Ветеринарная фармакология
ОМСКИЙ ГОСУДАРСТВЕННЫЙ ИНСТИТУТ ВЕТЕРИНАРНОЙ МЕДИЦИНЫ

Контрольная работа
по Ветеринарной фармакологии
Выполнил:
Студент заочного факультета
4-го курса , I группы, шифр-94111
Алтухов М.А. IV вариант
Проверил_________________
Омск 1998 г.
1. Общий принцип химиотерапии. Особенности действия и применения антибиотиков группы пенициллина и стрептомицина. Осложнения, возникающие при неправильном применении антибиотиков указанных групп; их профилактика.
.Термин «химиотерапия» (спето—химия, terapia—лечение) введен П. Эрлихом, применявшим для лечения инфекционных и прото-зойных болезней химические вещества точного химического строения (органические краски и др.). В современном представлении любое лекарственное вещество имеет точное химическое строение, и действие его обусловлено определенными химическими или физическими процессами. Термин «химиотерапия» теперь употребляют для выражения дей-
ствия лекарственных веществ на возбудителей заразных заболеваний, находящихся в организме животных.
Избирательное химиотерапевтическое влияние происходит чаще всего потому, что препарат адсорбируется в возбудителе в количествах, более значительных, чем в тканях животного, или нарушает такие процессы метаболизма, которые крайне необходимы для жизни возбудителя и не имеют существенного значения для макроорганизма. Чем выше доза лекарственного вещества, тем ярче проявляется его химиотерапевтический эффект. Но большинство этих препаратов в какой-то мере неблагоприятно влияет на животных, а отрицательное действие их тем слабее, чем меньше доза вещества. Чтобы правильно выбрать дозу, обеспечивающую надежное лечебное действие и не оказывающую токсического влияния, нужно применять препараты с высоким химиотерапевтическим индексом (соотношение доз максимальных переносимых и минимальных лечебных). В ветеринарии при заразных заболеваниях лекарственные вещества применяют и для профилактики.
АНТИБИОТИКИ
Антибиотики—специфические продукты жизнедеятельности микроорганизмов, животных и растений, обладающие противомикробным действием. Кроме того, известно, что некоторые из них действуют губительно на гельминтов, простейших и других возбудителей болезней человека и животных. Название «антибиотики» (anti—против, bios— жизнь) дано тогда, когда было известно губительное влияние их только на возбудителей болезней. Позже выяснено, что многие антибиотики стимулируют отдельные биохимические процессы в организме животных, а это ведет к улучшению общего их состояния, ускорению роста, повышению продуктивности, активизации защитных реакций
Несмотря на большую специфичность, антибиотики действуют по общим фармакологическим законам, они очень эффективны, но только при четком выполнении разработанных условий. Если условия не соблюдают, то антибиотики малоэффективны, а в некоторых случаях могут причинить и вред.
Термин «антибиотики» был принят в 1942 г., но этому предшествовали большие и сложные исследования. Один из первых отечественных ученых Н. Н. Благовещенский еще в 1890 г. предложил использовать продукты жизнедеятельности синегнойной палочки для подавления сибиреязвенных бактерий в организме животных. К этому времени представление об антибиотических веществах у отдельных микробов было бесспорным, и Р. Эммерих предпринял попытки получить эти вещества. Ему удалось выделить из синегнойной палочки пиоцианазу (1889 г.). Почти одновременно Н. Ф. Гамалея выделил из того же микроорганизма пиокластин.
Разные антибиотики неодинаково действуют на различные микроорганизмы, неодинаково влияет каждый из них и на макроорганизм.
Общие закономерности химиотерапевтического и химиопрофилак-тического действия антибиотиков. Основными причинами широкого использования их являются: 1) специфический механизм действия; 2) широкий и четко выраженный спектр противомикробного действия и нейтрализации токсинов; 3) эффективность в очень малых дозах; 4) сохранение активности в условиях макроорганизма; 5) ярко выраженное и быстро проявляющее лечебное и профилактическое действие; 6) очень низкая токсичность для животных.
Во многих случаях антибиотики нарушают структурные образования клеток (чаще всего это касается мембран возбудителей или орга-нелл). Пенициллин препятствует образованию оболочки микробной клетки и тем самым резко дезорганизует основные жизненные процессы всей клетки
Одним из основных видов противомикробного действия антибиотиков является ингибирование ферментов. Исследования показывают, что наиболее часто антибиотики тормозят ферментные реакции и несколько реже препятствуют образованию самих ферментов, но, кроме того, наблюдается и то и другое влияние. Чаще всего подавляется активность оксидаз, фосфоролидаз, редуктаз, то есть таких ферментов, которые совершенно необходимы для метаболизма большого числа бактерий, особенно патогенных.
В механизме противомикробного действия антибиотиков (так же, как и сульфаниламидов) большое значение имеет имитация по принципу стереоизометрии. Доказательством может служить высокая бактерицидность пенициллина с наличием в нем диметилцистеина правой конфигурации; в отличие от этого пенициллин синтезированный, содержащий диметилцистеин левой конфигурации, не действует противомикробно.
Важную роль в действии антибиотиков играет появление значительного количества антиметаболитов; часто наблюдается ослабление функций метальных групп, а все процессы метилирования, как известно, являются важнейшими в жизнедеятельности живого вещества, и нарушение их ведет к гибели микроба.
Избирательная адсорбция большого количества антибиотиков сопровождается значительными морфологическими, электронными и тинториальными изменениями мембраны клеток. Изменяются и другие жизненно важные свойства ее, что ведет к ослаблению эндогенного дыхания и способности нейтрализовать даже такие слабые яды, как органические кислоты, антивитамины и др.
Каждый антибиотик действует на большую группу грамположи-тельных или грамотрицательных бактерий (а многие из них действуют на грамположительные и грамотрицательные). Антибиотики с таким широким спектром противомикробного действия эффективны при многих заболеваниях органов пищеварения и дыхания, матки и вымени, а также при травматических повреждениях.
Но химиотерапевтическая активность антибиотиков сильно варьирует в зависимости от многих условий. Поэтому, прежде чем назначить лечение животным, нужно определить чувствительность возбудителя болезни к антибиотикам. Это позволит значительно повысить эффективность антибиотикотерапии и антибиотикопрофилактики.
Чувствительность микроорганизмов к антибиотикам определяют по минимальной концентрации препарата, подавляющей рост микробов в точно определенных условиях. Она часто бывает неодинаковой у различных штаммов, у разных колоний одного штамма и даже у отдельных особей популяции.
Химиотерапевтические дозы и концентрации. Важным преимуществом антибиотиков по сравнению с другими химио-терапевтическими средствами является высокая активность их в очень малых концентрациях. Например, для подавления роста гемолитиче-ского стрептококка требуется концентрация фенола 1:800. При таких же условиях противомикробная концентрация стрептоцида меньше в 250 раз (1:200000), а пенициллина—в 100000 раз (1:80000000). Такие небольшие концентрации антибиотика можно легко создать в органах животного, поэтому лечебные дозы этих препаратов очень низкие (в микрограммах), а лечебный эффект высокий.
Антибиотики дозируют из расчета на 1 кг массы животного и только иногда на животное в целом. В зависимости от путей введения дозы рассчитывают следующим образом: при введении антибиотика через рот доза его в 2—4 раза больше, чем при внутримышечном или подкожном введении, а при внутримышечном—доза в 1,5—2 раза больше, чем при внутривенном. Доза антибиотика зависит от вида болезни и тяжести ее течения; например, при сепсисе вводят максимальные дозы вещества и по возможности внутривенно. Одному и тому же животному в зависимости от общего состояния его назначают разные дозы антибиотика; слабым животным обычно вводят '/2 или 1/3 обычной дозы. Дозы зависят от закономерностей распределения антибиотиков в тканях и (значительное повышение химиотерапевтического эффекта), а при неправильной—антагонизм (ослабление эффекта).
В силу комплексного влияния антибиотиков на возбудителя, токсины и макроорганизм они имеют ряд преимуществ перед другими веществами. Антибиотики излечивают живогных при многих заболеваниях, которые раньше были неизлечимы, а при заболеваниях, излечиваемых другими средствами, они намного больше сокращают сроки общего выздоровления.
Динамика распределения разных антибиотиков несколько различна. Например, после их внутримышечного введения в терапевтических дозах окситетрациклин хорошо проникает в кровь и многие органы; олеандомицин также хорошо проникает в кровь и органы, но он слабее адсорбируется и быстрее выводится; в отличие от этих веществ моно-мицин не обнаруживается в большинстве органов, но бывает в больших количествах в почках и легких.
