., Михина С.В. Основные средства и материально-производственные запасы: учет по правилам ПБУ // Экономико-правовой бюллетень. 2008. N 5.
35 Рассказова-Николаева С.А., Калинина Е.М., Михина С.В. Основные средства и материально-производственные запасы: учет по правилам ПБУ // Экономико-правовой бюллетень. 2008. N 5.
36 Рассказова-Николаева С.А., Калинина Е.М., Михина С.В. Основные средства и материально-производственные запасы: учет по правилам ПБУ // Экономико-правовой бюллетень. 2008. N 5.
37 Рассказова-Николаева С.А., Калинина Е.М., Михина С.В. Основные средства и материально-производственные запасы: учет по правилам ПБУ // Экономико-правовой бюллетень. 2008. N 5.