Нормирование качества природной среды
Нормирование качества природной среды
Основные понятия и определения
Приведенные в этом разделе сведения, вероятно, покажутся многим читателям знакомыми (если не очевидными). Однако практика работы сети независимого экологического мониторинга, да и просто чтение разнообразных отчетов, статей, заметок в СМИ свидетельствуют о том, что именно непонимание системы нормирования приводит к появлению досадных ошибок в интерпретации интересного фактического материала.
В соответствии с природоохранительным законодательством Российской Федерации нормирование качества окружающей природной среды производится с целью установления предельно допустимых норм воздействия, гарантирующих экологическую безопасность населения, сохранение генофонда, обеспечивающих рациональное использование и воспроизводство природных ресурсов в условиях устойчивого развития хозяйственной деятельности [4, статья 25]. При этом под воздействием понимается антропогенная деятельность, связанная с реализацией экономических, рекреационных, культурных интересов и вносящая физические, химические, биологические изменения в природную среду.
Определенная таким образом цель подразумевает наложение граничных условий (нормативов) как на само воздействие, так и на факторы среды, отражающие и воздействие, и отклики экосистем. Принцип антропоцентризма верен и в отношении истории развития нормирования: значительно ранее прочих были установлены нормативы приемлемых для человека условий среды (прежде всего, производственной). Тем самым было положено начало работам в области санитарно-гигиенического нормирования. Однако человек не самый чувствительный из биологических видов, и принцип "Защищен человек — защищены и экосистемы", вообще говоря, неверен. Экологическое нормирование предполагает учет так называемой допустимой нагрузки на экосистему. Допустимой считается такая нагрузка, под воздействием которой отклонение от нормального состояния системы не превышает естественных изменений и, следовательно, не вызывает нежелательных последствий у живых организмов и не ведет к ухудшению качества среды [1]. К настоящему времени известны лишь некоторые попытки учета нагрузки для растений суши и для сообществ водоемов рыбохозяйственного назначения (несколько слов об этом будет сказано в разделах, посвященных нормированию качества воздуха и воды; соотвествующие нормативы приведены в табл. 2.4.2 и 2.3.5 Приложения 2).
Как экологическое, так и санитарно-гигиеническое нормирование основаны на знании эффектов, оказывемых разнообразными факторами воздействия на живые организмы. Одним из важных понятий в токсикологии и в нормировании является понятие вредного вещества 1.
В специальной литературе принято называть вредными все вещества, воздействие которых на биологические системы может привести к отрицательным последствиям. Кроме того, как правило, все ксенобиотики (чужеродные для живых организмов, искусственно синтезированные вещества) рассматривают как вредные.
Установление нормативов качества окружающей среды и продуктов питания основывается на концепции пороговости воздействия. Порог вредного действия — это минимальная доза вещества, при воздействии которой в организме возникают изменения, выходящие за пределы физиологических и приспособительных реакций, или скрытая (временно компенсированная) патология. Таким образом, пороговая доза вещества (или пороговое действие вообще) вызывает у биологического организма отклик, который не может быть скомпенсирован за счет гомеостатических механизмов (механизмов поддержания внутреннего равновесия организма).
Нормативы, ограничивающие вредное воздействие, устанавливаются и утверждаются специально уполномоченными государственными органами в области охраны окружающей природной среды, санитарно-эпидемиологического надзора и совершенствуются по мере развития науки и техники с учетом международных стандартов [12]. Отметим, что утвержденные в СССР нормативы были весьма жесткими, но редко соблюдались на практике. В основе санитарно-гигиенического нормирования лежит понятие предельно допустимой концентрации.
Предельно допустимые концентрации (ПДК) — нормативы, устанавливающие концентрации вредного вещества в единице объема (воздуха, воды), массы (пищевых продуктов, почвы) или поверхности (кожа работающих), которые при воздействии за определенный промежуток времени практически не влияют на здоровье человека и не вызывают неблагоприятных последствий у его потомства [12].
Таким образом, санитарно-гигиеническое нормирование охватывает все среды, различные пути поступления вредных веществ в организм, хотя редко отражает комбинированное действие (одновременное или последовательное действие нескольких веществ при одном и том же пути поступления) и не учитывает эффектов комплексного (поступления вредных веществ в организм различными путями и с различными средами — с воздухом, водой, пищей, через кожные покровы) и сочетанного воздействия всего многообразия физических, химических и биологических факторов окружающей среды. Существуют лишь ограниченные перечни веществ, обладающих эффектом суммации при их одновременном содержании в атмосферном воздухе.
Анализ того, как изменяются с течением времени значения предельно допустимых концентраций, свидетельствует об их относительности, вернее — об относительности наших знаний о безопасности или опасности тех или иных веществ. Достаточно вспомнить о том, что в пятидесятые годы ДДТ считался одним из безопаснейших для человека инсектицидов и широко рекламировался для использования в быту. Для веществ, о действии которых не накоплено достаточной информации, могут устанавливаться временно допустимые концентрации (ВДК)2 — полученные расчетным путем нормативы, рекомендованные для использования сроком на 2-3 года. В приложениях приводятся значения ВДК для различных загрязняющих веществ в воздухе, воде, почве.