В течение первого часа антибиотики распределяются наиболее равномерно в разных органах, а затем для большинства их характерно скопление в наиболее высоких концентрациях в органах выделения (почки), в печени, сердце, легких, стенке желудка и кишечника и несколько меньше в поперечнополосатой мускулатуре.
Выделение антибиотиков начинается почти сразу же после появления их в крови, а в дальнейшем оно все больше и больше возрастает (опять-таки по мере увеличения концентрации антибиотика в организме). Высокий темп выделения сохраняется, пока основная масса вещества не будет выведена. Следы антибиотиков (концентрации в 5—160 раз меньше терапевтических) сохраняются в большинстве тканей животного от нескольких часов до 2—4 сут.
Основные преимущества антибиотиков следующие: 1) наиболее выраженный и наиболее устойчивый ростостимулирующий эффект; 2) положительное влияние на общее состояние, развитие и резистентность животных; 3) улучшение течения беременности и развития плода; 4) сохранение качества мяса; 5) низкая стоимость препаратов и возможность получения их в неограниченных количествах; 6) стойкость препаратов при хранении и доступные методы массового применения их. Однако антибиотики положительно влияют только в том случае, если учитывают все условия, обеспечивающие высокую их эффективность.
П
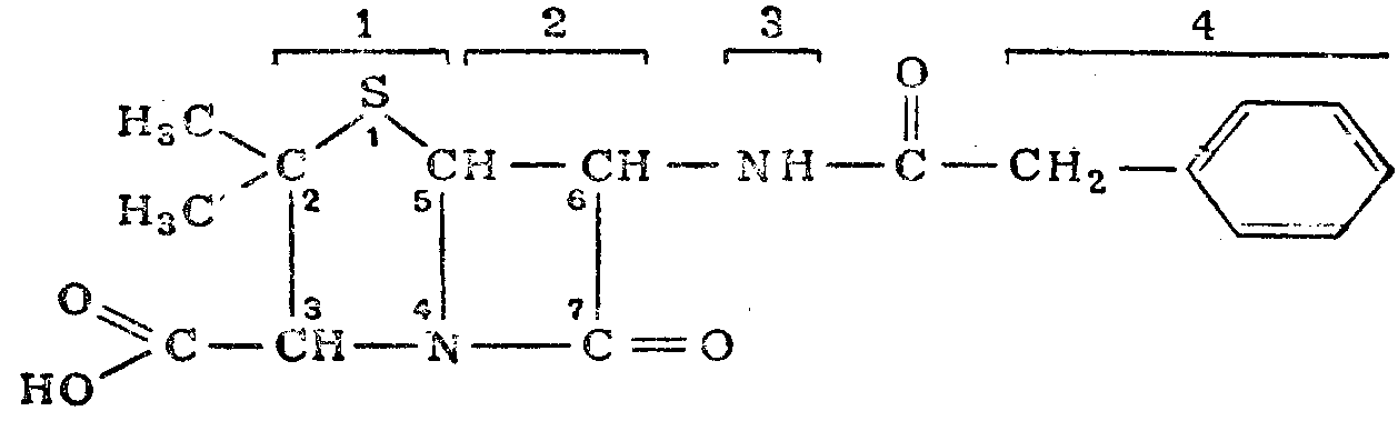
енициллины—
органические кислоты, имеющие в своей
основе тиазолидиновое ядро (7) и
р-лактамовое кольцо (2) с открытой
аминогруппой в шестом положении (3). Один
из водородов аминогруппы через группу
СО замещается радикалом разного строения
{4): пен-тенилом (СНз-СНа-СН;
CH-CI-^-), гептилом [СНз(СН2)5СНг=],
оксибензилом (HO-QH4CH3==) и
Др. Наибольшее практическое значение
имеет пенициллин, у которого радикал
замещен бензилом (СбНвСНг^), а получаемый
препарат называется бензилпеницил-л
ином.
Бензилпенициллин продуцируется зелеными плесенями — PenicH-linurn.
Пенициллин, как кислота, нестойкий,
легко разрушается и действует
кратковременно. Для устранения этих
недостатков его переводят в соли
(натриевую и калиевую). Для пролонгирования
действия солей пенициллина готовят
комплексные препараты с новокаином, а
для расширения спектра действия—с
экмолином.
Активность пенициллина зависит от серии и способа очистки препарата. Поэтому его дозируют в единицах действия. 1 ЕД соответствует 0,5988 мкг химически чистой натриевой соли бензилпеницил-лина. В форме порошка пенициллин не влияет антимикробно, он активен только в растворах. Более того, микробы (даже чувствительные к пенициллину) могут длительно находиться в порошке пенициллина, не снижая своей вирулентности. Хранят пенициллин во флаконах фабричной упаковки. Стерилизовать раствор нельзя, так как это разрушает пенициллин. Хороший растворитель пенициллина — изотонический раствор натрия хлорида (0,9%-ный) на дистиллированной воде. Раствор пенициллина лучше всего сохранять при рН 6—6,5.
Механизм противомикробного действия пенициллина при разных условиях неодинаков. На первый план выступает нарушение синтеза ацетилмурамовой кислоты — составной части мукопептида. Муко-пептид необходим для стенки бактериальной клетки, и недостаток его нарушает способность клетки ассимилировать аминокислоты и многие другие необходимые ей вещества. У таких клеток нарушается способность делиться; образуются крупные формы бактерий, очень неустойчивые и легко лизирующиеся.
Учитывая, что активность пенициллина значительно выше in vivo, чем in vitro, вполне возможно допустить, что важным звеном его противомикробного влияния является создание условий в организме, неблагоприятных для микробов, и повышение устойчивости животных. Поэтому антимикробное действие его бывает неодинаковым и зависит от условий, в которых находится животное. В частности, недостаток белков в корме и нарушение протеолитических процессов в организме снижают лечебную эффективность пенициллина.
Пенициллин легко резорбируется после инъекции внутримы-шечно или под кожу. В пищеварительном тракте он всасывается только в кишечнике, но значение в этом отношении имеет только тонкий отдел, так как в толстом он разлагается пенициллиназой, вырабатываемой сапрофитной грамотрицательной микрофлорой. После резорбции он быстро распространяется по всему организму и скоро разрушается или выделяется (с мочой или желчью). Разные препараты имеют неодинаковую скорость выведения.
Реакция животных разных видов на пенициллин очень сходная. Наиболее чувствительны молодые животные; реакция утомленных животных, особенно в жаркое время, сильнее выражена. Пенициллин с успехом применяют с лечебной и профилактической целью при роже свиней, мыте лошадей, крупозной пневмонии лошадей, плевропневмонии крупного рогатого скота, при заболеваниях органов дыхания у свиней, при лептоспирозах, некробациллезах, пастереллезах, инфекционных бронхопневмониях, эмфизематозном карбункуле, злокачественном отеке, актиномикозе, актинобациллезе, сибирской язве, стахиботриотоксикозе. Пенициллин благоприятно влияет при инфекционном стоматите кроликов, дифтерии кур, чуме собак, желудочно-кишечных инфекциях молодняка, при маститах и др.
Дозы пенициллина и частота повторных введений зависят от инфекции, характера индивидуальной реакции животного, от особенностей патологического процесса, а также от способа введения и свойств растворителя.
При длительном использовании пенициллина в больших лечебных дозах в отдельных случаях отмечают побочное действие его: ослабление кроветворной функции мозга у молодняка и аллергические реакции. Однако это быстро проходит, если прекратить дачу препарата.
Бензилпенициллина натриевая соль (бензилпенициллин-натрий) — Benzylpenicillinum-natrium. Содержит в 1 мг 1600—1670 ЕД бензилпенициллина. Выпускают в специальных флаконах от 100 000 до 1000 000 ЕД. Срок хранения 3 года. Является основным пенициллиновым препаратом. Применяют внутривенно и внутримышечно.
Бензилпенициллина калиевая соль (бензилпенициллин-калий) — Benzylpenicillinum-kaliurnВ 1 мг содержит около 1600 ЕД пенициллина. Дозы обеих солей пенициллина внутримышечно в ЕД на 1 кг массы животного: коровам 3000, телятам 5000, овцам 4000, ягнятам 10000, свиньям 6000, поросятам 8000, лошадям 2000, жеребятам 3000, курам 50 000. Иногда используют пенветиннатриевую или пенветинкалиевую соль бензилпенициллина.
Бензилпенициллина новокаиновая соль (новокаин-бензилпеницил-лин) — Benzylpenicillinuni-novocairiurn. Препарат очень мало растворим в воде, но образует с ней стойкую тонкую суспензию. Всасывается медленнее натриевой и калиевой солей. При однократной внутримышечной инъекции терапевтическая концентрация пенициллина в крови удерживается около 15 ч. Имеет такой же спектр антимикробного действия, что и все пенициллины, но влияет несколько слабее натриевой соли. Назначают внутримышечно. Дозы: на 20—50% больше, чем солей.
Феноксиметилпенициллин — Phenoxymethylpenicillinum. Полусинтетический препарат.
В 1 мг содержат 1600 ЕД пенициллина. Показаны для применения в тех же случаях, что и бензилпенициллин. Рекомендуют с кормом 3—5 раз в день из расчета миллиграммов на 1 кг массы тела: коровам 4, телятам 10, овцам 10, ягнятам 20, свиньям 10, поросятам 15.
Бициллин-1—Bicillinum-l. К,М'-Дибензилэтилендиаминовая соль бензилпенициллина. 1 мг содержит не менее 1000 ЕД. Белый или слегка желтоватый порошок. В воде практически не растворяется, растворяется в спирте. С водой хорошо смешивается, образуя тонкую стойкую эмульсию. По действию не отличается от пенициллина, но очень стоек, и при внутримышечном введении терапевтическая концентрация его удерживается в крови более трех суток. Фармацевтическая промышленность выпускает также бициллин-2, -3 и -5.
Бициллин-З содержит по 1 части калиевой или натриевой соли бензилпенициллина, новокаиновой соли бензилпенициллина и бициллина-1. Назначают его внутримышечно при тех же показаниях, что и пенициллины, и внутрь для ускорения роста животных; повторное введение требуется через 2—8 дней. Дозы в ЕД на 1 кг массы животного: коровам 5000—8000; овцам 10000—20 000; свиньям 10000—20 000; лошадям 10000—12000; курам 100000. Препарат вводят один раз в 5—6 сут.
Алмециллин — Almecillinum. Калиевая соль аллилмеркаптометил-пенициллиновой кислоты.
П
олучают
биосинтезом при выращивании
Penicillium в среде, содержащей
аллимеркаптоуксусную кислоту. По спектру
и по силе действия почти не отличается
от пенициллина, но активен в отношении
пенициллинустойчивых штаммов. Применяют
при тех же показаниях, что и бензилпенициллин.
Назначают внутримышечно 3 раза в день
в тех же дозах, что и натриевую соль
пенициллина.
Ампициллин — антибиотик широкого спектра действия, активен в отношении различных групп грамположительных и грамотрицательных микроорганизмов. Стабилен в кислой среде и хорошо всасывается. Лечебная концентрация в крови удерживается на уровне не менее 6—8 ч. Применяют с лечебной целью молодняку сельскохозяйственных животных при бронхопневмонии, колибактериозе, сальмонеллезе и пастерел-лезе. Назначают перорально групповым методом с кормом или индивидуально три раза в сутки в следующих разовых дозах (из расчета на 1 кг массы): поросятам — 30 мг, телятам и ягнятам — 20 мг.
Ампиокс—Ampioxum. Комбинированный препарат, состоящий из смеси натриевых солей ампициллина и оксациллина (2:1).
Синтомицин—Synthomycinurn. Рацемат трео-1-пара-нитрофенил-2-дихлорацетиламино-1,3-пропандиола. Белый мелкокристаллический порошок горького вкуса, плохо растворяется в воде, хорошо—в спирте. Хранят с предосторожностью. Применяют с той же целью, что и левомицетин, а дозы несколько больше.
Группа
стрептомицина. Стрептомицин—сложное
органическое соединение, состоящее из
стрептидина и стрептобиозамина. При
гидролизе он распадается на эти составные
части, лишенные антибактериальной
активности. Как основание, стрептомицин
легко образует соли, из которых наибольшее
значение имеют сульфат
Спектр антимикробного влияния сходен с пенициллиновым, но, кроме того, препарат нарушает рост туберкулезной палочки и бруцелл, в слабой степени задерживает развитие некоторых протозоев, нейтрализует столбнячный токсин. К стрептомицину легко развивается устойчивость патогенных микроорганизмов.
Механизм действия стрептомицина связан с вторжением его в реакцию пировиноградной и щавелевоуксусной кислоты в цикле Кребса. У животных эта реакция происходит в митохондриях, куда затруднено проникновение стрептомицина, поэтому он не оказывает на них существенного влияния; в бактериальной же клетке эта реакция не защищена, и стрептомицин поражает бактерии. Кроме того, он нарушает синтез белка, усиливает распад РНК, нарушает проникновение ионов калия через мембрану микробных клеток.
Бактерицидность стрептомицина зависит от состава среды, ее реакции и наличия инактиваторов (солей, глюкозы, цистина, гидроксил-амина, гидразина и др.). При длительном применении стрептомицина развивается устойчивость микробов к этому препарату. Поэтому, если требуется долгое лечение, целесообразно чередовать его с другими антибиотиками.
Назначенный per os, стрептомицин очень плохо всасывается и действует только в пищеварительном тракте. При парентеральном введении также не резорбируется в кишечник и поэтому не действует на микрофлору пищеварительного тракта. Около 40% стрептомицина в организме разрушается, около 60% выделяется почками.
При использовании стрептомицина в больших дозах у отдельных животных возможна идиосинкразия в виде крапивницы, поносов, аритмии, сердечных сокращений.
Хорошие результаты получены от стрептомицина при лечении туляремии, острой формы бруцеллеза, туберкулезного менингита, туберкулеза гортани, кишечных заболеваний, листереллеза крупного рогатого скота. Иногда стрептомицин рекомендуют для ускорения роста животных, но по эффективности он уступает хлортетрациклину, а стоимость препарата примерно в 5 раз выше, чем полуфабрикатов тетрациклина.
Стрептомицина сульфат — Streptomycini sulfas. Основной препарат стрептомицина. Образуют его грибок Streptomyces globisporus и родственные ему организмы. Это порошок или пористая масса белого цвета, выпускают во флаконах по 0,25; 0,5 и 1,0 г. Препарат при внутримышечном введении быстро всасывается. Терапевтическая концентрация в различных органах и тканях организма удерживается не менее 12 ч, выводится с мочой в виде основания.
Стрептомицин обладает антимикробным действием по отношению ко многим грамположительным и грамотрицательным бактериям, а также к кислотоустойчивым и пенициллиноустойчивым микробам, но не активен в отношении возбудителей анаэробных инфекций. У крупного рогатого скота иногда проявляются быстро развивающиеся реакции (анафилактический шок, ангионевротический отек гортани). Осложнения могут появиться после первого введения препарата, но чаще обусловливаются сенсибилизацией организма при повторных курсах лечения.
Применяют с лечебной целью при лептоспирозе, пневмонии невирусной этиологии, диплококковой инфекции, мастите, эндометрите, раневом и послеродовом сепсисе и других болезнях, роже и отечной болезни свиней, злокачественной катаральной горячке и актиномикозе крупного рогатого скота. Вводят внутримышечно. Курс лечения 4—7 дней, два раза в сутки в дозах на 1 кг массы животного: коровам 5 мг, телятам 10, овцам 10, ягнятам 20, свиньям 10, лошадям 5, жеребятам 10; при лептоспирозе—в дозе 10—12 мг.
Не допускается сочетанное применение стрептомицина с другими аминогликозидными препаратами (неомицин, канамицин, мономицин, гентамицин) вследствие возможного усиления нефротоксического действия.
Убой на мясо животных разрешается не ранее чем через 7 сут после прекращения применения препарата. Молоко, полученное от животных, подвергавшихся лечению стрептомицина сульфатом, запрещается использовать для пищевых целей в течение 2 сут после прекращения введения препарата.
Стрептомицин-хлоркальциевый комплекс—Streptomycini et calcii chloridum. Двойная соль кальция хлорида и стрептомицина гидрохлорида. Терапевтические концентрации в различных органах и тканях организма удерживаются в течение 8—12 ч. Выводится из организма в основном с мочой.