Подчеркнем, что в соответствии с Постановлением № 1 от 06.02.92 Госкомитета санитарно-эпидемиологического надзора РФ [13] на территории России до принятия соответствующих нормативных актов РФ действуют санитарные правила, нормы и гигиенические нормативы, утвержденные бывшим Министерством здравоохранения СССР, в части, не противоречащей санитарному законодательству Российской Федерации.
В публикациях иногда встречаются и другие характеристики загрязняющих веществ. Под токсичностью понимают способность веществ вызывать нарушения физиологических функций организма, что в свою очередь приводит к заболеваниям (интоксикациям, отравлениям) или, в тяжелых случаях, к гибели. Фактически токсичность — мера несовместимости вещества с жизнью [10].
Степень токсичности веществ принято характеризовать величиной токсической дозы — количеством вещества (отнесенным, как правило, к единице массы животного или человека), вызывающим определенный токсический эффект. Чем меньше токсическая доза, тем выше токсичность [10].
Различают среднесмертельные (ЛД>50>), абсолютно смертельные (ЛД>100>), минимально смертельные (ЛД>0-10>) и др. дозы. Цифры в индексе отражают вероятность (%) появления определенного токсического эффекта — в данном случае, смерти, в группе подопытных животных. Следует иметь в виду, что величины токсических доз зависят от путей поступления вещества в организм [11]. Доза ЛД>50> (гибель половины подопытных животных) дает значительно более определенную в количественном отношении характеристику токсичности, чем ЛД>100> или ЛД>0>. В зависимости от типа дозы, вида животных и пути поступления, выбранных для оценки, порядок расположения веществ на шкале токсичности может меняться. Величина токсической дозы не используется в системе нормирования.
Санитарно-гигиенические и экологические нормативы определяют качество окружающей среды по отношению к здоровью человека и состоянию экосистем, но не указывают на источник воздействия и не регулируют его деятельность. Требования, предъявляемые собственно к источникам воздействия, отражают научно-технические нормативы. К научно-техническим нормативам относятся нормативы выбросов и сбросов вредных веществ (ПДВ и ПДС), а также технологические, строительные, градостроительные нормы и правила, содержащие требования по охране окружающей природной среды. В основу установления научно-технических нормативов положен следующий принцип: при условии соблюдения этих нормативов предприятиями региона содержание любой примеси в воде, воздухе и почве должно удовлетворять требованиям санитарно-гигиенического нормирования.
Научно-техническое нормирование предполагает введение ограничений деятельности хозяйственных объектов в отношении загрязнения окружающей среды, иными словами, определяет предельно допустимые потоки вредных веществ, которые могут поступать от источников воздействия в воздух, воду, почву. Таким образом, от предприятий требуется не собственно обеспечение тех или иных ПДК, а соблюдение пределов выбросов и сбросов вредных веществ, установленных для объекта в целом или конкретных источников, входящих в его состав. Зафиксированное превышение величин ПДК>в> или ПДК>мр> в окружающей среде само по себе не является нарушением со стороны предприятия, хотя, как правило, служит сигналом невыполнения установленных научно-технических нормативов (или свидетельством необходимости их пересмотра).
Постановлением Правительства РФ от 3 августа 1992 года № 545 принят "Порядок разработки и утверждения экологических нормативов выбросов и сбросов загрязняющих веществ в окружающую природную среду, лимитов использования природных ресурсов, размещения отходов".
Нормирование качества воздуха
Под качеством атмосферного воздуха понимают совокупность свойств атмосферы, определяющую степень воздействия физических, химических и биологических факторов на людей, растительный и животный мир, а также на материалы, конструкции и окружающую среду в целом [14].
Нормативами качества воздуха определены допустимые пределы содержания вредных веществ как в производственной (предназначенной для размещения промышленных предприятий, опытных производств научно-исследовательских институтов и т.п.), так и в селитебной зоне (предназначенной для размещения жилого фонда, общественных зданий и сооружений) населенных пунктов. Основные термины и определения, касающиеся показателей загрязнения атмосферы, программ наблюдения, поведения примесей в атмосферном воздухе определены ГОСТом 17.2.1.03-84. Охрана природы. Атмосфера. Термины и определения контроля загрязнения [14].
Предельно допустимая концентрация вредного вещества в воздухе рабочей зоны (ПДК>рз>) — концентрация, которая при ежедневной (кроме выходных дней) работе в течение 8 часов, или при другой продолжительности, но не более 41 часа в неделю, на протяжении всего рабочего стажа не должна вызывать заболевания или отклонения в состоянии здоровья, обнаруживаемые современными методами исследования, в процессе работы или в отдаленные сроки жизни настоящего и последующего поколений [11]. Рабочей зоной следует считать пространство высотой до 2 м над уровнем пола или площади, на которой находятся места постоянного или временного пребывания рабочих.