Препарат обладает антимикробным действием по отношению ко многим грамположительным и грамотрицательным бактериям, а также к кислотоустойчивым и пенициллиноустойчивым микробам, но не активен в отношении возбудителей анаэробных инфекций. При внутримышечном введении у крупного рогатого скота иногда проявляются быстро развивающиеся аллергические реакции (анафилактический шок, ангио-певротический отек гортани
Применяют с лечебной целью при лептоспирозе, пневмонии неви-руспой этиологии, диплококкокой инфекции, мастите, эндометрите, раневом и послеродовом сепсисе, роже и отечной болезни свиней, злокачественной катаральной горячке, кампилобактериозе и актиномикозе крупного рогатого скота в тех же дозах и с теми же условиями, что и стрептомицина сульфат.
Дигидрострептомицина сульфат — Dihydrostreptomycine sulfas. Продукт восстановления стрептомицина, в котором альдегидная группа превращена в оксиметильную. Выпускают во флаконах по 0,25; 0,511 1,0 г активного вещества в пересчете на дигидростреп-томицин-основание При внутримышечном введении быстро всасывается в кровь. Терапевтическая концентрация удерживается в организме в течение 6—12 ч. Выводится из организма в основном с мочой.
Препарат обладает антимикробным действием по отношению ко многим грамположительным и грамотрицательным бактериям, но не активен в отношении возбудителей анаэробных инфекций.
Применяют его с лечебной целью при бронхопневмонии, диплокок-ковой инфекции, мастите, эндометрите, раневом и послеродовом сепсисе, роже и отечной болезни свиней, злокачественной катаральной горячке, кампилобактериозе и актиномикозе крупного рогатого скота, при тех же условиях, что и стрептомицины. Вводят внутримышечно из расчета на 1 кг массы тела: коровам 3 мг, телятам 5, овцам 10, ягнятам 20, свиньям 10, поросятам 20, лошадям 4, жеребятам 6 мг два раза в день.
Гризин — Grysinum. Продуцируется лучистым грибом Streptomyces griseus Krainsky. Хлоргидрат гризина—аморфный, гигроскопический порошок, легкорастворимый в спирте. Имеет широкий спектр противо-микробного влияния, но слабую активность.
В животноводстве чаще всего применяют кормогризины—нативные препараты гризина—кормогризип-5, кормогризин-10 и кормогри-зин-40.
2- Фармакодинамика андрогенов и анаболитических стеро-ядов. Показания к применению.
АНДРОГЕНЫ
Андрогены (греч. andros — мужчина и genesis — рождение) — вещества, обладающие биологическим действием мужского полового гормона. В организме животных и человека они образуются у мужских особей в семенниках и в корковом слое надпочечников, у женских особей в корковом слое надпочечников, а при некоторых условиях и в яичниках. В семенниках вырабатывается первичный гормон—тестосте-рон. При метаболизме тестостерона образуются андростерон, этилхола-нолон, дегидроандростерон и изоандростерон. Андрогены выделены в чистом виде, но в таком состоянии их мало используют в практике, так как они действуют недолго. Из них изготовлены препараты с пролонгированным действием — тестостерона пропионат, тестостерон-дипропио-нат, тестостерон-фенилпропионат, тестостерон-фенилацетат и метилте-стостерон. Эти препараты очень медленно резорбируются и при однократной инъекции действуют от 3 до 30 сут.
Андрогенные препараты активизируют спермиогенез, повышают активность спермиев, улучшают деятельность простаты, усиливают вторичные половые признаки у мужских особей. У женских особей андрогены вызывают нарушение эстрального цикла и появление стойкой фазы ди-эструса.
Применяют андрогены при половой недостаточности самцов-производителей, при некоторых формах нарушения функции сердечно-сосудистой системы, при дисфункциях матки и др.
М
етилтестостерон
— Methyltestosteronum.
17-а-Метиландростен-4-ол-17-он-З—одна из
форм мужского полового гормона
тестостерона, полученного синтетическим
путем.
Обладает биологическими свойствами естественного гормона, выпускают в таблетках по 5 и 10 мг в каждой. Применяют самцам при половом недоразвитии и функциональных нарушениях в полоВой сфере, при сосудистых и нервных расстройствах.
Т
естостерона
пропионат—Testosteroni propionas.
Андростен-4-ол-17р-он-3-пропионат.
Синтетический препарат, обладающий
биологическими и лечебными свойствами
естественного мужского полового гормона
тестостерона. Он в 2—3 раза активнее
метилтестостерона и обладает более
продолжительным действием. Тестостерона
пропионат назначают самцам при тех же
показаниях, что и метилтестостерон: при
половом недоразвитии, при сосудистых
и нервных расстройствах. Применение
препарата при соответствующих показаниях
и в соответствующих дозах приводит к
усилению половой функции, стимулированию
роста недоразвитых половых органов,
развитию вторичных половых признаков.
Препарат рекомендуют также самцам при
импотенции вследствие переутомления,
а женским особям при метритах и вагинитах.
Назначают внутрь в дозах: коровам
0,04—0,08 г; собакам 0,005—0,01 г.
Из андрогенов заслуживают внимания также тестостерон энантат, тестэнат и тестобромлецит.
Анаболитичейкие стероидные вещества по строению близки к кортикостероидам и андрогенам. По действию они ближе всего стоят к тестостерону, но имеют сильно выраженную анаболитическую активность. Ценное в действии этих веществ — активизация синтеза пластического белка и более высокое усвоение азота. Такого рода действие сочетается с улучшением использования серы, фосфора и калия.
У истощенных животных это сопровождается восстановлением мускулатуры, кальцификацией остопорозных костей и увеличением общей живой массы. Попытки использовать эти вещества для откорма здоровых животных пока не увенчались успехом. Анаболитические стероиды рекомендуют применять при исхудании животных, слабости и нарушениях протеолиза. Действие препаратов в какой-то форме связано со значительным изменением функции печени. Поэтому при заболеваниях пе чени их не применяют.
3. Механизм действия кальция пангамата, аскорбиновой кислоты и флавоноидов. Практическое использование этих веществ.
Коферменты рибофлавина имеют большое значение в регулировании обмена веществ: одни из них осуществляют окислительное дезами-нирование аминокислот, другие принимают участие в их синтезе.
Рибофлавин считается веществом, регулирующим уровень сахара в организме. Так же, как тиамин и никотиновая кислота, он необходим для окисления молочной кислоты вначале в пировиноградную, а затем -в углекислоту. Он участвует и в азотистом обмене, так как большинство донаторов водорода окисляется при помощи ферментов, образованных рибофлавином. Очень важное действие рибофлавина — улучшение использования в организме животных таких аминокислот, как триптофан, гистидин, фенилаланин и треонин. Превращение таких аминокислот, как гликокол, цистин, тирозин, возможно только с участием рибофлавина. При недостатке рибофлавина или при инактивации его не только нарушается использование этих кислот, но и образуются весьма ядовитые вещества из них.
Данные о комплексных соединениях рибофлавина в организме дают основание считать, что он принимает участие в образовании дыхательных ферментов. В результате у животных улучшается обмен веществ и нормализуется функциональная деятельность центральной нервной системы, рецепторного аппарата сосудистой системы (особенно капилляров), секреторных желез желудка и кишечника: печени, кожи и слизистых оболочек, зрительного пурпура и др. ^ Применяют рибофлавин с профилактической и лечебной целью при состояниях гипорибофлавиноза, для стимуляции роста и продуктивности животных, для активизации окислительно-восстановительных реакций, клеточного дыхания, синтеза белков и жиров, для улучшения регулирующего влияния нервной системы, стимуляции гемопоэза, повышения защитной роли печени, кожи и слизистых оболочек.
Д
ля
лечения больных животных лучше всего
использовать корма, богатые данным
витамином, для профилактики применяют
премиксы с рибофлавином.
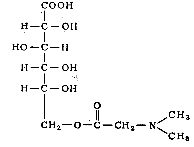
Кальция пангамат (витамин B15) — Calcii pangamas. Кислота его имеет следующую формулу:
Белый аморфный порошок характерного аминного запаха и горь-кого вкуса, хорошо растворимый в воде (1 : 1), нерастворимый в спир-те, эфире и ацетоне. Разрушается в щелочной среде. Термоустойчив.
В выпускаемом препарате имеется не менее ои"/о пангамата каль-ция,рколо 30% глюконата кальция и не более 8,5% воды.
Наиболее характерным для кальция пангамата является метилирующее влияние, активизация окислительных процессов и повышение детоксицирующих реакций в организме.
Одно из интересных свойств кальция пангамата' его способность передавать метальные радикалы другим молекулам. Дело в том, что пангамат кальция может образовывать многометильные соединения, которые, в свою очередь, могут являться метильным донатором в биосинтезе многих важных для организма соединений. Наиболее полно изучено участие его в биосинтезе креатина: окисляясь в присутствии аденозинфосфорной кислоты и неорганического фосфора, он передает метильную группу на непосредственного предшественника креатина — гуанидинуксусную кислоту; в этих же направлениях он влияет в биосинтезе холина, метионина, адреналина, стеринов и стероидных гормонов.
Поступление в организм соединений с подвижными метильными группами предотвращает жировую инфильтрацию печени. И здесь пангамат кальция действует так же активно, как метионин, холин, бетаин, фолиевая кислота и цианкобаламин. Кроме того, он активизирует ферменты дыхания Кребса, благодаря чему восстанавливается нарушенная обменная активность миокарда. Пангамат кальция благоприятно влияет при ишемии миокарда. Улучшая кислородный обмен в организме, препарат действует весьма благоприятно при многих гипокси-ческих и аноксических состояниях организма, ревмокардите, ишемии миокарда, аритмиях сердечных сокращений, цианозах, усиливает биосинтез холина, а через него и ацетилхолина.
Пангамат кальция уменьшает содержание молочной кислоты в мышцах и увеличивает йодное число липидов. При подкожном введении кальция пангамата вызывает кратковременную лейкопению, а затем умеренный лейкоцитоз. В медицинской клинике он показан при атеросклерозе и склерозе коронарных сосудов, при миокардитах, облитерирующем атеросклерозе ног,, легкой форме диабета, при разных формах коронарной недостаточности, при ревматизме, гепатитах, циррозах печени, при спазмах сосудов мозга, эри-тремиях.
Весьма существенно детоксицирующее влияние соединений кальция пангамата. Они действуют благоприятно при отравлениях наркотиками, салицилатами, карбахолином, кортизоном, четыреххлористым углеродом, дихлорэтаном, антибиотиками тетрациклинового ряда и др. Полагают, что такое влияние их связано с метилирующей способностью и активизацией окислительных процессов в организме.
В животноводстве препарат назначают для ослабления токсических симптомов при отравлениях наркотиками, четыреххлористым углеродом, тетрациклиновыми антибиотиками, кортикостероидами, как лечебное средство при хронических гепатитах и начальных стадиях цирроза печени; при разных формах ослабления активности сердечной мышцы; при гипоксических состояниях организма животных; при за- болеваниях, сопровождающихся нарушением липидного обмена и усвое-ния кислорода тканями.
Кальция пангамат применяют внутрь и под кожу в дозах (ориентировочно): 1—3 мг/кг. Действие его проявляется медленно, препарат назначают длительно (10—20 дней).
В чистом виде аскорбиновая кислота — бесцветные кристаллы или белый кристаллический порошок без запаха, кислого вкуса, растворяется в воде (при 0°С—13,6%, при 24°—22,4%, при 50°—38,2%, при 100°С—57,5%). Термостабильна, устойчива при хранении. Водные ее растворы можно хранить только в ампулах, так как она легко окисляется в присутствии воздуха. Сохраняется она только в кислой среде, а в щелочной быстро разрушается. Несовместима с перекисью водорода, калия перманганатом и другими окислителями, а также с йодом, карбонатами и гидрокарбонатами, с препаратами серебра.
В основе фармакологической активности аскорбиновой кислоты лежит способность ее к окислительно-восстановительным реакциям в органическом субстрате. Окисление может протекать как обратимое и как необратимое. В первом случае она окисляется до дегидроаскорби-новой кислоты (ДАК), из которой восстанавливается в свое исходное состояние. Если кислота окисляется в 2,3-дикетогулоновую кислоту, то этот процесс уже является необратимым, так как дикетогулоновая кислота превращается в фурфурол и 002.
Аскорбиновая кислота принимает участие в таких жизненно важных процессах, как превращение нуклеиновых кислот, окисление тирозина, влияет на образование коллагена и близких к нему веществ, входящих в состав основного промежуточного вещества эндотелия сосудов, а также ретикулярной и соединительной ткани, хряща, кости, дентина.
Отмечено, что дифференцирование и созревание фибробластов и остеобластов осуществляются обязательно с участием аскорбиновой кислоты. Способствуя образованию коллагена и его разновидностей, аскорбиновая кислота обеспечивает целостность и функциональную активность сосудов. Весьма благоприятно влияние аскорбиновой кислоты на адренергические нервы и на ретикулоэндотелиальную системуПод влиянием аскорбиновой кислоты существенно повышается активность ретикулоэндотелиальной системы; фагоцитарная активность ее возрастает в несколько раз. Положительное влияние аскорбиновой кислоты зависит от степени и стадии воспалительного процесса. Она особенно полезна тогда, когда процесс только начинается и нет еще таких признаков, как отек и повышение температуры.
Аскорбиновая кислота влияет на углеводный и белковый обмен веществ. Влияние на углеводный обмен, как полагают, осуществляется через вегетативную иннервацию. Наиболее характерно для ее действия снижение гликогена в печени и мышцах, а также выравнивание уровня пировиноградной кислоты в крови.
Оказывая прямое влияние на отдельные процессы белкового обмена веществ, аскорбиновая кислота, в частности, регулирует интерме-диарный обмен тирозина и фенилаланина, выравнивает уровень поли-пептидов крови. Полностью установить механизм этого действия пока не удалось, но доказано, что аскорбиновая кислота влияет на уровень каталазы и глютатиона крови, усиливает действие катепсина. Кроме того, она повышает расщепление аргинина, активизирует энтеразу печени, ускоряет образование каталазы крови.
Ценной стороной фармакодинамики аскорбиновой кислоты является стабилизация сульфгидрильных групп некоторых ферментов, без нарушения их основных свойств.
Аскорбиновая кислота умеренно, но на длительный срок повышает устойчивость животных ко многим ядам как эндогенного, так и экзогенного происхождения. Например, смертельные дозы новарсенола для кроликов должны быть в 1,5 раза больше, если за 30 мин до этого животным ввести аскорбиновую кислоту. В противоположность при С-витаминных недостаточностях они почти в 2 раза меньше, чем для здоровых животных. По данным клинических исследований, аскорбиновая кислота снижает токсичность не только мышьяковых препаратов, но и соединений свинца, фенолов.
Избыток аскорбиновой кислоты в корме не сказывается отрицательно на животном. Токсические дозы при внутреннем введении в 20—50 раз больше терапевтических.
Аскорбиновую кислоту применяют для поддержания нормального обмена веществ, в частности при отклонениях протеолитических и гликолитических процессов; для активации коллагенобразования в сосудистой и костной системах; при ревматических процессах в центральной нервной системе, сердце, поперечнополосатой мускулатуре; для повышения резистентности организма и профилактики при инфекционных заболеваниях; при гипофункции надпочечников и гипофиза; гипохромных анемиях (для улучшения усвоения железа)'; в качестве вспомогательного противоядия при отравлении тяжелыми металлами, (в том числе и ртутью), барбитуратами, алкоголем, для улучшения заживания ран, ускорения восстановления поврежденной роговицы, для понижения порозности сосудов, при хронических нефритах и плевритах Дозы внутривенно: коровам 0,5—2,0 г; лошадям 0,5—1,5; собакам 0,03—0,08 г. Дозы внутрь: коровам 0,7—4,0 г; овцам 0,2—1,0; свиньям 0,3—0,6; собакам 0,07—0,2; лисицам и песцам 0,05—0,1; соболям и норкам 0,005—0,05 г.
4. Сравнительная оценка средств, применяемых при пироплазмозе у лошадей. Спектр действия, эффективность, лекарственная форма, способ введения, токсичность.
Вопрос 3
Азидин—Azidinurn. Легкий, аморфный порошок желтого цвета, горького вкуса. Легко растворяется в воде. Водные растворы (рН 6—6,5) устойчивы. Хранят по списку Б, в закрытых банках. Обладает выраженным химиотерапевтическим действием при бабезиозе, пироплазмозе и франсаиеллезе крупного рогатого скота и пироплазмидо-зах овец. При профилактике бабезиоза и пироплазмоза его действие длится 10—15 дней, а франсаиеллеза и смешанной инвазии (пироплазмоза и франсаиеллеза) только в инкубационный период.