Как следует из определения, ПДК>рз> представляет собой норматив, ограничивающий воздействие вредного вещества на взрослую работоспособную часть населения в течение периода времени, установленного трудовым законодательством. Совершенно недопустимо сравнивать уровни загрязнения селитебной зоны с установленными ПДК>рз>, а также говорить о ПДК в воздухе вообще, не уточняя, о каком нормативе идет речь.
Предельно допустимая концентрация максимально разовая (ПДК>мр>) — концентрация вредного вещества в воздухе населенных мест, не вызывающая при вдыхании в течение 20 минут рефлекторных (в том числе, субсенсорных) реакций в организме человека [11].
Таблица 3. Соотношение различных видов ПДК в воздухе для некоторых веществ [11]
|
Вещество |
ПДK>сс>, мг/м3 |
ПДK>мр>, мг/м3 |
vПДK>рз>, мг/м3 |
|
Азота оксид (II) |
0,06 |
0,6 |
30 |
|
Kобальта сульфат |
0,0004 |
0,001 |
0,005 |
|
4-хлоранилин |
0,01 |
0,04 |
0,30 |
Понятие ПДК>мр> используется при установлении научно-технических нормативов — предельно допустимых выбросов загрязняющих веществ. В результате рассеяния примесей в воздухе при неблагоприятных метеорологических условиях на границе санитарно-защитной зоны предприятия концентрация вредного вещества в любой момент времени не должна превышать ПДК>мр>.
Предельно допустимая концентрация среднесуточная (ПДК>сс>) — это концентрация вредного вещества в воздухе населенных мест, которая не должна оказывать на человека прямого или косвенного воздействия при неограниченно долгом (годы) вдыхании [11]. Таким образом, ПДК>сс> рассчитана на все группы населения и на неопределенно долгий период воздействия и, следовательно, является самым жестким санитарно-гигиеническим нормативом, устанавливающим концентрацию вредного вещества в воздушной среде. Именно величина ПДК>сс> может выступать в качестве "эталона" для оценки благополучия воздушной среды в селитебной зоне. Но использование этого норматива в качестве единицы измерения (пять ПДК>сс> по оксидам азота) — абсурдно!
В Приложении 2 приведены таблицы ПДК>мр> и ПДК>сс> для многих загрязняющих веществ, а также некоторые международные нормативы и стандарты качества атмосферного воздуха (раздел 2.2).
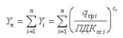
Предложен ряд комплексных показателей загрязнения атмосферы (совместно несколькими загрязняющими веществами); наиболее распространенным и рекомендованным методической документацией Госкомэкологии, является комплексный индекс загрязнения атмосферы (ИЗА). Его рассчитывают как сумму нормированных по ПДК>сс> и приведенных к концентрации диоксида серы средних содержаний различных веществ:
,
где Y>i>
— единичный индекс загрязнения для
i-ого вещества;
q>cpi>
— средняя концентрация i-ого
вещества;
ПДК>cсi>
— ПДК>сс> для i-ого
вещества;
c>i>
— безразмерная константа приведения
степени вредности i-ого вещества к
вредности диоксида серы,
зависящая от того, к какому классу
опасности (см. ниже) принадлежит
загрязняющее вещество.
|
Классы опасности |
1 |
2 |
3 |
4 |
|
Константа с>i> |
1,7 |
1,3 |
1,0 |
0,9 |
Для сопоставления данных о загрязненности несколькими веществами атмосферы разных городов или районов города комплексные индексы загрязнения атмосферы должны быть рассчитаны для одинакового количества (n) примесей. При составлении ежегодного списка городов с наибольшим уровнем загрязнения атмосферы для расчета комплексного индекса Y>n> используют значения единичных индексов Y>i> тех пяти веществ, у которых эти значения наибольшие [5].
В последнее время растет число публикаций, описывающих эффекты действия загрязняющих веществ на биоту, в том числе атмосферных примесей на растительность. Так, установлено, что хвойные породы деревьев, лишайники чувствительнее прочих видов реагируют на присутствие в воздухе кислых газов, в первую очередь, сернистого ангидрида. Исследователи предлагают установить предельно допустимые концентрации для диких видов с тем, чтобы использовать эти нормативы при оценке ущерба и ограничении воздействия на особо охраняемые природные объекты. Однако широкое применение чувствительность растений нашла лишь в биологическом мониторинге; экологическое нормирование состояния атмосферного воздуха на практике фактически не реализовано.
Нормирование качества воды
В соответствии с Санитарными правилами и нормами СанПиН 2.1.4.559-96 [15] питьевая вода должна быть безопасна в эпидемическом и радиационном отношении, безвредна по химическому составу и должна иметь благоприятные органолептические свойства. Под качеством воды в целом понимается характеристика ее состава и свойств, определяющая ее пригодность для конкретных видов водопользования; при этом показатели качества представляют собой признаки, по которым производится оценка качества воды [16].