Применяют подкожно и внутримышечно однократно в форме 7%-ного водного раствора (приготовленного перед употреблением). Дозы на 1 кг массы животного: с лечебной целью 0,003—0,0035 г, повторно (если необходимо) вводят в той же дозе через сутки; с профи-лактической целью 0,0015—0,002 г один раз в 10—15 дней.
Пироплазмин—Piroplasminum.
Метилсульфометилат
Порошок
зеленовато-желтого цвета, без запаха,
горького вкуса, легкорастворимый в воде
(1 : 1,7), трудно—в спирте (1 : 1500). Водные
растворы кислой реакции. Растворы
стойкие, в ампулах они могут сохраняться
несколько лет.
Антимикробное действие очень слабое: 1%-ный раствор убивает вегетативные формы микробов не ранее чем через 30 мин, а 5%-ный— через 2—5 мин.
В противоположность этому широкое антипротозойное действие весьма сильное. Это дало возможность успешно применять его при пироплазмозах всех животных, нутталлиозе лошадей и даже в ранней стадии заболевания при тейлериозах крупного рогатого скота.
При лечении лошадей, крупного рогатого скота и мелкого рогатого скота, больных пироплазмозом, выздоравливает до 99°/о животных. Лечебный эффект, как правило, заметен уже через 6—12 ч, а через '/2—l'/a суток температура снижается до нормы, и в периферической крови не обнаруживают пироплазм. С таким же успехом препарат применяют при франсаиеллезе и бабезиозе крупного рогатого скота, пироплазмозах свиней и собак, при нутталлиозе лошадей.
Препарат вводят под кожу и внутримышечно в форме 1 % -ного водного раствора (можно растворить и в изотоническом растворе натрия хлорида).
Дозы из расчета на 1 кг массы животного: лошадям 0,0006 г; коровам 0,001; овцам и свиньям 0,002; собакам по инструкции 0,00025 г.
Для повышения лечебного эффекта препарат вводят в начале заболевания, одновременно назначают стимуляторы центральной нервной системы. После введения препарата у животных отмечается весьма сильная реакция: беспокойство, спазмы кишечника, учащение пульса, падение кровяного давления, одышка, мышечная дрожь, слюнотечение, потение. Через 30—40 мин все это постепенно проходит. Смертельные случаи неистощенных лошадей крайне редки, беспокойство зависит от спазмов кишечника, и его можно ослабить или даже совсем снять мор-фином или атропином.
Г
емоспоридин
— Haemosporidinum. Метилсульфаметилат,
N.N'-ди-(4-дттйетиламинофенил) -мочевины.
Белый с синеватым оттенком мелкокристаллический порошок, хорошо растворимый в воде. Растворы нестойкие, на свету синеют. У препарата пока еще нет стандарта. Гемоспоридин действует как хорошее лечебное средство при тех же показаниях, что и пироплазмин, но слабее его, выздоровление наступает медленнее. При пироплазмозе лошадей, бабезиозе крупного и мелкого рогатого скота препарат действует не только лечебно, но и в форме митигирующей профилактики.
Гемоспоридин, введенный под кожу в дозе 0,001 на 1 кг массы животного, у крупного рогатого скота вызывает целый ряд неблагоприятных последствий: повышение кровяного давления, учащение пульса, урежение дыхания. Эти признаки начинают появляться примерно через 30 мин после введения препарата; нарастая, они достигают максимума к концу часа и через 2—3 ч исчезают; больные животные реагируют сильнее, чем здоровые.
С лечебной целью препарат вводят под кожу в форме 1—2%-ного водного раствора в дозе: лошадям 0,0002 г; крупному рогатому скоту и овцам 0,0005; собакам 0,0003—0,0008 г на 1 кг массы. Ослабленным животным лечебную дозу вводят в два приема с интервалом в 6—12 ч. Концентрированный раствор гемоспоридина можно инстиллировать в глаз, лечебный эффект получают такой же, как и при подкожном вве^ ден^и, реакция слизистой глаза незначительна и скоропреходящий
5. Условия, определяющие инсектнцидное действие сернистого ангидрида и хлорофоса.
Х
лорофос
. Кристалический порошок белого цвета,
специфического запаха. При 250 и
выше расплавляется. 'При высокой
температуре (выше 50°) превращается в
ДДВФ, токсические дозы которого для
насекомых в 5—10 раз меньше, чем у
хлорофоса. Растворяется в воде 1:7. В
продажном препарате содержится 97 или'
80% чистого вещества. Выпускают в виде
80—50%-ных смачивающихся порошков, 7%-ных
и 5%-ных дустов, а форме 50%-ного раствора
в многоатомных спиртах, 11,6%-ного
спиртово-масляного раствора
(гиподермин-хлорофос).
Как инсектицид действует весьма активно и при контакте с насе- комыми убивает их через 3—10 мин. Но при нанесении растворов на кожу животных гибель чесоточных клещей происходит только через 1—8 ч, и потому он практически непригоден для этих целей. Попав на хитиновый покров мухи, даже в дозе 0,4 мг вызывает ее гибель, а в форме раствора смертельная доза препарата для мухи составляет всего 0,005 мг. Мухи от 0,1%-ного раствора хлорофоса гибнут через 2—5 мин.
Хлорофос ядовит для насекомых даже в форме паров (при этом йн частично переходит в ДДВФ), испаряясь, действует на них смертельно на расстоянии до 1 м. Так как испаряется он очень медленно, то его профилактическое влияние на коже животного сохраняется от 5 до 20 дней. Инсектицидность хлорофоса тем сильнее, чем выше окружающая температура. Например, при снижении температуры в помещении с 26 до 20° процент гибнущих мух снижается примерно в 2 раза. Токсичность хлорофоса для животных довольно высокая: для белых крыс равна 400 мг/кг, но токсические симптомы обнаруживаются при дозе, в 8—10 раз меньшей.
Отравления людей и животных могут быть при несоблюдении предусмотренных мер предосторожности.
Применяют хлорофос для опрыскивания скота в период лета мух, овода, нападения иксодовых клещей в 1%-ном водном растворе из расчета 1—2 л на животное с интервалом от 7 до 10—20 дней. 2—3%-ны-ми растворами хлорофоса обрабатывают животноводческие помещения против иксодовых и кошарных клещей с расходом жидкости 100— 200 мл/м2. Для борьбы с куриными клещами и пухоедами используют 0,5%-ный водный раствор хлорофоса—помещения и клетки обрабатывают в присутствии самой птицы. Для обработки помещений, свободных от птицы, пользуются 2%-ным раствором. Норма расхода препарата при опрыскивании помещений 100—200 мл/м2 птицы— 25—50 мл.
Водные растворы хлорофоса 0,25—0,5%-ной концентрации рекомендуют для уничтожения вшей на животных. В связи с тем что препарат слабо действует на яйца этих насекомых, обработки проводят 2—3 раза с интервалом в 10 дней. Для уничтожения овечьих кровососок и вла-соедов используют 0,5%-ный водный раствор хлорофоса с нормой расхода 500 мл на одно животное.
В кормокухнях, молокоприемных и других помещениях для борьбы с мухами расставляют отравленные приманки—в 0,1%-ный раствор хлорофоса добавляют 1—2% сахара, меда, мелассы или молока.
Хлорофос в форме аэрозоля эффективен при эстерозе овец. При распылении 20 мл 20%-ного раствора хлорофоса на 1 м2 помещения при 20—35° и выдерживании овец в течение 25 мин наступает полное их освобождение от личинок паразита.
6. Значение различных радикалов в молекуле сульфанил-амидных препаратов для их хпмиотерапевтического действия.
СУЛЬФАНИЛАМИДНЫЕ ПРЕПАРАТЫ
Сульфаниламидными препаратами, или сульфаниламидами, называется большая группа лекарственных веществ, имеющих в основе своего строения парааминобензолсульфоновую (сульфаниловую) кислоту:
И
зучением
этих препаратов систематически стали
заниматься с 1935 г., после опубликования
сообщения Домагка об очень высокой
активности пронтозила при экспериментальной
стрептококковой инфекции. Вскоре
были получены экспериментальные и
клинические данные о высокой лечебной
активности пронтозила при роже у людей,
при маститах у крупного рогатого скота
и при других заболеваниях, а затем
быстро стал развиваться синтез новых
препаратов данной группы. Большая
заслуга в этом принадлежит О. К). Магидсону,
В. П. Петрову и Р. А. Ортману.