По санитарному признаку устанавливаются микробиологические и паразитологические показатели воды (число микроорганизмов и число бактерий группы кишечных палочек в единице объема). Токсикологические показатели воды, характеризующие безвредность ее химического состава, определяются содержанием химических веществ, которое не должно превышать установленных нормативов. Наконец, при определении качества воды учитываются органолептические (воспринимаемые органами чувств) свойства: температура, прозрачность, цвет, запах, вкус, жесткость.
Требования к качеству воды нецентрализованного водоснабжения определены Санитарными правилами и нормами СанПиН 2.1.4.544-96 [17], причем нормируются запах, вкус, цветность, мутность, коли-индекс, а также указывается, что содержание химических веществ не должно превышать значений соответствующих предельно допустимых концентраций (ПДК).
Предельно допустимая концентрация в воде водоема хозяйственно-питьевого и культурно-бытового водопользования (ПДК>в>) — это концентрация вредного вещества в воде, которая не должна оказывать прямого или косвенного влияния на организм человека в течение всей его жизни и на здоровье последующих поколений, и не должна ухудшать гигиенические условия водопользования [11].
Предельно допустимая концентрация в воде водоема, используемого для рыбохозяйственных целей (ПДК>вр>) — это концентрация вредного вещества в воде, которая не должна оказывать вредного влияния на популяции рыб, в первую очередь промысловых [11]
|
Вещество |
ПДK>вр>, мг/дм3 |
ПДK>в>, мг/дм3 |
|
Ртути неорганические соединения (по Hg) |
0,0001 |
0,0005 |
|
Аммония фторид (по фтору) |
0,05 |
0,7 |
|
Триэтаноламин |
0,01 |
1,0 |
Таблицы ПДК>в>, ПДК>вр>, а также некоторые международные нормативы и стандарты качества воды приведены в Приложении 2 (раздел 2.3).
При интерпретации результатов мониторинга состояния водной среды важно знать, к какому типу водных объектов отнесены река, озеро, водохранилище, и использовать для оценки ситуации соответствующие нормативы.
В гидрохимической практике используется и метод интегральной оценки качества воды, по совокупности находящихся в ней загрязняющих веществ и частоты их обнаружения.
В этом методе для каждого ингредиента на основе фактических концен-траций рассчитывают баллы кратности превышения ПДК>вр> — К>i> и повторяемости случаев превышения Н>i>, а также общий оценочный балл — B>i> :
|
K>i>=C>i>/ПДК>i> ; |
|
H>i>=N>ПДК>>i>/N>i> ; |
|
B>i>=K>i>·H>i>, |
где С>i> — концентрация в воде i-го ингредиента;
ПДК>i> — предельно допустимая концентрация i-го ингредиента для водоемов
рыбохозяйственного назначения [11;5];
N>ПДК>>i> — число случаев превышения ПДК по i-му ингредиенту;
N>i> — общее число измерений i-го ингредиента.
Ингредиенты, для которых величина общего оценочного балла больше или равна 11, выделяются как лимитирующие показатели загрязненности (ЛПЗ). Комбинаторный индекс загрязненности рассчитывается как сумма общих оценочных баллов всех учитываемых ингредиентов. По величине комбинаторного индекса загрязненности устанавливается класс загрязненности воды [5].
Также оценка качества воды и сравнение современного состояния водного объекта с установленными в прошлые годы характеристиками проводятся на основании индекса загрязнения воды по гидрохимическим показателям (ИЗВ). Этот индекс представляет собой формальную характеристику и рассчитывается усреднением как минимум пяти индивидуальных показателей качества воды. Обязательны для учета следующие показатели: концентрация растворенного кислорода, водородный показатель рН и биологическое потребление кислорода БПК>5> (Приложение 5).
Нормирование качества почвы
В СССР был установлен лишь один норматив, определяющий допустимый уровень загрязнения почвы вредными химическими веществами — ПДК для пахотного слоя почвы. Принцип нормирования содержания химических соединений в почве основан на том, что поступление их в организм происходит преимущественно через контактирующие с почвой среды. Основные понятия, касающиеся химического загрязнения почв, определены ГОСТом 17.4.1.03-84. Охрана природы. Почвы. Термины и определения химического загрязнения [18].
Предельно допустимая концентрация в пахотном слое почвы (ПДК>п>) — это концентрация вредного вещества в верхнем, пахотном слое почвы, которая не должна оказывать прямого или косвенного отрицательного влияния на соприкасающиеся с почвой среды и на здоровье человека, а также на самоочищающую способность почвы [11].
Нормативы ПДК>п> разработаны для веществ, которые могут мигрировать в атмосферный воздух или грунтовые воды, снижать урожайность или ухудшать качество сельскохозяйственной продукции. Таблицы ПДК>п>, а также некоторых нормативов, принятых в Германии, приведены в разделе 2.4 Приложения 2.
В настоящее время в Институте экологии человека проводятся исследования, направленные на обоснование индивидуальных нормативов ПДК>п> для различных типов почв. Таким образом, в ближайшее время следует ожидать того, что особенности миграции и трансформации вредных веществ в почвах будут отражены в системе нормирования.
Оценка уровня химического загрязнения почв населенных пунктов проводится по показателям, разработанным при сопряженных геохимических и гигиенических исследованиях окружающей среды городов. Такими показателями являются коэффициент концентрации химического элемента К>с> и суммарный показатель загрязнения Z>c> [5].
Коэффициент концентрации определяется как отношение реального содержания элемента в почве С к фоновому С>ф>:
|
К>с>=С/С>ф.> |
Поскольку часто почвы загрязнены сразу несколькими элементами, то для них рассчитывают суммарный показатель загрязнения, отражающий эффект воздействия группы элементов:

,
где К>сi>
— коэффициент концентрации i-ого
элемента в пробе;
n —
число учитываемых элементов.
Суммарный показатель загрязнения может быть определен как для всех элементов в одной пробе, так и для участка территории по геохимической выборке.
Оценка опасности загрязнения почв комплексом элементов по показателю Z>c> проводится по оценочной шкале, градации которой разработаны на основе изучения состояния здоровья населения, проживающего на территориях с различным уровнем загрязнения почв.
Таблица 5. Ориентировочная оценочная шкала опасности загрязнения почв по суммарному показателю [5]
|
Kатегории загрязнения почв |
Величина Z>с> |
Изменение показателей здоровья населения в очагах загрязнения |
|
Допустимая |
меньше 16 |
Наиболее низкий уровень заболеваемости детей и минимум функциональных отклонений |
|
Умеренно опасная |
16-32 |
Увеличение общего уровня заболеваемости |
|
Опасная |
32-128 |
Увеличение общего уровня заболеваемости, числа часто болеющих детей, детей с хрони-ческими заболеваниями, нарушениями функционирования сердечно-сосудистой системы |
|
Чрезвычайно опасная |
больше 128 |
Увеличение заболеваемости детского населения, нарушение репродуктивной функции женщин (увеличение случаев токсикоза при беременности, преждевременных родов, мертворождаемости, гипотрофий новорожденных). |
Предельно допустимые концентрации вредных веществ в продуктах питания
При разработке нормативов предельно допустимых концентраций вредных веществ в продуктах питания учитываются материалы по токсикологии и гигиеническому нормированию данных веществ в различных объектах природной среды (в воздухе, воде, почве), а также информация о естественном содержании различных химических элементов в пищевых продуктах.
Предельно допустимая концентрация (допустимое остаточное количество) вредного вещества в продуктах питания (ПДК>пр>) — это концентрация вредного вещества в продуктах питания, которая в течение неограниченно продолжительного времени (при ежедневном воздействии) не вызывает заболеваний или отклонений в состоянии здоровья человека [11].
Санитарно-гигиеническое нормирование загрязненности пищевых продуктов касается главным образом пестицидов, а также тяжелых металлов и некоторых анионов (например, нитратов). Значения ПДК>пр> для некоторых хлорорганических соединений приведены в разделе 2.5 Приложения 2. Отметим, что при интерпретации результатов не следует использовать ПДК>пр> как стандарт, принятый для любых объектов биоты. Например, описание исследования накопления соединений ртути в тканях чаек не может заканчиваться выводами о превышении ПДК>пр>. Целесообразнее обращаться к литературным сведениям о накоплении ртути в аналогичных объектах в фоновых и в хорошо изученных загрязненных районах.
Таблица 6. Классы опасности химических соединений в зависимости от характеристик их токсичности [11]
|
Показатели |
Kлассы опасности |
|||
|
I |
II
|
III |
IV |
|
|
ПДK>рз>, мг/м3 |
меньше 0,1 |
0,1-1,0 |
1-10 |
больше 10 |
|
ЛД>50> при введении в желудок, мг/кг массы тела |
меньше 15 |
15-150 |
150-5000 |
больше 5000 |
Классы опасности химических соединений
В зависимости от токсичности все химические соединения могут быть подразделены на 4 класса опасности (табл. 6). Учет класса опасности позволяет дифференцированно подходить к обоснованию необходимых профилактических мероприятий (например, к мерам безопасности при работе с различными веществами), а также предварительно оценивать сравнительную опасность воздействия тех или иных веществ на организм человека.
Нормирование воздействия
Научно-технические нормативы воздействия на окружающую среду разрабатываются для хозяйственных объектов в форме проектов томов предельно допустимых выбросов (ПДВ) и сбросов (ПДС) [19].