Основанием синтеза большого количества сульфаниламидов послужило предположение, что пронтозил действует в организме не всей молекулой, а освобожденным парааминобензолсульфамидом. Это подтвердилось, и препарат стали производить под названием стрептоцида, Успеху синтеза в этом направлении способствовало и то, что атомы водорода в аминогруппах парааминобензолсульфамида легко замещаются различными радикалами без существенного нарушения основных свойств ядра. В процессе синтеза выяснилось, что наиболее активные вещества образуются при замещении радикалом водорода аминогруппы, связанной с 802, в то время как замена водорода аминогруппы, связанной с бензольным ядром в параположении от сульфо-группы, ведет к образованию веществ менее активных. Вместе с тем установлено, что замена водорода этой (связанной непосредственно с бензольным ядром) аминогруппы радикалом придает соединению в некоторых случаях ряд весьма ценных свойств. Исходя из этого, в настоящее время синтезируются сульфаниламидные препараты, в которых радикалы вводятся в аминогруппы как в первом, так и в четвертом положении.
Парааминобензолсульфамид—кислота, плохо растворяется, а растворившись, быстро резорбируется. Введение разных радикалов позволяет получить препараты (в том числе и соли), легко растворимые и • быстро всасывающиеся для резорбтивного действия, медленно растворимые и плохо всасывающиеся для местного действия.
Они или повышают степень диссоциации, или, освобождаясь из соединения, действуют бактерицидно сами. Кроме этого значения, радикалы, как правило, оказывают специфическое бактерицидное влияние. В растворе сульфаниламиды диссоинируют на ионы, и чем лучше их растворимость, тем выше степень диссоциации, а это, в свою очередь, обусловливает их наибольшую бактерицидность.
Желтый мелкокристаллический порошок, растворимый в воде (до 4%). При кипячении растворы разлагаются, отщепляя йод.
Хиниофон является сильным антисептиком и, кроме того, отличается противоамебными свойствами, в связи с чем используется при лечении амебной дизентерии. Хиниофон в отличие от эметина действует на подвижные формы амеб, находящихся в просвете толстых кишок.
В организме хиниофон не расщепляется и выделяется в неизмененном виде.
При амебной дизентерии хиниофон назначают внутрь по 0,5 г 3 раза в день в течение 8—10 дней, после чего делают перерыв на 10 дней, а затем цикл лечения повторяют. Хиниофон можно также вводить в клизме 2 г на 200 мл.
Как антисептик хиниофон применяют в хирургии в форме 0,5—3% растворов, 10% пудры и мази. Высшая разовая доза 1 г. Высшая суточная доза 3 г.
СУЛЬФАНИЛАМИДНЫЕ ПРЕПАРАТЫ
Сульфаниламиды, т. е. производные сульфаниловой кислоты, нашли применение в химиотерапии после того, как Domagk в 1935 г. опубликовал данные об антибактериальных свойствах пронтозила, полученного тремя годами раньше Mietzch и Klarer в качестве красителя для текстильной промышленности. Большое значение для внедрения в медицинскую практику сульфаниламидов имело установление Trefouels, Nitti и Bovet того факта, что пронтозил в организме расщепляется с образованием парааминобензол-сульфамида, обладающего антибактериальной активностью.
Открытием химиотерапевтических свойств сульфаниламидов было опровергнуто мнение Ehriich о том, что веществ с антибактериальным действием быть не может. Ehriich полагал, что бактериальная клетка, обладая очень примитивным строением, не имеет специфических химических рецепторов и поэтому не может фиксировать химические соединения.
Путем замещения водородов у № и № сульфаниламида синтезировано большое число химиотерапевтических препаратов этого ряда. Химическое строение наиболее распространенных в практике сульфаниламидных соединений приводится в нижеследующей таблице.
В
се
перечисленные сульфаниламиды представляют
собой белые или слегка желтоватые
порошки без запаха и вкуса. Они мало
растворимы в воде, лучше растворимы
в разведенных неорганических кислотах
(кроме суль-цимида и дисульфана) и в
водных растворах щелочей (кроме сульгина
и дисульфана). Многие сульфаниламиды
имеются в виде натриевых солей, легко
растворимых в воде.
По многочисленным экспериментальным и клиническим данным, сульфаниламиды обладают значительным спектром антибактериального действия. Они активны в отношении грамположительных кокков (стрептококки, пневмококки, стафилококки), палочек (палочки дифтерии), актиноми-цетов, грамотрицательных кокков (гонококки, менингококки), дизентерийной палочки, холерных вибрионов, бруцелл, шанкрозной палочки, некото-
402

7. Местное действие серебра нитрата и ксероформа в зависимости от концентрации их в лекарственной форме.
Местное действие их основано главным образом на способ-юности образовывать альбуминаты при соединении с белками. В зависимости от особенностей тканей, с которыми взаимодействует металл, а также от концентрации препарата реакция взаимодействия может быть различной. В одних случаях можно говорить о неполном свертывании белков и об обратимости процесса, в других случаях свертывание может быть полным, а процесс необратим. Первое состояние характерно для вяжущего действия, а второе—для прижигающего. Неполное свертывание белков может быть на поверхности тканей и в межклеточных пространствах, а также в цитоплазме клеток; первое и второе будет вяжущим, а последнее—раздражающим влиянием.
В отличие от органических вяжущих соли тяжелых металлов ведут к дегидратации клеток. Вследствие этого теряется эластичность тканей, сильно нарушаются процессы межклеточного обмена веществ, и гибель тканей наступает раньше, чем от дубильных веществ; бактерицидность же солей при этих условиях выражена значительно сильнее.
Коагулируя белки на поверхности тканей и в межклеточных пространствах, тяжелые металлы создают тем самым своеобразную з а-щитную оболочку на некоторую глубину, тканей. Сосуды суживаются, прекращается выпот плазмы, железистые клетки перестают функционировать, и ткани становятся сухими, пропитывание тканей серозной жидкостью резко ограничивается, такое действие называется вяжущим, оно обусловливает противовоспалительное влияние.
Вяжущее действие сопровождается понижением чувствительности и болезненности. Первое обусловлено биохимическими изменениями в рецепторной субстанции, второе — как понижением чувствительности нервных окончаний, так и противовоспалительным действием с осаждением или разрушением воспалительных цитологических ферментов и флогогенных веществ, с понижением активности болезнетворных микробов и др.
Вяжущее влияние растворов тяжелых металлов бывает после нанесения их на слизистые оболочки, раны, а также на кожу. Наиболее чувствительны клетки раневой поверхности; из слизистых оболочек наиболее чувствительна конъюнктива глаза. При увеличении концентрации растворов металлов они уже в небольших количествах всасываются клетками и вступают в типичные для них соединения с белками. Образующиеся альбуминаты действуют как сильные раздражители цитоплазмы. Вместо вяжущего действия будет превалировать раздражающее, сопровождающееся повышением чувствительности нервных окончаний, расширением сосудов, увеличением серозного выпота и другими признаками воспаления.
При дальнейшем увеличении концентрации растворов тяжелых металлов основная масса белков цитоплазмы клеток быстро коагулирует, и, как следствие этого, клетки гибнут. Такое действие принято называть прижигающим.
Местное действие большинства тяжелых металлов сопровождается-дегидратацией клеток и хрупкостью тканей. Вследствие этого лечебное влияние лучше всего проявляется на малоподвижных тканях (наружно) .
При длительном применении серебра нитрата, особенно при приеме внутрь, развиваются воспалительные явления. Часть серебра всасывается и очень быстро откладывается в виде мельчайших частиц, окрашивая эти участки тканей в серый цвет. У человека больше всего серебра откладывается в подкожной клетчатке и в мальпигиевом слое, отчего кожа приобретает серый цвет (аргирия). В желудке серебра нитрат превращается в соответствующие ему альбуминат и хлорид, которые частично растворяются под влиянием пищеварительного сока и натрия хлорида. В кишечнике нитрат частично адсорбируется эпителиальными клетками, придавая им серый цвет. Аргирия наблюдается и у животных. И кожная, и кишечная аргирия остается на всю жизнь.
Серебра нитрат применяют как вяжущее и бактериостатическое средство для полосканий рта при язвенных стоматитах, ящуре (0,5%-ный раствор), при мокнущих экземах, дерматитах и ожогах (3—5%-ные спиртово-водные растворы, 2%-ный спиртовой раствор или 10%-ная мазь на парафине); в офтальмологии используют 0,5—1%-ные растворы, в гинекологии—0,05—0,2%-ные растворы; внутрь при язвенных процессах в желудке и кишечнике; как прижигающее средство в 2—10%-ном растворе, а в форме палочки (per se) для заживления грануляций и удаления папиллом; для остановки кровотечений из мелких сосудов (в форме карандашей). Дозы внутрь: лошадям и коровам 0,5—2,0 г; овцам и свиньям 0,1—0,3; собакам 0,01—0,05; кошкам и курам 0,005—0,01 г.