Предельно допустимый выброс (ПДВ) — масса вещества в отходящих газах, максимально допустимая к выбросу в атмосферу в единицу времени; ПДВ устанавливается для каждого источника загрязнения атмосферы (и для каждой примеси, выбрасываемой этим источником) таким образом, что выбросы вредных веществ от данного источника и от совокупности источников города или другого населенного пункта с учетом перспективы развития промышленных предприятий и рассеивания вредных веществ в атмосфере не создают приземную концентрацию, превышающую их ПДК>мр>; основные значения ПДВ — максимальные разовые — устанавливаются при условии полной нагрузки технологического и газоочистного оборудования и их нормальной работы и не должны превышаться в любой 20-минутный период времени [5].
Наряду с максимальными разовыми (контрольными) значениями ПДВ (г/с), устанавливаются производные от них годовые значения ПДВ>г> (т/г), для отдельных источников и предприятия в целом с учетом временной неравномерности выбросов, в том числе за счет планового ремонта технологического и газоочистного оборудования.
Если значения ПДВ по причинам объективного характера не могут быть достигнуты, для таких предприятий устанавливаются значения временно согласованных выбросов вредных веществ (ВСВ) и вводится поэтапное снижение показателей выбросов вредных веществ до значений, которые обеспечивают соблюдение ПДВ.
Общественный экологический мониторинг может решать задачи оценки соответствия деятельности предприятия установленным значениям ПДВ или ВСВ путем определения концентраций загрязняющих веществ в приземном слое воздуха (например, на границе санитарно-защитной зоны).
Основным нормативом сбросов загрязняющих веществ, установленным в Российской Федерации, является предельно допустимый сброс (ПДС) — масса вещества в сточных водах, максимально допустимая к отведению с установленным режимом в данном пункте водного объекта в единицу времени с целью обеспечения норм качества воды в контрольном пункте; ПДС — предел по расходу сточных вод и концентрации содержащихся в них примесей — устанавливается с учетом предельно допустимых концентраций веществ в местах водопользования (в зависимости от вида водопользования), ассимилирующей способности водного объекта, перспектив развития региона и оптимального распределения массы сбрасываемых веществ между водопользователями, сбрасывающими сточные воды [5].
ПДС устанавливаются для каждого источника загрязнения и каждого вида примеси с учетом их комбинированного действия. В основе определения ПДС (по аналогии с ПДВ) лежит методика расчета концентраций загрязняющих веществ, создаваемых источником в контрольных пунктах — расчетных створах — с учетом разбавления, вклада других источников, перспектив развития (проектируемые источники) и т.д.
Общий принцип установления ПДС — величина ПДС должна гарантировать достижение установленных норм качества воды (санитарных и рыбохозяйственных) при наихудших условиях для разбавления в водном объекте.
При сбросе сточных вод или других видах хозяйственной деятельности, влияющих на состояние водных объектов, используемых для хозяйственно-питьевых и культурно-бытовых целей, нормы качества поверхностных вод (или их природный состав и свойства в случае природного превышения этих норм) должны выдерживаться на водотоках, начиная со створа, расположенного в одном километре выше ближайшего по течению пункта водопользования (водозабор для хозяйственно-питьевого водоснабжения, места купания, организованного отдыха, территория населенного пункта и т.п.) вплоть до самого места водопользования, а на водоемах — на акватории в радиусе одного километра от пункта водопользования. Ближайшие пункты водопользования определяются органами санитарно-эпидемиологической службы.
При сбросе сточных вод или других видах хозяйственной деятельности, влияющих на состояние рыбохозяйственных водотоков и водоемов, нормы качества поверхностных вод (или их природный состав и свойства в случае природного превышения этих норм) должны соблюдаться на протяжении всего участка водопользования, начиная с контрольного створа, определяемого в каждом конкретном случае органами Госкомэкологии, но не далее, чем 500 м от места сброса сточных вод или расположения других источников загрязнения поверхностных вод (мест добычи полезных ископаемых, производства работ на водном объекте и т.п.)
Для сбросов сточных вод в черте населенного пункта в соответствии с "Правилами охраны поверхностных вод" ПДС устанавливаются, исходя из отнесения нормативных требований к самим сточным водам. При этом следует руководствоваться тем, что использование водных объектов в черте населенных мест относится к категории коммунально-бытового водопользования.
В случае, если значения ПДС по объективным причинам не могут быть достигнуты, для таких предприятий устанавливаются временно согласованные сбросы вредных веществ (ВСС) и вводится поэтапное снижение показателей сбросов вредных веществ до значений, которые обеспечивают соблюдение ПДС.
Лимитирование размещения твердых промышленных отходов (разработка проектов лимитов размещения) осуществляется на основании "Временных правил охраны окружающей среды от отходов производства и потребления в РФ". При этом под организованным размещением отходов понимаются регламентированные и осуществляемые в соответствии с установленными нормами и правилами процессы выделения, концентрирования, сбора, транспортировки, накопления, временного хранения отходов, предусматривающего возможность их дальнейшего использования, переработки, или ликвидации, захоронения [3].
Нормирование в области радиационной безопасности
Основные понятия и определения
В природе существует три основных вида радиоактивного излучения — альфа, бета и гамма [20].