8. Отравление животных соединениями ртути: клиническое проявление, оказание первой помощи, антидотная терапия
Токсическое действие ртути (меркуриализм) в зависимости от времени, в течение которого она поступает в организм, проявляется в острой или хронической форме.
При остром отравлении наблюдается язвенное поражение пищеварительного канала (саливация, кровавый понос), нарушение функции почек (кровь, белок в моче, олигурия) и расстройство нервной деятельности (параличи).
Хроническое отравление ртутью характеризуется в общем теми же симптомами, но они выражены менее резко: развивается стоматит, колит, нефроз. Расстройство нервной деятельности проявляется эретизмом, т. е. неадекватностью реакции, тремором верхних конечностей, параличами.
Поражение ртутью ротовой полости и толстого кишечника обусловливается тем, что выделение ртути происходит главным образом в этих отделах пищеварительного канала и эти части его наиболее подвержены травме.
Для лечения отравлений ртутью рекомендуется унитиол (2,3-димеркап-топропансульфонат натрия), который вводят внутримышечно или подкожно в количестве 1 мл 5% раствора на 10 кг веса тела 2—3 раза в день в течение 6—7 дней. Кроме того, при остром отравлении ртутью, если яд был введен в желудок, следует назначать Antidotum rnetallorum, представляющий собой раствор сульфата магния, бикарбоната натрия, едкого натра и сероводорода в воде. Для связывания ртути в желудочно-кишечном канале целесообразно назначать внутрь молоко, яичный белок, уголь. Для ускорения детоксикации ртути в организм внутривенно вводят глюкозу. Для предупреждения олигурии делается диатермия почек.
При хроническом отравлении ртутью положительное значение имеет молочная диета, физиотерапия. Для ускорения элиминации ртути из организма можно использовать йодид калия.
Выписать данные рецепты и сделать их фармакотерапевт и ческое обоснование:
1. Свинье. Гормональный препарат гипофиза; при задержании последа.
2. Корове. Антигельминтное средство из группы хлорированных углеводов в форме взвеси; при фасциолезе.
3. Собаке. Антисептическое средство из группы розанилиновых красок в растворе; при ожоге.
4. Лошади. 100,0 мази, содержащей препарат йода; при тендовагините.
5. Теленку. Антибиотик, обладающий фунгицидным действием, в порошках, на 15 приемов; при трнхофитии.
Задания по прописи рецептов к варианту № 18 Каждому прописанному рецепту необходимо давать ф а рмакотерапевти ческое обоснование.
1. Теленку. Антибиотик группы тетрациклина, в порошках, на десять приемов; при диспепсии.
2. Лошади. Три болюса, содержащих антисептическое средство из группы фенолов и крезолов; при воспалении кишечника.
3. Поросенку. Препарат из группы салициловой кислоты в форме кашки, на три приема; при воспалении кишечника.
4. 100 курам. Сульфаниламидный препарат длительного действия, на три приема; при кокцидиозе.
5. Жеребенку. Сульфаниламидный препарат, обладающий противогемоспоридиозным действием, на одно внутривенное введение.
6. Овце. Карбахолин на две подкожные инъекции; для усиления секреции и моторики желудочно-кишечного тракта.
7. Лошади. Ареколин, на одну подкожную инъекцию; в качестве слабительного средства.
8. 50 свиньям. Анабазин-сульфат в форме раствора; для опрыскивания при вшивости.
9. 3 жеребятам. Натрия тиосульфат, для внутривенного введения; при отравлении солями тяжелых металлов.
10. 10 гусям. Углерода тетрахлорид, на один прием; при ами-достомозе.
11. 10 коровам. Прозерии, на три подкожные инъекции; для борьбы с яловостью.
12. 10 овцам. Густой экстракт из корневища мужского папоротника; при мониезиозе, в форме пилюль.
13. Лошади. Атропин, для подкожной инъекции; при передозировке прозерина.
14. Корове. Адреналина, для внутривенной инъекции; при резком ослаблении сердечно-сосудистой деятельности.
15. Кролику. Диплацин; для внутримышечной инъекции; при операции с целью расслабления скелетной мускулатуры.
16. Лошади. Димедрол, для подкожного введения; в качестве седативного, снимающего спазмы гладкой мускулатуры, средства.
17. 15 поросятам. Цветки бессмертника в форме отвара, на пять приёмов; при катаральном гастроэнтерите.
18. 50 свиньям. Натрия флюорид, для группового скармливания с сухим комбикормом; при аскаридозу.
19. Кошке. Пахикарпина гидройодид, для подкожной инъекции; при вялости матки.
20. 10 свиньям. Пиридоксин, для внутримышечного введения; с целью ослабления побочного влияния химиотерапевти-ческих средств. Выписать на пять инъекций.
21. 10 телятам. Цианкобаламин, внутрь; с целью профилактики малокровия. Выписать на шесть приемов.
22. 100 откормочным бычкам. Никохлоран; для борьбы с чесоточными клещами.
23. Амидофос в виде 0,5%-ной водной эмульсии; для борьбы с мухами в свинарнике.
24. 50 песцам. Эргокальциферол в форме спиртового раствора, для дачи с кормом. Выписать на десять приемов.
25. Свинье. Бензилпенициллина натриевую соль, для внутримышечного введения; при пневмонии. Выписать на 12 инъекций. 158
26. Собаке. Феноксиметилпенициллии, в таблетках, для приема внутрь, в борьбе с инфекционным гастритом.
27. Хлорофос; для обработки птичника против эктопаразитов 2%-ным раствором.
28. Собаке. Бициллин-1, для внутримышечного введения; при острой пневмонии. Выписать на три инъекции.
29. Корове. Хлортетрациклина гидрохлорпд в порошках, для приема внутрь; при энтерите. Выписать на шесть приемов.
30. Свиноматке. Натрия уснинат в форме 1%-ного масляного раствора; для лечения ран.
31. Песцу. Иманин в форме 1%-ного раствора; для лечения инфицированной раны.
32. Корове. Неомицина сульфат, для внутримышечного введения при хронической пневмонии. Выписать на пять инъекций.
33. Свинье. Гризеофульвин, внутрь с кормом ежедневно в течение 26 дней; с целью профилактики стригущего лишая.
34. Корове. Ретинол, для внутримышечного введения с целью улучшения репродуктивных функций. Выписать на пять инъекций.
35. 6 ягнятам. Стрептомицина сульфат, внутрь; при энтерите. Выписать на пять приемов.
36. Свиноматке. Нистатин в порошке внутрь, на девять приемов; как противогрибковое средство при заболевании внутренних органов.
37. Жеребенку. Эритромицин в таблетках внутрь, на девять приемов; при раневых процессах.
38. 10 песцам. Хлорамин Б в форме 0,5%-ного раствора; для дезинфекции слизистых оболочек глаз.
39. 5 ягнятам. Кислоту борную в форме 2%-ных глазных капель.
40. Жеребцу. Стрептоцид в виде 10%-ной мази; для лечения раны.
41. Верблюду. Олеандомицина фосфат, для внутримышечного введения; при подозрении на бронхопневмонию. Выписать на девять инъекций.
42. 3000 цыплятам. Левомицетин, для приема внутрь с влажной мешанкой; при пуллурозе. Выписать на шесть приемов.
43. Овце. Кислоту молочную, на один прием; при гнилостных процессах в рубце и легком вздутии рубца.
44. Натрия гидроокись для приготовления 5%-ного раствора; для дезинфекции крольчатника при расходе раствора для дезинфекции 500 литров.
45. Лошади. Натрия гидрокарбонат, на три приема; при катаральном гастроэнтерите.
46. Собаке. Магния окись, на один прием; при отравлении солями тяжелых металлов.
47. Теленку. Мыло зеленое; для опорожнения заднего отдела кишечника, в форме 8%-ной клизмы в объеме 1 литр.
48. Деготь березовый 3000,0; для обеззараживания предметов ухода за животными в племконюшне.
49. Овце. Этакридина лактат в форме 0,2%-ного раствора; при вагините.
50. Собаке. Фурацилин в форме порошка, на девять приемов; при цистите.