Гамма-излучение представляет собой электромагнитное излучение высокой энергии и обладает наибольшей проникающей способностью. Соответственно, защита от внешнего гамма-излучения представляет наибольшие проблемы.
Бета-излучение имеет корпускулярную природу и представляет собой поток отрицательно заряженных частиц (электронов). Бета-излучение обладает меньшей проникающей способностью. Защититься от этого излучения при внешнем источнике можно сравнительно легко. В принципе, бета-частицы задерживаются неповрежденной кожей. Однако при поступлении внутрь организма бета-активные радионуклиды испускают хорошо поглощаемые тканями организма бета-частицы. Возникающие при этом в организме разрушения значительно превосходят таковые, производимые гамма-излучением.
Альфа-излучение представляет собой поток положительно заряженных частиц с зарядом 2 и массой, равной 4, (по существу — ядра гелия). Этот вид излучения легко поглощается любой средой. Защититься от него можно буквально листом бумаги. Однако, поступление альфа-излучателя внутрь организма может вызвать трагические последствия.
Процесс радиоактивного распада (перехода радиоактивного элемента в другой химический элемент) сопровождается излучением одного или нескольких видов. В соответствии с тем, какой вид излучения характерен для радиоактивного распада данного изотопа, выделяют гамма-активные изотопы (например, цезий-137), бета-излучатели (например, стронций-90) и альфа-излучатели (например, большинство изотопов плутония).
Количественной характеристикой источника излучения служит активность, выражаемая числом радиоактивных превращений в единицу времени. В СИ3 единицей активности является беккерель (Бк) — 1 распад в секунду (с-1). Иногда используется внесистемная единица кюри (Ки), соответствующая активности 1 г радия. Соотношение этих единиц определяется следующей формулой: 1 Ки = 3,7·1010 Бк.
Интенсивность альфа- и бета-излучения может быть охарактеризована активностью на единицу площади (с-1·м-2). Интенсивность гамма-излучения характеризуется мощностью экспозиционной дозы.
Экспозиционная доза измеряется по ионизации воздуха и равна количеству электричества, образующегося под действием гамма-излучения в 1 кг воздуха. В СИ экспозиционная доза выражается в кулонах на кг (Кл/кг).
Весьма популярна также внесистемная единица экспозиционной дозы — рентген. Это — доза гамма-излучения, при которой в 1 см3 воздуха при нормальных физических условиях (температура 0о С и давление 760 мм рт.ст.) образуется 2,08·109 пар ионов, несущих одну электростатическую единицу количества электричества.
Мощность экспозиционной дозы отражает скорость накопления дозы и выражается в Кл/кг·сек (в СИ) или в Р/ч (во внесистемных единицах).
Наиболее адекватный способ описания степени радиоактивного загрязнения местности — это плотность загрязнения. Плотность загрязнения представляет собой активность на единицу площади (с учетом изотопного состава). Этот способ, однако, весьма трудоемок, требует проведения лабораторных анализов и не всегда может быть использован для оперативной оценки. Обычно такая оценка производится с помощью методов полевой дозиметрии.
При этом используемые приборы, методы и единицы измерения зависят от типа загрязнения. Мерой загрязнения гамма-излучателями является мощность экспозиционной дозы; бета-загрязнение характеризуется плотностью потока бета-частиц. Оценка степени загрязнения альфа-излучателями в полевых условиях невозможна.
|
Как правило, при техногенном загрязнении в окружающую среду поступает смесь радионуклидов, среди которых есть все типы излучателей. Поэтому в первом приближении степень опасности может быть оценена по уровню гамма-фона. Тем не менее, в ряде случаев такая оценка неприменима. Если в сбросах предприятия содержатся, главным образом, бета-излучающие радионуклиды, то радиационная ситуация не может быть охарактеризована через величину экспозиционной дозы даже на качественном уровне. Например, загрязнение рукава реки Т., в который осуществляется сброс с химического комбината С., характеризуется весьма высокими уровнями бета-излучения, в то время как гамма-фон, в основном, близок к нормальному [21]. |
В то же время, населению, как правило, в качестве характеристики загрязнения сообщается (в т. ч. и через средства массовой информации) только мощность экспозиционной дозы. Эта величина, однако, является лишь одной из характеристик радиационной ситуации. Существует множество искусственных радиоактивных изотопов, которые практически не испускают гамма-квантов, но при этом являются очень опасными источниками излучения. Мощность экспозиционной дозы, определяемая при помощи гамма-дозиметра, не может отразить степени загрязнения такими изотопами.
Система нормирования в области радиационной безопасности
Система нормирования в области радиационной безопасности в России претерпела существенные изменения в последние несколько лет. Действующая система нормирования в этой области строится на понятии дозовой нагрузки. Основными документами, в соответствии с которы-ми осуществляется радиационный контроль за безопасностью населения, являются Федеральный Закон "О радиационной безопасности населения" [22] и принятые в его развитие "Нормы радиационной безопасности НРБ-96" [23].
Оба документа служат для обеспечения радиационной безопасности человека. Экологических нормативов, устанавливающих допустимые воздействия на экосистемы, в области радиационной безопасности не существует.
В системе нормирования используются следующие основные понятия [20]:
Поглощенная доза — фундаментальная дозиметрическая величина, определяемая количеством энергии, переданной излучением единице массы вещества.
За единицу поглощенной дозы облучения принимается грей (джоуль на килограмм) — поглощенная доза излучения, переданная массе облучаемого вещества в 1 кг и измеряемая энергией в 1 Дж любого ионизирующего излучения (1 Гр = 1 Дж/кг).
Эквивалентная доза. Поскольку поражающее действие ионизирующего излучения зависит не только от поглощенной дозы, но и от ионизирующей способности излучения, вводится понятие эквивалентной дозы. Для расчета эквивалентной дозы поглощенную дозу умножают на коэффициент, отражающий способность данного вида излучения повреждать ткани организма. При этом альфа-излучение считается в двадцать раз опаснее других видов излучений.
Единицей эквивалентной дозы является зиверт — доза любого вида излучения, поглощенная в 1 кг биологической ткани, создающая такой же биологический эффект, как и поглощенная доза в 1 Гр фотонного излучения.
Эффективная эквивалентная доза. Следует учитывать, что одни части тела (органы) более чувствительны к радиационным повреждениям, чем другие. Поэтому дозы облучения органов и тканей учитываются с различными коэффициентами. Эффективная эквивалентная доза отражает суммарный эффект облучения для организма; она также измеряется в зивертах [24; 20].
Закон "О радиационной безопасности населения" [22] устанавливает допустимую дозовую нагрузку на население на уровне 1 мЗв/год.
В соответствии с НРБ-96 [23], устанавливаются следующие категории облучаемых лиц:
персонал (подразделяемый на группы А и Б);
все население, включая лиц из персонала, вне сферы и условий их производственной деятельности.
В условиях нормальной эксплуатации источников ионизирующего излучения установлены дозовые пределы для различных групп (Табл. 7).
Таблица 7. Основные дозовые пределы
|
Нормируемые величины |
Дозовые пределы |
|
|
лица из персонала (группа А) |
лица из населения |
|
|
Эффективная доза |
20 мЗв в год в среднем за любые последовательные 5 лет, но не более 50 мЗв в год |
1 мЗв в год в среднем за любые последовательные 5 лет, но не более 5 мЗв в год |
|
Эквивалентная доза за год в: |
||
|
хрусталике |
150 мЗв |
15 мЗв |
|
коже |
500 мЗв |
50 мЗв |
|
кистях и стопах |
50 мЗв |
500 мЗв |
Следует особо отметить, что установленные пределы относятся к условиям нормальной эксплуатации источников ионизирующего излучения [23, пункт 5.1]. Облучение населения в условиях радиационной аварии регулируется разделом 8 НРБ-96 [23]. Критерии вмешательства на загрязненных территориях регулируются Приложением П-5 НРБ-96 [23].
Как отмечалось выше, Нормы радиационной безопасности (НРБ) регламентируют допустимые уровни воздействия радиации на человека. На основе этих норм разрабатываются нормативные документы, регламентирующие порядок обращения с различными источниками ионизирующего излучения, подходы к защите населения от радиации и т.п. В настоящее время действуют Основные санитарные правила работы с радиоактивными веществами и другими источниками ионизирующих излучений ОСП-72/87 [24а], основанные на ранее действовавших нормативных документах (в частности, НРБ-76/87). Эти правила, в частности, содержат требования по:
обеспечению радиационной безопасности персонала учреждений и населения, а также по охране окружающей среды от загрязнения радиоактивными веществами;
учету, хранению и перевозке источников ионизирующего излучения;
сбору, удалению и обезвреживанию твердых и жидких радиоактивных отходов.
Действие документа распространяется на любые предприятия и учреждения, независимо от ведомственной принадлежности и формы собственности, где "производятся, обрабатываются, перерабатываются, применяются, хранятся, обезвреживаются и транспортируются естественные и искусственные радиоактивные вещества и другие источники радиоактивного излучения".
Тем, кто интересуется воздействием радиации на человека, будет интересно ознакомиться с работами "Радиация: дозы, эффекты, риск" [20], Джона Гофмана [25,26]. Кроме того, полезно иметь ввиду, что официальная позиция России в области радиологической защиты строится на публикациях Международной комиссии по радиологической защите (МКРЗ). Часть этих публикаций переведена на русский язык [27, 27а, 28].
Примечания
1 Дальнейшее изложение посвящено нормированию воздействия химических факторов (вредных веществ). Вопросы нормирования воздействия радиационных факторов рассматриваются в специальном разделе.
2 Для ВДК в воздухе и воде употребляется также термин ориентировочный безопасный уровень воздействия (ОБУВ), а для ВДК в почве — ориентировочная допустимая концентрация (ОДК).
3 СИ — международная система единиц.